Изучение различий среди потребителей при сегментировании рынка
Тема
Изучение
различий среди потребителей при сегментировании рынка
Оглавление
Введение
.
Теоретические аспекты сегментирования рынка
.1
Критерии и признаки сегментирования рынка
.2
Сегментирование рынка по группам потребителей
.
Анализ потребительского рынка на примере предприятия ООО "Сладкоежка"
.1
Характеристика положения на рынке г. Новосибирска предприятия ООО
"Сладкоежка"
.2
Особенности маркетинговой деятельности ООО "Сладкоежка"
.3
Особенности потребительского рынка ООО "Сладкоежка"
.
Программа и результаты маркетингового исследования потребительского рынка ООО
"Сладкоежка"
.1
Программа маркетингового исследования потребительского рынка кондитерских
изделий
.2
Результаты маркетингового исследования потребительского рынка кондитерских
изделий (выводы и рекомендации)
Заключение
Список
использованных источников
Введение
Каждая организация действует в условиях влияния
факторов внешней среды, поэтому очень важно получить достоверную информацию о
состоянии рынка, проанализировать ее и по результатам анализа сформировать
концепцию бизнеса, которая полностью соответствует и возможно где-то
превосходит ожидания потребителей. Это залог того, что будущее малое
предприятие будет успешным.
Руководители малых предприятий остро ощущают
потребность в систематической, оперативной и всесторонней информации о
состоянии и возможных изменениях, происходящих во внешней среде. Большинство
вынуждено работать с неструктурированными массивами данных о состоянии рынка, в
условиях отсутствия достоверной информации о состоянии внешней среды.
В отличии от крупных компаний, малым
предприятиям необходимо найти ту нишу, которая наилучшим образом подходит
компании, и в которой она может преуспеть. В случае ошибочного анализа
перспективности отрасли компания потерпит крах и в результате ее может просто
не стать.
Все выше сказанное предопределяет актуальность и
необходимость настоящего исследования.
Объектом исследования выступает Общество с
ограниченной ответственностью "Слодкоежка" (в целях сохранения
коммерческой тайны название предприятия изменено).
Предметом исследования являются методы
сегментирования потребительского рынка кондитерских изделий города
Новосибирска.
.Поставленная цель предопределила постановку
следующих задач:
1. Анализ российского рынка кондитерских
изделий:
- дать общую характеристику рынка;
выявить тенденции его развития
2. Анализ рынка потребителей в сфере
кондитерского производства.
- выявить особенности рынка;
выделить наиболее привлекательные сегменты для
малой компании;
провести анализ этого сегмента.
. Формулировка рекомендаций стратегического
развития проведенных анализов для рассматриваемого предприятия ООО
"Сладкоежка".
Настоящая работа состоит из введения, трех глав,
заключения и списка используемой литературы.
1. Теоретические аспекты сегментирования рынка
.1 Критерии и признаки сегментирования рынка
Основой всей системы
планирования в условиях рынка является прогнозирование сбыта. Поэтому первой
задачей руководства фирмы является определение объема продаж в соответствии со
спросом и только на основе оценки рынка сбыта можно приступать к планированию
производственной и финансовой деятельности фирмы [15].
Оценка рынка сбыта - комплекс
мероприятий, направленный на исследование торгово-сбытовой деятельности
предприятия , и изучение всех факторов, влияющих на процесс производства и
продвижения товара от производителя к потребителю. Каждое предприятие осознает,
что его товары не могут нравиться всем покупателям сразу, поэтому с помощью
маркетинга руководство предприятия на основе информации о потенциальных
потребителях, регионах, в которых имеется спрос, ценах, которые потребители
готовы заплатить за товар, о каналах сбыта, о конкуренции определяет сегмент
рынка сбыта. Сегмент рынка - это его часть, определенная особым образом,
которая может быть эффективно обслужена предприятием.
Объектами сегментации рынка
сбыта являются:
группы потребителей;
группы продуктов (товаров,
услуг);
предприятия (конкуренты).
Сегментация рынка по группам
потребителей- это группировка потребителей по каким-либо признакам, в той или
иной степени определяющим мотивы их поведения на рынке.
Сегментация рынка по группам
продуктов - это производная от сегментации рынка по группам потребителей,
учитывает запросы и предпочтения потребителей по качественным характеристикам
продукта (товара, услуг). Сегментация по предприятиям (конкурентам) - это
группировка конкурентов по факторам конкурентоспособности в продвижении на
рынок. Сегментация рынка производится по критериям и признакам. Критерий -
способ оценки выбора того или иного сегмента рынка для продуктов или
предприятия (конкурента).
Признак- это способ выделения
данного сегмента на рынке.
Наиболее распространенными
критериями сегментации являются:
емкость сегмента, по которой
определятся число потенциальных потребителей и, соответственно, необходимые
производственные мощности;
каналы распространения и сбыта
продукции, позволяющие решить вопросы о формировании сети сбыта;
устойчивость рынка, позволяющая
сделать выбор о целесообразности загрузки мощностей предприятия;
прибыльность, показывающая
уровень рентабельности предприятия на данном сегменте рынка;
совместимость сегмента рынка с
рынком основных конкурентов, позволяющая оценить силу или слабость конкурентов
и принять решение о целесообразности и готовности внесения дополнительных
затрат при ориентации на таком сегменте;
оценка опыта работы конкретного
персонала предприятия (инженерного, производственного или сбытового) на
выбранном сегменте рынка и принятие соответствующих мер;
защищенность выбранного
сегмента от конкуренции.
Основными признаками
сегментации рынка по группам потребителей являются географические,
демографические, психографические, поведенческие. Сегмент рынка по группам
потребителей определяется по совпадению у определенных групп потребителей
нескольких признаков.
Основными признаками
сегментации рынка по группам продуктов являются функциональные и технические
параметры, цена и т.п.
Основными признаками
сегментации рынка по предприятиям (конкурентам) являются качественные
показатели продукта (НТ), цена, каналы сбыта, продвижение продукта на рынке.
Сегментация рынка по
потребителям, сегментация по продуктам и конкурентам взаимно дополняют друг
друга и все полученные результаты рассматриваются в комплексе, что позволяет
правильно выбрать наиболее эффективный сегмент рынка. Сегментирование рынка по
группам продуктов. Для повышения конкурентоспособности и правильного
определения емкости рынка, помимо сегментации рынка по группам потребителей,
производится сегментация рынка по продукту, то есть по наиболее важным для его
продвижения на рынке параметрам, при этом используется метод составления
функциональных карт (метод двойной сегментации).
Сущность метода заключается в
том, что на основе выделенных сегментов рынка по группам потребителей и
сопоставления их с различными значениями факторов (функциональных и технических
параметров изделия), выбранных для анализа, определяется, какие из параметров
более всего подходят для выделенной группы потребителей. Наиболее
распространенными для оценки рынка по продукту являются параметры: цена, каналы
сбыта, технические характеристики. Результаты анализа методом двойной
сегментации оформляются в виде матрицы, по строкам которой откладывается
значение фактора, а по столбцам - сегменты рынка по потребителям. Емкость рынка
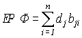
фирмы по каждому изделию может быть рассчитана по формуле:
,
где i = 1,2,...n - индекс
сегмента рынка по продукту( модели изделия), выделенного по какому-либо
признаку; j = 1,2,..., m - индекс географического сегмента рынка; dj - общее
число изделий, проданных на j-ом географическом сегменте; bji - доля i-го
сегмента рынка по продукту на j-м географическом сегменте рынка.
