Метод хорд
ОГЛАВЛЕНИЕ
Предварительные
сведения
Обозначения и
сокращения
Введение
Историческая
справка
Описание
численных методов
Правило
пропорциональных частей
Геометрическое
описание метода хорд
Примеры.
Ручной счет
Заключение
Список
используемой литературы
ПРЕДВАРИТЕЛЬНЫЕ СВЕДЕНИЯ
Для того, чтобы лучше понять данную работу, дадим некоторые определения
(см.[3,6,7,9]), также докажем теоремы (см. [1,6,9]):
Определение 1. Хорда - это отрезок прямой линии, соединяющий две точки
данной кривой (например, окружности, эллипса, параболы).
Определение 2. Метод хорд - это итерационный численный метод приближённого
нахождения корня уравнения.
Определение 3. Пропорциональность - это две взаимно зависимые величины, если
отношение их значений остается неизменным.
Определение 4. Приращение функции
в точке
- это функция, обычно обозначаемая
от новой переменной
, определяемая как
Определение 5. Приращение аргумента - это разность
между двумя значениями аргумента: "новым" и "старым"
Определение 6. Многочлен от n переменных - это сумма
одночленов или, строго, - конечная формальная сумма вида:
, где
- набор из целых неотрицательных
чисел
- число, именуемое коэффициент
многочлена.
Погрешность данного числа а, которое рассматривается как
приближённое значение некоторой величины, точное значение которой равно х - это есть разность х - а.
Определение 7. Дифференцируемая функция называется
выпуклой вниз на интервале Х, если ее график расположен не ниже касательной к
нему в любой точке интервала Х.
Определение 8. Дифференцируемая функция называется
выпуклой вверх на интервале Х, если ее график расположен не выше касательной к
нему в любой точке интервала Х.
Лемма. Пусть функция f(x) имеет конечную производную в точке x0. Если эта производная f/(x)>0 [f/(x) <0], то для
значений x,
достаточно близких к x0
справа, будет f(x)>f(x0) [f(x)<f(x0)], а для значений x, достаточно близких к x0 слева, будет f(x)<f(x0) [f(x)>f(x0)]
Иными словами этот факт выражают так: функция f(x) в точке x0 возрастает (убывает). Если имеется в
виду односторонняя производная, например, справа, то сохраняет силу лишь
утверждение о значениях x,
лежащих справа от x0.
Доказательство. По определению производной,
f'(x0) = 
.
Если
f'(x0)>0,
то, найдется такая окрестность (x0-
, x0+
) точки x0, в которой (при x
x0)

>0.
Пусть
сначала x0<x<x0+
, так что
x-x0>0; из
предыдущего неравенства следует, что f(x)-f(x0)>0, то есть f(x)>f(x0). Если же x0-
<x<x0 и x-x0<0,
то, очевидно, и f(x)-f(x0)<0,
то есть f(x)<f(x0). Лемма
доказана.
Теорема
1. Теорема Ферма. Пусть функция f(х)
определена в некотором промежутке X и во внутренней точке с этого промежутка
принимает наибольшее (наименьшее) значение. Если существует двусторонняя
конечная производная f'(c) в этой точке, то
необходимо f'(c) =0.
Доказательство. Пусть для определенности f(х) принимает
наибольшее значение в точке с. Предположение, что f'(c)
0,
приводит к противоречию: либо f'(с)>0, и тогда (по лемме) f(х) > f(с),
если х>с и достаточно близко к с, либо f'(c)<0, и тогда f(х)>f(c),
если х< с и достаточно близко к с. В обоих случаях f(с) не может
быть наибольшим значением функции f(х) в промежутке X. Полученное
противоречие и доказывает теорему.
Теорема 2. Теорема Ролля. Пусть 1) функция f(х) определена и непрерывна в
замкнутом промежутке [а, b], 2) существует конечная производная f'(x), по крайней мере, в открытом
промежутке (а, b); 3) на концах промежутка функция принимает равные значения: f(а) =f(b).
Тогда между а и b найдется такая точка, с (а<c<b), что f '(c)=0.
