Организация строительства линейной части магистрального трубопровода
Организация
строительства линейной части магистрального трубопровода
1. Структура организации
строительного производства
Каждый магистральный трубопровод
представляет собой промышленно - транспортный комплекс, включающий собственно
трубопровод (линейно - промышленный объект - линейную часть) и наземные
(сосредоточенные) объекты - компрессорные или насосные станции,
газораспределительные станции, аварийно-ремонтные пункты и др. Очевидно, для
сооружения этого комплекса необходимо осуществить комплексный строительный
поток.
В современной практике различают 4
формы организации строительного производства: последовательную, параллельную,
поточную, поточно-скоростную.
Многолетний опыт строительства
магистральных трубопроводов показывает, что для строительства наземных
(сосредоточенных) объектов наиболее эффективной является поточная форма.
При строительстве линейной части
магистральных трубопроводов наиболее эффективной и результативной является
поточно-скоростная форма организации.
Основными практическими задачами
организации, решаемыми при строительстве каждого магистрального трубопровода,
являются:
определение оптимального числа
трубопроводостроительных потоков (КТП);
определение границ осуществления
КТП;
обеспечение синхронности
производства отдельных видов работ в составе КТП;
поточное строительство малых
переходов трубопровода через естественные и искусственные преграды;
расчет транспортной схемы
строительства магистрального трубопровода.
1.1 Определение числа
линейных объектов строительных потоков
Организация сооружения линейной
части магистральных трубопроводов есть система подготовки строительства,
установления и обеспечения общего порядка, очередности и сроков работ,
снабжения ресурсами, управления и обеспечения эффективности строительства.
Применительно к строительству
линейной части отдельного магистрального трубопровода решение вопросов
организации строительства как на стадии составления проекта организации
строительства, так и на стадии составления проекта, производство работ связано
с установлением оптимальных взаимосвязей и взаимозависимостей между факторами,
которые определяют организацию строительства в целом.
К этим факторам относятся:
технико-технологическая
характеристика трубопровода;
установленная продолжительность
строительства;
материально-техническое обеспечение
строительства;
естественно-географические условия
строительства;
При решении вопросов организации
строительства в целом и организации производства в частности при прокладке
отдельного магистрального трубопровода необходимо учитывать, что линейная часть
магистрального трубопровода представляет собой линейно-протяжный строительный
объект, трассу которого можно разделить на любое практически приемлемое число
участков и на каждом участке организовать линейный объектный строительный
поток;
условия выполнения
строительно-монтажных работ постоянно изменяются не только на протяжении
трассы, но и во времени;
наличие естественных и искусственных
преград на трассе трубопровода, через которые нельзя сооружать переходы по ходу
линейных потоков, требует применения специальных технических средств и
специфических технологических схем, а также создания специализированных
производственных подразделений (бригад) по сооружению переходов.
Рассмотрим организацию комплексных
трубопроводостроительных потоков по методу приведенной протяженности трассы
магистрального трубопровода, когда одновременно начинают строительство
трубопровода и одновременно его заканчивают.
Число линейных объектов потоков во
всех случаях равно числу изоляционно-укладочных колонн и определится по
формулам:
K = Lпр/(Nпр.∙Pсм),
(1.1)
Lпр = (Ʃliki)∙kпер.∙kпог + Ʃlизkиз - L, (1.2)
Kпог = Nплi/(Nплi-Nпогi), (1.3)
kпог= (Ʃ kпогi∙li)/L, (1.4)
L = Lобщ. - Ʃlпер., (1.5)
где K- число изоляционно-укладочных
колонн, равное числу линейных объектов строительных потоков;
Lпр- протяженности трассы
магистрального трубопровода, приведенная к нормальным условиям производства
ведущего вида работ - изоляционно-укладочных (приведенная протяженность трассы
трубопровода), км.
Pсм - нормативная сменная
производительность изоляционно-укладочной колонны в нормальных условиях
производства работ при выполнении изоляции нормального типа 1, км в смену (для
данного диаметра трубопровода Pсм = 0,425);
Ʃliki -
сумма произведенной суммарной протяженности участков трассы трубопровода с
нормальными и специфически характерными участками (например, болота, пески,
скальные грунты и т.д.) на соответствующие коэффициенты, учитывающие сложность
изоляционно-укладочных работ и, следовательно, относительное увеличение
продолжительности этих работ на данных участках, км.
