Электрохимические реакции окисления и восстановления

  • Вид работы:
    Реферат
  • Предмет:
    Химия
  • Язык:
    Русский
    ,
    Формат файла:
    MS Word
    216,67 Кб
  • Опубликовано:
    2014-04-11
Вы можете узнать стоимость помощи в написании студенческой работы.
Помощь в написании работы, которую точно примут!

Электрохимические реакции окисления и восстановления

ФГБОУ ВПО «Башкирский государственный университет»










Литературный обзор:

«Электрохимические реакции окисления и восстановления»


Введение

Электрохимические процессы это окислительно-восстановительные реакции, которые сопровождаются возникновением электрического тока или вызываются электрическим током.

В электрохимических процессах окислительная и восстановительная полуреакции пространственно разделены, а электроны переходят от восстановителя к окислителю не непосредственно, а по проводнику внешней цепи, создавая электрический ток. В окислительно-восстановительных реакции этого типа наблюдается взаимное превращение химической и электрической форм энергии.

Выделяют две группы электрохимических процессов:

• процессы превращения электрической энергии в химическую (электролиз);

• процессы превращения химической энергии в электрическую (гальванические элементы).

Простейшая электрохимическая система состоит из двух электродов - проводников первого рода с электронной проводимостью, находящихся в контакте с жидким (раствор, расплав) или твердым электролитом - ионным проводником второго рода. Электроды замыкаются металлическим проводником, образующим внешнюю цепь электрохимической системы.

При проведении электролиза на аноде происходит электрохимическое окисление, на катоде - электрохимическое восстановление.

Электрохимическое восстановление

. Электрохимическое восстановление бис(α-бромциклопропил) кетона

электрохимический восстановление протон катодный

В этой статье[1] авторы сообщают, что восстановление α, α '-дибром кетонов (1) в уксусной кислоте дает в качестве основных продуктов α-ацетоксикетоны (2), когда α-углероды несут по крайней мере три алкильные заместители, если последнее условие не выполняется, так называемый "родительский" кетон (3) преобладает.


Восстановление может осуществляться как электрохимический, так и мелкодисперсной ртутью. Хотя распределения продуктов несколько отличаются по способам восстановления, они в целом справедливы в процессе изучения возможностей этого восстановительного процесса ацетоксилирования. В данной статье рассматривается исследование восстановления бис (α-бромциклопропила) кетона (4) и описание аномальное поведение 4 под восстанавливающим условием.

Хотя α, α'-дибромкетоны, как правило, восстанавливаются от 0,25 до 2 дней ультразвуковой дисперсной ртутью, продукт 4 был восстановлен (с выходом 95%) после 8 дней. Электрохимическое восстановление продукта 4 было исключительным. Контролируемый-потенциал восстановления 4 в уксусной кислоте 1,0 М ацетата натрия (HOAc / NaOAc) при -0,80 В (SCE) давала смесь циклопропил-бром циклопропил кетон (5; 76%) циклопропилкетон (6; 14%) и непрореагировавший 4 (10%).

Электролитическое восстановление продукта 4 в соотношении 9:1 диметилформамида (ДМФ): HOAc / NaOAc или ДМФ / тетраэтиламмония

бромид (TEAB) при -0,80 V давало 5 в качестве исключительного

продукта. В отличие от этого, восстановление в уксусной кислоте, содержащий информацию о дибромкетонох 7 и 9 либо электрохимическим или ультразвукой дисперсной ртутью, дает соответствующую ацетоксикетоны с высоким выходом.


2. Селективное электрохимическое восстановительное ацетилирование ароматических нитросульфонов

В этой статье[2], Лоев и др. изучили профилактическую активность 4,4 '-бис (N,O-диацетил гидроксиламин) дифенил сульфона (1с) против малярийного паразита. Однако синтез продукта (1с) путем последовательных этапов химического восстановления нитросульфона (1а) с нестабильным гидроксиламино сульфоном (1b) и последующего ацетилирования их (31% выход) было чревато экспериментальными трудностями воспроизводимости, побочными реакциями и очисткой. Кроме того, попытка преобразовать (1а) в (1b) путем каталитического гидрирования было невозможно из-за формирования сложных смесей.

Позже был открыт способ одностадийного электрохимического восстановительного ацетилирования (1а) в (1с) с выходом 74-80% и продолжение этой методики для получения (2b) непосредственно из 2а (83%).


