Актуальные экономико-статистические методы оценки рисков

  • Вид работы:
    Реферат
  • Предмет:
    Эктеория
  • Язык:
    Русский
    ,
    Формат файла:
    MS Word
    29,92 Кб
  • Опубликовано:
    2014-04-12
Вы можете узнать стоимость помощи в написании студенческой работы.
Помощь в написании работы, которую точно примут!

Актуальные экономико-статистические методы оценки рисков

Введение

риск экономический статистический

В условиях рыночной экономики коммерческие организации сталкиваются с различными рисками ввиду наличия конкуренции, а также непредсказуемых ситуаций, контроль над некоторыми из которых достаточно сложен.

Так как некоторые изменения, происходящие по причине возникновения тех или иных непредвиденных обстоятельств, зачастую отрицательно влияют на дальнейшую деятельность организации, собственнику необходимо следить за рисками.

Риск является вероятностью того, что предприятие понесет убытки или потери, если намеченное управленческое решение не реализуется, либо наоборот реализуется. Именно для избегания ситуаций, несущих потери, предпринимателям необходимо проводить оценку риска.

Оценка риска - это совокупность аналитических мероприятий, позволяющих спрогнозировать возможность получения дополнительного предпринимательского дохода или определенной величины ущерба от возникшей рисковой ситуации и несвоевременного принятия мер по предотвращению риска.

Существует несколько способов оценки риска:

• статистический метод оценки;

• метод экспертных оценок;

• использование аналогов;

• комбинированный метод.

Таким образом, тема данной работы является актуальной, так как одним из наиболее распространенных методов оценки риска является статистический, следовательно, его изучение полезно как для студентов, так и для собственников и специалистов в области риск-менеджмента.

Целью работы является ознакомление со статистическим методом оценки риска. Задачи: изучение теоретических аспектов статистического метода, исследование его инструментов, рассмотрение актуальных экономико-статистических методов оценки риска.

.       
Сущность статистического метода оценки риска

Все общественные процессы подвержены постоянным процедурам всестороннего сбора, анализа и обработки информации. Для этих целей создаются и функционируют специальные государственные структуры или статистические организации. Все коллективные формирования и юридические лица или предприятия в обязательном порядке, в определенной форме и в конкретные сроки должны предоставлять совокупные данные о своей деятельности в форме отчетов в статистические органы.

Статистический учет является основным видом хозяйственного контроля технических, экономических, социальных, политических, культурных и других явлений, который составляется и систематизируется в соответствии с оперативным бухгалтерским учетом всех направлений деятельности на основании государственных норм и требований об отчетности. Все виды информационных исходных показателей объединяются в соответствии с научными принципами, методами и средствами познания и представляют собой отдельную общественную отрасль измерения и исследования массовых отношений и социальных взаимосвязей, которая излагается учебными дисциплинами и теорией вероятности свойств событий и величин, а также сопутствующих операций.

Статистический метод оценки инвестиционного риска рассматривает предпосылки вероятности возможных непредвиденных событий или явлений на основе совокупной информации, сконцентрированной в статистических сводных базах данных прошлых периодов в определенных областях общественной жизни с использованием коэффициента риска или отношения числового значения предполагаемого ущерба к объему запланированной прибыли.

Иными словами, суть статистического способа заключается в том, что изучается статистика потерь и прибылей, имевших место на данном или аналогичном производстве, устанавливаются величина и частотность получения той или иной экономической отдачи, составляется наиболее вероятный прогноз на будущее.

Несомненно, риск - это вероятностная категория, и в этом смысле наиболее обоснованно с научных позиций характеризовать и измерять его как вероятность возникновения определенного уровня потерь. Вероятность означает возможность получения определенного результата.

Финансовый риск, как и любой другой, имеет математически выраженную вероятность наступления потери, которая опирается на статистические данные и может быть рассчитана с достаточно высокой точностью.

Применительно к экономическим задачам методы теории вероятности сводятся к определению значений вероятности наступления событий и к выбору из возможных событий самого предпочтительного исходя из наибольшей величины математического ожидания, которое равно абсолютной величине этого события, умноженной на вероятность его наступления.

.        Инструменты статистического метода оценки риска

Главными инструментами статистического метода оценки риска являются среднее ожидаемое значение, дисперсия и среднеквадратическое отклонение. Среднее ожидаемое значение связано с неопределенностью ситуации. Оно выражается по формуле:


Где - ожидаемая денежная стоимость, полученная в результате какого-либо проекта, события и т.д.;

- i-тая величина результата;

       - вероятность (частота) возникновения i-того результата , т.е. = , где  - количество наблюдений с i-тым результатом,- общее количество наблюдений.

