Розв’язання алгебраїчних рівнянь в радикалах
ЗМІСТ
I.
ВСТУП. ТЕОРЕТИЧНІ ВІДОМОСТІ
.1
Прийоми розв’язання задач в першому і другому степені в Індії та Греції
.2
Досягнення арабських математиків в області алгебраїчних рівнянь
.3
Історія розв’язання рівнянь в третій та четвертій степені видатних математиків
(Дель Ферро, Дж. Кардано, Феррарі)
.4
Найвидатніші теореми про радикали вищих степенів
.4.1
Теорема Руффіні
.4.2
Теорема Абеля. ПРАКТИКО-МЕТОДОЛОГІЧНИЙ МАТЕРІАЛ. АКТУАЛЬНІСТЬ ДОСЛІДЖУВАНОЇ
ТЕМИ. ВИСНОВКИ. СПИСОК ВИКОРИСТАНОЇ ЛІТЕРАТУРИ
алгебраїчне рівняння радикал теорема
I. ВСТУП
Математика - одна з найстародавніших наук. Вона
зародилась на зорі людської цивілізації з потреб практики.
Роль математики в різних галузях людської
діяльності з часом змінювалася, причому найістотніше залежала вона від двох
факторів: рівня розвитку математичного апарату і ступеня зрілості знань про той
чи інший досліджуваний об’єкт, тобто можливості описати найістотніші його
властивості мовою математичних понять або, як тепер прийнято говорити,
можливості побудувати математичну модель цього об’єкта.
Одним з основних видів математичних моделей, що
розглядаються в шкільному курсі математики, є рівняння.
Вивчення починається з найпростішого випадку
одного рівняння першого степеня з одним невідомим, а потім поглиблюється в двох
напрямах: 1) розглядаються системи двох і трьох рівнянь першого степеня з
двома, і відповідно, трьома невідомими; 2) вивчається одне квадратне рівняння з
одним невідомим і деякі окремі типи рівнянь, що легко зводяться до квадратних.
Перш ніж перейти до поглибленого розгляду одного
з цих напрямів у теорії розв’язування рівнянь, розглянемо коротко основні етапи
її розвитку.
Метою мого дослідження є поглиблене ознайомлення
з розв’язанням алгебраїчних рівнянь в радикалах, ознайомлення з історією про
алгебраїчні рівняння в радикалах.
II. ТЕОРЕТИЧНІ ВІДОМОСТІ
.1 Прийоми розв’язання задач в першому і другому
степені на Далекому Сході та Греції
Розв’язування найпростіших рівнянь першого та
другого степеня займалися ще вавилонські, єгипетські, а згодом давньогрецькі
математики. Звичайно, способи розв’язування, позначення та термінологія були
іншими. Зокрема, усі проміжні обчислення було потрібно тримати в пам’яті, а дії
з числами виражати словами.
В XVII століття в постійному багато столітньому
розвитку математики відбувся стрибок, до виникнення нової математики, що став
робочим інструментом наукового природознавства, основи якого в той час
закладалися.
Розвиток нових методів став можливим завдяки
тому, що нова математики була побудована на базі алгебри і користувалася лише
єдиною символічною мовою. Це створило передумови для побудови абстрактних
понять математики. Проникнення алгебри в математику і суміжні науки дозволило
розробити алгоритми,застосовані до задач окремих класів, системи з характерними
правилами перетворень і специфічною символікою. Відкриття алгоритма
диференціального та інтегрального обчислень Ньютона (1643-1727) і Лейбніцем
(1646-1716) в кінці XVII ст. передували значні досягнення в алгебрі:
розв’язання рівнянь першої та другої степені, введення в алгебру єдиної
алгебраїчної символіки.
Алгебричні рівняння 1-го степеня з
одним невідомим розв'язували вже в давньому Єгипті
<#"732227.files/image001.gif">)2 -
2.
Звісно ж, що при такій побудові
відшукувалися лише додатні корені рівняння: від’ємні числа з’явилися в
математиці пізніше.