Одностадийное электрохимическое восстановительное ацетилирование (с выходом47-87 9% ) нитро - и нитрозоаренов и -алкенов в безводном ацетонитрил- уксусный-перхлорат ангидрид - натрия ( в качестве растворителей электролит) при постоянном потенциале ртутного катода от -0.9 до -1.3 V с получением N,O -диацетил гидроксиламиноарена и - алкана.

Уравнение 1 является симметричным (полу-реакция) для химического превращения (2а) на катоде:

a + 4e-+ 4NaC1О4+ 3Ac2О →2b + 4NaOAc↓ + 4СlO4- (1)

Настоящая электрохимическая методика должна быть полезной в синтезе разнообразных N,O-диацетилгидроксиламинов сульфона в количествах от 10 мг до 1 г. К сожалению, поиск подходящего растворителя-электролита, в которой происходит полное растворение исходного нитросульфона не увенчалась успехом. Однако добавление Me2SO к смеси растворителя ведет к улучшению растворимости.

3.Электрохимического восстановления йодидов

В этой статье[3] сообщается о электровосстановление иодидов, 1-иодоамантана, 1 иодобициклооктана, 1-иодобициклогептана, 6-иодотрициклогептана и 1-иодотрициклогептана на ртутном катоде. Полярографические исследования иодидов растворенных в диметилформиаде, содержащий тетрабутиламмониевый перхлорат несущей электролит, показало, что восстановление связано с помощью одной двухэлектронной волной в каждом конкретном случае. Изначально потенциалы восстановления полуволн становились все более отрицательными, как характерно соединениям углерода, экзоциклические связывающие орбитали увеличивается, но тогда резко изменяется данное направление. Несколько возможных объяснений выдвигаются на счет такого поведения. Анализ продукта полученный из контролируемого потенциала электролиза каждого йодида показали, соответствующий углеводород, который будет сформирован в умеренной до высокой доходности через двухэлектродные пути.

Общепринятый механизм электровосстановления углерод-галогена, предложенный П.Элвингом и Б. Пуллмоном:

RX+e → [RX]- •

[RX]- • → R• +X-

R• +e → R-

R-+HS → RH

4. Комбинированный электрохимический / ферментативный метод регенерации NADH на основании катодного восстановления циклических дисульфидов

В этой статье[4] сообщается, что NADH можно регенерировать из NAD с помощью процесса, имеющего в первой стадии электрохимическое восстановление дисульфидных групп липоамида и окисленного дитиотреитола к соответствующим дитиолам. Дигидролипоамид в этой смеси снижает NAD в NADH в реакции, катализируемого липоамидом дегидрогеназы.

Здесь описан метод восстановления NADH из NAD, основанный на способности вольфрамового катода к восстановлению стабильного циклического дисульфида до соответствующих дитиолов выборочно в нейтральных водных растворах.

Схема 1:

LipDH - липоамид дегидрогеназы,

L-LDH - L-лактатдегидрогеназы,

DTT - дитиотреитол,

Lip - липоамид,

 =СH2CH2CH2CH2CONH2

Схема 1 основана на способности вольфрамового катода восстанавливать даже очень стабильные циклические дисульфиды в нейтральном водном растворе без коррозии, чрезмерной выработки Гц или неприемлемых темпов восстановления НAD. В частности, амид-D,L-6,8 -тиоктовой кислоты, D, L-6 ,8-тиоктовая кислота и транс-4,5-дигидрокси-1,2-дитиан восстанавливают количественно до соответствующих дитиолов.

Этот синтез демонстрирует один практический опыт электрохимической регенераций NAD. Эффективное восстановление стабильных дисульфидов сильными восстанавливающими дитиолами представляет собой новую электрохимическую реакцию и должен быть полезным и в других областях энзимологии , особенно в защите ферментов против автоокисления.

5. Ферментативный органический синтез: электрохимическая регенерация NAD (P) H из NAD (P) с использованием метилвиологена и флавофермента

В этой статье[5] описана методика ферменто-катализаторного органического синтеза в восстановлении NAD (P) H из NAD (P), осуществляемого путем электрохимического восстановления.

Электрохимическое восстановление NAD (P) H .

Схема 2:

MV - метилвиологен; FDR - ферредоксин-NADP-редуктазы; LipDH - липоамид дегидрогеназы; D-LDH - D-лактат-дегидрогеназы; GluDH - глутаматдегидрогеназы.

