Оцінка тижневого рівня рухової активності учнів старшого шкільного віку міської та сільської місцевості
Список
умовних скорочень
БР - базовий рівень
ВР - високий рівень
МСК - максимальне
споживання кисню
МР - малий рівень
РА - рухова активність
СИР - сидячий рівень
СР - середній рівень
ФВп - фізичне виховання
ФВ - фізичні вправи
ФК - фізична культура
ЦНС - центральна нервова
система
Вступ
старшокласник руховий
активність
Актуальність. Рухова
активність - складається із суми рухів, які виконує людина в процесі
життєдіяльності. Рухова активність невіддільна частина здорового способу життя
і поведінки людини, яка визначається соціально-економічними і культурними
формами, морфо-функціональними особливостями організму, типу нервової системи,
кількості вільного часу, мотивації до занять фізичною культурою, доступності до
занять на спортивних майданчиках і місцях відпочинку дітей та підлітків.
Існує п’ять видів рухової
активності:низький рівень, нижче середнього, середній, вище середнього,
високий.
У дітей старшого
шкільного віку найбільш ефективні такі види рухової активності: ходіння, біг,
присідання, катання на роликах, скейтбордах, стрибки, плавання, їзда на
велосипеді, ходіння на лижах, рухливі ігри.
У шкільному віці
спеціально організована рухова активність може здійснюватися як обов’язкова, регламентована
програма фізичного виховання у школі, так і добровільна у вільний від навчання
час у вигляді організованих занять. Добові потреби в рухах підлітків
задовольняються в середньому на 18-22%, тому й дефіцит складає приблизно 80%.
Це призвело до негативних наслідків для здоров’я школярів. Так, за офіційними
даними Міністерство охорони здоров’я України, 50% учнів мають функціональні
відхилення в діяльності різних систем організму: серцево-судинної системи,
захворювання органів травлення, ендокринної системи. До часу випуску зі школи у
багатьох старшокласників спостерігаються відхилення у стані здоров’я. За останні п’ять років у
загальноосвітніх школах зросла кількість учнів, віднесених за станом здоров’я до спеціальних
медичних груп. У 56% дітей низький рівень фізичного здоров’я, 36% - нижче
середнього й середній і лише 7,5% - високий. Збільшилась кількість школярів з
психічними розладами, та з порушенням постави. Це зумовлюється дією цілої низки
несприятливих чинників, з-поміж яких головний - недостатня рухова активність,
яка трактується як діяльність індивідума, що спрямована на досягнення фізичної
досконалості. У продовж життя рухова активність має різне значення. Так, у
дитячому віці вона забезпечує нормативний розвиток організму, сприяє повній
реалізації генетичного потенціалу, підвищує опірність захворюванням.
Саме тоді, коли
проходить становлення організму, він найбільш чутливий до впливу несприятливих
факторів навколишнього середовища, у тому числі й обмеженої рухової активності,
що призводить до виникнення гіпокінезії (нестача рухів) та гіподинамії (нестача
фізичних навантажень).
Сьогодні ці питання
висвітлюються у державних документах: закон України “Про освіту”, “Про фізичну
культуру і спорт”, “Державній програмі розвитку фізичної культури і спорту в
Україні” поставлена мета створити умови, за яких будуть покликані до життя
творчі сили молодої особистості, відкриває простір до її активної
самореалізації.
Вище зазначене обумовлює
актуальність теми, яка пов’язана з необхідністю теоретичного, методичного обґрунтування
концептуальних основ рухової активності старшокласників під час навчального
процесу.
Мета роботи: Визначити
об’єм добової рухової
активності дітей старшого шкільного віку.
Завдання:
.Проаналізувати дані
спеціальної літератури з проблем аналізу рухової активності дітей старшого
шкільного віку.
2.Оцінити об’єм добової рухової
активності дітей старшого шкільного віку.
.Розробити практичні
рекомендації з компенсації дефіциту рухової активності старшокласників в
позаурочний час, за допомогою різних форм позаурочних занять фізичними
вправами.
Об’єкт дослідження - процес
фізичного виховання з дітьми старшого шкільного віку.
Предмет дослідження:
аналіз режиму рухової активності дітей старшого шкільного віку.
Методи досліджень:
.Аналіз літературних
джерел.
.Соціологічний метод
(метод анкетування).
3.Методика фремінгемського
дослідження рухової активності.
4.Педагогічне
спостереження.
.Методи математичної
статистики.
Практична значущість
роботи: полягає в тому, що на підставі отриманих даних буде доповнена методика
збільшення рухової активності дітей старшого шкільного віку міської та
сільської місцевості.
Структура роботи:
магістерська робота викладена на сторінках і складається із вступу, трьох
розділів, висновків, списку використаних джерел (джерел), включає таблиці та
рисунків.
РОЗДІЛ 1. ФІЗІОЛОГІЧНІ
ОСОБЛИВОСТІ СТАРШОКЛАСНИКІВ
.1 Норми рухової
активності дівчат та юнаків віком 15-16 років
У віці 15-16 років тиск
на опорно-руховий апарат ще більше зростає. У першу чергу тиск припадає на
хребет. Сидячий спосіб життя і малорухомість призводить до різних захворювань,
найпоширенішим серед них, є порушення постави. Уникнути цього можна легко. Для
цього потрібно стежити за положенням спини під час ходьби і сидіння за партою,
в основному під час читання та письма. Спина повинна бути рівною, ходити,
потрібно не сутулячись [22, 30].
Велике значення для
фізичного розвитку має ходьба та біг. Ці види рухової активності найбільш
практичні і найбільш розповсюджені, з ними стикається кожна людина. Ходьба та
біг характерні тим, що вони розвивають серцево-судинну систему, зміцнюють м’язи
ніг підвищують загальну витривалість. Денною нормою вважається 3 години ходи.
Ранкові пробіжки на невеликі відстані не принесуть шкоди, а навпаки допоможуть
прокинутися усьому організму [17].
Заняття різними видами
спорту може допомогти уникнути більшості проблем із здоров’ям. Наприклад,
баскетбол, футбол, волейбол. розвивають моторику рухів, дають можливість
побігати і втратити зайву жир, наростити м’язову тканину. Заняття легкою і
важкою атлетикою безпосередньо поліпшують стан м’язів, підтримка їх в тонусі
допоможе не тільки уникнути багатьох хвороб, але й забезпечити гарне
самопочуття. Гімнастика - універсальний спосіб, тримати себе в гарній фізичній
формі. Під час занять гімнастичними вправами задіяні всі м’язи і майже всі
системи організму. На сьогоднішній день спорт досягнув великої популяризації, і
зараз є великий вибір для заннять різними видами спорту. Для юнаків у віці
15-16 років характерні такі види спорту як: заняття культуризмом, плаванням,
футболом, різними видами єдиноборств. Для дівчат у віці 15-16 років характерні
такі види спорту як: займання фітнесом, шейпінгом, аквафітнесом, аеробікою,
пілатесом [12, 17, 30].
У сучасній школі
виділяють три етапи фізичного виховання: початкове навчання або базовий етап
(1-4класи), освітній етап (5-9 класи), результативний етап спеціальної
спрямованості (10-11 класи). На останньому етапі школярі готуються до вступу в
доросле життя, практичного використання в ньому набутих у школі знань, умінь і
навичок для зміцнення здоров'я як найвищої гуманістичної цінності, впровадження
здорового способу життя, удосконалення фізичних рухових якостей, організації
дозвілля засобами фізичної культури і спорту. Проблема підвищення рівня
фізичної підготовленості учнівської молоді визиває непокоєння у державних органів
влади. Про це свідчить цільова комплексна програма "Фізичне виховання
здоров'я нації", яка спрямована на забезпечення фізичного здоров'я нації,
виховання фізичних якостей, заохочення до активного життя. Дослідження
проводилось у рамках вищезазначеної програми і орієнтовано на вирішення
практичних завдань фізичної підготовленості старшокласників.
Додержання правильного
рухового режиму учнями старших класів - важлива умова їхнього фізичного розвитку та підтримання розумової працездатності [14, 18].
Зростання розумових
навантажень у старших класах вимагає щоденного активного відпочинку на свіжому
повітрі (фізичні вправи, екскурсії, туризм, прогулянки, ігри). Для
старшокласників активний відпочинок на свіжому повітрі має становити не менш як
дві години на добу. Позаурочні і позашкільні форми занять необхідно
організувати так, щоб вони компенсували дефіцит рухової активності. Ця
кількість рухової активності для старшокласників необхідна тому, що вона має
оптимальний рівень фізичних навантажень для гармонійного і фізичного розвитку
учнів, що сприяє зміцненню і збільшенню здоров’я, підвищує силу, загальну
витривалість, покращує роботу внутрішніх органів і організму в цілому.
Необхідна рухова норма
на тиждень становить 6-7 годин занять фізичними вправами (щоденна ранкова
зарядка, фізкультура при виконанні домашніх завдань, два уроки фізкультури,
три-чотири заняття в спортивній секції, участь в змаганнях) сприятливо
впливають на фізичний розвиток школяра і є оптимальною нормою його рухової
активності [59, 4, 11].
.2 Особливості фізичного розвитку дітей старшого шкільного віку
Старший шкільний вік відноситься до
початку юнацького (у дівчат і юнаків - з 15 років) і збігається із закінченням періоду статевого дозрівання.
Ріст і розвиток організму тривають, але вже в більш уповільненому темпі
порівняно з попередніми періодами. Будова і пропорції тіла юнаків і дівчат
практично не відрізняються від дорослих. У цей період закінчується процес
окостеніння більшої частини скелета. Потовщується і зміцнюється кістяк скелета.
Пропорції тіла наближаються до показників дорослих [5, 34, 21, 56].
У дівчат та юнаків
велика різниця в розвитку мускулатури, у юнаків вона наростає рівномірно, у
дівчат центр ваги кілька саниметрів опущений за рахунок не пропорційного
розвитку мускулатури, меншою мірою розвинена маса м'язів рук і плечового пояса,
більшою - м'язів тазу. У дівчат маса м'язів на
13% менше, вони поступаються в силі юнакам.
Маса серця у дівчат на 10-15% менше, ніж у
хлопців. У хлопців маса серця
становить всередньому- 300 грамів. У дівчат маса серця становить приблизно-265
грамів (залежно від маси тіла). Частота
серцевих скорочень вище, ніж у юнаків, дихання частіше, а життєва ємність
легенів на 1 л менше. Частота серцевих скорочень у спокої в хлопчиків становить 63-68 ударів за хвилину, частота
дихання 15-18 вдихів за хвилину, життєва ємність легень 3000-3500 мілілітрів. Частота серцевих скорочень
у спокої в дівчат становить 72-77 ударів за хвилину, частота дихання 18-22
вдихів за хвилину, життєва ємність легень 2500-3000 мілілітрів.
Завершується розвиток
ЦНС. Процеси збудження і гальмування врівноважуються. Збільшується здатність
мозку до аналізу і синтезує діяльності. Учні
здатні виконувати вправи на основі тільки словесних вказівок вчителя.
У юнаків швидко збільшується м'язова
маса; еластичність м'язів і їхня нервова регуляція знаходяться на оптимальному
рівні; опорно-руховий аппарат здатний витримати значні навантаження.
Продовжують збільшуватися маса
серця, швидкість скорочень серцевого м'яза, хвилинний об'єм крові, поліпшується
нервова і гормональна регуляція серцево-судинної системи.
Юнаки та дівчата дуже чутливі до
сприйняття своєї зовнішності, порівнюють свої фізичні дані з даними одноліток.
Юнаки переоцінюють свої сили, часто
беруть високий темп при бігу. Дівчата недооцінюють свої сили, не впевнені в
собі, особливо у вправах, які вимагають сміливості і рішучості, більш емоційні
і чутливі.
При організації фізичного виховання
в старшому шкільному віці методика проведення уроку наближається до методики
занять з дорослими. Динаміка навантажень досягає рівня, характерного для
спортивного тренування.
При заняттях з дівчатами щадити
м'язи і органи малого тазу, уникати вправ, що викликають підвищений
внутрішньочеревний тиск. Це стосується вправ із затримкою дихання, натужуванням, підніманням тягарів,
стрибків у глибину.
Зміст уроків, дозування навантажень
і оцінка фізичної підготовленості диференціюються залежно від статі.
У цьому віці необхідно розвивати
здатність до самостійного аналізу занять фізичними вправами, спираючись на
знання учнів, отримані на уроках фізики, хімії, біології.
