Статистичний аналіз роздрібної торгівлі в Україні
Вступ
Тема моєї курсової
роботи - роздрібна торгівля. Усі ми стикаємося зі сферою роздрібної торгівлі
дуже часто. В Україні продаж товарів населенню в основному здійснюють
підприємства роздрібної торгівлі - власники об'єктів роздрібної торгівлі
(магазинів, павільйонів, кіосків та ін.). Роздрібною торгівлею також займаються
промислові й оптові підприємства через мережу власних фірмових магазинів та
інші пункти продажу товарів, роздрібні ринки, підприємства громадського
харчування, підприємців та інші суб'єкти господарювання різних форм власності.
Усі ми заходимо у магазини, купуємо
необхідні нам речі, тому ця тема є надзвичайно актуальною і важливою не тільки
для України, але й для всього світу. Кінцеве споживання товарів та послуг - це
основа для торгівельного бізнесу, який на сьогодні є одним з найбільших у
світі.
Метою моєї курсової роботи є
вивчення структури роздрібної торгівлі в Україні, вивчення та дослідження
динаміки роздрібного товарообороту, виявлення факторів, що впливають на
роздрібну торгівлю та як вони вливають. Також я хочу виявити тенденцію розвитку
роздрібної торгівлі та вивчити регіональний аспект цього питання. Це все
необхідно для того, щоб дослідити цю сферу та виявити фактори, які впливають на
роздрібний товарооборот не найкращим чином, виявити, в яких областях
товарооборот аномально відхилюється та запропонувати, що із цим можна зробити.
Я хочу перейти до попереднього
аналізу цієї проблеми, яку я буду розглядати вже у цифрах у своїй курсовій
роботі. Сучасна торгівля характеризується великою фінансовою потужністю, що
обумовлює переважно екстенсивний шлях її розвитку. При цьому особливо активно
торговельні мережі корпоративного типу розвиваються у роздрібній торгівлі
продовольчими товарами у найбільших містах України - Києві, Дніпропетровську,
Харкові, Донецьку, Запоріжжі, Одесі, Львові.
1.Теоретичні основи статистичного
дослідження роздрібної торгівлі
.1 Поняття роздрібної торгівлі
роздрібний торгівля товарооборот
Якщо опиратися на різну літературу,
можна знайти десятки визначень, і кожне з них буде по-своєму вірним. Я розгляну
декілька літературних джерел, в яких описується сама суть поняття роздрібної
торгівлі.
«Роздрібна торгівля - діяльність суб’єктів
товарного ринку з продажу товарів і надання додаткових послуг безпосередньо
населенню. В роздрібній торгівлі усі товари зі сфери обігу переходять у сферу
споживання, тобто стають власністю покупця» [4, с. 148]
«Роздрібна торгівля - діяльність суб’єктів
товарного ринку з продажу товарів і послуг безпосередньо споживачу з метою
отримання прибутку» Прокопенко
Роздрібна торгівля - тип торгівлі товарами, а
також виконання певних послуг, направлених на покупця, яким є кінцевий
споживач, фізична чи юридична особа. Метою придбання товару у роздріб є
задоволення особистих потреб покупця, членів його родини (якщо це фізична
особа), або ж працівників фірми (якщо це юридична особа) за рахунок споживання
купленого товару.
1.2 Дослідження проблематики
роздрібної торгівлі українськими ученими
Розвиток роздрібної торгівлі в Україні
неодноразово ставав об'єктом наукових економічних досліджень. Цій проблематиці
присвятили наукові публікації такі провідні вчені, як А.А. Мазаракі, В.В.
Апопій, В.С. Марцин, Л.О. Лігоненко, І.О. Бланк, В.В. Лісіца, Л.А. Омелянович
та ін. Та попри це тема залишається актуальною, оскільки стан розвитку
роздрібної торгівлі є одним із наочних
індикаторів економічного розвитку держави. Зростання платоспроможного попиту
населення України, стрімкий розвиток вітчизняного виробництва (зокрема, легкої
та харчової промисловості), поява українських мегатоваровиробників та
українських брендів, підвищення інвестиційної привабливості внутрішнього ринку
України для іноземних інвесторів - усе це посилює зацікавленість до сучасного
стану споживчого ринку, потребує усвідомлення нових реалій та перспектив
подальшого розвитку роздрібної торгівлі.
1.3 Ознаки роздрібної торгівлі
Для роздрібної торгівлі характерні
такі ознаки:
. вона є самостійною, ініціативною,
здійснюваною на власний ризик діяльністю юридичних осіб та громадян з метою
отримання прибутку
. головним змістом торговельної
діяльності є продаж товарів, при цьому можуть виконуватися супутні роботи й
надаватися різноманітні послуги.
. товари реалізуються безпосередньо
громадянам або іншим кінцевим споживачам для особистого некомерційного використання
. товари реалізуються за готівку або
іншими, прирівняними до неї засобами (кредитні картки банків, перерахування з
рахунків вкладників тощо)
. у роздрібній торгівлі можуть
продавати лише товари певного асортименту. Цей асортимент вужчий, ніж в оптовій
торгівлі, але набагато ширший, ніж у сфері громадського харчування.
. для роздрібної торгівлі важливим є
наявність торгового місця. Під торговим місцем розуміють відокремлене,
спеціально обладнане місце для здійснення роздрібного продажу товарів з обов’язковим
дотриманням чинних правил торговельного обслуговування населення та порядку
розрахунків із покупцями.
. роздрібна торгівля ґрунтовно
регламентована законодавчими та нормативно-правовими актами
. договори купівлі-продажу в
роздрібній торгівлі мають публічний характер. [5, с. 160]
Роздрібні торгівці виконують низку
функцій, які збільшують цінність надаваних ними товарів і послуг. Зазвичай це
такі функції:
. Забезпечення певного асортименту
товарів і послуг
. Дроблення партій товарів, що
надходять у роздрібну торгівельну мережу
. Зберігання запасів
. Забезпечення сервісу
. Збільшення цінності товарів і
послуг
1.4 Форми роздрібної торгівлі
Сучасна роздрібна торгівля
здійснюється в різноманітних формах, які змінюються й доповнюються під впливом
розвитку науково-технічного прогресу, впровадження новітніх засобів
обчислювальної техніки, інформаційних технологій і телекомунікаційних мереж.
