Жидкие экстракты

  • Вид работы:
    Курсовая работа (т)
  • Предмет:
    Медицина, физкультура, здравоохранение
  • Язык:
    Русский
    ,
    Формат файла:
    MS Word
    1,61 Мб
  • Опубликовано:
    2014-07-25
Вы можете узнать стоимость помощи в написании студенческой работы.
Помощь в написании работы, которую точно примут!

Жидкие экстракты

ГБОУ ВПО

«Рязанский государственный медицинский университет им. ак. И. П. Павлова»

Минздрава России









Кафедра фармацевтической технологии

КУРСОВАЯ РАБОТА ПО ФАРМАЦЕВТИЧЕСКОЙ ТЕХНОЛОГИИ НА ТЕМУ:

«ЖИДКИЕ ЭКСТРАКТЫ»


Выполнил: студентка 5к. 2гр.

Фармацевтического факультета

Комиссарова М.А.



Рязань 2014 год

План

1. Литературный обзор

.1 Характеристика жидких экстрактов как лекарственной формы. Классификация

.2 Общая характеристика процесса экстрагирования. Стадии процесса экстрагирования высушенного лекарственного растительного сырья

.3 Факторы, влияющие на процесс экстрагирования

.4 Технологическая схема получения жидких экстрактов

.5 Методы получения жидких экстрактов, их характеристика

.6 Аппаратура, используемая в процессе получения жидких экстрактов, ее характеристика, принцип работы

.7 Очистка и стандартизация жидких экстрактов, методики определения параметров контроля качества

.8 Хранение жидких экстрактов, их номенклатура

.9 Совершенствование производства и качества жидких экстрактов

. Экспериментальная часть

.1 Номенклатура жидких экстрактов, изготавливаемых на предприятии базе практики, объем их производства

.2 Методы производства жидких экстрактов на данном предприятии

.3 Оборудование, используемое в производстве жидких экстрактов на данном предприятии

.4 Ознакомиться с регламентами производства жидких экстрактов на данном предприятии

Выводы и предложения

Список литературы

1. Литературный обзор

.1 Характеристика жидких экстрактов как лекарственной формы. Классификация

 

Жидкие экстракты - это жидкие концентрированные водно-спиртовые извлечения из ЛРС, получаемые в соотношении 1:1.[1] На фармацевтических предприятиях жидкие экстракты готовят по массе (из 1 кг сырья получают 1 кг жидкого экстракта).

Жидкие экстракты нашли широкое распространение в фармацевтической промышленности, т.к. имеют следующие преимущества:

) одинаковые соотношения между действующими веществами, содержащимися в лекарственном сырье и в готовом препарате;

) удобство в отмеривании в условиях аптек бюретками и пипетками;

) возможность получения без применения выпаривания позволяет получить жидкие экстракты, содержащие летучие вещества (эфирные масла).

К недостаткам жидких экстрактов относятся:

) насыщенность их сопутствующими веществами, извлеченными из растительного сырья;

) появление осадков при незначительных понижениях температуры или частичном испарении спирта;

) необходимость в герметической укупорке и хранении при температуре 15-20°С;

) жидкие экстракты содержат большие объемы экстрагента, ввиду чего являются малотранспортабельными препаратами.

лекарственный экстрагирование растительный

1.2 Общая характеристика процесса экстрагирования. Стадии процесса экстрагирования высушенного лекарственного растительного сырья

Процесс извлечения действующих веществ из сырья очень сложный и состоит из стадий набухания, образования первичного сока внутри клеток и массообмена.

Процесс экстрагирования растительного материала представляет собой не простое растворение составных частей растения. Его необходимо рассматривать как разнообразие физико-химических процессов, проходящих как внутри клетки, так и на ее поверхности. Наряду с процессами растворения происходят явления диффузии, осмоса, адсорбции и др. Для экстрагирования чаще всего применяется высушенный материал, в котором вследствие утраты влаги объем протоплазмы уменьшается, и образованные пустоты в клеточной оболочке заполняются воздухом.

Стадия набухания. В первые моменты соприкосновения с экстрагентом, клетки сухого растительного сырья набухают. Длительность этого процесса зависит преимущественно от гистологического строения растительного материала, от степени его измельченности, а также от природы экстрагента. В результате набухания клеток воздух вытесняется из них экстрагентом, который экстрагирует сначала из внешних, преимущественно разрушенных клеток как растворимые, так и нерастворимые вещества.

Стадия образования первичного сока внутри клеток. Потом экстрагент проникает через нерастворимые оболочки в глубоко размещенные клетки и растворяет вещества, которые содержатся в них, образовывая концентрированный раствор со значительным осмотическим давлением - «первичный сок».

Стадия массообмена. В результате высокой концентрации «первичного сока» внутри клеток создается значительное осмотическое давление, вызывающее диффузионный обмен между содержимым клеток и окружающей их жидкостью с меньшим осмотическим давлением.

Это и является основой процесса экстрагирования, что приводит к разбавлению образованного концентрированного раствора экстрагентом, который находится вне клеток. Этот процесс диффузии и осмоса происходит до того момента, пока не наступит равновесие, то есть концентрация веществ, которые проходят через клеточную оболочку, в клетках и вне их будет одинаковой. При этом происходит молекулярная и конвективная диффузии.

Молекулярная диффузия - это перенос распределяемого вещества, осуществляемый за счет хаотического движения молекул и зависящий от запаса кинетической энергии частиц (молекул).

Скорость молекулярной диффузии зависит от температуры извлечения (при ее увеличении возрастает скорость движения молекул), величины поверхности, разделяющей вещества, толщины слоя, через который проходит диффузия. Наконец, перемещение вещества требует определенного времени (чем дольше диффузия, тем большее количество вещества переходит из одной среды в другую).

Этот процесс можно выразить уравнением Фика-Щукарева:

DS/dτ=-DF*dc/dx (1)

DS/dτ - скорость диффузионного процесса, м2•с-1;- коэффициент молекулярной диффузии, м2/с;- площадь диффузного обмена (суммарная площадь измельченного растительного сырья),м2;/dx - градиент концентрации (изменение концентрации вещества на расстоянии dx), (-) - диффузионный процесс направлен в сторону уменьшения концентрации.

Формула приведена для диффузии, протекающей в одном направлении.

В 1905 г. А. Энштейн вывел зависимость коэффициента диффузии от времени.

Конвективная диффузия - это перенос вещества в результате причин, вызывающих перемещение жидкости: сотрясение, изменение температуры, перемешивание.

DS/dτ=-βF*dc/dx (2)

где: β - коэффициент конвективной диффузии.

Он показывает, какое количество вещества передается через 1 м

Поверхности фазового контакта в воспринимающую среду в течение 1 с при разности концентрации между слоями, равной единице.

Конвективная диффузия может быть естественной и принудительной.

Естественная ( свободная) происходит за счет разности плотностей экстрагента и раствора, изменения температуры, гидростатического столба жидкости. Принудительная возникает при перемешивании мешалками, насосами, вибрацией. Коэффициент конвективной диффузии определяется опытным путем и зависит от гидродинамических условий проведения процесса, а ее скорость в  раз выше молекулярной. Конвективная диффузия представляет большой практический интерес, так как способствует интенсификации процесса массообмена.

С целью повышения эффективности процесса извлечения необходимо поддерживать максимально возможным перепад концентрации веществ внутри и вне растительного материала путем подачи более «свежих» порций экстрагента до наступления состояния равновесия.

Это достигается перемешиванием смеси Таким образом, извлечение складывается из следующих основных процессов: диффузии, десорбции, растворения, диализа и вымывания, которые происходят самопроизвольно и одновременно.[2]

1.3 Факторы, влияющие на процесс экстрагирования

Гидродинамические условия. Коэффициент массопередачи К определяется из уравнения (2), включает коэффициенты всех видов диффузии и может изменяться в зависимости от гидродинамических условий процесса. Так, при отсутствии конвекции, т.е. без перемешивания коэффициент конвективной диффузии β равен нулю, а толщина диффузионного слоя d становится равной толщине всего слоя экстрагента. Следовательно, третья стадия экстрагирования отпадает, а коэффициент массопередачи определяется только внутренней диффузией в сырье Dвн и свободной молекулярной диффузией в неподвижной жидкости, и имеет вид:

                                                                           (2)

Такое явление наблюдается при мацерации (настаивании) без перемешивания. Этот способ экстрагирования самый продолжительный.

В том случае, когда экстрагент перемещается хотя бы с незначительной скоростью, коэффициент массопередачи определяется количественными характеристиками всех трех стадий процесса и имеет вид уравнения (3)


Скорость этого способа экстракции выше, т.к. уменьшается слой неподвижной жидкости, появляются конвекционные токи, способствующие переносу вещества. Такой режим экстрагирования характерен для мацерации сперемешиванием, перколяции, быстротекущей реперколяции, непрерывной противоточной экстракции и др.

