Геометрія Лобачевського
Зміст
Вступ
. Простір швидкостей і
геометрія Лобачевського
. Фрідманська модель Всесвіту
. Рівняння синус-Гордона
Висновки
Література
Вступ
Легче остановить Солнце, легче
двинуть Землю,
чем уменьшить сумму углов в
треугольнике,
свести параллели к схождению, и
раздвинуть
перпендикуляры к прямой на
расстояние.
В.Ф. Каган
геометрія лобачевський
фрідманський гордон
У третьому столітті до нашої
ери, в Олександрії з'явився рукопис «Начала» Евкліда, в якому геометрія
викладалася в строго систематичному вигляді. В основу побудови Евкліда
покладено ряд первинних тверджень (аксіом), які не доводяться. Всі інші
твердження (теореми) виводяться з аксіом логічно. Серед всіх аксіом Евкліда
виділяється «аксіома про паралельні»: Дві прямі a і b, перетнуті третьою, перетинаються
між собою з тієї сторони, де сума внутрішніх односторонніх кутів 
і 
менше суми двох прямих кутів (мал.
1).
Мал. 1
Припустимо, для простоти, що
кут прямий (мал. 2). Через точку В можна провести в правій півплощині різні
промені, що перетинають пряму а. При обертанні проти годинникової стрілки ми
зустрінемо перший з непересічних променів; він називається паралельним прямій
а; кут, який цей промінь утворює з променем ВА, називається кутом паралелізму.
Пряма b, що містить такий промінь, теж називається паралельною а.
Мал. 2
Все сказане справедливе
незалежно від аксіоми Евкліда, яка стверджує, що кут паралелізму - прямий, так
що при 
(d - позначення величини прямого
кута.) промінь b перетинає пряму а. Якщо ми не приймемо цієї аксіоми, то нам
доведеться обмежитися більш загальним і менш певним твердженням, що кут
паралелізму 
не перевершує d. На цьому
припущенні й засновує Лобачевський свої подальші міркування.
Якщо 
= d, то аксіома Евкліда
виконується, і з неї випливають всі властивості звичайної геометрії -
евклідової. Якщо ж 
, то з цього припущення випливають
зовсім інші наслідки, які складають зміст нової геометрії Лобачевського, яку
він називає «уявною», а ми тепер називаємо геометрією Лобачевського.
Багато теорем «уявної»
геометрії, до яких при цьому приходить Лобачевський, явно суперечать нашим
звичним уявленням, і потрібна була велика сила думки, щоб не прийняти ці
протиріччя за логічні. Лобачевський володів цією силою і розвинув свою
геометрію з великою повнотою, завершивши її побудову своєрідною тригонометрію
(яку прийнято тепер називати гіперболічною).
Важливим розділом геометрії
Лобачевського є вчення про суму кутів трикутника. Розглянемо трикутник ABC
(мал. 3), і будемо обертати пряму BC (b) проти годинникової стрілки навколо
точки В. Якщо ми не приймаємо аксіоми Евкліда, то повинні припустити, що пряма
b «відхиляється» від прямої а й стане паралельною їй ще перш, ніж сума кутів 
стане рівною 2d. З іншого боку,
легко показати, що при обертанні прямої b величина кута 
при точці С прямує до нуля. Звідси
випливає, що при деякому положенні прямої b сума кутів 
буде менша 2d. Можна показати
також, що нерівність 
справедлива для будь-якого
трикутника, так що в геометрії Лобачевського сума внутрішніх кутів трикутника
менша двох прямих.
Розглядаючи число, 
, яке називається дефектом
трикутника, Лобачевський виводить наступну чудову формулу:

, (1)
де S - площа трикутника, a R
- число, однакове для всіх трикутників. Величину R, що має розмірність довжини,
називають радіусом кривини простору Лобачевського, а величину 
- кривиною цього простору. У
просторі Евкліда 
, і його кривина вважається рівною
нулю.
Радіус кривини
використовується у всіх формулах гіперболічної тригонометрії. Так, наприклад,
має місце формула

