|
Интервалы зарплаты, грн./мес.
|
Число рабочих
|
|
400-450
|
12
|
|
450-500
|
15
|
|
500-550
|
21
|
|
550-600
|
26
|
|
600-650
|
15
|
|
650-700
|
10
|
|
700-750
|
1
|
Вариационный ряд - это упорядоченная
по величине последовательность выборочных значений наблюдаемой случайной
величины.
Для наглядности представления
используют графические изображения вариационных рядов в виде: полигона,
гистограммы, кумуляты.
Полигон, как правило, служит для
изображения дискретного вариационного ряда и представляет собой ломаную,
соединяющую точки плоскости с координатами.
Для наших значений она имеет вид:
Рис. 1. Зависимость месячной
заработной платы от числа работников в виде полигона
Гистограмма служит только для
представления интервальных вариационных рядов и имеет вид ступенчатой фигуры из
прямоугольников.
Рис. 2. Зависимость месячной
заработной платы от числа работников в виде гистограммы
Кумулята представляет собой ломаную,
соединяющую точки с координатами (xi, mxi) (где mxi - накопленные частоты) для дискретного ряда, или точки с
координатами (ai, mai) для интервального ряда.
Рис. 3. Зависимость месячной
заработной платы от числа работников в виде кумуляты
Дисперсия означает меру разброса
данной величины, то есть её отклонения от математического ожидания и
определяется по формуле:

,
где 
- среднее значение.
Результаты вычислений
представлены в таблице:
|
x
|
f
|
x*f
|
|
x- (x- )2(x- )2*fD
|
|
|
|
|
425
|
12
|
5100
|
550,5
|
-125,5
|
15750,25
|
189003
|
5724,75
|
|
475
|
15
|
7125
|
|
-75,5
|
5700,25
|
85503,75
|
|
|
525
|
21
|
11025
|
|
-25,5
|
650,25
|
13655,25
|
|
|
575
|
26
|
14950
|
|
24,5
|
600,25
|
15606,5
|
|
|
625
|
15
|
|
74,5
|
5550,25
|
83253,75
|
|
|
675
|
10
|
6750
|
|
124,5
|
15500,25
|
155002,5
|
|
|
725
|
1
|
725
|
|
174,5
|
30450,25
|
30450,25
|
|
|
Сумма
|
100
|
55050
|
|
|
|
572475
|
|
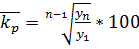
Мода - это наиболее часто
повторяющееся значение признака, определяется по формуле:
M0=X0+h*(
),
где Х0 -
нижнее значение модального интервала;
fM0
- частота в модальном интервале;
fM0-1
- частота в предыдущем интервале;
fM0+1
- частота в следующем интервале за модальным;
h -
размах интервала.
Модальный интервал - это
интервал с наибольшей частотой.
M0=550+50*(
)=565,63 (грн/мес)
Медиана - возможное
значение признака, которое делит совокупность на две равные части: 50% «нижних»
единиц ряда данных будут иметь значение признака не больше, чем медиана, а
«верхние» 50% - значения признака не меньше, чем медиана и определяется по
формуле:
Me=X0+h*
,
где X0 -
нижняя граница интервала, в котором находится медиана;
h -
размах интервала;

- накопленная частота в
интервале, предшествующем медианному;

-
частота в медианном интервале.
Медианный интервал - это
тот, на который приходится середина ранжированного ряда.
Me=550+50*
(грн/мес).
Выводы: полученные
результаты расчетов дают возможность оценить динамику изменения заработной
платы на протяжении десяти месяцев о чем свидетельствуют графические
представления ряда значений. В свою очередь дисперсия оценивает ее разброс
относительного среднего значения, мода показывает, что модальная заработная
плата равна 565.63 грн/мес. Медиана свидетельствует о то, что у пятидесяти
процентов рабочих она выше 553.85 грн/мес, а у другой половины, соответственно
ниже.
. В таблице приведен ряд динамики
помесячного товарооборота магазина
|
Месяц
|
Условное время, t
|
Товарооборот, тыс./грн.
|
|
Январь
|
1
|
1450
|
|
Февраль
|
2
|
1650
|
|
Март
|
3
|
1550
|
|
Апрель
|
4
|
2050
|
|
Май
|
5
|
2150
|
|
Июнь
|
6
|
1950
|
|
Июль
|
7
|
2050
|
|
Август
|
8
|
2350
|
|
Сентябрь
|
9
|
2650
|
|
Октябрь
|
10
|
Вычислить:
. средний месячный товарооборот,
. абсолютный прирост товарооборота,
. коэффициенты и темпы роста и
прироста,
. средний абсолютный прирост,
. средний темп роста.
Выровнять ряд динамики скользящей
средней с группировкой по 3 и линейным трендом. Изобразить ряд динамики и
результаты выравнивания графически. Проанализировать полученные результаты и
сформулировать выводы.
Средний месячный
товарооборот = 
грн./мес.
Абсолютный прирост
товарооборота - характеризует увеличение или уменьшение уровня товарооборота за
определенный промежуток времени. Он определяется по формуле:
цепной:

базисный:

,
где 
- товарооборот
отчетного периода,

товарооборот предыдущего
периода,

товарооборот начального
периода.
Темп роста - это
показатель интенсивности изменения уровня ряда, который выражается в процентах,
а в долях выражается коэффициент роста. Он определяет во сколько раз увеличился
уровень по сравнению с базисным, а в случаи уменьшения - какую часть базисного
уровня составляет сравниваемый. Коэффициент роста может быть рассчитан по
формуле:
цепной:

базисный:

.
Темп роста будет
определен так:
цепной:

базисный:

, %
Темп прироста показывает
относительное увеличение прироста и на сколько процентов сравниваемый уровень
больше или меньше уровня, принятого за базу сравнения. Темп прироста может быть
рассчитан по следующей формуле:
цепной:

базисный:

,
А коэффициент темпа
прироста так:
цепной:

базисный:

,
Средний абсолютный
прирост показывает, на сколько единиц увеличивался или уменьшался уровень по
сравнению с предыдущим в среднем за единицу времени, характеризует среднюю
абсолютную скорость роста (или снижения) уровня и всегда является интервальным
показателем и вычисляется следующим образом:
цепной:

базисный:

,

, 
=111,11 (грн./мес)
Средний темп роста
характеризует динамику процесса, показывая, как быстро изменяются уровни ряда
во времени. Вычисляется по следующей формуле:

, %

=106%
Результаты вычислений
представлены в табличке ниже:
Динамический ряд
представляет собой последовательность числовых значений, характеризующих
развитие во времени некоторого признака исторического явления, основной
составляющей которого является временной тренд выражающий тенденцию возрастания
или убывания изучаемого признака во времени. Временной тренд определяется при
помощи выравнивания динамического ряда.
t Товарооборот,
тыс./грн. 
, тыс./грн
тыс./
грн


,
%
,
|
% тыс./грн тыс./грн
|
|
|
|
|
|
|
|
|
|
1
|
1450
|
|
|
|
|
|
|
|
|
|
2
|
1650
|
1,14
|
1,14
|
113,8
|
113,8
|
1,14
|
1,14
|
13,79
|
13,79
|
|
3
|
1550
|
0,94
|
1,07
|
93,94
|
106,9
|
0,94
|
-6,06
|
6,90
|
|
4
|
2050
|
1,32
|
1,41
|
132,3
|
141,4
|
1,32
|
1,41
|
32,26
|
41,38
|
|
5
|
2150
|
1,05
|
1,48
|
104,9
|
148,3
|
1,05
|
1,48
|
4,88
|
48,28
|
|
6
|
1950
|
0,91
|
1,34
|
90,70
|
134,5
|
0,91
|
1,34
|
-9,30
|
34,48
|
|
7
|
2050
|
1,05
|
1,41
|
105,1
|
141,4
|
1,05
|
1,41
|
5,13
|
41,38
|
|
8
|
2350
|
1,15
|
1,62
|
114,6
|
162,1
|
1,15
|
1,62
|
14,63
|
62,07
|
|
9
|
2650
|
1,13
|
1,83
|
112,8
|
182,8
|
1,13
|
1,83
|
12,77
|
82,76
|
|
10
|
2450
|
0,92
|
1,69
|
92,45
|
168,9
|
0,92
|
1,69
|
68,97
|
Выравнивание динамического ряда
имеет целью выявление временного тренда, характеризующего тенденцию развития
процесса, путем погашения случайных колебаний уровней ряда. Достигается
механическим сглаживанием или аналитическим выравниванием. Выбор способа
зависит от типа ряда.
В данном случаи применен метод
скользящей средней и с группировкой по три и линейным трендом.
Метод скользящей средней основан на
свойстве средней погашать случайные отклонения от общей закономерности. Расчет
скользящей средней осуществляется по средней арифметической простой из
заданного числа уровней ряда, с отбрасыванием, при вычислении каждой новой
средней, предыдущего уровня и присоединением следующего. Сглаживание методом
простой скользящей средней заключается в том, что вычисляется средний уровень
из 3, 5, 7 и т.д. уровней. В результате, расчет средней, как бы, скользит от
начала ряда динамики к его концу.
В нашем случаи сглаживание средней
будет производиться с группировкой по три. Тогда вспомогательные расчеты
приведены в таблице:
|
t
|
y
|
ys
|
|
1
|
-
|
-
|
|
2
|
4650
|
1550
|
|
3
|
5250
|
1750
|
|
4
|
5750
|
1916,667
|
|
5
|
6150
|
2050
|
|
6
|
6150
|
2050
|
|
7
|
6350
|
2116,667
|
|
8
|
7050
|
2350
|
|
9
|
7450
|
2483,333
|
|
10
|
-
|
-
|
Сглаживание при помощи линейного
тренда осуществляется при помощи допущения, что данная выборка имеет
представление в виде линейного уравнения y=a0+a1t, параметры которого рассчитываются методом наименьших квадратов:

, 
Для определения
параметров a0 и a1
методом наименьших квадратов рассчитаем вспомогательные переменные:
|
y
|
t
|
y*t
|
t2
|
Y
|
|
1450
|
-9
|
-13050
|
81
|
1490
|
|
1650
|
-7
|
-11550
|
49
|
1610
|
|
1550
|
-5
|
-7750
|
25
|
1730
|
|
2050
|
-3
|
-6150
|
9
|
1850
|
|
2150
|
-1
|
-2150
|
1
|
|
1950
|
1
|
1950
|
1
|
2090
|
|
2050
|
3
|
6150
|
9
|
2210
|
|
2350
|
5
|
11750
|
25
|
2330
|
|
2650
|
7
|
18550
|
49
|
2450
|
|
2450
|
9
|
22050
|
81
|
2570
|
Рис. 4. Графическое изображение
рядов динамики
Выводы: при помощи полученных
расчетов по данным товарооборота, мы можем с уверенность судить о том, что на
протяжении десяти месяцев его значения то возрастают, то убывают со средним
месячным значением товарооборота равным 2030 грн./мес. Что касается методов
сглаживания, то они дают возможность не только аналитически, но и графически
увидеть возможное равномерное распределения товарооборота разными методами.
3. В таблице приведены
сведения о количестве приобретенных продуктов питания на душу населения и цена
в апреле и мае месяце
|
Продукты
|
Апрель
|
Май
|
|
Кол-во, кг
|
Цена, грн./кг
|
Кол-во, кг
|
Цена, грн./кг
|
|
Мясо
|
5,5
|
20,9
|
6,2
|
23,9
|
|
Овощи
|
15
|
3,7
|
12
|
4,7
|
|
Молоко
|
6
|
3,5
|
7,5
|
3,7
|
|
Хлеб
|
12
|
2,4
|
15
|
2,4
|
Вычислить:
. Общий и агрегатный индекс динамики
стоимости продуктов питания.
. Абсолютное изменение общей
стоимости, а также изменение стоимости из-за изменения цен; из-за изменения
количества продуктов. По результатам расчетов сделать выводы.
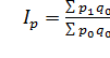
Индекс - это
обобщающий относительный показатель, характеризующий изменение уровня
общественного явления во времени, по сравнению с программой развития, планом,
прогнозом или его соотношение в пространстве.
Различают два основных вида
индексов:
- простые
(частные, индивидуальные);
аналитические
(общие, агрегатные).
Во втором случае
изучаемый признак используется не изолированно, а в его взаимосвязи с другими
признаками. Поэтому любой аналитический индекс состоит из двух элементов:
индексируемый признак P, то есть тот признак, изменение которого подвергается
изучению и весовой признак Q.
Следует отметить,
что простые и аналитические индексы взаимно дополняют друг друга.
Однородные явления
можно непосредственно суммировать и исчислять индексы, характеризующие
изменение не одного элемента, а группы элементов или всей совокупности в целом.
Такие индексы называются общими индексами. Так, можно суммировать количество
проданных однородных товаров по группе фирм и исчислить общий индекс
физического объема товарооборота по формуле:

,
где знак
означает
суммирование данных о количестве одного товара по нескольким фирмам.
Можно суммировать
товарооборот по нескольким товарам и исчислять общий индекс товарооборота по
формуле:

,
Для изучения
изменения одного фактора необходимо абстрагироваться от изменения второго,
взаимосвязанного с ним фактора и построить общий индекс в агрегатной форме.
Аналитические
индексы могут быть представлены следующим образом:

или 
,
где q0 и q1
- весовые признаки.
В числителе индекса -
товарооборот отчетного периода, в знаменателе - товарооборот отчетного периода
в ценах базисного периода, а разность между ними характеризует: с позиции
продавца - абсолютное изменение товарооборота за счет изменения цен, с позиции
покупателя - экономию (перерасход) населения от изменения цен на товары:
Так, агрегатный индекс
физического объема товарооборота должен показать изменение количества проданных
разнородных товаров, поэтому в числителе его берется отчетное количество
товаров (q1), а в знаменателе - базисное (q0), т.е.
индексируемый показатель изменяется, а взвешивание производится в одних и тех
же ценах базисного период (p0):

.
В числителе этого
индекса - условная величина товарооборота отчетного периода в ценах базисного
периода, в знаменателе - реальная величина товарооборота базисного периода.
Разность между числителем и знаменателем индекса покажет абсолютное изменение
товарооборота за счет изменения физического объема товарооборота:
Агрегатные индексы
объемных и качественных показателей, построенные с различными весами,
взаимосвязаны между собой так же, как индивидуальные индексы: произведение
агрегатного индекса физического объема товарооборота на агрегатный индекс цен,
дает агрегатный индекс товарооборота:
Iqp=Iq*Ip
Расчет показателей:

,

46.32 (грн.)


(грн.)

.

(грн.)
вариационный зарплата полигон
дисперсия
Iqp=Iq*Ip=1,24
Вывод: за счет всех
факторов общий индекс динамики увеличился на 22% или на 46,32 грн. Что касается
индексов как по цене таки по объему, то большее значение принял индекс по цене,
он составил 1,16 или изменение за счет его на 170,94 грн., когда за счет объема
на 67,1 грн.