Доказательство. f(х) непрерывна в замкнутом
промежутке [а, b] и потому, по
2-й теореме Вейерштрасса [85], принимает в этом промежутке как свое наибольшее
значение М, так и свое наименьшее значение т.
Рассмотрим два случая:
1)М=m.
Тогда f(х) в промежутке [а, b] сохраняет
постоянное значение: в самом деле, неравенство m
f(х)
М в этом
случае дает f(х) = М при всех х; поэтому f '(х)=0 во всем
промежутке, так что в качестве с можно взять любую точку из (а, b).
2)М>m. Мы знаем, что оба эти значения
функцией достигаются, но, так как f(a) = f(b), то хоть одно из них достигается в некоторой точке
с между а и b. В таком случае из теоремы Ферма следует, что
производная f'(c) в этой точке обращается в нуль.
Теорема доказана.
Теорема 3. Формула конечных приращений, или теорема Лагранжа
о среднем значении: Пусть
1) f (х) определена и непрерывна в замкнутом промежутке [a,b]
2) существует конечная производная f '(x), по крайней мере, в открытом
промежутке (а, b). Тогда между а и b найдется такая точка с (а<с<b), что для нее выполняется равенство

= f
'(c).
Доказательство. Введем вспомогательную функцию, определив ее в промежутке
[а, b] равенством:
F(x)=f(x)-f(a)- 
= (x-a).
Эта функция удовлетворяет всем условиям теоремы Ролля. В самом деле, она
непрерывна в [а,b], так как
представляет собой разность между непрерывной функцией f(х) и линейной функцией. В промежутке (а, b) она имеет определенную конечную производную, равную
F' (x)=f '(x)- 
.
Наконец, непосредственной подстановкой убеждаемся в том, что F(a) = F(b) = 0, то есть F(x) принимает равные значения на концах промежутка.
Следовательно, к функции F(х)
можно применить теорему Ролля и утверждать существование в (а,b) такой точки с, что F '(c)=0. Таким образом,
f '(c)- 
= 0,
откуда
f '(c) = 
Что
и требовалось доказать.
ОБОЗНАЧЕНИЯ И СОКРАЩЕНИЯ
1. 
- корень
функции.
2. [a, b] -
промежуток.
3. MM/ - хорда.
. 
- предел
при x стремящийся к x0.
5. sign - знак числа.
. 
- первая
производная функции 
;
. 
- вторая
производная функции 
;
Мы живем сейчас в том мире, в котором математика с каждым днем становится
все более неотъемлемой частью. К тому же, наше общество все больше зависит от
математики. Любая проблема решается лучше, если для нее найдена или построена
подходящая математическая модель. При том, что для этого может потребоваться
различный объем математических знаний, каждому, кто берется решать
математически ориентированные проблемы, необходимо иметь навыки аналитического
мышления.
Допустим, вы этим обладаете и смогли придать задаче математическую форму,
т. е. дали правильную математическую постановку задачи; вопрос заключается в
том, существует ли для этой задачи аналитическое решение? Действительность
такова, что множество задач, для которых аналитическое решение существует и
может быть найдено в конечной форме, невелико.
Большинство задач требует численных методов для своего решения.
Особенность же этой области знания в том, что "наилучшего" численного
метода обычно не существует, так как в одних условиях лучшим будет один метод,
в то время как для других условий успешнее работает другой метод. Понять и
обосновать, какой же метод выбрать как лучший, можно лишь проводя вычислительные
эксперименты с различными методами и для различных задач и условий. В ходе
своей работы буду доказаны теоремы, которые помогают лучше понять тему. (см.
[1,6,9]).
Данная тема актуальна. Она не вызывает сомнений. Актуальность темы
обоснована тем, что благодаря методу хорд, можно решить уравнения, которые не
решаемы с помощью алгебраических преобразований.
Цель:
1. Научиться применять метод хорд при решении уравнений.
2. Понимание основной идеи численного метода, особенностей и условий
ее применения в реальных условиях.
Задачи:
1. Изучить метод хорд для решения уравнения:
. Сделать ручной счет.
3. Сделать вывод.