Використовуються високі навантаження
та вправи, що вимагають статичних зусиль. Характерні вправи з обтяженнями, які
виконуються з прискоренням. Добре розвиваються швидкісно-силові здібності.
Створюються умови для розвитку
загальної та швидкісної витривалості, що сприяє підвищенню працездатності,
розвитку вольових якостей. Необхідно формувати інтерес і мотивацію до фізичного
вдосконалення і занять різними видами спорту. Також важливо навчати школярів
методам самоконтролю на заняттях. При тривалих вправах інтенсивність
навантаження не повинна перевищувати 80-85% максимальної. Рекомендується застосовувати різні види
аеробіки, бодібілдингу, фітнесу,
шейпінгу, елементів хореографії.
У старших класах використовується
весь арсенал засобів фізичного виховання, який значно розширюється в порівнянні
з середнім шкільним віком. Широко використовуються технічні прийоми спортивних
ігор; для дівчат - різні види аеробіки, художня гімнастика; для юнаків - елементи
боротьби, стройові прийоми військової підготовки і подолання перешкод, вправи
на тренажерах, атлетизм [4, 11, 53].
.2.1 Завдання фізичного виховання в старшому шкільному віці
· Зміцнювати здоров'я, сприяти
всебічному фізичному розвитку, досягнення і підтримання високої працездатності
в процесі навчання;
· Забезпечувати всебічний розвиток
всіх рухових якостей: гнучкість,
витривалість, спритність, сила, швидкість;
· Поглиблювати знання основ
спортивного тренування і самоконтролю;
· Формувати стійку звичку до
самостійних занять фізичними вправами, вміння складати індивідуальну програму
занять фізичними вправами і систематично використовувати її в процесі
самовдосконалення.
Фізичне виховання в 9-10-х класах
проводиться за двома різними програмами: для юнаків і для дівчат. Урок фізичної культури проводять два вчителя.
У старшому шкільному віці більш
за все використовуються груповий та індивідуальний методи організації учнів, а при розвитку рухових
якостей - позмінний і самостійний. Уроки носять характер спортивного
тренування. Учитель фізкультури виконує функції тренера-вікладача.
Основні положення комплексної програми
підвищення фізичної
працездатності:
- дотримання нормального
обсягу організованої рухової активності, відвідування занять з фізичного виховання протягом чотирьох годин
на тиждень;
виконання рекомендованого
рухового режиму в позанавчальний час;
поліпшення рівня
функціонального стану і рухового режиму організму, що суб’єктивно
відображається на зміні показників фізичної працездатності і морфофункціонального
стану організму;
єдність засобів фізичної
культури і збалансованого харчування, забезпечення енергетичного відновлення
організму після фізичних навантажень;
розвиток ініціативи у учнів, вмінння приймати
самостійні рішення до оптимізації індивідуального підбору засобів і методів
фізичної культури;
використання запропонованої комплексної програму як суб’єктивного фактору фізичної працездатності для
повсякденної діяльності;
творче ставлення учнів до занять;
оцінювання засвоєння учнями15-16 років теоретичних знань
з фізичної культури і підвищення фізичної працездатності;
заняття аутотренінгом під
керівництвом викладача або самостійне вдосконалення його цілющого впливу на
фізичну працездатність;
зосередження уваги
фізичного виховання учнів у зміцненні серцево-судинної
та дихальної систем, які виступають одними з головних чинників формування
фізичної працездатності [14, 15, 19].
1.2.2 Основні завдання
фізичного виховання
Будь-яка мета
реалізується шляхом її конкретизації в цілому комплексі послідовних, тісно
взаємопов'язаних завдань. У цьому контексті завдання можна розглядати як малі,
конкретні кроки, що ведуть до кінцевого результату діяльності.
У процесі фізичного
виховання вирішується багато завдань, але всі вони можуть бути умовно об'єднані
у три групи: освітні, оздоровчі і виховні.
Освітні завдання
Ця група специфічних
завдань, що вирішуються у процесі фізичного виховання полягає в тому, щоб:
зробити
надбанням кожного базові науково-практичні знання, нагромаджені у сфері
фізичної культури;
забезпечити
раціональне формування індивідуального фонду рухових ' умінь і навичок,
необхідних у житті, та довести їх до необхідного рівня досконалості;
навчити кожного
застосовувати набуті знання і навички у повсякденному житті з метою самовдосконалення.
Освітня спрямованість
фізичного виховання реалізується, перш за все, шляхом планомірної передачі
вчителем і наступним засвоєнням учнями певного обсягу знань, систематичним їх
поповненням і поглибленням. Сучасні програми фізичного виховання передбачають
досить широке коло фізкультурно-оздоровчих знань, що охоплювали б усі чинники
розумної організації і забезпечення життєдіяльності, які в сукупності одержали
назву "здоровий спосіб життя". Це знання про суть фізичної культури,
її значення для особистості і суспільства, принципи і правила раціонального
використання її цінностей; знання суто прикладного характеру, які є необхідною
передумовою усвідомленого засвоєння рухових умінь, формування навичок,
ефективного використання фізичних можливостей у житті та
фізкультурно-гігієнічні знання.
З метою засвоєння знань
можуть проводитись спеціальні заняття. В різних країнах теоретичні заняття з
питань фізичного виховання, які входять до шкільної програми, називаються
по-різному: в США і Японії - це "Навчання здорового способу життя", в
Австралії - "Навчання раціональної організації дозвілля", у Фінляндії
- "Формування навичок здорового способу життя". В інших країнах
читаються й окремі курси з питань, що торкаються здоров'я І рухової активності.
Серед них: "Особисте здоров'я", "Основи раціонального
харчування"[14].
Ґрунтуючись на
відповідних знаннях, у процесі фізичного виховання вирішуються і завдання із
системного формування і вдосконалення необхідних у житті рухових умінь та
навичок. Освітній сенс таких завдань визначив автор вчення про "фізичну
освіту" П.Ф. Лесгафт. Він підкреслював, що було б помилково обмежувати
фізичне виховання лише турботою про розвиток тілесних якостей людини. Не менш
важливим є вміння свідомо аналізувати окремі рухи, порівнювати їх і об'єднувати
в рухові дії та рухову діяльність, керувати ними і пристосовувати до перешкод,
спритно і наполегливо долаючи їх. Іншими словами, необхідно навчатись з
найменшими зусиллями і за найкоротший відрізок часу свідомо здійснювати
найбільшу фізичну роботу.
Без набуття рухових
умінь і навичок неможливо домогтись успіху у практичній діяльності. Навіть
звичайні фізичні задатки людини, які вона одержала від природи, так і
залишаться не розвинені, якщо не реалізувати їх у діяльності, пов'язавши з
раціональними способами виконання рухових дій. Формуючись як цілісно
відрегульовані способи управління рухами, рухові уміння і навички є необхідними
складовими рухових здібностей.
Природна послідовність у
формуванні індивідуальних рухових умінь і навичок така: на базі вроджених
рухових можливостей і елементарних рухів формуються відносно прості рухові
уміння, які, закріплюючись, трансформуються в навички. Зі збільшенням числа і
різноманітності набутих рухових умінь і навичок зростає можливість швидкого
становлення нових практичних умінь, що відповідають вимогам життя.
Ця закономірність
повинна враховуватись при реалізації освітніх завдань на всіх етапах
багаторічного процесу фізичного виховання. На перших етапах передбачається
забезпечити базову фізичну освіту - формування вихідних і основних життєво
важливих рухових умінь і навичок (ходьба, біг, керування предметами, подолання
перепон тощо). На наступних етапах вирішуються завдання із забезпечення
індивідуальних умінь і навичок в обсязі, необхідному кожній людині, та поглиблене
вдосконалення умінь і навичок, спрямоване на спеціалізацію у вибраних видах
діяльності (в тому числі і спортивній). При цьому, як предмет удосконалення,
використовуються не тільки ті рухові дії, які знаходять застосування в
повсякденній діяльності (так звані прикладно-побутові та професійно-прикладні),
але і ті, які не характеризуються прикладністю, але ефективні у плані
різнобічної фізичної освіти та цінні для вдосконалення фізичних здібностей
[15].
Вирішення освітніх
завдань не самоціль, їх реалізація спрямована на одержання максимального ефекту
від занять фізичними вправами в напрямку їх впливу на фізичну і духовну сферу
людини, її здоров'я та творче довголіття.
Оздоровчі завдання
Група оздоровчих завдань
спрямована на:
забезпечення
оптимального розвитку властивих людині фізичних якостей і на їх основі
вдосконалення фізичного розвитку. "Фізичними" прийнято називати
вроджені (передані за спадковістю) морфофункціональні властивості, завдяки яким
можлива фізична активність;
зміцнення і
збереження здоров'я. Завдання із зміцнення здоров'я вирішуються у процесі
фізичного виховання на основі вдосконалення властивих кожній людині фізичних
якостей, особливо тих, розвиток яких призводить до піднесення загального рівня
функціональних можливостей організму. Але це не означає, що завдання зі
зміцнення здоров'я і вдосконалення рухових здібностей у фізичному вихованні
повністю співпадають, а їх реалізація не має своїх особливостей. Зокрема,
завдання із загартування та виховання навичок дотримуватись здорового способу
житія мають самостійне оздоровче значення, і його реалізація передбачає
спеціальну систему фізкультурно-гігієнічних заходів;
удосконалення
будови тіла і формування постави. У комплексі поставлених завдань з метою
оптимізації індивідуального фізичного розвитку передбачаються і конкретні
завдання із вдосконалення будови тіла. Досконалі форми тіла певною мірою
виражають досконалість функцій організму. Одним із виразів нормального
фізичного розвитку людини є риси тілесної краси, які свідчать про її життєві
сили і тому мають ще й естетичну цінність. Проте, прагнення надати тілу надто
вражаючих форм виправдано лише якщо це не стає окремою метою, а підпорядковане
інтересам всебічного розвитку особи, й основним життєво важливим якостям і
здібностям. В окремих випадках завдання з регулювання м'язових об'ємів, ваги
тіла, виправлення постави. можуть мати і лікувально-профілактичний чи
лікувально-корегуючий ефекти;
забезпечення
творчого довголіття як наслідок вирішення попередніх завдань.
В єдності з реалізацією
розглянутих специфічних завдань у процесі фізичного виховання вирішуються і
загально-педагогічні - виховні завдання.
Виховні завдання, які
покликаний вирішувати у процесі фізичного виховання кожен педагог, повинні
забезпечити соціальне формування особи, виховання членів суспільства, відданих
його ідеалам, які відстоюють його інтереси.
Говорячи про якості
вчителя, К.Д. Ушинський відзначав, що педагог повинен бути не тільки
викладачем, а, й насамперед, вихователем. Головне достоїнство гімназійного
викладача він вбачав у вмінні виховувати учнів своїм предметом.
Реалізація виховних
завдань сприяє втіленню вікової мрії людства про гармонію у вихованні, якою
вона представлялася кращим мислителям у різні часи та епохи.
Підготовку всебічно
розвинених членів суспільства вважав метою виховання Фур'є. В новому світі, за
його прогнозами, виросте нова людина, фізично розвинена, творчо активна,
знайома з декількома ремеслами, основами наук і мистецтв.
Об'єктивною основою
органічного взаємозв'язку всіх сторін виховання виступає єдність фізичного і
духовного розвитку людини.
Вирішення виховних
завдань передбачає:
розвиток
інтелекту й утвердження життєвого оптимізму;
патріотичне та
моральне загартування молоді, виховання волі;
виховання
любові до праці;
розширення
сфери естетичного впливу навколишнього середовища на особу [15, 19].
.3 Засоби збільшення
фізичного виховання учнів старших класів
Політичні й економічні
перетворення, які відбуваються в Україні, викликають потребу в удосконаленні
всіх ланок сучасного життя, у тому числі соціальної адаптації старшокласників
до життя в сучасних умовах.
У цьому плані важливим є виховання
гармонійно розвинутих і здорових дітей. Та, на жаль, упродовж останніх років у нашій країні
склалася негативна ситуація зі станом здоров’я дітей усіх вікових груп.
Навчальний предмет “Основи здоров’я
і фізична культура” у загальноосвітніх навчальних закладах спрямовано на реалізацію
оздоровчих,
навчальних та виховних завдань. Для
виконання поставлених завдань необхідно формувати знання з фізичної культури, позитивні
мотиви іпотребу до цих занять, виховувати бажання систематично займатися
фізичною культурою й отримувати задоволення
від неї,
у старшокласників спостерігається зміна структури особистісних мотивацій, зниження інтересу до занять
фізичноюкультурою і спортом та, як наслідок, зниження рухової активності і
рівня здоров’я.