Форми роздрібної торгівлі можна
класифікувати за такими ознаками:
) За місцем
виконання:
а) магазинну
роздрібну торгівлю, на яку припадає переважна частина роздрібного товарообігу.
Здійснюється в магазинах, які розміщені в окремих будівлях або приміщеннях і
мають торговельну залу для покупців;
б) дрібнороздрібну
торгівлю, зокрема й пересувну. Здійснюється через мережу нестаціонарних
торгових об’єктів, які не мають торговельних залів: лотки, намети, автомати,
автомагазини тощо. Через дрібнороздрібну торговельну мережу дозволена
реалізація продовольчих і непродовольчих товарів лише простого асортименту.
Роздрібна торгівля через дрібнороздрібну торговельну мережу є однією з форм
позамагазинного продажу товарів.
) За методами
обслуговування вирізняють:
а) продаж
товарів із прилавка. Характеризується особистим контактом продавця та покупця в
магазині;
б) магазини
самообслуговування. Контакт із продавцем, як правило, анонімний, покупець має
можливість легкого, вільного й самостійного вибору товару із багатьох,
розміщених у торговельній залі;
в) торгівлю за
зразками;
г) торгівлю за
каталогами;
д) посилкову
торгівлю;
ж) торгівлю за
попередніми замовленнями;
з) електронну
торгівлю.
) За правом
власності на товар, що продається, розрізняють:
а) комісійну
роздрібну торгівлю. Реалізує товари, прийняті від юридичних та фізичних осіб на
комісійних засадах, тобто право власності на товар зберігається за комітентом
до моменту його продажу покупцеві;
б) фірмову
роздрібну торгівлю. Фірмова торгівля - це продаж товарів безпосередньо її
виробниками, а також відокремленими структурними підрозділами цих
товаровиробників, які не мають статусу юридичної особи.
) За формою
розрахунків можна вирізнити:
а) роздрібну
торгівлю за готівку та іншими прирівненими до неї платіжними засобами;
б) торгівлю в
кредит і за безготівковим розрахунком. Торгівля за безготівковим розрахунком
належить до роздрібної лише у випадках, передбачених чинними нормативними
актами.
2.Статистичний аналіз роздрібної
торгівлі України за 2000-2010 рр.
.1 Характеристика найважливіших
описових статистик
У розділі першому розглядаються такі
показники, як середня величина, дисперсія, середнє квадратичне відхилення,
квадратичні коефіцієнт варіації. Середня величина - це узагальнюючий показник,
який характеризує типовий розмір варіаційного значення в розрахунку на одиницю
однорідної сукупності. [1, c.39]
Вибір формули розрахунку здійснюється на основі «логічної» формули і виходячи з
наявності вихідної інформації.
«Логічна» формула - це словесний
опис способу розрахунку аналізу показника.
Мені необхідно знайти середній
рівень роздрібного товарообороту, відповідно моя логічна формула буде виглядати
наступним чином:
Для початку ми виберемо вид нашої
формули: У нас відомий знаменник логічної формули, але не відомий її чисельник.
Тому ми вибираємо середню арифметичну. Тепер приступимо до вибору форми середньої
величини. Вибір форми залежить від того, чи є вихідна інформація згрупованої чи
ні. У нашому випадку інформація не згрупована, значить ми вибираємо середню
просту. Розрахунок будемо проводити по формулі середньої арифметичної простої,
яка має вигляд:
=
, (2.1)
де Х - окремі значення n - обсяг
сукупності
Дані про обсяг роздрібного
товарообороту і сума по всім областям дивимося у додатку А.
Середній рівень роздрібного
товарообороту =
= 8979,04 млн.
грн.
Отже, середній обсяг роздрібного
товарообороту України за 2010 рік склав 8979,04 млрд. грн.
Перейдемо до знаходження дисперсії.
Дисперсія - середній квадрат відхилень варіантів від середньої величини.
Формула дисперсії:
(2.2)
Для розрахунку дисперсії побудуємо
таблицю. Всі необхідні розрахунки виконані у таблиці в додатку Б.
Тепер я розрахую дисперсію за
зазначеною мною формулою (2.2):
σ²
=
=
117080933,6
Оскільки під час розрахунку
дисперсії здійснюється зведення в квадрат, то вона не має ні одиниць виміру, ні
економічної інтерпретації. Для того, щоб охарактеризувати варіацію ознаки,
знаходять корінь квадратний з дисперсії, який називають середнє квадратичне
відхилення.
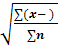
σ=
(2.3)
Воно показує, на скільки абсолютних
одиниць відхиляється в середньому окремі значення ознаки від середньої
величини. Розрахуємо за формулою 1.3 середньоквадратичне відхилення.
σ=
=
10820,39434 млн. грн.
Отже, розмір роздрібного
товарообороту в окремих регіонах відхиляється від середнього розміру
роздрібного товарообороту в середньому на 10820,39434 млн. грн.
Тепер розрахуємо квадратичний
коефіцієнт варіації, який показує, на скільки відсотків відхиляються в
середньому окремі значення ознаки від середньої величини. Формула квадратичного
коефіцієнта виглядає так:
Vкв = 

(2.4)
Vкв =
*100
= 120,5%
Коефіцієнт варіації значно
більше 33,3%, і на цьому можемо зробити висновок, що середній розмір
роздрібного товарообороту по окремих регіонах відхиляється від середнього в
середньому на 120,5%, тобто це означає, що дана сукупність регіонів, що
згрупована по розміру роздрібного товарообороту є досить неоднорідною, і
середній розмір товарообороту, який становить 8979, 04 млн. грн.. не є типовою
величиною.
2.2
Регіональний аналіз роздрібного товарообороту
Регіональний аналіз
товарообороту - вивчення стану і розвитку товарообороту кожного регіону,
області, міста, характеристика міжрегіональних товарних зв’язків, дослідження
міжрегіональних розходжень об’єму, рівня, структури і динаміки товарообороту.