И, наконец, при очень интенсивном перемешивании могут отсутствовать вторая и третья стадии диффузионного пути. В этом случае коэффициент конвективной диффузии возрастает до бесконечности, т.е. конвективный массоперенос осуществляется мгновенно и, следовательно, третье слагаемое в знаменателе уравнения (3) отпадает. Вместе с тем становится равной нулю и толщина пограничного диффузионного слоя d , поэтому второе слагаемое в знаменателе уравнения также будет отсутствовать. Коэффициент массопередачи в таких случаях определяется только коэффициентом диффузии в порах растительного материала и имеет вид:

                                                                           (4)

Такой вид зависимости для коэффициента массопередачи справедлив для вихревой экстракции и экстрагировании с применением роторно-пульсационного аппарата.

Второе и третье слагаемые могут отсутствовать, но наличие первого неотделимо от самого существа процесса экстракции из сырья с клеточной структурой.

В последнее время предложено экстрагирование с применением ультразвука, с помощью электрических зарядов с использованием электроплазмолиза и электродиализа. В этих случаях появляется возможность влиять на коэффициент внутренней диффузии Dвн, что позволяет значительно ускорить процесс экстрагирования на самой его медленной стадии.

Поверхность раздела фаз (F), «твердое лекарственное сырье - жидкость» зависит от степени измельчения сырья и будет тем больше, чем меньше его частички. Однако на практике известно, что при чрезмерно тонком измельчении сырье может слеживаться, а при содержании слизистых веществ - ослизняться, в результате чего через такие массы экстрагент будет проходить очень плохо. При слишком тонком измельчении резко увеличивается количество разорванных клеток, что приводит к вымыванию сопутствующих веществ, загрязняющих вытяжку (белки, слизи, пектины и др. высокомолекулярные соединения). Кроме того, в экстрагент переходит большое количество взвешенных частиц. В результате вытяжки получаются мутные, трудноосветляемые и плохо фильтруемые. Отсюда следует, что крупное сырье следует измельчать до оптимальных размеров: листья, цветы, травы до 3-5 мм; стебли, корни, кору до 1-3 мм, плоды и семена до 0,3-0,5 мм. При этом в исходном материале будет сохраняться клеточная структура, будут преобладать диффузионные процессы, экстрагирование замедлится, но полученная вытяжка будет содержать меньше механических примесей и будет легче очищаться.

Разность концентраций в сырье С1 и экстрагенте С4 является движущей силой процесса экстракции. Во время экстракции необходимо стремиться к максимальному перепаду концентраций, что достигается более частой сменой экстрагента (ремацерация вместо мацерации), проведением противоточного процесса и др.

Время (продолжительность) экстрагирования. Из основного уравнения массопередачи следует, что количество вещества, пpодиффундиpовавшего через некоторый слой, прямо пропорционально времени экстракции. Однако нужно стремиться к максимальной полноте извлечения в кратчайший срок, максимально использовав все прочие факторы, ведущие к интенсификации процесса.

Время (продолжительность) экстрагирования. Из основного уравнения массопередачи следует, что количество вещества, пpодиффундиpовавшего через некоторый слой, прямо пропорционально времени экстракции. Однако нужно стремиться к максимальной полноте извлечения в кратчайший срок, максимально использовав все прочие факторы, ведущие к интенсификации процесса.

Чрезмерная продолжительность извлечения приводит к загрязнению вытяжек сопутствующими высокомолекулярными соединениями, скорость диффузии которых значительно меньше, чем у биологически активных веществ. При длительном экстрагировании могут протекать нежелательные процессы под влиянием ферментов. Общая продолжительность экстракциизачастую определяется экономическими соображениями. При этом бывает целесообразно прекратить процесс в какой-то момент, учитывая, что дополнительно извлеченные количества веществ не окупят избыточных расходов и увеличивающихся при этом потерь ценных экстрагентов (спирт, эфир)

Вязкость экстрагента. По закону Фика, количество растворенного вещества, пpодиффундиpовавшего через некоторый слой экстрагента, обратно пропорционально вязкости этого экстрагента при данной температуре. Следовательно, менее вязкие растворы обладают большей диффузионной способностью. Для уменьшения вязкости при экстрагировании растительными маслами используют подогрев.

Перспективными в этом отношении являются используемые в последнее время сжиженные газы - углерода диоксид (СО2), пропан, бутан, жидкий аммиак и др. Наиболее часто используют сжиженный углерода диоксид, который химически индифферентен к большому числу действующих веществ. Его вязкость в 14 раз меньше вязкости воды и в 5 раз меньшевязкости этанола. Сжиженный углерода диоксид хорошо извлекает эфирные масла и другие гидрофобные вещества. Гидрофильные вещества хорошо экстрагируются сжиженными газами с высокой диэлектрической проницаемостью (аммиак, метил хлористый, метиленоксид и др.).

Температура. Как видно из фоpмулы (5),

,                                                   (5)

повышение температуры ускоряет процесс экстрагирования, но в условиях фитохимических производств подогрев используют только для водных извлечений. Спиртовая и тем более эфирная экстракция проводится при комнатной (или более низкой) температуре, поскольку с ее повышением увеличиваются потери экстрагентов, а следовательно, вредность и опасность работы с ними.

Как было указано выше, при экстрагировании растительными маслами используют подогрев. Но для термолабильных веществ применение горячего экстрагента допустимо лишь в течение коротких отрезков времени. Повышение температуры экстрагента нежелательно для эфиромасличного сырья, поскольку при нагревании эфирные масла в значительной степени теряются. Необходимо учитывать, что при использовании горячей воды происходит клейстеризация крахмала, пептизация веществ; вытяжки в этом случае становятся слизистыми и дальнейшая работа с ними значительно затрудняется.

Повышение температуры целесообразно при экстрагировании из корней, корневищ, коры и кожистых листьев. Горячая вода в этом случае способствует лучшему отделению тканей и разрыву клеточных стенок, ускоряя тем самым течение диффузионного процесса.

Добавка поверхностно-активных веществ (ПАВ). Экспериментально установлено, что добавление небольших количеств ПАВ (0,01-0,1%) улучшает процесс экстрагирования. При этом увеличивается количество экстрагируемых веществ - алкалоидов, гликозидов, эфирных масел и др., а в некоторых случаях полнота извлечения достигается при меньшем объемеэкстрагента. Добавки ПАВ снижают поверхностное натяжение на границе раздела фаз, улучшая смачиваемость содержимого клетки и облегчая проникновение экстрагента. Кроме того, существенную роль играет солюбилизирующая способность ПАВ.

Выбор экстрагента. Для обеспечения полноты извлечения действующих веществ и максимальной скорости экстрагирования к экстрагенту предъявляют следующие требования: селективность (избирательная растворимость); химическая и фармацевтическая индифферентность; малая токсичность; невысокая стоимость и др.

Выбор экстрагента определяется степенью гидрофильности извлекаемых веществ. Для экстрагирования полярных веществ с высоким значением диэлектрической постоянной используют полярные растворители: воду, метанол, глицерин; для неполярных - кислоту уксусную, хлороформ, эфир этиловый и другие органические растворители. Наиболее часто в качествеэкстрагента применяют этанол - малополярный растворитель, который при смешивании с водой дает растворы разной степени полярности, что позволяет использовать его для избирательного экстрагирования различных биологически активных веществ. Кроме этанола из малополярных растворителей применяют ацетон, пропанол, бутанол.

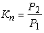
Пористость и порозность сырья. Пористость сырья - это величина пустот внутри растительной ткани. Чем она выше, тем больше образуется внутреннего сока при набухании.Порозность - это величина пустот между кусочками измельченного материала. От величины пористости и порозности зависит скорость смачивания и набухания материала. Скорость набухания возрастает при предварительном вакуумировании сырья, а так же при повышении давления и температуры.

Пористость и порозность сырья обусловливают его поглощающую способность, которая характеризуется коэффициентом поглощения сырья Кп:

                                                                             (6)

где Р1 и Р2 - соответственно масса сырья до и после набухания.

Поглощающая способность сырья, находится в прямой зависимости от степени его измельчения.

Коэффициент вымывания. Он характеризует степень разрушенных клеток в измельченном сырье. Если он низкий, это значит, что в сырье мало разрушенных клеток, экстрагирование идет медленно и определяется в основном скоростью молекулярной диффузии. За величину коэффициента вымывания принимают количество веществ в вытяжке, полученное из определенной навески сырья, при определенном соотношении (сырье - экстрагент) при экстрагировании сырья в течение одного часа при определенной скорости перемешивания. [3]

Воздействие вибраций, пульсаций, измельчения и деформации сырья в среде экстрагента. Использование методов экстрагирования, в которых имеют место вибрации, пульсации, измельчения и деформация в среде экстрагента позволяет значительно увеличить скорость и полноту экстрагирования из сырья. Объясняется это тем, что:

). При интенсивном воздействии на твердые частицы появляются сильные турбулентные течения, гидродинамические микропотоки, способствующие переносу масс, растворению веществ. Такое явление отмечается как снаружи твердых частиц, так и внутри них. В результате достигается интенсивное перемешивание даже внутри отдельных клеток.