ИСТОРИЧЕСКАЯ СПРАВКА
хорда пропорциональность теорема уравнение
Первым, кто смог найти приближённые решения кубических уравнений, был Диофант,
тем самым заложив основу метода хорд (см.[10]). Сохранившиеся работы Диофанта
сообщают об этом. Однако первым, кто понял его методы, был Ферма в XVII веке, а первым, кто дал объяснение
методу хорд, был Ньютон (1670-е гг.).
Сначала Диофант исследует системы уравнений 2-го порядка от 2
неизвестных; он указывает метод нахождения других решений, если одно уже
известно. Затем, аналогичные методы он применяет к уравнениям высших степеней.
Методы Диофанта оказали огромное влияние на Пьера Ферма; впрочем, в Новое время
неопределённые уравнения обычно решаются в целых числах, а не в рациональных,
как это делал Диофант.
Когда Пьер Ферма читал "Арифметику" Диофанта, изданную Баше де
Мезириаком, он пришёл к выводу, что одно из уравнений, похожих на рассмотренные
Диофантом, не имеет решений в целых числах, и заметил на полях, что он нашёл
"поистине чудесное доказательство этой теоремы. Однако поля книги слишком
узки, чтобы его привести". Сейчас это утверждение известно как Великая
теорема Ферма.
Первые математические открытия Ньютон сделал ещё в студенческие годы. Это
классификация алгебраических кривых 3-го порядка (кривые 2-го порядка
исследовал Ферма). Подробнее про их открытия (см.[3,10]).
ОПИСАНИЕ ЧИСЛЕННЫХ МЕТОДОВ
Численные методы - методы решения математических задач
в численном виде. Представление как исходных данных в задаче, так и её решения
- в виде числа или набора чисел.
Основами для вычислительных методов являются:
1. решение систем линейных
уравнений;
2. интерполирование и приближённое вычисление
функций;
3. численное интегрирование;
4. численное решение системы нелинейных
уравнений;
. численное решение обыкновенных
дифференциальных уравнений;
. численное решение уравнений в частных
производных (уравнений математической физики);
7. решение задач оптимизации.
Подробнее с методами можно познакомиться в
[1,2,3,4,5].
Хотелось бы сказать, что численные методы позволяют
найти решения определенных задач, заранее зная, что полученные результаты будут
вычислены с определенной погрешностью, поэтому для многих численных методов
необходимо заранее знать "уровень точности", которому будет
соответствовать полученное решение. Поэтому, задача нахождения корней
многочлена вида F(x)=a0+a1x+a2x2+…+anxn представляет особый интерес. Так как
формулы нахождения корней даже кубического уравнения достаточно сложны. А если
нам необходимо отыскать корни многочлена, степень которого равна, например, 5,
то без помощи численных методов не обойтись. Для нахождения корней многочлена
существует несколько численных методов, но я остановлюсь только на одном
методе. А именно на методе хорд.
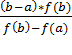
ПРАВИЛО ПРОПОРЦИОНАЛЬНЫХ ЧАСТЕЙ
Если
промежуток [a, b] достаточно мал, то с известным приближением можно
считать, что - при измерении x в его пределах - приращение функции f(x)
пропорционально приращению аргумента. Обозначая через 
корень
функции, имеем, в частности,

= 
,
откуда,
с учетом того, что
f(
=0, 
=a-
Таким
образом, за приближенное значение корня здесь принимается число x1
= a-
. Это
выражение, очевидно, можно представить и в такой форме: x1
= b-
.
Изложенное правило получения приближенного значения корня и называется правилом
пропорциональности частей. (см.[1]).
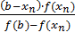
ГЕОМЕТРИЧЕСКОЕ ОПИСАНИЕ МЕТОДА ХОРД
Правило
пропорциональности частей допускает простое геометрическое истолкование.
Рассмотрим рисунок:
Заменим
дугу MM/ кривой - хордой MM/ . Уравнение последней
может быть написано, например в виде:
y-f(a)
=
(x-a). (3)
Наше
правило, по существу, сводится к тому, что вместо точки А пересечения
кривой с осью x определяется
точка D пересечения с осью x
этой хорды.