Сегментация рынка по продукту
предполагает, что на стадии разработки новой продукции для каждой модели
товара:
учитываются все факторы,
отражающие систему потребительских предпочтений и одновременно технические
параметры нового изделия, удовлетворяющие запросы потребителей (выделение
сегмента рынка по параметру изделия);
определяются группы
потребителей, каждая со своим набором запросов и предпочтений (психографическая
сегментация);
все выбранные факторы
ранжируются по степени значимости для каждой группы потребителей (сегментов
рынка).
Все эти переменные включаются в
многофакторную модель сегментирования рынка по продукту, представленную в
табл.1.
Таблица 1.
Многофакторная модель
сегментирования рынка по продукту
Многофакторная модель позволяет
определить узкие места при разработке товара и воздействовать на них через
стимулы общей заинтересованности всех служб предприятия в завоевании доли
рынка.
Сегментирование рынка по
конкурентам. Сегментирование рынка по основным конкурентам осуществляется на
основе оценки конкурентоспособности вашего предприятия относительно
конкурентов, приведенной в рекомендуемой табл. 2.
Таблица 2.
Оценка конкурентоспособности
рассматриваемого предприятия
Данные, необходимые для такого
рода анализа, должны быть предоставлены экономическими службами аппарата
управления предприятия, а выставленные оценки - согласованы с мнением
специалистов этих служб.
Для этого лучше всего
сформировать группу из наиболее квалифицированных работников, которые, вместе с
руководством предприятия, смогут провести такого рода анализ.
В случае, если члены группы
расходятся в оценках, в таблицу вносится среднее значение переменной,
определяемое с учетом мнения каждого.
В процессе анализа важно дать
развернутое смысловое описание или объяснение, почему той или иной переменной в
таблице присвоена данная оценка.
Только в этом случае общий итог
таблицы (сумма баллов) покажет истинное положение предприятия по отношению к
основным конкурентам на рынке.
Можно, также, просуммировать
значения оценок по основным факторам и сопоставить эти данные с общим итогом,
что позволит руководству предприятия выяснить, за счет каких именно факторов
нужно повышать конкурентоспособность.
Оценка конкурентоспособности
предприятия должна дополняться
Каковы их сильные и слабые
стороны?
Каких действий можно ожидать в
будущем от нынешних и возможных конкурентов?
Для систематизации ответов на
такого рода вопросы используется в контрольном листе анализа силы и слабости
предприятия в конкурентной борьбе табл. 3.
Таблица 3. Контрольный лист
анализа силы и слабости предприятия в конкурентной борьбе
Метод сегментации конкурентов
по хозяйственному профилю позволяет предприятию быстрее перейти от стадии
внедрения на рынок к рыночной экспансии, повысить эффективность продвижения
своих изделий на рынке.
В табл.4 приведен пример
систематизации соответствующих данных.
Таблица 4
Форма анализа хозяйственного
профиля основных конкурентов

Таблица может содержать как
краткую цифровую информацию, так и развернутые и достаточно детализированные
примечания. Сегментация рынка по конкурентам производится аналогично тому, как
это осуществляется в отношении потребителей. Анализ данных и обобщение
полученных результатов помогут лучше понять логику ведения бизнеса конкурентами
и определить, какие ответные меры следует предпринять и какие из них будут
наиболее действенными. Поэтому сегментация рынка по конкурентам является
неотъемлемой частью деятельности любого предприятия, решившего всерьез повысить
свою конкурентоспособность на рынке.
Сегментация рынка и по
конкурентам, и по потребителям, и по продуктам взаимодополняют друг друга, и
все полученные результаты рассматриваются и оцениваются в комплексе. Только в
этом случае руководство предприятия сумеет правильно выбрать именно тот сегмент
рынка, где предприятие сможет наилучшим образом использовать свои сравнительные
преимущества.
Итак, предприятие может
воспользоваться тремя подходами к рынку:
1. Массовый (не дифференцированный) маркетинг с целью привлечения к одному
товару предприятия внимания покупателей всех типов.
2. Товаpно-диффеpенциpованный маркетинг с целью предложения рынку разнообразия
и различия товаров предприятия от товаров конкурентов.
3. Концентрированный (целевой маркетинг), предлагающий для каждого целевого
рынка (сегмента) соответствующие товары и комплексы маркетинга. После выделения
сегментов отбирается один или несколько самых выгодных для предприятия.
Решив, на каком сегменте
выступать, предприятие должно разработать стратегию проникновения в этот
сегмент. Для этого определяются позиции всех имеющихся конкурентов и
принимается решение о собственном позиционировании. У предприятия есть два
пути. Первый - позиционировать себя рядом с одним из существующих конкурентов и
начать борьбу за долю рынка, второй - разработать товар, которого еще нет на
рынке.
Однако перед тем, как принять
такое решение, руководство предприятия должно удостовериться в наличии технических,
экономических возможностей и в достаточности числа потенциальных покупателей
предлагаемого товара. Если все ответы окажутся положительными, значит
предприятие отыскало свое место на рынке, а это позволяет ему приступить к
следующему шагу - планированию комплекса маркетинга [1].
1.2 Сегментирование рынка по группам
потребителей
Напомним, что сегментация - это
процесс разделения существующих (потенциальных) потребителей в пределах
конкретного рынка на группы, или сегменты. Причем внутри этих групп потребители
имеют одинаковые (схожие) требования, для удовлетворения которых можно
использовать различные элементы маркетинговой смеси. Однако, обобщая, легко
выделить классическое определение сегментации.
Рис.1 Разновидности сегментирования рынка
По совпадению у определенных
групп потребителей нескольких значений переменных можно сделать вывод о наличии
определенного сегмента рынка, как это показано на рис. 1.
Сегментация - разбиение всех
потребителей на группы согласно различным критериям.
Из определения сегментации
можно вынести три важных аспекта.
. Потребители могут быть
сгруппированы по-разному. Организации это дает возможность лучше удовлетворять
их потребности.
. Мы можем использовать
информацию о конкретном сегменте для создания целенаправленной,
индивидуализированной маркетинговой смеси (об этом речь пойдет в главе
"Пытаясь понять своих потребителей").
. Поскольку сегментация дает
панорамную картину того, какие нужды и потребности потребителей существуют в
рамках конкретного рынка, то становится возможным предугадывать развитие этих
потребностей, а также выстраивать деятельность организации соответствующим
образом.
При проведении сегментации
очень важен выбор критерия, по которому будет осуществляться разделение
потребителей на сегменты. Например, поможет ли введение критерия
"возраст" получить дополнительные штрихи к портрету потребителя,
которые затем будут использованы для корректирования предложений, презентаций и
продукта компании, предназначенных для конкретных сегментов?
Все зависит от того продукта,
который компания предлагает.
Например, для туристического
агентства возраст - важный критерий, поскольку от возраста сильно зависит стиль
отдыха потребителя.
А вот, скажем, для пекарни,
предлагающей фиксированный набор продуктов, возраст потребителя играет не самую
важную роль. Рассмотрим еще несколько примеров критериев для сегментирования.
При сегментировании своих
потребителей можно пользоваться следующими критериями.