Ступінь відповідності
територіального розподілу товарообороту величині регіону, розподілу виробничих
потужностей, чисельності населення, фінансовим ресурсам і т.п. визначається за
допомогою показників географічної асоціації і, зокрема, за допомогою
коефіцієнту локалізації, який розраховується за формулою:
L =
(2.5)
Xi -
доля i-го
регіону в загальному об’ємі факторного признаку
Yi -
доля i-го
регіону в загальному об’ємі результативного признаку (товарообороту)
Чим ближче він до 0 - тим
більше співпадає розподіл товарообороту з розподілом даної ознаки і тим тісніше
зв'язок.
Розрахунки я буду робити у
таблиці.
Таблиця 2.1 Розмір роздрібного
товарообороту та чисельність населення у 2010 році по регіонах України,
коефіцієнт локалізації
|
Регіони
|
Роздрібний
тов. у 2010 р, млн грн
|
Чисельність
наявного населення, тис чол
|
Xi
|
Yi
|
│Xi
- Yi│
|
|
Крим
|
10171
|
1965,3
|
0,05
|
0,045
|
0,0006
|
|
Вінниця
|
5673
|
1650,6
|
0,04
|
0,025
|
0,0133
|
|
Волинь
|
4709
|
1036,7
|
0,02
|
0,021
|
0,0032
|
|
Дніпропетровськ
|
24763
|
3355,5
|
0,08
|
0,11
|
0,0319
|
|
Донецьк
|
25446
|
4466,7
|
0,1
|
0,113
|
0,009
|
|
Житомир
|
5028
|
1285,8
|
0,03
|
0,022
|
0,0076
|
|
Закарпаття
|
5978
|
1247,3
|
0,03
|
0,027
|
0,0025
|
|
Запоріжжя
|
10734
|
1811,7
|
0,04
|
0,048
|
0,0055
|
|
Івано-Франківськ
|
4859
|
1380,7
|
0,03
|
0,022
|
0,0106
|
|
Київ
|
12222
|
1721,8
|
0,04
|
0,054
|
0,0142
|
|
Кіровоград
|
4430
|
1017,8
|
0,02
|
0,02
|
0,004
|
|
Луганьск
|
9143
|
2311,6
|
0,05
|
0,041
|
0,0132
|
|
Львів
|
15024
|
2546,8
|
0,06
|
0,067
|
0,0074
|
|
Миколаїв
|
5695
|
1189,5
|
0,03
|
0,025
|
0,0024
|
|
Одеса
|
18007
|
2391
|
0,06
|
0,08
|
0,0243
|
|
Полтава
|
7215
|
1499,6
|
0,04
|
0,032
|
0,0029
|
|
Рівне
|
4389
|
1151,6
|
0,03
|
0,02
|
0,0074
|
|
Суми
|
3926
|
1172,3
|
0,03
|
0,017
|
0,0099
|
|
Тернопіль
|
3822
|
1088,9
|
0,03
|
0,017
|
0,0084
|
|
Харків
|
18798
|
2769,1
|
0,06
|
0,084
|
0,019
|
|
Херсон
|
5138
|
1093,4
|
0,03
|
0,023
|
0,0027
|
|
Хмельницький
|
5228
|
1334
|
0,03
|
0,023
|
0,0079
|
|
Черкаси
|
5571
|
1295,2
|
0,03
|
0,025
|
0,0054
|
|
Чернівці
|
4122
|
904,4
|
0,02
|
0,018
|
0,0028
|
|
Чернігів
|
4385
|
1109,7
|
0,03
|
0,02
|
0,0064
|
|
Разом
|
224476
|
42797
|
1
|
1
|
0,2225
|
Коефіцієнт локалізації дорівнює:
L
=
*
0,2225 = 0,1113
Отже, коефіцієнт локалізації
дорівнює 0,1113, він близький до 0, отже зв'язок між обсягом роздрібного
товарообороту і чисельністю населення істотний, тобто, обсяг роздрібного
товарообороту по регіонах пропорціональний чисельності населення.
Групування - це процес утворення
однорідних груп на підставі розподілу всієї сукупності досліджуваного явища на
окремі групи (частини) за найістотнішими ознаками. Метою статистичного
групування є поділ сукупностей на однорідні типові групи за існуючими для них
кількісними ознаками з метою всебічної характеристики їхнього стану , розвитку
і взаємодії. [2, с.309]
За допомогою статистичного
групування вирішуються такі завдання: поділ усієї сукупності на якісно
однорідні групи, тобто виділення соціально-економічних типів та явищ; вивчення
складу досліджуваних явищ і структурних змін; дослідження взаємозв’язку і
залежності між ознаками суспільних явищ.
У цьому пункті я згрупую регіони
України за величиною роздрібного товарообороту. Групувати я буду на три групи,
виділивши їх як «регіони з низьким рівнем роздрібного товарообороту», «регіони
з середнім рівнем роздрібного товарообороту» та «регіони з низьким рівнем
роздрібного товарообороту».
Тепер я можу визначити ширину інтервалу
за допомогою формули:
h =
(2.6)
де:
xmax,xmin
- відповідно, найбільше та найменше значення
ознаки у сукупності
n
- кількість груп
У моїй сукупності регіонів за
розміром роздрібного товарообороту найбільше значення показника дорівнює 25446
млн. грн., цей показник відноситься до міста Донецьк, а найменше - 3822, що
відповідає місту Тернопіль.
Отже, за вказаною формулою
розрахуємо так званий «крок» варіації:
h =
=
=
7208 млн. грн..
Я виділила три групи, склала таблицю
по оброблених мною даних. Робоча таблиця знаходиться у додатку В.
Таблиця 2.2 Розподіл регіонів
України за рівнем роздрібного товарообороту у 2010 р.
|
Роздрібний
товарооборот у 2010 р, млн грн
|
кількість регіонів
|
роздрібний
товарооборот в середньому по групі, млн грн
|
S
|
|
одиниці
|
у
% до підсумку
|
|
|
|
3822-11030
|
19
|
76
|
5800,8
|
19
|
|
11030-18238
|
3
|
12
|
15084,3
|
22
|
|
18238-25446
|
3
|
12
|
23002,3
|
25
|
|
Разом
|
25
|
100
|
-
|
-
|
Отже, я отримала 3 групи регіонів за
рівнем роздрібного товарообороту. Одразу видно, що групування досить
нерівномірне, перша група займає трохи більше 3/4 усієї сукупності.
