Компрессионная холодильная машина
МИНИСТЕРСТВО
ОБРАЗОВАНИЯ РЕСПУБЛИКИ БЕЛАРУСЬ
ПОЛОЦКИЙ
ГОСУДАРСТВЕННЫЙ УНИВЕРСИТЕТ
КАФЕДРА
ХИМИЧЕСКОЙ ТЕХНИКИ
КУРСОВОЙ
ПРОЕКТ
ПО ПРОЦЕССАМ
И АППАРАТАМ ХИМИЧЕСКОЙ ТЕХНОЛОГИИ
НА ТЕМУ: «
КОМПРЕССИОННАЯ ХОЛОДИЛЬНАЯ МАШИНА»
НОВОПОЛОЦК
2012
Содержание
Введение
. Выбор температурного режима
. Построение рабочего и
стандартного холодильных циклов и определение параметров узловых точек
.1 Расчет промежуточного
давления и определение температуры паров на выходе из промежуточного сосуда
.2 Расчет рабочего холодильного
цикла
.3 Расчет стандартного
холодильного цикла
. Определение удельной
массовой холодопроизводительности, удельной работы адиабатического сжатия,
удельной теплоты конденсации хладагента
. Расчет расходов
циркулирующих хладагентов в I
и II ступенях сжатия
. Расчет и подбор
компрессоров
. Подбор и расчет испарителя
. Расчет и подбор
конденсатора
. Расчет насоса для подачи
рассола
. Расчет штуцеров
Заключение
Список использованной литературы
Введение
Холодильная установка представляет собой
комплекс машин и аппаратов, используемых для получения и стабилизации в
охлаждаемых объектах температур ниже, чем в окружающей среде. Установка состоит
их одной или нескольких холодильных машин, оборудования для отвода тепла, в
окружающую среду, системы распределения и использования холода.
В зависимости от тепловой нагрузки на
холодильную установку, разнообразия объектов охлаждения, типа холодильных машин
и вида потребляемой энергии применяют либо центральную, либо локальную систему
хладоснабжения. Централизованная система предполагает использование единого
комплекса машин и аппаратов для выработки холода различных параметров и его
распределения. Система может включать отдельные агрегатированные холодильные
машины или представлять комбинацию холодильного оборудования, имеющего общие
или взаимозаменяемые элементы (например, блок конденсаторов, ресиверы,
коммуникации рабочего тела холодильной машины). Как правило, при проектировании
централизованной холодильной установки применяют систему охлаждения технологических
объектов промежуточным теплоносителем. Такой вариант хладоснабжения
предполагает некоторое увеличение энергозатрат (по сравнению с непосредственным
охлаждением потребителей холода рабочим телом холодильной машины), однако
позволяет упростить технологическую схему, обеспечивает удобство монтажа и
обслуживания оборудования, безопасность и надежность его эксплуатации.
В холодильных установках, применяемых в
промышленности, используют почти все типы холодильных машин, но наибольшее
распространение получили паровые компрессионные и абсорбционные.
В данном курсовом проекте необходимо определить
действительную мощность компрессора холодильной парокомпрессионной машины с
сухим циклом, холодильный коэффициент и расход воды в конденсаторе.
Начальную и конечную температуры воды принять
самостоятельно. Охлаждается рассол СаCl2
с концентрацией 29,4 %. Начальную температуру рассола на входе в испаритель
принять на 10 °С выше конечной. Конечная температура рассола
принимается на 3 - 5 ° С выше температуры испарения
хладагента.
Холодопроизводительность Q0
=
380 кВт, температура испарения
t0
= - 20 oC,
конденсации tк
= +40 оС, переохлаждения tп
= +35 оС.
.
Выбор температурного режима
Режим работы холодильной машины определяется
прежде всего внешними условиями: параметрами окружающей среды, температурой
охлаждаемого объекта и стабильностью тепловой нагрузки во времени.
Отличительной особенностью холодильных машин является сильная зависимость
режима работы от параметров окружающей среды: температуры и влажности атмосферного
воздуха. В связи с эти следует различать расчётный и эксплуатационные режимы
работы холодильной установки. Расчётный режим определяется условиями самого
жаркого месяца для данной местности (июля) и используется для подбора
холодильного оборудования. Эксплуатационные режимы зависят от времени года и
служат для расчёта фактических энергетических затрат на производство холода.
Найдём начальную и конечную температуры воздуха
необходимые для определения температуры конденсации фреона-22.
Расчетную температуру атмосферного воздуха
находят по среднемесячной температуре июля с учетом влияния максимальных
температур в данной местности [2, с. 355]:
,
где
°С - среднемесячная температура
воздуха в 13 ч самого жаркого месяца; [17, с. 346]
°С - максимальная температура
воздуха для города Полоцка.[17, с. 346]
Температура воды, охлаждённой в
градирне и подаваемой в конденсатор холодильной машины:
[2, с. 355]
где
- температура наружного воздуха по
мокрому термометру;
- температура охлаждения воды в
вентилляторных градирнях (обычно в пределах 3,5-5 °С ).
- коэффициент эффективности
водоохлаждающего устройства ( для вентилляторных градирен 0,75 - 0,85).
Конечная температура воды выше
начальной на 5-10°С:
2.
