Організація ефективного процесу перевезень металевої фурнітури
МІНІСТЕРСТВО
ОСВІТИ І НАУКИ, МОЛОДІ ТА СПОРТУ УКРАЇНИ
НАЦІОНАЛЬНИЙ
ТРАНСПОРТНИЙ УНІВЕРСИТЕТ
Факультет
«Транспортні та інформаційні технології»
Кафедра
«Транспортні технології»
Розрахунково-пояснювальна
записка до курсового проекту
З
дисципліни «Вантажні перевезення»
Тема:
Організація ефективного процесу перевезень металевої фурнітури
Виконала: студентка гр.
ВП-ІІІ-1
Лаптєва Т.О.
Керівник проекту: Коп’як
Н.В.
Київ
НТУ-2012
План
Вступ
. Правила перевезень заданого типу вантажу
2. Загальна характеристика об’єкту дослідження та
систематизація транспортних зв’язків
. Вибір рухомого складу
3.1 Типаж і ефективність автотранспортних засобів
3.2 Вибір автомобілів оптимальної вантажопідйомності
.3 Технічна характеристика обраного автомобіля
4. Маршрутизація перевезень
.1 Вибір маршрутів руху автомобілів
4.2 Розрахунок ТЕП роботи рухомого складу на кожному маршруті
Висновки
Графічна частина
Список використаної літератури
Вступ
Автомобільний транспорт України
представляє собою найбільш гнучкий і масовий вид транспорту. У нього ряд
важливих відмінностей від інших транспортних галузей. Сфера застосування
автотранспорту широка. Він виконує більшу частину коротких всипних перевезень,
доставляє вантажі до станцій залізниць і річкових пристаней і розвозить їх до
споживача
В автомобільному транспорті
сконцентроване понад 97% від всіх ліцензованих суб'єктів транспортної
діяльності. У сфері комерційних і некомерційних автомобільних перевезень зараз
зайнято порядку півмільйона господарюючих суб'єктів. Їхня діяльність проходить
в умовах досить високої внутрішньогалузевої й міжвидової конкуренції.
Вантажні перевезення - це один з
найбільше «ринкових» секторів економіки автотранспорту. Вантажопотоки, які
генеруються ринками, що розвиваються, товарів і послуг, у першу чергу
освоюються найбільш чуйним швидким і гнучким видом транспорту: автомобільним.
Це обумовлено його високою маневреністю, великою швидкістю, забезпеченням
перевезень безпосередньо від відправника до одержувача. Мобільність
автомобільного транспорту дозволяє оперативно реагувати на зміну пасажиро- й
вантажопотоків.
До недоліків автотранспорту
ставиться низька продуктивність рухомого складу, а також порівняно висока
(значно вище, ніж на водному й залізничному транспорті) собівартість
перевезень. Крім того, автомобільний транспорт - один з основних забруднювачів
атмосфери.
Загальні положення
Мета курсового проекту - набути
навичок розв’язання питань удосконалення організації транспортного процесу
перевезень конкретного вантажу, визначити основні техніко-експлуатаційні
показники роботи рухомого складу. При виконанні потрібно вирішити такі задачі:
проаналізувати існуючі організацію
перевезень вантажів і виконання техніко-експлуатаційних показників по АТП;
показати вплив різних
експлуатаційних факторів на ефективність перевезень;
запропонувати конкретні заходи щодо
удосконалення транспортного процесу;
вибрати ефективний рухомий склад для
виконання перевезень;
скласти раціональні маршрути руху
автомобілів;
розрахувати потрібну кількість
транспортних засобів, навантажувально-розвантажувальних механізмів;