). При интенсивном колебании частиц сырья в местах трения происходит локальное повышение температуры, уменьшение вязкости экстрагента, а следовательно, увеличение коэффициента внутренней диффузии.

). В результате увеличения турбулентности, нарушения структуры прилегающих слоев, пограничный диффузионный слой, истощается или же будет иметь предельно малую толщину.

). Следствием интенсивных колебаний является чередование зон сжатия и растяжения. При этом в момент растяжения в экстрагенте образуются полости разрыва жидкости (кавитационные зоны), которые захлопываются с силой в несколько сот атмосфер. Положительным качеством этого процесса является диспергирование частиц, приводящее к увеличению межфазной поверхности.

В результате появления турбулентного перемешивания как внутри, так и снаружи клеток молекулярно-кинетическое движение заменяется конвективным, что позволяет поддерживать разность концентраций в зоне соприкосновения фаз на высоком уровне.

Воздействие электроимпульсных разрядов. При экстрагировании с помощью электрических разрядов ускоряется процесс извлечения БАВ потому, что из-за искрового разряда в сырье происходит микровзрыв, разрывающий клеточные структуры материала. Процесс извлечения протекает быстрее за счет вымывания экстрактивных веществ и пульсации, увеличивающих скорость движения экстрагента. Возникающие в жидкости колебания сокращают время экстрагирования и повышают выход биологически активных веществ.

.5 Методы получения жидких экстрактов, их характеристика

Жидкие экстракты получают методами перколяции, реперколяции (в различных вариантах), дробной мацерации в различных модификациях, растворением густых и сухих экстрактов. Лучшие по качеству жидкие экстракты получают при использовании методов приготовления, исключающих упаривание.

Перколяция в производстве жидких экстрактов на стадиях набухания и настаивания ничем не отличается от перколяции в производстве настоек. На стадии собственно перколяциипроцесс проводится аналогично и с той же скоростью, как для настоек. Отличие состоит в сборе готовых извлечений. Для жидких экстрактов извлечения разделяют на две порции. Первую порцию в количестве 85% по отношению к массе сырья собирают в отдельную емкость. Затем подставляют другую емкость ведут перколяцию до полного истощения сырья. При этом получают в 5-8 раз (по отношению к массе загруженного в перколятор сырья) больше слабых вытяжек, которые называют «отпуском». Этот «отпуск» упаривают под вакуумом при температуре 50-60°С до 15% по отношению к массе сырья, загруженного в перколятор. После охлаждения этот сгущенный остаток растворяют в первой порции извлечения. Получаютвытяжки в соотношении 1:1 по отношению к сырью.

Реперколяция, т.е. повторная (многократная) перколяция, позволяющая максимально использовать растворяющую способность экстрагента, получить концентрированные извлечения при полном истощении сырья. Во всех случаях процесс проводят в нескольких перколяторах (от 3-х до 10-ти), которые работают во взаимосвязи, так называемой батарее перколяторов. В этой батарее слив готового продукта проводят из «головного» перколятора, в котором всегда свежее сырье, а свежий экстрагент подают в «хвостовой» перколятор, в котором самое истощенное сырье. Извлечениями из «хвостового» перколятора обрабатывают сырье в предыдущем перколяторе и так во всей батарее -последующее сырье экстрагируется извлечениями, полученными из предыдущих перколяторов. Таким образом от 1-го до последнего перколятора в батарее осуществляется противоток сырья и экстрагента. По мере истощения сырья изменяется положение «головного» и «хвостового» перколяторов.

Существуют различные варианты реперколяции с делением сырья на равные и неравные части, с законченным и незаконченным циклом. Некоторые из них позволяют получить концентрированные вытяжки без последующего упаривания.

Реперколяция с делением сырья на равные части с незаконченным циклом (рис. 1)


Первую порцию сырья предназначенную для загрузки предварительно замачивают равным или половинным объемом экстрагента по отношению к массе сырья. После набухания в течение 4-6 часов материал укладывают в перколятор №1 и настаивают 24 часа с двойным по отношению к массе сырья объемом экстрагента. По истечении указанного времени проводятперколирование до полного истощения сырья с разделением вытяжек на первую порцию в количестве 80% по отношению к массе сырья, которую считают готовым продуктом; вторую порцию - (менее концентрированные извлечения) в количестве, равном массе сырья и предназначенный для намачивания сырья для 2-го перколятора; третью порцию - второй отпуск, в двукратном количестве по отношению к массе сырья и предназначенный для настаивания сырья во 2-м перколяторе; четвертую порцию - третий отпуск в количестве, примерно в 6 раз превышающем массу сырья и предназначенный для экстрагирования (перколирования) сырья во втором перколяторе. Из 2-го перколятора получают 100% готового продукта по отношению к массе сырья в перколяторе и собирают отпуски для работы с сырьем в следующем перколяторе. Из последнего перколятора получают 100% готового продукта и отпуски, которые используют для обработки следующей партии аналогичного сырья. Все порции готового продукта, полученные из каждого перколятора, объединяют.

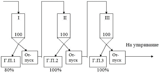
Реперколяция с делением сырья на равные части с законченным циклом проводится в батарее перколяторов (рис.2).

Количество перколяторов в батарее зависит от свойств сырья, чем труднее экстрагируется сырье, тем большее число перколяторов входит в батарею.

Сырье разделенное на равные части загружают в перколяторы. В 1-ом перколяторе сырье замачивают для набухания, которое проходит в течение 4-6 часов, после чего в перколяторподают экстрагент до«зеркала» и настаивают в течение 24ч. Затем перколируют в отдельную емкость, получая 80% готового продукта (Г.П.1-80%) по отношению к массе сырья в этомперколяторе.


Перколирование продолжают до полного истощения сырья в другую емкость - получают «отпуск 1». Этим «отпуском 1» проводят намачивание, настаивание и перколирование сырья во II-м перколяторе, из которого получают готовый продукт (Г.П.2-100%) в количестве равном 100% от массы сырья в перколяторе и «отпуск 2». Отпуском 2 проводят намачивание, настаивание и перколирование сырья в ІІІ-м перколяторе из которого получают (Г.П.3-100%) готовый продукт 3 в количестве равном 100% от массы сырья в перколяторе и «отпуск 3». Так ведут процесс в каждом последующем перколяторе, если их больше 3-х. Отпуск последнего перколятора упаривают до недостающих 20% готового продукта, слитого из 1-го перколятора. При этом получают на 300 кг сырья жидкого экстракта: 80+100+100+20=300 л (кг), т.е. соотношение 1:1.

Реперколяция по Босину.(рис.3)


По этому методу сырье загружают в равных количествах в каждый перколятор батареи. Сырье в 1-м перколяторе экстрагируют чистымэкстрагентом, в последующих - отпусками после извлечения сырья из предыдущих перколяторов. Число перколяторов подбирают таким образом, чтобы при получении вытяжки из последнего перколятора в объеме, равном всей массе экстрагируемого материала т.е. 1:1.

Реперколяция с делением сырья на неравные части по фармакопее США и Германии.(рис.5) Эти варианты реперколяции официнальны в указанных странах.


Согласно фармакопее США исходное сырье принимают за 100% и загружают в перколяторы в соотношении 5:3:2. Работу начинают с наибольшей порцией сырья и обрабатывают ее чистым экстрагентом. Перколят собирают в два приема: готовый продукт 1 в количестве 20% от общего количества сырья и отпуск, который используют для набухания, настаивания и перколяции во II-м перколяторе. Из II-го перколятора получают готовый продукт 2 в количестве 30% от общего количества сырья и отпуск 2, используемый для III-гоперколятора. Из ІІІ-го перколятора собирают 50% готового продукта по отношению к массе сырья. Всего получают 20+30+50=100% готового продукта на 100% исходного сырья, т.е. 1:1.

В соответствии с Германской фармакопеей все сухое сырье загружают в три перколятора в соотношении 5:3,25:1,75 и проводят процесс аналогично описанному выше для фармакопеиСША.

Реперколяция с делением сырья на неравные части по фармакопеям США и Германии могут применяться для небольших производств при получении незначительного количества продукта, т.к. в этих модификациях реперколяции сырье во II-м и в III-м перколяторах истощается не полностью. Меньше всего сырье истощается в III-м перколяторе.