Построение рабочего и стандартного холодильных циклов и определение параметров
узловых точек
Расчет цикла холодильной машины заключается в
определении параметров рабочего тела в узловых точках и исходных данных для
проектирования или подбора оборудования.
Температуры кипения и конденсации являются
основными внутренними параметрами, определяющими схему и режим работы паровой
компрессионной холодильной машины.
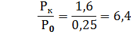
.1 Расчет промежуточного давления и определение
температуры паров на выходе из промежуточного сосуда
По диаграмме p
- i находим давление
паров фреона-22 в испарителе и конденсаторе при температурах испарения и
конденсации соответственно:
Р0=0,25 МПа ( при t0
= -20˚С );
Рк=1,6 МПа ( при tк
= 40˚С );
Так как 
, то назначаем двухступенчатую
холодильную машину.
Расчётное промежуточное давление
рассчитывается как среднее геометрическое от Р0 и Рк по
формуле:
Далее по диаграмме p - i определяем
при Рпр=0,632 МПа температуру паров на выходе из промежуточного
сосуда tпр= 7˚С.
2.2 Расчет рабочего холодильного
цикла
Пары хладагента сжимаются в
компрессоре I-ой ступени
до промежуточного давления Рпр и поступают в промежуточный сосуд. В
этом сосуде, барботируя через слой жидкого хладагента, пары охлаждаются до
температуры tпр,
соответствующей насыщению при давлении Рпр. Охлаждение паров
достигается за счёт испарения некоторого количества жидкого хладагента в
промежуточном сосуде. Из сосуда пары засасываются в компрессор II-ой ступени,
где сжимаются до давления конденсации Рк, но температура на входе в
компрессор II-ой ступени
будет на 5˚С выше чем температура tпр из-за
нагрева трубопроводе.
Далее пары поступают в конденсатор,
где они конденсируются. Жидкость проходя через первый регулирующий вентиль,
дросселируется до давления Рпр и поступает в промежуточный сосуд.
Часть хладагента в сосуде, как указывалось раньше, испаряется и поступает в
компрессор II-ой ступени;
остальная часть хладагента дросселируется, проходя через второй регулирующий
вентиль, до давления Р0 и поступает в испаритель, из которого пары
засасываются в компрессор I-ой ступени. Температура на входе в
компрессор I-ой ступени
будет на 5˚С выше чем температура t0.
На основе принятых и рассчитанных
величин строим холодильный цикл и по нему определяем параметры узловых точек,
которые представлены в таблице 1.
Таблица 1
|
Параметры
|
Точки
цикла
|
|
1
|
2
|
3
|
4
|
5
|
6
|
7
|
8
|
9
|
10
|
|
Р,
Мпа
|
0,25
|
6,32
|
6,32
|
1,6
|
1,6
|
1,6
|
1,6
|
6,32
|
6,32
|
0,25
|
|
t, 0С
|
-20
|
+25
|
+7
|
+54
|
+40
|
+40
|
+35
|
+7
|
+7
|
-20
|
|
i, кДж/кг
|
395
|
421
|
409
|
429
|
418
|
250
|
241
|
241
|
208
|
208
|
|
v, м3/кг
|
0,095
|
0,042
|
0,039
|
0,017
|
0,015
|
-
|
-
|
0,0080
|
-
|
0,016
|
Ниже на рисунке 1 представлена схема цикла с
обозначением узловых точек.
Рисунок 1. Схема двухступенчатого холодильного
цикла.
Описание линий на диаграмме:
- 2 адиабатическое сжатие I-ой
ступени ( S=const
);
- 3 охлаждение паров в промежуточной ёмкости ( Pпр.=const
);
- 4 адиабатическое сжатие II-ой
ступени ( S=const
);
- 5 охлаждение перегретых паров до температуры
насыщения (Pк=const);
- 6 конденсация ( Рк=const,
tк=const
);
-7 переохлаждение;
- 8 дросселирование;
- 9 , 8- 3 разделение на жидкую и паровую фазу в
промежуточном сосуде соответственно ( Pпр=const
);
- 10 дросселирование ( i8=const
);
- 1 испарение (Р0=const,
t0=const
);
2.3 Расчет стандартного холодильного цикла
Для фреона-22 строим цикл при стандартных
условиях:
температура испарения tи=
-150С;
конденсации tк=
+300С;
переохлаждения tп=
+250С.
Данные заносим в таблицу 2.
Таблица 2
|
Параметры
|
Точки
цикла
|
|
1
|
2
|
3
|
4
|
5
|
6
|
|
Р,
Мпа
|
0,3
|
1,3
|
1,3
|
1,3
|
1,3
|
0,3
|
|
t, 0С
|
-15
|
+55
|
+30
|
+30
|
+25
|
-15
|
|
i, кДж/кг
|
400
|
435
|
415
|
238
|
230
|
230
|
|
v, м3/кг
|
0,078
|
0,023
|
0,020
|
-
|
-
|
0,019
|
.
Определение удельной массовой холодопроизводительности, удельной работы
адиабатического сжатия, удельной теплоты конденсации хладагента
Расчет проведём на основании данных таблицы 1.
Рассчитаем удельную массовую
холодопроизводительность рабочего тела ( фреона-22 ):
.