• Психографический: стиль
жизни, личные качества, социальное положение.
• Демографический: возраст,
образование, доход.
• Географический: страна,
регион.
• Поведенческие категории:
потребительский стаж, выгода для потребителя, отношение и характер
использования товара, реакция на товар потенциальных потребителей.
Однако стоит помнить, что
приведенные выше примеры - классические критерии сегментирования. Для каждой
компании набор критериев должен максимально соответствовать специфике ее
деятельности и тем группам потребителей, с которыми она собирается работать.
Очевидно, что при
сегментировании уместны количественные и процентные оценки. Приведем пример
сегментации по возрастному критерию и критерию характера использования
продукта. Например, среди покупателей мобильных телефонов 55% - молодые люди в
возрасте от 16 до 32 лет, ведущие активный образ жизни; 5% - пожилые семейные
пары, общающиеся со своими детьми; 15% - сорокалетние мужчины-холостяки,
использующие мобильный для разговоров с коллегами по работе и клиентами, и т.
д.
Классическая графическая
модель, использующаяся при сегментировании, - круг, поделенный на сектора -
сегменты. В каждом секторе указывается процент, дающий сегменту количественную
оценку. Безусловно, любые другие графические изображения сегментирования также
уместны.
Сегментация рынка по группам
потребителей производится в соответствии с факторами (признаками), приведенными
в табл. 5.
Таблица 5
Основные факторы сегментации
рынка по группам потребителей
Основное предназначение
сегментации - предоставление количественной оценки рыночных тенденций и
формирование наглядной картины взаимодействия компании с ключевыми группами
потребителей. Сегментация позволяет расширять понимание рынка в целом, а также
нужд и потребностей конкретных групп потребителей (в частности, чтобы затем
более эффективно взаимодействовать с рынком и потребителями).
2. Анализ потребительского рынка на примере предприятия
ООО "Сладкоежка"
.1 Характеристика положения на рынке г.
Новосибирска предприятия ООО "Сладкоежка"
Производственное предприятие
"Сладкоежка"(в целях сохранения коммерческой тайны название
предприятия изменено) организовано в 2001 году в г. Новосибирск, и вот уже на
протяжении 12 лет оно занимается производством
кондитерских изделий.
Главным принципом работы является использование
для приготовления тортов и пирожных отборных, качественных и свежих продуктов
высокого качества, отказ от консервантов, стабилизаторов,
"улучшителей" и т.д. Хотя, как стало уже известно несколько позже, в
начале данного столетия об этом уже задумываться и не только рассматриваемая
фирма, так что введение качественного контроля было просто необходимо. Конечно,
нельзя забывать и том, что себестоимость явно повышается от такой
"политики".
Ценовая политика рассматриваемого предприятия в
большей степени придерживается дифференцированных цен, так как установлении цен
сочетает в себе наличие различных скидок или же надбавок к среднему уровню цен,
но зависит это от вида торта. Зачастую, это касается свадебных тортов, которые
занимают весьма значительную долю в выпуске. Но "средний ценник" по
трем категориям можно представить следующим образом: цена 1 кг заказного(корпоративного)
торта - 600 руб., цена 1 кг детского торта - 550 руб., цена 1 свадебного торта
- 600 руб.
ООО "Сладкоежка" не обладает
собственной розничной точкой и реализует продукцию через многочисленные
магазины и павильоны г. Новосибирска и близлежащих населенных пунктов - Ленинск
- Кузнецкий, Белово, Болотное, Ордынка, Камень - на - Оби, Баево, Хабары,
Искитим, Коченево, Чулым, Юрга.
На сегодняшний день перед предприятием
поставлена весьма важная задача - выбрать оптимальный вариант дальнейшего
развития компании. В следующих разделах данной главы у нас будет возможность
ознакомиться более детально с предлагаемыми возможностями развития, но не стоит
упускать из виду тот факт, что знание руководством стоимости компании позволяет
понять, насколько эффективна работа менеджмента и определить направление
дальнейшего развития, а для любого развития необходимы дополнительные
финансовые средства. Как и любому малому предприятию, предприятию
"Сладкоежка" также приходится пользоваться кредитными ресурсами.
Более того, кредитование малого и среднего бизнеса сегодня является одним из
самых востребованных банковских продуктов. Новые взгляды на преимущества такого
финансового инструмента, как кредиты среднему бизнесу, и возросшая в последнее
время в среде предпринимателей финансовая грамотность играют не малую роль в
этом.
Получение кредитования малого и среднего бизнеса
стало более частым явлением в наши дни, чем вялое развитие (без рисков) на
собственные ограниченные средства. А по сему, чтобы "Сладкоежка"
смогла подтвердить свою кредитоспособность в частности, необходимо иметь в
распоряжении не только бухгалтерский баланс как основной показатель
рентабельности бизнеса, но и обладать сведениями о том, сколько же стоит сама
компания на сегодняшний день.
Оценка стоимости компании позволяет корректно и
правильно учесть активы, которые были созданы в результате работы компании.
Таким образом, появляется возможность узнать деятельность своей компании на
более детальном уровне.
Также немало важной характеристикой предприятия
является его уровень продаж. В целом, объем продаж выглядит следующим образом
(рис. 3.1). По словам директора предприятия, уровень продаж стабилизировался на
приемлемом уровне с точки зрения рентабельности самого предприятия лишь в
последние шесть лет.
Рис. 2. Объем продаж за 2001-
2012 гг., руб.
Если мы возьмем на рассмотрение
продажи предприятия помесячно за каждый год в течение последних пяти лет, то мы
увидим, что в среднем объем продаж в год могут составлять 10,5 млн. руб.
Как и видно из представленного
графика, слова директора про уровень продаж в последние несколько лет лишь
подтверждаются: мы видим колебания в объеме продаж каждый месяц в пределах
800000-1155000 руб. Хотелось бы взять к особому рассмотрению 2007 год. Именно в
этот год кондитерское предприятие "Сладкоежка" начало участвовать в
свадебных ярмарках, где можно установить множество ценных связей со свадебными
салонами, банкетными залами, а также получить информацию о потенциальных
клиентах. Во многом, с помощью этой ярмарки предприятию удалось наработать
отличную клиентскую базу, в результате чего и объем продаж значительно вырос.
Резкое падение объема продаж в конце 2007 года вызвано сложившейся
экономической обстановкой. Именно кризис не дал возможности предприятию развиться
в том направлении, какое было намечено еще в начале года.
Если говорить про финансовое
состояние предприятия, то необходимо проанализировать структуру активов и
пассивов баланса. Для начала, стоит дать оценку итогам как актива, так и
пассива баланса. Очевидно, в активе баланса мы видим в обобщенном денежном
выражении состояние и размещение средств предприятия, в пассиве - источники
образования или же целевое назначение этих средств. Представим
консолидированную информацию в виде таблицы, которая будет характеризовать
структуру и динамику активов ООО "Сладкоежка".