Действительно,
полагая в (3) уравнении y=0, а для
абсциссы x1
точки D
получаем именно выражение вида:
x1 = b-
В
связи с этим, правило пропорциональных частей называют также методом хорд. Ну а
теперь обратимся к исследованию вопроса о положении точки x1
по отношению к корню 
.
Непосредственно ясно, что точка x1 лежит
между a и
b, но с какой стороны от 
? Выясним
это.
Так
в случаях I и II (III и IV) мы имеем дело с выпуклой вниз (вверх) функцией, то
кривая MM/ лежит под (над) хордой
MM/ , то есть
f(x)
f(a)+
(x-a)
(a<x<b) (4)
Полагая
здесь x=x1 ,
непосредственно получаем f(x1)
0, так
что f(x1)
всегда имеет знак противоположный знаку f
//(x). Отсюда,
наконец, заключаем, что в случаях I и IV значение x1 лежит между a
и 
, в
случаях же II и III - между 
и b.
Ограничиваясь
случаями I и IV, применим снова наше правило, на этот раз к промежутку [х1,
b], заменяя в
(2) а на x1 получим
новое приближенное значение корня 
:
x2=x1 -

,
содержащееся,
по доказанному, между х1 и 
Этот
процесс можно продолжать неопределенно и построить последовательность все
возрастающих приближенных значений
a<x1<x2<…<xn<xn+1<…<
.
При
этом любые два последовательных значения хп и хп+1
связаны формулой, аналогичной (2),
xn+1=xn - 
(5)
Покажем,
что, с возрастанием п, хп 
В самом
деле, монотонно возрастающая, но ограниченная (например, числом 
)
переменная хп должна стремиться к некоторому конечному
пределу 
. Если
перейти к пределу в равенстве (5), используя при этом непрерывность функции f(x), то получим, что

, откуда f(
)=0.
Так
как других корней уравнения (1), кроме 
, в
промежутке [а, b] нет, то 
=
*).
Рисунок
иллюстрирует постепенное приближение точек D1, D2, ... • пересечения последовательных хорд с осью х
к искомой точке А. Легко понять, что в случаях II или III
повторное применение правила приведет к последовательности убывающих
приближенных значений b>x1>x2>… >xn>xn+1>…>

стремящихся к корню 
справа.
Таким образом, во всех случаях, применив достаточное число раз указанное выше
правило, можно вычислить корень 
с любой
степенью точности. При этом, впрочем, остается открытым вопрос, как оценить
точность уже вычисленного приближенного значения хп.
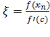
Для
решения его применим к разности f(xn)- f(
) формулу конечных приращений:
f(xn) =f(xn)-f(
)=(xn- 
) f /(c) (
) 
c
xn).
Отсюда
xn-
;
если
обозначить через т наименьшее значение |f /(x)| в
рассматриваемом промежутке (которое можно раз навсегда вычислить наперед), то
получим оценку:
|xn-
|
. (6)
Так
по самой величине f(xn)
оказывается возможным судить о близости хп к корню!
ПРИМЕРЫ. РУЧНОЙ СЧЕТ
Рассмотрим примеры, подтверждающие метод хорд (см.[1,9]
Пример 1.
Поставим себе задачей вычислить этот корень с
точностью до 0,01. В промежутке [3, 4] обе производные
f /(x) = 3x2-4x-4 и f //(x) = 6x-4
сохраняют знак плюс (случай I) ;наименьшее значение
первой из них будет m=11. Имеем:
x1 = 3 - 
= 3+ 
=
3+0,52…;
округляя,
положим х1 = 3,52. Так как f(3,52)= -2,246592, то, по
неравенству (6), требуемой точности еще нет. Продолжаем:
x2 = 3,52 - 
= 3,52+
=
3,52+0,09…
или,
округляя, х2=3,61.