Метод реперколяции по Чулкову Н.А. Предложен в 1943 г и нашел применение в фармацевтических производствах, длительно работающих по этой схеме. Экстрагирование проводят в батарее из 4-х и более перколяторов. Различают два периода: в пусковой период ежедневно загружают по одному перколятору и слива готового продукта не производят. В каждыйперколятор загружают равное количество сырья, которое предварительно заливают равным количеством чистого экстрагента (для 1-го перколятора) или извлечением, полученным из предыдущего перколятора (для 2-го и всех последующих перколяторов). Набухшее сырье загружают в первый (хвостовой) перколятор, заливают экстрагентом до «зеркала» и оставляют на сутки. На следующий день из первого перколятора сливают извлечения в два приема: первое извлечение - в объеме, равном массе сырья, загруженного в перколятор, используемое для замачивания сырья для второго перколятора и второе извлечение - в двойном объеме по отношению к массе сырья, используемое для настаивания сырья во втором перколяторе. В это время в первый перколятор подают свежий экстрагент в количестве равном сумме извлечений. На третий день из второго перколятора собирают также два извлечения: для работы с сырьем, предназначенным для загрузки в третий перколятор. Во второй перколятор подают вытяжки из первого перколятора, а в него снова подают свежий экстрагент. Далее процесс проводится аналогично. Через сутки после загрузки последнего перколятора начинается рабочий период. В это время из последнего перколятора сливают первую порцию готового продукта в объеме равном массе сырья в этом перколяторе. Одновременно из первого перколятора сливают все вытяжки и подают их во второй перколятор. Сырье в первом перколяторе полностью истощено. Свежий экстрагент теперь подают во второй перколятор, который теперь становится хвостовым. Первый перколятор становится головным в батарее. Сбор готового продукта производится ежедневно из головного перколятора, которым является каждый, вновь загруженный сырьем.

Потерь биологически активных веществ практически нет, так как в каждом перколяторе сырье неоднократно обрабатывается свежим экстрагентом и истощается максимально.

Ускоренная дробная мацерация методом противотока (по ЦАНИИ). Проведение экстрагирования по ЦАНИИ позволяет значительно сократить время на выпуск готовой продукции.

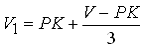
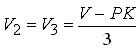
Сырье в сухом виде загружают в равных количествах в три перколятора. Свежий экстрагент подают только в первый перколятор, в три приема. Вначале заливают сырье в первомперколяторе до «зеркала» и настаивают в течение 2 ч. По истечении этого срока вытяжку из первого перколятора переносят во второй перколятор, а в первый перколятор вновь подают свежий экстрагент до «зеркала». Сырье в обоих перколяторах настаивают 2 ч. после чего вытяжку из второго перколятора переносят на сырье в третий перколятор, во второй - переносятвытяжку из первого перколятора, а в первый снова (в третий раз) подают свежий экстрагент. Загруженные перколяторы оставляют для настаивания на 24 часа. На следующий день из третьего перколятора сливают всю вытяжку, являющуюся готовым продуктом. Из второго перколятора всю вытяжку переносят в третий перколятор. Из первого перколятора вытяжкисливают, сырье выгружают и отжимают. Все вытяжки из первого перколятора объединяют и используют для настаивания сырья во втором перколяторе. Оба перколятора оставляют на 2 ч. Затем из третьего перколятора сливают вторую порцию готового продукта. Из второго перколятора полностью сливают вытяжку, сырье выгружают и отжимают. Все извлечения из второгоперколятора передают в третий перколятор, который настаивают в течение 2 ч. По истечении этого времени получают третью порцию готового продукта, к которому присоединяют отжим из последнего перколятора. Для равномерной загрузки каждого перколятора общий объем необходимого экстрагента V делят на три части. При этом V= V1+V2+V3

Первая порция свежего экстрагента может быть определена из соотношения:

                                                                   (6)

где: Р - общее количество сырья, кг;

К - коэффициент поглощения сырья.

Вторая и третья порция свежего экстрагента V2=V3 могут быть определены из уравнения:

                                                                    (7)

Такой метод экстрагирования применяют для фитохимического производства небольших объемов и в лабораторных условиях. При использовании этого метода в последнем и предпоследнем перколяторах сырье истощается не полностью, т.к. обработка проводится не чистым экстрагентом.

Растворение. Жидкие экстракты могут быть получены путем растворения сухих или густых экстрактов. Метод применяется сравнительно редко, хотя заслуживает большего внедрения в практику ввиду сокращения времени технологического процесса. Технология приготовления сводится к растворению густогоили сухого экстракта в соответствующем экстрагенте с последующей очисткой и стандартизацией.

1.6 Аппаратура, используемая в процессе получения жидких экстрактов, ее характеристика, принцип работы

Классификация экстракторов.

Для того, чтобы оборудование для проведения экстрагирования в системе твердое тело - жидкость отвечало требованиям современного высокоэффективного производства (большая единичная мощность аппарата при низкой относительной металлоемкости, глубокое извлечение экстрагируемого вещества при минимальной длительности процесса и т. д.), оно должно обеспечивать протекание процесса в условиях, наиболее близких к противотоку при минимальных гидродинамическом сопротивлении относительному движению фаз, соотношении расхода масс экстрагента и твердых частиц, и суммарном внутреннем, и внешнем диффузионном сопротивлении.

Конструктивно основные типы экстракторов классифицируются по неоднородным признакам: по виду корпуса аппарата - колонные и камерные; по виду транспортного органа - шнековые, лопастные, щепные, ковшовые, ротационные, ленточные; по расположению корпуса аппарата - горизонтальные, вертикальные и наклонные.

По гидродинамическому характеру процесса, протекающего в аппарате, экстракторы делятся на аппараты с неподвижным слоем твердых частиц, движущимся слоем и кипящим (взвешенным) слоем.

Экстракторы периодического и полупериодического действия

Экстракторы периодического и полупериодического действия относятся к несовершенному виду оборудования. Тем не менее во многих отраслях металлургической, химической, целлюлозно-бумажной, фармацевтической, пищевой и мясо - молочной промышленности они до сих пор имеют достаточно широкое распространение. Если для некоторых категорий получаемых экстрактов и настоев в отдельных отраслях фармацевтической, пищевой и мясо - молочной промышленности, где производятся небольшие партии продукции весьма многочисленных наименований, применение периодической аппаратуры можно считать оправданным, то для большинства перечисленных производств вопрос о переходе к непрерывно действующим аппаратам с режимом интенсивного массообмена между фазами является исключительно актуальным.

В качестве основных типов экстракторов периодического действия получили распространение камерные аппараты (реакторы) с механическим, пневматическим и пневмомеханическим перемешиванием, а также настойные чаны с неподвижным слоем твердых частиц с циркуляцией (перколяторы) и без циркуляции экстрагента.

Камерные аппараты (реакторы) обычно представляют собой сосуды цилиндрической формы с плоским или коническим днищем, выполненные из обычной или нержавеющей стали и покрытые внутри (если экстрагент представляет собой агрессивную среду) слоем или несколькими слоями кислотоупорного материала.

Экстрагирование в неподвижном (плотном) слое частиц жидкостью, фильтрующейся через этот слой, производят в аппаратах, которые носят название диффузоров, или перколяторов. Конструктивно такие аппараты представляют собой сосуд цилиндрической, конической или прямоугольной формы, имеющий в нижней части ложное перфорированное днище. Циркуляция экстрагента, фильтрующегося через слой, обеспечивается насосом. больших размеров для пищевой и фармацевтической промышленностей выполняют с мешалками (рис. 6.3). Процесс экстрагирования в этих аппаратах является периодическим.


Группа последовательно соединенных аппаратов носит название батареи. Для поддержания соответствующего температурного режима между каждой парой диффузоров может устанавливаться теплообменник:


Замкнутая система коммуникаций позволяет периодически отключать один из аппаратов от циркуляционной системы, освобождать его от полностью истощенного материала и заполнять свежим. После этого аппарат вновь включается в систему циркуляции и в него поступает наиболее обогащенный экстрагент, прошедший через все остальные п - 1 или п - 2 аппараты, и отключается следующий: аппарат, в который до этого поступал чистый растворитель. Чем больше число аппаратов, тем ближе процесс к непрерывному. Главным недостатком батарейных аппаратов, которые еще широко применяются в целлюлозно-бумажной, легкой, фармацевтической, пищевой и других областях промышленности, является большая затрата ручного труда при их эксплуатации, значительные потери экстрагируемого вещества (частицы нередко выгружаются вместе с последними порциями растворителя, поступившего в аппарат), большая металлоемкость и трудность регулирования процессов, невозможность его механизации и автоматизации. Достоинством этого аппарата является то, что неподвижно лежащий в нем слой частиц не разрушается в процессе экстрагирования; это во многих случаях обеспечивает улучшение гидродинамических условий процесса и более высокое качество экстракта, а также возможность осуществить любой температурный режим, поскольку экстрагент переходит из одного аппарата в другой через теплообменник.

Применение единичных аппаратов этого типа целесообразно для проведения экстрагирования настаиванием в тех случаях, когда процесс протекает особенно длительно или экстрактивные вещества получают в малых количествах, но очень многих наименований

Экстракторы непрерывного действия

Экстракторы непрерывного действия по сравнению с периодическими и полупериодическими кроме общеизвестных преимуществ любого непрерывного процесса перед периодическим (полное исключение затрат ручного труда, возможность автоматизации процесса,, создание единичного аппарата большой производительности, равномерность потребления энергии и сырья и др.) имеют и такое важное преимущество, как улучшение массообменных характеристик процесса и, в частности, увеличение коэффициента массоотдачи от поверхности частиц к экстрагенту. Однако аппараты непрерывного действия имеют и ряд недостатков, главные из которых состоят в продольном перемешивании экстрагента и твердых частиц, значительном разрушении последних, неравномерности протекания процесса.

