Частотное планирование сети подвижной радиосвязи
Федеральное
агентство РФ по связи и информатизации
Государственное
образовательное учреждение высшего профессионального образования
"Сибирский
Государственный Университет Телекоммуникаций и Информатики"
Кафедра
БИСС
Курсовая
работа
Частотное
планирование сети подвижной радиосвязи
Выполнила: ст-ка IV курса ФЗО
гр. ЗР-01Юдина Е.А.
Проверила: доц. Кокорева Е.В.
Новосибирск,
2014
Исходные данные:
следовательно вариант №10
Рассмотрим TACS систему, со следующими
параметрами:
= 900 МГц, F = 12.5 МГЦ, PT = 5%, Pb
= 0.05, Nα = 45000, GBS
= 10 дБ,MS = -140 дБВт, ρ0
= 10 дБ, β = 0.025 Эрл, S = 130 км2,
HBS = 43 км,k = 25 кГц, nα
= 4, σ = 5 дБ, hMS = 1.5 м.
Определить параметры сотовой сети
для данного города и мощность передатчика базовой станции
,
необходимую для обеспечения заданного качества связи.
Для составления полного частотного плана сети
подвижной радиосвязи (СПРС), т.е. плана внедрения конкретных номиналов частот
для каждой из базовых станций (БС), установленных на территории города,
необходимо предварительно определить основные параметры этого плана. К этим
параметрам относятся:
|
1.
|
размерность
кластера;
|
|
2.
количество
секторов обслуживания в одной соте:
|
где
-
ширина диаграмм направленности антенн БС;
|
|
|
|
3.
|
количество
БС, которые необходимо установить на территории города;
|
|
|
4.
|
радиус
одной соты, км;
|
|
|
5.
|
мощность
передатчика БС, дБВт;
|
|
|
6.
|
высота
подвеса антенны БС;
|
|
Перечисленные параметры можно определить, если
известны следующие данные:
|
7.
|
полоса
частот, выделенная для передачи сигналов БС данной сотовой сети;
|
|
|
8.
|
полоса
частот, занимаемая одним частотным каналом данного стандарта;
|
|
|
9.
|
количество
абонентов, которые одновременно могут использовать один частотный канал
(например, для GSM - это 8);
|
|
|
10.
|
количество
абонентов, которое должна обслуживать данная сотовая сеть;
|
|
|
11.
|
активность
одного абонента в час наибольшей нагрузки, Эрл;
|
|
|
12.
|
допустимая
вероятность блокировки вызова СПРС;
|
|
|
13.
|
необходимое
защитное отношение сигнал/помеха для приемников СПР;
|
|
|
14.
|
процент
времени, в течение которого допускается, чтобы отношение сигнал/помеха на
входе приемника в СПРС было меньше защитного ;
|
|
|
15.
|
площадь
города, в котором развернута СПРС, ;
|
|
|
16.
|
параметр,
определяющий диапазон случайных флуктуаций уровня принимаемого сигнала в
месте приема ( дБ);
|
|
|
17.
|
чувствительность
приемника МС, дБВт;
|
|
|
18.
|
коэффициент
усиления антенны БС, дБ.
|
|
Процедура определения основных параметров
частотного плана для СПРС состоит в следующем:
. Находим общее число частотных каналов
планируемой сети по формуле:
2. По формулам определяем необходимые значения M
и N для обеспечения требуемого отношения сигнал/помеха на выходе
приёмной антенны. Для этого последовательно вычисляем:
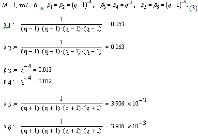
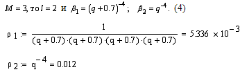
Для N=3
а) Коэффициент соканального повторения:
б) Коэффициенты βi:
Если
Если
Если

(6)
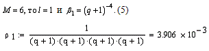
При M =
1, σе2 = 12.183= 3, σе2 = 18.016= 6, σе2 = 19.112
г) βе
(7)
При M =
1, βе2 = 0.221= 3, βе2 = 0.021= 6, βе2 = 4.566*10-3
д)
Дисперсию отношения сигнал/помеха
. (8)
При M =
1, σρ = 6.098= 3, σρ = 6.559= 6, σρ = 6.642
е) P(N)
, (9)
При M =
1, P(N) = 74.414
M = 3,
P(N) = 15.275= 6, P(N) = 2.178
Значение
, при
котором выполняется условие:
, (10)
принимается за размерность кластера
СПР.
По результатам вычислений мы видим,
что условие выполняется при N=3, M=6 (2.178% < 5%). Эти значения принимаем в
качестве параметров сети для дальнейшего частотного планирования.
. По формуле 11 определяем
количество частотных каналов, которое используется для обслуживания абонентов в
одном секторе одной соты:
. (11)s = 27.