Вычислив
f(3,61)= -0,458319 и пользуясь неравенством (6), снова
видим, что цель еще недостигнута. Наконец,
x3 = 3,61 - 
= 3,61+
=
3,61+0,0188…
Округляя,
положим х3 = 3,63. Так как мы округлили "в сторону корня",
то могли и перескочить через него; что этого не произошло, видно по знаку числа
f(3,63)= - 0,041653.На этот раз, по неравенству (6),
|x3-
| = 
- x3
< 
<
0,004
Таким
образом, 3,630<
<
3,634, т.е.
=3,63+0,004. Ответ:
=3,63+0,004.
Пример
2.
Отделить
корни уравнения x3-0,2x2+0,5x+1,5=0 аналитически и уточнить один из них методом с
точностью 0,01.
Решение.
Имеем функцию f(x)= x3-0,2x2+0,5x+1,5. Производная равна:
f/(x)=3x2-0,4x+0,5; D=0,16-6<0.
Составим
таблицу знаков функции f(x):
|
x
|
-∞
|
-1
|
0
|
+∞
|
|
signf(x)
|
-
|
-
|
+
|
+
|
Уравнение имеет один действительный корень, что лежит
на промежутке [-1;0]. Чтобы уточнить корень, находим производную f// (x)=6x-0,4;
на промежутке [-1,0] выполняется неравенство f // (x)<0.
Для вычисления используем формулу:
xn+1=a-
(xn-a) , где a=-1; x0=0; f(a)=f(-1)=-0,2.
Результаты
вычислений размещаем в таблицу:
|
n
|
xn
|
x3n
|
xn2
|
0,2xn2
|
0,5xn
|
f(xn)
|
f(xn)+0,2
|
xn-a
|
|
|
0
|
0
|
0
|
0
|
0
|
0
|
1,5
|
1,7
|
1
|
-0,118
|
|
1
|
-0,882
|
-0,6861
|
0,7779
|
0,1556
|
-0,441
|
0,2173
|
0,4173
|
0,118
|
-0,057
|
|
2
|
-0,943
|
-0,8386
|
0,8892
|
0,1778
|
-0,4715
|
0,0121
|
0,2121
|
0,057
|
|
3
|
-0,946
|
-0,8466
|
0,8949
|
0,1790
|
-0,473
|
0,0014
|
0,2014
|
0,054
|
-0.054
|
|
4
|
-0,946
|
|
|
|
|
|
|
|
|
Ответ:

-0,946.
Пример 3.
Отделить корни уравнения tg(-55x+0,1)=x2 графически и уточнить один из них методом хорд с
точностью до 0,01.
Решение.
Отделим корень графически. Построим графики функции y1=tg(0,55x+0,1) и y2=x2. Смотрите на рисунок:
Составим таблицу значений этих функций по рисунку:
|
x
|
0
|
0,2
|
0,4
|
0,6
|
0,8
|
1
|
|
y2=x2
|
0
|
0,04
|
0,16
|
0,36
|
0,64
|
1
|
|
0,55x
|
0
|
0,11
|
0,22
|
0,33
|
0,44
|
0,55
|
|
y1
|
0,1
|
0,21
|
0,33
|
0,46
|
0,60
|
0,76
|
Таким образом, положительный корень уравнения
находится на промежутке [0,6; 0,8]. Чтобы уточнить корень методом хорд,
определим знаки функции f(x)= tg(0,55x+0,1)-x2 на концах отрезка [0,6; 0,8] и знак ее второй
производной на этом отрезке: f(0,6)=tg0,43 - 0,36 = - 0,0986.
f(0,8)=tg0.54 - 0.64 = -0,0406.
f /(x) = 
-
2x//(x) = 0.55 
2
cos3(0,55x+0,1)0,55 - 2 = 
-
2<0 при x
[0,6;
0,8].
Применим
формулу для вычислений:
xn+1= xn -
(b- xn), где b=0,8; x0=0,6.