Беручи до уваги невтішні дані стану
здоров’я школярів старших класів та враховуючи вікові особливості дітей старшого шкільного віку,
необхідно звернути
увагу на: виховання в них інтересу і звички до занять фізичними вправами; виховання дбайливого
ставлення до свого здоров’я; формування стійких мотиваційних настанов на здоровий спосіб життя;
усвідомлення необхідності розвивати
свої фізичні здібності та рухові уміння і навички; виховання морально-вольових і психологічних якостей особистості.
Так, проблема підвищення рухової
активності та розвитку рухових умінь інавичок, необхідних для підтримки
оптимального рівня фізичного здоров’я, залишається невирішеною, актуальною та потребує наукового
обґрунтування.
Рухова
активність виступає зовнішнім виявом психічної діяльності. Гімнастика, біг, ігри на свіжому повітрі, плавання, катання на ковзанах, ходьба на лижах та інші фізичні вправи - уся різноманітність рухів повинна гармонійно ввійти у повсякденне життя підлітків, адже двох шкільних уроків фізичної культури на тиждень замало для задоволення потреби у рухах і все бічного фізичного розвитку.
Рухова
активність- невід’ємна частина способу життя та поведінки дітей, яка визначається соціально-економічними і культурними чинниками, залежить від
організації фізичного виховання, морфо-функціональних особливостей зростаючого організму, типу нервової системи, кількості вільного часу, мотивації до занять, доступності спортивних споруджень та місць відпочинку дітей і підлітків [22, 30].
Індивідуальна норма
рухової активності повинна ґрунтуватися на доцільності та корисності для
здоров’я. Для цього потрібно орієнтуватися на показники, що характеризують
фізичне здоров’я дітей [2, 12, 14].
Під час аналізу рухової активності
підлітків виявлено, що лише 25% школярів дотримуються оптимальних величин
рухової активності - 3,5-4,8 години на добу
(ранкова гімнастика, дорога до школи, перерви, тренування у спортивних секціях, самостійні заняття фізичними вправами, активний відпочинок тощо).
Проаналізувавши обсяг рухової активності, руховий режим підлітків та оздоровчу цінність фізичних вправ, які вони
виконують, відзначаємо, що і у вчителів і у батьків існує великий потенціал щодо збереження та покращання здоров’я дітей
за рахунок збільшення рухової
активності.
Особливістю розвитку учнів старших класів є формування причинно-наслідкового мислення, а
також власного самовираження. Через це
старшокласникам надається можливість обирати фізичні вправи, вид спорту для поглибленого вивчення пріоритетного застосування в майбутній професії. Успіх занять фізичними вправами, улюбленим видом
спорту з опорою на вихований інтересдо фізкультурно-спортивної діяльності
багато в чому визначався тим, наскільки глибоко вчителі фізичної культури і тренери враховували
індивідуальні особливості фізичного розвитку своїх
вихованців. Саме з урахуванням цих особливостей
необхідно обирати форми, методи, прийоми творчої навчально-виховної
діяльності.
У роботах спеціалістів сфери
фізичного виховання, зокрема Т. Круцевич, О.Андреєва, Г. Безверхня, Н. Москаленко, зазначено, що успішність навчального процесу визначається не
лише методикою, а й інтересами до навчання загалом і до окремих предметів зокрема. Проблему інтересу
дофізичної культури вивчали вчені Б.Г. Ананьєв, В.Г. Ареф’єв, Н.В. Москаленко,
Т.Ю. Круцевич, Ю.М. Курашушина, М. Твердохліб та ін [44].
Аналіз праць зазначених
вище науковців свідчить, що мотиви й інтереси до занять фізичною культурою і
спортом школярів мають свої вікові та гендерні особливості, пов’язані з
психічним розвитком, соціальними і соціально-економічним умовами розвитку
особистості.
І.Д. Бех стверджує, що
застосування на уроках фізичної культури підходів щодо формування в учнів
морально-ціннісного ставлення до свого здоров’я та здорового способу життя,
зміцнення здоров’я надають можливість визначити найкращі шляхи впливу на
мотиваційну (потрібнісну) сферу учнів з метою активного впровадження здорового
способу життя як важливої соціальної умови організації життєдіяльності [1].
Зазначимо, що інтерес до занять фізичною культурою - один із виявів
складних процесів мотиваційної сфери. Успішна
реалізація мотивів і цілей викликає ушколярів натхнення успіхом, бажанням
продовжити заняття за власною ініціативою. На основі власних досліджень М. Твердохліб установив,
що інтерес школярів до фізичної
культури як до навчального предмету залишається постійним у продовж усього періоду навчання у школі, а інтерес до уроку фізкультури зменшується в
старших класах, особливо в учнів, які займаються в спортивних секціях. При цьому мотиви відвідування
уроків з фізичної культури суттєво впливають
на задоволення школярів цими уроками.
Низька активність школярів на уроках
фізкультури пояснюється не лише відсутністю інтересу до цього навчального предмету (особливо у старшокласників), але й недостатньою
професійною майстерністю вчителя.
Проблема підготовки майбутніх
вчителів з фізичного виховання та спорту, формування їхньої професійної компетентності є основним завданням
вищих навчальних закладів фізкультурного
профілю. Наступним аспектом
проблеми підвищення рухової активності старшокласників є перехід від природної
потреби в рухах в усвідомлену необхідність занять фізичними вправами саме в
підлітковий період. Стосовно цього питання також існує низка робіт. Так,
наприклад Ю.В. Драгнєв звертає увагу на профільне навчання старшокласників, яке
має, по-перше, забезпечувати загальноосвітню підготовку, по-друге - підготовку
до майбутньої професійної діяльності. Автор наголошує, що уроки
загальноосвітнього предмету “Фізична культура” повинні мати міжпредметні
зв’язки і забезпечувати всебічний гармонійний розвиток особистості
старшокласників, а якісне проведення уроків учителями сприяє залученню
старшокласників до самостійних занять фізичними вправами.
У своїй роботі
“Формування мотиваційно-ціннісного ставлення старшокласників до фізичного
виховання”, Є. Козак вказує на можливість вибору спортивної спеціалізації на
основі особистої зацікавленості підлітків, де конкуренція та змагання можуть
стати тими чинниками, які розвивають інтерес до фізичної культури.
Л. Кузьмина та Т.
Читенюк у своїх роботах зазначають, що нині дуже важливо підвищити роль
людського чинника, створити потужну систему мотивів і стимулів, які спонукають
кожну людину займатися своїм здоров’ям. При цьому все більшого значення набуває
здатність людини протистояти стомленню, різним зовнішнім чинникам та збереження
в цих умовах високої якості виконання складних операцій [21].
Отже, низька рухова
активність старшокласників пояснюється, недостатнім рівнем фізкультурної
освіченості школярів, слабким організаційно-методичним і матеріально-технічним
забезпеченням навчального процесу, недоліками в організації фізичного виховання
в школі, недооцінкою вчителями важливості цього напрямку.
Підвищення рухової
активності, розвиток рухових умінь та навичок може бути можливим лише за умови
проведення систематичних цілеспрямованих занять фізичними вправами, що мають
тренувальні режими і мають розвивальний характер. У школі такими формами виступають уроки фізичної культури, секційні заняття та виконання самостійних домашніх завдань.
Як свідчить аналіз літератури,
основними шляхами підвищення рухової активності та розвитку рухових умінь і навичок у старшокласників
на уроках фізичної
культури є: застосування навчально-розважальних ігор; змагання, якісприятимуть
активізації дітей з метою суперництва та самоствердження вколективі;
використання нестандартних уроків; застосування функціональної музики (музичний супровід допомагає
учням більш активно, з емоційним піднесенням виконувати запропоновані завдання) [25].
Фітнес-технологія для
підвищення рухової активності та фізичної підготовленості старшокласників.
У роботі відповідно до
сучасних тенденцій у фізичному вихованні проведених соціологічних досліджень і
встановленого низького рівня рухової активності розроблено фітнес-технологію із
можливістю застосування в урочній, позакласній та позашкільній формах
проведення занять для підвищення рухової активності та фізичної підготовленості
учнів 10-11 класів. Експериментальна перевірка ефективності розробленої
фітнес-технології дозволила рекомендувати її для практичного використання з
метою підвищення рухової активності та фізичної підготовленості учнів 10-11
класів [25, 28]. Теоретичний аналіз проблеми пошуку сучасних та ефективних засобів
підвищення рухової активності і фізичної підготовленості підлітків показав:
нинішніх підходів до програмування фізкультурно-оздоровчих занять з підлітками
недостатньо, що викликає необхідність урізноманітнення засобів фізичного
виховання підлітків.
Практично відсутні
науково-методичні розробки, які б дозволяли комплексно використовувати сучасні
види рухової активності, наприклад заняття фітнесом, у процесі
фізкультурно-оздоровчих занять з підлітками залежно від вікових особливостей,
фізичної підготовленості, статевих відмінностей у формуванні мотиваційних
пріоритетів, які сприяли б розвитку позитивної мотивації до занять фізичною
культурою, формували основи самостійної оздоровчої діяльності та формували
прагнення до здорового способу життя.
Актуальним є оновлення
змісту програми фізичного виховання старшокласників шляхом введення нових
різноманітних видів рухової активності, що відповідають їхнім інтересам [28,
30].
За результатами
конституційного експерименту, виявив що, рівень рухової активності старшокласників
окремих міст центральних та північних регіонів України є низьким і становить
близько 30%; для хлопців, порівняно з дівчатами, характерний на 6% вищий рівень
рухової активності;
найбільш популярними
видами рухової активності серед хлопців досліджуваних регіонів є спортивні
ігри, єдиноборства та заняття у тренажерному залі; а дівчат приваблюють
аеробіка, спортивні ігри, танці, елементи хореографії.
Провідними мотивами
систематичних занять фізичною культурою серед старшокласників є оздоровчі та
рекреаційні. Більшість учнів бажають використовувати у процесі фізичного
виховання види рухової активності, що відповідають засобам і напрямкам
оздоровчого фітнесу, особливості ставлення старшокласників до процесу фізичного
виховання в школі свідчать про необхідність удосконалення його змісту у
напрямку адекватності їхнім віково-статевим потребам, мотивам та інтересам, що
сприятиме підвищенню мотивації до занять в урочній, позакласній та позашкільній
формах.
Аналіз
науково-методичної літератури та мотиваційних пріоритетів підлітків дозволило
сформувати концепцію фітнес-технології для підвищення рухової активності та
фізичної підготовленості підлітків 15-16 років, сутність якої полягає в
органічному поєднанні сучасних напрямків і засобів оздоровчого фітнесу та теоретичних
знань з його застосування. Структура занять у запропонованій фітнес-технології
складалася з трьох загальноприйнятих частин: підготовчої, основної, заключної.
Кожна з частин поділялася на блоки: підготовча - на інформаційний та
розминочний, основна - на аеробний та варіативний, заключна містила
відновлювальний блок. Підбір засобів та напрямків оздоровчого фітнесу
здійснювали залежно від цільової спрямованості занять, статевих особливостей,
фізичної підготовленості та мотиваційних пріоритетів підлітків [28, 32].
Згідно з
фітнес-технологію були розроблені фітнес-програми третього уроку фізичної
культури в школі та секційних занять з фізичного виховання підлітків. Програми
розроблені на один навчальний рік та структуровані трьома етапами реалізації,
що відповідають періодам оздоровчого тренування: підготовчий (тривалість - 4
тижні, інтенсивність - 40-50% МПК); основний (тривалість - 11 тижнів,
інтенсивність в межах від50% до75%МПК), та підтримувальний (тривалість 17
тижнів, інтенсивність - 75-85%МПК).
Застосування
фітнес-технології за короткий термін (один навчальний рік) дозволило підвищити
обсяг рухової активності підлітків та досягти значних змін у ставленні
підлітків до власного здоров’я.
Приріст індексу рухової
активності у дівчат-підлітків у експериментальній групі 1 становив 9,82%, в
експериментальній групі 3, що займалася фітнесом з поєднанням урочної та
позаурочної форм занять, - 12,42%, а у контрольній групі - лише 2,38%.У хлопців
експериментальних груп позитивні зміни індексу рухової активності становили
відповідно 12,7% та 15%, на відміну від контрольної, де показники покращилися
лише на 2,0%. Факт статистично вірогідної позитивної динаміки приросту рівня
рухової активності в експериментальних групах підлітків порівняно з
контрольними може бути пояснений підвищенням інтересу до систематичних занять
фізичною культурою, збільшенням кількості підлітків, що почали займатися
самостійними формами занять і відвідувати додатково спортивні секції у вільний
від навчання час, та тенденцією до зменшення пропусків занять в
експериментальних групах;під впливом занять за розробленою фітнес-технологією
відбулися статистично вірогідні позитивні зміни у ставленні підлітків до
власного тілесного потенціалу, зокрема на 17% збільшилась кількість підлітків,
які більш позитивно сприймають власне Я, виявляють упевненість у досягненні
мети, готовність до подолання невдач за рахунок своїх можливостей та само активності [28, 31].