. Определяем допустимую телефонную
нагрузку в одном секторе одной соты по формуле 12, где
:
, (12)= 101.201 Эрл, при Pb
= 0.05 и n0 = 108.
. Определяем количество абонентов,
которое обслуживается одной БС при заданном значении вероятности блокировки по
формуле 13:
. (13)BS = 2.429*104.
. По формуле 14 определяем
количество БС в сотовой сети:
. (14)= 2.
. По формуле 15 определяем радиус
соты:
. (15)0 = 4.549
. По формуле 16 с помощью формулы 17
определяем
:
, (16)
; (17)
BS
≈ -3 Вт.
|
Параметр
|
NM A K
|
|
|
|
|
|
|
|
|
|
|
ед.
изм.
|
шт.
|
шт.
|
шт.
|
%
|
шт.
|
Эрл
|
шт.
|
шт.
|
км
|
Вт
|
|
Значение
|
500
|
3
|
6
|
2.178
|
27
|
101.201
|
24290
|
2
|
4.549
|
-3
|
Для N=4
|
Параметр
|
NM A K
|
|
|
|
|
|
|
|
|
|
|
ед.
изм.
|
шт.
|
шт.
|
шт.
|
%
|
шт.
|
Эрл
|
шт.
|
шт.
|
км
|
Вт
|
|
Значение
|
4
|
6
|
1.045
|
20
|
73.207
|
17570
|
3
|
3.714
|
-6
|
Для N=7
|
Параметр
|
NM A K
|
|
|
|
|
|
|
|
|
|
|
ед.
изм.
|
шт.
|
шт.
|
шт.
|
%
|
шт.
|
Эрл
|
шт.
|
шт.
|
км
|
Вт
|
|
Значение
|
500
|
7
|
3
|
1.816
|
23
|
85.166
|
10220
|
5
|
2.877
|
-10.062
|
|
Значение
|
500
|
7
|
6
|
0.181
|
11
|
37.816
|
9072
|
5
|
2.877
|
-10.062
|
Для N=9
|
Параметр NM A K
|
|
|
|
|
|
|
|
|
|
|
|
ед.
изм.
|
шт.
|
шт.
|
шт.
|
%
|
шт.
|
Эрл
|
шт.
|
шт.
|
км
|
Вт
|
|
Значение
|
500
|
7
|
3
|
0.786
|
18
|
65.271
|
7830
|
6
|
2.626
|
-11.416
|
|
Значение
|
7
|
6
|
0.071
|
9
|
30.106
|
7.224
|
7
|
2.431
|
-12.561
|
Вывод
сотовый сеть телефонный частотный
В данной работе были определены все требуемые
параметры частотного плана сотовой сети. Используем в качестве основных
критериев оптимальности минимальную мощность передатчика базовой станции (P¢BS)
и минимальное число базовых станций в сети (K). Так как во всех вариантах
мощность передатчика базовых станций сравнительно мала, то выбираем в качестве
оптимального первый из полученных вариантов плана с минимальным числом базовых
станций.
Список литературы
1. W.C.Y.
Lee mobile cellular telecommunication systems. Howard W.Sams and Co., 1989.
2. Системы
радиотелефонной связи с подвижными объектами (обзор). Зарубежная техника связи.
Экспресс-информация ЦНТИ "Информсвязь" вып. 8-9, 1988г., с.1-39.
3. M.R.L.
Hodges. The GSM radio interface.Br Telecom Technol J. v.8, №1, 1990, p.31-43.
. Masaharu
Hata. Empirical formula for propagation loss in land mobile radio services. IEEE
Tr. VT-29, №3, 1980, p.317-325.
5. A.
Gamst. Homogeneous distribution of frequensies in a regular hexagonal cell
system. IEEE
Tr. VT-31, №3, 1982, p.132-144.
6. W.K.
Hale. New spectrum management tools. Proc. Int. Symp. on EMC, 1981, p.47-53.
. V.Palestini,
V.Zingarelli. Qutage probability in cellular mobile radio systems. Alta
Frequenza, №2, 1988, p.97-108.
8. L.F.
Fenton. The sum of lognormal probability
distributions in scatter transmission systems. IRE Tr.
CS-8, №1, 1960, р.57-67.
. Быховский
М.А. Частотное планирование сотовых сетей подвижной связи.
www.bykhmark.ru/rus/stati/Chastot_plan_sot_SPS.doc
. Карташевский
В.Г., Семенов С.Н., Фирстова Т.В. Сети подвижной связи. - М.: Эко-Трендз, 2001.
- 300 с.
. Кокорева
Е.В. Частотное планирование сети подвижной радиосвязи. Методические указания к
контрольной работе по дисциплине "Теоретические основы современных
технологий беспроводной связи". - Новосибирск: СибГУТИ, 2013.