, (2)
в якій 
- кут паралелізму (мал. 2),

-«стрілка», - довжина
перпендикуляра АВ.
Варто тепер припустити, що 
, тобто що кривина дорівнює нулю, і
ми отримаємо
а це означає, що кут
паралелізму - прямий, - твердження, рівносильне аксіомі Евкліда. Ось чому
Лобачевський вважав, що евклідова геометрія є «граничним» випадком його
«уявної» геометрії. Формули (1) і (2) показують, що відмінності між евклідовою
і неевклідовою геометріями тим менші, чим більший радіус кривини простору. З
іншого боку, ці відмінності будуть, насамперед, позначатися на фігурах великих
розмірів: так, для трикутника ці відмінності збільшуються разом з його площею,
а для паралельних прямих - разом з зростанням «стрілки» (Звідси випливає, що в
геометрії Лобачевського не існує подібних фігур).
Ідеї Лобачевського не
зустріли розуміння серед його сучасників. Тільки великий німецький математик
Гаусс оцінив з гідністю, але він писав про це своїм друзям в приватних листах,
які були опубліковані після смерті Лобачевського. У Росії твори Лобачевського
зустрічали тільки грубі негативні відгуки і навіть образливі глузування. Лише
один математик, товариш Лобачевського по кафедрі, казанський професор П. І.
Котельников зважився в публічній промові вимовити пророчі слова: «Праця
Лобачевського рано чи пізно знайде своїх поціновувачів».
Таким чином, виявилося, що в
евклідовому просторі можна побудувати модель площини Лобачевського; цей факт і
розсіяв сумніви в несуперечності неевклідової геометрії і швидко привів її до
загального визнання.
Інтерес, викликаний
знайомством з ідеями Лобачевського, мав важливі наслідки. З 70-х років минулого
століття почали інтенсивно розроблятися проблеми підстав геометрії. До початку
нашого століття були побудовані цілком строгі виклади цієї науки (Д. Гільберт,
В.Ф. Каган), і почалася робота з обгрунтування арифметики, теорії множин,
теорії ймовірностей і логіки, яка продовжується і в даний час. В останні
десятиліття ця робота стала досить актуальною, отримавши додатки до теорії
математичних машин.
1. Простір швидкостей і
геометрія Лобачевського
Основний постулат механіки
Ньютона - принцип відносності Галілея - свідчить: всі закони механіки у всіх
інерціальних системах відліку однакові (система відліку називається
інерціальною, якщо в ній будь-яке тіло має властивість зберігати стан спокою
або прямолінійного рівномірного руху при відсутності діючих на нього сил).
Іншими словами: всі інерціальні системи відліку рівноправні: не існує такого
механічного експерименту, за допомогою якого можна було б встановити, що деяка
система відліку лежить в стані спокою, а решта рухаються. Виникає питання: чи
не можна знайти таку абсолютно нерухому систему відліку, використовуючи
які-небудь інші фізичні ефекти? Наприкінці ХIX століття багатьом фізикам
здавалося, що таку систему відліку можна знайти, проводячи дослідження зі
світлом. До цього часу було експериментально встановлено, що швидкість світла
не залежить від швидкості руху його джерела. Світло - хвильовий рух, а всі
відомі види хвильового руху володіють вказаною властивістю. Але саме ця
властивість дозволяє визначити швидкість системи відліку відносно цього
середовища, в якому поширюються хвилі. Наприклад, вимірюючи швидкість звуку в
різних, напрямках, можна встановити, рухаємось ми відносно повітря чи ні, так
як швидкість звуку в напрямку нашого руху відносно повітря повинна бути меншою
ніж в протилежному напрямку. Світло, як припускали фізики того часу, також
повинно розповсюджуватись в деякому нерухомому середовищі, яке називали ефіром.
Тому, вимірюючи швидкість світла в різних напрямках ми можемо знайти швидкість,
з якою Земля рухається відносно нерухомого ефіру. Такий експеримент був
проведений в 1887 році американськими фізиками А. Майкельсоном і Е. Морлі,
однак результат виявився неочікуваним: не дивлячись на те, що Земля рухається
навколо Сонця зі швидкістю 30 км/с, швидкість світла у всіх напрямках одна і та
ж.
З 1887 року проводились
найрізноманітніші експерименти по знаходженню швидкості світла, але результат
однаковий: швидкість світла в порожнечі завжди одна і та ж, незалежно від того,
в якій інерціальній системі відліку її вимірюють. Цей результат ніяк не може
бути пояснений з точки зору класичної механіки. Дійсно, ми знаємо, що світло