Для различных условий работ приняты
следующие коэффициенты:
для болот 1 типа - 1,70;
для болот 2 типа - 2,50;
для сыпучих песков, подвижных
барханов и дюн - 1,25;
для горных условий с различными
преобладающими уклонами местности:
до 7% - 1,0; от 7-20% - 1,85; до 40%
- 2,15; более 40% - 2,50
kпер. - коэффициент,
учитывающий сложность производства изоляционно-укладочных работ и потерю
производительного рабочего времени в зависимости от числа переходов
трубопровода через преграды.
При числе переходов трубопровода,
приходящиеся на 100 км трассы, значение kпер. равно:
до 20 - 1,05; от 21-40 - 1,1; от
41-50 - 1,15; более 50 - 1,25.
kпог - коэффициент,
учитывающий потерю производительного времени изоляционно-укладочной колонной по
погодным условиям.
Ʃlизkиз - сумма произведений суммарной протяженности участков трубопровода
с изоляционным покрытием различных типов на соответствующие коэффициенты,
учитывающие сложность нанесения изоляции, км. Для условия нанесения на
трубопровод изоляции различных типов значения kиз применяются:
для битумно-резиновой изоляции
нормального типа 1 1,00;
то же, типа 2 1,30;
для битумно-резиновой изоляции
усиленного типа 1,25;
типа 1 1,45;
то же, типов 1 и 4 3,00;
для изоляции липкими полимерными
лентами нормального и
усиленного типов 1,00.
Ʃlпер. - суммарная протяженность переходов трубопровода через преграды,
км.
Для случая, когда КТП начинают и
заканчивают строительство участков трубопровода в разное время. Число их
определяют простым арифметическим подбором и должно быть равно числу слагаемых
левой части равенства:
Nпл1 +Nпл2 + Nплn = Lпр./Pсм, (1.6)
гдеNпл1, Nпл2, Nплn- планируемое число
рабочих смен в период строительства соответственно для 1-го, 2-го, …, n-го КТП.
Эта формула позволяет оптимально
учесть план поставок труб и наличие работоспособных производственных
подразделений в составе КТП - колонн, бригад, звеньев - в течение всего срока строительства
магистрального трубопровода.
Для количественной оценки условий
строительства подземных магистральных трубопроводов введено понятие «показатель
сложности трассы магистрального трубопровода»:
α = Lпр/ L, (1.7)
Определить число линейных объектных
строительных потоков, необходимых для осуществления строительства
магистрального трубопровода, имеющего следующую проектную характеристику:
. Диаметр трубопровода - 530 мм
. Проектная протяженность -180 км
. Характеристика переходов:
через болота 1 типа -0,3 км
через крупные реки -0,7 км
через железные и шоссейные дороги
-1,0 км
. Характеристика участков
трассы трубопровода (по протяженности) L = 180 км:
с нормальным условием - 90 км
Болота 1 типа - 88 км
. Число переходов по трассе -
13
. Характеристика отдельных
участков трассы:
участок-2: l = 60 км, Nпл2
= 186 дней, Nпа.2 = 12 дней;
Протяженность участков
трубопровода с различными типами изоляционных покрытий:
С битумно резиновой
изоляцией нормального типа: lизл.
Н1 = 136 км.
С битумно - резиновой
изоляцией усиленного типа: lизл.у1
= 30 км.
С изоляцией липкими
полимерными лентами lизл.л
= 12 км:.
Решение:
Определим L по
формуле(1.5):
1. Определим значение.Kпог.. по формуле(1.3) для отдельных участков трубопровода:
. По формуле (1.4) определяем
Kпог.:
2. Число переходов,
приходящихся на 100 км трассы трубопровода составляет: 
отсюда 
. Значение Nпл определяется по формуле, аналогичной (1.4) и составляет:
4. Определяем
значение 
по формуле (1.2):
. Число
изоляционно-укладочных колонн, равное числу объектных потоков определяем по
формуле (1.1):
принимаем 2 колонны.
. Рассчитаем показатель сложности
трассы трубопровода по формуле (1.7):
Вывод:
. В среднем каждая колонна
должна изолировать и укладывать: в месяц 2,07 км, в год 24,84 км.