Таблица 6. Структура и динамика актива баланса
на 2012 г.
|
Актив
баланса
|
Сумма,
тыс. руб.
|
Структура,
%
|
|
Начало
года
|
Конец
года
|
∆
|
Начало
года
|
Конец
года
|
∆
|
|
Внеоборотные
активы
|
40188
|
40856
|
668
|
49,68
|
48,35
|
-
1,33
|
|
Нематериальные
активы
|
175
|
246
|
71
|
0,22
|
0,29
|
0,07
|
|
Основные
средства
|
39123
|
39550
|
427
|
48,36
|
46,80
|
-
1,56
|
|
Долгосрочные
финансовые вложения
|
890
|
1060
|
170
|
1,10
|
1,25
|
0,15
|
|
Оборотные
активы
|
40709,8
|
43649,6
|
2939,8
|
50,32
|
51,65
|
1,33
|
|
Запасы
|
23886
|
19515,9
|
-
4370,1
|
29,53
|
23,09
|
-
6,43
|
|
Налог
на добавленную стоимость по приобретенным ценностям
|
1997
|
3100
|
1103
|
2,47
|
3,67
|
1,20
|
|
Дебиторская
задолженность, в том числе:
|
11560,8
|
17328,7
|
5767,9
|
14,29
|
20,51
|
6,22
|
|
Краткосрочные
финансовые вложения
|
15
|
57
|
42
|
0,02
|
0,07
|
0,05
|
|
Денежные
средства, в том числе:
|
3251
|
3648
|
397
|
4,02
|
4,32
|
0,30
|
|
Баланс
|
80897,8
|
84505,6
|
3607,8
|
100
|
100
|
-
|
Из табл. 6 очевидно то, что сумма баланса
изменилась, если сравнивать с позапрошлым годом. Это изменение составляет
3607,8 тыс. руб. На этом этапе анализа стоит определить, за счет чего произошли
данные изменения.
В целом, отмечается общее увеличение по
большинству статей баланса: разве что некоторые статьи изменились в большей
степени, а другие - в меньшей. Конечно, в основном изменение произошло за счет
увеличения суммы оборотных активов, что с финансовой точки зрения говорит об
усилении мобильности имущества. Рост оборотных средств, в свою очередь,
произошел в результате увеличения налога на добавленную стоимость по
приобретенным ценностям и краткосрочной дебиторской задолженности.
Теперь следует перейти к изучению пассива
баланса. Для этого обратимся к табл.7, которая характеризует структуру и
динамику пассивов предприятия.
Остановимся на более детальном анализе сумм
собственного капитала предприятия, а также заемных средств предприятия. Из
данных Таблицы 7 видно, что изменение в структуре пассива произошли в основном
за счет увеличения собственного капитала предприятия. Это стоит рассматривать
как хороший показатель, который является подтверждением того, что предприятие
развивается довольно - таки стабильно. Проведя анализ кредиторской
задолженности, стоит иметь в виду, что снижение данной статьи на 3373 тыс. руб.
произошло за счет уменьшения задолженности по налогам и сборам, а также перед
поставщиками и подрядчиками.
Таблица 7. Структура и динамика пассива баланса
|
Пассив
баланса
|
Сумма,
тыс. руб.
|
Структура,
%
|
|
Начало
года
|
Конец
года
|
∆
|
Начало
года
|
Конец
года
|
∆
|
|
Капитал
и резервы
|
54404
|
55658
|
12849
|
0,67
|
0,69
|
0,02
|
|
Уставной
капитал
|
988
|
988
|
0
|
0,01
|
0,01
|
0,00
|
|
Добавочный
капитал
|
42986
|
42489
|
-497
|
0,53
|
0,53
|
-0,01
|
|
Резервный
капитал
|
149
|
149
|
0
|
0,00
|
0,00
|
0,00
|
|
Фонды
накопления
|
3904
|
3904
|
0
|
0,05
|
0,05
|
0,00
|
|
Нераспределенная
прибыль (непокрытый убыток) прошлых лет
|
6378
|
0
|
-6378
|
0,08
|
0,00
|
-0,08
|
|
Нераспределенная
прибыль (непокрытый убыток) отчетного года
|
0
|
8128,8
|
8128,8
|
0,00
|
0,10
|
0,10
|
|
Краткосрочные
обязательства
|
26494
|
28848
|
2354
|
0,33
|
0,36
|
0,03
|
|
Займы
и кредиты
|
205
|
7500
|
7295
|
0,00
|
0,09
|
0,09
|
|
Кредиторская
задолженность
|
16527
|
13154
|
-3373
|
0,20
|
0,16
|
-0,04
|
|
Прочие
краткосрочные обязательства
|
9762
|
8194
|
-1568
|
0,12
|
0,10
|
-0,02
|
|
Баланс
|
80897,8
|
84505,6
|
3607,8
|
100
|
100
|
-
|
|
|
|
|
|
|
|
|
Таким образом, анализ баланса ООО
"Сладкоежка" позволяет сделать вывод о том, что все произошедшие
изменения можно в той или иной мере рассматривать с положительной динамикой.
.2 Особенности маркетинговой деятельности ООО
"Сладкоежка"
Рынок тортов в Новосибирске уникален отсутствием
на нём рекламной активности.. Если в целом по России затраты на рекламу тортов
составляют 8% рекламного рынка всей кондитерки (включая жвачку и мороженое), то
в столице Сибири этот показатель не составляет и 1%.[31] Слабо используется
даже такой вид рекламных носителей, как фирменная упаковка. Несмотря на то, что
практически вся продукция рынка в городе брэндирована, потребитель в
большинстве своём ориентируется на производителя, конкретного кондитера (ведь
вкус торта - целиком заслуга кондитера), а не на конкретный брэнд.
В общем можно сделать вывод, что сегодня на
рынке, скорее, выигрывает не тот, кто предложил хорошее ценовое решение, а тот,
кто предложил хорошее вкусовое решение и оригинальную технологию.
Не менее важной является кадровая проблема для
производителей Новосибирска. Технологи и оформители переходят из одних
предприятий в другие из-зе большей заработной платы. При этом зачастую вместе с
новым кондитером компания получает не только мастера, но и секреты, принципы
технологии и удачные рецепты «покинутого» предприятия.
Вкус торта - целиком заслуга кондитера. Торт
«ощущает» его руку и зависит даже от настроения, в котором кондитер пришёл
сегодня на работу. Торты - продукт очень чуткий. Поэтому хороший технолог -
залог успеха кондитерского предприятия.
Каждая компания создает свою стратегию
размещения. Основное производство тортов ориентировано на продажу через магазины.
Самый привлекательный вариант - заключить
договор с крупной сетью. Многие производители сталкиваются с невозможностью
наладить здоровые финансовые отношения с известными крупными сетями. Поэтому в
таких сетях представлены в основном крупные предприятия, такие как
«Конквест-Фуд», «Дюжина».
Существуют проблемы в отношении магазинов к
производителям. Часто бывает трудно получить информацию у товароведов о заказах
и остатках. Кондитеры вынуждены самостоятельно контролировать соблюдение
торговцами требований по размещению продукции. Разумеется, что все это требует
существенных вложений. Как альтернатива «магазинной» продаже производители
открывают собственные фирменные магазины и кондитерские. Это затратный путь
размещения продукции, но он является наилучшим для мелких производителей.
В условиях жесткой конкуренции производства
серийных тортов, распространяемых через магазины, хорошие перспективы есть у
специализированных кондитерских. Эта сфера рынка пока еще свободна. По словам
игроков рынка, открытие кондитерской позволяет продавать в несколько раз больше
тортов, чем любой супермаркет. При этом она сохраняет приличную рентабельность
даже при высокой арендной плате.
