Биосинтез молочного жира

  • Вид работы:
    Контрольная работа
  • Предмет:
    Другое
  • Язык:
    Русский
    ,
    Формат файла:
    MS Word
    450,73 Кб
  • Опубликовано:
    2014-04-30
Вы можете узнать стоимость помощи в написании студенческой работы.
Помощь в написании работы, которую точно примут!

Биосинтез молочного жира

Содержание

 

. Биосинтез молочного жира

.Окислительно-восстановительный потенциал молока

. Биохимические изменения молочных продуктов при хранении

. Охлаждение сливок

. Образование вкусовых и ароматических веществ сыра

. Пороки масла

. Физико-химические процессы, протекающие при производстве молочно-белковых концентратов

. Химические изменения при консервировании мяса

. Определение влаги в твороге

Список литературы

 

21. Биосинтез молочного жира


Молочный жир в молочной железе синтезируется в две стадии. На первой стадии образуются жирные кислоты и глицерин, на второй - триацилглииерины.

Жирные кислоты поступают в молочную железу в готовом виде - в составе липидов крови или синтезируются ее клетками. Из липидов крови образуются главным образом высокомолекулярные жирные кислоты молочного жира. Подтверждением этого служит высокое количество жирных кислот группы в жире молока в переходный зимне-весенний период, когда особенно активно на его синтез расходуется жир тканей животного, характеризующийся высоким содержанием высокомолекулярных жирных кислот.

Основным источником высокомолекулярных жирных кислот молочного жира у крупного рогатого скота является фракция α и β-липопротеидов крови. Частично используются и свободные, или неэтерифицированные, жирные кислоты крови. В процессе поглощения л ипопротсидов молочной железой триацилглицерины подвергаются (при участии липопротеидлипазы) гидролизу с образованием жирных кислоз, моно- и диацилглицеринов.

В клетках молочной железы синтезируются низкомолекулярные жирные кислоты молочного жира, образующийся в рубце при сбраживании микроорганизмами полисахаридов корма и накапливающийся в большом количестве в крови жвачных животных. Его концентрация зависит от рационов кормления, физиологических, индивидуальных особенностей и породы животных. Синтез жирных кислот осуществляется цитоплазматическим мультиферментным комплексом. Основным строительным сырьем при синтезе кислот является малонил-КоА, образующийся а результате карбоксилирования аиетил-КоА с участием кофермента биотииа. Установлено, что в ходе синтеза кислот ацетильная и мал он ильная группы переносятся на апилпереносящий белок (АПБ), находящийся в центре ферментного комплекса, то есть в реакциях участвуют малонил-АПБ и ацетил-АПБ.

В процессе синтеза пальмитиновой кислоты в тканях молочной железы происходит частичное прекращение наращивания углеродной цепи на этапах образования низкомолекулярных жирных кислот. Поэтому молочный жир у жвачных по сравнению с другими травоядными, а также всеядными животными и человеком отличается относительно высоким содержанием кислот с короткими цепями.

Второй компонент триацилглицеринов - глицерин - поступает в молочную железу в составе липидов крови или синтезируется (в форме глицерофосфата) при восстановлении промежуточного продукта гликолиза - дигидроксиацетонфосфата.

Триаиилглицерины синтезируются из глицерофосфата и трех молекул ацил-КоА с образованием промежуточных продуктов - фосфагидной кислоты и диацилглицерина


Включение отдельных жирных кислот в молекулы триглицеридов молочного жира регулируется специальными ферментами. Обычно в триацилглицеринах низкомолекулярные жирные кислоты находятся вместе с высокомолекулярными. Таким образом ограничивается синтез жира с высокой температурой плавления.

Наряду с приведенным механизмом, синтез триацилглицеринов в молочной железе может идти путем непосредственного ацилирования моно- и диацилглицеринов, образующихся при частичном гидролизе триацилглицеринов крови. Тогда становится понятным преимущественное положение пальмитиновой кислоты в триацилглицеринах молочного жира у второго углеродного атома глицерина. Такое положение пальмитиновой кислоты характерно именно для глицеридов крови животных.

Фосфолипиды молока синтезируются двумя путями. Например, лецитин образуется через ЦДФ-диацилглицерин или через ЦДФ-холин. В первом случае исходным веществом является фосфатидная кислота, во втором случае активированный холин в виде ЦДФ-холина вступает в реакцию с диацилглицерином. Холестерин синтезируется из ацетил-КоА в три этапа (образование меваноловой кислоты, синтез сквалена и превращение сквалена через ланостерин в холестерин).

Тркацилглидеркны молочного жира после синтеза в эндоплазматическом ретикулуме превращаются в глобулы жира, которые продвигаются к апикальной зоне клетки (их размеры по мере продвижения увеличиваются). В процессе экструзии жировая глобула обволакивается плазматической мембраной с постепенным ее сужением у основания шарика. После разрыва образовавшегося узкого перешейка шарик жира переходит в полость альвеол. При этом лишь небольшая часть шариков (3...5%) выделяется с фрагментами цитоплазмы клетки.

В полости альвеол первичная оболочка шарика жира, образовавшаяся из плазматической мембраны, перестраивается во вторичную. Поврежденная же мембрана клетки восстанавливается за счет мембранного материала вакуолей аппарата Гольджи в процессе выделения ими белкой и лактозы. На синтез и секрецию молочного жира клеткой затрачивается 4...6ч [Горбатова].

41. Окислительно-восстановительный потенциал молока


Молоко как сложная по химическому составу система содержит вещества, способные отдавать (окисляться) или присоединять (восстанавливаться) электроны; при восстановлении окисленной формы присоединяются атомы водорода. К таким веществам относятся аскорбиновая и молочная кислоты, токоферолы, рибофлавин, ферменты, пигменты, кислород, металлы и др.