Создание совершенного непрерывно действующего экстрактора большой единичной мощности может быть осуществлено только путем устранения всех этих важнейших недостатков аппарата.

Наиболее широко распространенной группой аппаратов непрерывного действия являются колонные. Эти аппараты по конструктивным признакам делятся на одноколонные и многоколонные, по расположению основного корпуса (корпусов) - на вертикальные, горизонтальные и наклонные, а по виду транспортного органа - на лопастные, шнековые и цепные:


Одноколонный аппарат (рис. 6.7,6) может иметь лопасти 3, винтожным образом расположенные на вертикальном полом валу 2, и жонтрлопасти 4, закрепленные на корпусе аппарата 1 между лопастями и препятствующие вращению массы твердых частиц вместе с валом. Транспортный орган колонного аппарата в некоторых случаях представляет собой отдельные витки, в промежутке между которыми также находятся контрлапы (рис. 6.7, а). При значительном отличии от плотности твердых частиц от плотности экстрагента колонный аппарат может вообще не иметь основного транспортного органа (рис. 6.7, в). Сложной является система подачи твердых частиц в аппарат. Она обеспечивается специальным насосом (рис. 6.7, аи б), однако при этом требуется значительное обогащение жидкостью смеси твердых частиц с экстрагентом. Смесь подается в колонну над разделительным ситом 5. Отделяющийся этим ситом экстрагент частично идет на дальнейшую переработку (выпаривание, очистку), но большая его часть попадает в смеситель для образования смеси с твердыми частицами, направляющимися в аппарат. Необходимость отделения на сите 5 значительного количества жидкости создает тяжелый гидродинамический: режим в этой зоне аппарата. Твердые частицы могут подаваться: в колонный аппарат специальным шнеком (рис. 6.7, в). При обоих способах подачи частиц в аппарат происходит значительное их разрушение, которое может существенно ухудшить массообмен в аппарате. В одноколонном аппарате дробление твердых частиц; имеет место и при их дальнейшей транспортировке - это ухудшает гидродинамические условия в процессе. В аппаратах этого типа трудно осуществить подвод тепла, который во многих случаях необходим в процессе экстрагирования.

Достоинства одноколонного аппарата, которые можно отнести почти ко всем аппаратам колонного типа, состоят в том, что процесс в них протекает противоточно и непрерывно, вся масса частиц постоянно находится в жидкой фазе. Такие аппараты занимают малые площади, обладают, как правило, малой металлоемкостью (все внутреннее пространство аппарата используется полезно).

Для определения условий массообмена в экстракторе снимаются экстракционные кривые, для чего экспериментально устанавливаются концентрации экстрагируемого вещества в твердых частицах: и в жидкости в пробах, отобранных в ряде точек по длине аппарата. По известным, таким образом, концентрациям на каждом интервале - аппарата между точками «отбора проб, размеру частиц, времени пребывания частиц на интервале, коэффициенту диффузии (который может быть измерен для каждого интервала в лабораторных условиях) коэффициент массоотдачи для этого интервала вычисляется с помощью алгоритма обратного интервально-итерационного расчета; так, например, в случае использования номограмм необходимо вычислить отношение избыточных концентраций на концах интервалов (Z), определить величину критерия Фурье для интервалов (по известным коэффициенту диффузии, размеру частицы и времени пребывания частицы на интервале) и, зная q - соотношение расхода масс, по номограмме найти величину критерия Био.

Такое распределение величины массоотдачи можно объяснить следующим образом. В нижней части аппарата происходит некоторое уплотнение слоя твердых частиц, связанное с отделением экстрагента, удаляемого из колонны, и в связи с этим ухудшение гидродинамических условий обтекания частиц экстракционной жидкостью.

В средней зоне аппарата обычно устанавливается оптимальная гидродинамическая обстановка процесса. Смесь твердых частиц с экстрагентом хорошо перемешивается транспортирующим устройством и равномерно распределяется по сечению аппарата, чего не наблюдается в нижней его части. Величина массоотдачи на этом участке аппарата должна достичь своего максимума.

В верхней части аппарата, где частицы значительно раздроблены, наблюдается их слеживание, образуются отдельные сгустки частиц или «комки», внутрь которых поток жидкости не попадает. Аналогичное явление имеет место в случаях даже гораздо более интенсивного взаимодействия твердой и жидкой фаз.

Одновременно начинает сказываться тормозящее влияние устройства для выгрузки твердой фазы. Удельная нагрузка в этой зоне увеличивается, что ухудшает гидродинамические условия процесса экстракции.

Увеличение размера частиц в колонном аппарате, как и в других типах экстракторов, приводит к улучшению массообмена между частицами и экстрагентом.

Повышение соотношения расхода масс на большей части высоты аппарата ухудшает массообмен, так как под влиянием возрастающего потока жидкости частицы прижимаются с большей силой к транспортному органу, их слой уплотняется, что приводит к ухудшению гидродинамических условий в слое, уменьшению активной поверхности частиц.

Несколько разновидностей одноколонных экстракторов, предназначенных главным образом для переработки мелкораздробленных (порошковых) материалов, имеющих плотность, существенно отличную ют плотности экстрагента, по конструкции приближается к колонным аппаратам для экстракции в системе жидкость-жидкость. Основным контактным устройством таких экстракторов являются тарелки. Экстракторы данного типа, как и жидкостные, могут иметь перемешивающие, вибрационные и пульсирующие устройства. Из многообразных конструкций многоколонных аппаратов в промышленности получили распространение двухколонный аппарат с шнековым транспортным органом, двухколонный аппарат с цепным транспортным органом, трехколонный аппарат со шнековыми транспортерами, многоколонный вертикальный аппарат с цепным транспортным органом:


В каждой из трех колонн вертикального шнекового экстрактора (рис. 6.9) - загрузочной 1, горизонтальной 2 и экстракционной 3 - находятся шнеки. Шнек 4 загрузочной колонны и шнек 5 экстракционной колонны подвешены с помощью вала на упорных подшипниках. В верхней части загрузочной колонны имеется цилиндрическое сито 6 для отделения экстракта, уходящего из аппарата, от твердых частиц.

Экстракторы этого типа получили распространение в химической, фармацевтической и пищевой промышленности.

Достоинствами вертикального шнекового экстрактора являются небольшие площадь и объем здания, занимаемого аппаратом, малая металлоемкость, хорошее использование всего объема аппарата, относительная простота конструкции и легкость обслуживания, а недостатками - сильное дробление материала, запрессовка некоторых видов сырья (особенно, растительного), закручивание твердого материала вместе со шнеками.

Интенсивность массообмена по длине аппарата значительно изменяется (рис. 6.10) и имеет следующие особенности: в загрузочной (А) колонне экстрактора коэффициент массоотдачи убывает, в горизонтальной (В) - несколько увеличивается, а в экстракционной (В) после незначительного убывания резко возрастает. Такой характер изменения коэффициента массоотдачи по высоте экстрактора объясняется следующим образом. В начале загрузочной колонны экстрагент имеет наибольшую концентрацию и соответственно большую вязкость. По направлению к горизонтальной колонне концентрация экстрагента уменьшается, что создает условия для увеличения коэффициента массоотдачи. Однако разрушаемость частиц, взаимная блокировка поверхности частицами ведет к ухудшению условий омывания их жидкостью.

Увеличение значений коэффициента массоотдачи в горизонтальной колонне также можно объяснить повышением относительной скорости движения экстракционной жидкости в этой части аппарата.

При переходе частиц из горизонтальной колонны в экстракционную величина коэффициента массоотдачи уменьшается, затем она увеличивается в экстракционной колонне.

Многоколонные аппараты с цепным транспортным органом 2 -(рис. 6.12) во многом аналогичны двухколонным с цепным транспортным органом. Твердые частицы небольшими слоями лежат на сетках 1, что создает благоприятные условия для осуществления противотока, при этом частицы не подвергаются разрушению. Легко осуществлять заданный температурный режим по аппарату, так как малое сечение аппарата позволяет хорошо его нагреть через стенки корпуса. Однако такие аппараты сложны в эксплуатации, занимают большой объем и площади помещений по сравнению с одноколонными. Кроме того, после перехода из одной колонны в другую равномерность расположения слоя части на сетке меняется, что несколько нарушает гидродинамический режим взаимодействия жидкой и твердой фаз.

Особенно высокие значения коэффициента массоотдачи в первой вертикальной колонне. Действительно, на этом участке создаются наиболее благоприятные гидродинамические условия процесса - частицы равномерно заполняют межситовые пространства. Равномерное движение экстрагента в этой колонне способствует хорошему отводу тепла от греющей поверхности и быстрому нагреванию всей массы вещества в колонне.

Ленточный экстрактор (рис. 6.16) имеет стальной корпус 1. Внутри корпуса расположен ленточный транспортер 4, пластины которого прикреплены к двум цепям, приводящимся в движение звездочками 3. Пластины имеют ребра жесткости, на которые укладываются перфорированные листы.