від Сонця розповсюджується зі швидкістю 300 000 км/с. Уявимо собі ракету, яка
віддаляється від Сонця зі швидкістю 15 000 км/с. Космонавт, який летить в
ракеті, вимірює швидкість світла, що розповсюджується від Сонця. Якою буде
швидкість? З точки зору класичної механіки, ця швидкість має бути рівна 15 000
км/с. В дійсності вона як і раніше рівна 300 000 км/с. Який висновок можна з
цього зробити? Висновок очевидний: закони класичної механіки вірні лише
наближено при малих швидкостях відносно руху. При великих швидкостях, близьких
до швидкості світла, вони порушуються. Які ж закони механіки при великих
швидкостях? Щоб відповісти на це питання, необхідно проаналізувати всі вихідні
положення механіки. Почнемо з принципу відносності Галілея. Очевидно, факт стабільності
швидкості світла ні в якому разі не йому суперечить, більше того, швидкість
світла є однією з постійних, яка входять в закони електродинаміки. Тому можна
сказати, що не тільки закони механіки, але й закони електродинаміки однакові у
всіх інерціальних системах відліку.
Можемо вважати
експериментально доведеним наступний закон природи: всі закони фізики однакові
у всіх інерціальних системах відліку. Цей фундаментальний закон, вперше
сформульований Ейнштейном, складає основу спеціальної теорії відносності.
Наступним основним положення класичної механіки є твердження про те, що
проміжок часу між двома подіями, виміряний в різних системах відліку,
однаковий. Яким повинен бути істинний закон, правильний як при малих, так і при
великих швидкостях? Розглянемо дві інерціальні системи відліку, що рухаються
відносно одна одної з деякою постійною швидкістю. Кожна система відліку містить
прямокутну систему координат і свій відлік часу. Факт сталості швидкості світла
дозволяє ввести зручну одиницю виміру часу в обох системах - той проміжок часу,
за який світло проходить відстань в один метр. При такому вибору одиниці виміру
часу швидкість світла рівна 1, а швидкість буд-якого тіла - невизначене число,
менше одиниці. Будемо вважати, що осі координат в обох системах паралельні, а
швидкість другої системи відносно першої направлена вздовж осі Ох. Припустимо,
що дві дії фіксуються в першій і другій системах відліку. Нехай, наприклад, в
першій системі відліку різниці координат цих дій - 
, а в другій - 
; проміжок часу між діями в першій
системі відліку - 
, в другій - 
. Як пов’язані між собою ці
величини? Виходячи з принципу відносності, ми відразу можемо сказати, що 
, 
, тобто довжини в напрямку,
перпендикулярному відносній швидкості систем, однакові. Уявимо, що ми стоїмо на
пероні поряд зі стовпом висотою 3 м, повз нас проходить поїзд, дах якого
находить на одному рівні зі стовпом. З цього ми робимо висновок, що висота
вагона в нашій системі відліку рівна 3м. Пасажир з вікна поїзда теж бачить, що
дах вагона знаходить на рівні кінця стовпа, тому в його системі відліку висота
вагона теж рівна 3м. Маємо, 
, 
. Лишилось встановити зв'язок між 
. Нехай у вагоні поїзда, що
рухається, встановлена лампа, а прямо над нею, на висоті 1м, - дзеркало
(мал.1).
Мал. 1
Розглянемо два варіанти.
Подія 1 полягає в тому, що лампа загоряється і відразу гасне. Промінь світла
доходить до дзеркала, відбивається від нього і повертається до лампи. Подія 2
полягає в томі, що фотоелемент, який знаходиться біля лампи, фіксує повернення
відображеного променя світла. Найдемо інтервал часу між цими варіантами в
системі відліку, що зв’язана з вагоном, і в системі відліку зв’язаній з Землею.
В системі відліку вагона події 1 і 2 відбулися в одній і тій же точці, тому 
. Між подіями 1 і 2 світло встигло
пройти відстань 2м, тому 
(в метрах світлового часу). В
системі відліку Землі події 1 і 2 відбулися в різних точках. Позначимо різницю
координат цих точок через 
. Між подіями 1 і 2 світло пройшло
відстань
, тому 
м (швидкість світла однакова у всіх
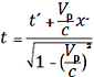
системах відліку). Отже, інтервал часу між двома подіями, виміряний в різних системах
відліку виявляється різним. Відмітимо, якщо швидкість вагона мала, тобто мале 
, то 
≈ 2м = 
, тому різниця в інтервалах часу
проявляється лише при великих швидкостях.
Із мал.1 можемо зробити
висновок: 
. Цей вираз, який називається
інтервалом між подіями, рівний подвоєній висоті зображеного на малюнку
трикутника. Для інтервалу між подіями маємо вираз