Эта способность характеризуется окислительно-восстановительным потенциалом или сокращенно - редокс-потенциалом (Eh). Нормальный окислительно-восстановительный потенциал (Е0) - такой, при котором окисленная и восстановленная формы содержатся в равных концентрациях. Eh измеряется потенциометрически и зависит от отношения концентраций окисленной и восстановленной форм данного соединения и от концентрации ионов водорода среды. В создании окислительно-восстановительного потенциала молока участвуют имеющиеся в нем окислительно-восстановительные системы


и т. д.

В этом процессе участвуют также растворенный кислород и сульфгидридные группы белков. Изменение концентрации содержащихся в молоке веществ с окислительными и восстановительными свойствами влечет изменение Eh.

Окислительно-восстановительный потенциал в молоке в основном зависит от концентрации растворенного кислорода, от системы аскорбиновая кислота ↔ дегидроаскорбиновая кислота. Система молочная кислота пировиноградная кислота мало влияет на Eh, так как является необратимой и присутствует в очень малых количествах, поэтому даже в момент ее активизации ферментами практически не оказывает заметного влияния на Eh. Система лактофлавин лейколактофлавин - активно обратимая с высокоотрицательным нормальным потенциалом, но поскольку концентрация ее в молоке очень мала и находится она в полностью окисленной форме, то влияние ее на Eh незначительно.

Зависимость Eh от концентраций окисленной и восстановленной форм соединения по отношению к водородному потенциалу описывается уравнением Нернста:


где Е0 - нормальный окислительно-восстановительный потенциал, В;- газовая константа, равная 8,314 Дж·моль-1 К-1;

Т - абсолютная температура раствора, К;

n - число теряемых или приобретаемых электронов на молекулу;- число Фарадея, равное 96 500 Кл·моль-1;/Red - активность или концентрация, соответственно, окисленной и восстановленной форм данного соединения.

При 25 °С и п = 1 уравнение принимает вид:


Свежее молоко имеет потенциал на золотом или платиновом электроде от 0,2 до 0,3 В (200-300 мВ).

Окислительно-восстановительный уровень процессов в молоке зависит от концентрации ионов водорода, поэтому его выражают условным показателем rН2 и вычисляют по уравнению:


Учитывая, что в свежем молоке Eh = 0,3В, а рН 6,6, то rН2 = 23,2, то есть свежее молоко является средой со слабовосстановительными свойствами. Развитие в молоке микроорганизмов сопровождается снижением содержания кислорода и образованием ферментов, катализирующих восстановительные реакции, что вызывает резкое снижение окислительно-восстановительного потенциала. На этом основана редуктазная проба контроля бактериальной обсемененности сырого молока по скорости восстановления метиленового голубого в бесцветное вещество. Чем больше бактерий развилось в молоке, тем быстрее падает окислительно-восстановительный потенциал и быстрее происходит обесцвечивание добавленного к молоку метиленового голубого (или изменение цвета резазурина). Редуктазная проба недостаточно эффективна для контроля хранившегося на холоде сырого молока, в котором преобладает психротрофная микрофлора, вырабатывающая мало редуцирующих веществ. В этом случае применяют пробу на пируват, накапливающийся при развитии психротрофной микрофлоры.

Термическая обработка молока сопровождается улетучиванием кислорода, значительным разрушением аскорбиновой кислоты и, как следствие, приводит к резкому понижению окислительно-восстановительного потенциала. Дезодорация молока также приводит к существенному понижению окислительно-восстановительного потенциала.

Металлы (Си, Fe) и аэрация (перемешивание) способствуют повышению окислительно-восстановительного потенциала. С этим связано возникновение в молоке, сливках, сливочном масле пороков вкуса - окисленного, салистого, металлического.

Величина окислительно-восстановительного потенциала оказывает влияние на интенсивность протекания биохимических процессов и накопления вкусовых и ароматических веществ в производстве кисломолочных продуктов, сыров [Твердохлеб].

56. Биохимические изменения молочных продуктов при хранении


В процессе длительного хранения молока на фермах и заводах при температуре 3...5оС происходит в той или иной степени изменение почти всех основных составных частей молока и его свойств. Более значительному изменению подвергаются белки и жир, менее значительному - витамины, соли.

Белки. Во время хранения молока при низких положительных температурах белковая система молока (в основном казеин) может претерпевать серьезные изменения. Ослабляются гидрофобные взаимодействия, что приводит к изменению состава казеиновых мицелл.

Длительное хранение молока при 4оС сопровождается возрастанием количества растворимого казеина, достигающего через 48 ч хранения 22...42% всего казеина.

Растворимый казеин охлажденного молока представлен главным образом β-казеином, который легко диссоциирует с поверхности и из внутренней части мицелл при понижении температуры молока.

Таким образом, в процессе длительного хранения молока при низких температурах происходит изменение структуры казеиновых мицелл с выходом из их состава части казеина. Казеин переходит в плазму молока в виде мономеров, которые чувствительны к действию нативных и бактериальных протеаз. В результате протеолиза β-казеин распадается на γ-казенны и фосфопептиды.

Протеолиз фракций казеина в молоке могут катализировать щелочные и кислые напевные и бактериальные протеазы.

В молоке содержится нативная протеаза, идентичная ферменту плазмы крови животных плазмину и относящаяся к классу щелочных (сериновых) протеаз. Щелочные протеазы имеют максимум активности при слабощелочном рН 7,5...8 и температуре 37оС, но проявляют достаточно высокую активность при рН 6,5...7 и низких температурах. Они ингибируются типичными ингибиторами трипсина и гидролизуют пептидные связи, образованные Apr и Лиз. По-видимому, плазмин (или его неактивная форма плазминоген) переходит в молоко из плазмы крови. Особенно много плазмина содержит молозиво и маститное молоко.