Рассчитаем удельную работу
адиабатного сжатия:
I-ой ступени
;
II-ой ступени
.
Тогда холодильный коэффициент будет:
.
Удельная тепловая нагрузка на
конденсатор:
складывающаяся из:
- удельная теплота охлаждения
фреона-22;
- удельная теплота конденсации
фреона-22.
- удельная теплота переохлаждения
фреона-22.
компрессор холодильный фреон
конденсатор
.
Расчет расходов циркулирующих хладагентов в I
и II ступенях сжатия
Необходимо пересчитать стандартную
холодопроизводительность на холодопроизводительность при рабочих условиях. Для
этого по диаграмме и p
- i определяем для
стандартных условий необходимые параметры:
qст=
i1 - i6 =400 - 230 =170 кДж/кг;
Р0.ст=0,3 МПа;
Рк.ст=1,3 МПа;
Рк.ст/ Р0.ст=1,3/0,3=4,3.
Холодопроизводительность при рабочих условиях
рассчитывается по формуле:
где Qст -
стандартная холодопроизводительность, кВт;
л0 и лст -
коэффициенты подачи холодильных компрессоров для рабочих и стандартных условий,
соответственно, определены по графику [2] стр.358:
х0 и хст -
удельные объёмы определены по диаграмме p - i, м3/кг.
массовый
расход хладоагента в I-ой и II-ой ступени
определяется по формуле:
Gхл= GI+GII= 2,032 +
2,561 = 4,593 кг/с.
5.
Расчет и подбор компрессоров
Определим необходимую объёмную
производительность компрессоров по условиям всасывания по формуле:
Суммарный объём описываемый поршнями
в единицу времени определяется соотношением:
для I-ой ступени
Рпр/Р0=0,632/0,25=2,5 по графику [2] стр.358 определяем l=0,84;
для II-ой ступени
Рк/Рпр=1,6/0,632=2,5 по графику [2] стр.358 определяем l=0,84.
Тогда
Теоретическая мощность компрессора
на сжатие:
1) для первой ступени:
2) для второй ступени:
Индикаторный кпд определяем по графику [2,
с.358]:
) для первой ступени:
) для второй ступени:
Принимая механический кпд зм=0,8; кпд
передачи зпер=0,95; кпд двигателя компрессора здв=0,95.
[8, с. 36] Определим действительный расход энергии:
) для первой ступени:
) для второй ступени:
По полученным данным выбираем следующие
компрессора [11, с. 100].
Для первой ступени
компрессор подбираем по стандартной холодопроизводительности, действительному
расходу энергии; для второй ступени подбираем компрессор по
объему описываемым поршнем и действительному расходу энергии.
Таблица 3- характеристика компрессоров
|
типоразмер
|
Количество
цилиндров
|
Диаметр
цилиндра, мм
|
Ход
поршня, мм
|
Частота
вращения вала, с-1
|
объём описываемый поршнем, м3/с
|
Число
компрессоров на ступень
|
|
Для
I-ой ступени
|
|
ПБ100-2-2
|
8
|
76
|
76
|
25
|
0,068
|
4
|
|
Для
II-ой ступени
|
|
ПБ80-2
|
8
|
76
|
66
|
25
|
0,058
|
2
|
и
Дополнительно установим на каждую
ступень по одному компрессору, тогда общее число установленных компрессоров для
I-ой ступени
- 5, для II-ой ступени
- 3.
Для I-ой ступени:
Действительная объёмная
производительность одного компрессора ПБ100-2-2:
Массовая производительность одного
компрессора ПБ100-2-2 в расчётном режиме:
Теоретическая мощность потребляемая
компрессором:
Для II-ой ступени:
Действительная объёмная
производительность одного компрессора ПБ80-2:
Массовая производительность одного
компрессора в расчётном режиме:
Теоретическая мощность потребляемая
компрессором:
6.
Подбор и расчет испарителя
Охлаждения рассола CaCl2,
с концентрацией 29,4 % (масс.), осуществляется в кожухотрубчатом испарителе с
паровым пространством. В межтрубное пространство испарителя подаётся
холодильный агент - фреон -22. В трубное пространство, с температурой поступает
рассол.
Конечную температуру рассола на выходе из
испарителя принимаем на 50С выше температуры испарения хладагента:
Начальную температуру рассола на
входе в испаритель принимаем на 10˚С выше конечной:
Средний температурный напор в
испарителе находим по формуле:
Средняя температура рассола в
испарителе будет:
Теплофизические свойства водного раствора
хлористого кальция концентрацией 29,4 % (мас.) при
представлены
в таблице 4. [5]
Таблица 4. Теплофизические свойства
водного раствора хлористого кальция при -10,9˚С
|
Свойство
|
Ед.
измерения
|
Значение
|
|
плотность
rх
|
кг/м3
|
1280
|
|
вязкость
мх
|
Па∙с
|
91,487∙10-4
|
|
теплоёмкость
сx
|
Дж/кг∙К
|
2729,5
|
|
теплопроводность
lх
|
Вт/м∙К
|
0,4575
|
Тепловая нагрузка на испаритель:
,
где
- массовый расход циркулирующего
рабочего тела при пяти работающих компрессорах, т.к. нагрузка на аппараты при
проектировании определяется из условия работы всех установленных компрессоров,
включая резервные.