На підставі цих даних я буду
розраховувати показники середнього рівня такі як моду, медіану, квартилі і
децелі. На основі кварилів і децелів я зроблю коефіцієнти диференціації і
проаналізую додатково дану сукупність.
Спочатку розрахуємо моду. Мода - це
величина значення (варіанти), яка найчастіше зустрічається в сукупності. В
дискретному варіаційному ряді модою є варіант з найбільшою частотою. В
інтервальному ж варіаційному ряді (а у нас саме такий) мода розраховується за
формулою:
(2.7)
де
- нижня
межа модального інтервалу, тобто інтервалу з найбільшою частотою;
- величина модального інтервалу;
- частота модального інтервалу;
- частота передмодального
інтервалу;
- частота післямодального
інтервалу.
Для розрахунку моди треба
визначити модальний інтервал - інтервал, у якому знаходиться найбільша частка
групи. В моєму випадку це перша група, в яку входять регіони з рівнем
роздрібного товарообороту 3822-11030 млн. грн.
Mo =
3822 + 7208*
= 7734,9
млн. грн.
Отже, це означає, що в даній
сукупності регіонів найбільш часто зустрічаються регіони з рівнем роздрібного
товарообороту в середньому 7734,9 млн. грн.
Тепер розрахуємо медіану. Медіана -
значення значення, яке ділить упорядкований ряд навпіл, тобто половина одиниць
сукупності мають значення менше медіани, а інша половина - більше. В
інтервальному варіаційному ряді медіана розраховується за наступною формулою:
(2.8)
де хМе - нижня
межа медіанного інтервалу;
- величина медіанного інтервалу;
- сума всіх частот або часток ряду
розподілу;Ме-1 - накопичена частота або частка перед медіанного
інтервалу;
fМе -
частота або частка медіанного інтервалу.
Медіанним є той інтервал, в
якому накопичена частота (частка) вперше більше або дорівнює напівсумі всіх
частот (часток) ряду розподілу. У нашому випадку напівсума буде мати такий
вигляд:
∑f =
*25 = 12,5
Шукаємо інтервал, в якому
накопичена частота (частка) вперше більше або дорівнює 12,5. Це перший
інтервал. Здійснюємо розрахунок:
Me =
3822+7208*
= 8564,1
млн. грн.
Отже, 50% регіонів в даній
сукупності мають обсяг роздрібного товарообороту менше 8564,1 млн грн., а друг
половина - більше.
Зараз я буду розраховувати квартилі.
Квартилі ділять упорядкований ряд на
4 рівні частини по величині аналізованого показника. Розраховують 3 квартиля,
причому другий збігається з медіаною. В інтервальному варіаційному ряді
розподілу квартилі розраховують таким чином:
(2.9)
XQ1 -
нижня межа квартельного інтервалу hQ1 -
величина квартельного інтервалу 1/4Σf -
одна-четверта суми всіх частот SQ1-1 -
накопичена частота доквартельного інтервалу fQ1 - частота
квартельного інтервалу
Розрахуємо
перший квартиль. Спочатку дізнаємося одну-четверту суми всіх частот.
∑f =
* 25 = 6,25
Тепер вибираємо інтервал, в
якому накопичена частота вперше більше або дорівнює одній-четвертій суми всіх
частот. Це знову перший інтервал. У цьому ж інтервалі і буде знаходиться перший
квартиль. Підставляємо значення і знаходимо його.
Q1 =
3822 + 7208 *
= 6193,1
млн. грн..
Отже, в 2010 році 25%
регіонів України мали роздрібний товарообіг менше ніж 6193,1 млн. грн., а 75% -
більше.
Тепер розрахуємо третій
квартиль. Для цього знайдемо три-четвертих суми всіх частот.
∑f
=
*
25 = 18,75
Ця величина також
знаходиться у першому інтервалі. Підставимо всі необхідні величини у формулу і
знайдемо третій квартиль.
Q3 =
3822
+ 7208 *
=
10935,2 млн. грн..
Отже, у 2010 році 75% регіонів мали
обсяг роздрібного товарообороту менше ніж 10935,2 млн. грн., а 25% - більше.
Тепер я розрахую коефіцієнт
диференціації, або, як його ще називають, коефіцієнт фондів, на основі
квартилів. Він буде показувати в скільки разів або на скільки відсотків
найнижчий рівень товарообороту серед 25% найуспішніших у цьому питанні регіонів
перевищує найбільший рівень роздрібного товарообороту серед 25% найменш
розвинутих у цьому напрямку регіонів.
Його формула виглядає наступним
чином:
Кф =
(2.10)
Отже, я підставлю у цю формулу свої
дані.
Кф =
=
1,766
Отже, у 2010 році в Україні
найнижчий рівень товарообороту серед 25% найуспішніших регіонів перевищував
найбільший рівень роздрібного товарообороту серед 25% найвідсталіших регіонів в
середньому на 76,6%.
Результати розподілу даних
досліджень зручно стисло та наочно подати за допомогою графічних методів. Це
дозволяє представити суть явища, а також сприяє його аналізу та популяризації
результатів.
Статистичний графік - це масштабне
зображення статистичних даних за допомогою ліній, геометричних фігур. Основна
мета і завдання графічного зображення розподілу полягає в тому щоб дати
можливість візуальним способом охопити структуру сукупності, характер і форму
розподілу статистичної сукупності, структурні зрушення. Для побудови графіків
розподілу застосовують, як правило, прямокутну систему координат. При цьому на осі
абсцис відкладають значення варіюючої ознаки, а на осі ординат - відповідні
частоти або частки, чи щільності розподілу.
Способи і прийоми зображення
варіаційних рядів розподілу залежать від типів групувальної ознаки, які бувають
дискретними чи безперервними. Для зображення дискретних рядів розподілу
використовують полігон. При його побудові в системі прямокутних координат по
осі абсцис відкладають значення дискретної ознаки, а по осі ординат - частоти
або частки. Точки послідовно з’єднуються і набувають вигляду ламаної лінії.