Распад белков в сыром охлажденном молоке при длительном хранении могут вызывать также протеолитические ферменты психротрофных бактерий Achromobacter, Akaligensn др. Бактериальные протеазы могут способствовать образованию горьких пептидов и других нежелательных продуктов, придающих молоку посторонние привкусы.

Таким образом, длительное хранение сырого молока при низких температурах способствует образованию γ-казеина и других продуктов распада казеина, которые могут отрицательно влиять на технологические свойства (способность свертываться под действием сычужного фермента, структурно-механические и синерегические свойства белковых сгустков, термоустойчивость и др.), на выход сыра и других белковых продуктов (γ-казеин не свертывается сычужным ферментом и «теряется» с сывороткой), а также на органолептические свойства молока и готовых продуктов.

В связи с этим следует избегать длительного хранения сырого молока перед переработкой в белковые продукты и молочные консервы, а если длительное хранение неизбежно, необходимо применять пастеризацию или термизацию (более мягкую тепловую обработку при температуре 60...65°С с выдержкой от 2 до 20 с и выше) молока перед хранением.

Липиды. В процессе хранения охлажденного молока, меняется агрегатное состояние триацилглицеринов молочного жира, в результате которого нарушается структура оболочек жировых шариков. Оболочка приобретает хрупкость и проницаемость для жидкого жира, то есть наступает дестабилизация жира с образованием свободного жира. Перемешивание молока увеличивает степень дестабилизации. Затем наступает гидролиз свободного жира под действием липолитических ферментов - липолиз. Распад молочного жира с освобождением жирных кислот сопровождается появлением пороков вкуса молока - прогорклого, салистого и других привкусов. Гидролиз жира может быть вызван в основном нативными липазами и в какой-то степени - липазами психротрофных микроорганизмов. При хранении молока в условиях низких температур бактериальные липазы играют, по-видимому, незначительную роль в липолизе.

Прогоркание молока наступает при определенном содержании СЖК. Так, прогорклый вкус и посторонние запахи (кормовой, мыльный, рыбный) молоко приобретает при концентрации СЖК более 20 мг%.

Степень влияния отдельных жирных кислот на вкус молока не выяснена. Одни исследователи считают, что прогорклый вкус молока обусловливает преимущественно масляная кислота, другие полагают, что каприновая и лауриновая.

В процессе хранения молока происходит частичный переход фосфолипидов из оболочек жировых шариков в плазму. Скорость перехода зависит от температуры охлаждения, продолжительности хранения и степени механического воздействия на молоко.

Соли, витамины и ферменты. При хранении молока наблюдается перераспределение форм минеральных веществ, некоторое снижение количества водорастворимых витаминов и повышение активности некоторых ферментов. Так, часть мицеллярного фосфата кальция приобретает растворимость и переходит в плазму (сыворотку). Снижения содержания витаминов при хранении молока почти не наблюдается. Исключение составляет аскорбиновая кислота и в меньшей степени - тиамин и рибофлавин. При хранении охлажденного молока в течение 2 сут аскорбиновая кислота разрушается на 18%, а в течение 3 сут - на 30...70% (в зависимости от температуры хранения). Хранение молока может вызвать повышение активности плазмина, липазы и ксантиноксидазы [Горбатова].

76. Охлаждение сливок


После пастеризации (и вторичного сепарирования) весь молочный жир сливок находится в расплавленном состоянии. Чтобы подготовить жир к получению масла, сливки необходимо охладить до температуры ниже точки отвердевания молочного жира.

На степень отвердевания жира влияют температура и продолжительность охлаждения, жирно-кислотный состав триглицеридов и другие факторы. Перемешивание ускоряет отвердевание и кристаллизацию жира, т. е. позволяет сократить сроки низкотемпературной подготовки.

Процесс отвердевания происходит неравномерно, так как молочный жир представляет собой смесь триглицеридов с различной температурой застывания (отвердевания). Триглицериды в твердом состоянии имеют вид кристаллов. Наиболее интенсивно жир отвердевает в первые минуты охлаждения сливок: сначала отвердевают высоко- и среднеплавкие глицериды, затем легкоплавкие. Каждой температуре охлаждения соответствует определенная степень отвердевания жира, после чего устанавливается равновесие между твердым и жидким жиром.

Степень отвердевания жира при охлаждении сливок влияет на консистенцию масла. Оптимальным считается отвердевание 30-35% жира. При избыточном отвердевании жира получается масло грубой консистенции, а при недостаточном - мягкой.

При выработке масла способом сбивания для отвердевания оптимального количества жира сливки выдерживают в течение определенного времени при температуре ниже точки отвердевания жира. Такую выдержку называют физическим созреванием.

В процессе физического созревания сливок, наряду с отвердеванием жира, внутри шариков происходит частичная дестабилизация жировой дисперсии с образованием агрегатов и скоплений жировых шариков (комков) [Шейфель].

91. Образование вкусовых и ароматических веществ сыра


Накопившиеся в процессе протеолиза свободные аминокислоты могут оказывать влияние на вкус и запах молочных продуктов (сыров, кисломолочных продуктов), так как некоторые из них имеют выраженный вкус, например сладкий вкус имеют глицин, пролин, аланин, серии; горький аргинин, гистадин, триптофан и лейцин; сладко-горький - валин, треонин, фенилаланин; кислый - глутаминовая и аспарагиновая кислоты, сернистый цистин и метионин.

Вместе с тем более сильное влияние на вкус и запах молочных продуктов оказывают продукты дальнейшего превращения аминокислот (органические кислоты, альдегиды, амины и пр.).