Также кондитерская, не принося особых прибылей,
способна стать источником постоянного сбыта, “показательной площадкой” для
будущих партнеров-ретейлеров и главное - своеобразной “исследовательской
лабораторией”, позволяющей узнать впечатления от новинок тут же, “из первых
рук”[12].
Еще пять лет назад приготовление тортов и
пирожных было для новосибирских предпринимателей высокорентабельным: простота
организации дела и минимальные стартовые вложения сделали кондитерскую тему
одной из самых актуальных в сфере малого бизнеса. Небольшой цех, недорогое
оборудование, два-три профессиональных кондитера и около 10 помощников
позволяли развернуть небольшое производство.
Но затем на рынок пришли игроки другой весовой
категории. Первой попыткой создать на кондитерском рынке полноценный брэнд
предприняла группа компаний «Аллегро», развернув производство тортов под маркой
«Парад-Алле». Но дальнейшего развития проект не получил, и сегодня эта марка
фактически исчезла с рынка.
Затем получили свое развитие проекты ресторанных
компаний холдинга New York Pizza («Кафелла») и группы компаний «Конквест»
(«Эстье»). Причина, побудившая эти компании заняться производством кондитерских
изделий, очевидна - их рестораны и кафе нуждались в оригинальных тортах и
пирожных, и для решения этой задачи проще всего было создать собственное
производство. Самые известные торты на рынке Новосибирска производят
кондитерские предприятия «Сладость Сибири», «Сибирячка», «Восход», «Золотой
трюфель», «Дюжина», «Наслаждение», «Эстье», «Мон Шер» и др Лидерскую группу в
кондитерском деле сегодня выделить трудно - на полках крупнейших сетевых магазинов
города ежедневно присутствует продукция как минимум 3-6 производителей.
Рынок имеет свои перспективы. Они основываются
на предложении потребителям нового, выделяющегося продукта, разработке новых
маркетинговых программ, стимулировании быта всеми возможными способами (скидки,
рекламное сопровождение, упаковка и т.д.), использования новых оригинальных
ходов.
Все компании, занимающиеся производством тортов
можно разделить на несколько групп, причем каждая из них занимает различаемую
потребителями позицию, которая отличает эту группу от других. Кроме того,
каждая группа имеет отличительные подходы в производстве, в работе с
покупателями, со сбытом продукции и пр (табл.8).
Таблица 8. Анализ групп производителей
|
Группа
|
Кач-во
(max 10 балов)
|
Вид
труда
|
Пути
сбыта
|
доля
|
Компании
|
|
1
|
4
|
Механизированный
труд, конвейер
|
Магазинные
сети
|
20%
|
«Сибирячка»
«Сладкоежка» …
|
|
2
|
производители,
ориентирующиеся на средний ценовой сегмент и выпускающие торты класса премиум
по заказам, не имеют строгой линейки продукции такого типа
|
6
|
Механизированный
труд, большое производство, небольшая доля ручного труда, крупные предприятия
|
Магазинные
сети, работа с заказами, кондитерские
|
37%
|
«Сладость
Сибири» «Восход» «Золотой трюфель» …
|
|
3
|
производители,
ориентирующиеся на средний и высокий (премиум) ценовой сегменты, имеют
продуктовые линейки по обоим направлениям
|
9
|
Механизированный
труд, ручной труда, крупные предприятия
|
Фирменные
магазины, магазинные сети, работа с заказами
|
26%
|
«Эстье»
«Дюжина» «Наслаждение» …
|
|
4
|
производители,
ориентирующиеся на производство тортов класса премиум
|
10
|
Ручной
труд, эксклюзивное производство, малые предприятия
|
Фирменные
магазины, работа с заказами, кондитерские
|
17%
|
«Мастер
класс шоколад» «Баттерфляй» …
|
Данные табличного анализа можно сгруппировать по
следующую диаграмму (рис.3).
Рис.3. Группировка компаний, занимающихся
производством тортов
Построим карту стратегических групп конкурентов
на рынке тортов г. Новосибирска, в качестве характеристик мы выбрали долю,
занимаемую компанией, и качество.
Рис. 4. Позиционная карта стратегических групп
конкурентов на рынке тортов
Как мы можем видеть из позиционной карты,
компании, которые специализируются на тортах класса премиум и компании, имеющие
продуктовые линейки в среднем ценовом сегменте и в сегменте тортов класса
премиум, выделяются из общего числа. Сильную конкуренцию можем наблюдать в
группе 3, которая хоть и занимается премиальным сектором, все равно основной
упор делает на средний ценовой сегмент.
Таким образом, компании следует обратить
внимание на сегмент премиум (группа 4). Из карты мы видим, что компании группы
3 и 4 имеют свои точки соприкосновения.
Многие предприятия используют систему заказных
тортов. Она базируется на имеющихся стандартах. Это значит, что клиент может
выбирать вкус, вес и оформление в рамках освоенной предприятием технологии. В
основном торты на заказ представляют собой изыскание продукты класса премиум.
В Новосибирске, как впрочем и в других городах
России, торты заказывают по традиционным поводам - свадьба, юбилей, день
рождения (чаще детский), корпоративные мероприятия (дни рождения компаний или
их руководителей).
За границей поводов для «тематических» тортов
больше - там любят выпекать сладкие поздравления по случаю ожидания младенца,
ко дню поступления в колледж и его окончания, в честь помолвки, выхода на
пенсию, а также праздников вроде Хэллоуина или Дня Благодарения.
На основе проанализированной информации, можем
провести PEST-анализ.
Таблица 9. PEST-анализ
российского рынка тортов
|
Political: § изменение
законодательства в отношении импортного сырья § различные
проверяющие органами, а также различными службами (пожарная служба, ЖЭУ,
санэпидемстанция и пр.) § необходимость и
трудность проведения сертификации производства § нестабильность
налоговой системы § слабая политика поддержки
малого бизнеса
|
Economic: § повышение
цен на бензин (удорожание доставки сырья и готовой продукции) § скачки
цен на сырье (сезонные; на импортную продукцию) § рост
пошлин на иностранное оборудование и сырье § рост
цен на упаковочные материалы, энергоносители, рост транспортных расходов. § ставка
рефинансирования. в данный момент мы наблюдаем ее снижение, а значит кредиты
становятся доступнее
|
|
Social: § изменение
предпочтений потребителей: склонность к натуральным, полезным продуктам, рост
интереса к премиальному сектору § изменение самого
отношения потребителей к продукту не только как к атрибуту праздника. § развивается
культура посещения кафе, в т.ч. и кафе-кондитерских не только в праздничные
дни §
увеличение
числа пользователей Интернет, развивается культура пользования электронных
брошюр, заказы через онлайн-магазины § рост спроса на
продукцию HoReCa
|
Technological: § широкое
распространение получают европейские технологии § новые
виды техник (например - фотопечать, пластовый торт) является для многих
ключевым фактором успеха § появление новых
вкусов, рецептов § постоянный обмен опытом на
конференциях всероссийского масштаба § развитие
Интернет-технологий
|
Выделив наиболее важные факторы, мы можем
отметить, что наиболее негативное влияние оказывают экономические факторы -
здесь компания может столкнуться с рядом проблем, которые могут очень серьезно
повлиять на дальнейшее развитие бизнеса. Наиболее благоприятными являются
технологический и социальный факторы - положительное развитие этих сфер отрасль
делает привлекательной для различного рода предпринимателей и компаний, в том
числе и для малого предприятия. Упор на развитие этих сфер позволит компании
уменьшить влияние экономических факторов.