Найбільш поширеним видом графічного
зображення інтервальних рядів розподілу є діаграма площин - гістограма. Спосіб
її побудови залежить від того, з рівними чи нерівними інтервалами ряд
розподілу. По вісі абсцис у відповідності до прийнятого масштабу відкладаються
межі інтервалів, на яких будуються прямокутники. Основа кожного прямокутнику
дорівнює ширині інтервалу групування, а висота пропорційна щільностям розподілу
відповідних інтервалів, тобто частоті потрапляння одиниць сукупності в даний
інтервал. Гістограму можна перетворити у полігон, з`єднавши відрізками прямої
середини верхівок.
Мал. 2.1 - Розподіл регіонів України
за рівнем роздрібного товарообороту у 2010 р.
2.3 Основні показники аналізу
динаміки роздрібної торгівлі в Україні за період 2000-2010 рр.
У цьому пункті я буду розглядати
такі показники, як абсолютні прирости, темпи зростання, темпи приросту,
абсолютне значення одного відсотка приросту. Абсолютний приріст показує на
скільки одиниць збільшився або зменшився рівень ряду динаміки в порівнянні з
базисним рівнем.
∆i
= Yi
- Yi-t
(2.11)
i
- рівень останнього року (місяця, кварталу ...), за який здійснюється
розрахунок. Yi-t - базисний рік (місяць, квартал ..), з яким
здійснюється порівняння. Темп зростання показує у скільки разів збільшився
рівень ряду динаміки в порівнянні з базисним рівнем.
Трi
=
(2.12)
де
Yi - рівень останнього
року (місяця, кварталу ...), за який здійснюється розрахунок. Yi-t -
базисний рік (місяць, квартал ..), з яким здійснюється порівняння. Темп
приросту показує на скільки відсотків збільшився або зменшився рівень ряду
динаміки в порівнянні з базисним рівнем.
Тпр = (Тр-1) * 100 (2.13) Абсолютне
значення одного відсотка приросту - показує скільки абсолютних одиниць у одному
відсотку зростання або падіння показника.
A =
(2.14)
Я розрахую ці всі
показники для України за період 2000-2010 рр. Результати я представлю у вигляді
таблиці нижче.
Таблиця 2.3 Динаміка обсягу
роздрібного товарообороту в Україні за період 2000-2010 рр.
обсяг
розд. товар., млн. грн.
|
ланцюгові
показники
|
базисні
показники
|
|
|
∆,
млн. грн.
|
Тр,
%
|
Тпр,
%
|
А,
млн. грн
|
∆,млн.
грн
|
Тр,
%
|
Тпр,
%
|
|
2000
|
28757
|
…
|
…
|
…
|
…
|
0
|
100
|
0
|
|
2001
|
34417
|
5660
|
119,7
|
19,7
|
287,57
|
5660
|
119,7
|
19,7
|
|
2002
|
39691
|
5274
|
115,3
|
15,3
|
344,17
|
10934
|
138,0
|
38,0
|
|
2003
|
49994
|
10303
|
126
|
26,0
|
396,91
|
21237
|
173,9
|
73,9
|
|
2004
|
67556
|
17562
|
135,1
|
35,1
|
499,94
|
38799
|
234,9
|
134,9
|
|
2005
|
94332
|
26776
|
139,6
|
39,6
|
675,56
|
65575
|
328,0
|
228,0
|
|
2006
|
129952
|
35620
|
137,8
|
37,8
|
943,32
|
101195
|
451,9
|
351,9
|
|
2007
|
178233
|
48281
|
137,2
|
37,2
|
1299,5
|
149476
|
619,8
|
519,8
|
|
2008
|
246903
|
68670
|
138,5
|
38,5
|
1782,3
|
218146
|
858,6
|
758,6
|
|
2009
|
230955
|
-15948
|
93,5
|
-6,5
|
2469
|
202198
|
803,1
|
703,1
|
|
2010
|
280890
|
49935
|
121,6
|
21,6
|
2309,6
|
252133
|
976,8
|
876,8
|
Для ланцюгових рядів динаміки:
∆09-10= Y10-Y09=
280890 - 230955
= 49935
млн. грн..
Це означає, що у 2010 році порівняно
з 2010 роком, тобто за рік, роздрібний товарооборот в Україні збільшився на 49935
млн. грн..
Тр09-10=
=
=
1,216 або
121, 6% (+21,6%)
У 2010 році порівно з 2009 роком
обсяг роздрібного товарообороту по Україні збільшився в 1,216 разів.
Тпр09-10=( Тр09-10-1)*100
= (1,216 - 1)*100 = 21,6 %
Цей показник означає, що в 2010 році
порівняно з 2009 роком обсяг роздрібного товарообороту збільшився на 21,6%
А10 =
=
=
2309,55
≈ 2309,6 млн. грн..
Цей показник означає, що кожен у
2010 році порівняно з 2009 роком обсяг роздрібного товарообороту збільшився на
21,6%, причому кожен відсоток приросту містив у собі 2309,6 млн. грн..
роздрібного товарообороту.
∆01-10= Y10-Y00=
280890 - 28757 = 252133 млн. грн..
За період 2001-2010 років, тобто за
10 років, або у 2010 році порівняно з 2000 роком в Україні рівень роздрібного
товарообороту збільшився на 252133 млн. грн.
Тр01-10=
=
=
9,768 або 976,8 % (+876,8%)
За період 2001-2010 років, тобто за
10 років, або у 2010 році порівняно з 2000 роком в Україні обсяг роздрібного
товарообороту збільшився в 9,768 разів.
Тпр01-10=(
Тр01-10-1)*100
= (9,768 -1)*100 = 876,8
%
За період 2001-2010 років, тобто за
10 років, або у 2010 році порівняно з 2000 роком в Україні обсяг роздрібного
товарообороту збільшився на 876,8%
З загального аналізу таблиці по
ланцюгових показниках я бачу, що майже за весь період спостерігалося зростання
обсягів роздрібного товарообороту по Україні мінімум на 15%, і лише у 2009 році
спостерігалося падіння в порівнянні з 2008 роком на 6,5%. Це може бути
обумовлене тим, що саме у цих роках у світі вирувала всесвітня економічна
криза, і пік її припав саме на 2009 рік. Але, якщо аналізувати динаміку в
цілому, ми спостерігаємо позитивний результат. Для більшої наочності я намалюю
графік, на якому більш чітко буде виднітися вся ситуація.