Результати експерименту
свідчать про ефективність застосування запропонованої фітнес-технології в контексті
підвищення рухової активності та фізичної підготовленості підлітків:
Статистичновірогідноюпорівнянозконтрольнимигрупамивиявиласярізницяупоказникахфізичноїпідготовленостіекспериментальнихгрупхлопців
(p < 0,05 - < 0,001) та в експериментальних групах дівчат (p <
0,005).ПоказникифізичноїпідготовленостізаДержавнимитестамивекспериментальних
групах хлопців покращилися від 6 до 38%, у дівчат - від 4 до 44%, а у
контрольних групах - від 0,5 до 13%;
За результатами
додаткового тестування фізичної підготовленості за системою тестів ЄВРОФІТ у
підлітків експериментальних груп також відбулися статистично вірогідні (р <
0,05 - < 0,001) позитивні зміни. В експериментальних групах хлопців
покращення склало від 9,5 до 39,9%, що відповідає високому рівню фізичної підготовленості
за перцентильними шкалами, окрім тестів «PWC170» та «Фламінго», де показники
відповідають середньому рівню. Разом з тим у контрольних групах
хлопців-підлітків показники покращилися від 0,24 до 2,27%. У дівчат результати
покращилися від 6,54 до 39,04%, та з середнього рівня підвищилися до вищого за
середній, натомість у контрольних групах показники поліпшилися від 0,44 до 6,8%
залежно від рухової якості.
Результати експерименту
свідчать, що рухова активність та фізична підготовленість підлітків за
більшістю показників статистично-вірогідно підвищилися в усіх експериментальних
групах, але застосування розроблених фітнес-програм у формі поєднання третього
уроку фізичної культури та секційних занять на базі школи дає найбільш
виражений позитивний ефект, що дає підставу рекомендувати розроблену
фітнес-технологію для застосування в урочній та позаурочній формах проведення
занять для підлітків[25, 28, 29, 31, 32].
Висновок
до першого розділу
У дітей старшого
шкільного віку рухова активність звичайно спонтанна, неорганізована, і як
правило представляє собою періодичні повторюючи короткі відрізки. Наприклад, за
допомого прямого спостереження було помічено, що рухова активність у юнаків та
дівчат цього віку має переважно періодичний характер. Старший шкільний вік
(15-16 років) - період завершення зростання організму та окремих частин,
збільшення функціональних резервів, завершується гармонійна перебудова,
пов’язана із статевим дозріванням, центральна нервова система стає біль
урівноважена. Юнаки цього віку стають відвідувати тренажерний зал для
збільшення м’язової маси, дівчат стають слідити за своєю фігурою.
Регулярна рухова
активність здійснює позитивний вплив на фізичний розвиток школярів, їх фізичну
підготовленість, на функціональний стан багатьох фізичних систем, на поліпшення
їх фізичної підготовленості. Природній вплив рухових якостей на фізичний
розвиток є фізіологічний, обумовлений і найбільш важливим чинником оптимального
протікання фізіологічних функцій організму. Рівень рухової активності в шкільному
віці значною мірою зумовлений не віковою потребою в ній (кінозофілію), а
організацією фізичного виховання в школі, залученням дітей до організованих і
самостійних занять у поза навчальний час. Таким чином, рухова активність,
будучи незамінним чинником життєдіяльності організму, може надати позитивну дію
на зростання і розвиток, на достаток здоров’я дітей старшого шкільного віку лише в першому діапазоні величин.
Як нестача так і надлишок рухів призводить до патологічних зрушень в організмі
що росте і розвивається.
РОЗДІЛ 2. МЕТОДИ ТА
ОРГАНІЗАЦІЇ ДОСЛІДЖЕННЯ
.1 Аналіз літературних
джерел
Процес ознайомлення з
літературними джерелами по проблемі, що цікавить дослідника, складається з ряду
етапів. Перший етап - це перегляд обліково-реєстраційних видань. Він дає
можливість, по-перше, знайти видання, які найбільш повно і достовірно
висвітлюють усі аспекти проблеми, що досліджується. По-друге, ці видання, як
основа перспективної бібліографії, дозволяють оцінити динаміку розвитку даної
проблеми.
Складність роботи з
джерелами на цьому етапі полягає в їх обсязі. Вони найчастіше подані у вигляді
статей, рефератів і анотацій обліково-реєстраційних видань. У нашій країні і в
країнах СНД, про що ми вже писали в другому розділі, створена ефективна система
бібліографічних установ. Вони рекламують книги, брошури, статті, що виходять у
нашій країні і в країнах СНД на всіх мовах і з усіх галузей знань. Тому першим
кроком дослідника є ознайомлення з цими виданнями.
Другим етапом у роботі з
літературними джерелами є перегляд бібліографічних покажчиків та інших
періодичних видань, анотованих фундаментальними бібліотеками (НБ України ім.,
В. Вернадського та ін.).
Третім етапом роботи з
літературними джерелами є перегляд каталогів і картотек, про що ми розповімо
пізніше.
Четвертим етапом пошуку
інформації про літературу по досліджуваній проблемі є аналіз при книжкового списку
літератури (він подається в кінці розділів, в кінці книги або у виносках). У
книгах монографічного характеру в передмовах, що вміщуються на початку, подається
аналіз літератури з проблеми, яка розробляється автором. Знайомство з цією
літературою корисне для дослідника.
П'ятим етапом пошуку
джерел інформації є робота по виявленню літератури, що знаходиться в
бібліотеках на правах рукописів (дисертації, автореферати). Цінність цих джерел
велика. Дослідник одержує «свіжу» інформацію, критичний аналіз опублікованої
літератури. Це дає можливість йому не лише познайомитися з виявленими
друкованими джерелами, а й висловити свою, власну позицію. Робота над неопублікованими
джерелами дасть можливість установити, в яких установах працювали їх автори,
які фонди вони використали. Якщо ці праці близькі до теми, яка досліджується
науковці можуть перевірити наведені джерела за першоджерелами і погодитися з
оцінкою подій і фактів або дати іншу інтерпретацію.
Такий підхід у науці
надто цінний. Успішна його реалізація залежить від інтелекту дослідника. Він
повинен мислити неупереджено, незалежно від традиційних методів, відкидати
застарілі знання і використовувати ті з них, що зберігають цінність, відбивати
в свідомості найнесподіваніші ідеї під кутом зору своєї проблеми.
.2 Соціальний метод
(метод анкетування)
Опитування - метод збору
соціальної інформації про досліджуваний об'єкт підчас безпосереднього
(інтерв'ю) чи опосередкованого (анкетування) соціально-психологічного
спілкування соціолога та респондента через реєстрацію відповідей респондентів
на сформульовані запитання.
Методи опитування
поділяються, в свою чергу, на: анкетування й інтерв'ювання.
Анкетування - це збирання
інформації письмовим заповненням заздалегідь розроблених анкет.
Відповідно, анкета - це
тиражований, упорядкований за формою та змістом набір запитань у формі
опитувального листка.
Анкетування має суттєву
перевагу: опитування максимально формалізується, й таким чином забезпечується
висока порівняльність відомостей та їх машинне опрацювання; анкетування забирає
часу менше, ніж інтерв'ю, не потребує залучення великої кількості осіб, які
його здійснюють, анкети можна роздавати через представників адміністрації чи
вислати поштою; витримується вимога анонімності відповідей, що підвищує їхню
достовірність. Анкетування - найбільш поширений і ефективний метод збору
первинної інформації.
При розробці анкет
необхідно дотримуватися таких правил:
зміст запитань повинен
відповідати темі та завданням дослідження;
форма запитань має
відповідати портретові передбачуваного респондента;
запитання повинні бути
короткими, зрозумілими, доступними для опитуваних;
анкета має бути охайно
оформленою;
бажано її складати так,
щоб вона надалі була придатною для комп'ютерного опрацювання.
Запитання в анкеті слід
розбивати на групи (смислові блоки), забезпечуючи послідовність і логічність їх
розміщення. Наприклад, група запитань, які стосуються особи злочинця; група
запитань щодо злочину та покарання; група запитань про причини й умови
вчиненого злочину; група запитань про заходи, вжиті для запобігання йому.
Анкета, що
застосовується для збору значущої інформації, складається з таких частин:
) вступної - містить
звернення до досліджуваного, де пояснюється мета дослідження та порядок
заповнення бланка;
) статусної -
формулюються запитання, відповіді на які дають уявлення про
соціально-демографічну характеристику особи;
) основної - це питання,
що безпосередньо стосуються теми дослідження;
) заключної - надається
можливість у вільній формі висловити свій погляд на будь-які питання, що
стосуються досліджуваної теми.
За структурою запитання
анкети класифікують на:
відкриті - це запитання,
на які опитуваний може дати самостійну відповідь у вільній формі (не
запропоновано жодних варіантів відповідей, і респондент може висловлюватися на
власний розсуд);
напівзакриті - дають
можливість респондентові чи обрати відповідь запропонованого набору варіантів
відповідей, чи доповнити своїм варіантом відповіді (в переліку запропонованих
відповідей наявні позиції "інше" або "щось іще?");
закриті - дають повний
перелік варіантів відповідей, пропонуючи обрати один (альтернативні) чи
декілька з них (не альтернативної).
За формою виділяють:
прямі запитання - дають
змогу одержати інформацію безпосередньо від респондента ("Чи задоволені Ви
діяльністю органів внутрішніх справ?");
непрямі запитання
використовують, коли від респондента необхідно одержати критичну думку про
людей, негативні явища життя, пропонуючи на його розгляд уявну ситуацію, що не
вимагає самооцінки конкретно його рис і обставин його діяльності.
Загалом анкетування має
кілька різновидів:
очне та заочне,
суцільне й вибіркове,
відкрите та анонімне.
Очне анкетування
передбачає одержання анкети безпосередньо з рук соціолога. Цей вид анкетування
найнадійніший, гарантує добросовісне заповнення анкет, майже стовідсоткове їх
повернення, але багато в чому залежить і від уміння соціолога встановити
психологічний контакт з респондентами, створити сприятливу атмосферу при
опитуванні.
Заочне анкетування
полягає в розсиланні анкет й отриманні на них відповідей поштою. Воно дає змогу
одночасно провести опитування на великій території. Водночас заочне анкетування
має чимало недоліків: неповне повернення анкет, отримання відповіді не від тих,
кому надсилались анкети, групове заповнення, використання порад інших осіб.
При суцільному
анкетуванні бланки заповнюють усі особи визначеної категорії, а при вибірковому
- тільки певна частина таких осіб. Достовірність в останньому випадку
досягається через випадковий добір одиниць вибіркової сукупності та рівні
можливості для кожної одиниці генеральної сукупності увійти до вибірки.
При відкритому
анкетуванні респонденти вказують відомості про свою особу (прізвище, ім’я,
по-батькові, час і місце народження, місце проживання, посаду), тож можливий
елемент нещирості. При анонімному анкетуванні особа респондента залишається
невідомою, що дає їй змогу бути більш щирою, а це підвищує репрезентативність
інформації про неї.
.3 Методика
Фремінгемського дослідження рухової активності (метод хронометражу)
Метод хронометражу
призначений для здобуття даних, характеризуючи структуру і динаміку процесу
проектування. Описуваний метод хронометражу не має принципової новизни, проте
використане в нім поєднання хронометрування з аналітичним спостереженням
процесу і вживання досконалішого способу виміру тривалості операцій процесу за
допомогою системи секундомірів розширюють його можливості.
Метод хронометражу
включає послідовне виконання наступних робіт:
а) аналітичного
спостереження і визначення складу проектних операцій процесу;
б) виміри тривалості
операцій;
в) реєстрації отриманих
даннях.
Щільність розподілу часу
безвідмовної роботи КРн з потенціометром КСП-4.
Методом хронометражу
встановлений час, який витрачається на ремонт приладів КРН. Це пов'язано з
необхідністю очищення вузлів приладів.