Грецькі математики намагалися,
принаймні в теоретичних дослідженнях, не вдаватися до чисельного подання
величин, а виконувати лише геометричні побудови за допомогою циркуля та
лінійки.
Можливо, це пояснюється тим, що вони
знали про існування відрізків, не сумірних з одиницею довжини.
У цьому численні прямокутник,
утворений відрізками а та b розглядається як їх добуток. Співвідношення між
площинами відіграють роль алгебраїчних формул.
В цю епоху з’явився професійний
вчений - людина, яка присвятила своє життя розвитку науки, і який за це отримав
винагороду. Евклід є один із найзнаменитіших математиків всіх часів.
З задачами на екстремум давні греки
зустрілися в зв’язку із питанням розв’язку рівнянь. Ще Евклід розглядав
квадратне рівняння виду
( a - x ) = M
і установив, що воно має додатній
розв’язок за умови:
≤
2.
Про життя Евкліда людство не має
ніяких достовірних даних. Можливо, він жив в часи першого Птолемея (306-283),
якому, згідно з переданим, він заявив, що до алгебри та геометрії немає
«царської дороги». Його найбільш знаменитий і найбільш видатний твір -
тринадцять книг його «Начал», але йому приписують декілька інших трудів. Це так
звані «Дані», які містять в собі що ми б назвали додатки з алгебри та
геометрії, але все це викладено строго геометричною мовою.
Так, у «Началах» Евкліда (III ст..
до н.е.) знаходимо геометричні розв’язання ряду квадратних рівнянь, доведення
тотожностей добування коренів виду
,
.
Алгебраїчні висновки у Евкліда
наводяться виключно в геометричному вигляді. Вираз виду
вводиться
як сторона квадрата з площиною А, добуток а*b - це площа прямокутника зі
сторонами а та b. Такий спосіб уявлення був викликаний теорією відношення
Евдокса.
Яку ціль ставив собі Евклід, коли
писав свою книгу «Начала»? Я можу з впевненістю сказати, що він хотів викласти
в одному великому відкритті три великих відкриття недавнього минулого: теорію
відношення Евдокса, теорію ірраціональних Теєтета і теорію п’яти правильних
тіл, які зайняли видатне місце в космотології Платона. То були три типово
«грецькі» досягнення.
Першу спробу систематизації питань,
що стосуються розв’язування рівнянь, ми знаходимо у Діофанта (III ст.. до
н.е.). У своєму творі «Арифметика» він викладає теорію рівнянь першого степеня,
розв’язує квадратні рівняння, але переважна його частина присвячена так званим
невизначеним рівняння та їх системам, тобто таким, у яких кількість рівнянь
більша за кількість невідомих.
До невизначеного рівняння зводиться,
наприклад, задача про те, як розміняти 1 крб. монетами по 20 і 15к.
Якщо кількість шуканих монет
позначити відповідно через x, y, то дістанемо невизначене рівняння 20x + 15y =
100, причому серед нескінченної множини його розв’язків дану задачу задовольняє
лише один: x = 2, y =4. Саме такі додатні цілі розв’язки рівнянь знаходив
Діофант, виявляючи при цьому велику майстерність і винахідливість. Поряд з
рівнянням першого степеня він розглядав невизначені рівняння вищих степенів та
їх системи.
В «Арифметиці» для спрощення записів
та обчислень зустрічаються спроби введення символічних позначень невідомих, їх
квадратів та кубів. Книга Діофанта мала великий вплив на розвиток математики і
навіть в основі деяких сучасних досліджень лежать висловлені в ній ідеї.
В історії давньогрецької математики
творчість Діофанта була однією із завершальних яскравих сторінок. Розвиток
математичної культури, а зокрема алгебраїчних рівнянь, переходить до індусів та
арабів.
Вважається, що алгебра була створена
працями індуських математиків. Саме вони вперше почали вважати позиційну
система числення і користуватися нулем як числом, а також символами для
позначення дій над числами. Індуські математики ввели певний знак рівності,
символ для позначення другого та третього степенів числа квадратного кореня та
невідомої величини. Завдяки цьому вони розв’язували рівняння першого та другого
степенів, окремі рівняння вищих степенів, невизначені рівняння.