. Решение задачи позволяет
предусмотреть изменение сроков строительства трубопровода при изменении как
числа изоляционно-укладочных колонн, так и числа колонн-смен.
1.2 Расчет транспортной
схемы строительства магистрального трубопровода
Расчет транспортной схемы
заключается в определении участков трассы, обслуживаемых отдельными пунктами
поступления труб и материалов, Дальность их возки и других данных (приложение
1). Кратчайшие расстояния от пунктов поступления материалов А, В, С и D до трассы трубопровода
соответствуют значениям а, b, с и d. Расстояние по трассе трубопровода между точками выхода на нее
дорог от пунктов поступления А, В, С и D соответствуют значениям L1, L2 и L3. Расстояния а, b, с и d могут быть замерены в натуре по спидометру автомашины, а если это
невозможно - по картам масштаба 1:25000 или 1:50000. На расчетной схеме эти
расстояния откладываются на перпендикулярах, восстановленных из точек выхода
дорог на трассу А', В', С и D' в масштабе, равном масштабу трассы трубопровода.
Графический метод определения
рациональных границ участков обслуживания заключается в нахождении точек
пересечения прямых АЕ и BE, BE и СЕ, CG и DG и т.д., которые проводятся через точки А, В, С и D и т.д. под углом 45° к горизонтали.
Проекции точек пересечения указанных прямых на горизонтальную линию расчетной
схемы, соответствующее трассе трубопровода (A', D') дают искомые границы обслуживания
пунктами поступления материала A", В", С"
Расчеты обычно выполняют в такой
последовательности:
.Определяют среднюю дальность возки
труб и их секций.
Для этого необходимо установить
рациональные границы участков обслуживания каждым пунктом поступления одиночных
труб. Можно использовать как графический, так и аналитический метод. Используя
аналитический метод, рациональные границы обслуживания между первым и вторым
пунктами поступления труб определяют по формулам:
а для второго и третьего пункта
поступления соответственно
Расчетная схема определения
рациональных границ участков трассы магистрального трубопровода
Решающим при выборе рациональной
транспортной схемы является средневзвешенная дальность возки труб и их секций,
которая определяется как частное от деления суммы линейных моментов возки на
общую длину строящегося участка трубопровода:
где Lcp - средневзвешенная дальность возки, км;

-линейные моменты возки
от каждого пункта поступления, км2;

- расстояние по трассе
между соответствующими пунктами поступления.
Линейные моменты возки
от соответствующего пункта поступления определяются по формулам:
- сумма линейных
моментов возки, км2;
- протяженность трассы
(участка), км.
Учитывая переходы через
искусственные и естественные преграды, участки дорог, труднопроходимые в период
распутицы, характер рельефа местности специфические особенности вдоль трассовых
дорог и время года, необходимо рассчитанное значение средневзвешенной дальности
возки увеличить на 5 - 15%.
. Определяют общий вес
перевозимых грузов по формуле:
где G - общий вес груза, т;
qmp
- вес трубы длиной 12 м, т;
Lобщ.
- протяженность участка, м;
- длина выпускаемых
труб, м.
. Определяют объем
грузоперевозок
Gобщ.-
общий вес перевозимых труб, т;
Lср.
- средневзвешенная дальность возки, км.
. Назначают виды
транспорта по маркам.
. Устанавливают суточную
производительность транспортных средств по существующим нормативам (qmp.ср.).
. Определяют общее
количество транспортных средств
где Nобщ. - общее количество потребных транспортных средств;
Q
- объем грузоперевозок, т-км;
Кн -
коэффициент неравномерности подачи транспорта (Кн = 1,05 - 1,20);
- средняя выработка
транспортной единицы в сутки, т-км;
- коэффициент
организационно-технических перерывов учитывающий время, необходимое для
технического обслуживания машин (
=0,6-0,8).
Исходя из общего
количества транспортных единиц и исходных данных, необходимо определить
отдельно количество транспортных единиц, необходимых для перевозки одиночных
труб с пунктов поступления до баз и для перевозки секций труб с трубосварочных
баз на трассу.
Для каждого отдельного
случая необходимо воспользоваться формулой.

Gобщ.
- общий вес перевозимого груза;
qгр.ср.