Материал, поступающий в аппарат через бункер 2, движется слоем высотой 0,6-1,2 м по верхней ветви транспортера. Над слоем материала расположены распылители 7, обеспечивающие равномерное распределение растворителя над слоем материала. Под лентой установлены воронки б, в которые попадает мисцелла после того, как она прошла через слой материала. Число воронок равно числу ступеней экстрагирования. Из каждой воронки жидкость попадает в соответствующий центробежный насос 6, который подает экстрагент в определенный распылитель. При этом жидкость обычно направляется не на тот участок, под которым она собрана, а на смежный, расположенный в направлении, противоположном движению ленты, вследствие чего обеспечивается переход жидкости от ступени к ступени по принципу противотока. Частицы лежат небольшим слоем и мало деформируются. Процесс в аппарате протекает по сложной схеме: поперечный ток на каждом участке (в сущности, процесс, полного смешения) и противоток при переходе от участка к участку. Конструкция - сложная, металлоемкая, не обеспечивающая хорошего использования объема аппарата. Ремонт и обслуживание аппарата трудоемки.

Вертикальный ковшовый экстрактор (рис. 6.17) имеет стальной корпус 7, в верхней части которого расположен дозатор твердого материала 2. Внутри корпуса расположена бесконечная цепь, одетая на звездочки 3. К цепи

прикреплены ковши 4 с твердым материалом для экстрагирования. С торцевых сторон ковша имеются карманы, в которые подается чистый растворитель 5 или экстрагент 6


Карманы соединены между собой трубками с отверстиями, через которые подаваемые форсунками жидкости поступают на орошение материала в расположенные ниже ковши. Днище ковша представляет собой рамку с густой проволочной сеткой, расположенную над оросительными трубками.

В верхней части транспортера имеется специальный опрокидывающий механизм, который переворачивает и стряхивает ковш над бункером для приемки шрота.

Материал загружается сверху, в верхний ковш спускающегося ряда и орошается с помощью форсунок и трубок в ковше растворителем, частично обогащенным экстрагирующим веществом, после прохождения через поднимающийся ряд ковшей. Проходя через частицы в ковше и дырчатое дно, экстрагент поступает в следующий ковш. Таким образом, в опускающемся ряду ковшей имеет место прямоточный процесс. Верхние ковши поднимающегося ряда орошаются таким же образом, как и опускающийся ряд, но чистым растворителем; следовательно, в этом ряду имеет место противоточный процесс. Жидкость, прошедшая через последний ковш этого ряда, собирается на дне аппарата и направляется в верхний ковш опускающегося ряда.

Основы выбора экстрактора

При выборе типа экстракционного аппарата для осуществления заданного технологического процесса необходимо учитывать:

) пригодность конструкции, которая определяется физико-химическими характеристиками реагентов (плотность, вязкость, токсичность, концентрация и т. д.), степенью проработки конструкции (наличием результатов опытно-промышленной проверки, использованием в промышленности) и масштабом производства;

) технологичность конструкции, которая определяется удельной производительностью и эффективностью, коэффициентом масштабного перехода (отношением эффективности промышленного аппарата к эффективности лабораторного образца);

) экономичность конструкции, которая характеризуется капитальными (стоимость аппарата, загрузка экстрагента и т.д.) и эксплуатационными (расход электроэнергии, реагентов, стоимость обслуживания и т. д.) затратами.

Для предварительного выбора экстрактора необходимо учитывать конструктивные его особенности и значения параметров процесса экстракции. [6]

.7 Очистка и стандартизация жидких экстрактов, методики определения параметров контроля качества

Очистка

Полученные любым из описанных выше способов, извлечения в производстве жидких экстрактов отстаивают в течение не менее 2 суток при температуре не выше 10°С до получения прозрачной жидкости. Отстаивание иногда допускается проводить в присутствии адсорбентов, что способствует лучшей очистке и большей устойчивости при хранении и транспортировке. Отстоявшуюся, прозрачную часть извлечения фильтруют от случайно попавших примесей через друк-фильтры, фильтр-прессы или центрифугируют. В последнюю очередь фильтруют остаток извлечений с осадком.

Профильтрованные вытяжки тщательно перемешивают и проводят стандартизацию.

Стандартизация

В жидких экстрактах определяют содержание действующих веществ химичеcкими методами (за исключением жидкого экстракта боярышника, качество которого контролируется биологически). Качество некоторых жидких экстрактов устанавливают по сумме экстрактивных веществ (методику определения сухого остатка см. в теме «Настойки»). По методикам, указанным в частных статьях, определяют содержание спирта (ГФ ХI, вып.2, с.26), или плотность (ГФ ХI, вып.1, с.24), тяжелые металлы (ГФ ХI, вып.1, с.161).

1.8 Хранение жидких экстрактов, их номенклатура

Жидкие экстракты хранят в хорошо укупоренных флаконах при температуре 12-15°С, и, если необходимо, в защищенном от света месте. В процессе хранения возможно выпадение осадков. Если экстракты после отфильтрования осадка и проверки качества соответствуют установленным требованиям, их считают годными к употреблению.

Номенклатура жидких экстрактов

Жидкие экстракты (номенклатура по Государственному реестру) и основные показатели (по ГФ и ВФС). [7]

Таблица 1

Наименование

Исходное сырье и спирт

Основные сведения о препарате

1.

Экстракт боярышника жидкий Exstractum Crataegi fluidum

Плоды, 70%

2.

Экстракт валерианы жидкий  Exstractum Valerianae fluidum

Корни и корневища

Эфирное масло 0,5-2%; свободная изовалериановая кислота, дубильные вещества, алкалоиды.  Седативное, спазмолитическое средство.

3.

Экстракт водяного перца жидкий  Exstractum Poligoni hydropiperis fluidum

Корни и корневища

Флавоноиды, витамин К.  Кровоостанавливающее средство

4.

Экстракт крушины жидкий  Exstractum Frangulae fluidum

Кора, 70%

Производные антрацена.  Слабительное.

5.

Экстракт кукурузных рылец жидкий  Exstractum Stigmatis fluidum

Рыльца кукурузные, 70%

Флавоноиды, витамины К и др. Желчегонное средство (холециститы, холангиты, гепатиты с задержкой желчеотделения).

6.

Экстракт левзеи или маральего корня жидкий. Exstractum Leuzeae fluidum

Корневища и корни, 70%

Лингнаны. Стимулирующее средство для больных с функциональными заболеваниями нервной системы и при переутомлении.

7.

Экстракт пассифлоры жидкий Exstractum Passiflorae fluidum

Трава, 70%

Седативное средство при неврастении, бессоннице.

8.

Экстракт пастушьей сумки жидкий Exstractum Bursae pastories fluidum

Трава, 70%

Витамины (К и др.).  Кровоостанавливающее при маточных почечных и легочных кровотечениях

9.

Экстракт пустырника жидкий  Exstractum Leonuri fluidum

Трава, 70%

Эфирное масло, сапонины, дубильные вещества, алкалоиды. Успокаивающее средство при повышенной нервной возбудимости, сердечно-сосудистых неврозах, в ранних стадиях гипертонической болезни.

10.

Экстракт радиолы жидкий Exstractum Rhodiolae fluidum

Корни, 40%

Гликозиды фенолоспиртов. Тонизирующее средство.

11.

Экстракт чабреца жидкий Exstractum Thymi serpilli fluidum

Корневища, 30%

Эфирное масло, содержащее тимол и карвакрол. Входит в состав отхаркивающего препарата - пертуссин.

12.

Экстрактэлеутерококка жидкий  Exstractum Eleutherococci fluidum

Корневища, 40%

Сапонины тритерпеновые.  Средство, стимулирующее ЦНС.

13.

Экстракт чистеца буквицецветного жидкий  Exstractum Stachydis betonicaeflorae fluidum

Надземные части , 40%

Усиливает сокращение матки. Применяется при субинволюции матки после родов и абортов, при функциональных маточных кровотечениях (воспалительного характера), кровотечения на почве фибромиом.


1.9 Совершенствование производства и качества жидких экстрактов

Для совершенствования и ускорения производства жидких экстрактов используют разнообразные способы перемешивания, в том числе вибрационные и барботажные, а так же совершенствуют методы очистки полуфабриката жидкого экстракта путем использования суперцентрифуг.

2. Экспериментальная часть

.1 Номенклатура жидких экстрактов, изготавливаемых на предприятии базе практики, объем их производства. [5]

Торговое название

Форма выпуска

Номер и дата регистрации

 Представительство

 

Элеутерококка экстракт жидкий

экстракт жидкий д/приема внутрь (1 кг/1 л): 50 мл фл

ЛП-001915, 29.11.12

Максфарм, ОАО (Россия)

 

Перца водяного экстракт жидкий

25 мл - флаконы темного стекла (1) - пачки картонные. 30 мл - флаконы темного стекла (1) - пачки картонные. 50 мл - флаконы темного стекла (1) - пачки картонные.