К процессам диссимиляции аминокислот относятся peaкции дезаминирования, переаминирования, декарбоксилирования и др.

Дезаминирование аминокислот. На первой стадии разложения аминокислот микроорганизмами происходит их дезаминирование, в ходе которого отщепляется α-аминогруппа. Процесс дезаминирования аминокислот в зависимости от условий среды может идти окислительным, гидролитическим и восстановительным путями. При этом образуются различные кето-, окси- и карбоновые кислоты: пировиноградная, пропионовая, α-кетоглутаровая, янтарная, изомасляная, изовалериановая, яблочная и др.

Окислительное дезаминирование сопровождается образованием кетокислот:


При гидролитическом дезаминировании образуются оксикислоты:

В результате восстановительного дезаминирования образуются карбоновые кислоты:


Наиболее часто разложение аминокислот молочнокислыми бактериями и другими микроорганизмами в молочных продуктах идет по пути окислительного дезаминирования, приводящего к образованию аммиака и α-кетокислот. α-Кетокислоты могут далее восстанавливаться в оксикислоты или подвергаться декарбоксилированию. Так, при дезаминировании аминокислот под действием некоторых штаммов Lac. lactts, дроюкей и микрококков образующиеся кетокислоты декарбоксилируются до соответствующих альдегидов:


Таким образом, кетометилвалериановая кислота, образующаяся при дезаминировании лейцина, под воздействием декарбоксилазы превращается в изовалериановый альдегид:


Аналогичным путем из валина образуется изомасляный альдегид, из аланина - уксусный альдегид, из фенилаланина - фенилуксусный и т.д.



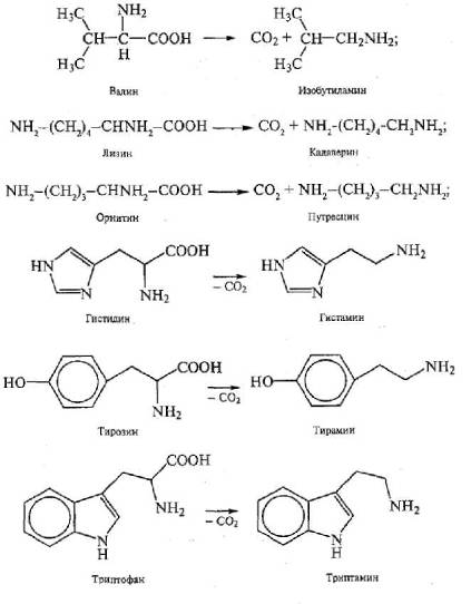
Например, при декарбоксилировании глицина образуется метиламин, у-аминомасляной - пропиламин, валина - изобутиламин, лизина - кадаверин, орнитина - путресиин, гистидина - гистамин, тирозина - тирамин, триптофана - триптамин, например


Данные амины обладают ярковыраженными вкусовыми свойствами. Многие из них имеют неприятный вкус и запах (аммиачный, рыбный и др.), однако при небольших концентрациях могут играть важную роль в формировании аромата некоторых сыров (российский, чеддер и др.).

Кроме процессов дезаминирования, переаминирования и декарбоксилирования возможны и другие ферментативные и неферментативные изменения аминокислот. Например, возможен ферментативный распад аминокислот при взаимодействии с дикарбонильными соединениями (пировиноградной, щавелевоуксусной кислотами и др.). При этом одновременно с декарбоксилированием аминокислоты происходит ее переаминирование с дикарбонильным соединением. В результате из аминокислоты образуется альдегид, а из дикарбонильного соединения - аминокетон, то есть идет реакция типа реакции разложения аминокислот по Штреккеру.

Так, важный компонент аромата сыров альдегид метиональ (3-метилтиопропаналь) образуется из метионина:


Аналогичным путем из цистеина образуется другой компонент аромата сыров - меркаптоацеталъдегид:


Под действием ферментов бактерий Brevibacteriutn linens (а также гнилостных бактерий) в мягких слизневых сырах серосодержащие аминокислоты распадаются с выделением сероводорода, сульфидов, имеющих характерный запах [Горбатова].

101. Пороки масла


Под пороками масла понимают отклонения его органолептических показателей от предусмотренных стандартом. Пороки могут быть обнаружены уже в свежем масле, но могут возникнуть и в результате хранения продукта.

Пороки масла классифицируют на пороки вкуса и запаха, консистенции, обработки и внешнего вида, цвета, посолки, упаковки и маркировки.

Пороки вкуса и запаха

Эти пороки более всего обесценивают масло, делая его в отдельных случаях непригодным для непосредственного употребления в пищу. Причинами могут быть скармливаемые корма, условия производства, микробиологические и химические процессы при хранении масла.

Кормовой привкус. Кормовой привкус объединяет группу пороков, перешедших в масло от молока и сливок. Порок регрессирующий, в процессе хранения масла он ослабевает. Степень выраженности порока зависит от вида и количества поедаемых коровами отдельных кормов, а также от характера последующей обработки сливок. Кормовой вкус и запах довольно часто встречаются в масле. Около 1/5 масла, переводимого в I сорт Госторгинспекцией, бракуется по этому показателю.

Невыраженный вкус и запах. Каждый вид масла имеет характерный вкус и аромат. Недостаточность их выраженности может быть следствием отсутствия или понижения количества летучих ароматических веществ. В кислосливочном масле этот порок появляется в результате недостатка ароматических веществ в закваске или слабой активности ароматобразующих бактерий при несоблюдении режима сквашивания. Чаще всего порок встречается в кислосливочном масле, полученном способом преобразования высокожирных сливок. Мерой борьбы является введение в высокожирные сливки 0,1% лимонной кислоты вместе с закваской для активизации молочнокислого процесса.