Математика індусів дуже відрізнялась
від математика греків - вона була числовою. Індуси не біли стурбовані суворістю
еллінів в доведеннях та обґрунтування геометрії. Вони задовольнялися
кресленням, на яких у греків заснувалось доведення під зазначення «Дивись!».
Основні досягнення індусів полягають
у тому, що вони ввели в застосування цифри, які називаються арабські, і
позиційну систему запису чисел, виявили двохзначність коренів квадратного
рівняння, двохзначність квадратного кореня і ввели відмінні від нуля числа.
Індуси розглядали числа, які не
відносяться до геометрії. В цьому їх алгебра має схожість із алгеброю Діофанта.
Вони розповсюдили правила дій над раціональними числами на числа ірраціональні,
виробляючи над ними безпосередні викладки, а не вдаючись до побудов, як це
робили греки.
Наприклад, їм було відомо, що:
=
+
+
+
.
Індусами був зроблений крок вперед у
вдосконаленні алгебраїчної символіки: вони ввели значення декількох невідомих
та їх степенів. Крім того, вони шукали розв’язок невизначених рівнянь не в
раціональних, а в цілих числах.
.2 Досягнення арабських математиків
в області алгебраїчних рівнянь
Значний внесок у розвиток теорії
розв’язування алгебраїчних рівнянь зробили математики середньовічного Сходу,
які писали арабською мовою. Насамперед тут слід назвати узбецького вченого
Мухаммеда-ібн-Мусу ал-Хорезмі та таджицького математика й поета Омара Хайяма.
Зокрема, саме слово «алгебра» виникло в зв’язку із заголовком книги ал-Хорезмі
«АЛ-джебр ал-мукабала». В цій книзі ал-Хорезмі обмежується лінійними та
квадратними рівняннями.
Від Арабів Європа отримала наступний
спосіб розв’язання рівняння + ax = b2.
Побудуємо квадрат x2 , до його
сторін проложимо чотирикутник довжиною x + 2*
= х +
та шириною
(мал. 3)
Тоді площа отриманого квадрата:
(x +
) 2= x2 + ax+
.
Отже,
x2 + ax+
. = (x +
) 2 = b +
,
(x +
) 2 =
2.
Величини а та b відомі, тому можна
побудувати
Проте в трактаті Омара Хайяма «Про
доведення задач із алгебри і ал-джебри» знаходимо більш строгу класифікацію
всіх рівнянь до третього степеня включно. Більш того, згаданий трактат - перший
в історії науки твір, де алгебра розглядається як самостійна математична
дисципліна, що має загальнотеоретичне значення.
Поет і вчений Омар Хайям (1048-1131)
написав трактат про алгебраїчні рівнянням, де привів їх класифікацію, що
складається з 25 видів, 14 з яких були кубічні . Його класифікація не була
відома європейським математикам Нового часу. Вперше трактат був виявлений і
опублікований на арабській мові лише в 1936 р. Проте цей трактат говорить нам
зараз про рівень розвитку арабської математики XI -XII ст. У ньому автор
наводить методи рішення рівнянь і дає визначення того , що потрібно розуміти
під алгебраїчними обчисленнями. Хайям пише: « Алгебраїчні обчислення
проводяться за допомогою рівнянь; як добре відомо, рівняння - це зрівняння
одних ступенів іншими ».
Більшість кубічних рівнянь Хайям
вирішує за допомогою перетину прямих і кіл з лініями конічних перетинів. Так ,
корені рівняння
x ³ + a = bx ,
він шукає на перетинах параболи
x ² = yb1 / 2,
і гіперболи
x ² - ax / b = y ²;
корені рівняння
x ³ + bx = cx ² + a,
він визначать за допомогою
окружності
y ² = ( x - a / b ) ( c - x ),
і гіперболи
Зрозуміло, всі алгебраїчні рівняння
мали у нього конкретний числовий вигляд.