Прямые электрохимические методы восстановления NAD (P) в(P) H оказались не достаточно селективными для восстановления в 4-м положении, чтобы дать высокий оборот числа (TN).

Электрохимический способ восстановления NAD (P) H, обобщенный в схеме 2, удобнее, чем восстановление на основе гидрогеназы. Поскольку гидрогеназ не является коммерчески доступным и требует ферментации для его приготовления. В обеих схемах, LipDH имеет относительно низкую стабильность; FDR более дорогой, но более устойчивый и активный.

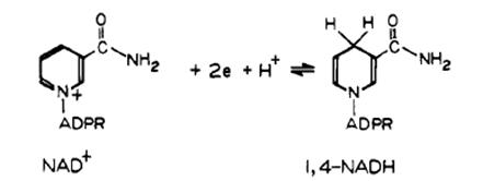
6. Химическое и электрохимическое восстановление пиридо-ас-триазинов

В этой статье[6] сообщается, что каталитическое гидрирование 3-фенилпиридо [3,2-е]-ас-триазина (1) и 3-фенилпиридо [3,4-е]-ас-триазина (2) приводит к соответствующим 1,4-дигидропроизводным 3с и 4с. Были установлены структуры этих соединений методом ЯМР с использованием ядерного эффекта Оверхаузера и констант дальнего радиуса муфты. Восстановлением LiAlH4 дает 5,6,7,8- тетрагидро производное ( 1) и 4,5,6,10-тетрагидро производное (2). В водном метаноле, (1) и (2) электрохимический восстанавливают до (3с) и (4с), соответственно, те же продукты получают в ацетонитриле в присутствии фенола. Электрохимического восстановления (2) в ацетонитриле в присутствии уксусного ангидрида приводит к смеси 1,4-диацетил-1,4-дигидро и 1,2 -диацетил-1 ,2-дигидросоединения. Эти результаты сравниваются с результатами, полученными восстановлением другого азанафталина.






7. Электрохимическая восстановительная циклизация β-положения циклических α,β-ненасыщенных кетонов

Авторы в этой статье[7] сообщают, что механистическое изучение электрохимического восстановления (1) показало синтетически полезные выводы относительно алкилирования β -положения α,β -ненасыщенных кетонов электрохимическим методом. В 1965 году Аист с сотрудниками показали, что восстановление (1) (1 экв) с литием в жидком аммиаке дает выход 45% (2), по-видимому, через внутримолекулярное смещение тозилат аниона анионным-радикалом (3). Эта циклизация была интересна для многих групп и было достигнуто с диметиллитием купрате и электрохимический. Такие восстановительные циклизации - общие реакции, которые часто идут синтетически значимыми выходами.


8. Устранение интерфейсов с помощью двухслойных пленок из электрохимически полимеризованных винилпиридина и винилбипиридин комплексов рутения и железа на электроды

Случайный сайт смешанного сополимера (один слой) и пространственно разделенные двухслойные пленки пары I и IV и II и V могут быть получены путем одновременной и последовательной полимеризации соответствующих мономеров. Пространственные характеристики были подтверждены переменным углом рентгеновской фотоэлектронной спектроскопией. Циклическая вольтамперометрия сополимеров является аддитивным ответом двух окислительно-восстановительных компонентов.

В двухслойных пленках изменения состояния окисления наружных полимерных пленок ограниченно происходит через электронные передачи посредством внутренней полимерной пленки. В результате изменения свойства полимера двухслойного интерфейса, который должен быть полезен в имитации электронного поведения устройств, таких как стабилитронов.

9. Реакции электронопередачи и конформационные изменения, связанные с восстановлением bianthrone

В данной статье[9] авторы сообщают, что электрохимическое восстановление низкотемпературной А формы bianthrone (1A) на платиновом катоде в ДМФ, протекающий в двух электронах, является необратимой реакцией, что дает дианион (3B), который является структурно похожим на высокотемпературный B формы bianthrone (1В), имеющий две плоские кольцевые системы, скрученные вокруг центральной соединительной связи.

В целом восстановление включает в себя большое структурные изменения. В отличие от этого, 3В быстрее и обратимо окисляется до структурно подобных анион-радикала, 2B, чем 1B, который не является стабильным при комнатной температуре и превращается в 1A, как это диффундирует электродом. Это схема была подтверждена с помощью циклической вольтамперометрии и передачи в режиме спектроэлектрохимии. Константы скорости для обоих 1А→1B и 1B →1A реакции были определены, и верхний пределы были поставлены на константы скорости для прямого электрохимического восстановления 1A-2В или 3В.




