Маркетинговое исследование ОАО 'Спартак'

  • Вид работы:
    Курсовая работа (т)
  • Предмет:
    Маркетинг
  • Язык:
    Русский
    ,
    Формат файла:
    MS Word
    325,75 Кб
  • Опубликовано:
    2015-02-03
Вы можете узнать стоимость помощи в написании студенческой работы.
Помощь в написании работы, которую точно примут!

Маркетинговое исследование ОАО 'Спартак'

Министерство образования Республики Беларусь

Учреждение образования

«Белорусский государственный университет

Информатики и радиоэлектроники»

Кафедра экономики





Курсовая работа

по дисциплине «Маркетинговые исследования”

на тему “Маркетинговое исследование ОАО “СПАРТАК”

маркетинговое исследование конкурентоспособность прибыль

Выполнил:

студент группы 172203 Асадов Ф.В.

Проверил:

канд. экон. наук, доцент Соколов. Н.М.






Минск 2013

Введение

Объектом данного маркетингового исследования является ОАО “СПАРТАК”.

Предмет - процесс маркетингового исследования.

Цель данной курсовой работы: научиться проводить маркетинговые исследования и реализовать полученные знания на примере конкретного исследования на тему “Маркетингового исследования процесса отбора и обучения торговых агентов на примере предприятия “Cпартак”.

Для достижения поставленной цели в рамках курсового исследования необходимо решение следующих задач:

дать технико-экономическое описание предприятия;

построить динамический ряд;

построить трендовую модель по одному из показателей;

проанализировать конкурентоспособность предприятия;

охарактеризовать потребителей;

провести позиционирование предприятия;

определить генеральную совокупность и рассчитать выборку;

составить отчет о проделанной работе.


Постановка проблемы и выдвижение гипотезы

Характеристика предприятия. Основные показатели

Основные показатели, характеризующие деятельности предприятия ОАО “Спартак” , представлены в таблице 1.1.1.

Таблица 1.1.1- Основные показатели хозяйственно-сбытовой деятельности ОАО «Спартак»

Показатель

Обозначение

Ед. измерения

Период, год




2008

2009

2010

2011

2012

Доля рынка

Др

%

14,9

15

16

16,2

16,4

Количеств товарной продукции

ТП

млн. бел. руб.

521546

570619

72489

184846

190545

Издержки

И

млн. бел. руб.

3870

4000

4015

5100

5500

Прибыль

Пр

млрд. бел.руб.

137

140

145

151,4


Емкость рынка на основании численности населения Беларуси(приложение А), а также на норме потребления молочных продуктов(приложение Б).

Е=Ч*Н

Е- емкость рынка

Ч- численность населения

Н- норма потребления кондитерских продуктов.

Е=3 709 888 000 кг в год.

«Спартак» выпускает такую продукцию как:

карамель леденцовая в полиэтиленовых коробках («Голубка», «Кузнечик», «Виктория»);

карамель леденцовая в обвертках («Аэробика», «Калинка-малинка», «Барбарис»);

конфеты в коробках («Дуэт», «Мечта», «Грушевый ликер»);

пралиновые конфеты («Белочка», «Маска», «Арахисовые»);

конфеты куполообразные («Майские зори», «Свитязь», «Трюфели»);

конфеты с начинкой («Орхидея», «Камелия», «Данко»);

карамель с начинкой («Снежок», «Белоснежка»);

вафли («Черноморские», «Восточные», «Южные»);

торты;

шоколад и шоколадные батончики («Аленка», «Сластена», «Юниор»);

сахарное печенье, вытяжное печенье.

В данной курсовой работе исследуется товарная линия шоколада “Спартак”.

Таблица 1.1.2- Характеристика товарной линии

Название товара

Процент горькости

Цена (за 100г), бел. руб.

“Горький - элитный”

90%

8650

“Молочный”

33%

7800

“Горький с крупными добавками”

59%

8200


Определяем емкость рынка шоколада:

Так как норма потребления шоколада в год 9 кг, то определяем емкость рынка:

Е=85 204 800 кг

Средняя цена на сметану в Беларуси - 6850 бел. руб. за 100 грамм. Таким образом, можно выразить емкость рынка в денежном эквиваленте:

Е=85204800000*25,4=2 164 201,9 млн. бел. руб. =228 млн. долл. США

Динамический ряд

Возьмем для анализа данные о прибыли ОАО «Спартак».

Таблица 1.2. Динамика прибыли на период 2009-2013 г.г.

Показатель

Период, год


2008

2009

2010

2011

2012

Прибыль, млрд.бел.рубл.

137

140

145

150

151,4


Построим график:

Рисунок 1. График прибыли предприятия «Спартак»

Рассчитаем основные статистические показатели, а именно:

абсолютный прирост (Δу);

темп роста (Тр);

темп прироста (Тпр);  

средний уровень прибыли ( );

средний абсолютный прирост ();

средний коэффициент роста ( );

средний темп роста (  );

средний темп прироста ).