навантажувально-розвантажувальних
механізмів;
визначити економічну ефективність
перевезень.
1. Правила перевезень заданого виду
вантажу
У даному курсовому проекті до
перевезення надається металева фурнітура.
Умови перевезення металевої
фурнітури регламентуються правилами перевезення промислових товарів народного
споживання.
Промислові товари для перевезення
повинні подаватись вантажовідправником як правило в тарі або упаковці.
Вантажовідправник повинен подавати для перевезення промислові товари у
справній, сухій, без сторонніх запахів тарі.
Промислові товари для перевезення
упаковують у тверду (дощані, фанерні ящики), напівтверду (пресовані кіпи із
застосуванням дощечок і планок) і м'яку упаковку (пресовані кіпи без дощечок і
планок, тюки, баули, тканинні мішки, рогожні мішки, рулони).
При поданні вантажів в тарі чи
упаковці і штучних вантажів дрібними відправками Замовник зобов'язаний завчасно
замаркувати кожне вантажне місце відповідно до державного стандарту.
У маркуванні зазначаються:
а) знак одержувача - повне чи
часткове найменування вантажоодержувача чи позначення, яке використовується
одержувачем (при перевезеннях дрібних партій);
б) номер заявки (замовлення) на
перевезення вантажів;
в) місце призначення - зазначається
пункт (при міжміських перевезеннях);
г) маса вантажної одиниці -
позначається цифрами маса брутто і нетто в кілограмах.
Маркування наноситься на ящиках (на
одному з боків).
Промислові товари, що упаковані в
коробки, та подаються для перевезення вантажовідправником, повинні мати
обв'язку, яка забезпечує цілість упаковки і виключає можливість доступу до
вантажу без порушення
обв'язки або упаковки.
Ящики, коробки тощо з дрібноштучними
промисловими товарами повинні подаватися вантажовідправником обандероленими
(опечатаними).
Обандеролювання слід провадити так,
щоб доступ до вантажу був неможливим без розривання матеріалу (паперової
стрічки, тасьми тощо).
Для перевезення промислових товарів
Перевізники повинні надавати автомобілі-фургони або автомобілі з бортовою
платформою.
2. Загальна характеристика об’єкту
дослідження та систематизація транспортних зв’язків
Оптова база
«Київське метало фурнітурне
підприємство «Текстемп» - один з основних виробників фурнітури для взуття,
шкіргалантерейних і швейних виробів. Головне підприємство знаходиться у
Дарницькому районі м.Києва.
Насьогодні підприємством
виготовляється широкий асортимент метало фурнітури: кнопки для одягу,
біжутерія, фурнітура для взуття, швейна фурнітура тощо.
Підприємство поставляє свою
продукцію по Україні, Росії, Казахстані тощо.
Автотранспортне підприємство
Компанія «Della» успішно працює на
ринку вантажних автоперевезень 15 років. Широкий парк автомобілів, досвід
роботи на ринку внутрішніх та міжнародних автомобільних перевезень дозволяє
компанії швидко та якісно перевозити різні види вантажів.
АТП знаходиться у м. Києві за
адресою вул. Павла Устенко,8.
Вантажоодержувачі
Вантажоодержувачами «Текстемп» є
мережа магазинів біжутерії та взуття «Accessorize».
«Accessorize» працює на українському
ринку 8 років і є одним з лідерів продажу біжутерії. Основним з постачальників
металофурнітури є Київське підприємство з виготовлення біжутерії, фурнітури для