. (1)
Таким чином, просторовий і
часовий проміжки між двома подіями в різних системах відліку різні, величина ж
інтервалу (1) між ними однакова у всіх системах відліку.
Перейдемо від однієї системи
відліку до другої. В чотирьохвимірному просторі - цьому часу буде відповідати
перехід від одної системи координат 
до другої. При цьому для будь-якої
пари подій - точок простору - часу - величина інтервалу (1) не зміниться. Тому
величину інтервалу (1) приймемо за відстань між подіями. Жодне тіло не може
рухатись зі швидкістю, більшою за швидкість світла, тому відстань між двома
подіями «в житті» одного і того ж тіла виражається дійсним числом. Дві події «в
житті» двох різних тіл вважаються одночасними, якщо інтервал між ними рівний
нулю. Якщо ж відстань між двома подіями, знайденими за формулою (1),
виражається уявним числом, то ці події не можуть вплинути одна на одну. Для
таких подій зручно ввести відстань за допомогою формули:

. (2)
Очевидно, що певна відстань
не залежить від вибору системи відліку.
Іноді зручно замість
чотирьохвимірного простору розглядати трьохвимірний простір швидкостей.
Пояснимо це. Виберемо деяку систему відліку. Нехай 
- координати вектора швидкості
деякого тіла в цій системі відліку. Зобразимо швидкість тіла точкою в
трьохвимірному просторі з координатами (
). Аналогічно вчинимо з іншими
тілами. Простір, в якому показано правило точки зображають швидкість тіл і
називається простором швидкостей.
В подальшому для простоти
викладу ми обмежимось випадком руху тіл в площині. Тоді простір - час можна
вважати трьохвимірний, а простір швидкостей - двохвимірний. Проаналізуємо як
влаштований простір швидкостей. Насамперед будь-яке тіло має швидкість, меншу
швидкості світла, тому простір швидкостей складається лише з точок що
знаходяться всередині кола, радіус якого 1. Сама ж система відліку зображається
центром цього кола - її швидкість відносно неї рівна нулю. Тіла, що рухаються
відносно один одного в одному й тому ж напрямку зображаються точками, які
лежать на одній хорді. Якщо ми перейдемо в другу систему відліку, то при цьому,
очевидно, кожна точка всередині кола перейде в певну точку всередині того ж
кола, а точки що обмежують його окружність - в точки цієї ж окружності. Дійсно,
в новій системі відліку швидкості тіл будуть іншими, однак вони як і раніше
будуть менші за швидкість світла; сама ж швидкість світла залишиться такою ж.
Тіла, що рухаються відносно один одного в одному й тому ж напрямку при заміні
системи відліку залишаться рухомими відносно один одного в одному й тому ж
напрямку, тому точки, що лежать на одній хорді, перейдуть в точки, що так само
лежать одній хорді.
Таким чином, простір
швидкостей - це внутрішність круга радіуса 1. Центр кола відповідає системі
відліку. При заміні системи відліку точки кола переходять в точки цього ж кола,
причому точки,що лежать на одній хорді, переходять в точки, що лежать на одній
хорді. Враховуючи модель Келі - Клейна, робимо висновок: простір швидкостей
спеціальної теорії відносності є простором Лобачевського. При цьому переході
від однієї системи відліку до другої відповідає деяке переміщення в просторі
Лобачевського.
Легко визначити, що відстань
s точки з координатами (
) від центра кола, рівна швидкості
тіла відносно системи відліку, пов’язане зі швидкістю V цього тіла відношенням 
.
Знайдемо формулу для
обчислення відносних швидкостей двох тіл, які рухаються в одному напрямку. Для
цього розглянемо, наприклад, таку задачу. Ракета вилетіла від Землі зі
швидкістю 
в напрямку осі Ох. Космонавт, який
летить в ракеті вистрілює із рушниці в напрямку руху ракети. Припустимо, що
швидкість кулі відносно ракети рівна 
і направлена вздовж осі Ох в
системі відліку ракети. Потрібно знайти швидкість кулі відносно Землі.
Зобразимо швидкість кулі 
і швидкість Землі 
в системі відліку ракети точками в
просторі швидкостей (ал..2).
Мал. 2
При цьому швидкість ракети
відповідає центру кола. Швидкість кулі 
відносно Землі рівна сумі швидкості
ракети 
відносно Землі і швидкості кулі 
відносно ракети так як довжина
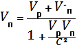
відрізка ЗП рівна сумі довжин відрізків ЗР і РП. Отже,

,
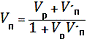
звідси слідує:

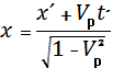
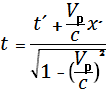
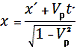
, (3)
Врахувавши, що в момент
вистрілу 
Тоді в системах відліку Землі і
ракети рівняння руху кулі мають вигляд 
і 
відповідно. Підставляючи в перше
рівняння значення 
із формули (3), отримаємо:

.
Згадаємо, що в всіх системах
відліку значення інтервалу повинно бути одним і тим же, тобто 
. Виключаючи з цих рівнянь 
і виражаючи 
через 
, отримаємо:

; (4)

.
Отримані формули (4)
називаються перетвореннями Лоренца. Якщо вимірювати час в секундах, а не в
метрах, то в формулах (3), (4) варто замінити 
і 
на 
і 
, а 
, 
і 
- на 
, 
і 
, де 
- швидкість світла. Тоді ці формули
матимуть вид:

;

.
У випадку коли швидкість
ракети набагато менша ніж швидкість світла, ці формули перетворюються в прості
формули ньютонової механіки:

;

;