Нечистый вкус и запах. Этот порок характеризует начальную стадию развития микробиологических процессов в масле и вызывается различными микроорганизмами, главным образом бактериями группы кишечной палочки. Появление этого порока в масле указывает на низкую санитарную культуру производства. Устранению порока будет способствовать соблюдение высокой санитарной культуры на производстве, надежный режим пастеризации, исключение вторичного обсеменения сливок, хранение масла при низких температурам.

Затхлый, сырный и гнилостный привкус. Эта группа пороков характерна для сладкосливочного масла, в котором начался процесс разложения белков. Пороки в процессе хранения масла могут прогрессировать.

Под влиянием протеолитических микроорганизмов в масле сначала появляется старый, лежалый или затхлый привкус. По мере развития порока масло может приобрести залах зрелого сыра, отмечаемый сначала как сырный, а в дальнейшем как гнилостный привкус. Степень выраженности порока зависит от количества n-валериановой кислоты. Другие летучие кислоты с низкой молекулярной массой также способствуют образованию сырного запаха и вкуса. Сырный вкус, который очень часто наблюдается в несоленом сладкосливочном масле, становится заметным в первые 3 недели после изготовления. При повышенном содержании казеина в плазме масла развитие порока усиливается.

Гнилостный вкус в масле, кроме протеолитических бактерий, может быть вызван микрококками, разлагающими белок и жир, а также флюоресцирующими бактериями, образующими триметиламин. Наиболее частыми причинами пороков являются неудовлетворительное санитарно-гигиеническое состояние производства, поступление недоброкачественных сливок, применение для промывки непастеризованной воды, обсемененной флюоресцирующими бактериями, низкая температура пастеризации сливок, длительное их хранение до сбивания.

Для предупреждения пороков необходимо соблюдать следующие условия: сортировку сливок, исключение длительного хранения (дольше двух суток) сливок при низких температурах, высокую температуру пастеризации, применение для промывки масляного зерна доброкачественной, свободной от флюоресцирующих бактерий воды.

Кислый и излишне кислый вкус. Кислый вкус свойственен сладкосливочному, излишне кислый - кислосливочному маслу.

Кислый вкус для сладкосливочного масла, полученного способом преобразования высокожирных сливок, отмечается при кислотности плазмы масла более 22°Т, для сладкосливочного масла, выработанного способом сбивания - при кислотности плазмы более 18°Т.

Горький вкус. Существует несколько причин возникновения этого порока. Так, например, горький вкус возникает под действием ферментов микроорганизмов (дрожжей, плесеней, кишечной палочки). Образование горького вкуса за счет развития плесеней сопровождается появлением в масле большого количества пустот величиной с булавочную головку, которые, по-видимому, возникают вследствие выделения газа при разложении лактозы. От применения нечистой поваренной соли для посолки масла Может появиться горький привкус за счет присутствия в ней горьких хлоридов кальция, магния и калия. Поэтому в производстве соленого масла используют поваренную соль, соответствующую требованиям ГОСТ 13830-68, не ниже сорта "экстра".

Горький привкус в масле может появиться при поедании коровами некоторых кормов (полыни, люпина, зеленой ржи в избытке, ячменя, овса), а также при переработке молока коров, больных маститом.

Штафф. Этот порок развивается при хранении масла и характеризуется тем, что на поверхности брикета и монолита масла образуется полупрозрачный темноватый слой, имеющий своеобразный запах и неприятный, горьковатый, иногда приторно-едкий вкус.

Изменение цвета поверхностного слоя обусловливается снижением светоотражающего и светорассеивающего эффекта мелких капелек воды, испаряющихся с поверхностного слоя масла.

Интенсивность образования штаффа зависит от способа производства. Установлено, что штафф быстрее образуется на масле, полученном способом прерывного сбивания, чем на масле, выработанном преобразованием высокожирных сливок и непрерывным обиванием.

Упаковочный материал оказывает определенное влияние на развитие штаффа. Пергамент не предохраняет продукт от этого порока, а наоборот, содействует более интенсивному окислению, в то время как упаковка масла в каптированную фольгу практически предупреждает образование штаффного слоя (см. гл. VII). Штафф в полистироловой и поливиннилхлоридной упаковке не появляется даже три хранении масла в условиях комнатной температуры (18- 20°С).

Прогорклые вкус и запах. Этот порок вызывается многими микроорганизмами и плесенями. Кислород воздуха содействует его развитию. Под действием липазы молочный жир гидролизуется с последующим окислением продуктов распада, образуя альдегиды, кетоны, кетокислоты и т. д. Появление прогорклого вкуса и запаха сопровождается изменением констант молочного жира, ростом количества летучих жирных кислот и уменьшением величины йодного числа. В прогорклом масле на 45-50% возрастает содержание свободной масляной кислоты.

Прогорклый вкус и запах чаще встречаются в сладкосливочном масле, полученном способом сбивания, значительно реже в масле, выработанном способом преобразования высокожирных сливок. При наличии этого порока масло переводят в нестандартное и оно не подлежит реализации.

Металлический привкус. Причиной порока может быть растворение в плазме масла солей железа и меди. Усиливать выраженность порока могут протеолитические бактерии.

Можно воспроизвести металлический вкус прибавлением к маслу пептона и некоторых аминокислот (гликокола, валина, гистидина), образующихся при разложении казеина, или внесением чистой культуры аэробных спорообразующих протеолитичеоких бактерий, или синтетической смеси: 1,5% линолевой, 0,6% линоленовой и 0,2% арахидоновой кислот в тридеканоне.

Салистый вкус. Под действием солнечных лучей олеиновая кислота молочного жира окисляется до диоксистеариновой, в результате чего масло приобретает цвет и запах, свойственные свиному салу. Процесс окисления катализируется ионами металлов (железа и меди), повышенной температурой, ферментом олеиназой.