взуття «Текстемп».
У прейскуранті «Accessorize»
представлено:
· Біжутерія
· Взуття
· Фурнітура для
взуття та сумок.
На координатну сітку (рис. 1)10х10,
наносимо у відповідності із завданням вантажовідправників, вантажоодержувачів і
АТП. По схемі з урахуванням коефіцієнта нелінійності kн = 1,3 визначаємо із
точністю до 0,1 км відстані між вантажовідправниками і вантажоодержувачами.
Обсяги перевезень вантажів від
вантажовідправників конкретним вантажоодержувачам
Табл.2.1
|
Вантажоодержувач
|
Відстань перевезень, км
|
Обсяг перевезень,т
|
Вантажообіг, ткм
|
|
P1- Майдан Незалежності 1, ТРЦ «Глобус»
|
12,4
|
0,8
|
9,92
|
|
Р2- вул. Лугова 12, ТРЦ «Караван»
|
4,6
|
1,15
|
5,29
|
|
Р3-вул. Велика Васильківська 72, ТРЦ «Олімпійський»
|
11,4
|
0,75
|
8,55
|
|
Р4-вул. Олександра Міщуги 4, ТЦ «Піраміда»
|
4,6
|
0,45
|
2,07
|
|
Р5-просп. Мира 1, ТЦ «Дарниця»
|
9,8
|
1
|
9,8
|
|
Р6-просп.Генерала Ватугіна 2, ТРЦ «Sky Mall»
|
11,1
|
0,7
|
7,77
|
|
Р7-вул. Овручська 18
|
17,7
|
0,65
|
11,51
|
|
Р8-бульв. Перова 36, ТЦ «Квадрат»
|
2,9
|
0,65
|
1,89
|
|
Р9-просп.Московський 21, ТЦ «Плазма»
|
16,3
|
0,65
|
10,595
|
|
Р10-просп. Марини Роскової 2а, ТЦ «Лівобережний»
|
15
|
0,6
|
9
|
|
Р11-просп. Оболонський 1б
|
11,2
|
0,7
|
7,84
|
|
Р12-вул. Довженка 1, ТЦ «Точка»
|
16,6
|
0,7
|
11,62
|
3. Вибір рухомого складу
Правилами перевезень визначається,
що металева фурнітура перевозиться в коробках чи ящиках автомобілями-фургонами
або автомобілями з бортовою платформою.
.1 Типаж і ефективність АТЗ
Обираючи рухомий склад, необхідно
враховувати такі фактори:
а) відповідність рухомого складу
роду вантажу, що перевозиться, його упаковці, розміру партій вантажу і відстані
перевезень;
б) дорожні умови роботи рухомого
складу і відповідність його динамічних і конструкційних якостей умовам руху;
в) можливість застосування
спеціалізованого рухомого складу для перевезень вантажів, які потребують
спеціальних умов з метою забезпечення їх зберігання і товарного вигляду;
г) тип і потужність
навантажувально-розвантажувальних механізмів і їх відповідність
вантажопідйомності рухомого складу.
д) продуктивність рухомого складу
при роботі у заданих умовах;
е) собівартість транспортної роботи
різних типів рухомого складу, загальну вартість транспортування 1 т вантажу.
.2 Вибір автомобіля оптимальної
вантажопідйомності
Для перевезень вантажів на розвізних
маршрутах слід обирати автомобіль такої вантажопідйомності, за якої транспортна
робота виконуватиметься з мінімальними витратами. Для цього із запропонованого
в підрозділі 3.1 ряду автомобілів різної вантажопідйомності необхідно обирати
автомобіль, який найповніше відповідає конкретним умовам перевезень.
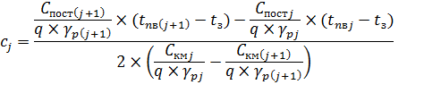
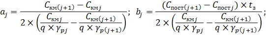
Сфера доцільного застосування
автомобіля заданої вантажопідйомності qj порівняно із автомобілем більшої
вантажопідйомності qj+1 можна встановити через рівноцінну середню відстань
доставки вантажу lip, за якої собівартості перевезень порівнюваних автомобілів
однакові. При цьому на розвізних маршрутах із одночасним розвозом і збором
вантажу автомобілі більшої вантажопідйомності доцільно застосовувати, якщо:



- середній розмір
завезеної партії вантажу, т.
де 
,
- вантажопідйомності
відповідно першого та другого порівнюваних автомобілів на 1 кілометр пробігу,
грн./км;

загальні витрати
відповідно першого та другого порівнюваних автомобілів на 1 кілометр пробігу,
грн./км;

постійні витрати
відповідно першого та другого порівнюваних автомобілів, грн./год;

- додатковий час на
заїзд у кожний проміжний пункт маршруту, год;

час простою відповідно
першого та другого порівнюваних автомобілів під операціями
навантаження-вивантаження вантажу, год.
Час простою автомобіля
під операціями навантаження-вивантаження вантажу визначається за виразом:
де 
- норма часу простою
автомобіля під навантаженням-розвантаженням 1 тонни вантажу, що визначається за
допомогою довідника;

- коефіцієнт супутнього
збору;

- час на виконання
підготовчо-заключних операцій.
Середню відстань пробігу
автомобіля між суміжними пунктами завозу вантажу l(і-1)-і знаходиться із
використанням найкоротшої зв’язуючої мережі (НЗМ). При цьому значення l(і-1)-і
визначають як середню довжину ланки без урахування ланок, що з’єднуються із
вантажовідправником.
Методика НЗМ:
. Визначаємо відстань
між пунктами і складаємо матрицю відстаней.
. Визначаємо найкоротшу
зв’язуючу мережу.
Табл..3.1
|
Р1
|
Р2
|
Р3
|
Р4
|
Р5
|
Р6
|
Р7
|
Р8
|
Р9
|
Р10
|
Р11
|
Р12
|
ОБ
|
|
Р1
|
-
|
9,8
|
2,9
|
5,7
|
4,3
|
18,1
|
8,3
|
11,4
|
9
|
10
|
12,4
|
15,6
|
12,4
|
|
Р2
|
9,8
|
-
|
8,1
|
2,9
|
8,7
|
13,8
|
16,6
|
5,9
|
13,3
|
15,2
|
13,3
|
18,3
|
4,6
|
|
Р3
|
2,9
|
8,1
|
-
|
7,2
|
5,9
|
18,3
|
11,1
|
11,1
|
11,4
|
12,4
|
13,9
|
17,7
|
11,4
|
|
Р4
|
5,7
|
2,9
|
7,2
|
-
|
6,1
|
12,4
|
10,7
|
4,6
|
13,3
|
12,4
|
10,7
|
15,9
|
4,6
|
|
Р5
|
4,3
|
8,7
|
5,9
|
6,1
|
-
|
13,3
|
8,1
|
8,1
|
6,6
|
7
|
8,1
|
12
|
9,8
|
|
Р6
|
18,1
|
13,8
|
18,3
|
12,4
|
13,3
|
-
|
19,2
|
8,1
|
6,6
|
7
|
8,1
|
12
|
9,8
|
|
Р7
|
8,3
|
16,6
|
11,1
|
10,7
|
8,1
|
19,2
|
-
|
15,6
|
2,9
|
5,5
|
11,4
|
11,4
|
17,7
|
|
Р8
|
11,4
|
5,9
|
11,1
|
4,6
|
8,1
|
8,1
|
15,6
|
-
|
13,8
|
13,9
|
8,5
|
13,3
|
2,9
|
|
Р9
|
9
|
13,3
|
11,4
|
13,3
|
6,6
|
16,6
|
2,9
|
13,8
|
-
|
2,9
|
8,1
|
8,7
|
16,3
|
|
Р10
|
10
|
15,2
|
12,4
|
12,4
|
7
|
14,3
|
5,5
|
13,9
|
2,9
|
-
|
5,5
|
6,2
|
15
|
|
Р11
|
12,4
|
13,3
|
13,9
|
10,7
|
8,1
|
8,2
|
11,4
|
8,5
|
8,1
|
5,5
|
-
|
5,6
|
11,2
|
|
Р12
|
15,6
|
18,3
|
17,7
|
15,9
|
12
|
12
|
11,4
|
13,3
|
8,7
|
6,2
|
5,6
|
-
|
16,6
|
|
ОБ
|
12,4
|
4,6
|
11,4
|
4,6
|
9,8
|
11,1
|
17,7
|
2,9
|
15
|
11,2
|
16,6
|
-
|
|
I
|
2
|
3
|
4
|
5
|
6
|
7
|
8
|
9
|
10
|
11
|
12
|
ОБ
|
|
9,8
|
2,9
|
5,7
|
4,3
|
18,1
|
8,3
|
11,4
|
9
|
10
|
12,4
|
15,6
|
12,4
|
|
(1)
|
(1)
|
(1)
|
(1)
|
(1)
|
(1)
|
(1)
|
(1)
|
(1)
|
(1)
|
(1)
|
(1)
|
|
II
|
8,1
|
|
5,7
|
4,3
|
18,1
|
8,3
|
11,1
|
9
|
10
|
12,4
|
15,6
|
11,4
|
|
(3)
|
|
(1)
|
(1)
|
(1)
|
(1)
|
(3)
|
(1)
|
(1)
|
(1)
|
(1)
|
(3)