Наприклад , для рівняння x ³ + 41
² = 80x ² їм
було знайдено два кореня : x = 41 , x = 41 + 39 ( 3 / 4 ) і т.д.
Таким чином , нинішню багато в чому
символьну алгебру араби сформували як методику відомості конкретних прикладних
задач до одного або декількох рівнянь різного ступеня і знаходженню одного або
двох коренів за допомогою конкретних геометричних побудов. Декарт, створюючи
свою аналітичну геометрію, в чому спирався на алгебраїчні роботи арабів, які
виростали з синтетичної геометрії греків.
В алгебраїчному трактаті Хайяма
розвиток арабської математики, звичайно, не закінчився. Після нього якийсь
анонімний автор навів геометричну побудову для знаходження одного з коренів
рівняння четвертого ступеня виду: x4 + 2000x = 20x ³ + 1900.
У трактаті самаркандського
математика аль- Каші (XIV -XV ст.) «Ключ арифметики» дається класифікація , що
складається з 65 видів рівнянь , і методи вирішення , в тому числі , рівнянь
четвертого ступеня.
Крім алгебраїчних рівнянь ,
перекладу і коментування грецьких авторів , араби цікавилися обчисленнями
коренів. Ними були отримані цікаві співвідношення , наприклад , такі:
=
і т.д. До цих числовим рівностей
приводили все ті ж геометричні та алгебраїчні прийоми , які давали і більш
загальні вирази, зокрема, таке:
Вельми схожу формулу виводе і Ньютон
у своїй «Загальній арифметиці»:
яка потім увійшла в усі європейські підручники
алгебри. Таким чином , основним досягненням математиків країн ісламу було
створення алгебраїчної науки , конструктивний дух якої мусульмани передали
першим ученим відродженої Європи.
.3 Історія розв’язання рівнянь в третій та
четвертій степені видатних математиків (Дель Ферро, Дж. Кардано, Феррарі)
Лише в XVI ст.. були знайдені методи
розв’язування рівнянь третього та четвертого степенів; тут слід назвати імена
італійців С. Ферро (1465 - 1526), Н. Тарталья (1500 - 1557), Дж. Кардано (1501
- 1576), Л. Феррарі (1522 - 1565).
Джироламо Кардано Girolamo , 1501-1576 )
народився в сім'ї юрисконсульта . Його батько цікавився і науковими питаннями,
і викладав геометрію; відомо , що по одному з наукових питань його консультував
сам Леонардо да Вінчі. У дитинстві Джироламо ледь не загинув від чум. У 8 років
батько став брати його з собою, коли відвідував клієнтів. Він розповідав синові
про магів , демонів , чудесах , одночасно навчаючи арифметики, геометрії ,
початків арабської астрології , мовам , риториці.
У 18 років Джироламо вступив на медичний
факультет університету Павії , потім продовжив свою освіту в університеті Падуї
, який закінчив в 1524 р.
Спочатку колегія лікарів Мілана відмовила
Кардано в прийомі, мотивуючи своє рішення , що він незаконнонароджений син
(його батько і мати довгий час жили , не оформивши шлюбу ) . Кардано сильно
бідував . У ці роки він написав багато робіт з медицини , філософії ,
математики , але вони не приносили йому доходу і слави. Лише в 1539 р. по
протекції знатного вельможі , у якого Кардано вилікував сина , він був
прийнятий в колегію міланських лікарів.
У тому ж році він задумав написати книгу з
математики , яка представляла б енциклопедію усього відомого в арифметиці і
алгебрі.
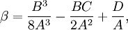
Зокрема, у праці Дж. Кардано «Велике мистецтво,
або правила алгебри» (1545) викладено повну теорію розв’язування кубічного
рівняння x3 + ax2 + bx + c = 0 і подано спосіб розв’язування рівняння
четвертого степеня виду x4 + ax2 + bx + c = 0.