Олеистый вкус. Этот порок характеризуется привкусом, напоминающим растительное масло. Он обусловлен окислением олеиновой кислоты молочного жира и повышением содержания растворимых азотистых веществ плазмы. Олеистый вкус часто возникает при высокой степени сквашивания сливок. Развитию порока способствует каталитическое действие меди и железа в окислительных процессах.

Интенсивность выраженности олеистого привкуса связана с количеством образовавшихся перекисей. Так, при добавлении 1 мг меди на 1 л молока металлический привкус появляется при перекисном числе 0,15, а олеистый - при перекисном числе 0,3.

Рыбный вкус. Этот порок обнаруживают чаще всего в соленом кислосливочном масле после хранения. Причиной его возникновения является триметиламин, который образуется в результате гидролитического распада лецитина с образованием холина. Холин, присоединяя воду, расщепляется дальше на свои составные части. Образующийся при этом триметиламин обладает неприятным селедочным запахом и вкусом. Рыбный привкус обнаруживают в плазме масла при активном гнилостном процессе в результате микробиологического распада белково-лецитинового комплекса оболочек жировых шариков. Появление в масле рыбного привкуса обусловлено восстановлением линолевой кислоты молочного жира, которое может происходить под действием гнилостных бактерий при длительном хранении.

Эти пороки обусловлены преимущественно условиями производства, нарушением технологического режима. Дефекты консистенции и структуры масла предопределяют возможность развития в нем микробиологических и окислительных процессов.

Крошливое масло. Порок может появиться в масле, выработанном способом сбивания и преобразования высокожирных сливок. Масло, полученное способом сбивания, может быть крошливым при перезревании сливок, низкой температуре сбивания, низкой температуре промывной воды, при недостаточной обработке масляного зерна. Мерами предупреждения порока являются использование ступенчатых режимов созревания сливок в зависимости от величины йодного числа молочного жира, более высокая температура сбивания (при низком йодном числе молочного жира температуру сбивания можно повысить до 14-15 градусов С), при получении грубого твердого зерна повышение температуры промывной воды на 2-3°С, применение механической обработки масла в гомогенизаторе.

Мягкое, слабое масло. Порок появляется при недостаточном созревании сливок, имеющих йодное число выше 39, при нарушении температурного режима сбивания и обработки масла, при излишней обработке высокожирных сливок в маслообразователе.

Засаленность. Причиной порока является изменение структуры масла, связанное с чрезмерным выделением жидкой фракции жира, длительное механическое воздействие на сливки в процессе сбивания и при обработке масляного зерна.

Для предупреждения появления порока необходимо избегать удлинения процесса сбивания сливок, не допускать излишней обработки масляного пласта и растирания масла при набивке и формования.

Крупные капли влаги. Порок вызывается недостаточной обработкой масла, в результате чего получается плохое диспергирование влаги. Предупредить появление порока можно проведением тщательной обработки масляного зерна, особенно на третьей стадии обработки, контролированием влагораспределения методом индикаторных бумажек, обработкой масла на гомогенизаторе типа "Микрофикса".

Слоистая консистенция. Причиной порока является недостаточная обработка высокожирных сливок в маслообразователе, в результате чего не успевает закончиться первичное отвердевание жира и при хранении масла происходит дополнительное сжатие, сопровождающееся отвердеванием легкоплавких глицеридов; при производстве кислосливочного масла переработка в маслообразователе высокожирных сливок, охладившихся до 40-45°С; излишняя или недостаточная термомеханическая обработка продукта в маслообразователе.

Для предупреждения появления порока при выработке кислосливочного масла необходимо стабилизировать режим работы маслообразователя, использовать насос-дозатор, синхронно подающий высокожирные сливки и бактериальную заквашу в маслообразователь. При отсутствии насоса-дозатора производительность маслообразователя понижают на 30% против паспортной, отчего улучшается перемешивание высокожирных сливок.

Мучнистая консистенция. Этот порок встречается преимущественно в вологодском масле, полученном способом преобразования высокожирных сливок. Причиной появления его является многократная тепловая обработка слиток, за счет чего утоньшается белковая оболочка жировых шариков. В процессе сепарирования сливок жир частично дестабилизируется и в ваннах для нормализации оказывается слой вытопленного жира, являющийся источником образования крупных кристаллов (до 30 мкм) молочного жира в готовом продукте.

Плохая термоустойчивость масла. Порок чаще всего встречается в масле, полученном методом преобразования высокожирных сливок. Причиной порока является долгое механическое воздействие на обрабатываемый продукт в маслообразователе, в результате которого прочностные связи кристаллической системы настолько ослабевают, что масло приобретает излишне мягкую консистенцию и расплывается при комнатной температуре (см. гл. IV).

Препятствовать возникновению порока будет увеличение производительности маслообразователя при сохранении постоянной температуры охлаждения продукта за счет увеличения подачи хладагента. Иначе, для устойчивой выработки пластичного масла с хорошей термоустойчивостью режим охлаждения продукта в маслообразователе необходимо сочетать с продолжительностью и интенсивностью механической обработки кристаллизующейся массы продукта и химическим составом молочного жира.

Пороки посолки, цвета и упаковки

Пороки посолки. Эти пороки связаны с неравномерным распределением соли в масле, а также с использованием нестандартной соли. При неравномерной посолке, встречающейся при применении сухой соли, в процессе хранения появляется полосатая окраска масла, так называемый мраморный цвет. Причиной порока является использование крупно-кристаллической соли, недостаточная обработка масла после внесения соли.

Для предупреждения порока необходимо использовать просеянную поваренную соль томного помола сорта "экстра", вместо сухой соли лучше применять рассол.