ЛП-000726, 29.07.13. Срок действия рег. уд. не ограничен.

Камелия НПП, ООО (Россия)

 

Алоэ экстракт жидкий

1 мл - ампулы (10) - коробки картонные. 1 мл - ампулы (5) - упаковки ячейковые контурные (2) - пачки картонные.

ЛП-001319, 02.12.11. Срок действия рег. уд. не ограничен.

Дальхимфарм, ОАО (Россия)

 

Душицы травы экстракт жидкий

бочки полиэтиленовые. бочки стальные.

Вифитех, ЗАО (Россия)

 

Боярышника экстракт жидкий

200 л - бочки стальные. 45 л - бочки полиэтиленовые. 60 л - бочки полиэтиленовые. 100 л - бочки полиэтиленовые. 220 л - бочки полиэтиленовые.

ЛСР-002349/08, 02.04.08. Срок действия рег. уд. не ограничен.

Вифитех, ЗАО (Россия)

 

Желтушника раскидистого экстракт жидкий

бочки стальные. бочки полиэтиленовые.

ЛСР-003087/08, 24.04.08. Срок действия рег. уд. не ограничен.

Вифитех, ЗАО (Россия)

 

Крапивы экстракт жидкий

200 л - бочки стальные нержавеющие. 45 л - бочки полиэтиленовые. 60 л - бочки полиэтиленовые. 100 л - бочки полиэтиленовые. 220 л - бочки полиэтиленовые.

ЛСР-006073/08, 31.07.08. Срок действия рег. уд. не ограничен.

Вифитех, ЗАО (Россия)

 

Моркови дикой плодов экстракт жидкий

бочки стальные. бочки полиэтиленовые.

ЛСР-005939/09, 21.07.09. Срок действия рег. уд. не ограничен.

Вифитех, ЗАО (Россия)

 

Календулы экстракт жидкий

бочки полиэтиленовые. бочки стальные.

ЛСР-000170/08, 23.01.08. Срок действия рег. уд. не ограничен.

Вифитех, ЗАО (Россия)

 

родиолы экстракт жидкий

30 мл - флаконы оранжевого стекла (1) - пачки картонные.

ЛП-001363, 16.12.11. Действующее.

ВИФИТЕХ, ЗАО (Россия)

Ромашки экстракт жидкий

45 л - бочки. 60 л - бочки. 100 л - бочки. 200 л - бочки. 220 л - бочки.

ЛСР-002036/08, 21.03.08. Действующее.

ВИФИТЕХ, ЗАО (Россия)

хмеля экстракт жидкий

бочки стальные. бочки полиэтиленовые.

ЛСР-004922/09, 22.06.09. Срок действия рег. уд. не ограничен.

вифитех, ЗАО (Россия)

шиповника экстракт жидкий (0.55:1)

емкости стальные

ЛСР-008213/08, 17.10.08. Срок действия рег. уд. не ограничен.

Вифитех, ЗАО (Россия)


.2 Методы производства жидких экстрактов на данном предприятии

Жидкие экстракты получают методами перколяции, реперколяции (в различных вариантах).

Перколяция в производстве жидких экстрактов на стадиях набухания и настаивания ничем не отличается от перколяции в производстве настоек. На стадии собственно перколяциипроцесс проводится аналогично и с той же скоростью, как для настоек. Отличие состоит в сборе готовых извлечений. Для жидких экстрактов извлечения разделяют на две порции. Первую порцию в количестве 85% по отношению к массе сырья собирают в отдельную емкость. Затем подставляют другую емкость ведут перколяцию до полного истощения сырья. При этом получают в 5-8 раз (по отношению к массе загруженного в перколятор сырья) больше слабых вытяжек, которые называют «отпуском». Этот «отпуск» упаривают под вакуумом при температуре 50-60°С до 15% по отношению к массе сырья, загруженного в перколятор. После охлаждения этот сгущенный остаток растворяют в первой порции извлечения. Получаютвытяжки в соотношении 1:1 по отношению к сырью.

Реперколяция, т.е. повторная (многократная) перколяция, позволяющая максимально использовать растворяющую способность экстрагента, получить концентрированные извлечения при полном истощении сырья. Во всех случаях процесс проводят в нескольких перколяторах (от 3-х до 10-ти), которые работают во взаимосвязи, так называемой батарее перколяторов. В этой батарее слив готового продукта проводят из «головного» перколятора, в котором всегда свежее сырье, а свежий экстрагент подают в «хвостовой» перколятор, в котором самое истощенное сырье. Извлечениями из «хвостового» перколятора обрабатывают сырье в предыдущем перколяторе и так во всей батарее - последующее сырье экстрагируется извлечениями, полученными из предыдущих перколяторов. Таким образом от 1-го до последнего перколятора в батарее осуществляется противоток сырья и экстрагента. По мере истощения сырья изменяется положение «головного» и «хвостового» перколяторов.

Лучшие по качеству жидкие экстракты получают при использовании методов приготовления, исключающих упаривание.

.3 Оборудование, используемое в производстве жидких экстрактов на данном предприятии

В качестве оборудования для производства жидких экстрактов на предприятии базе практики используют аппараты из нержавеющей, устойчивой к агрессивным реакциям сред, стали.

Основным аппаратом для получения жидких экстрактов является экстрактор, который системой трубопроводов сообщается с баками, в которых получают спирт этиловый требуемой концентрации, отстойниками для очистки полупродукта экстракта, центрифуг и сборников для хранения готового продукта.

Экстрактор снабжен паровой рубашкой, давление и пар в которой поддерживается автоматически датчиками регулирования.

Так же экстрактор снабжен дополнительным трубопроводом для возможности конденсации паров спирта этилового и повторного его использования.

.4 Ознакомиться с регламентами производства жидких экстрактов на данном предприятии

Регламент производства экстракта элеутерококка жидкого (ЭЭЖ)

Раздел 1 Характеристика готового продукта

ЭЭЖ - жидкость тёмно-коричневого цвета, в тонком слое прозрачная, со специфическим, своеобразным запахом. При хранении возможно образование осадка. Плотность 0,997. Этанола не менее 33%, тяжелых металлов не более 0,01%, содержание суммы элеутерозидов в пересчёте на элеутерозид В не менее 0,12 %.

Применяют как тонизирующее и адаптогенное средство за полчаса до еды по 20-40 капель 2-3 раза в день.

ЭЭЖ выпускают во флаконах по 50 мл.

Раздел 2 Характеристика исходного сырья

Таблица 2

Номер НД

Техническое или торговое название сырья

Содержание, %

Квалификация

Сортность

ФС 42-2725-90

Корневище с корнями элеутерококка

Элеутерозидов не менее 0,5%

Измельчённые

ГФ XI

ГОСТ 5964-82

Спирт этиловый

96%

Ректификат

ГОСТ

Вода очищенная

_

Очищенная

ГФ XI


Раздел 3 Аппаратурная схема производства


Раздел 4 Спецификация аппаратуры и оборудования.

Таблица 3

Название аппарата (оборудования) и его номер по схеме

Число аппаратов (предметов оборудования)

Материалы

Характеристика аппаратов и оборудования

Диффузоры (1 - 5)

6

Нерж. Сталь

Емкость 500л

Мерник промежуточных продуктов (2)

1

Нерж. Сталь

Емкость 300л

Сборник готового продукта (5)

1

Нерж. сталь

Емкость 1000л

Теплообменник (6)

1

Нерж. сталь

Высота 1,2 м, диаметр 0,6 м

Сборник спиртовых отгонов (7)

1

Нерж. сталь

Высота 2,3 м, диаметр 0,8 м

Суперцентрифуга (9)

1

Нерж. сталь

Диаметр ротора 0,1 м, высота 1,7 м, скорость фильтрации до 200 кг/ч

Машина по расфасовке жидких ЛФ (10)

1

сборный



Раздел 5 Описание технологического процесса

Готовый продукт и исходное сырьё анализируют следующим образом:

экстракт элеутерококка жидкий (1:1) на 40% этаноле - по ФС 42-2833-92 и ГФ XI, C.160-161 корни с корневищами элеутерококка − по ФС 42-2725-90 этанол 40% − по ГФ X, ст. 632

Технологический процесс ЭЭЖ складывается из следующих стадий:

. Подготовка сырья и экстрагента

.1. Подготовка сырья.

Сырьё измельчают на молотковой дробилке до размера частиц от 1 до 8 мм. Сырье, в пересчёте на абсолютно сухое содержит экстрактивных веществ не менее 8%.

.2. Приготовление экстрагента

В качестве экстрагента используют 43% этанол. На залив одного перколятора, содержащего 125 кг сырья, требуется 43% этанола 370,14 кг (163,96 л 100% этанола). В мернике отмеривают 228,22 л воды и 96% этанола 141, 92 кг и подают в смеситель. Перемешивают 15 минут. Концентрация этанола должна быть 43%.