Методом хронометражу
вивчаються також окремі елементи, що часто повторюються, з яких складається
виробнича операція. У відмінності від хронографії, де заздалегідь не
передрішається і не записується хронологічна послідовність операцій, при
хронометражі використовується готовий бланк( хронометражна карта), у якому
завчасно, в певному порядку вписані окремі елементи операцій. Хронометражіст
включає секундомір з початком першого елементу операції. Час кінця першого
елементу фіксується в першій графі проти другого елементу операції, будучи
одночасно часом початку другого елементу. За день виробляється декілька
спостережень одній і тій же, операції.
Точність методу
хронометражу визначається тривалістю найкоротшої операції, яку можна за
хронометражувати, виконавши весь цикл аналізу операції, виміру і реєстрації
даних. При відробітку методу встановлено, що найменша тривалість операції, що
хронометрується, складає 12 - 15 сік шляхом відповідних тренувань вона може
бути доведена до 10 сек.
Таким чином, метод
хронометражу не придатний для вивчення часу, що витрачається на
підготовчо-завершальну роботу і відпочинок. Спостереження роботи
багатоверстатника методом хронометражу застосовується зазвичай в циклічних
процесах. У періодичних і безперервних процесах досить проведення або
фотографія робочого часу багатоверстатника, або фотохронометражу.
Безпосередньому дослідженню операції методом хронометражу передує детальне ознайомлення
дослідника з робочим місцем, верстатом, пристосуванням, інструментами і взагалі
зі всіма чинниками виробництва, що впливають на тривалість досліджуваної
операції. Вивчення цих чинників проводиться методом хронометражу і фотографій
робочого дня. На ній фіксується розташування технологічного устаткування,
допоміжних засобів і оснащення, наносяться дороги руху робітників при виконанні
транспортних операцій[50].
2.4 Педагогічне
спостереження
Характеристика
педагогічного методу спостереження. Педагогічне спостереження є планомірним
аналізом і оцінкою індивідуального методу організації учбово-виховного процесу
без втручання дослідника в ході цього процесу. Воно відрізняється від
побутового спостереження, по-перше, планомірністю і конкретністю об'єкту спостереження,
по-друге, наявністю специфічних прийомів реєстрації спостережуваних явищ і
фактів (спеціальних протоколів, умовних позначень при записах і ін.) іпо-третє,
подальшою перевіркою результатів спостереження.
До достоїнств
спостереження в порівнянні з деякими іншими методами дослідження можна віднести
наступне:
лише спостереження надає
можливість судити про багато деталей "живого" педагогічного процесу в
їх динаміці;
воно дозволяє фіксувати
педагогічні події безпосередньо у момент їх протікання;
спостереженням можна
успішно користуватися для оцінки віддалених наслідків фізичного виховання;
в результаті
спостереження дослідник отримує фактичні відомості про події, а не думки інших
осіб про ці події (як, наприклад, при анкетуванні);
той, що спостерігає
незалежний від уміння досліджуваних оцінювати свої дії, висловлювати свою думку
(по порівнянню, наприклад, зі всіма видами опиту).
До слабких сторін
педагогічного спостереження відносяться:
наявність елементів
суб'єктивізму в аналізі і оцінці педагогічних явищ і фактів з боку
спостерігача;
недоступність
спостереженню деяких сторін діяльності тих, що займаються і викладача
(наприклад, мотиви діяльності, емоційний стан і тому подібне);
можливість отримати лише
порівняно малу вибірку, що робить отримувані дані не репрезентативними
(наприклад, в порівнянні з анкетуванням);
пасивність дослідника,
що не дозволяє йому активізувати ті сторони діяльності тих, що займаються і
педагогів, які є об'єктом вивчення (по порівнянню, наприклад, з експериментом).
Враховуючи все це,
педагогічне спостереження корисно застосовувати в наступних випадках:
коли потрібно отримати
відомості про педагогічний процес в "чистому" вигляді, без того, що
привнесло в нього невластивих йому елементів;
коли необхідно зібрати
первинну інформацію, що не вимагає великої вибірки;
коли слід дати
педагогічну оцінку фактам, отриманим за допомогою інших методів, наприклад
хронометрування, анкетування;
коли потрібно провести
"розвідку" з метою уточнення гіпотези і методики дослідження;
коли на завершальному
етапі дослідження потрібно перевірити ефективність педагогічних рекомендацій,
розроблених на основі вживання інших методів.
Найбільша ефективність
педагогічного спостереження досягається при використанні його в комплексі з
іншими методами дослідження. При зовнішній простоті педагогічне спостереження
насправді є одним з найбільш складних методів дослідження. Складність його
багатопланова.
По-перше, природне
прагнення до достовірної інформації у багатьох викликає сумнів в об'єктивності
результатів спостереження. Дійсно, результати будь-якого спостереження - це не
лише фотографування педагогічного явища або факту, але і розуміння і тлумачення
їх дослідником. Спостерігаючи те або інше явище, людина оцінює його в
зіставленні з власним "еталоном", який у нього склався в результаті
вчення і педагогічного досвіду. Це створює реальну ситуацію для виводів, не
відповідних дійсності.
Вирішуючи цю проблему,
слід мати на увазі, що вона характерна не лише для педагогічних спостережень,
але в рівній мірі і для природничо-наукових, і соціологічних. Іншими словами,
вона є проблемою філософії. Вся проблема педагогічного спостереження зводиться
не до спор (можна або не можна застосовувати його), а до розробки методики
спостереження і перевірки результатів в педагогічній практиці. Практика є
кращим засобом перевірки об'єктивності розробленої методики спостереження.
По-друге, оскільки
педагогічна практика здатна оцінити спостереження, що лише закінчилося, перед
дослідником встають два завдання: підготувати себе як спостерігача-дослідника і
розробити методику спостереження.
Педагогічне
спостереження вимагає від дослідника (окрім звичайної методологічної
підготовки) надзвичайно глибокого розуміння педагогічного процесу, своєрідного
педагогічного мислення, інтуїції, що дозволяють "не лише дивитися, але і
бачити". Не випадково говорять: уміння майстерне спостерігати - це талант.
Проте, як показує досвід дослідників, уміння спостерігати піддається
вдосконаленню.
Дослідник повинен мати
досвід педагогічної роботи, причому в тій області педагогічної праці, яка
з'явиться предметом його вивчення. Тренерові важко повноцінно проаналізувати
урок фізичної культури в загальноосвітній школі і, навпаки, вчителеві -
тренувальне заняття.
Розробка методики
спостереження направлена на те, щоб шляхом всіляких технічних прийомів зменшити
суб'єктивність оцінки спостережуваних явищ і фактів. Від дослідника вимагається
велика винахідливість у визначенні найбільш адекватних способів фіксації
педагогічного процесу, об'єктивних показників, які можна обробляти і
порівнювати.
З цією метою дослідник
прибігає: до багатократних перевірочних спостережень; до зіставлення своїх
спостережень з наявними науковими відомостями і оцінними думками практичних
працівників; до одночасного спостереження одних і тих же елементів
педагогічного процесу різними особами; до збору інформації за допомогою інших
методів;до використання різних технічних пристроїв, здатних об'єктивно
фіксувати ті або інші елементи спостережуваного явища, тим самим зменшуючи міру
можливих спотворень (до таких реєструючих засобів, в якійсь мірі замінюючи
спостерігача, відносяться відео установки, кінофільми, магнітофони). Одночасне
зіставлення даних спостереження з даними лікарського контролю, самоконтролю що
займається і спортивними результатами дає науково повноцінний матеріал:
) поведінка тих, що
займаються;
) умови проведення
занять (температуру, силу вітру тощо);
)міра стомлення по
зовнішніх ознаках (загальному вигляду: забарвленню шкіри особи, характеру
виконання рухів, міміці, інтонації голосу, відношенню до заняття).
По-третє, дослідник
повинен передбачати реакцію тих, що займаються і викладача на сам факт
спостереження за їх діяльністю. Людина не може залишатися байдужою до того, що
за ним спостерігають, за всього бажання бути самим собою, він стає менш
природним в своїй поведінці, а значить, той, що спостерігає фіксуватиме
спотворені явища і факти (див. "Відкриті спостереження").
Американський учений Н.Вінер писав (1968), що в суспільних науках зв'язок між
спостережуваним явищем і спостерігачем дуже важко звести до мінімуму і що не
можна бути упевненим в тому, що "значна частина спостережуваного нами не
створена нами самими".
В- четверте, як метод
дослідження спостереження повинне володіти вибірковістю (обґрунтованістю).
Основною передумовою цієї вимоги є створення кодованих одиниць спостереження,
тобто доступних безпосередньому спостереженню і реєстрації дій, в яких
виявляється педагогічне явище, що цікавить спостерігача.
Розуміти це слід таким
чином. Про виконання або невиконання педагогічного завдання спостерігач може
судити лише по видимих діях людей. Тому він заздалегідь повинен виділити в діях
тих, що займаються і викладача ті підвладні спостереженню і реєстрації акти,
які відображають те, що потрібно вивчити.
Оцінний спосіб реєстрації
одиниць спостереження передбачає, що кожна одиниця буде виражена відповідно до
якоїсь заздалегідь розробленої шкали оцінок. Число виставлених оцінок одночасно
характеризуватиме і частоту спостережуваних одиниць. Таким чином, оцінний
спосіб більш інформативний, а тому до нього слід прибігати завжди, коли можна.
Перераховані
методологічні і організаційні складнощі педагогічних спостережень пояснюють
порівняльну рідкість їх вживання. Проте, здолавши вказані труднощі, можна
перетворити суб'єктивний (по деяких ознаках) метод досить об'єктивний, здатний
розкривати певні закономірності вчення.
2.5 Методи математичної
статистики
Досить важко дати
визначення статистики як дисципліни. Найбільш вдалим можна вважати таке
визначення: «наука, що вивчає методи збирання й інтерпретації числових даних».
Таким чином, головна
мета статистики - одержання осмислених висновків з неузгоджених (що підлягають
розкиду) даних. Оскільки індивідуумам властива уроджена мінливість ознак
(наприклад, ріст, маса тіла тощо) і, крім того, біологічні ознаки можуть
випадково змінюватися в часі, природа клінічних даних, що характеризуються
розкидом чи варіацією, диктує необхідність їхнього статистичного оцінювання.
Статистику ще часто
називають наукою прийняття розумних рішень в умовах невизначеності. При цьому
двом категоріям задач статистики приділяють особливу увагу: статистичне
оцінювання і перевірка статистичних гіпотез. Перша задача поділяється на
точкове та інтервальне оцінювання параметрів розподілу.
Взагалі статистичні
задачі з'являються тоді, коли необхідно дати найкращі, у певному розумінні
відповіді за обмеженою кількістю спостережень. Якби кількість спостережень не
була обмеженою, можна було б точно визначити параметри розподілів і порівняти
їх, при цьому ніякої статистичної задачі не було б. Якщо в ході досліджень ми
могли б вивчити всі об'єкти сукупності, які нас цікавлять (наприклад, усіх
хворих з визначеним захворюванням), то можна було б сказати, що ми маємо справу
із суцільним вивченням генеральної сукупності.
Насправді обстежувати
всі об'єкти сукупності вдається рідко, зазвичай доводиться вивчати лише
вибірку, сподіваючись, що ця вибірка досить добре показує властивості
досліджуваної сукупності.
При цьому також
виникають важливі статистичні задачі: випадковий відбір варіантів з генеральної
сукупності і репрезентативності вибірки, а також визначення необхідного обсягу
вибірки для формування статистично значимого висновку за результатами
проведених досліджень.
Усі статистичні методи
виходять з припущення, що дані вилучені із сукупності випадково. А це означає,
що імовірність виявитися обраним для всіх членів сукупності має бути однакова.
Найбільш відомі методи
рандомізації: проста рандомізація, блокова рандомізація, пошарова рандомізація,
адаптивна рандомізація чи рандомізація за принципом несиметричної монети, «гра
на лідера» та ін. Рандомізація не тільки порівнює імовірність одержання
пацієнтом різних порівнювальних впливів, але й дозволяє формувати групи,
подібні з погляду прогностичних факторів.
.6 Організація
досліджень
Дослідження проводились
у середній загальноосвітній школі №84 м. Києва і у середній загальноосвітній
школі І-ІІІ ступенів с. Слобода Кагарлицького району, Київської області . В
дослідженнях прийняли участь 12 учнів у віці 15-16 років (3 дівчат 15 років, 3
юнаків 15 років, 3 дівчат 16 років, 3 юнаків 16 років).
Дослідження проводились
у три етапи:
На першому етапі -
(вересень 2013-жовтень 2013рр.) вивчалась науково методична література.