.3 Особенности потребительского рынка ООО
"Сладкоежка"
Как и было уже отмечено ранее, российский рынок
кондитерских изделий развивается довольно динамично в последние несколько лет,
радуя покупателей богатым ассортиментом. Но потребительский рынок также не
заставляет себя долго ждать, выражаясь в заметном росте объемов потребления
кондитерских изделий.
С 2008 по 2011 год фондом "Социум"
проводились исследования потребления различных продовольственных товаров, в том
числе рассматривался сегмент тортов и пирожных. Опросы проводились в населенных
пунктах нашей страны методом личного стандартизированного интервью по месту
жительства на базе маршрутной выборки с квотированием по полу и возрасту. В
опросе принимали участие не только жители европейской части России, но и
Сибири. Именно эту часть опроса мы и возьмем под более пристальное рассмотрение
[23].
Согласно результатам опроса, сегодня каждая
третья семья в среднем по 3 - 4 раза в месяц покупает торты, пирожные, печенье
и другие мучные кондитерские изделия. Что же касается потребления таких видов
кондитерских изделий, как торты и пирожные, то за исследуемый период - с ноября
2008 года по март 2011-го - рост потребления этой продукции в Новосибирской
области составил почти 6%.
Рис. 4. Динамика потребления тортов
и пирожных
Согласно результатам опроса, один
раз в неделю и чаще торты и пирожные приобретают примерно в 20% домохозяйств
(рис.4).
В среднем 2-3 раза в месяц эту
продукцию покупают около 12% респондентов. В то же время наиболее
распространенной частотой покупки является один раз в 2-3 месяца и реже - так
ответили примерно 50% опрошенных.
Наиболее активными потребителями
тортов и пирожных являются семьи, имеющие несовершеннолетних детей, а также
незамужние женщины. Доля этого наиболее привлекательного сегмента
потребительского рынка Новосибирской области составляет от 18 до 22%, или от
322,4 до 376,9 домохозяйств. Остальная доля приходится на менее активных
потребителей, среди которых чаще встречаются пожилые люди, семьи со взрослыми
детьми и холостые мужчины. В процессе исследования также выяснялись основные
причины покупки тортов и пирожных. Согласно результатам опроса, более трети
активных потребителей чаще всего покупают торты и пирожные на семейные
праздники, для того чтобы порадовать детей или для воскресного семейного обеда
- 46,6% респондентов.
Таблица 10. Частота покупок тортов и
пирожных, 2010 г.
|
Частота
|
Процент
от числа опрошенных
|
|
1
раз в неделю и чаще
|
20
|
|
2
- 3 раза в месяц
|
12
|
|
1
раз в месяц
|
18
|
|
1
раз в 2 - 3 месяца
|
50
|
Довольно типичными являются ситуации, когда торт
или пирожные покупаются, потому что "просто хочется сладкого" или для
приема гостей - так ответили соответственно 26,5 и 17,5% опрошенных. К числу
менее распространенных причин покупки тортов и пирожных, упоминаемых жителями
области, можно отнести праздники и чаепития на работе с коллегами, а также
посещение кафе/кофеен/ресторанов - соответственно 8,3 и 1,1.
Характерно, что активные покупатели тортов и
пирожных по - разному выбирают сладости в зависимости от предполагаемой
ситуации потребления. Так, если кондитерские изделия приобретаются для
семейного праздника или воскресного домашнего обеда, наибольшее значение имеет
цена и внешний вид продукции - соответственно 46,4 и 40,5% ответов. Это
объясняется в том числе тем, что для семейного праздника торты чаще всего
приобретают представители больших семей - от 4 человек и более - с невысоким
доходом. Чаще всего в этой ситуации покупатели останавливают свой выбор на
бисквитных тортах и пирожных классической высокой калорийности.
Совсем иначе осуществляется выбор торта или
пирожных, если это спонтанная покупка, стремление доставить себе удовольствие.
Выбор кондитерского изделия в этой ситуации осуществляется в основном с учетом
состава продукта - так ответили 77,3% опрошенных. Также значимы такие критерии,
как калорийность и размер/вес кондитерского изделия - соответственно 26,1 и 19%
респондентов. Чаще покупаются небольшие торты и пирожные традиционной
калорийности, либо низкокалорийные кондитерские изделия. Меньше всего в такой
ситуации потребления принимается во внимание ценовой фактор покупки - так
ответили всего лишь 7% опрошенных. Данная ситуация потребления в большей степени
характерна для молодых несемейных покупателей с относительно высоким доходом,
для которых еще не слишком актуальна "внутренняя борьба" за здоровый
образ жизни. Такие потребители, как правило, останавливают свой выбор на
небольших, внешне привлекательных и относительно дорогих тортах.
3. Программа и результаты маркетингового
исследования потребительского рынка ООО "Сладкоежка"
.1 Программа маркетингового исследования
потребительского рынка кондитерских изделий
Программа маркетингового исследования - это
структурированный документ, который описывает проблемную ситуацию и процедуры
ее изучения. Разработка программы является первым этапом проведения
маркетингового исследования .
Программа маркетингового исследования включает в
себя:
1. Определение проблемы.
2. Постановка целей
исследования.
. Формирование рабочей
гипотезы исследования и программных вопросов.
. Определение системы
показателей.
. Разработка рабочего
инструментария.
. Определение этапов и
сроков проведения маркетингового исследования
Определение проблемы. Замысел маркетингового
исследования представляет собой общую постановку целей, задач и определение
возможных путей и средств разрешения возникшей проблемы. Проблема
рассматривается как некоторая противоречивая ситуация, как сложный вопрос,
требующий своего решения. Важной предпосылкой успешного решения проблемы служит
ее правильная постановка. Чаще всего на практике за проблему маркетингового
исследования принимаются видимые симптомы в сфере хозяйственной деятельности
предприятия:
· уменьшение прибыли;
· снижение реализации
продукции предприятия;
· сокращение
занимаемой доли рынка;
· увеличение товарных
запасов и др.
Постановка целей исследования
Цель - это образ желаемого
результата. Применительно к маркетинговым исследованиям, целью чаще всего
является принятие соответствующих обоснованных маркетинговых решений, которые
будут способствовать достижению тактических и стратегических целей компании.
Таким образом, при
формулировании целей маркетингового исследования необходимо получить следующую
иерархию:
1. цели предприятия,
вытекающие из необходимости выхода из сложившейся хозяйственной ситуации
(например, увеличение прибыли для дальнейшего роста, освоение новой продукции,
укрепление конкурентных позиций и др.);
2. цели маркетинга,
определяющие пути такого выхода (например, выпуск модернизированной продукции и
увеличение ее реализации на уже освоенном предприятием или новом рынке);
. цели маркетингового
исследования, преследующие возможность получения необходимых данных для
обоснования принятия решений (например, как воспримет целевой рынок новую
продукцию).
Подробнее о целеполагании.
Формирование рабочей гипотезы исследования и программных вопросов. Рабочая
гипотеза маркетингового исследования представляет собой вероятностное
предположение относительно сущности и возможных путей решения сложившейся
хозяйственной проблемы. Это также своего рода алгоритм решения выявленных для
исследования проблем. Рабочая гипотеза устанавливает рамки и основные
направления маркетингового исследования.