Объёмный расход рассола при средней
температуре:

Для данных условий примем
ориентировочно коэффициент теплопередачи К = 350 Вт/(м2∙К)
[12, с. 89].
Тогда необходимая поверхность
теплообмена составит:
По ГОСТ 14248-79 подбираем
кожухотрубчатый испаритель с паровым пространством [2, с. 59]. Характеристика
приведена в таблице 5.
Таблица 5. Характеристика
кожухотрубчатого испарителя с паровым пространством
|
Диаметр
кожуха, мм
|
Поверхность
теплообмена, м2
|
Сортамент
труб
|
Число
труб в одном пучке, шт.
|
Площадь
сечения одного хода по трубам, м2
|
Число
ходов
|
|
2400
|
192
|
25 22040,0312
|
|
|
|
Скорость рассола в трубном пространстве:
Рассчитаем критерий Рейнольдса и
Прандтля:
.
Таким образом при турбулентном
режиме течения (Re
) критерий Нуссельта рассчитывается
по приблизительной формуле [4, с. 152]:
где еl - поправочный
коэффициент, еl =1 [16,
с. 119]
Принимаем
Тогда получим
Коэффициент теплоотдачи рассола
равен:
При t0= -20°С фреон-22 имеет следующие
теплофизические свойства [7, с. 221]:

Коэффициент теплоотдачи от кипящего
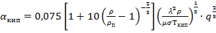
фреона к трубе рассчитывается по формуле [2, с. 54]:

,
где л - коэффициент теплопроводности фреона-22,
Вт/м∙К;
м - коэффициент вязкости фреона-22, Па∙с;
с - плотность фреона-22, кг/м3;
r - Теплота
парообразования фреона-22, Дж/кг;
у - коэффициент поверхностного натяжения
фреона-22, Н/м;
- температура кипения фреона-22, К;
Плотность паров фреона при рабочем давлении:
[2, c.54]
кг/м3
Удельная тепловая нагрузка,
рассчитываемая по формуле для случая кипения в большом объёме: [2, с. 54]
Вт/м2
Вт/м2·К
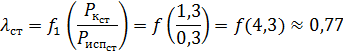
Коэффициент теплопередачи определяем по
уравнению аддитивности:
Вт/м2·К,
где лст -
теплопроводность стали, равная 46,5 
; [4, с. 529]
д- толщина стенки трубы, равная
0,0025 м;
Уrзагр- сумма
термических сопротивлений загрязнений, м2·К/Вт;
rзагр1 - сопротивление загрязнений со
стороны рассола,загр2 - сопротивление загрязнений со стороны
фреона-22.
По табл. ХХХI, стр. 531 [4]
принимаем 1/rзагр1 = 5800 
и 1/
Определяем плотность теплового
потока в зоне испарения фреона:
Вт/м2.
Вычисляем ориентировочные значения
температур стенки со сторон обоих теплоносителей:
°С;
°С
°С;
Поскольку
, тогда:
°С;
°С;
Поверхность теплопередачи:
м2.
По ГОСТ 14248-79 выбираем
кожухотрубчатый испаритель с параметрами: [2, с. 59]
Таблица 6.
|
Диаметр
кожуха, мм
|
Поверхность
теплообмена, м2
|
Сортамент
труб
|
Число
труб в одном пучке, шт.
|
Площадь
сечения одного хода по трубам, м2
|
Число
трубных пучков
|
|
1000
|
62
|
25 21320,0201
|
|
|
|
.
Расчет и подбор конденсатора
Для конденсации паров хладагента в нашем случае
используется водяной конденсатор с переохлаждением. Пары хладагента вначале
охлаждаются до состояния насыщения и конденсируются, затем происходит их
переохлаждение. Таким образом, для расчёта примем, что конденсатор состоит из
трёх зон, в каждой из которых происходит передача соответствующего количества
теплоты.
Зона охлаждения перегретых паров до состояния
насыщения:
кВт;
Зона конденсации насыщенных паров:
кВт;
Зона переохлаждения конденсата:
кВт;
где
расход хладагента во второй ступени,
кг/с;
Расход воды, затрачиваемой в
конденсаторе, для охлаждения, конденсации и переохлаждения хладагента определим
по уравнению:
кг/с,
где tн., tк. -
температуры охлаждающей воды в конденсаторе навходе и выходе из него, °С;
cводы-теплоёмкость
воды при 
°С, кДж/кг·К [4, с. 537].
І. Рассчитаем зону охлаждения паров. Для этого
определим сначала температуру воды на входе в зону охлаждения. Количество
теплоты, отводимое водой в первой зоне:
, значит
°С;
Средняя разность температур в первой
зоне составляет:
Ориентировочно коэффициент
теплопередачи
Вт/м2·К.
[4, с. 172]
Ориентировочное значение поверхности
теплопередачи зоны охлаждения конденсатора:
м2 ;
По ГОСТ 15122-79 выбираем
кожухотрубчатый конденсатор со следующими характеристиками [2, с. 51]:
Таблица 7.
|
Диаметр
кожуха, мм
|
Число
ходов z
|
Поверхность
теплообмена, м2
|
Сортамент
труб
|
Общее
число труб n, шт.
|
Площадь
сечения одного хода по трубам, м2
|
Площадь
сечения в межтрубном пространстве, м2
|
|
600
|
2
|
57
|
25 22400,0420,045
|
|
|
|
Рассчитываем коэффициент теплоотдачи для воды,
протекающей по трубному пространству конденсатора.