.
Якщо ж, навпаки, швидкість
ракети близька до швидкості світла, то формули (3), (4) дуже відрізняються від
ньютонових.
Зроблений нами висновок
формул (3), (4) показує, що залучення ідей геометрії Лобачевського до побудови
спеціальної теорії відносності виявляється досить плідною. Використання
геометрії Лобачевського дозволяє без великого зусилля описувати складні фізичні
процеси, наприклад, проводити кінематичні розрахунки ядерних реакцій. При
цьому, виявляється, що формула Ейнштейна - Пуанкаре для відносної швидкості
частинок
(де, 
і 
- швидкості частинок, 
- кут між напрямками руху цих
частинок, 
- відносна швидкість частинок) є
прямий наслідок теореми косинусів Лобачевського, імпульс і кінетична енергія
частинки являється довжиною окружності і площею круга в просторі Лобачевського,
а знаменита формула Ейнштейна для дефекту маси 
еквівалентна формулі Лобачевського
для суми кутів трикутника. У всіх цих формулах роль кута радіуса кривини
простору Лобачевського відіграє швидкість тіла. Тому з цієї точки зору різниця
між теорією відносності і класичною механікою точно така, як і між геометрією
Лобачевського і геометрією Евкліда. Підхід до теорії відносності з точки зору
геометрії Лобачевського використовувався і використовується в наукових
дослідженнях багатьох вчених.
.2 Фрідманівська модель
Всесвіту
Серед всіх фізичних полів
особливе місце займає гравітаційне поле. Дійсно, заряджені тіла взаємодіють з
електричним полем, незаряджені - не взаємодіють. Залізна кулька притягується
магнітом, дерев’яна чи пластмасова кулька магнітом не притягується. Єдине поле,
дії якого піддаються всім тілам - гравітаційне. Кинемо два тіла - м’яч і гирю -
з однаковою швидкістю в одному і тому ж напрямку, і ми побачимо, що вони
рухаються абсолютно однаково. Ейнштейн, розмірковуючи над цим явищем прийшов до
відкриття загальної теорії відносності.
Розглянемо два тіла - м’яч і
гирю в чотирьохвимірному просторі - часу. Те, що два тіла кидають з однієї ж
точки в одному і тому ж напрямку, означає, що в чотирьохвимірному просторі -
вектори часу, що дотикаються до світових ліній в початковій точці співпадають.
Те, що вони рухаються однаково, означає, що їх світові лінії співпадають. Таким
чином, якщо в даній точці простору - часу, задати деякий напрямок - вектор
початкової швидкості, то з цієї точки в заданому напрямку виходитиме одна лінія
- світова лінія тіла, кинутого з заданою початковою швидкістю. При відсутності
гравітаційного поля всі тіла рухаються по прямим лініям. При наявності
гравітаційного поля світові лінії перестають бути прямими, але вони однакові
для тіл будь-якої природи, гравітаційне поле «скривлює» простір - час, і лінії,
по яким рухаються тіла, хоча і залишаються геодезичними, перестають бути
прямими. Таким чином, згідно Ейнштейну, ніякого гравітаційного поля не існує, а
відхилення тіл від прямолінійних траекторій пояснюється лише наявністю кривизни
у нашого простору - часу. Нехай чоловік тримає в руці відро з водою. Він,
звичайно, відчуває масу відра. Але як може, здатися на перший погляд, відро
покоїться, і, отже, безглуздо говорити, чи рухається воно по геодезичній або по
якій-небудь іншій лінії. В дійсності це міркування невірне. Справді, відро
покоїться лише у просторі (у системі відліку Землі), в просторі часу ж воно
рухається, так як безперервно вимірюється час. Чоловік не дає відру рухатися по
геодезичній лінії, тому він і відчуває протидію відра. Варто чоловіку
відпустити відро, як воно відразу ж почне рухатися по геодезичній лінії в
просторі - часу, тобто даному випадку впаде на землю.
Виникає й інше питання. Якщо
наш простір - час має кривину, створювану тілами з великою масою, то й світло
має рухатися не по прямих лініях - лінії поширення світла мають скривлюватись
поблизу великих мас. Чи спостерігається такий ефект? Так. Багато експериментів,
проведених астрономами, вказують на те що в окружності великих мас викривлення
траєкторій світла дійсно має місце, причому кількісно воно знаходиться в повній
відповідності з рівняннями загальної теорії відносності.
Загальна теорія відносності
зіграла велику роль в формуванні сучасної космології, породивши велику
кількість різноманітних моделей Всесвіту. Перша з цих моделей була
запропонована Ейнштейном. Він міркував приблизно так. Кожне тіло великої маси
створює біля себе кривину простору. Припустимо, що щільність матерії у просторі
велика. Тоді ця матерія може викривити простір настільки, що воно замкнеться,
перетворившись на щось типу тривимірної сфери. Такий простір, звичайно ж, не
буде мати жодних границь, проте він буде кінцевим. Пізніше модель Ейнштейна
була піддана серйозній критиці, і він змушений був від неї відмовитися. Проте
вказаний Ейнштейном напрям в космології став активно розвиватися. Підсумком
цього розвитку з’явилась модель Всесвіту, створена в 1922 році радянським
вченим А.А. Фрідманом.
Основною гіпотезою, що лежить
в основі фрідманівської моделі Всесвіту, є припущення про те, що Всесвіт
ізотропний і однорідний (тобто влаштована однаково у всіх точках і у всіх
напрямках) в дуже великому масштабі. У ті роки, коли Фрідман створював свою
модель, ще не було достовірних експериментальних даних, що підтверджують
гіпотезу однорідності та ізотропії. Перші дані були отримані в 1929 році американським
астроном Е. Хабблом, що вивчав розподіл галактик. Проте уявити собі реальну
виключно високу степінь ізотропії простору вдалося лише після того, як у 60-х
роках американськими астрономами А. Пензіасом і Р. Вілсоном було відкрите і