Результаты
вычислений размещаем в таблицу:
|
n
|
xn
|
b- xn
|
0,55xn+0,1
|
tg(0,55xn+0,1)
|
xn2
|
f(xn)
|
f(b) - f(xn)
|
|
|
0
|
0,6
|
0,2
|
0,43
|
0,4586
|
0,36
|
0,0986
|
-0,1392
|
|
1
|
0,742
|
0,058
|
0,5081
|
0,5570
|
0,5506
|
0,0064
|
-0,0470
|
-0,008
|
|
2
|
0,750
|
0,50
|
0,5125
|
05627
|
0,5625
|
0,0002
|
-0,0408
|
-0,0002
|
|
3
|
0,7502
|
0,0498
|
0,5126
|
0,5628
|
0,5628
|
0
|
|
|
Ответ:

0,750.
Пример 4.
Найти положительный корень уравнения f(x) = x3
- 0,2 x2 - 0,2 х - 1,2 = 0 с точностью до 0,01.
Решение.
Прежде всего, отделяем корень.
Так как f (1) = -0,6 < 0 и f (2) = 5,6 > 0, то
искомый корень x лежит в интервале [1, 2]. Полученный интервал велик, поэтому
разделим его пополам.
Так как f (1,5) = 1,425 > 0, то 1< x < 1,5.
Так как f'' (x) = 6 x - 0,4 > 0 при 1 < х
< 1,5 и f (1,5) > 0, то воспользуемся формулой (5) для решения
поставленной задачи:
= 1,15;
|x1 - x0| = 0,15 > e ,
следовательно, продолжаем вычисления;
f
(х1) = -0,173;
= 1,190;
|x2 -
x1| = 0,04 > e ,
f
(х2) = -0,036;
= 1,198;
|x3 - x2| = 0,008 < e .
Таким
образом, можно принять
= 1,198 с точностью e = 0,01.
Заметим,
что точный корень уравнения 
= 1,2.
Ответ:
= 1,2.
ЗАКЛЮЧЕНИЕ
В ходе данной работы мы познакомились с правилом
пропорциональных частей. А формулируется он таким образом:
если
промежуток [a, b] достаточно мал, то с известным приближением можно считать,
что - при измерении x в его пределах - приращение функции f(x) пропорционально
приращению аргумента. Обозначая через 
корень
функции, имеем, в частности,

= 
С
помощью рисунков, которые присутствовали в работе мы имели функции и кривую MM/ , которая лежала под и
над хордой MM/ . Для каждого случая
на рисунке применили правило пропорциональности частей и каждый раз мы получали
новое приближенное значение корня.
Применив
достаточное число раз указанное правило, мы могли вычислить корень 
с любой
степенью точности. При этом, чтобы оценить точность уже вычисленного
приближенного значения хп, в ходе геометрического описания
метода хорд, была использована формула конечных приращений, которая еще
называется теорема "Лагранжа о среднем" (см. [1])
Применив
ее, мы поучили оценку:
|xn-
|
.
Из
этого неравенство можно по самой величине f(xn) судить о
близости хп к корню. И с помощью метода хорд были приведены
примеры.
Таким
образом, поставленные цели и задачи были выполнены. Был изучен метод, научились
применять ее при решении уравнения. Также был сделан ручной счет. Благодаря
информации, которая была в научных книгах, помогла разобраться, и научиться
пользоваться методом хорд.
СПИСОК ИСПОЛЬЗУЕМОЙ ЛИТЕРАТУРЫ
1. Г. М Фихтенгольц "Курс дифференциального и интегрального
исчисления. Том1". Москва, 1962.
. Крылов В.И., БабковВ.В., Монастырский П.И. "Вычислительные
методы". Москва,
"Наука", 1976.
3. Алгебра и начала мат. анализа. 10-11кл_Колмогоров А.Н
. И. В. Семушин "Численные методы алгебры", Ульяновск,
2006.
. Самарский, А. А. Численные методы / А. А. Самарский, А. В.
Гулин. -М.: Наука, 1989
. Прохоров Д. В. "Математический анализ", СГУ, 2002-2004
. Геометрия, 7 класс (В.Ф. Бутузов, С.Б. Кадомцев, В.В. Прасолов,
2010)
. Турчак Л.И. Основы численных методов. -М.: Наука, 1987.
. Демидович Б. П, Марон И. А. "Основы вычислительной
математики"
. Ежи Бартос, Мариуш Василевский, Шимон Векслер и др. "Шеренга великих
математиков"