На другому етапі -
(листопад 2013-січень2014рр.) проводились дослідження, складались таблиці і
діаграми, проводилось анкетування, оформлювалися перший і другий розділи
роботи, обраховувались результати досліджень.
На третьому етапі
(лютий2014-квітень2014рр.) аналізувалась динаміка досліджень. Оформлювався
третій розділ і висновки.
РОЗДІЛ 3. АНАЛІЗ ПОКАЗНИКІВ ТИЖНЕВОЇ
РУХОВОЇ АКТИВНОСТІ ДІТЕЙ СТАРШОГО ШКІЛЬНОГО ВІКУ 15-16 РОКІВ
.1 Характеристика рівнів рухової
активності юнаків та дівчат старшого шкільного віку 15-16 років
Методика Фремінгемського дослідження
заснована на реєстрації діяльності людини протягом доби або тижня, вона дає
змогу отримати повну інформацію про тривалість конкретного виду діяльності та
відпочинку, про чергування фізичних навантажень різної інтенсивності, про
сумарну тривалість різних видів діяльності. Такий діапазон можливостей дозволяє
кваліфікувати методику хронометражу як об’єктивну точну інформацію. Як приклад
пропонуємо ознайомитися з методикою науковця Фремінгемського університету (США)
для дітей та підлітків.
В повсякденному житті людей існує
п’ять видів рівня рухової активності:
Базовий рівень, до нього
належить сон, відпочинок лежачи;
Сидячий рівень - поїздка в
транспорті, читання, малювання, перегляд телепередачі, настільні та комп’ютерні
ігри;
Малий рівень - особиста
гігієна, уроки в школі (крім фізичної культури та трудового навчання), ходіння
пішки;
Середній рівень - домашня
робота, прогулянка, ранкова гімнастика, рухливі перерви у школі;
Високий рівень - фізичні
вправи під час спеціально організованих занять (фізична культура та тренування),
інтенсивні ігри, біг, катання на санках, ковзанах, велосипеді, лижах, самокаті,
роликах тощо.
Для того щоб визначити кількість
часу, витраченого на кожен із видів рухової активності, потрібно провести
добовий або тижневий хронометраж видів діяльності людини: фіксувати відрізки
часу, витрачені на кожен виду такій послідовності, в якій вони чергують.
Хронометраж зазвичай здійснюють або
дослідники та реєструють його в індивідуальній карті дитини. Школярі середнього
та старшого шкільного віку, можуть проводити хронометраж самостійно
[50].
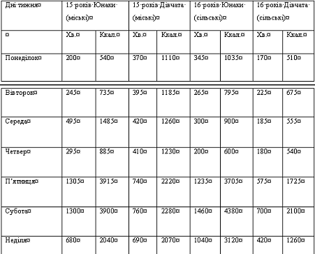
Таблиця 3.1 Рухова активність учнів
старших
класів за тиждень міської місцевості
|
БР
|
СИР
|
МР
|
СР
|
ВР
|
|
60год
|
6год. 30хв.
|
70год.
30хв.
|
28год. 20хв.
|
2год. 40хв.
|
|
58год. 50хв.
|
9год. 20хв.
|
59год. 10хв.
|
38год.
|
2год. 40хв.
|
|
61год. 40хв.
|
9год. 10хв.
|
55год.
20хв.
|
38год. 10хв.
|
3год. 40хв.
|
|
63год. 20хв.
|
8год. 20хв.
|
56год.
30хв.
|
36год.
10хв.
|
3год. 40хв.
|
|
57год. 50хв.
|
10год. 10хв.
|
63год.
|
34год.
20хв.
|
2год. 40хв.
|
|
61год. 10хв.
|
9год. 50хв.
|
55год. 10хв.
|
39год. 10хв.
|
2год. 40хв.
|
В таблиці 3.1, вказана рухова
активність в годинах та хвилинах юнаків та дівчат
міської
місцевості. Середнє значення кожного рівня становить: базовий рівень 60 год. 30
хв., сидячий рівень 8 год. 50 хв., малий рівень 59 год. 50 хв., середній рівень
35 год. 40 хв., високий рівень 3 год.
Рис. 3.1 Рухова активність
учнів
старших
класів за тиждень міської місцевості
- базовий рівень;
- сидячий рівень;
- малий рівень;
- середній рівень;
- високий рівень
Таблиця 3.2 Рухова активність учнів
старших класів за тиждень сільської місцевості
|
БР
|
СИР
|
МР
|
СР
|
ВР
|
|
60год. 30хв.
|
8год. 30хв.
|
47год. 45хв.
|
36год. 15хв.
|
15год.
|
|
59год. 30хв.
|
10год. 30хв.
|
53год. 40хв.
|
30год. 20хв.
|
14год.
|
|
61год. 30хв.
|
9год. 30хв.
|
48год. 50хв.
|
35год. 10хв.
|
13год.
|
|
60год. 30хв.
|
8год.
|
64год. 30хв.
|
23год. 10хв.
|
11год.
50хв.
|
|
61год. 10хв.
|
8год.
|
59год. 45хв.
|
29год. 15хв.
|
9год. 50хв.
|
|
62год. 20хв.
|
9год. 20хв.
|
62год. 10хв.
|
33год. 50хв.
|
7год. 20хв.
|
В таблиці 3.2 вказана рухова
активність за тиждень в годинах та хвилинах юнаків та дівчат сільської
місцевості. Середнє значення кожного рівня становить: базовий рівень 61 год.,
сидячий рівень 9год., малий рівень 56 год. 10 хв., середній рівень 31 год. 10
хв., високий рівень 11 год. 50 хв.
В таблиці 3.3 наданий порівняльний
аналіз показників тижневої рухової активності юнаків і дівчат старших класів 15-16
років спортсменів та не спортсменів.

- базовий рівень;
- сидячий рівень;
- малий рівень;
- середній рівень;
- високий рівень
Таблиця 3.3 Порівняльна
таблиця показників тижневої рухової активності учнів старших класів міської та
сільської місцевості
|
Учні сільської місцевості
|
стать
|
БР
|
СИР
|
МР
|
СР
|
ВР
|
|
Юн.
|
60год. 30хв.
|
8год. 30хв.
|
47год. 45хв.
|
36год. 15хв.
|
15год.
|
|
Юн.
|
59год. 30хв.
|
10год. 30хв.
|
53год. 40хв.
|
30год. 20хв.
|
14год.
|
|
Юн.
|
61год. 30хв.
|
9год. 30хв.
|
48год. 50хв.
|
35год. 10хв.
|
13год.
|
|
Дів.
|
60год. 30хв.
|
8год.
|
64год. 30хв.
|
23год. 10хв.
|
11год.
50хв.
|
|
Дів.
|
61год. 10хв.
|
8год.
|
59год. 45хв.
|
29год. 15хв.
|
9год. 50хв.
|
|
Дів.
|
62год. 20хв.
|
9год. 20хв.
|
62год. 10хв.
|
33год. 50хв.
|
7год. 20хв.
|
|
Учні сільської місцевості
|
Юн.
|
60год
|
6год. 30хв.
|
70год.
30хв.
|
28год. 20хв.
|
2год. 40хв.
|
|
Юн.
|
58год. 50хв.
|
9год. 20хв.
|
59год. 10хв.
|
38год.
|
2год. 40хв.
|
|
Юн.
|
61год. 40хв.
|
9год. 10хв.
|
55год.
20хв.
|
38год. 10хв.
|
3год. 40хв.
|
|
Дів.
|
63год. 20хв.
|
8год. 20хв.
|
56год.
30хв.
|
36год.
10хв.
|
3год. 40хв.
|
|
Дів.
|
57год. 50хв.
|
10год. 10хв.
|
63год.
|
34год.
20хв.
|
2год. 40хв.
|
|
Дів.
|
61год. 10хв.
|
9год. 50хв.
|
55год. 10хв.
|
39год. 10хв.
|
2год. 40хв.
|
В таблиці 3.3 подана порівняльна
характеристика показників рухової активності юнаків та дівчат міської та сільської
місцевості в годинах та хвилинах. Ця таблиця поєднана з вище вказаними
таблицями 3.1 і 3.2 для того, щоб виявити різницю в часі базового рівня,
сидячого рівня, малого рівня, середнього рівня і високого. Порівнявши найвищий
і найнижчий показник кожного з цих рівнів можемо зробити висновок, що базовий
рівень - максимум 63год. 20хв., мінімум 57год. 50хв.; сидячий рівень - максимум
10год. 30хв., мінімум 6год. 30хв.; малий рівень - максимум 70год. 30хв.,
мінімум 47год. 50хв.; середній рівень - максимум 39год. 10хв., мінімум 28год.
20хв.; високий рівень - максимум 15год., мінімум 2год., 40хв.
Рис.3.3 Порівняльна таблиця показників тижневої рухової активності
учнів старших класів міської та сільської місцевості
- базовий рівень;
- сидячий рівень;
- малий рівень;
- середній рівень;
- високий рівень
Рис.3.4 Порівняльна характеристика
тижневого рівня рухової активності юнаків старших класів міської та сільської
місцевості
- сільські юнаки;
- міські юнаки
На цьому рисунку вказано режим рухової
активності за тиждень юнаків міської та сільської місцевості. Аналізуючи,
можемо вказати що на базовому рівні енергозатрати однакові, сидячий рівень у
сільських юнаків дещо перевищує рівня міських юнаків за рахунок більших
енерговитрат за рахунок фізичної праці та гри в футбол у вільний час, малий
рівень у міських юнаків перевищує рівень сільських юнаків тому, що у сільських
юнаків відсутня фізична праця і різні ігри, середній рівень у міських юнаків
перевищує рівень сільських юнаків за рахунок відсутності фізичної праці,
високий рівень у сільських юнаків набагато перевищує рівень міських юнаків у
зв’язку з регулярною інтенсивною фізичною працею та різноманітними іграми на
стадіоні у вільний час.
Рис.3.5 Порівняльна характеристика
тижневого рівня рухової активності дівчат старших класів міської та сільської
місцевості.
На рисунку 3.2 представлена
порівняльна характеристика рухової активності за тиждень дівчат міської та
сільської місцевості 15-16 років.
Зробивши порівняльну характеристику
базового рівня ми виявили незначну різницю, оскільки дівчата міської та
сільської місцевості мали, майже, однаковий режим сну. Сидячий рівень також
виділяється незначними показниками. Малий рівень у сільських дівчат перевищує
рівень міських дівчат, це пояснює тим, що у сільських дівчат більше часу займає
малорухомий тип діяльності за рахунок малої кількості середнього рівня.
Середній рівень характеризується тим, що міські дівчата використовують більшу
кількість часу на діяльність середнього рівня, ніж сільські дівчата, а у
сільських дівчат набагато підвищений малий рівень. Також до цих рівнів рухової
активності входить високий рівень, у сільських дівчат певним чином він буде
набагато вищий ніж у міських дівчат тому, що у міських дівчат на цей рівень
входить два уроки фізичної культури і кілька спортивних секцій на тиждень, а у
сільських дівчат два уроки фізичної культури, кілька спортивних секцій а також
майже щоденна фізична праця.
Рис.3.6 Порівняльна
характеристика тижневого рівня рухової активності юнаків та дівчат старших
класів міської та сільської місцевості.
На рисунку 3.3 відображена рухова
активність базового рівня (БР), сидячого рівня (СИР), малого рівня (МР),
середнього рівня (СР) і високого рівня (ВР) юнаків та дівчат міської та
сільської місцевості. Кожний стовпчик цього рисунку є показником кількості
використаних годин кожного рівня за тиждень.
Характеризуючи “малий”
рівень необхідно проаналізувати час, що відводиться на: особисту гігієну, уроки
в школі, переміщення в транспорті, перегляд телевізора та інші.
Таблиця 3.4 Показники тижневої
рухової активності юнаків та дівчат старших класів міської та сільської місцевості
«малого» рівня
Динаміка середньостатистичних
показників «малого» рівня рухової активності на протязі тижня у юнаків та
дівчат 15-16 років показує, що найбільша кількість рухової активності на цьому
рівні спостерігається у будні, і такий рівень за тиждень набувається учнями за
рахунок переміщення пішки по дорозі до школи та за рахунок уроків в школі.
Характеризуючи “середній”
рівень необхідно проаналізувати час, що відводиться на: допомогу по
господарству.
Динаміка середньостатистичних
показників «середнього» рівня рухової активності на протязі тижня у юнаків та
дівчат15-16 років показує, що найбільша кількість рухової активності на цьому
рівні спостерігається у вихідні, і такий рівень за тиждень набувається учнями
за рахунок допомоги по господарству.