. Получение первичных извлечений ЭЭЖ

ЭЭЖ получают в батарее из шести перколяторов методом противоточной экстракции 43% этанолом, с настаиванием одни сутки в одном перколяторе и по следующей передвижкой извлечения в очередной перколятор. Процесс получения ЭЭЖ состоит из трех периодов: пускового, рабочего и остановочного.

.1. Пусковой период. В перколятор емкостью 500 л загружают 125 кг измельченного сырья, содержащего 8% экстрактивных веществ. Если экстрактивных веществ содержится меньше, то мастер делает перерасчет, согласно утвержденным нормам.

На сырье подают 43% этанол в количестве 370,14 кг (168,96 л 100% этанола) до «зеркала». Настаивают 24 часа. День 2-й. Загружают в перколятор № 2 125 кг сырья. Из перколятора № 1 подают извлечение в перколятор № 2 до «зеркала». В перколятор № 1 подают 370,14 кг 43% этанола (168,96 л 100% этанола). Уровни в перколяторах № 1 и № 2 выравнивают и настаивают 24 часа.

Аналогично загружают перколяторы № 3, 4, 5, 6 по 125 кг сырья, заливая до «зеркала» извлечением из предыдущего перколятора. Настаивают 24 часа.

.2. Рабочий период. На седьмой день из перколятора № 6 (головного) сливают 125 л (124,62 кг) ЭЭЖ, содержащего 35% этанола. Перколятор № 1 с максимально истощенным сырьем отключают от батареи на регенерацию этанола и выгрузку шрота, предварительно слив всё извлечение из него. В перколятор № 1, освобождённый от шрота, загружают 125 кг свежего сырья и заливают извлечением перколятора № 6, в количестве 100-105 л (95-99,7 кг). Делают передвижку извлечений из перколятора № 5 в перколятор № 6, из перколятора № 4 в перколятор № 5, из перколятора № 3 в перколятор № 4, из перколятора № 2 в перколятор № 3. Затем перколятор № 1 заливают извлечением из перколятора № 6 до «зеркала», делая передвижку из № 6 в № 1, из № 5 - в № 6 и т.д., выравнивая уровни во всех перколяторах. Оставляют на сутки. Перколятор № 2 отключают от батареи на регенерацию этанола и выгрузку шрота, предварительно слив полностью извлечение. В перколятор № 2 загружают 125 кг измельченного сырья,

Из перколятора № 1 сливают 125 л ЭЭЖ, который объединяют со 125 л ЭЭЖ, полученного из перколятора № 6. Экстракты фильтруют через фильтргрибок в бутыли. Фильтрующий материал: вата гигроскопичная, бумага фильтровальная, байка белая. В загружённый сырьём перколятор № 2 подают оставшееся извлечение из перколятора № 1. Делают передвижку извлечений из перколятора № 1 в перколятор № 2, из перколятора № 5 в перколятор № 1, из перколятора № 4 в перколятор № 5, из перколятора № 3 в перколятор № 4. В перколятор № 3 подают свежий 43% этанол в количестве 230 кг (97,15 л 100% этанола). Аналогично загрузке в перколяторы № 1, 2 загружают перколяторы № 3, 4, 5 и т.д.

Свежий экстрагент всегда поступает в «хвостовой» перколятор с максимально истощённым сырьем. Залив экстрагентом сырья в каждом перколяторе проводят до получения извлечения с содержанием сухого остатка не менее 0,1%. Концентрированное извлечение сливают из «головного» перколятора со свежим сырьем. Все перколяторы последовательно становятся головными, а затем хвостовыми. Выход ЭЭЖ с одного перколятора после фильтрации составляет 125 л (124,62 кг). Потери 0,375 л (0,374 кг).

.3. Остановочный период. По окончании технологического процесса производства ЭЭЖ, после достижения полноты извлечения, выключают «хвостовые» перколяторы, но новых перколяторов со свежим сырьём не включают.

С каждого перколятора сливают менее концентрированные извлечения в количестве 225 - 235 л с содержанием этанола 34% и сухого остатка 1 - 1,5%, которые собирают отдельно и используют при последующих загрузках в производстве ЭЭЖ. Из освободившихся перколяторов регенерируют этанол из отработанного сырья. По окончании технологического цикла батарею подготавливают для следующих производств.

. Очистка и доведение ЭЭЖ до стандарта

.1. Отстаивание ЭЭЖ. Полученный и профильтрованный в бутыли ЭЭЖ в количестве 125 л (124,62 кг) с одного перколятора затягивают из бутылей с помощью вакуума в сборник для отстаивания. В сборнике производят сбор готового продукта от шести перколяторов, перемешивают 30 минут. Через люк отбирают ЭЭЖ на анализ в цеховую лабораторию. Мастер заполняет операционный лист с указанием наименования препарата, номера серии, количества, даты, ФИО аппаратчика и мастера. В случае получения нестандартного экстракта по содержанию этанола его доводят до стандарта по расчёту мастера. Проведённая операция должна быть отражена в операционном листе. С получением положительного результата анализа ЭЭЖ отстаивают не менее трех суток при 8-12 0С.

Содержание этанола в ЭЭЖ должно быть не менее 33%, сухого остатка не менее 6 %, суммы элеутерозидов в пересчёте на элеутерозид В не менее 0,12 %.

.2 Фильтрация готового продукта

ЭЭЖ после отстаивания фильтруют на сверхцентрифуге из сборника со скоростью 100 - 120 кг/ч. Через 1,5 - 2 часа работы сверхцентрифугу промывают горячей водой от осадка, образовавшегося на роторе в процессе фильтрации. Профильтрованный ЭЭЖ из сборника подвергают фасовке Выход ЭЭЖ с одного перколятора 122,0 кг (125,37 л). Выход ЭЭЖ с шести перколяторов 732 кг (734,22 л).

. Рекуперация этанола из истощённого сырья

Регенерация этанола продолжается 5 - 6 часов при температуре 75 - 100 0С. Давление на перколяторе должно быть ноль. Регенерацию этанола проводят до содержания этанола в последних порциях отгона не более 1 - 2% по объему.

Остаточный процент содержания экстрактивных веществ в отработанном сырье должен быть в пересчёте на влагу 2,1%.

Охлажденный до 40 0С шрот выгружают. Полученные отгоны этанола используют при последующих загрузках в производстве ЭЭЖ.

Выход отгонов этанола с одного перколятора 170 кг (60,45 л 100% этанола).

. Фасовка и упаковка ЭЭЖ

Расфасовка ЭЭЖ включает следующие операции: мойку и сушку флаконов и фасовку ЭЭЖ во флаконы. Вымытые флаконы сушат на специальных лотках с металлической сеткой при 70 0С. Пробки и крышки при 30 - 40 0С. ЭЭЖ, соответствующий требованиям ФС 42-358-72 и ГФ XI, С.160-161, расфасовывают в чистые сухие флаконы по 50 мл на фасовочной машине. Точность дозирования ЭЭЖ проверяют с помощью мерного цилиндра и термометра. Флаконы с ЭЭЖ укупоривают пластмассовыми пробками и крышками на дозакруточной машине. Наклеивают этикетки с указанием министерства, завода -изготовителя, его товарного знака, названия препарата на латинском и русском языках, количества, номера серии, срока годности, регистрационного номера, условий хранения. Флаконы с инструкцией упаковывают в пачки, пачки - в коробки картонные по 15 штук. Обвязывают шпагатом, наклеивают этикетки «Осторожно! Верх! Стекло!» и этикетки с указанием наименования препарата, номера серии, срока годности, штампа ОКК, рабочего номера фасовщицы и количества упакованных флаконов. После расфасовки готовую продукцию в коробках предъявляют в ОКК для проведения анализа. С получением аналитического листа о соответствии качества готовой продукции ФС 42-2833-92 и ГФ XI, C.160-161 ЭЭЖ передают на склад готовой продукции.

Товарная серия ЭЭЖ формируется из 6000 флаконов. Иногда фасуют в бутыли по 20 кг в виде ангро.

лекарственный экстрагирование растительный

Выводы и предложения

Данная лекарственная форма - экстракт жидкий - является перспективной в медицинской практике. Позволяет сочетать простоту производства и применения. С каждым годом увеличивается количество фармпредприятий, занимающихся его производством, и расширяется список лекарственных средств, выпускаемых в форме жидкого экстракта.

Необходимо совершенствовать технологии получения жидких экстрактов, проверки и контроля их качества и создание новой упаковки для еще большего удобства применения и эстетичности.

Список литературы

1. Государственная фармакопея СССР/МЗ СССР. - XI изд., доп. - М.:

Медицина, 1997. - Вып. 1, 2.

.   Муравьев И.А. Технология лекарств / И.А. Муравьев. - М.: Медицина, 1980 . - Т.1. - 704 С.

3.      Технология лекарственных форм: в 2-х т. / под ред. Л.А. Ивановой. - М.: Медицина, 1991. - Т.2. - 544с.

.        Регистр лекарственных средств России. - М., 2000. - 1375с.

Похожие работы на - Жидкие экстракты

 

Не нашли материал для своей работы?
Поможем написать уникальную работу
Без плагиата!
Без нейросетей!