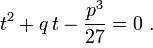
Розглянемо рівняння третього степеня:
Зробимо в цьому рівнянні заміну змінної: x = u +
v, ввівши дві невідомі u і v отримаємо:
Згрупуємо:
Підчиним тепер невідомі u і v умові:
Т
оді попереднє рівняння буде вигладяти:
Отже, для визначення невідомих величин u і v ми
отримали систему рівнянь:
Піднесемо останній вираз до кубу:
Дві отриманих рівності, що зв'язують u3 і v3
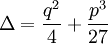
дозволяють стверджувати, що ці величини є розв’язанням квадратного рівняння:
Вираз:
називається дискримінантом кубічного кореня.
Розв’язавши квадратне рівняння, отримаємо:
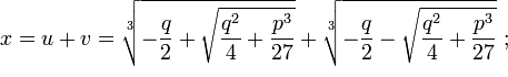
Отже, маємо формулу для розв’язання рівння:
вона називається формулою Кардано.
Формула Кардано є не дуже зручною для практичних
обчислень. Справа в тому , що корінь кубічний з комплексного числа приймає три
різних значення. Розв’язання ж, представлене формулою Кардано, має в правій
частині комбінацію з двох кубічних коренів. Таким чином , отримуємо 9 всіляких
комбінацій із значень коренів кубічних. З іншого боку, основна теорема вищої
алгебри стверджує , що кубічне рівняння повинно мати тільки три розв’язання.
Для того, щоб встановити відповідність між значеннями u і v, звернемося до
умови uv = - p / 3. Згідно з цією умовою , завдання значень для u дозволить
однозначно відновити v. Нехай
якесь одне з трьох можливих значень кореня
кубічного. Два значення кореня, які залишилися виходять якщо домножити u1 на
корені кубічні з одиниці
При
Якщо взяти
То розв’язання кубічного рівняння можна виразити
в виді комбінації та
:
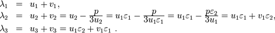
Остаточно отримуємо формули для обчислення коренів:
Де - одне із значень кореня кубічного, а
пов'язано з ним співвідношенням
.
Книга Дж. Кардано «Велике мистецтво» присвячена
розв’язуванню рівнянь.
Відкрив метод розв’язку рівнянь четвертого
степеня 23-річний учень Дж. Кардано - Луиджі Феррарі (1522 - 1565), який назвав
себе «творінням його величності синьйора Ієроннімо».
Про Феррарі відомі небагато. Він родом із
Болонії, де його батько був вбитий французами. Маленькій Луіджі поневірявся по
кріїні і заробляв собі на життя тим, що гарно писав (в ті часи, це була велика
рідкість), і якимсь чином потрапив в Мілані в дім Кардано. Обдарований хлопець,
який дуже полюбляв полюбляв навчання із задоволенням прийняли. Феррарі швидко
засвоїв латинський та грецьку мови, збагатив свої знання з математики, після
чого став допомагати Кардано оформляти книги.
Луіджі Феррарі
<#"732227.files/image043.gif">
і додамо її до рівняння (1), отримаємо
Це було зроблено для того, щоб замість u4 отримати
повний квадрат: (u2 + α)2. Другий
доданок, αu2 не зник, проте
його знак замінився на протилежний і він перемістився на інший бік рівняння.