Для наочного зображення явищ в рядах
динаміки найчастіше використовуються лінійні діаграми.
Графіки динаміки найчастіше будують
у прямокутній системі координат, на осі абсцис якої розміщують шкалу
характеристик часу, на осі ординат - рівні ряду динаміки або характеристики
швидкості зростання. Коли число рівнів у ряді динаміки велике, доцільніше
застосовувати лінійні діаграми, які відтворюють безперервність процесу розвитку
у вигляді безперервної ламаної лінії. Отже, лінійні діаграми використовуються в
наступних випадках:
а) коли число рівнів в ряду динаміки
є дуже великим;
б) коли найважливішим є зображення
загальної тенденції й характеру динаміки;
в) коли на одному графіку необхідно
зобразити декілька динамічних рядів з метою їх порівняння;
г) коли суттєвішим є співставлення
темпів зростання, а не рівнів та їх абсолютних приростів.
Лінійні графіки зручніші для
зображення рядів динаміки, оскільки лінія краще виражає неперервність процесу
розвитку
Лінійні графіки дають змогу наочно
визначити періоди часу, коли явища зростали більш чи менш інтенсивно,
зменшувались чи залишались незмінними. [3,
с. 176]
Мал. 2.2. Динаміка роздрібного
товарообороту в Україні за період 2000-2010 роки
З часом змінюються рівні динамічних
рядів і обчислені на їх основі абсолютні прирости та темпи зростання. Виникає
потреба узагальнення притаманних динамічному ряду властивостей, визначення
типових характеристик розвитку. Такими характеристиками є середні величини.
Для того, щоб мати узагальнюючі
характеристики ряду динаміки явища розраховують середні показники: середні
рівні динамічного ряду; середні з аналітичних показників.
Обчислення динамічних середніх має
сенс лише для такого періоду, який характеризується якими-небудь спільними,
тобто однаковими у відомому відношенні, умовами розвитку явища. Якщо ж
динамічна середня обчислена за період, яких охоплює різні етапи розвитку явища,
тобто за період, протягом якого умови розвитку явища суттєво змінювалися, то
такою середньої слід користуватися з великою обережністю, доповнюючи й
корегуючи її середніми за окремі етапи розвитку.
Середній рівень ряду динаміки в
інтервальних рядах розраховується за формулою середньої арифметичної простої.
Yсер =
(2.15)
- послідовні суміжні рівні за весь
аналізованих період. T - довжина аналізованого періоду.
Я розрахую середній рівень для
України за період 2000-2010 роки:
Yсер(01-10)
=
=
138168
млн. грн.
Отже, протягом 2000-2010 років, або
протягом 10 років, в Україні в середньому щорічно здійснювався товарообіг
роздрібного товарообороту на суму 138168
млн. грн.
∆сер =
(2.16)
Δ
- абсолютний приріст, розрахований за весь аналізований період t - довжина
аналізованого періоду
Розрахуємо середній абсолютний
приріст для України за весь аналізований період.
∆сер(01-10)
=
=
=
25213,3
млн. грн..
Протягом 2000-2010 років, тобто
протягом 10 років, роздрібний товарооборот в Україні щорічно збільшувався в
середньому на 25213,3 млн. грн..
Середній темп зростання показує у скільки
разів збільшувався рівень ярда динаміки протягом аналізованого періоду в
середньому за одиницю часу. Його формула виглядає наступним чином:
Тр(сер) =
=
(2.17)
Середній темп приросту показує, на
скільки% збільшувався або зменшувався рівень ряду динаміки протягом
аналізованого періоду в середньому за одиницю часу. Він розраховується за такою
формулою:
Тпр(сер) = (Тр(сер) - 1) *
100 (2.18)
Розрахуємо ці показники для України
за весь аналізований період.
Тр(сер)01-10
=
=
=
=
=
1,256
Це означає, що протягом 2000-2010
років, тобто на протязі 10 років, в Україні в середньому щорічно обсяг
роздрібного товарообороту збільшувався в 1,256
разів.
Тпр(сер)
01-10 = (Тр(сер)01-10
- 1) *100 = (1,256-
1) *100 = 25,6 %
Це означає, що протягом 2000-2010
років, тобто на протязі 10 років, в Україні в середньому щорічно обсяг
роздрібного товарообороту збільшувався на 25,6 %
2.4 Вивчення структури роздрібного
товарообороту в Україні за період 2000-2010 рр.
Для аналізу структури роздрібного
товарообороту можна використовувати його розподіл по багатьох сферах життя:
можна розділяти товарооборот по міській та сільській місцевості, можна
розділяти його на товарооборот по продовольчих та непродовольчих товарах і т.д.
Спочатку я зроблю розрахунок структури товарообороту по міській та сільській
місцевості. Для цього спочатку я вкажу формулу, за якою я буду розраховувати
структуру. Вона носить назву відносна величина структури і виглядає наступним
чином:
ВВС =
(2.19)
де
Yi
- рівень (значення) показника за певний проміжок
часу
∑Yi
- сума всіх рівнів показника
Таблиця 2.4 Структура роздрібного
товарообороту у 2000-2010 рр. в Україні за міськими і сільськими поселеннями
|
Рік
|
обсяг
роздрібного товарообороту, млн. грн.
|
у
тому числі
|
|
|
у
міських поселеннях
|
у
сільській місцевості
|
|
|
млн.
грн.
|
у
% до підсумку
|
млн.
грн.
|
у
% до підсумку
|
|
2000
|
28757
|
25396
|
88,3
|
3361
|
11,7
|
|
2001
|
34417
|
30250
|
87,9
|
4167
|
12,1
|
|
2002
|
39691
|
35222
|
88,7
|
4469
|
11,3
|
|
2003
|
49994
|
44682
|
89,4
|
5312
|
10,6
|
|
2004
|
67556
|
61160
|
90,5
|
6396
|
9,5
|
|
2005
|
94332
|
86804
|
92,0
|
7528
|
8,0
|
|
2006
|
129952
|
119329
|
91,8
|
10623
|
8,2
|
|
2007
|
178233
|
164533
|
92,3
|
13700
|
7,7
|
|
2008
|
246903
|
228794
|
92,7
|
18109
|
7,3
|
|
2009
|
230955
|
212126
|
91,8
|
18829
|
8,2
|
|
2010
|
280890
|
256716
|
91,4
|
24174
|
8,6
|
Отже, ми можемо бачити, що за
2000-2010 роки в Україні частка роздрібного товарообороту у міських поселеннях
зростала. Для більшої наочності побудуємо діаграму.