Характеризуючи «сидячого» рівень
необхідно проаналізувати час, що відводиться на: харчування вдома та школі,
відпочинок.
Таблиця 3.5 Показників тижневої
рухової активності юнаків та дівчат старших класів міської та сільської
місцевості «середнього» рівня
Таблиця 3.6 Показників тижневої
рухової активності юнаків та дівчат старших класів міської та сільської
місцевості «сидячого» рівня
Динаміка середньостатистичних
показників «сидячого» рівня рухової активності на протязі тижня у юнаків та
дівчат 15-16 років показує, що на цьому рівні спостерігається майже однакова
кількість витрачення часу для цього рівня протягом цілого тижня, і такий рівень
за тиждень набувається учнями за рахунок відпочинку, харчування вдома та школі,
читання книги.
Характеризуючи «високий» рівень
необхідно проаналізувати час, що відводиться на: заняття фізичної культури і
регулярні тренування у спортсменів та спортсменок.
Таблиця 3.7 Показників тижневої
рухової активності юнаків та дівчат старших класів міської та сільської
місцевості «високого» рівня
Динаміка середньостатистичних
показників «високого» рівня рухової активності на протязі тижня у юнаків та
дівчат 15-16 років показує, що найбільша кількість рухової активності на цьому
рівні спостерігається міських юнаків та дівчат за рахунок тих днів коли
проводяться уроки фізичної культури, спортивних секцій а в сільських юнаків та
дівчат на протязі буденних днів і такий рівень за тиждень набувається учнями за
рахунок фізичної культури, спортивних секцій та допомоги по господарству.
Характеризуючи «базовий» рівень
необхідно проаналізувати час, що відводиться на: сон.
Таблиця 3.8 Показників тижневої
рухової активності юнаків та дівчат міської та сільської місцевості «базового»
рівня
Динаміка середньостатистичних
показників «базового» рівня рухової активності на протязі тижня у юнаків та
дівчат 15-16 років показує, що час затрачений на цей рівень майже однаковий
протягом усього тижня і такий рівень за тиждень набувається учнями за рахунок
сну.
Висновки до третього
розділу
Аналізуючи дані
літературних джерел можна відмітити, що старший шкільний вік (15-16 років)
збігається із закінченим статевого дозрівання і гормональної перебудови.
Пропорції тіла наближаються до показників дорослих, завершується розвиток ЦНС.
Фактична спеціально
організована рухова активність обмежується 3-4 годинами на тиждень, що виступає
30% від гігієнічної норми. Основним критерієм виступає нормування тижневої
рухової активності яка є сприятлива динаміка зростання, розвитку і стану
здоров’я більшості дітей старшого шкільного віку.
Для визначення тижневого
рівня рухової активності нами було застосоване анкетування, а в результаті
математичної обробки анкет хронометражу ми визначили, що у міських юнаків за
тиждень базовий рівень складає 60 годин-що складає 4,500Ккал., сидячий рівень 6
годин і 30хвилин-це 546Ккал., малий рівень 70 година і 30 хвилин-це 8667Ккал.,
середній рівень 39 годин 10 хвилин-це 4817Ккал., високий рівень 3 години і 40
хвилин-це 1375Ккал; у міських дівчат базовий рівень складає 61 годин і 20
хвилин-це 4600Ккал., сидячий рівень 9 годин і 50 хвилин-це 591Ккал., малий
рівень 70 годин і 30 хвилин-це 8671Ккал., середній рівень 39 годин і 10
хвилин-це 7050Ккал., високий рівень 2 година 40хвилин-це 1000Ккал. У сільських
юнаків за тиждень базовий рівень складає 60 годин і 30 хвилин-це 4,537Ккал.,
сидячий рівень 8 годин і 30 хвилин-це 714Ккал., малий рівень 48 годин і 50
хвилин-це 6006Ккал., середній рівень 35 годин і 10 хвилин-це 6330Ккал., високий
рівень 15годин-це 5625Ккал.; у сільських дівчат базовий рівень складає 60 годин
і 30 хвилин-це 4,537Ккал., сидячий рівень 8 годин-це 672Ккал., малий рівень 59
години і 45 хвилин-це 3585Ккал., середній рівень 35 годин і 50 хвилин-це
6450Ккал., високий рівень 9 годин і 50 хвилин-це 3687Ккал.
Дані «сидячого» рівня
юнаків та дівчат 15-16 років дають зрозуміти, що найбільше цього рівня на
вихідних днях за рахунок: відсутні заняття в школі, відсутнє бажання піти на
вулицю позайматися самостійно або прогулятися (залежно від сільських юнаків
дівчат), певна залежність від телебачення і комп’ютера.
В наших дослідженнях ми
зробили порівняльну характеристику рівня тижневої РА юнаків і дівчат міської та
сільської місцевості. Дійшли висновку, що в юнаків та дівчат сільської
місцевості рівень РА дорівнює нормі за рахунок фізичної праці, а в міських
юнаків та дівчат рівень РА не відповідає нормі фізіологічних потреб у зв’язку з
недостатнім обсягом високого рівня РА.
ПРАКТИЧНІ РЕКОМЕНДАЦІЇ
У результаті наших
досліджень ми виявили, що у міських юнаків і дівчат рівень рухової активності
не відповідає гігієнічним нормам за рахунок обмеження або не достатку високого
рівня. Для підвищення рівня рухової активності необхідно систематичне виконання
ранкової гігієнічної гімнастики кожного ранку 10-15 хвилин, відвідувати більше
секцій або гуртків з виду спорту 3-4 рази на тиждень, самостійно виконувати заняття
з видів фізичної рекреації, більше часу приділяти активному відпочинку,
прогулянкам. Проводити щомісячні дні здоров’я і спорту, змагання, згідно плану
фізкультурно-масової та оздоровчої роботи, туристичні походи, екскурсії.
Під час комплектування
груп необхідно враховувати інтереси груп учнів, провести анкетування з учнями
яким би вони хотіли займатися спортом, врахувати рівень їх фізичного розвитку,
стан здоров’я, розвиток рухових якостей, фізичну підготовку і фізичну
підготовленість. Також доцільно рекомендувати оздоровчий біг та ходьбу,
обов’язково виконувати домашнє завдання що задають на уроці фізичної культури,
це може бути згинання і розгинання рук в упорі лежачи, вистрибування вгору з
упору присід, скручування тулуба лежачи в упор сид. Оздоровча ходьба або
оздоровчий біг самий доступний вид фізичних вправ, і може бути доступним як
юнакам так і дівчатам.
Загальні
висновки
1. У дітей старшого шкільного віку рухова активність звичайно
спонтанна, неорганізована, і як правило представляє собою періодичні повторюючи
короткі відрізки. Наприклад, за допомого прямого спостереження було помічено,
що рухова активність у юнаків та дівчат цього віку має переважно періодичний
характер. Старший шкільний вік (15-16 років) - період завершення зростання організму
та окремих частин, збільшення функціональних резервів, завершується гармонійна
перебудова, пов’язана із статевим дозріванням, центральна нервова система стає
біль урівноважена. Юнаки цього віку стають відвідувати тренажерний зал для
збільшення м’язової маси, дівчат стають слідити за своєю фігурою.
. Підчас написання
магістерської дипломної роботи були використані такі методи організації
досліджень:
Аналіз
літературних джерел - процес ознайомлення з літературними джерелами по
проблемі, що цікавить дослідника.
Соціальний
метод (метод анкетування). Опитування - метод збору соціальної інформації про
досліджуваний об'єкт підчас безпосереднього (інтерв'ю) чи опосередкованого
(анкетування) соціально-психологічного спілкування соціолога та респондента
через реєстрацію відповідей респондентів на сформульовані запитання.
Методика
Фремінгемського дослідження рухової активності (метод хронометражу). Метод
хронометражу призначений для здобуття даних, характеризуючи структуру і
динаміку процесу проектування.
Педагогічне
спостереження. Характеристика педагогічного методу спостереження. Педагогічне
спостереження є планомірним аналізом і оцінкою індивідуального методу
організації учбово-виховного процесу без втручання дослідника в ході цього
процесу.
. Для визначення тижневого
рівня рухової активності нами було застосоване анкетування, а в результаті
математичної обробки анкет хронометражу ми визначили, що у міських юнаків за
тиждень базовий рівень складає 60 годин-що складає 4,500Ккал., сидячий рівень 6
годин і 30хвилин-це 546Ккал., малий рівень 70 година і 30 хвилин-це 8667Ккал.,
середній рівень 39 годин 10 хвилин-це 4817Ккал., високий рівень 3 години і 40
хвилин-це 1375Ккал; у міських дівчат базовий рівень складає 61 годин і 20
хвилин-це 4600Ккал., сидячий рівень 9 годин і 50 хвилин-це 591Ккал., малий
рівень 70 годин і 30 хвилин-це 8671Ккал., середній рівень 39 годин і 10
хвилин-це 7050Ккал., високий рівень 2 година 40хвилин-це 1000Ккал. У сільських
юнаків за тиждень базовий рівень складає 60 годин і 30 хвилин-це 4,537Ккал.,
сидячий рівень 8 годин і 30 хвилин-це 714Ккал., малий рівень 48 годин і 50
хвилин-це 6006Ккал., середній рівень 35 годин і 10 хвилин-це 6330Ккал., високий
рівень 15годин-це 5625Ккал.; у сільських дівчат базовий рівень складає 60 годин
і 30 хвилин-це 4,537Ккал., сидячий рівень 8 годин-це 672Ккал., малий рівень 59
години і 45 хвилин-це 3585Ккал., середній рівень 35 годин і 50 хвилин-це
6450Ккал., високий рівень 9 годин і 50 хвилин-це 3687Ккал.
. Після написання роботи
можна зробити такі висновки, що рухова активність у юнаків та дівчат старшого
шкільного віку міської місцевості набагато нижча ніж у дітей сільської
місцевості і не відповідає гігієнічним і фізіологічним нормам даного віку.
Рухова активність дітей сільської місцевості відповідає гігієнічним і
фізіологічним нормам організму людини даного віку за рахунок фізичної праці.
У результаті наших
досліджень ми виявили, що у міських юнаків і дівчат рівень рухової активності
не відповідає гігієнічним нормам за рахунок обмеження або не достатку високого
рівня. Для підвищення рівня рухової активності необхідно систематичне виконання
ранкової гігієнічної гімнастики кожного ранку 10-15 хвилин, відвідувати більше
секцій або гуртків з виду спорту 3-4 рази на тиждень, самостійно виконувати
заняття з видів фізичної рекреації, більше часу приділяти активному відпочинку,
прогулянкам. Проводити щомісячні дні здоров’я і спорту, змагання, згідно плану
фізкультурно-масової та оздоровчої роботи, туристичні походи, екскурсії.
СПИСОК ВИКОРИСТАННЯ
ДЖЕРЕЛ
1. Барбіна Є.С.,
Городинська І.В. Становлення і розвиток ліцеїв і гімназій як закладів нового
типу / Є.С. Барбіна, І.В. Городинська - Педагогічні науки. - Випуск 32. -
Херсон: Видавництво ХДПУ, 2002. - С.20-24.
2. Бардов В.Г. Гігієна та
екологія: Підручник / За редакцією В.Г. Бардова. - Вінниця: Нова Книга, 2006. -
406 с.
. Баранов А.А. Физиология
роста и развития детей и подростков: (теоретические и клинические вопросы).
Т.1: Руководство / Ред. А.А. Баранов, Л.А. Щеплягина. - [ 2-е изд.]. - М.:
ГЭОТАР - МЕДИА, 2006. - 432 с.
4. Безруких М.М.
Возрастная физиология (Физиология развития ребенка) / М.М. Безруких, В.Д.
Сонькин, Д.А. Фарбер - М.: ИЦ 'Академия, 2002. - 416 с.
5. Бех І.Д.
Виховання особистості / І.Д. Бех. - К.: Либідь, 2003.- 215-225 с.
6. Біла І.В.
Дитина відкриває навколишній світ / В.І. Біла Дошкільне
виховання.- 2005.- №6.- 26-28 с.
. Біла І.В.
Дитина відкриває навколишній світ / І.В. Біла - Дошкільне
виховання.- 2005.- №6.- 26-28 с.
8. Бурдіян Л.І. Проблеми
здоров'я в підготовці учителя фізичної культури / Л.І Бурдіян, В.С.
Язловецький, Б.В. Согрін, І.І. баєва - Актуальні проблеми з оздоровчої
фізкультури в навчальних закладах України. - Кіровоград, 1997. - 78 с.