Наступним кроком є введення нової змінної y до
повного квадрата у рівнянні (2), і перенесення 2y разом з коефіцієнтом u2 до
правої частини. Отримаємо тотожну рівність, яку ми потім додамо до рівняння (2)
також розглянемо очевидну рівність
Додамо дві останні рівності, отримаємо
Додавши цю рівність до (2), отримаємо
Ця рівність еквівалентна
Виберемо змінну y так, щоб у правій
частині рівності (3) утворився повний квадрат. Це станеться, якщо дискримінант
<#"732227.files/image050.gif">
Квадратична функція з правого боку
нерівності має три коефіцієнти. Можна переконатися, що квадрат другого з них
мінус почетверений добуток першого на третього дасть нуль:
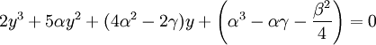
Тому, для того, щоб перетворити
праву частину рівняння (3) на повний квадрат, потрібно розв'язати щодо
параметра y таке рівняння:
Виконаємо множення і зведемо подібні
доданки при y,
Поділимо обидві частини на −4,
і перенесемо −β2/4 у праву
частину,
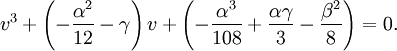
Маємо кубічне рівняння
<#"732227.files/image055.gif">
Перетворення похідного кубічного рівняння до
канонічного вигляду
Рівняння (4) є похідним кубічним рівнянням від
рівняння четвертого степеня. Щоб його розв'язати, потрібно привести його до
канонічного вигляду. Зробимо заміну
Рівняння (4) набуває вигляду
Розкриємо дужки:
Зведемо подібні доданки при степенях v,
врахувавши, що коефіцієнт при v2 дорівнює нулю і цей доданок знищується,
Ми отримали канонічне кубічне рівняння.
Перепозначимо його коефіцієнти,
Отримаємо рівняння:
Розв'язання похідного кубічного рівняння
Розглянемо питання про розв'язання (нас
задовольнить будь-який розв'язок) рівняння (5).
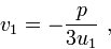
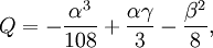
Позначимо:
(взято з кубічне рівняння
<#"732227.files/image064.gif">
Можна показати, що мають місце
залежності
:
:
Видобування кореня з обох частин і
завершення розв'язування
Розглянемо схему згортання повного
квадрата:
Вона є вірною для обох знаків
квадратних коренів, якщо їх брати однаковими. Ми не будемо писати власне знак
±, оскільки це викликатиме певні труднощі, зважаючи на те, що далі
вживатимуться інші знаки ±, які виникнуть потім. Натомість, поряд з цим знаком
ми будемо ставити індекс, що являтиме собою змінну, знак якої береться до
уваги.
Зважаючи на це, ми отримаємо:
Зауваження: Якщо β ≠ 0
тоді α + 2y ≠
0. А якщо β = 0, то ми
отримаємо біквадратне рівняння, що було розглянуте вище.
Зважаючи на це (3) перетворюється
на:
.
Рівність (7) містить лише повні
квадрати: один у лівій частині і один - у правій.
Якщо квадрати двох виразів рівні, то
і самі вирази рівні або відрізняються лише знаком, тобто:
.
Зведемо подібні доданки при u:
.
Зауваження: Знаки s, що фігурують у
фомулі як і є величинами залежними.
Рівняння (8) є квадратним
рівнянням
<#"732227.files/image072.gif">
Або, після спрощення
Це розв'язок канонічного квадратного
рівняння. Розв'язок вихідного рівняння можна подати у вигляді
Важливо: Два знаки отримані з
рівняння (7') є залежними, тому являють собою один і той самий знак, а знак -
незалежний.
Підсумки методу Феррарі
Розв'язок рівняння четвертого
степеня
знаходиться після проведення
обчислень:
Якщо то доречно розв'язувати і
підстановкою знаходити корені
.
, (підходять обидва знаки квадратного
кореня
<#"732227.files/image082.gif">, (в цього рівняння існують три
комплексні корені, будь-який з них нас задовольнить)

Два символи ±s повинні мати однакові
знаки, а символ ±t - незалежний. Щоб знайти всі корені, треба знайти значення x
для всіх комбінацій символів ±s,±t: спочатку тореба розв'язати для випадку +,+
, потім для +,− , далі - для −,+ і наостанок - для −,−.
Корінь подвійної кратності ми отримаємо двічі, потрійної - тричі, а корінь
кратності чотири - чотири рази (щоправда, у цьому випадку у нас був би випадок,
коли β = 0, який
не є загальним, а призводить до біквадратного рівняння
<#"732227.files/image086.gif">-го степеня
має комплексних коренів
<#"732227.files/image087.gif">, та -
трансцендентне над
, і так далі
до що трансцендентне над
.