Таблица 8. Теплофизические свойства воды при
температуре 29,854 °С
|
Свойство
|
Обозначение
и единица измерения
|
Значение
|
|
Плотность
|
с,
кг/м3
|
996
|
|
Теплоёмкость
|
с,
Дж/кг·К
|
4,181∙103
|
|
Коэффициент
вязкости
|
м,
Па∙с
|
0,816∙10-3
|
|
Коэффициент
теплопроводности
|
л,
Вт/м∙К
|
61,7∙10-2
|
Критерий Рейнольдса:
,
где
- расход
охлаждающей воды, кг/с;- число ходов;вн- внутренний диаметр трубок,
м;- число трубок;
м
- динамический коэффициент вязкости воды, Па∙с.
.
Таким
образом при турбулентном режиме течения (Re
) критерий Нуссельта рассчитывается
по следующей формуле [4, с. 152]:
где
еl -
поправочный коэффициент, еl =1 [16, с.
119]
Принимаем
Тогда
получим:
Коэффициент
теплоотдачи от трубы к воде:
Рассчитываем
коэффициент теплоотдачи конденсирующихся паров для фреона-22, проходящего через
межтрубное пространство конденсатора.
Таблица 9.
Теплофизические свойства паров фреона-22 при 47 0С.
[7, с. 225]
|
Свойство
|
Обозначение
и единица измерения
|
Значение
|
|
Теплоёмкость
|
с,
Дж/кг·К
|
0,7393∙103
|
|
Коэффициент
вязкости
|
м,
Па∙с
|
13,65∙10-6
|
|
Коэффициент
теплопроводности
|
л,
Вт/м∙К
|
1,23∙10-3
|
Критерий Рейнольдса:
где Gхл.II - расход
хладагента, кг/с;площадь самого узкого сечения в межтрубном пространстве, м2;
м- динамическая вязкость паров
фреона-22, Па·с.
Эквивалентный диаметр межтрубного
пространства:
м2
Критерий Прандтля:
где с - теплоёмкость паров
фреона-22, Дж/кг·К;
м - динамическая вязкость паров
фреона-22, Па∙с;
л - коэффициент теплопроводности
паров фреона-22, Вт/м∙К.
При движении теплоносителя в
межтрубном пространстве и значении критерия Re
, критерий Нуссельта рассчитывается
по следующей формуле [2, с.50]:
Принимаем
Тогда получим:
Коэффициент теплоотдачи от паров
фреона-22 к трубе:
Определяем коэффициент теплопередачи
по уравнению аддитивности:
Вт/м2·К,
где Уrзагр.- сумма
термических сопротивлений загрязнений, м2·К/Вт; [4, с. 531]
д - толщина стенки трубок, м;
л - коэффициент теплопроводности
стали, Вт/м2·К. [4, с. 529]
Определяем плотность теплового
потока в зоне охлаждения паров фреона:
Вт/м2.
Вычисляем ориентировочные значения
температур стенки со сторон обоих теплоносителей:
°С;
°С
°С
Поскольку
, то:
°С
°С
Введём поправку в коэффициент
теплопередачи, определив точное значение
. Для воды:
где с, м, л-теплофизические свойства
воды при
.

Вт/м2∙К
Аналогично для фреона-22:
где с, м, л - теплофизические
свойства паров фреона-22 при
.

Вт/м2∙К
Определяем коэффициент
теплопередачи:
Вт/м2·К
Поверхность теплопередачи:
м2.
ІІ. Рассчитаем зону конденсации паров
фреона-22.
Для этого определим сначала температуру воды на входе в зону конденсации.
Количество теплоты, отводимое водой во второй зоне:
, значит
°С.
Средняя разность температур во
второй зоне составляет:
Ориентировочно коэффициент
теплопередачи Ко2=500 Вт/м2·К [4, с. 172].
Ориентировочное значение поверхности
теплопередачи зоны конденсации:
м2
По ГОСТ 15122-79 выбираем
кожухотрубчатый конденсатор со следующими характеристиками [2, с.51]:
Таблица 10
|
Диаметр
кожуха, мм
|
Число
ходов z
|
Поверхность
теплообмена, м2
|
Сортамент
труб
|
Общее
число труб n, шт.
|
Площадь
сечения одного хода по трубам, м2
|
Площадь
сечения в межтрубном пространстве, м2
|
|
600
|
2
|
75
|
25 22400,0420,045
|
|
|
|
Рассчитываем коэффициент теплоотдачи для воды,
протекающей по трубному пространству конденсатора.
Таблица 11
Теплофизические свойства воды при температуре
27,474 °С [4, с.537]
|
Свойство
|
Обозначение
и единица измерения
|
Значение
|
|
Плотность
|
с,
кг/м3
|
997
|
|
Теплоёмкость
|
с,
Дж/кг·К
|
4,185∙103
|
|
Коэффициент
вязкости
|
м,
Па∙с
|
0,8972∙10-3
|
|
Коэффициент
теплопроводности
|
л,
Вт/м∙К
|
60,8∙10-2
|
Критерий Рейнольдса:
,
где
- расход
охлаждающей воды, кг/с;- число ходов;вн- внутренний диаметр трубок,
м;- число трубок;
м
- динамический коэффициент вязкости воды, Па∙с.