|
|
III
|
8,1
|
|
5,7
|
|
13,3
|
8,1
|
8,1
|
6,6
|
7
|
8,1
|
12
|
9,8
|
|
(3)
|
|
(1)
|
|
(5)
|
(5)
|
(5)
|
(5)
|
(5)
|
(5)
|
(5)
|
(5)
|
|
IV
|
|
|
5,7
|
|
12,4
|
8,1
|
4,6
|
6,6
|
7
|
8,1
|
12
|
4,6
|
|
|
|
(1)
|
|
(4)
|
(5)
|
(5)
|
(5)
|
(5)
|
(5)
|
(5)
|
(4)
|
|
V
|
|
|
|
|
12,4
|
8,1
|
4,6
|
6,6
|
7
|
8,1
|
12
|
4,6
|
|
|
|
|
|
(4)
|
(5)
|
(4)
|
(5)
|
(5)
|
(5)
|
(5)
|
(2)
|
|
VI
|
|
|
|
|
8,1
|
8,1
|
|
6,6
|
7
|
8,1
|
12
|
2,9
|
|
|
|
|
|
(8)
|
(5)
|
|
(5)
|
(5)
|
(5)
|
(5)
|
(8)
|
|
VII
|
|
|
|
|
8,1
|
8,1
|
|
6,6
|
7
|
8,1
|
12
|
|
|
|
|
|
|
(8)
|
(5)
|
|
(5)
|
(5)
|
(5)
|
(5)
|
|
|
VIII
|
|
|
|
|
8,1
|
2,9
|
|
|
2,9
|
8,1
|
8,7
|
|
|
|
|
|
|
(8)
|
(9)
|
|
|
(9)
|
(9)
|
(9)
|
|
|
IX
|
|
|
|
|
8,1
|
|
|
|
2,9
|
8,1
|
8,7
|
|
|
|
|
|
|
(8)
|
|
|
|
(9)
|
(9)
|
(9)
|
|
|
X
|
|
|
|
|
8,1
|
|
|
|
|
5,5
|
6,2
|
|
|
|
|
|
|
(8)
|
|
|
|
|
(10)
|
(10)
|
|
|
XI
|
|
|
|
|
8,1
|
|
|
|
|
|
5,6
|
|
|
|
|
|
|
(8)
|
|
|
|
|
|
(11)
|
|
|
XII
|
|
|
|
|
8,1
|
|
|
|
|
|
|
|
|
|
|
|
|
(8)
|
|
|
|
|
|
|
|
|
|
|
|
|
|
|
|
|
|
|
|
|
|
|
|
|
|
|
|
|
|
|
|
|
|
За виконаними розрахунками визначимо
ланки НЗМ та представимо їх у таблиці
Табл.3.2 Таблиця ланок найкоротшої
зв’язуючої мережі
|
№ п/п
|
Ланка НЗМ
|
Відстань, км
|
|
1
|
Р1-Р3
|
2,9
|
|
2
|
Р1-Р5
|
4,3
|
|
3
|
Р1-Р4
|
5,7
|
|
4
|
Р4-Р2
|
2,9
|
|
5
|
Р4-Р8
|
4,6
|
|
6
|
Р8-ОБ
|
2,9
|
|
7
|
Р5-Р9
|
6,6
|
|
8
|
Р9-Р7
|
2,9
|
|
9
|
Р9-Р10
|
2,9
|
|
10
|
Р10-Р11
|
5,5
|
|
11
|
Р11-Р12
|
5,6
|
|
12
|
Р8-Р6
|
8,1
|
Розрахуємо середню відстань між
суміжними пунктами завозу, не враховуючи ланки які сполучаються з А:
Середня відстань доставки вантажів
дорівнює:
Для порівняння обираємо 3 автомобіля
різної вантажопідйомності: ГАЗ 3308 (q=1,75), ISUZU 41484 ЕО (q=3.75), КАМАЗ
4308 (q=5.8).
Табл.3.3 Технічні характеристики
порівнюваних автомобілів
|
Показники
|
Модель автомобіля
|
|
ГАЗ 3308
|
ISUZU 41484
|
КАМАЗ 4308
|
|
Вантажопідйомність q, т
|
1,75
|
3,75
|
5,8
|
|
Коефіцієнт використання вантажопідйомності при розвозі, γр
|
0,86
|
0,86
|
0,86
|
|
Коефіцієнт супутнього збору kc
|
0,15
|
0,15
|
0,15
|
|
Технічна швидкість Vт, км/год
|
25
|
25
|
25
|
|
Додатковий час на заїзди в кожний проміжний пункт, tз,
год
|
0,15
|
0,15
|
0,15
|
|
Витрати часу на виконання підготовчо-заключних операцій, tпз,
год
|
0,15
|
0,15
|
0,15
|
|
Постійні витрати, грн./км
|
1,4008
|
1,705
|
1,596
|
|
Змінні витрати, грн./год
|
0,07545
|
0,078095
|
0,1347696
|
|
Покілометрові витрати, грн/год
|
0,1315
|
0,1463
|
0,1986
|
|
Середній розмір завезеної партії вантажу,  , т0,730,730,73
|
|
|
|
|
Середня відстань доставки вантажу,  , км11,1311,1311,13
|
|
|
|
|
Середня відстань між суміжними пунктами  , км4,994,994,99
|
|
|
|
Розраховуємо розрахункові
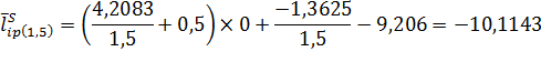
коефіцієнти для першої пари автомобілів ГАЗ 3308 та ISUZU 41484ЕО.