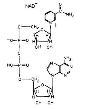
. Роль адсорбции в начальном одноэлектронном электрохимическом восстановлении никотинамид-аденин-динуклеотида (NAD+)

В этой статье[10] авторы сообщают, что процесс восстановления было исследовано при рН 9.1 в нескольких базовых электролитах различной поверхностной активности для того, чтобы выяснить роль адсорбции NAD +, его свободного радикала, и полученного димера на водном электроде раствора ртути. В присутствии электролитов низкой активности, NAD+ адсорбируется при положительных потенциалах одноэлектронным восстановлением; электрохимически образованный димер, (NAD)2, адсорбируется при положительных -1,20 и -1,32В и 0,06 и 0,4 М раствора KCl, соответственно. NAD+ подвергается одновременно диффузии и адсорбции-контролируемой восстановлением.

С низкой концентрацией поверхностно-активного вещества (0,06 и 0,1 М тетраэтиламмоний (Tea+) хлорид) раствора, NAD+ только адсорбируется при положительном -0,65 V и предволны адсорбции-контролируемого указывают на адсорбированный слой NAD• и / или (NAD)2 , образованный на восстановление растворенного NAD+. От высокой концентрация (0,4 М) Tea+ раствора, NAD+ адсорбируется при положительном -0,66 V, но адсорбция-контролируемый подавляет предволны и восстановление полностью контролируется диффузией.


. Одноэлектронное электрохимическое восстановление комплекса двухвалентного железа порфирин дикислорода

В данной статье[11] авторы сообщают, что одноэлектронное восстановление формирует комплекс низкоспинового двухвалентного железа, который обратимо может связывать молекулярный кислород и монооксид углерода.

Необычный оптический спектр СО комплекса позволило показать, что шестой осевой лиганд представляет собой тиолят анион. Кроме того, в настоящее время известно, что связывание молекулярного кислорода с гемом двухвалентного железа, который является следующим шагом в ферментативном цикле, предоставляет тиолят , согласованный в качестве шестого аксиального лиганда.

Следующим шагом является второе одноэлектронное восстановление комплекса O2. Комплекс двухвалентного железа порфирин дикислорода легко автоокисляется до трехвалентного порфирина.


12. Электрохимическое восстановление сероуглерода. Синтез гетероциклов, состоящих из углерода и серы

В этой статье[12] авторы сообщают о том, что при электрохимическом восстановлении CS2 в ДМФА с последующим алкилированием MeJ, CeCH2CH2SMe (I) или ClCH2CH2CH2SAc (II) получают 4,5-бис(R-тио)-1,3-дитиол-2тионы (III а-в, здесь и для VI: a R=Me, б R=MeSCH2CH2, в R=AcSCH2CH2CH2). Электрохимическим восстановлением CS2 в MeCN в присутствии Bu4N + J- (IV) с последующей обработкой образующегося III (R=Bu4N) посредством СSCl2 получают 2,6-Х2-1,3,5,7-тетратиапентален (Va X=S), который действием (AcO)2- Hg превращает в V (б Х=О), самоконденсирующийся под действием P(OEt)3 в 2,2'-бис(1,3,5,7-тетратиапентален-6-он), последний при обработке KOH в сп. дает (VIг R=K); реакцией VIг с I или II в ДМФА под аргоном получают (VI б,в). Электрохимическим восстановлением СS2 в ДМФА в присутствии IV с последующим окислением электролизного раствора получают [1,3]дитиоло[4,5-d]-1,2,3-тритиол-5тион (VII). Циклическая вольтограмма VI a указывает на четыре последовательных стадии электронного переноса.

V а,б VI а-в VII


.Электровосстановительное гидросочетание активированных олефинов с кетонами или альдегидами в присутствии триметилхлорсилана