Средняя величина представляет собой обобщенную количественную характеристику и не позволяет принять решение в пользу какого-либо варианта вложения капитала. Для окончательного решения необходимо измерить колеблемость (размах или изменчивость) показателей, т. е. определить колеблемость возможного результата. Она представляет собой степень отклонения ожидаемого значения от средней величины. Для ее определения обычно вычисляют дисперсию или среднеквадратическое отклонение.

Пример: при вложении денежных средств в мероприятие А из 150 случаев прибыль в сумме 20,0 тыс. руб. была получена в 75 случаях (вероятность - 75: 150 = 0,5), прибыль 25,0 тыс. руб. - в 60 случаях (вероятность - 60 : 150 = 0,4) и прибыль 30,0 тыс. руб. - в 15 случаях (вероятность - 15 : 150 = 0,1).

Среднее ожидаемое значение прибыли составит:

,0 х 0,5 + 25,0 х 0,4 + 30.0 х 0,1 = 23.

Осуществление мероприятия Б из 150 случаев давало прибыль 19,0 тыс. руб. в 60 случаях (вероятность - 60 : 150 = = 0,4), прибыль 24,0 тыс. руб. - в 45 случаях (вероятность 45 : 150 = 0,3), 31,0 тыс. руб. - в 45 случаях (вероятность 45: 150=0,3).

При проведении мероприятия Б средняя ожидаемая прибыль составит:

19,0 х 0,4+24,0 х 0,3+1,0 х 0,3=24,1.

Сравнивая величины ожидаемой прибыли при вложении денежных средств в мероприятия А к Б, можно сделать вывод, что величина получаемой прибыли при мероприятии А колеблется от 20,0 до 30,0 тыс. руб., средняя величина составляет 23 тыс. руб.; в мероприятии Б величина получаемой прибыли колеблется от 19,0 до 31,0 тыс. руб. и средняя величина равна 24,1 тыс. руб.

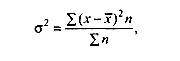
Дисперсия представляет собой средневзвешенное из квадратов отклонений действительных результатов от средних ожидаемых:


Где  - дисперсия;

х - ожидаемое значение для каждого случая наблюдения;

 - среднее ожидаемое значение;

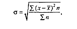
Среднее квадратическое отклонение определяется по формуле:


Коэффициент вариации - это отношение среднеквадратического отклонения к средней арифметической. Он показывает степень отклонения полученных значений.


Где  - коэффициент вариации, %;

 - среднее квадратическое отклонение;

 - среднее ожидаемое значение.

Коэффициент вариации позволяет сравнивать колеблемость признаков, имеющих разные единицы измерения. Чем выше коэффициент вариации, тем сильнее колеблемость признака. Установлена следующая оценка коэффициентов вариации:

·        до 10% - слабая колеблемость;

·        11-25% - умеренная колеблемость;

·        свыше 25% - высокая колеблемость.

Возвращаясь к вышеуказанному примеру, можно произвести следующие рассчеты:

Среднее квадратическое отклонение составляет:

·        в мероприятии А - 6,68;

·        в мероприятии Б - 4,95.

Коэффициент вариации:

·        для мероприятия А: V А = 29%;

·        для мероприятия Б: VБ = 20%.

Коэффициент вариации при вложении денежных средств в мероприятие А больше, чем при мероприятии Б. Следовательно, мероприятие Б сопряжено с меньшим риском, а значит, предпочтительнее.

.       
Актуальные экономико-статистические методы оценки рисков

Посредством метода статистического вычисления оценки вероятности исполнения возможно упростить математический расчет показателя вероятности наступления явления и актуальности решения с помощью определения приемлемых и невозможных решений в общем процессе управления инвестициями. Применение метода анализа вероятностных или возможных распределений потоков финансовых поступлений дает возможность по всем направлениям движения операционных средств или потоков платежей произвести максимально точные расчеты вероятных ценовых изменений оборотных активов по отношению к запланированным показателям.