год

год
Витрати на 1 км пробігу
для кожної марки автомобіля становлять, грн./км:
перевезення металева
фурнітура автомобіль
Розрахунок 
:
Отже більш ефективним
для експлуатації виявився автомобіль більшої вантажопідйомності (
) - ISUZU 41484
(q=3.75т).
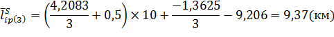
Розраховуємо
розрахункові коефіцієнти для другої пари автомобілів ISUZU 41484ЕО та КАМАЗ
4308.

год

год
Витрати на 1 км пробігу
для кожної марки автомобіля становлять, грн./км:
Розрахунок 
:
Отже, обираємо
автомобіль меншої вантажопідйомності: ISUZU 41484ЕО, так як умова 
Після проведених
розрахунків можна стверджувати, що для даних умов перевезень автомобіль ISUZU
41484ЕО є найбільш ефективним.
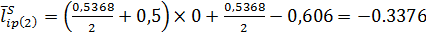
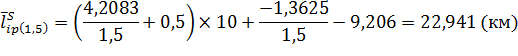
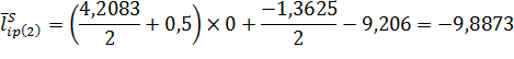
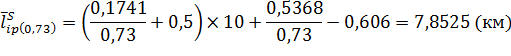
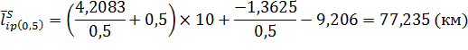
Для графічного
відображення розраховуємо наступні координати для автомобілів мінімальної і
середньої вантажопідйомностей:

(км)

(км)

(км)

(км)

(км)

(км)

(км)
Графік зображено на
додатку 1.
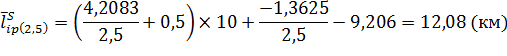
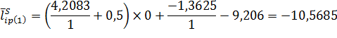
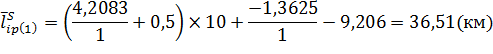
Для автомобілів
середньої та максимальної вантажопідйомностей:

(км)

(км)

Номограми зображено у
додатку
.3 Технічна
характеристика обраного автомобіля ISUZU 41484EO
Вантажопід’ємність, кг..............
3750
Власна маса, кг.....................
2600
В т.ч. на передню
вісь................2200
на задню вісь................4250
Повна маса,
кг......................7800
Габарити, мм.......................
5000х2227х2000.
Кут відкривання дверей,
град..........180
4. Маршрутизація перевезень
.1 Вибір маршрутів руху автомобілів
Задача визначення раціонального
маршруту завезення вантажів ґрунтується на класичній математичній задачі
визначення кільцевого маршруту, що проходить через кілька пунктів, за умови, що
кожний пункт відвідується лише раз і кінцевий пункт співпадає із початковим.
Оптимальним називають маршрут, на якому залежно від поставленої мети
досягаються мінімальні затрати часу на доставку вантажу.
Вибір розвізних маршрутів виконують
з використанням НЗМ.
Доцільність вибору одного з двох
варіантів розвізних маршрутів визначають за сумарними пробігами автомобілів.
Послідовність об’їзду пунктів завозу, зазначених у маршрутах, перевіряємо
методом підсумовування по стовпцях.
З використанням НЗМ вибираємо 2
варіанти маршрутної мережі і пропонуємо найкращий з них.
Варіант 1
|
№ п/п
|
Маршрут
|
Обсяг, т
|
Відстань,км
|
|
1
|
ОБ-Р2-Р3-Р1-Р4-ОБ
|
3,15
|
25,9
|
|
2
|
ОБ-Р8-Р5-Р7-Р9-ОБ
|
2,95
|
38,3
|
|
3
|
ОБ-Р10-Р11-Р12-Р6-ОБ
|
2,7
|
49,2
|
|
|
8,8
|
113,4
|
Варіант 2
|
№ п/пМаршрутОбсяг, тВідстань,км
|
|
|
|
|
1
|
ОБ-Р2-Р4-Р8-Р6-ОБ
|
2,95
|
31,3
|
|
2
|
ОБ-Р3-Р1-Р5-Р7-ОБ
|
3,2
|
38,3
|
|
3
|
ОБ-Р10-Р11-Р12-Р6-ОБ
|
2,7
|
49,2
|
|
|
8,8
|
122,6
|
Обираємо перший варіант маршруту,
так як відстань є меншою.
Послідовність об’їзду пунктів завозу
на маршрутах перевіряємо методом підсумування по стовпцях.
Для маршруту ОБ-Р2-Р3-Р1-Р4-ОБ
|
ОБ
|
Р2
|
Р3
|
Р1
|
Р4
|
|
ОБ
|
-
|
4,6
|
11,4
|
12,4
|
4,6
|
|
Р2
|
4,6
|
-
|
8,1
|
9,8
|
2,9
|
|
Р3
|
11,4
|
8,1
|
-
|
2,9
|
7,2
|
|
Р1
|
12,4
|
9,8
|
2,9
|
-
|
5,7
|
|
Р4
|
4,6
|
2,9
|
7,2
|
5,7
|
-
|
|
|
33
|
25,4
|
29,6
|
30,8
|
20,4
|
Обираємо 3 пункти з найбільшою
сумою: ОБ, Р1, Р3.
ОБ-Р2-Р1-Р3-ОБ