- грузоподъемность выбранной транспортной единицы, т;
Lср.
- средневзвешенная дальность возки труб и их секций, км;
υгр.,
υпор. - скорость движения машин соответственно с грузом и без груза,
км/час;
tпог.,
tвыг. - время, необходимое соответственно для погрузки и выгрузки
груза, час;
Kв
- коэффициент использования транспорта во времени, учитывающий состояние дорог,
климатические условия и другие факторы, принимаемый при расчетах равным 0,8 для
зимних и 0,9 - для летних;
Т- общая
продолжительность работы машины, дни;
tсут.
-продолжительность работы машин в течении суток, ч;
KО.Т.
- коэффициент организационно-технических перерывов.
Определить рациональную
транспортную схему и количество транспортных средств для строительства участка
газопровода.
1. Протяженность участка
строительства - 180 км
. Расстановка от пунктов
поступления до трубосварочных баз (ТСБ) составляет:
пункт 1 - a = 27 км
пункт 2 - b = 16 км
пункт 3 - с = 17 км
3. Расстояние между
трубосварочными базами по трассе составляют:
L1= 165 км, L2=
140 км
. Диаметр газопровода - Dн=530 мм.
. Толщина стенки δ= 7 мм.
. Продолжительность
строительства - 20 месяцев.
. Средняя скорость движения
машин с грузом 21 км/ч, без груза 27 км/ч.
. Время погрузки труб - 26
минут, время разгрузки - 21 минут.
. Продолжительность работы
машин в течение суток составляет 24 часов.
. Работы выполняются в летний
период года.
. Подъездные дороги с твердым
покрытием, вдоль трасс - грунтовые.
. Трубосварочные базы на
выходе к трассе.
Решение:
. Назначаем марку
трубовоза-плетевоза - ПЛТ-502 (на базе автомобиля КаМАЗ-502) грузоподъемностью
15 т.
. По формуле (1.8) найдем
границы обслуживания между первым и вторым пунктами поступления труб:
между вторым и третьим пунктами
поступления соответственно по формуле (1.9):
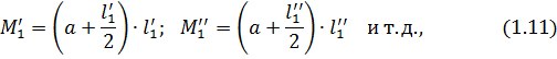
. Линейные моменты возки
рассчитываются по формуле (1.11):
. Средневзвешенная дальность
возки определяется по формуле (1.10):
Увеличиваем рассчитанное
значение на 10%, 
3. Фактическая грузоподъемность
трубовоза:
Вес одной трубы длиной 12 м:
С учетом допускаемого перегруза
(15%) трубовоза принимаем число одиночных труб, погруженных на трубовоз, равные
5, вес 5 труб (секции):
. Общий вес труб по формуле
(1.12):
. Необходимое число
трубовозов ПЛТ-502 на период строительства трубопровода по формуле (1.15):
Назначаем 16 трубовозов ПЛТ-502.
. Определяем число рейсов
одного плетевоза
Вывод:
На сварочно-монтажном участке
постоянно должно работать не менее 16 плетевозов ПЛТ-502.
2.
Погрузочно-разгрузочные и транспортные работы
.1 Расчет такелажной
оснастки
.1.1 Расчет траверс
Расчет выполняется в соответствие со
схемой нагружения траверсы. Для траверсы, работающей на изгиб находят
максимальный изгибающий
Момент, действующий в центре, равный
где G- вес поднимавго груза;
где Ry -расчетное сопротивления стали при сжатии, растяжении и изгибе,
выбираемое по СНиП П-23-81* [117] в зависимости от марки стали, формы и толщины стенки проката
исходя из нормативного сопротивления по пределу текучести.
По найденному значению Wx подбирают сечение балки для траверсы с моментом сопротивления,
большим или равным рассчитанному.
Для балочной траверсы, работающей на
сжатие (рис.2 б), сжимающее усилие:
Балку траверсы проверяют на
устойчивость в соответствии со СНиП П-23-81* [117] по формуле:
где α -угол наклона каната и вертикали;
А-площадь поперечного сечения балки;
Ry - расчетное сопротивление стали три сжатии, растяжение и изгибе;
γc - коэффициент условий работы, приниаемый равным 0,95
φ -коэффициент продольного
изгиба,в зависимости от гибкости траверсы:
где l-рабочая длина траверсы, l=2а
imin - минимальный радиус
инерции сечения балки.