Мал. 2.3 - Структура роздрібного
товарообороту в Україні за 2000-2010 рр.
2.5 Індексний аналіз роздрібного
товарообороту
Статистичний індекс - відносний
показник, що характеризує співвідношення рівнів якогось явища у часі (індекс
динаміки), у порівнянні за планом (індекс планового завдання та індекс
виконання плану) або у просторі (територіальний індекс).
В деяких випадках існує необхідність
зробити аналіз динаміки середнього рівня якісного показника. Для цього
розраховують систему взаємопов’язаних індексів змінного складу, фіксованого
(постійного) складу та структурних зрушень.
Індекс змінного складу показує зміну
середнього рівня якісного показника у цілому, тобто під впливом зміни обох
факторів.
Індекс фіксованого складу показує
зміни середнього рівня якісного показника за рахунок зміни індивідуальних
значень самого якісного показника.
Індекс структурних зрушень показує
зміну середнього рівня якісного показника під впливом зміни структури
відповідного об’ємного
показника.
Їх формули для роздрібного
товарообороту виглядають наступним чином:
ID(пер.
скл.) =
:
=
(2.20)
Де
D1,
D0
- товарооборот на душу населення у звітному та
базисному роках відповідно
S1,
S0
- середньорічна чисельність населення у звітному та базисному роках відповідно.
ID(пост.
скл.) =
:
(2.21)
ID(струк.
зруш..)
=
:
(2.22)
Усі дані для розрахунків знайдемо у
додатку.
Для більш зручного і наочного
розрахунку побудуємо таблицю.
Таблиця 2.5 Розподіл міського і
сільського населення України за чисельністю населення та роздрібним товарооборотом
на душу населення у 2009 та 2010 роках
|
Поселення
|
чисельність
населення, млн. чол.
|
товарооборот
на душу населення, грн
|
D₁S₁
|
D₀S₀
|
D₀S₁
|
|
2009
|
2010
|
2009
|
2010
|
|
|
|
|
Міські
|
31,6
|
31,6
|
6722
|
8154
|
257666
|
212415
|
212415
|
|
Сільські
|
14,5
|
14,5
|
1299
|
1680
|
24360
|
18835,5
|
18835,5
|
|
Разом
|
46,1
|
46,1
|
-
|
-
|
282026
|
231251
|
231251
|
За даними таблиці розрахуємо вище
згадані показники, а саме індекси перемінного складу, постійного складу та
структурних зрушень.
ID(пер.
скл.) =
:
=
6117,7093
: 5016,2842
= 1,220 або 122,0 % (+22,0%)
У 2010 році порівняно з 2009 роком в
Україні товарообіг на душу населення збільшився в 1,22 рази або на 22%
ID(пост.
скл.) =
6117,7093
:
=
6117,7093
: 5016,2842
= 1,220 або 122,0% (+22,0)
У 2010 році порівняно з 2009 роком в
Україні товарообіг на душу населення збільшився на 22% за рахунок збільшення
товарообороту на душу населення по окремим групам громадян.
ID(струк.
зруш..)
= 5016,2842
: 5016,2842
= 1,000 або 100,0% (+0,0%)
У 2010 році порівняно з 2009 роком в
Україні товарообіг на душу населення за рахунок структури населення не
змінився, бо структура населення залишилася сталою.
2.6 Вивчення еластичності
роздрібного товарообороту
Еластичність попиту та пропозиції -
це їх реагування на зміну соціально-економічних умов на ринку.
Статистика визначає міру
еластичності за допомогою кількісного показника - коефіцієнту еластичності.
Коефіцієнт еластичності - відсоткова
зміна результативного показника при збільшенні факторного показника на 1%
Формула коефіцієнту еластичності
виглядає наступним чином:
Э =
*
=
:
(2.23)
Де
∆Y
- приріст результативної ознаки (попиту)
∆X
- приріст факторної ознаки (пропозиції)
Y - базисний
показник результативної ознаки
X - базисний
показник факторної ознаки
У моїй курсовій роботі за
результативну ознаку я беру роздрібний товарообіг на душу населення, а у якості
факторної ознаки візьму доходи населення.
Я розрахую коефіцієнт еластичності
за всі роки, де це можливо буде зробити і у динаміці прослідкую зміну чи
сталість цього показника.
Результати моїх розрахунків я
представлю у вигляді таблиці:
Таблиця 2.6 Динаміка роздрібного
товарообороту і доходів населення у 2000-2010 рр, коефіцієнт еластичності
|
Рік
|
обсяг
розд. товар. на 1 особу, грн (Y)
|
доходи
населення, млн грн (X)
|
∆Y
|
∆X
|
∆Y/Y
|
∆X/X
|
Э
|
|
2000
|
585
|
128736
|
-
|
-
|
-
|
-
|
-
|
|
2001
|
707
|
-
|
-
|
-
|
-
|
-
|
-
|
|
2002
|
823
|
185073
|
-
|
-
|
-
|
-
|
-
|
|
2003
|
1046
|
215672
|
30599
|
0,271
|
0,1653
|
1,6389
|
|
2004
|
1424
|
274241
|
378
|
58569
|
0,3614
|
0,2716
|
1,3307
|
|
2005
|
2003
|
381404
|
579
|
107163
|
0,4066
|
0,3908
|
1,0405
|
|
2006
|
2777
|
472061
|
774
|
90657
|
0,3864
|
0,2377
|
1,6257
|
|
2007
|
3823
|
623289
|
1046
|
151228
|
0,3767
|
0,3204
|
1,1758
|
|
2008
|
5338
|
845641
|
1515
|
222352
|
0,3963
|
0,3567
|
1,1109
|
|
2009
|
5015
|
894286
|
-323
|
48645
|
-0,061
|
0,0575
|
-1,0519
|
|
2010
|
6123
|
1101175
|
1108
|
206889
|
0,2209
|
0,2313
|
0,955
|
З даної таблиці я можу сказати, що
коефіцієнт еластичності майже у всі роки більше 1, а це означає ультра
еластичність, тобто попит сильно реагує на зміну фактора.