В этой статье[13] авторы сообщают, что электровосстановительным гидросочетанием (ЭВГС) RCH=C(R')COOMe (I) c RCOR' (II) в ДМФА в присутствии Мe3SiCl, (III) и Et4NOTs (IV) с хорошим выходом синтезированы 3R-4R'-5R''-5R''-тетрагидрофуран-2оны (V). В аналогичных условиях из RCH=CHCN (VI а,б, где а R=H, б R=Me) и II (а,б, где а R=Pr, R'=H; б R=Pr, R'=Me) образуются с высоким выходом PrC(R)(OH)CH(R')CH2CN (VIII а,б, где а R=R'=H; б R=R'=Me). Раствор 0,33моля IV в 80 мл ДМФА помещают в катодную (70мл) анодную (20м) камеры, к католиту добавляют 0,01 моля I (a R=R'=H), 0,05 моля II (в R=C5H11, R'=Me) и 0,05 моля III, пропускают постоянный ток (200та/ч, 0,004 А/см2) при охлаждении водой и при перемешивании, католит выливают в 200 мл 1н. HCl, экстрагируют 300 мл эфиром, экстракт упаривают и получают V (a R=R'=H, R''=Me, R'''=C5H11), выход 76%. Аналогично получают V.

14. Электрогалометоксилирование производных хромана

В данной статье[14] авторы описывают электролиз смесей 2-R-3-R'-цис-3-Х-2метоксихроман-4-оны [I a-e, где R=R'=H, X=Cl; б R=Me, R'=H, X=Cl; в R=R'=H, X=Br; г R=Me, R=H, X=Br; д R+R'=(CH2)3, X=Cl; e R+R'=(CH2)4, X=Cl]. Вещества I a-г (с R'=H) при взамодействии с К2СО3 в МеОН переходят в 2,R-3-X-4H-хромоны (II а-г, где R=Me, X=Br)[14]. Образование II а-г происходит также при хранении (медленно) или при нагревании (быстро) I a-г. Cмесь 1 ммоля хромона, 70 мл водного MeOH (1:4) и 7 ммолей КХ подвергают электролизу (10 мА, ~20°, 6ч), концентрируют в вакууме (<40°) до половины объема , экстрагируют 40 мл эфиром, экстракт промывают раствором NaCl, сушат, упаривают, остаток хромотографируют на Cl- и выделяют следующие I (даны вещество и выход в %): а-70, б-97, в-86, г-92.



. Механизм и кинетические характеристики электрохимического восстановления углекислого газа в средах низкой доступности протона

В этой статье[15] авторы описывают механизм восстановления диоксида углерода в растворителях низкой доступности протона, такие как диметилформамид, исследуется на основе изменении распределения продукта электролиза с плотностью тока и концентрации CO2 и воды. Показано три конкурирующие пути: формирования оксалата путем самостоятельного связывания СО2-• анион радикала, образование СО через кислород-углерод связь СО2-• с CO2 и образование формиата через протонирование CO2-• по остатку или добавленной воды, за которым следует однородный перенос электрона от СО2-•. Используя данные о распределении продукции вместе с кинетическими данными, полученный быстрый микроэлектролитический метод позволяет охарактеризовать ключевые шаги процесса восстановления: первоначальная передача электронов и скорость определения стадии трех конкурирующих реакций, приводящих к оксалату, CO и формиату.

.

.

и/или

и/или


Электрохимическое окисление

. Анодное окисление смешанных простых эфиров гидрохинонов

В этой статье[16] авторы сообщают , что монокетали хинона полезны в органических синтезах . Эти соединения получают окислением п-метоксифенола или региоселективным гидролизом бискеталя хинона. Первый способ зависит от наличия требуемого фенола, а последняя процедура дает монокеталь хинона, в котором присутствует свободная карбонильная группа. В данной статье рассматривается техника подготовки отдельных хиноновых монокеталей, в котором карбонильная группа хинона является незащищенной.


Ключевым аспектом работы было обнаружение того, что смешанные ароматические эфиры (т.е. 4) подвергаются анодному окислению и дают преимущественно продукт 5. Малое количество образованного продукта 6 в реакции легко разделяют с помощью хроматографии нейтральным оксидом алюминия. Продукты 5 и 6 показали спектроскопические (IR, ЯМР) свойства в согласии с предполагаемой структурой.

(4а, R=H (5a,66% (6a,15%, R=CH3 b, 83% b, 7%, R=Br c, 81% c, 13%), R=OCH3) d, 86%)

Моногидролиз бискеталя 5а-с после перекристаллизации или молекулярной дистилляции дала монокетали 7а-с с указанными выходами. В случае 5d, два продукта были образованы в соотношение 7:1. Основной продукт, 8d, был получен прямой перекристаллизацией с выходом 68%. Второстепенный продукт (предположительно 7d) было трудно отделить от 8d хроматографией, и не был точно охарактеризован.