Полученные данные представим в таблице 1.2.2

Показа-тель

Ед. измере-ния

Формула

Год





2008

2009

2010

2011

2012

Δу

млрд. бел. руб.

Δуц= Уn - Уn-1

цепн.

0

3

5

5

1,4



Δуц= Уn - У1

баз.

0

3

8

13

14,4

Тр

%

Тр (ц)=y/ yn-1

цепн.

0

102,19

103,57

103,45

100,93



Тр =y/ y1

баз.

100

102,19

105,84

109,49

110,51

Тпр

%

Тпр= Трц-100%

цепн.

0

2,19

3,57

3,45

0,93



Тпр= Трб-100%

баз.

0

2,19

5,84

9,49

10,51

Y

млрд. бел. руб.

       

144,68





∆ ̅y

млрд. бел. руб

       

3,6





К ̅

 

      

1,05





       

%

       

105

%

       

5





Таблица 1.2.2- Основные статистические показатели динамики прибыли предприятия «Спартак»

На протяжении 5 лет прибыль предприятия «Спартак» возрастает. За 5 лет она выросла на 14,4 млрд. бел. рубл. (абсолютный базисный прирост). Темп цепного прироста в 2012 году составил 0,93%. Средний абсолютный прирост за 5 лет составил 3,6 млрд. бел. рубл. Средний уровень прибыли за 5 лет- 144,68 млрд. бел. рубл. Средний коэффициент роста за данный период составил 1,05. Прибыль на предприятии «Спартак» увеличивается со средним темпом прироста 5%.

Таким образом, можно сделать вывод, что продукция компании “Спартак” пользуется хорошим спросом у потребителей и с каждым годом спрос на продукцию возрастает. Это приводит к увеличению прибыли.

Построение тренда

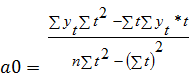
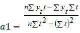
Рассчитаем основные значения для построения линейного тренда. =a0+a1t                                                                                   (3.1)

Таблица 3.1. Данные для построения тренда

 

t

y

t^2

t*y

 

1

137

1

137

 

2

140

4

280

 

3

145

9

435

 

4

150

16

600

 

5

151,4

25

757

15

723,4

55

2209

средн.

3

144,68

11

441,8


                                             (3.2)

                                           (3.3)

a1=3,88=133,04

Таким образом, мы получили линейный тренд y=133,4+3,88t

Рисунок 2. График трендовой модели прибыли предприятия «Спартак»

Рассчитаем дисперсию:

                                            (3.4)

=37,636

Рассчитаем среднеквадратическое отклонение:

                                                                                         (3.5)

=6,1

Рассчитаем прибыль по линейному тренда, а также сделаем прогноз на 2013-2015 г.г.

Таблица 3.2. Прогноз прибыли предприятия «Спартак»

Год

yt*

2008

136,92

2009

140,8

2010

2011

148,56

2012

152,44

2013

156,32

2014

160,2

2015

164,08


Рассчитаем показатели, характеризующие точность прогноза.

Таблица 3.3. Показатели, характеризующие точность прогноза

Год

yt

yt*

yt-yt*

(yt-yt*)^2

(yt-yt*)/yt

(yt-ytср.)^2

2008

137

136,92

0,08

0,0064

0,000584283

58,9824

2009

140

140,8

0,8

0,64

0,005681818

21,9024

2010

145

144,68

0,32

0,1024

0,002211778

0,1024

2011

150

148,56

1,44

2,0736

0,009693053

28,3024

2012

151,4

152,44

1,04

1,0816

0,006822356

45,1584

723,4

723,4

3,68

3,904

0,024993288

154,448

ср. знач.

144,68

144,68

0,736

0,7808

0,004998658

30,8896


Средняя абсолютная процентная ошибка:

                                        (3.6)


                                             (3.7)

Сравнительный показатель точности прогнозов:

                                                                                     (3.8)

Величина достоверности аппроксимации:

                                                                         (3.9)

Таблица 3.4. Точность прогноза

Показатель

Значение

0,5%

0,78

0,01

 

0,9998


Коэффициент достоверности аппроксимации показывает степень соответствия трендовой модели исходным данным. Чем ближе  к 1, тем точнее модель описывает имеющиеся данные. Таким образом можно сделать вывод, что трендовая модель прибыли предприятия «Савушкин продукт» достаточно точна.

Построим тренд с помощью Excel. Трендовая модель имеет вид:

Рисунок 3. Трендовая модель прибыли предприятия «Спартак»

Линия тренда, характеризующую динамику прибыли, имеет вид линейной функции: y = 3,88x+133,0.

Сделаем прогноз на 2013-2015 гг.

Таблица 3.5. Прогноз прибыли на 2013-2015 г.г.