На практике часто используется
метод исключения. При таком подходе вначале формулируются все возможные причины
явления и пути их решения. Затем из их числа выбираются наиболее вероятные. Те
из гипотез, которые были пропущены на начальной стадии анализа, выпадают из рассмотрения.
Поэтому необходимо достаточно точно формулировать все начальные гипотезы.
Рабочая гипотеза должна
обеспечивать:
· предсказуемость (гипотеза
должна не только объяснять проблему, но и служить основой для ее решения);
· достоверность
(гипотеза должна быть непосредственно связана с проблемами, вытекать из их
сущности);
· возможность
проверки (на эмпирическом материале);
· возможность
формализации (осуществление количественных оценок с использованием
статистических и экономико-математических методов).
Рабочая гипотеза дает возможность определить
систему показателей, необходимых для данного маркетингового исследования.
На основании выбранных гипотез формируются
программные вопросы исследования. Программные вопросы должны быть
сформулированы таким образом, чтобы ответы на них однозначно подтверждали или
опровергали сформулированные изначально гипотезы.
Определение системы показателей. Показатели
служат для измерения или сравнения отдельных характеристик объектов
исследования. В качестве показателей сравнения объектов обычно используются
пространственные, временные, физические, физиологические, социологические,
психологические и другие свойства и характеристики. Введение конкретных
показателей сравнения позволяет достоверно установить соотношения исследуемых
характеристик между объектами - например, «больше», «меньше», «равны», «хуже»,
«предпочтительнее» и т.д.
Показатели могут быть абсолютными или
относительными. Одновременно с введением для каждого показателя необходимо
четко определить методику его измерения. В зависимости от того, какие
показатели и каким образом необходимо измерить, определяется рабочий
инструментарий будущего исследования.
Разработка рабочего инструментария. Рабочий
инструментарий представляет собой целенаправленный набор приемов и методов для
проверки рабочих гипотез маркетингового исследования. Формирование рабочего
инструментария включает определение:
· методов и процедур получения
первичной и вторичной информации (публикуемая статистика, внутренняя
информация, выборочные исследования и др.);
· методов и средств
обработки полученных данных (экономико-статистических и
экономико-математических);
· методов анализа и
обобщения материалов по проверке рабочих гипотез (моделирование, исследование
операции и т.п.).
.2 Результаты маркетингового исследования
потребительского рынка кондитерских изделий (выводы и рекомендации)
По результатам проведенных исследований рынка
тортов и его потребителей мы можем сформировать рекомендации по стратегическому
развитию:
) так как предприятие ООО "Сладкоежка"
на сегодняшний день находится на стадии зрелости, уровень продаж весьма
стабилен, то первым и весьма очевидным вариантом является продажа кондитерской,
которая в состоянии продолжать развитие, которое и было задано еще в 2007 году,
с акцентом на свадебные торты, снабжая розничные точки г. Новосибирска и близ
лежащих городов;
) при анализе конкурентов нами были выявлена
стратегическая группа конкурентов - показатели конкурентоспособности очень
близки: это значит, что при формировании стратегии дальнейшего развития разумно
смотреть на компании, компании из этой группы. У всех конкурентов на
сегодняшний день нет собственной розничной точки, поэтому именно эту
составляющую мы и возьмем за основу второй стратегии - открытие розничного
магазина. Материальные возможности предприятия в данный момент времени
позволяют профинансировать данный вариант развития. К тому же, таким образом
ООО «Сладкоежка» приближается по сбытовому принципу к предприятиям из 3 - ей
стратегической группы. Прежние каналы распределения представлены на рис.5:
Рис. 5. Существующие каналы распределения
Соответственно, после открытия собственной
розничной точки, каналы распределения будут представлено несколько иным образом
(рис.6).
Не удивительно, что новое звено в каналах
распределениях поменяет и доли распределения потенциальной выручки. По оценкам
руководства предприятия внедрение собственной розничной точки сможет
задействовать до 20 - 30% оборота. Важным мероприятием для претворения в жизнь
этого варианта является поиск помещения, которое бы подошло для потенциальной
розничной точки. Его можно будет выкупить, но лучше на первое время снять.
Рис. 6. Планируемые каналы распределения
Идеальное место для расположения любого
магазина, место как можно большей проходимости людей - возле станций метро (к
примеру, станция Красный Проспект, если предполагается размещение на Правом
берегу, и Студенческая - Левый берег). Не исключено, что лучшие такие площади
уже заняты, но поиски ни в коей мере останавливать нельзя. Подыскивая же
компромиссное решение, важно не удаляться далеко от крупных транспортных
магистралей и жилых микрорайонов.
При оформлении помещения магазина стоит помнить,
что тематика - продажа тортов - должна быть ясно видна как в вывеске названия,
так и внутри помещения. К примеру, оформление помещения может быть представлено
по видам - свадебные торты, детские торты и т.д. Так как ранее предприятие
«Сладкоежка» не имело своей розничной точки, оно должно закупать и полный
комплект торгового оборудования. Также не стоит забывать и о необходимом
персонале, который будет обслуживать будущий магазин. Штат сотрудников магазина
в зависимости от его формата может быть минимальным, а может быть и
внушительным.
Собрав документы, необходимые для открытия и
функционирования магазина, предприятии обязано пройти все требующиеся
формальные процедуры. «Добро» должны дать санэпидстанция, пожарная охрана,
налоговая инспекция и, наконец, госадминистрация (отдел торговли). Плюсом практически
для любого магазина будет наличие охраняемой автостоянки - ее расположение
нужно предварительно согласовать с сотрудниками ГАИ. Правда, это допущение
является не первоочередным, хотя весьма желаемым, потому как многие потребители
могут сделать значительный акцент на условия подъезда к самому магазина.
3) У рассматриваемого нами предприятия есть
возможность перейти на новый уровень взаимодействия с потребителями - перейти в
сферу услуг и открыть кафе - кондитерскую. В данном контексте, компания полностью
вырывается из "привычного окружения" - начинает конкурировать с
такими игроками, которые даже не были нами рассмотрены в силу несоответствия с
изначальной производственной установкой. Теперь ведущими конкурентами могут
стать Кузина, Синнабон и даже ряд кофеен, которые также производят пирожные
премиум - класса. Данный вариант берется во внимание руководством предприятия,
но не столь охотно, как первые две альтернативы, так как предполагает
совершенно новое развитие бизнеса. Хотя, конечно, открытие кафе - кондитерской
дает возможность лучше изучить потребительские предпочтения, так как происходит
каждодневный контакт с непосредственными потребителями. Стоит, конечно же,
отметить, что кафе - кондитерская - бизнес, который не требует больших
вложений, достаточно быстро для сферы общепита окупается и просто в управлении.
Сегодня на рынке существует два вида кафе:
стационарные и расположенные в обеденных зонах (фуд - кортах) торгово -
развлекательных центров.
Второй формат - кафе в торговых центрах имеет
ряд преимуществ. Во - первых, Новосибирск активно застраивается все новыми и
новыми торговыми центрами. Во - вторых, аренда места там обходится несколько
дешевле, чем аналогичная площадь в обычных зданиях в оживленных равноценных
частях города. В - третьих, в торговых центрах десертные торты пользуется
популярностью круглый год. И наконец, кафе - кондитерская в торговом центре не
требует больших вложений в рекламу. Если торговый центр известен и популярен,
то клиенты идут сами.