.
При
значении критерия Re
, критерий Нуссельта рассчитывается
по следующей формуле [4, с. 152]:
где
еl -
поправочный коэффициент, еl =1 [16, с.
119]
Принимаем
Тогда
получим:
Коэффициент
теплоотдачи от трубы к воде:
Таблица 12
Теплофизические свойства жидкого фреона-22 при
40 0С. [7, с.221]
|
Свойство
|
Обозначение
и единица измерения
|
Значение
|
|
Коэффициент
вязкости
|
м,
Па∙с
|
2,216∙10-4
|
|
Коэффициент
теплопроводности
|
л,
Вт/м∙К
|
0,0790
|
|
Удельная
теплота конденсации
|
r, Дж/кг
|
164,75∙103
|
|
Плотность
|
с, кг/м3
|
1548,45
|
Коэффициент теплоотдачи от конденсирующихся
паров фреона-22 к трубе: [2, с. 53]
где л- коэффициент теплопроводности
жидкого фреона-22, Вт/м∙К;
с- плотность жидкого фреона-22, кг/м3;
м- коэффициент вязкости жидкого
фреона-22, Па∙с;удельная теплота конденсации жидкого фреона-22, Дж/кг;
3 °С- принятая величина.
Определяем коэффициент теплопередачи
по уравнению аддитивности:
Вт/м2·К,
где Уrзагр- сумма
термических сопротивлений загрязнений, м2·К/Вт;
д- толщина стенки трубок, м;
л- коэффициент теплопроводности
стали, Вт/м2·К .
Определяем плотность теплового
потока в зоне конденсации паров фреона:
Вт/м
Вычисляем ориентировочные значения температур
стенки со сторон обоих теплоносителей:
°С;
°С
°С
Поскольку
, то:
°С
°С
Введём поправку в коэффициент
теплопередачи, определив точное значение
.Для воды:
Вт/м
К
где
- коэффициент вязкости воды при
. [4, с.
514]
Аналогично для фреона-22:
Определяем коэффициент теплопередачи:
=
Вт/м2·К
Поверхность теплопередачи:
м2
ІІІ. Рассчитаем зону переохлаждения
конденсата фреона.
Для этого определим сначала температуру воды на
входе в зону переохлаждения. Количество теплоты, отводимое водой в третьей
зоне:
, значит
°С.
Средняя разность температур в
третьей зоне составляет:
Ориентировочно коэффициент
теплопередачи Ко3=1100 Вт/м2·К [4, с.172].
Ориентировочное значение поверхности
теплопередачи зоны конденсации:
м2.
По ГОСТ 15122-79 выбираем
кожухотрубчатый конденсатор со следующими характеристиками [2, с.51]:
Таблица 13
|
Диаметр
кожуха, мм
|
Число
ходов z
|
Поверхность
теплообмена, м2
|
Сортамент
труб
|
Общее
число труб n, шт.
|
Площадь
сечения одного хода по трубам, м2
|
Площадь
сечения в межтрубном пространстве, м2
|
|
325
|
2
|
6,5
|
25 2560,010,015
|
|
|
|
Рассчитываем коэффициент теплоотдачи для воды,
протекающей по трубному пространству конденсатора.
Таблица 14 Теплофизические свойства воды при
температуре 25,127 °С [4, с.537]
|
Свойство
|
Обозначение
и единица измерения
|
Значение
|
|
Плотность
|
с,
кг/м3
|
997
|
|
Теплоёмкость
|
с,
Дж/кг·К
|
4,184∙103
|
|
Коэффициент
вязкости
|
м,
Па∙с
|
0,9017∙10-3
|
|
Коэффициент
теплопроводности
|
л,
Вт/м∙К
|
60,85∙10-2
|
Критерий Рейнольдса:
,
где
- расход
охлаждающей воды, кг/с;- число ходов;вн- внутренний диаметр трубок,
м;- число трубок;
м
- динамический коэффициент вязкости воды, Па∙с.
.
Т.к.
,
критерий
Нуссельта находится по уравнению: [2, с. 49]
Принимаем
Тогда
получим:
Коэффициент
теплоотдачи от трубы к воде:
Рассчитываем
коэффициент теплоотдачи жидкого фреона-22, проходящего через межтрубное
пространство конденсатора.
Таблица
15. Теплофизические свойства жидкого фреона-22 при 37,5 0С. [7,
с.221]
|
СвойстваОбозначение
и единица измеренияЗначение
|
|
|
|
Коэффициент
вязкости
|
м,
Па∙с
|
2,235∙10-4
|
|
Коэффициент
теплопроводности
|
л,
Вт/м∙К
|
0,0799
|
|
Теплоемкость
|
с,
Дж/кг∙К
|
1,3034∙103
|
Критерий Рейнольдса:
где Gхл.II - расход
хладагента, кг/с;площадь самого узкого сечения в межтрубном пространстве, м2;
м- динамическая вязкость жидкого
фреона-22, Па·с.