Порок - нерастворившаяся соль характерен для масла, выработанного способом прерывного сбивания, и обусловлен неравномерной посолкой и неполной растворимостью соли. Он почти всегда сопровождается появлением неоднородного цвета масла и наличием крупных капель влаги. Посолка рассолом исключает появление этого порока.

Мерами предупреждения его является тщательное равномерное рассеивание соли по поверхности масла, пятиминутный перерыв при обработке масла после внесения необходимого количества влаги.

Пороки цвета. Эти пороки чаще встречаются в масле, полученном способом прерывного сбивания, и обусловлены недостаточной обработкой масла и его неправильной посолкой.

Неоднородный цвет образуется в результате плохого диспергирования влаги или неравномерного распределения соли в масле.

Неплотная набивка ухудшает качество и стойкость масла, так как в этом случае образуются пустоты внутри монолита, в которых может развиваться плесень [Котова].

 

. Физико-химические процессы, протекающие при производстве молочно-белковых концентратов


Казеин

Технический и пищевой казеин вырабатывают из обезжиренного молока. Технический казеин используют в бумажном производстве, для получения клея, красок и т. д. Пищевой казеин в виде казеинатов широко применяют в производстве молочных и других пищевых продуктов.

В зависимости от способа коагуляции из обезжиренного молока казеин подразделяют на кислотный и сычужный. Наиболее распространенным способом получения пищевого казеина является способ кислотной коагуляции. Коагуляция казеина может осуществляться под действием молочной кислоты, образующейся в результате молочнокислого брожения лактозы, и зерненым способом (казеин осаждается кислой сывороткой кислотностью 180 оТ). Разработана технология казеина непрерывным способом с использованием в качестве коагулянта соляной кислоты. Также выпускается пищевой казеин молочнокислый ферментированный, представляющий собой частично расщепленный белок. Ферментацию казеина осуществляют, в основном, при производстве ферментированного казеината натрия.

Важными показателями качества казеина, особенно технического, являются кислотность и содержание в нем золы, от которых зависят растворимость и влагоудерживающая способность казеина. Основной компонент золы казеина - кальций.

В кислотном казеине содержание кальция (золы) ниже, чем в сычужном. Это объясняется различиями в механизме коагуляции казеина.

Снижению зольности казеина способствуют постановка однородного зерна размером 3-5 мм и дополнительная выдержка его в сыворотке в течение 2-3 ч. Зольность и кислотность казеина зависят от тщательности промывки - чем лучше промыт казеин, тем выше его качество. При выработке технического казеина рекомендуется промывать зерно водой, подкисленной серной кислотой до 2-2,5°Т.

Наряду с кислотностью и содержанием золы растворимость казеина обусловлена режимом сушки.

Казеинат натрия

Пищевой казеинат натрия получают, растворяя кислотный казеин (сухой или свежеосажденный) в гидроксиде натрия с последующей сушкой полученных коллоидных растворов Казеинаты обладают высокими функциональными свойствами и широко используются в различных отраслях пищевой, мясной и молочной промышленности - в производстве колбас, хлебных и крупяных изделий, в качестве стабилизатора структуры мороженого, сметаны, йогурта, кремов, пудингов и т. д.

Основная операция, определяющая качество казеинатов, -распыление их перед сушкой. Растворы казеинатов имеют высокую вязкость, что затрудняет процесс распыления. Вязкость растворов казеинатов зависит от концентрации, рН и температуры. Растворы казеината имеют оптимальную вязкость, позволяющую проводить операции перемешивания и распыления, при концентрации сухих веществ 18-20%, рН 6,6-6,9 и температуре 75-80°С.

Казецит и копреципитат

Казецит (цитратный казеинат) получают путем растворения казеина-сырца в смеси цитратов и гидрокарбоната натрия. Казецит содержит много белка и мало лактозы , сбалансирован по минеральному составу (калию, натрию, при невысоком количестве кальция и фосфора). Казецит используют для получения лечебных сухих молочных смесей «Энпиты» и низколактозных смесей.

Копреципитаты получают из обезжиренного молока (или смеси обезжиренного молока и пахты) путем совместного осаждения казеина и сывороточных белков при одновременном действии высоких температур и коагулянта (хлорида кальция или кислоты). Комплексное осаждение белков позволяет увеличить степень использования белковых веществ молока и повысить биологическую ценность продукта (за счет улучшения сбалансированности незаменимых аминокислот, особенно серосодержащих).

Основной физико-химический процесс, определяющий качество копреципитатов, - процесс осаждения казеина и сывороточных белков. В зависимости от требуемого количества в копреципитате кальция, белки осаждают с помощью термокальциевой или термокислотной коагуляции.

Растворимые высоко- и низкокальциевые копреципитаты с разной водосвязывающей и эмульгирующей способностью широко применяют в молочной, мясной, хлебопекарной и других отраслях пищевой промышлености.

Концетраты сывороточных белков

Концентраты сывороточных белков получают с помощью ультрафильтрации или диафильтрации (полученный концентрат разбавляют водой и повторно фильтруют, чтобы удалить лактозу и минеральные вещества). Ультрафильтрация позволяет выделить из сыворотки белки в неденатурированном нативном состоянии, что повышает их растворимость и биологическую ценность. К ним относят концентрат КСБ-УФ и растворимый сывороточный белок РСБ, широко используемые как белковые добавки при производстве детских молочных продуктов.

Методами ультрафильтрации и диафильтрации также вырабатывают молочно-белковые добавки (ДМБ) из пастеризованного обезжиренного молока и пахты. Их выпускают жидкими (с содержанием белка от 14,5 до 19,5%) и сухими с количеством белка от 60 до 80%. Молочно-белковые добавки успешно применяют в молочной и мясной промышленности [Шейфель].