Чтобы клиенты были довольны, заказы в кафе
должны выполняться очень быстро. Поэтому техника обслуживания должна быть
отточена до предела. Для этого менеджеры буквально расписывают по пунктам, как
персонал должен встречать гостей, выяснять предпочтения, выдавать заказ и
принимать оплату.
Стационарные кафе - кондитерские, чтобы
обеспечить поток клиентов, должны располагаться в многолюдном месте - недалеко
от метро, в центральной части города или в деловых кварталах, где много офисов,
а еще лучше - образовательных учреждений. В идеале стационарное кафе -
кондитерскую должны посещать от 300 потребителей в день. Но удачное
месторасположение - это не единственное условие успеха. Чтобы привлечь больше
клиентов и отбить дорогую аренду, владельцам кафе приходится улучшать
ассортимент и качество обслуживания. И здесь возникает необходимость расширения
сферы предлагаемых услуг - кафе следует предлагать не только торты и пирожное,
но и, вполне вероятно, закуски, горячие блюда, спиртные напитки и соки. А это
весьма не маловажный аспект при учете специализации предприятия. Не ухудшится
ли качество продукции из - за своеобразного «распыления деятельности».
Опыт успешных кафе показывает, что продажа
напитков в их товарообороте занимает 10 -15%. А наличие в меню салатов и других
блюд увеличивает выручку на 35 - 40%. Среди новых кафе, открываемых в последнее
время, стал популярен совмещенный формат: «кондитерская и мороженое» или
«кондитерская и кофейня». Такие кафе, конечно же, удачно дополняют свой
ассортимент кондитерскими изделиями собственного производства, что и не
маловажно для рассматриваемого нами предприятия. Это расширяет возможности
кафе. Минимальный ассортимент - не менее 10-15 сортов. На сегодняшний момент,
согласно исследованию, проведенному во второй главе, ассортимент предприятия
«Сладкоежка» представлен лишь в 9 категориях. А это значит, что для
осуществления данной альтернативы необходимо расширить ассортимент производимой
продукции. Ведь в действительно хороших кафе, сортов, или же видов тортов,
намного больше. Чтобы один и тот же торт не приедался, ассортиментную линейку
нужно регулярно обновлять. Для этого можно проводить опросы клиентов и на их
основе вносить корректировки в уже существующие рецептуры и создавать новые.
Для продвижения нового сорта можно устраивать в своих кафе промоушн - акцию.
Название сорта также имеет важное значение. Оно должно быть загадочным и
образным, чтобы привлечь внимание потребителя.
Заключение
В начале работы над данной курсовой работой были
поставлена цель и определены задачи, которые предопределили структуру работы.
Первая глава была посвящена анализу
теоретических особенностей сегментации рынка по различным объектам сегментации.
Уделено особое вниманию изучению вопроса того сегментирования рынка по
потребителям. Проанализированы особенности сегментации рынка по данному типу.
Анализ рынка тортов города Новосибирска был
проведен во второй части курсовой. В результате мы выяснили, что кондитерский
рынок Новосибирска является весьма перспективным. Особенности новосибирского
рынка тортов особенно проявляются в таких моментах как реклама (наличие
«сарафанного радио», отсутствие рекламы по телевидению, радио и пр.), кадры
(самый ценный ресурс кондитерской компании), размещение (трудности в
налаживании отношений с сетями, специфика размещения через кафе-кондитерские).
В третьей главе мы попытались, опираясь на
анализ потребительского рынка тортов, дать рекомендации по дальнейшему развитию
предприятия. В каждой варианте развития мы описали минусы и плюсы каждого вида
бизнеса.
Кондитерский бизнес в последнее время является
весьма распространенным и вполне успешным видом предпринимательской
деятельности. Многие производители считают, что новосибирский рынок тортов
обладает хорошими перспективами, но обрести реальный успех можно лишь при одном
условии: определить все возможные конкурентные факторы успеха, дабы суметь
занять свою определенную нишу.
сегментирование рынок потребитель торт
Список использованных
источников
1. Г.Я.
Гольдштейн Стратегический Менеджмент: учебное пособие Таганрог 2004
2. Журнал
«Партнер кондитер хлебопек», 26/2010
. Маркова
В.Д., Кузнецова С.А. Стратегический Менеджмент: курс лекций. - М.: ИНФРА-М;
Новосибирск: Сибирское соглашение, 2003
. Материалы
VII международной конференции "Торты и Пирожные - 2010", 30 - 31
марта 2011 г. Москва
. Справочная
система 2gis
. СФЕРА:
кондитер, хлебопек № 5( 2) 2006
. Томпсон
А.А., Стрикленд А. Дж. Стратегический менеджмент. Искусство разработки и
реализации стратегии: Учебник для вузов/ Пер. с англ. под ред. Л.Г. Зайцева,
М.И. Соколовой. - М: Банки и биржи, ЮНИТИ, 1998.
. Экономический
атлас Стратегии развития малого бизнеса в кризисный период Москва 2009
9. Газета
«Конитнент Сибирь» <http://com.sibpress.ru/>
. Газета
для малого и среднего бизнеса «Эпиграф» <http://www.epigraph.info>
. Ежеквартальный
отчет ОАО "Приморский кондитер"за 3 квартал 2009
. Журнал
«Продвижение продовольствия. Prod&Prod» <http://www.habeas.ru/>№1(3)
2009. <http://www.habeas.ru/>
. Журнал
"Современный бизнес. Ресторан" (ноябрь 2007 г.)
. Журнал
«Бизнес online» <http://pda.business-magazine.ru>
. Журнал
«Кондитерские изделия. Чай, кофе, какао» http://www.my-ki.ru
. Журнал
«Метро, Новосибирск» http://www.metronsk.ru
. Издательский
дом Бизнес-Пресса «Новосибирский рынок тортов»
<http://www.idbp.ru/index.php?action=page&name=pip_6_2005&PHPSESSID=8dcdd9929ee3429ce3418085574de717>
. Информационно-справочное
издание рынка пищевой промышленности «Food Newsweek»
<http://www.profnavigator.ru/>
. Компания
«Восток-Запад» www.ews.ru <http://www.ews.ru>
. Кондитерский
рынок Новосибирска, <http://www.4p.ru/main/>
. ММЦ
"Калуга" «Российский рынок тортов перспективен для бизнеса»
www.marketcenter.ru <http://www.marketcenter.ru>
. Общероссийский
справочник товаров народного потребления. Компании города Новосибирска
www.tnp.mediam.ru/catalogue.php <http://www.tnp.mediam.ru/catalogue.php>
. Сайт
компании «Kafela» <http://www.kafela.ru/>
. Сайт
компании «Гостиница «Сибирь»»<http://www.hotel-sibir.ru/index.php?id=8>
. Сайт
компании «Сладкая дюжина» <http://www.dujina.ru/>
. Сайт
компании «Фототорт» <http://www.fototort.ru/index.php?page=about>
. Сайт
компании «Эстье»<http://www.estie.ru/index.htm>
. Справочник:
Все рестораны Новосибирска <http://www.sibrestoran.ru/restaurants/coffee>