(7а, (8а,

b, b,

c, c,

d) d)

Гидролиз протекает с малой скоростью. Как отмечалось ранее, обычная подготовка монокеталей хинона часто дает доступ только к одному из изомеров. Эти результаты показывают, что оба монокетали бензохинона региоизомеров могут быть получены из общих промежуточных п-метоксифенола или бискеталя.


2. Электрохимическое окисление морфинан диенона

В данной статье[17] сообщается, что (±)-морфинан диенон, О-метилфлавинаденин (2а), О-бензилладанин (2б) и О-метилфлавинанин (2с) были синтезированы электрохимическим окислением N-метилтетрогидропапеверина (1а), О-бензилпалладина(1б) и norlaudanosine(1с). С использованием ацетонитрила, содержащий фтороборную кислоту в качестве растворителя, выход превысил 70%. При дальнейшем окислении в кислом ацетонитриле О-метилфлавинаденина получают транс-10-гидрокси-О-метилфлавиданенин с выходом 38%, вместе с оксомоморфинаном. Структура последнего была определена с помощью рентгеновской кристаллографии. Аналогичным образом, анодным окислением О-бензилпалладина получают транс-10-гидрокси-О-бензилпаладин (с выходом 41%) и соответствующий оксомоморфинан (выход 37%). Транс-10-гидрокси-О-метилфлавинан был выделен с 13% выходом окислением О-метилфлавинана.





3. Влияние заместителей на электрохимическое окисление тритильных анионов. Влияние электроноакцепторной группы

В этой статье[18] авторы сообщают, что обратимое одноэлектронное окисление триарилметильных анионов и второй необратимый окислительный процессы были исследованы на серию последовательно замещенных п-триметилсилил анионов. Цикл вольтамперограммы литиевой соли, полученный в диметоксиэтане показывает, что обратимые потенциалы зависят от заместителя в пара-положении. Во втором окислительном процессе лишь незначительно влияет. В сравнении с аналогичным замещенным метилтриарилметильным анионом приводит к оценкам влияния триметилсилильной группы по карбаниону, радикалу и стабильности катиона.


. Катодное восстановление бензофенона, бензальдегида и пропионового альдегида

В этой статье[19] авторы сообщают, что методом классической полярографии в безводном и насыщенном HCl (0,1 М) МеОН изучили электровосстановление бензофенона (I), бензальдегида (II) и пропионового альдегида (III). Показано, что (I) претерпевает диффузионно-контролируемое электровосстановление в одну стадию, (III) является практически электронеактивным, а на полярограммах (II) наблюдается две кинетические волны, первая из которых, как предполагается, соответствует одноэлектронному электровосстановлению метоксибезилкарбониевого иона (VI), образующегося по схеме:


до соответствующего радикала, димеризующегося с образованием 1,2-диметокси-1,2-дифенилэтана, а более катодная волна Вл 2 - одноэлектронному электровосстановлению протонированной формы (IV) до соответствующего радикала, димеризующегося с образованием гидробензоина. В присутствии воды Вл 1 уменьшается и исчезает, а Вл 2 превращается в частично диффузионную и доминирует, чему благоприятствует подавление процесса V→IV в водном МеОН.

5. Анодное окисление изопропанола на платинированном платиновом электроде

В данной статье[20] авторы сообщают, что с помощью гальваностатического метода, хронопотенциометрии и циклической вольтамперометрии изучено электрохимическое окисление изопропанола (I) в водных растворах KOH (фон А) и 0,5 М М2SO4 (фон Б) в интервале температур 27-70°С на платинированном Pt-электроде. Из зависимости плотности тока от концентрации (I) и ОН- в фоне А при 70°С и -0,6 В относительно электрода Hg/HgO найдено, что реакция окисления имеет 1-ый порядок по (I) (до концентрации 0,2 М) и по ОН-; в качестве продукта окисления образуется ацетон.