Показатель

 Год


2013

2014

2015

Прибыль, млрд. бел. рубл.

156,28 

160,16 

164,04 


Построим график с учетом прогнозных данных:

Рисунок 4. Прибыль предприятия «Спартак» с учетом прогнозных данных

Анализ конкурентоспособности

Основными конкурентами «Савушкина продукта» по молочной продукции являются:

«Беллакт» (доля рынка 14,9%)

«Бабушкина крынка» (доля рынка 12%)

«Минский молочный завод №1» (доля рынка 11%)

Чтобы оценить конкурентоспособность, воспользуемся дифференциальным методом. Продукцию предприятия «Молочный мир» будем использовать в качестве образца. В качестве наиболее важных факторов будем использовать ассортимент, качество сырья, прибыль и цену на продукцию.

Оценка ассортимента, качества сырья и цена товаров представлена в балльных оценках. Потребителям предложили оценить ассортимент и вкусовые качества производителей молочной продукции с использованием определенной шкалы (табл. 9).

Таблица 4.1. Шкала оценок показателей

                     Баллы Характеристика

1-4

5-7

8-10

Ассортимент

недостаточно широкий

средний

достаточно широкий

Вкусовые качества

недостаточно хорошие

средние

достаточно хорошие

Цена товаров

низкая

средняя

высокая


На основании оценок, данных потребителями, а также некоторых других показателей была составлена характеристика конкурентных предприятий (табл.5).

Таблица 4.2. Характеристика конкурентных предприятий

Предприятие

Технические показатели

Экономические показатели


Ассортимент

Вкусовые качества

Прибыль, млрд. бел. рубл.

Цена товаров

Савушкин продукт

9

151,4

7

Беллакт

7

7

116

5

Молочный мир (образец)

6

6

111

4

Бабушкина крынка

7

7

114

5

Минский молочный завод №1

7

7

117

5

Коэффициент весомости

0,3

0,7

0,5

0,5



Рассчитаем единичный показатель конкурентоспособности по формуле:

,                                                                                  (4.1)

Рассчитаем показатели конкурентоспособности комплексным методом.

 (4.2)

Рассчитаем интегральный показатель.

K=Iт*Iэ       (4.3)

Таблица 4.3. Показатели конкурентоспособности

Предприятие

Групповой показатель по техническим параметрам

Групповой показатель по экономическим параметрам

Интегральный показатель

«Савушкин продукт»

1,3

0,98

1,27

«Беллакт»

1,17

0,925

1,08

«Бабушкина крынка»

1,17

0,915

1,07

«Минский молочный завод №1»

1,17

0,925

1,08


Вывод: предприятие «Савушкин продукт» является лидером среди производителей молочной продукции. За период 2008-2012 г.г. наблюдалась тенденция к увеличению прибыли. За 5 лет она выросла на 14,4 млрд. бел. рубл. (абсолютный базисный прирост). Темп цепного прироста в 2012 году составил 0,93%. Средний абсолютный прирост за 5 лет составил 3,6 млрд. бел. рубл. Средний уровень прибыли за 5 лет- 144,68 млрд. бел. рубл. Средний коэффициент роста за данный период составил 1,05. Прибыль на предприятии «Савушкин продукт» увеличивается со средним темпом прироста 5%. Сметана «Савушкин продукт» занимает ведущее место в

На основании прогноза трендовой модели видно, что в ближайшие 3 года также ожидается увеличении прибыли. На основании анализа конкурентоспособности видно, что данное предприятие является наиболее конкурентоспособным, по сравнению с другими. Интегральный показатель конкурентоспособности равен1,27, что превышает конкурентоспособность предприятия «Беллакт» в 1,18 раз, предприятия «Бабушкина крынка»- в 1,19 раз, а предприятия «Минский молочный завод №1»- в 1,18 раз. По техническим показателям «Савушкин продукт» является лидером (групповой показатель составил 1,3, в то время, как у конкурентов- 1,17). Групповой показатель по экономическим параметрам у предприятия «Савушкин продукт» составил 0,955. Этот показатель оказался больше, чем у конкурентов, за счет высокой прибыли. Однако цена, по сравнению с конкурентами, достаточно велика. Таким образом, можно сказать, что одним из наиболее явных недостатков данного предприятия является более высокая цена на продукцию, чем у конкурентов. В качестве рекомендации можно предложить усовершенствовать процесс производства, чтобы снизить издержки, что поможет снизить цену на готовую молочную продукцию.

Источники информации

1) <http://www.savushkin.by/>

) Социальный отчет предприятия «Савушкин продукт».

) <http://milk.by/>

) <http://bellact.by/>

Похожие работы на - Маркетинговое исследование ОАО 'Спартак'

 

Не нашли материал для своей работы?
Поможем написать уникальную работу
Без плагиата!
Без нейросетей!