9. Всеукр. студ.
наук.-практ. конф. - Суми, 2007. - 81 - 87 с.
. Гальперин С.И.
Анатомия и физиология человека. Возрастные особенности с основами школьной
гигиены / І.С. Гальперин - М.: Высшая школа, 1974. - 468 с.
11. Городинська
І.В. Організація позакласної роботи з фізичного виховання в ліцеях і гімназіях
(9-11кл.) / І.В. Городовсько - Навчально-методичний посібник. - Херсон:
Видавництво ХДПУ, 2002. - 40 с.
. Городинська
І.В. „Малі олімпійські ігри” як дієва форма позакласної роботи з фізичного
виховання учнів ліцеїв та гімназій / І.В. Городовська - Молода спортивна наука
України. - Вип.7. - Т.2. - Львів: НВФ "Українські технології", 2003.
- 162-165 с.
. Городинська
І.В. Деякі проблеми особистісно-орієнтованого фізичного виховання учнів
загальноосвітніх закладів / І.В. Городовська - Педагогічні науки. - Випуск 31.
- Херсон: Видавництво ХДПУ, 2002. - 206 с.
14. Городинська
І.В. Особливість організації фізичного виховання учнів гімназій, шкіл і ліцеїв
/ І.В. Городовська - Пдагогічні науки. - Випуск 16. -Херсон: Айлант, 2000. -
110-112 с.
15. Горбуля В.Б., Рухливі
ігри. / В.Б. Горбуля - Запоріжжя 2005. - 146 с.
16. Глазирін І.Д. Основи
диференційованого фізичного виховання. - Випуск
Черкаського університету. 2003. - 8-9 с.
17. Жабокрицька
О.В. Традиційні методи й системи оздоровлення: Навчальний посібник / О.В.
Жабокрицька, В.С. Язловецький - Кіровоград: РВЦ КДПУ ім. В. Вінниченка, 2001. -
187 с.
18. Єрмолова В.М.
Нова
програма 12 - річної школи. Фізична культура 5-12 класи
/ В.М. Єрмолова,
М.Д. Зубалій
- Київ, 2005. - 84 с.
19. Іллюшина Н.А. Сучасні підходи до
підвищення рухової активності підлітків / Н.А. Іллюшина, О.Я. Кібальник / Сучасні
проблеми фізичного виховання і спорту школярів та студентів України. - 2003. -
337 с.
20. Картавцев Р.Л.
Особенности
личности современного подростка и условия ее формирования /
Р.Л. Картавцев,
Г.А. Слабкий
Современная педиатрия. - 2005. - № 2. - 293 с.
. Карпова І.Б.
Фізична
культура та формування здорового способу життя
/ І.Б. Карпова, В.Л. Корчинський,
А.В. Зотов - Навч. посіб. - К.: КНЕУ, 2005.
- 323 с.
22. Кібальник О.Я.
Рівень рухової активності підлітків окремих регіонів України / Актуальні
проблеми фізичного виховання і спорту: матеріали ІІ Міжнар. наук. конф. - Х.,
2006. - 64 - 67 с.
. Кібальник О.Я.
Особливості розвитку інтересу до занять фізичною культурою підлітків північного
та центрального регіонів України / О.Я. Кібальник, О.А. Томенко / Сучасні
проблеми фіз. виховання і спорту школярів та студентів України: зб. наук. ст. в
галузі фіз. культури та спорту. - Суми, 2006. - 36 - 41 с.
. Кібальник О.Я.
Оздоровча аеробіка в системі фізичного виховання молодших школярів / О.Я. Кібальник - Сучасні проблеми
фізичного виховання і спорту школярів та студентів України: матеріали V Всеукр.
наук.-практ. конф. - Суми, - 2005. - 159 - 161 с.
25. Кібальник
О.Я. Підвищення рухової активності підлітків з використанням занять фітнесом
оздоровчого спрямування: навч.- метод. посібник / О.Я. Кібальник. - Суми:
СумДПУ ім. А.С. Макаренка, 2006. - 48 с.
26. Круцевич, Т.Ю.
Общие основы теории и методики физического воспитания / Т.Ю. Круцевич. - К. :
Олимп. литература. - 2003. - Ч. 2. - 154-170 с.
27. Кібальник
О.Я. Підвищення рухової активності старшокласників з використанням занять
фітнесом оздоровчого спрямування: навч.- метод. посібник / О.Я. Кібальник. -
Суми: СумДПУ ім. А.С. Макаренка, 2007. - 48 с.
. Кібальник
О.Я. Фітнес-технологія як засіб підвищення рухової активності та фізичної
підготовленості підлітків 15-17 років / О.Я. Кібальнек - Педагогіка, психологія
та медико-біологічні проблеми фізичного виховання і спорт: наук. моногр. / за
ред. С.С. Єрмакова. - 2008. - №3. - 78-81 с.
. Кібальник
О.Я. Ефект впровадження фітнес-технології в систему фізичного виховання
підлітків 15 - 17 років / О.Я. Кібальник - Педагогіка, психологія та
медико-біологічні проблеми фізичного виховання і спорту: наук. моногр. / за
ред. С.С. Єрмакова. - 2007. - №10. - 62 - 65 с.
. Кібальник
О.Я. Оздоровчі технології для підвищенні рухової активності підлітків / О.Я.
кібальник - Теорія та методика фізичного виховання і спорту. - 2007. - № 4. -
63 - 66 с.
. Кібальник
О.Я. Оптимізація рівня рухової активності старшокласників 15-16 років шляхом
впровадження фітнес-технології в систему фізичного виховання / О.Я. Кібальник -
Педагогіка, психологія та медико-біологічні проблеми фізичного виховання і
спорту: наук. моногр. / за ред. С.С. Єрмакова. - 2007. - № 9. - 73 - 77 с.
. Кібальник
О.Я. Динаміка саморефлексії тілесного потенціалу у підлітків під впливом занять
по запропонованій фітнес-технології / О.Я. Кібальник - Молода спортивна наука
України: зб. наук. пр. з галузі фіз. культури і спорту. - Л., 2007. - Вип. 11.
- Т. 1. - 21 - 22 с.
. Кібальник
О.Я. Відношення до фізичної культури підлітків північного та центрального
регіонів України / О.Я. Кібальник, О.А. Томенко / Молода спортивна наука
України: зб. наук. пр. з галузі фіз. культури та спорту. - Л., 2006. - Вип. 10.
- Т. 3. - 110 - 114 с.
34. Коренев Н.М. Состояние
здоровьяи физического развития подростков и старшокласников Украины / Н.М.
Коренев, А.Б. Немирова, Л.П. Булага, Е.Н. Коломиец, Е.А. Кириллова, О.Я.
Михальчук - Проблеми медичної науки та освіти. - 2005. - № 4. - 57 с.
. Круцевич Т.Ю. Теория и
методика физического воспитания / Т.Ю. Круцевич - К.: Олимпийская литература. -
Т. 1. - 458 с.
. Круцевич Т.Ю. Теория и
методика физического воспитания / Т.Ю. Круцевич - К.: Олимпийская литература. -
Т. 2. - 472 с.
37. Лапін В.М.
Безпека життєдіяльності людини.- Л.:Знання, 2000.- 56 с.
38. Медведовська Н.В. Стан
здоров’я підлітків та особливості їхнього способу життя / Н.В. Медведовська,
С.Д Пономаренко, Т.К. Кульчицька, О.В. Олексієнко - Україна. Здоров’я нації. -
2007. - 3-4. - 273 с.
. Меньших О.Е. Оцінка
рівня психофізичного розвитку учнів старшого шкільного віку / О.Е. Меньших /
Актуальні проблеми психології: зб. наук. пр. Інституту
психології ім. Г.С. Костюка АПН України. - К., 2007. - Т. 7. - Вип. 11. -
194-199 с.
. Меньших О.Е. Функції уваги
учнів старшого шкільного віку з різним рівнем фізичного розвитку / О.Е. Меньших
/ Актуальні проблеми психології: Психофізіологія. Психологія праці.
Експериментальна психологія. - К., 2007. - Т.V. - Вип. 6. - 221-228
с.
. Меньших О.Е. Сенсомоторна
реактивність і фізичний розвиток учнів 7-16 років / О.Е. Меньших / Збірник
наукових праць Інституту психології ім. Г.С. Костюка АПН України. Проблеми
загальної та педагогічної психології. - К., 2007. - Т. ІХ., ч. 6. - 266-273
с.
. Меньших О.Е. Зв'язок
функціональної рухливості нервових процесів з фізичним розвитком хлопців
середнього шкільного віку / М.В. Макаренко, В.С. Лизогуб, Т.В. Борейко, В.О.
Пустовалов, Ю.О. Петренко, О.Е. Меньших,
Biomedical and Biosocial Anthropology. -
2005. - № 4. - 11-14
р.
. Меньших О.Е. Вікова
динаміка становлення пам'яті хлопців та дівчат 13-16 років з різним рівнем
фізичного розвитку / О.Е. Меньших,
Вісник Черкаського університету. Серія Біологічні науки, 2006. - Вип. 91. -
108-114 с.
. Меньших О.Е. Зв'язок
функціональної рухливості нервових процесів з фізичним розвитком дітей
шкільного віку / М.В. Макаренко, В.С. Лизогуб,
Вісник Черкаського університету, 2006.-Вип. 91- 108-114 с.
. Осадчук Н.І. Моніторинг
стану здоров’я учнів / Сборник научных трудов по материалам международной
научно-практической конференции. Перспективные инновации в науке, образовании,
производстве и транспорте -2008. Том 4. Медицина. Одесса 2008. - 67-69
с.
46. Романенко
В.А. Диагностика двигательных способностей
/ В.А. Романенко - Донецк.: ДонНУ, 2005.
- 290
с.
47. Ральф Паффенбаргер.
Влияние двигательной активности на состояние здоровья и продолжительность жизни
/ Наука в олимпийском спорте: Спец. выпуск. - 2000. - 25-33 с.
. Сергета І.В. Сучасні
підходи до здійснення комплексної оцінки стану здоров’я дітей, підлітків та
молоді в ході проведення гігієнічних досліджень. / В.І. Сергетта, К.А. Зайцева,
Н.І. Осадчук, Д.П. Сергетта - Biomedical
and
Biosocial
Antropology.
-Вінниця: ВНМУ ім. М.І.Пирогова. 2009, №13. -
15-18
с.
. Сергета І.В.
Узагальнений
показник гармонійності фізичного розвитку школярів /
В.І. Сергета, Н.І. Осадчук - Biomedical and Biosocial
Antropology. -: ВНМУ ім. М.І. Пирогова.
January 2009, №12. - 11-15 с.
50. Слепкань 3. П. Наукові
засади педагогічного процесу у вищій школі / З.П. Слепкань - К., 2000. - 98 с.
. Круцевч Т.Ю. Контроль
у фізичному вихованні дітей, підлітків і молоді : навч. Посіб / М. І. Воробйов,
Г. В. Безверхня - К. Олімп. література, 2011. - 224 с.
. Шиян Б. М. Теорія і
методика фізичного виховання школярів / Б.М. Шиян - Частина І. Тернопіль.
2001.- 271 с.
. Шиян Б. М. Теорія і
методика фізичного виховання школярів / Б.М. Шиян - Частина ІІ. Тернопіль.
2002. - 247 с.
. Плахтій П.Д.
Фізіологічні основи фізичного виховання школярів / П.Д. Плахтій - Кам'янець-
Подільський, 2001. - 183 с.
. Шиян Б.М. Теорія і
методика фізичного виховання школярів / Б.М. Шиян - Тернопіль, 2001. - 196 с.
. Шиян Б.М. Теорія
фізичного виховання / Б.М. Шиян, В.Г. Папуша - Тернопіль, 2000. - 178 с.
. Явник О.Е. Особливості
фізичного розвитку школярів з різними типологічними властивостями ВНД / М.В.
Макаренко, В.С. Лизогуб, В.О. Пустовалов, Ю.О. Петренко, О.Е. Явник (О.Е.
Меньших) / Вісник Черкаського університету. Серія Біологічні науки, 2005. -
Вип. 71. - 74-81 с.
58. Яковлева Э.Б.
Пубертатный
период - современные взгляды на проблему /
Є.Б. Яковлева,
Н.Б.
Касьянова,
О.А.
Чурилова Укр. мед. альманах. - 2006. -Т. 9, № 6. - 163
с.
. "Инструктивно -
методические рекомендации относительно организации физкультурно-оздоровительной
работы в учебно-воспитательных заведениях Украины", Министерство
образования Украины, 2006г. - 215 с.