ОБ-Р1-Р3-Р2-ОБ
Уточнений: ОБ-Р4-Р1-Р3-Р2-ОБ

25,9 км
Для маршруту ОБ-Р8-Р5-Р7-Р9-ОБ
|
ОБР8Р5Р7Р9
|
|
|
|
|
|
|
ОБ
|
-
|
2,9
|
9,8
|
17,7
|
16,3
|
|
Р8
|
2,9
|
-
|
8,1
|
15,6
|
13,8
|
|
Р5
|
9,8
|
8,1
|
-
|
8,1
|
6,6
|
|
Р7
|
17,7
|
15,6
|
8,1
|
-
|
2,9
|
|
Р9
|
16,3
|
13,8
|
6,6
|
2,9
|
-
|
|
|
46,7
|
40,4
|
24,6
|
47,2
|
39,6
|
Обираємо 3 пункти з найбільшою сумою
Р7, ОБ, Р8
Р7-ОБ-Р8- Р7
Р7-ОБ-Р8-Р9-Р7
Уточнений: ОБ-Р8-Р9-Р7-Р5-ОБ
Для маршруту ОБ-Р10-Р11-Р12-Р6-ОБ
|
ОБР10Р11Р12Р6
|
|
|
|
|
|
|
ОБ
|
-
|
15
|
11,2
|
16,6
|
11,1
|
|
Р10
|
15
|
-
|
5,5
|
6,2
|
14,3
|
|
Р11
|
11,2
|
5,5
|
-
|
5,6
|
8,2
|
|
Р12
|
16,6
|
6,2
|
5,6
|
-
|
12
|
|
Р6
|
11,1
|
14,3
|
8,2
|
12
|
-
|
|
|
53,9
|
41
|
30,5
|
40,4
|
45,6
|
Обираємо 3 пункти з найбільшою
сумою: ОБ, Р6, Р10
ОБ-Р6-Р10-ОБ
ОБ-Р6-Р12-Р10-ОБ
Уточнений: ОБ-Р6-Р12-Р10-Р11-ОБ
Уточнення порядку об’їзду пунктів на
розвізних маршрутах
|
№п/п
|
Маршрути отримані за НЗМ
|
|
|
Уточнені маршрути
|
|
|
|
1
|
ОБ-Р2-Р3-Р1-Р4-ОБ
|
3,15
|
25,9
|
ОБ-Р4-Р1-Р3-Р2-ОБ
|
3,15
|
25,9
|
|
2
|
ОБ-Р8-Р5-Р7-Р9-ОБ
|
2,95
|
38,3
|
ОБ-Р8-Р9-Р7-Р7-ОБ
|
2,95
|
37,5
|
|
3
|
ОБ-Р10-Р11-Р12-Р6-ОБ
|
2,7
|
49,2
|
ОБ-Р6-Р12-Р10-Р11-ОБ
|
2,7
|
46
|
|
Всього
|
8,8
|
113,4
|
|
8,8
|
109,4
|
.2 Експлуатаційні показники
використання рухомого складу
Для дрібнопартіонних перевезень
значення експлуатаційних показників по кожному маршруту визначають у такій
послідовності.
1. Середній
розмір партії вантажу,що завозиться,т:

2. Середній
коефіцієнт використання вантажопідйомності на розвізному маршруті:

3. Середня
відстань доставки вантажів,км:

4. Середня
відстань між суміжними пунктами завозу вантажу на маршруті, км:
5. Середня
довжина маршруту, км:

6. Час однієї
їздки автомобіля,год:
7. Кількість
їздок за добу:

8. Тривалість
роботи автомобіля,год:
9. Добова
продуктивність автомобіля, т та ткм:
Рдоб = qγр(1+ kз) nї доб
= Рдоб · lі
10. На маршруті
працює один автомобіль: Ае=1
Автомобіле - години в експлуатації:
AГе = Ае · Tн
11. Загальний
пробіг автомобіля,км:
заг = lм· nї + lн
12. Фактичний
обсяг перевезень, т:
а) вантажу Рфв = qγр nї
б) тари Рфт
= Рфв · k3
. Фактичний вантажообіг:
а) вантажу Wфв
= Рфв· li
б) тари Wфт
= Рфт · li
На маршруті ОБ-Р4-Р1-Р3-Р2-ОБ:
1. Середній
розмір партії вантажу,що завозиться,т:

2. Середній
коефіцієнт використання вантажопідйомності на розвізному маршруті:

3. Середня
відстань доставки вантажів,км:

4. Середня
відстань між суміжними пунктами завозу вантажу на маршруті, км:
5. Середня
довжина маршруту, км:

6. Час однієї
їздки автомобіля,год:
7. Кількість
їздок за добу:

8. Тривалість
роботи автомобіля,год:
9. Добова
продуктивність автомобіля, т та ткм:
Рдоб = 3,75
0,84(1+ 0,15)
4=14,49 т/добудоб
= 14,49*6,475=93,823 ткм/добу
10. На маршруті
працює один автомобіль: Ае=1
11. Автомобіле -
години в експлуатації:
Ге =1*11,9=11,9
12. Загальний
пробіг автомобіля,км:
заг = 29,66· 4 + 40,3=158,94 км/добу
13. Фактичний
обсяг перевезень, т:
а) вантажу Рфв
=3,75*0,84*4=12,6 т
б) тари Рфт
= 12,9*0,15=1,89 т
. Фактичний вантажообіг:
а) вантажу Wфв
= 12,6* 6,475=81,585ткм
б) тари Wфт
= 1,89*0,15=0,2835 ткм
На маршруті ОБ-Р8-Р9-Р7-Р5-ОБ:
1. 
. 
. 
. 
. 
. 
. 
. 
. 
. 
. AГе = 10,552
. 
. 
. 
. 
. 
На маршруті ОБ-Р10-Р4-Р12-Р6-ОБ:
1. 
2. 
3. 
4. 
5. 
6. 
7. 
8. 
9. 
10. 
17. Aе = 1
11. AГе=10,702
12. 
13. 
14. 
15. 
16. 
км
За проектом:
1. 
. 
. 
. 
. 
. 
. 
. 

. 
. 
. 
. 
. 
. 
Результати розрахунків занесено у
таблицю 4.1.
Табл.4.1
|
Показник
|
Маршрут
|
За проектом
|
|
І
|
ІІ
|
ІІІ
|
|
|
|
|
2,98
|
3,03
|
|
|
|
4
|
3
|
3
|
|
|
|
11,9
|
10,552
|
10,702
|
|
|
|
14,49
|
10,22
|
9,315
|
|
|
|
93,823
|
95,82
|
107,12
|
|
|
|
1
|
1
|
1
|
|
|
|
11,9
|
10,552
|
10,702
|
|
|
|
158,94
|
170,98
|
178,6
|
|
|
|
12,6
|
8,8875
|
8,1
|
|
|
|
1,89
|
1,333
|
1,215
|
|
|
|
81,585
|
83,32
|
93,15
|
|
|
|
0,2835
|
0,2
|
0,18
|
|
|
|
|
43,56
|
46,1
|
|
|
|
|
0,79
|
0,72
|
|
|
|
|
0,7375
|
0,675
|
|
|
|
|
|
|
|
Висновок
У даній курсовій роботі було
розглянуто удосконалення транспортно-технологічного процесу перевезення
металевої фурнітури, основні техніко-експлуатаційні показники роботи автомобіля
на розвізних маршрутах.
Серед запропонованих, на основі
номограм, обрано автомобіль ISUZU 41484ЕО вантажопідйомністю 3,75т.
За допомогою методики визначення
найкоротшої зв’язуючої мережі та методу підсумування по стовпчиках обрано
розвізний маршрут для перевезення, який є найоптимальніший серед запропонованих
і розраховано такі показники як час однієї їздки автомобіля, кількість їздок за
добу, тривалість роботи автомобіля, добова продуктивність автомобіля,
автомобіле-години в експлуатації, загальний пробіг автомобіля, фактичний обсяг
перевезень вантажу та тари, а також фактичний вантажообіг вантажу та тари.
Графічна частина
Рис.1. Номограма для вибору
автомобілів ГАЗ 3308 та ISUZU 41484
Рис.1. Номограма для вибору
автомобілів ISUZU 41484 та КАМАЗ 4308
Список використаної літератури
1. Правила перевезень вантажів автомобільним транспортом в
Україні. -К.: - 2001.
2. Прейскурант № 13-01-02. Тарифы на перевозку грузов и
другие услуги, выполняемые автомобильным транспортом. -К.: Госкомцен УССР,
1989, - 55с.
. Краткий автомобильный справочник, - 10-е изд., перераб. и
доп. - М.: Транспорт, 1983. - 220с.
. Справочник инженера-экономиста автомобильного транспорта
/Под общей ред. С.Л. Голованенко. - М.: Транспорт, 1984. - 320 с.
. Воркут А.И. Грузовые автомобильные перевозки. - 2-е изд.,
перераб. и доп. - К.: Вища шк., 1986. - 447 с.
6. Методичні вказівки до виконання курсового проекту з
дисципліни “Основи теорії транспортних процесів і систем” для студентів
спеціальностей: “Організація перевезень і управління на автомобільному
транспорті”, “Транспортні системи вантажних перевезень і логістичне
управління”, “Організація міжнародних перевезень” денної та заочної форм
навчання. / Укл. А.В. Петрик, С.В. Ширяєва. - К.: НТУ, 2005. - 29 с.