Расчетные схемы траверс: а -
работающих на изгиб; б - работающих на сжатие
Рассчитать траверсу, работающую на
изгиб при разгрузке труб из полувагонов.
Решение:
. Определим вес труб по формуле:
где Gтр - вес труб, т;
ρст.
- плотность стали К60=78500 кг/м3
L
- длина 1 м трубы, м
Dн - диаметр трубопровода, м
δ -
толщина стенки, м
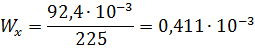
2. Принимаем для
изготовления траверсы двутавровую балку,материал стали марки Ry=225
МПа
Рабочая длина траверсы 
. Максимальный
изгибающий момент определяется по формуле (2.1):
4. Минимальный момент
сопротивления сечения определяется по формуле (2.2):
По справочным данным
подбираем двутавровую балку №30 с 
Проверить на
устойчивость траверсу, работающую на сжатие, изготовленную из двутавровой баки
№ 30 с площадью поперечного сечения 
и минимальным радиусом
инерции сечение балки 
. Материал стали марки
ВСт3: Ry=225 МПа.
Рабочая длина траверсы l =4 м, угол наклона ветвей каната к вертикали 
.Вес поднимаемого груза
92,4 кН
Решение:
1. Сжимающее усилие в балке траверсы по формуле(2.3):
. Гибкость траверсы по формуле(2.5)
Соответственно коэффициент
продольного изгиба φ равен 0,939 и
условие устойчивоти имеет вид:

Следовательно, условие устойчивости
выполняется.
2.1.2 Расчет гибких
строп
Гибкие стропы рассчитываются в
соответствии со схемой их нагружения (рис 3). Усилие в каждой ветви стропа или
отдельном стропе:
где 
- коэффициент,
зависящий от угла наклона 
ветви стропа к
вертикали:
|
 , град0
|
15
|
30
|
45
|
60
|
|
|
|
1,0
|
1,03
|
1,15
|
1,42
|
2,0
|
n - число ветвей стропа;
Кн - коэффициент
неравномерности нагрузки на ветви стропа. При числе ветвей n>4 Кн=0.75, при n<4 Кн=1.
Требуемая грузоподъемность равна
произведению 5 на число ветвей (строп) n, в соответствии с ней по таблицам
подбираем стропы с суммарной грузоподъемностью, равной или большей требуемой.
Расчетная схема гибкого стропа
Подобрать стропы для
подъема груза весом 92,4 кН, угол наклона ветвей к вертикали 
.
Усилие в каждой ветви
стропа по формуле (2.7):
Поскольку угол
расхождения ветвей составляет 
и не превышает
максимально допустимого, равного 
, выбираем строп
2СК-10,0 с грузоподъемностью 100 кН.
Вместо двухветвевого
можно использовать два двухпетельных стропа, их суммарная грузоподъемность
должна составлять 
. Выбираем СКП1-6,3,
имеющие грузоподъемность 63 кН. Суммарная грузоподъемность двух строп составит
126 кН.
2.2 Расчёт напряженного
состояния труб при погрузочно-разгрузочных и транспортных работах
Выгрузку труб из
железнодорожных вагонов следует осуществлять по следующим схемам:
вагон-склад-трубовоз или вагон-трубовоз. Первую схему применяют при массовом
поступлении труб и ограниченном числе трубовозов, вторую схему - при
достаточном числе трубовозов или ограниченной прирельсовой площадке.
Перемещение и укладка
труб в штабель выполняется краном трубоукладчиком. От временных площадок трубы
длиной 12м перевозят на трубосварочные базы, где их сваривают в секции длиной
36м.
Трубы большого диаметра
складируются в штабель со смешанными рядами с помощью захватов. Число рядов
труб и соответственно высоту штабеля определяют меньшей из следующих двух
величин: числом рядов, соответствующим предельной высоте подъёма,
обеспечиваемой грузоподъёмными кранами, и числом рядов, соответствующим
предельной нагрузке на трубы нижнего ряда, гарантирующей их хранение без
остаточных деформаций. Трубы нижнего ряда укладываются на деревянные подкладки
или непосредственно на грунтовую площадку. Площадка складирования должна быть
ровной и горизонтальной. Для грунтовых площадок допускают угол наклона не более
5°. Трубы при складировании располагают вдоль линии уклона площадки.