досліджене так зване реліктове теплове випромінювання. Ступінь ізотропії цього
випромінювання надзвичайно високий (його температура по різним напрямкам
вимірюється не більше ніж на 0,01%). Таким чином, основне положення, на яке
опирався Фрідман, в даний час можна вважати експериментально обґрунтованим.
Фрідманом був проведений
детальний аналіз рівнянь Ейнштейна з врахуванням виконання вказаної умови.
Виявилось, що у кожний даний момент часу кривина простору в цьому випадку
постійна. При цьому, якщо щільність речовини у Всесвіті менша деякої постійної
величини, то кривина від’ємна, якщо рівна - то нульова, якщо більше - то
додатна. У всіх трьох випадках Всесвіт повинен безперервно розширюватися з
плином часу. Цей висновок Фрідмана було також експериментально підтверджено в 1929
році Хабблом, який дійсно виявив розширення Всесвіту. Таким чином,
фрідманівська модель, отримана чисто теоретичним шляхом, блискуче підтвердилася
експериментом.
Відмітимо, що Всесвіт
однорідний і ізотропний лише наближено, тому і кривина реального простору не
постійна. Однак, спираючись на експериментальний матеріал, природно вважати, що
кривина у визначеному понятті близька до постійної, і, отже, фрідманівська
модель досить добре описує реальний простір в рамках загальної теорії
відносності.
Щільність речовини у Всесвіті
істотно менша критичної, тому наш простір описується геометрією Лобачевського.
Який же висновок про топологічну структуру Всесвіту можна з цього зробити? Чи
можна, наприклад, стверджувати, що наш світ незамкнутий або, навпаки, замкнутий,
як у моделі Ейнштейна? Це питання дуже складне. Справа в тому, що при одній і
тій же кривині рімановий простір може мати досить різноманітну структуру.
Насправді, у звичайному трьохвимірному просторі є дві поверхні нульової кривини
принципово різного типу - площина і циліндр. Площина нескінченна у всіх
напрямках. На циліндрі же можна вказати такий напрямок, рухаючись вздовж якого
ми в решті решт повернемося у вихідну точку. У трьохвимірному просторі немає
замкнутої поверхні нульової кривини, однак така поверхня з’являється вже в
чотирьохвимірному просторі. Це так званий тор Кліффорда, рівняння якого
записується у вигляді:
Тор Кліффорда має форму
бублика (в чотирьохвимірному просторі), тому його розміри скінченні, хоча він і
необмежений. Існують поверхні нульової кривини і більш складнішої структури.
Аналогічна структура спостерігається і для простору додатної і від’ємної
кривизни. При цьому рівнянням Ейнштейна однаково задовольняють всі можливі
топологічні типи таких просторів.
Вперше на можливість складної
топологічної структури реального світу звернули увагу В. Кліффорд та Ф. Клейн у
зв’язку із зробленою ними спробою пояснити так званий гравітаційний парадокс.
Цей парадокс полягає в тому, що при розгляді в рамках ньютонової теорії тяжіння
простору, рівномірно заповненої речовини, потенціал гравітаційного поля
являється нескінченним. Історично гравітаційний парадокс був вирішений в рамках
загальної теорії відносності, а потім стало зрозуміло, що він поширюється і
ньютонову теорію, якщо замість безпосередньо не спостережуваного гравітаційного
потенціалу розглядати реально спостережувані величини. Кліффорд і Клейн хотіли
довести гравітаційний парадокс іншим способом: вони припустили, що реальний
(ньютоновий) простір має складну топологічну структуру (наприклад, структуру
тора) і в ньому немає нескінченності. Роботи Клейна і Кліффорда заклали основу
новому напрямку в математиці, який досліджує можливі топологічні типи просторів
сталої кривизни.
На даний час ми маємо повну
класифікацію можливих топологічних типів трьохвимірних просторів додатної
кривини і незакінчену класифікацію типів просторів нульової кривини. Оскільки є
всі підстави вважати, що реальний простір має від’ємну кривину, то найбільшу
зацікавленість з точки зору космології являє класифікація топологічних типів
просторів від’ємної кривини. Виявляється, що задача про класифікацію цих
просторів настільки складна, що не дивлячись на великі зусилля багатьох вчених,
до цих пір не вирішена.
Чи можна визначити
топологічний тип Всесвіту, з точки зору астрономії? В принципі, можна.
Наприклад, якби ми кожну зірку бачили одночасно в двох протилежних напрямках,
ми б відразу сказали б, що Всесвіт являє собою сферу. З допомогою аналогічних
спостережень можна виявити і інші складніші топологічні структури простору.
Таким чином, загальна теорія
відносності і космології ставлять цілий ряд проблем геометрії Лобачевського в
центр уваги багатьох вчених.
.3 Рівняння синус-Гордона
Вивчення все можливих
хвильових процесів займає одне з центральних місць в фізиці. Наближене описання
широкого класу хвильових процесів дається лінійними диференціальними рівняннями
гіперболічного типу. Тому і хвилі, які описуються цими рівняннями, називаються
лінійними.
Англійський інженер Дж.
Рассел зауважив, що при деяких умовах на воді утворюється відокремлена хвиля,
здатна розповсюджуватися без зміни форми і втрати енергії. Такі хвилі називають
солітонами. Солітони довгий час не привертали особливої уваги вчених. Було,
встановлено, що наявність солітонів типова для багатьох нелінійних хвильових
процесів. Одночасно виявилося властивість солітонів зберігати свою форму після
взаємодії з іншими солітонами, що надає їм схожість з частинками.
У процесі розвитку теорії
нелінійних хвиль виділилося кілька найпростіших нелінійних диференціальних
рівнянь, розв’язання яких моделюють основні властивості таких хвиль. Одним з
них є рівняння синус-Гордона:

, (1)
де 
- мішана похідна другого порядку
від функції 
Рівняння цього типу серед своїх
розв’язків має солітони. Воно описує широкий клас найрізноманітніших явищ. До
таких явищ відносяться, наприклад, поширення дислокацій в кристалах, поширення
імпульсів по мембрані живої клітини, розповсюдження магнітного потоку в
надприродних джозефсонівских лініях, коливання в механічних передавальних
лініях, взаємодія елементарних частинок.
Рівняння (1) відоме і в
геометрії. По суті, воно з’явилося ще в 1878 році в роботі видатного
російського математика П.Л. Чебишева «О кройке одежды». У цій роботі Чебишев
розглянув задачу про «одягання» поверхні.
Пояснимо це. Уявимо
рибальську сітку, вузли якої закріплені так, що за будь-яких згинаннях сітки
довжину протилежних «сторін» будь-якого «сіткового чотирикутника» однакові (цю
сітку називають чебишевою). Накинемо таку сітку на яку-небудь поверхню і
введемо з її допомогою внутрішніх координат 
на цій поверхні. В цьому випадку
метрична форма поверхні матиме вигляд:
де 
- кут між лініями сітки. Як показав
Чебишев, гауссова кривина 
поверхні пов’язана з кутом 
рівнянням

.
У разі сталої від'ємної
кривини -1 (площини Лобачевського) це рівняння переходить в рівняння
синус-Гордона.
Властивості розв'язків
рівняння синус-Гордона вперше досліджував Гільберт для доведення теореми про
незануреність площини Лобачевського в тривимірному евклідовому просторі.
Доведення цієї теореми складається з двох частин. У першій частині
встановлюється, що асимптотичні лінії постійної від'ємної кривини утворюють
чебишеву сітку(цей факт був відомий і раніше). Отже, кут між асимптотичними
лініями повинен задовольняти умови рівняння (1). Але на гладкій поверхні
постійної від'ємної кривини кут між асимптотичними лініями обов'язково
задовільняє умову
(2)
Гільберт (у другій частині
доведення) встановив, що для будь-якого розв’язку рівняння (]) умова (2)
обов’язково порушується, якщо тільки 
змінюються в досить великих межах.
Оскільки на площині Лобачевського 
повинні змінюватися від 
, то це і доводить незануреність
всієї площини Лобачевського в трьохвимірному евклідовому просторі.
На перший погляд може
здатися, що з точки зору геометрії представляють інтерес лише ті розв’язки
рівняння синус-Гордона, які задовольняють умову (2) і, отже, задані не на всій
поверхні змінних 
. Виявляється, що це не так.
Розглянемо поверхню, яка складається з двох склеєних по ребру псевдосфер
Бельтрама, і яку-небудь асимптотичну лінію на ній.
Мал. 3
Лінія торкається ребра так, що
залишається гладкою просторовою кривою, тобто, хоча вона і переходить через
згин поверхні, сама вона ніякого згину не має. Вчений В. Грибков встановив,
що, хоча на ребрі розглянутої поверхні кут z між асимптотичними лініями
перетворюється в нуль (всі асимптотичні лінії дотикаються до ребра), він
залишається гладкою функцією змінних x, y:

. (3)
Відмітимо, що функція (3)
задана на всій площині змінних x, y.
Розглянутий приклад показує,
що негладким поверхням постійної від’ємної кривини можуть відповідати гладкі
розв’язки рівняння синус-Гордона по всій площині змінних x, y. Вірне і обернене
твердження. Е. Г. Позняк довів, що будь-якому розв’язку рівняння синус-Гордона
на всій поверхні змінних x, y відповідає деяка (негладка) поверхня сталої
від’ємної кривизни. При цьому лініям 
відповідають особливі точки цієї
поверхні. Результат Е.Г. Позняка дозволяє дати геометричну інтерпретацію
будь-якому конкретному розв’язку рівняння синус-Гордона. Зокрема, поверхня, яка
зображена на мал. 3 являє собою реалізацію так званого односолітонного
розв’язку (3) рівняння (1).
Зараз відомо декілька методів
знаходження розв’язків рівняння синус-Гордона. Застосування цих методів
пов’язане з великими труднощами, тому розвиток вказаного геометричного підходу
до рівняння синус-Гордона є досить перспективним. Цей підхід цікавий ще тим, що
він може бути розповсюджений на цілий ряд інших рівнянь математичної фізики.
Висновок
Відкриття нової геометрії
відомими вченими виявила великий вплив на розвиток всієї науки. Найбільш
яскраво це виразилося у подальшому поглибленні наших уявлень про поняття
простору. Можна цілком чітко сказати, що основні напрямки сучасної фізики
пов’язані з розвитком цього поняття. Однак роль геометрії Лобачевського цим не
вичерпується. Останнім часом вона все ширше і ширше застосовується в найрізноманітніших
розділах природознавства - у фізиці, хімії, біології і, звичайно ж, у самій
математиці. Роль геометрії Лобачевського в наші дні визначається, насамперед,
тим, що вона є простою (з точки зору вивчення) моделлю ріманових просторів
від’ємної кривизни, на якій реалізуються всі основні властивості таких
просторів. Завдяки цьому інтерес до неї не тільки не слабшає, але і помітно
зростає. Розглянуті мною простір швидкостей, фрідманівська модель Всесвіту і
рівняння синус-Гордона дозволяють уявити собі загальну ситуацію, в якій
геометрія Лобачевського входить в контакт з сучасною фізикою.
Геометрія Лобачевського стала
прикладом для побудови інших неевклідових геометрій: сферичної геометрії,
еліптичної геометрії або геометрії Рімана, недезаргової геометрії. Ці геометрії
складають далеко не повний список всього многовиду існуючих геометрій.
Неевклідові геометрії відіграли велику роль при побудові А. Ейнштейном теорії
відносності, в якій необхідно було прийняти факт викривлення оточуючого нас
простору.
Лобачевський встановив, що
його геометрія має пряме відношення до зоряної геометрії, тобто до геометрії
космічного простору. На нашій планеті в рамках звичайних земних масштабів люди
використовують геометрію Евкліда як найбільш просту, що вірно відображає
реальну дійсність. Справа зовсім змінюється, коли ми переходимо від земних
масштабів до надто великих масштабів макросвіту або надто малих масштабів
мікросвіту. Вважати, що і тут діє геометрія Евкліда, було б невірно. Досягнення
фізики говорять про те, що фізичні простори надто великих масштабів ведуть себе
як неевклідові.
Значний крок в розвитку
неевклідової геометрії був зроблений Г. Ріманом. Він вніс в число аксіом
наступну пропозицію: кожна пряма, яка лежить в одній площині з даною прямою,
перетинає цю пряму. Це означає, що в геометрії Рімана взагалі немає паралельних
прямих, сума кутів довільного трикутника на відміну від геометрії Евкліда і
геометрії Лобачевського більше 2d. З’ясувалося, що геометрія Рімана
несуперечлива. При цьому простір Лобачевського став одним з часткових випадків
ріманових просторів.
Наука наблизилась до
відповіді на поставлене запитання про геометрію Всесвіту після відкриття на
початку ХХ століття Ейнштейном спеціальної і загальної теорії відносності.
Існувала думка, що загальна теорія відносності представляє собою перший приклад
суто фізичної теорії, яка з’явилася в результаті математичного стрибка в
невідоме.
Із загальної теорії
відносності випливає, що простір викривлений. Це пояснюється тим, що поблизу
тіл, які мають велику масу (наприклад, поблизу Сонця, зірок), закони
ньютонівської механіки змінюються, геометрія простору стає неевклідовою. Добре
відомо, що однією з поширених моделей прямої є промінь світла. Однак світло,
яке проходить повз Сонце або яких-небудь зірок, під впливом сили тяжіння згинає
свою траєкторію.
Геометрія Лобачевського знаходить в
наш час важливе застосування в теорії функцій комплексної змінної, яка є
математичною основою сучасної гідродинаміки, аеродинаміки і теорії пружності.
Значення геометрії Лобачевського ще більше зросло завдяки роботам
американського математика Тьорстона, який встановив її зв’язок з топологією
тривимірних многовидів. У зв’язку з цим можна сказати, що романтичний період в
історії геометрії Лобачевського закінчився, коли основна увага вчених та
дослідників була звернута на її осмислення з точки зору основ геометрії
взагалі.
Література
1. Кадомцев С.Б.
Геометрия Лобачевского и физика - М.: Знание, 1984 - 64 с.
. Смородинский Я.А.,
Сурков Е.Л. Геометрия Лобачевского и теорія относительности - М.: Знание, 1971
- 48 с.
. Науково-популярний
журнал «Квант» - М.: Наука, 1976 - №2, 64 с.