Наклон графика Тафеля составляет 2∙2,303RT/F и не зависит от концентрации (I), ОН- и температуры; в фоне А наклон меняется при Пт выше -0,5В. Обнаружена сильная адсорбция (I) на электроде. На основании экспериментальных данных для электрохимического восстановления (I) в фоне А при Пт ниже -0,5 В предложена следующая схема:

СH3CH(OH)CH3р-р + Pt → CH3CH(OH)CH3 адe

CH3CH(OH)CH3 адe + OH- → CH3CHOCH3 aде + H2O + ēCHOCH3 аде + OH- →CH3COCH3 + H2O + E


Pt+H2O → Pt−OH + H+ + ē

CH3CHOHCH3 аде + PtOH → CH3COCH3 + H2O + H+ +ē,

а в интервале 0,7-1,2 В:

Pt−OH → Pt−O + H++ ē

CH3CHOHCH3 аде + Pt−O →CH3COCH3 + H2O

6. Продукт и механистическое изучение анодного окисления метоксилированных нафталинов

В данной статье[21] авторы сообщают, что анодное окисление 1- и 2-метокси-и 1,2 -, 1,3 -, 1,4 -, 1,5 -, 1,6 -, 1,7 -, 2,3 -, 2,6 - и 2,7-диметоксипроизводных нафталинов были проведены в метанольном гидроксиде калия. При более низких температурах (0-20 °С) основным процессом в 1-метоксинафталине и 1,5 -, 1,6 - и 1,7-диметоксипроизводных нафталинах является двухэлектронное окисление, в результате прибавляются метоксигруппы через 1,4-положения с последующей потерей метанола на обработку с получением метоксилированного нафталина. В отличие от 2-метоксинафталина и 1,3 -, 2,3 -, 2,6 - и 2,7-диметоксипроизводных нафталина, дает основные количества продуктов, полученных из четырехэлектронным окислением в этих условиях. Когда анодное окисление этого первого класса соединений проводили в кипящем метаноле, было выделено повышение количества продуктов четырехэлектронного окисления. В то время как 1-метилнафталин и нафталин также проходят анодное окисление в этих условиях, эти неактивированные системы реагируют менее избирательно и эффективно.

Схема 3. Анодное окисление 1,3-диметоксибензола.

7. Быстрые окислители для NADH и электрохимическая дискриминация между аскорбиновой кислотой и NADH

В данной статье[22] авторы сообщают, что особое значение в химии имеет окисление повсеместно распространенных NADH и аскорбиновой кислоты. Проведенное исследование показало, что окисленные формы ароматических диаминов, которые флавин аналоги, являются очень активными NADH и окислителями аскорбата, и показало важный аспект механизма окисления NADH. Это механистическое знание привело к открытию катализатора, которое дало отдельные электрохимические реакции для NADH и аскорбиновой кислоты. NADH электрохимически окисляется в процессе, который имеет большую энергию активации (перенапряжение). Такие электрохимические реакции трудно воспроизвести, и зависит от характера поверхности электрода и его истории.


8. Электроорганическая химия. Образование новой углерод-углеродной связи в альфа-положении аминов, используя анодное окисление как ключевой шаг

В данной статье[23] авторы сообщаю, что новая углерод-углеродная связь была использована в образовании реакции α-положении первичных и вторичных аминов. Способ включает анодное окисление уретанов, полученных из первичных и вторичных аминов и последующего кислотно-катализируемого взаимодействия полученных метоксилированием уретанов с нуклеофилами, такими как обогащенных электронами олефинов и активных метиленовых соединений. Посредник участия (карбометокси)иминиевые ионы были предложены в реакции кислотного катализатора.



Литература

1.Albert J. Fry. , Electrochemical Reduction of Bis(a-bromocyclopropyl) Ketone// Journal of Organic Chemistry,1981,№46, стр.1490-1492.

. LeRoy H., KlemmSelective Electrochemical Reductive Acetylation of Aromatic Nitrosulfones// Journal of Organic Chemistry,1981,№46, стр.2184-2186.

. Ramyani S. Abeywickrema and Ernest W. Della, Electrochemical Reduction of Bridgehead Iodides// Journal of Organic Chemistry,1981,№46, стр.2352-2355.

. Ze’ev Shaked, James J. Barber George M. Whitesides, A Combined Electrochemical/Enzymatic Method for in Situ Regeneration of NADH Based on Cathodic Reduction of Cyclic Disulfides// Journal of Organic Chemistry, 1981, №46, стр.4100-4101.

. Robert DiCosimo, Chi-Huey Wong Lacy Daniels, George M. Whitesides, Enzyme-Catalyzed Organic Synthesis:Electrochemical Regeneration of NAD(P)H from NAD(P) Using Methyl Viologen and Flavoenzymes// Journal of Organic Chemistry, 1981, №46, стр.4622-4623.

. J. Armand, K. Chekir, N. Ple, G. Queguiner and M. P. Simonnin, Chemical and Electrochemical Reduction of Pyrido-as-triazines// Journal of Organic Chemistry, 1981, №46, стр.4754-4759.