Позначимо тоді:
Відкривши дужки, отримаємо що є симетричною
функцією
<#"732227.files/image091.gif">
і так далі до
Кожна перестановка групи означає
автоморфізм на що залишає нерухомим та переставляє Оскільки від перестановки
коренів многочлен не змінюється, отже
також є нерухомим, отже утворює групу
Галуа
Єдиним розкладом є
(де - альтернативна група
<#"732227.files/image097.gif">) не є абелевою
групою <#"732227.files/image098.gif">
б) функції такі, що для будь-яких k
і l знайдеться таке m , що
Виявилося , що для розв'язання
рівняння в радикалах досить виконання ще однієї умови : для будь-яких k і l
Іншими словами , потрібно , щоб не
мало значення , підставимо ми
З тих пір сукупності перетворень ,
результат послідовного виконання яких не залежить від порядку ви - виконуваних
перетворень , називають Абелеві (або комутативними ) .
При вивченні еліптичних функцій і
інтегралів Абель широко використовував теорію статечних рядів. Статечним рядом
називається вираз виду
Він довів , що безліч значень х ,
для яких сходиться ряд
+ a1x + ... + Anx + ... ,
є або проміжком виду ] - l , l [ (де
l може також дорівнювати нулю або нескінченності ) , або таким же проміжком ,
до якого приєднані один або обидва кінці. Він довів , що на проміжку збіжності
степеневий ряд можна почленно диференціювати й інтегрувати і досліджував
поведінку суми ряду при наближенні х до кінців проміжку збіжності . Всі ці
результати відразу після їх опублікування стали класичними і увійшли в усі
курси вищої математики .
Описаний коло ідей Абель розробляв
протягом 1824-1826 років, коли , закінчивши університет , відправився за кордон
для продовження освіти. Він побував у Німеччині , Австрії , Італії , Швейцарії
, Франції , Бельгії , познайомився з Якобом Штейнером , Андрієнн Лежандром ,
Огюстеном Коші і багатьма іншими математиками.
III. ПРАКТИКО-МЕТОДОЛОГІЧНИЙ МАТЕРІАЛ
Приклад 1. Розв’язати рівняння:
.
Запишемо рівняння:
чи
чи
чи
.
Приклад 2. Розв’язати рівняння:
Під знаком кореня - повний квадрат
Знаходимо ОДЗ:
З першої системи знаходимо
. Корінь
-
сторонній.
З другої системи знаходимо
.
Корінь
-
сторонній.
Приклад 3. Розв’язати рівняння:
.
Уведемо позначення
і приходимо до рівняння
,
,
.
З рівняння
,
Приклад 4. Розв’язати рівняння:
Знайдемо спочатку ОДЗ із нерівностей
Винесемо загальний множник
Зведемо обидві частини рівняння до
квадрату
,
Або
,
.
Приклад 5. Розв’язати рівняння
Винесемо корінь четвертого ступеня
за дужки
,
,
,
.
Приклад 6. Розв’яжемо рівняння
.
Уведемо позначення
,
і при цьому приходимо до системи
алгебраїчних рівнянь
У першу чергу виключаємо невідоме
.
Звідси знаходимо розв’язок
,
,
IV. АКТУАЛЬНІСТЬ ДОСЛІДЖУВАНОЇ ТЕМИ
У наш час тема «Розв’язання алгебраїчних рівнянь
в радикалах» дуже актуальна тема. Адже її можна застосовувати на практиці для
вирішення кола задач. Прикладом цього є задачі, які виникають у геодезії.
Геодезія - це наука про методи визначення фігури і розмірів Землі, зображення
земної поверхні на планах і картах і точних вимірювань на місцевості, повязаних
з розвязанням різних наукових і практичних завдань. Вона тісно повязана з
математикою, фізикою, радіоелектронікою, геофізикою, астрономією, картографією,
географією, геоморфологією, геоінформатикою.
Практична цінність чисельного методу в значній
мірі визначається швидкістю та ефективністю отримання розвязку. Вибір
необхідного алгоритму для розвязку рівнянь залежить від характеру задачі, яка
розглядається.