Эквивалентный диаметр межтрубного
пространства:
м2
Критерий Прандтля:
где с - теплоёмкость жидкого
фреона-22, Дж/кг·К;
м - динамическая вязкость жидкого
фреона-22, Па∙с;
л - коэффициент теплопроводности
жидкого фреона-22, Вт/м∙К.
При значении критерия Re≥1000,критерий
Нуссельта определяется по уравнению (при этом принимаем отношение
): [2, с.
50]
Коэффициент теплоотдачи от жидкого
фреона к трубе:
Определяем коэффициент теплопередачи
по уравнению аддитивности:
Вт/м2·К,
где Уrзагр.- сумма
термических сопротивлений загрязнений, м2·К/Вт;
д- толщина стенки трубок, м;
л- коэффициент теплопроводности
стали, Вт/м2·К;
Определяем плотность теплового потока
в зоне охлаждения паров фреона:
Вт/м2.
Вычисляем ориентировочные значения
температур стенки со сторон обоих теплоносителей:
°С;
°С
°С
Поскольку
, то:
°С
°С
Введём поправку в коэффициент
теплопередачи, определив точное значение
.Для воды:
где с, м, л - теплофизические
свойства воды при
.
Вт/м2·К
Аналогично для фреона-22:
где с, м, л - теплофизические
свойства паров фреона-22 при
.
Вт/м2·К
Определяем коэффициент
теплопередачи:
Вт/м2·К
Поверхность теплопередачи:
Таким образом, поверхность теплопередачи в
конденсаторе рассчитываем как суммарную зон охлаждения, конденсации и
переохлаждения фреона-22:
м2
По ГОСТ 15122-79 выбираем кожухотрубчатый
конденсатор со следующими характеристиками: [2, с. 51]
Таблица 15.
|
Диаметр
кожуха, мм
|
Число
ходов z
|
Поверхность
теплообмена, м2
|
Сорта-мент
труб
|
Общее
число труб n, шт.
|
Площадь
сечения одного хода по трубам, м2
|
Площадь
сечения в межтрубном пространстве, м2
|
|
1000
|
2
|
169
|
25 27180,130,124
|
|
|
|
.
Расчёт и подбор насоса для подачи рассола
Для подачи охлаждаемого рассола CaCl2
в трубное пространство испарителя подбор насоса осуществляем по объёмной
производительности, необходимому напору.
Объемный расход рассола V=0,0160
м3/с. (рассчитан в п. 7)
Необходимый напор равен давлению на
входе в испаритель, т.е.
=
м вод.ст..
Мощность потребляемая двигателем
насоса, рассчитывается по формуле:
[16, с. 212]
где Vрасс.- объемный
расход рассола, м3/с;

- плотность рассола, кг/м3;
g - ускорение
свободного падения, м/с2;
Н - напор, создаваемый насосом, м;
з - общий к.п.д. насосной установки
рассчитываем по следующей формуле:

,
где зн - к.п.д. насоса
0,7; [2, с. 20]
зп - к.п.д. передачи 1;
здв -к.п.д. двигателя
0,89.
С запасом на
возможные перегрузки двигатель к насосу устанавливается несколько большей мощности
Nуст, чем потребляемая мощность:
где в -
коэффициент запаса мощности, безразмерный
(выбирается в зависимости от
величины N из табл. 2.1., стр. 67, [4]).
Для данной мощности в = 1,2, тогда
кВт
Устанавливаем насос Х90/49 со следующими
характеристиками: [2, с. 39]
Таблица 17.
|
Марка
|
Объемный
расход Q, м3/с
|
Напор
насоса Н, м вод. ст.
|
Частота
вращения n, с-1
|
К.П.Д.
насоса зн
|
Электродвигатель
|
|
|
|
|
|
Тип
|
Мощность
на валу, Nн,
кВт
|
К.П.Д.
электродвигателя зд.
|
|
Х90/49
|
0,025
|
31,4
|
48,3
|
0,7
|
АО2-71-2
|
22
|
0,88
|
9. Расчёт штуцеров
Требуется рассчитать штуцера ввода и вывода
сред, обменивающихся теплом в конденсаторе и испарителе холодильной установки,
зная их расход и оптимальные, с точки зрения технико-экономических показателей,
скорости в трубопроводе круглого сечения.
Диаметр штуцера равен: [2, с. 16]
где V-расход среды, м3/с;скорость
среды, м/с;
Сначала рассчитываем штуцера ввода и вывода сред
для конденсатора используя выше указанную формулу.
) Штуцера ввода и вывода охлаждающей воды.
Определяем объёмный расход охлаждающей воды:
м3/с.
где
- массовый расход воды, кг/с;
- плотность охлаждающей воды, в
интервале 0-100°С считаем постоянной, кг/м3 ;
Оптимальная скорость воды в
подводящем и отводящем трубопроводе составляет 1,5 - 3 м/с. Выбираем
м/с. Диаметр
штуцера:
м
Выбираем штуцера с условным
диаметром
мм для
условного давления
МПа.
) Штуцер ввода паров фреона-22.
Объёмный расход хладагента:
м3/с.
где
- расход хладагента во второй
ступени, кг/с;
- удельный объём хладагента, м3/кг.