Схемное число рядов nсх определяют как промежуточную теоретическую величину:
где δн
- номинальная толщина стенки труб, мм;
Dн
- наружный диаметр труб, мм;
ρст
- плотность материала труб; для стали принимается 7,85 г/
R2
- расчётное сопротивление материала труб, МПа, равное:
где m-коэффициент условий работы труб: при хранении труб в штабеле m=1;
K2
- коэффициент надёжности по материалу; для прямошовных и спиральношовных
сварных труб из малоуглеродистой стали и низколегированной стали с отношением
минимальных значений предела текучести и временного сопротивления≤ 0,8 K2=1,15; для сварных труб из высокопрочной стали с тем же отношением
>0,8 K2 =1,2;
Kн-
коэффициент надёжности по назначению труб; при хранении этих труб в штабеле Kн =1;

-
нормативное сопротивление материала труб растяжению(сжатию) применяется равным
минимальному значению предела текучести σm по государственным стандартам и техническим условиям на трубы.
Предельно допустимое
число рядов труб в штабеле рассчитывают, исходя из условий предотвращения
остаточных деформаций по формуле:
где ncx- схемное число рядов труб,
определяемое по формуле(2.8);
Kг-
коэффициент, учитывающий реальные геометрические параметры штабеля; для
горизонтальных площадок с твёрдым покрытием Kг
=1,04; для грунтовых площадок Kг
=1,2;
Η -
коэффициент опорной схемы; при опирании нижнего ряда труб непосредственно на
грунтовую площадку η = 1; при опирании труб на подкладки η =
1,1;
Kc-
коэффициент учитывающий дополнительную нагрузку от снега и обледенения; при
хранении труб в штабеле в летний период Kc=1,
в зимний период года Kc=1,05;
в особых случаях нормативную снеговую нагрузку от обследования следует
определять согласно СНиП 2.01.07-85.
В качестве допустимого
числа рядов принимается ближайшее меньшее целое значение n.
При опирании нижнего
ряда труб на подкладки выполняют проверочный расчёт допустимости расстояния
между ними:
где L- длина трубы, м;
В- число подкладок под
трубами нижнего ряда.
При складировании труб,
имеющих изоляционное покрытие, конструкцию и число подкладок выбирают в
соответствии с расчётом изоляционного покрытия на смятие кроме того, выполняют
проверочный расчёт на смятие изоляционного покрытия соприкасающихся труб.
Высоту штабеля труб
определяют по формуле:
От временных площадок
трубы длиной до 12 м перевозят на трубосварочные базы, где их сваривают в секции
длиной до 36 м.
Рассчитать высоту
складирования труб при следующих исходных данных:
Диаметр трубы-DH =530
мм;
Толщина стенки-δH= 7 мм;
Марка стали 1-Г2СБ;

= 510 МПа; 
= 360 МПа; L=12 м; трубы складируются на грунтовой площадке Кг=1,2;
нижний ряд труб укладывается на подкладки (η =
1,1); складирование труб производят в зимний период года (Кс =
1,05); число подкладок В-8.
Решение:
. Коэффициент надёжности
по материалу К2 =1,34, т.к.
. Расчётное
сопротивление материала труб определяется по формуле (2.9):
. Схемное число рядов nсх определяется по формуле (2.8):
. Проверяем расстояние
между подкладками находим по формуле (2.11):
. Предельное допустимое
число рядов в штабеле рассчитывают по формуле (2.10):
Принимаем n=23
. Высота штабеля
определяется по формуле (2.12):
.
колонна строительство
трубопровод укладочный
Список литературы
1. Быков Л.И., Мустафин Ф.М., Рафиков С.К., Нечваль А.М.,
Лаврентьев А.Е. Типовые расчеты при сооружении и ремонте газонефтепроводов. - С
- П.: Недра, 2006. - 824 с.
2. Алиев М.М., Бурмистрова Н.Н. «Сооружение линейной части
магистрального трубопровода». Методическое пособие к выполнению курсового
проекта. - Альметьевск: Типография АГНИ, 2009. - 46 с.