Метод графического построения схемы функций управления называется «деревом принятия решений» (также дерево классификации или регрессии) и применяется для наглядного анализа рисков, которые могут способствовать наступлению ситуаций с вероятными и предсказуемыми вариантами развития и наступающими в результате последствиями (так как зависят от уже принятых решений, и поэтому вписываются в основной план действий управляющего менеджмента). Этот метод оценки риска применяется в области статистического учета и исследования информации с целью построения прогнозов и проводится путем построения схемы реализации проекта, с учетом всех его разветвлений, показателей рисков, параметров затрат, убытков и пользы.

Преимущество данного метода заключается в технологии визуализации или схематического (графического) представления управленческих функций и сложнейшего ответственного процесса принятия решающих директив по конкретному направлению деятельности на этапе выбора и оценки альтернативных предложений. Подобная структуризация отражает многошаговый процесс принятия оптимальных решений в рамках конкретных производственных задач.

Метод имитационного или ситуационного моделирования позволяет строить и анализировать модели, которые в упрощенной форме представляют реальные процессы и явления экономической системы и служат для изучения их свойств, параметров и закономерностей. Сложнейшие ситуации и обстоятельства, которые могут быть вероятными в реальном мире, рассматриваются специалистами в виде математических схем и примеров с целью проведения максимального количества экспериментов и наблюдения при помощи компьютерной техники за изменением управленческих процессов в действительности. Имитационное моделирование основывается на пошаговом определении значений опытов с системными моделями, которые можно видоизменять во времени и во множестве вариантов поставленных задач

Метод анализа отклонений при помощи инструментов оценки меры возможного валютного риска Risk Metrics разработан с целью эффективной оценки риска, возникающего в процессе операций на фондовом рынке, связанных с оборотом ценных бумаг. Определение метрики риска подразумевает информацию, полученную в результате проведения и фиксирования аналитических исследований в определенной специализированной среде, которая используется как исходные данные, встроенные в алгоритмы решения поставленных задач по оценке риска и нахождению правильных управленческих инвестиционных решений.

Такая методика позволяет найти математическое значение величины степени влияния вероятного риска на инвестиционные процессы, их периоды, элементы и результаты путем определения составляющих показателей риска (метрики), которые выражаются в амплитуде изменения стоимости финансовых активов и инвестиционного портфеля в совокупности.

Заключение

Таким образом, можно сделать вывод, что статистические методы оценки риска имеют широкое распространение во многих областях деятельности. Более того, методы являются одними из самых точных, рассматривают предпосылки вероятности возможных непредвиденных событий или явлений на основе статистической информации посредством изучения отклонений планируемых результатов от среднего.

Среди методов статистической оценки риска выделают следующие:

·        метод вычисления вероятности исполнения;

·        метод анализа возможностей распределения потоков финансовых поступлений;

·        метод построения графических форм «деревьев решений»;

·        метод имитации и моделирования рисков;

·        метод анализа отклонений при помощи инструментов оценки возможного валютного риска (Risk Metrics).

Каждый из этих методов имеет свои преимущества и может использоваться при анализе и оценке риска на любом предприятии.

Список использованных источников и литературы

1.  Ерохин, Д.В. Методы оценки риска, используемые при внедрении риск-менеджмента на промышленном предприятии / Д.В. Ерохин, Е.Н. Стрижакова, Д.В. Стрижаков // Вестник Брянского государственного технического университета. - 2008. - N 3. - С. 92-101.

2.       Метода анализа риска [Электрон. ресурс] / Бизнес риск. - Электрон. ст. - [М.]. - URL: http://bussinesrisk.ru, свободный. - Яз. Рус. - (Дата обращения: 05.04.2014).

.        Способы оценки степени риска [Электрон. ресурс] / Страховой консультант. - Электрон. Ст. - [М.]. - URL: http://www.askins.ru, свободный. - яз. Рус. - (Дата обращения: 05.04.2014).

.        Статистический метод оценки риска [Электрон. ресурс] / Инвестиции и кредиты. - Электрон. Ст. - [М.]. - URL: http://investcred.ru, свободный. - Яз рус. - (Дата обращения: 05.04.2014).

.        Фирсова О.А. Оценка рисков. Методы оценки риска [Электрон. ресурс] / Наука 2020. -Электрон. Ст. - [Орел]. - URL: http://nauka2020.ru, свободный. - яз. Рус., англ.- (Дата обращения: 05.04.2014).

Похожие работы на - Актуальные экономико-статистические методы оценки рисков

 

Не нашли материал для своей работы?
Поможем написать уникальную работу
Без плагиата!
Без нейросетей!