Оптимальная скорость перегретых
паров при давлении 15 ат - 30 - 50 м/с. Выбираем
м/с. Диаметр штуцера ввода паров
фреона-22 :
Штуцер вывода сконденсировавшегося
фреона-22.
Объёмный расход хладагента:
.
Оптимальная скорость конденсата в
отводящем трубопроводе 1,5 - 3 м/с. Выбираем
м/с. Диаметр штуцера вывода
сконденсировавшегося фреона-22:
м
Выбираем штуцера с условным
диаметром
мм и
условным давлением
МПа.
Таблица 18. Сводная
таблица штуцеров
|
Dу,
мм
|
Pу,
МПа
|
dт,
мм
|
sт,
мм
|
Hт,
мм
|
|
50
|
1,6
|
57
|
3
|
155
|
|
50
|
1,6
|
57
|
3
|
165
|
|
100
|
1,6
|
108
|
5
|
155
|
|
100
|
1,6
|
108
|
5
|
155
|
Аналогично для испарителя:
1)Штуцера ввода и вывода рассола.
Объёмный расход рассола на каждый из штуцеров
ввода и вывода :
м3/с.
Оптимальная скорость рассола в
подводящем и отводящем патрубке 1,5 - 3 м/с. Выбираем
м/с. Диаметр
рассчитываем по формуле штуцеров:
м
Выбираем штуцера с условным
диаметром
мм для
условного давления
МПа.
) Штуцера вывода паров хладагента:
Расход паров хладагента:
м3/с.
Оптимальная скорость насыщенных
паров при давлении 2 ат - 15 - 25 м/с. Выбираем
м/с [2, с. 16]. Диаметр штуцера
вывода паров хладагента:
мм.
Выбираем штуцера с условным
диаметром
мм для
условного давления
МПа.
Таблица 19. Сводная
таблица штуцеров
|
Dу,
мм
|
Pу,
МПа
|
dт,
мм
|
sт,
мм
|
Hт,
мм
|
|
80
|
0,6
|
89
|
4
|
155
|
|
80
|
0,6
|
89
|
4
|
155
|
|
200
|
0,6
|
219
|
6
|
190
|
|
200
|
0,6
|
219
|
6
|
190
|
Заключение
В данном курсовом проекте рассчитана холодильная
установка для охлаждения рассола CaCl2
от 0°С до -15°С фреоном-22. При этом были использованы и закреплены знания по
разделу курса ПАХТ “Холодильные процессы”.
Рассчитаны по технологическим параметрам: цикл
рабочего тела - фреона и его необходимое количество в испарительной системе,
испаритель, конденсатор, насос для подачи рассола.
Список использованной литературы
1. Халил В.Б., Сафронова Е.В.
Теплотехника химических производств: учеб. методич. комплекс для студентов.
Новополоцк: ПГУ, 2009.
. Дытнерский Ю.И. Основные
процесы и аппараты химической технологии: Пособие по проектированию. 2-е
издание. М.: Химия, 1991.
. Григорьева В.А., Зорина
В.М. Промышленная теплоэнергетика и теплотехника: Справочник. М.:
Энергоатомиздат, 1991.
. Павлов К.Ф., Романков П.Г.,
Носков А.А. Примеры и задачи по курсу процессов и аппаратов химической
технологии. Учебное пособие для вузов. Л.: Химия, 1987.
. Зайцев И.Д., Асеев Г.Г.
Физико-химические свойства бинарных и многокомпонентных растворов
неорганических веществ. Справ. изд. - М.: Химия, 1988.
. Свердлов Г.З., Явнель Б.К.
Курсовое и дипломное проектирование холодильных установок и ситем
кондиционирования воздуха. - 2-е издание.- М.: Пищевая промышленность, 1978.
. Данилова Г.Н., Филаткин
В.Н. Сборник задач по процессам теплообмена в пищевой и холодильной
промышленности. - М.: Пищевая промышленность, 1976.
. Фримштейн Ю.И. Промышленные
холодильные установки. Учеб. пособие для проф.-техн. учеб. заведений. М.:
«Высшая школа», 1974.
. Судаков Е.Н. Расчеты
основных процессов и аппаратов нефтепереработки: Справочник.- М.: Химия, 1979.
. Соколова В.Н. Машины и
аппараты химических производств: Примеры и задачи. 1982.
. Лашутина Н.Г., Верхова Т.А.
Холодильные машины и установки. - М.: КолосС, 2006.
. Явнель Б.К. Курсовое и
дипломное проектирование холодильных установок и систем кондиционирования
воздуха. 1988.
. Быков А.В. Холодильные
машины и аппараты: Справочник-каталог. 1988.
. Быков А.В. Теплообменные
аппараты, приборы автоматизации и испытания холодильных машин. - М.: Легкая и
пищевая промышленность, 1984.
. Данилова Г.Н. Теплообменные
аппараты холодильных установок. - Л.: Машиностроение, 1986.
. Халил В.Б., Теряева З.С.,
Жаркова О.Н., Ельшина И.А., Сафронова Е.В. Процессы и аппараты химической
технологии: Учеб. методич. комплекс. Часть 1. - Новополоцк: УО «ПГУ», 2006.
. Танатаров М.А.
Технологические расчеты установок переработки нефти: Учеб. пособие для вузов. -
М.: Химия, 1987.