. Paul G. Gassman,* Ossama M. Rasmy Thomas 0. Murdock, Katsuhiro Saito, Electrochemical Reductive Cyclizations to the α-Position of Cyclic α,β-Unsaturated Ketones. Formation of Fused Ring Systems// Journal of Organic Chemistry, 1981, №46, стр.5455-5457.

. H. D. Abruna, P. Denisevich, M. Umana, Thomas J. Meyer, and Royce W. Murray, Rectifying Interfaces Using Two-Layer Films of Electrochemically Polymerized Vinylpyridine and Vinylbipyridine Complexes of Ruthenium and Iron on Electrodes// Journal of Organic Chemistry, 1981, №1, стр.1-5.

. Bernard A. Olsen and Dennis H. Evans, Electron-Transfer Reactions and Conformational Changes Associated with the Reduction of Bianthrone// Journal of Organic Chemistry, 1981, №103, стр.839-843.

. William T. Bresnahan and Philip J. Elving, The Role of Adsorption in the Initial One-Electron Electrochemical Reduction of Nicotinamide Adenine(NAD+)// Journal of the American Chemical Society,1981,103, стр.2379-2386.

. Curtis H. Welborn, David Dolphin and Brian R. James, One-Electron Electrochemical Reduction of a Ferrous Porphyrin Dioxygen Complex// Journal of the American Chemical Society,1981,103, стр.2869-2871.

. Michael F. Hurley and James Q. Chambers, Electrochemical Reduction of Carbon Disulfide. Synthesis of Carbon Sulfide Heterocycles// Journal of Organic Chemistry, 1981, №46, стр.775-778.

.Shono Tatsuya, Ohmizu Hiroshi, Kawakami Souta and Sugiyama Hiroshi. Electroreductive hydrocoupling of activated olefins with ketones or aldehydes in the presense of trimethylchlorosilane//Tetragedron Lett., 1980,№ 52, стр. 5029-5032.

.Yamauchi Masashige, Katayama Sadamu, Nakashita and Watanabe Toshio. Electrohalomethoxylation of chromone derivatives//Synthesis, 1981,№1, стр. 33-34.

. Christian Amatore and Jean-Michel Saveant. Mechanism and Kinetic Characteristics of the Electrochemical Reduction of Carbon Dioxide in Media of Low Proton Availability//Journal of the American Chemical Society,1981,103, стр.5021-5023.

. Mark G. Dolson and John S. Swenton. Anodic Oxidation of Mixed Ethers of Hydroquinones. A Complementary Route to Benzoquinone Monoketals// Journal of Organic Chemistry, 1981, №46, стр.177-179.

. Leif Christensen and Larry L. Miller. Electrochemical Oxidation of Morphinandienones// Journal of Organic Chemistry, 1981, №46, стр.4876-4880.

. Shelton Bank,* Clifford L. Ehrlich, Mark Mazur, and Jon A. Zubieta. Substituent Effect on the Electrochemical Oxidation of Trityl Anions. Effect of an Electron-Withdrawing Group// Journal of Organic Chemistry, 1981, №46, стр.1243-1247.

.Garg A.K., Malik W.U. Polarographic behavior of 2-aminobenzothiozole in Brdicka solution//Metall and Miner. Rev., 1980, №2, стр. 1-2.

.Rao K.V., Roy C.B. Anodic oxidation of isopropanol on platinized platinum electrode// Indian.J.Chem.,1980,№9, стр.840-845.

. Mark G. Dolson and John S. Swenton. Product and Mechanistic Studies of the Anodic Oxidation of Methoxylated Naphthalenes. // Journal of the American Chemical Society,1981,103, стр.2361-2371.

. Akira Kitani and Larry L. Miller. Fast Oxidants for NADH and Electrochemical Discrimination between Ascorbic Acid and NADH//Journal of the American Chemical Society,1981,103, стр.3595-3597.

. Tatsuya Shono,Yoshihiro Matsumura and Kenji Tsubata. Electroorganic Chemistry. A New Carbon-Carbon Bond Forming Reaction at the α-Position of Amines Utilizing Anodic Oxidation as a Key Step// Journal of the American Chemical Society,1981,103, стр.1172-1176.

Похожие работы на - Электрохимические реакции окисления и восстановления

 

Не нашли материал для своей работы?
Поможем написать уникальную работу
Без плагиата!
Без нейросетей!