Останнім часом алгебраїчні рівняння вище другого
ступеня є частиною випускних іспитів за курс середньої школи, вони
зустрічаються на вступних іспитах до ВНЗ, а також є невід'ємною частиною ЄДІ.
V. ВИСНОВКИ
Більше чотирьох тисяч років людство вміє
розв’язувати задачи, які призводять до рівнянь. Ахмес, творця папіруса Райда,
говорив, що переписав задачі зі старих рукописів, щоб усунути всі таємниці,
«які приховують в собі речі».
Очевидно, в ті часи знання математики доступні
були не багатьом. І все-таки на протязі двох тисяч років володіння деякими, не
надто поверхневими, знаннями в області математики було необхідною складовою
частиною в інтелектуальному інвентарі кожної освіченої людини.
В 1968 р. видавництво «Мир» видало «Алгебру» С.
Легнга. Епіграфом книги є слова: «Мені подобається її називати (абстрактною
алгеброю) а не сучасною алгеброю, тому що вона, несумнівно, буде довго жити і в
кінці-кінців стане древньою алгеброю». Проста і глибока думка, яка оточує
істоту розвитку.
Якщо читач, знайомий зі шкільною математикою або
навіть з математикою технічного вузу, перелестає «Алгебру» Ленга.
Задачами алгебри XVII - XVIII ст.. були
перетворення буквенних виразів, розв’язання алгебраїчних рівнянь. У
відповідності з цим одне із кращих керівництв того часу, «Введення в алгебру»
Ейлера, містило виклад теорії цілих чисел і дробів, коренів, розв’язання
рівнянь до четвертої степені включно. Ці розділи становили програму алгебри в
дореволюційних гімназіях і майже всі вивчаються в середніх школах в наш час.
В XVIII - XIX алгебра стала перш за все стала
алгеброю рівнянь; основною задачею її стало розв’язання рівнянь з одним
невідомим. Після того, як зусиллями Кардано та Феррарі були знайдені способи
розв’язання рівнянь третьої на четвертої степені, на протязі майже трьох
століть робилися спроби знайти формули для знаходження коренів рівняння більш
високих степенів через їх коефіцієнти.
Паралельно з побудуванням методів точного
розв’язку рівнянь розроблялися приближені методи, і доволі успішні.
Думається, не викличе заперечень твердження, що
якщо в результаті точного розв’язання деякого рівняння отримано значення його
кореня х =
, то воно нітрохи
не краще найденого наближеним методом х = 1,41. Отже, математики, відшукуючи
методи точних розв’язань рівнянь, розглядали принципіальну задачу і діяли лише
в тому випадку, як кажуть в народі, «за характером».
Безуспішні спроби закінчились тим, що в 1824 р.
Н. Абель довів нерозв’язність рівнянь вище четвертої степені в загальному
випадку, а в 1830 р. Е. Галуа установив критерії розв’язання алгебраїчних
рівнянь в радикалах.
В кін. XVIII ст.. К. Гаус довів основну теорему
алгебри про існування кореня алгебраїчного рівняння.
Крім того, математики, які побачили можливість
долати труднощі, здобули впевненість в своїх силах, що допомогло в подальшому
розвитку науки.
VI. СПИСОК ВИКОРИСТАНОЇ ЛІТЕРАТУРИ
1.
Выгодский М. Я. «Арифметика и алгебра в древнем мире». - 2-е изд. - М.: Наука,
1967
.
Стройк Д. Я. «Краткий очерк истории математики». - изд. - М.: Наука, 1984
.
Никифоровский В. А. «Из истории алгебры XVI - XVII вв.» - академия наук СССР. -
серия «История науки и техники». - изд. М.: Наука, 1979
.
Р. С. Гутер, Ю. Л. Полунов «Джон Непер». - изд. М.: Наука, 1980.
.
В. І. Коба, О. Т. Чуб, М. А. Нікулін «Бесіди про рівняння». - вид. К.: Радянська
школа, 1986