155. Химические изменения при консервировании мяса


Предупреждение или торможение нежелательной микробиальной порчи мяса и мясных продуктов достигается путем применения различных способов консервирования. При консервировании используют действие различных сохраняющих факторов (называемых барьерами):

·    физических (применение высоких и низких температур, ионизирующих излучений, ультрафиолетовых излучений, обезвоживания, применение упаковки и защитных покрытий);

·        химических (использование консервантов);

·        физико-химических (посол, копчение и др.);

·        биохимических (направленное использование микрофлоры).

Микробиологическая безопасность и пищевая ценность мясных продуктов часто находятся в противоречии. Продукты, подвергаемые мягкой обработке, имеют хороший вид, вкус и т.д., но менее стойки к действию микробов (с точки зрения снижения качества) и менее безопасны (с точки зрения пищевых отравлений). Таким образом, соответствующая обработка продукта является компромиссом в отношении качества и безопасности. В этом плане наглядным примером служат мясные консервы, которые являются микробиологически безопасными и стойкими, однако из-за тепловой стерилизации имеют недостатки по показателям пищевой ценности.

Современные способы обработки должны быть направлены на получение стойких при хранении продуктов с высокими показателями качества, что может достигаться комбинацией нескольких сохраняющих факторов (барьеров), которые не могут преодолеть микроорганизмы, присутствующие в продукте. Эта концепция (называемая барьерной технологией) перспективна для современных способов сохранения качества пищевых продуктов. Основные принципы барьерной технологии:

·  высокая микробиологическая стойкость и безопасность продуктов;

·        максимальные органолептические свойства и пищевая ценность продуктов;

·        минимальная обработка продуктов.

Эта концепция справедлива как для традиционных пищевых продуктов, так и для новых продуктов, для которых барьеры тщательно подбираются, а затем целенаправленно используются.

Примером традиционной комбинации барьеров может служить копчение мясопродуктов, где сочетаются консервирующее действие обезвоживания, соли и бактерицидных веществ коптильного дыма.

Известно более 60-ти потенциальных сохраняющих факторов (барьеров). В настоящее время в качестве перспективных признаны физические нетепловые барьеры: применение высокого гидростатического давления; комбинирование тепловой обработки, давления и ультразвука; воздействие импульсного электрического тока и т. д. К другой группе перспективных барьеров относятся «природные консерванты», такие, как экстракты пряностей, лизоцим и др.; применение методов биотехнологии, в частности, направленное использование микроорганизмов. Однако как традиционные барьеры, так и барьеры будущего применяются в сочетании с другими барьерами, например, мягкой тепловой обработкой, охлаждением и т. п.

Барьерная технология целенаправленно и в возрастающих масштабах будет применяется при производстве мясных продуктов [Перкель].

181 Определение влаги в твороге


Техника определения влаги в твороге взята из ГОСТ 3626-73 Молоко и молочные продукты. Методы определения влаги <http://docs.cntd.ru/document/1200021586>.

Для определения массовой доли влаги в продукте пакеты (одно- или двухслойные) из газетной бумаги, размером 150х150 мм, складывают по диагонали, загибают углы и края примерно на 15 мм.

Проведение анализа

При определении массовой доли влаги в твороге пакет вкладывают в листок пергамента, несколько большего размера, чем пакет, не загибая краев. Готовые пакеты высушивают в приборе в течение 3 мин при температуре 150-152°С, после чего их охлаждают и хранят в эксикаторе.

Подготовленный пакет взвешивают с погрешностью не более 0,01г, взвешивают в него 5г исследуемого продукта с погрешностью не более 0,01г, который распределяют равномерно по всей внутренней поверхности пакета.

Пакет с навеской закрывают, помещают в прибор между плитами, нагретыми до температуры 150-152°С и выдерживают 5 мин.

Одновременно можно высушивать два пакета. При высушивании творога в начале сушки во избежание разрыва пакета верхнюю плиту прибора приподнимают и поддерживают в таком положении до прекращения обильного выделения паров, которое обычно длится 30-50с. Затем плиту опускают и продолжают высушивание.

Пакеты с высушенными пробами охлаждают в эксикаторе 3-5 мин и взвешивают.

Обработка результатов

Массовую долю влаги в продукте (W) в процентах вычисляют по формуле= (m - m1)•100 / 5

где m - масса пакета с навеской до высушивания, г;- масса пакета с навеской после высушивания, г;

- навеска продукта, г.

Расхождение между параллельными определениями должно быть не более 0,5%. За окончательный результат принимают среднее арифметическое двух параллельных определений [Гинзбург].

творог сыр окислительный мясо

Список литературы


1.   Гинзбург А.С. Основы теории и техники сушки пищевых продуктов.- М.: Пищевая промышленность, 1973. - 528 с.

2.      Горбатова К. К. Химия и физика молока: Учебник для вузов. - СПб.: ГИОРД, 2004. - 288 с.

3.   Котова О.Г. Повышение качества сливочного масла. - М.: Пищевая промышленность, 1979. - 127 с.

4.      Перкель Т. П. Физико-химические и биохимические основы производства мяса и мясных продуктов: Учебное пособие / Кемеровский технологический институт пищевой промышленности. - Кемерово, 2004. - 100 с.

.        Твердохлеб Г. В., Раманаускас Р. И. Химия и физика молока и молочных продуктов - М.: ДеЛи принт, 2006. - 360 с.

6.   Шейфель О.А. Биохимия молока и молочных продуктов: Конспект лекций / О.А. Шейфель; Кемеровский технологический институт пищевой промышленности. - Кемерово, 2010. - 126 с.

Похожие работы на - Биосинтез молочного жира

 

Не нашли материал для своей работы?
Поможем написать уникальную работу
Без плагиата!
Без нейросетей!