Отже, у 2003 році при зростанні
доходу населення на 1%, товарооборот зростав на 1,6 %, у 2004 році - на 1,3%, у
2005 році - на 1,0%, у 2006 році - на 1,6%, у 2007 році - на 1,2%, у 2008 році
- на 1,1%, у 2009 - при зростанні доходів населення на 1%, товарооборот
знижувався на 1,0%, а у 2010 році - при зростанні доходів населення на 1%,
товарооборот зростав на 0,9%.
Такий показник у 2009 році є
наслідком економічної кризи у світі, саме у цей рік роздрібний товарооборот
різко знизився, і через це люди стали купляти менше товарів, але у 2010 році
потроху ситуація прийшла до ладу.
2.7 Методи виявлення основної
тенденції розвитку
При аналізі рядів динаміки важливо
виявити загальну тенденцію розвитку (тренд) соціально-економічного явища, тобто
встановити, в якому напрямку (зростає, зменшується) і за якою залежністю
(лінійна чи нелінійна) вона змінюється. Ця задача в статистиці називається вирівнюванням
динамічних рядів. Часто рівні ряду з часом змінюються (коливаються), але ця
зміна для різних явищ неоднакова і може визиватися різними причинами. Динаміка
ряду включає три компоненти: тенденцію (або тривалочасовий рух); короткочасовий
систематичний рух; несистематичний випадковий рух.
Ряди динаміки підлягають спеціальній
обробці - вирівнюванню. Вона дозволяє характеризувати особливості зміни за
часом динамічного ряду в найбільш загальному вигляді, вважаючи, що через фактор
часу можна передати вплив усіх головних факторів.
До способів і методів вирівнювання
динамічних рядів можуть бути віднесені такі:
а) збільшення інтервалів;
б) обчислення середніх рівнів для
збільшених інтервалів;
в) визначення ковзкої середньої;
г) аналітичне вирівнювання.
Суть методу ковзної середньої
полягає в наступному: визначається середній рівень з декількох (зазвичай 3-х
або 5) рівнів, починаючи з першого. Далі визначається середній рівень з такої ж
кількості рівнів, але починаючи з другого, потім з третього, четвертого і так
далі.
Розглянемо методику розрахунку
3-річної ковзної середньої по Україні.
Таблиця 2.7 Динаміка обсягу
роздрібного товарообороту по Україні за 2000-2010 рр. 3-річна плинна середня
|
Рік
|
обсяг
роздрібного товарообороту, млн. грн.
|
товарообіг
за 3 роки, млн. грн.
|
∆,
млн. грн.
|
|
|
разом,
млн. грн.
|
в
середньому за рік, млн. грн.
|
|
|
2000
|
28757
|
-
|
-
|
-
|
|
2001
|
34417
|
102865
|
34288,33
|
-
|
|
2002
|
39691
|
124102
|
41367,33
|
7079
|
|
2003
|
49994
|
157241
|
52413,67
|
11046
|
|
2004
|
67556
|
211882
|
70627,33
|
18214
|
|
2005
|
94332
|
291840
|
97280
|
26653
|
|
2006
|
129952
|
402517
|
134172,3
|
36892
|
|
2007
|
178233
|
555088
|
185029,3
|
50857
|
|
2008
|
246903
|
656091
|
218697
|
33668
|
|
2009
|
230955
|
758748
|
252916
|
34219
|
|
2010
|
280890
|
-
|
-
|
-
|
Дана таблиця показує нам, що за
період 2000-2010 рр. в Україні спостерігається тенденція до зростання обсягів
роздрібного товарообороту.
Для більшої наочності
моїх розрахунків я побудую графік, на якому зображу вихідні дані і розрахункові
- тобто 3-річну плинну середню.
Мал. 2.4 - Динаміка роздрібного
товарообороту у 2000-2010 роках (3-річна плинна середня)
Аналітичне вирівнювання ряду
динаміки дозволяє не лише зробити чітким загальний напрям основної тенденції,
але й водночас дає також числову характеристику тренду у вигляді різних
показників середньої швидкості зміни рівня.
Таблиця 2.8 Динаміка обсягів
роздрібного товарообороту в Україні за 2000-2010 рр.
|
Рік
|
обсяг роздрібного товар, млн. грн.
|
t
|
Yt
|
t²
|
Y˄
|
(Y˄-Yсер)2
|
(Y-Yсер)2
|
|
2000
|
28757
|
-10
|
-287570
|
100
|
-10180,32
|
18438269845
|
9379975327
|
|
2001
|
34417
|
-8
|
-275336
|
64
|
16977,2
|
11800492701
|
8315665840
|
|
2002
|
39691
|
-6
|
-238146
|
36
|
44134,718
|
6637777144
|
7381605919
|
|
2003
|
49994
|
-4
|
-199976
|
16
|
71292,236
|
2950123175
|
5717367013
|
|
2004
|
67556
|
-2
|
-135112
|
4
|
98449,755
|
737530793,8
|
3369950265
|
|
2005
|
94332
|
0
|
0
|
0
|
125607,27
|
0
|
978142684,2
|
|
2006
|
129952
|
2
|
259904
|
4
|
152764,79
|
737530793,8
|
18876655,07
|
|
2007
|
178233
|
4
|
712932
|
16
|
179922,31
|
2950123175
|
2769467171
|
|
2008
|
246903
|
6
|
1481418
|
36
|
207079,83
|
6637777144
|
14712653455
|
|
2009
|
230955
|
8
|
1847640
|
64
|
234237,35
|
11800492701
|
11098143642
|
|
2010
|
280890
|
10
|
2808900
|
100
|
261394,86
|
18438269845
|
24112725389
|
|
Разом
|
1381680
|
0
|
5974654
|
440
|
1381680
|
81128387318
|
87854573360
|
Рівняння прямої має наступний
вигляд:
Y = a0
+
a1t
(2.24)
a0,
a1
- параметри рівняння тренда, при цьому a0
- вільний член рівняння a1
- коефіцієнт регресії t - номер по порядку
а0 змістовної
інтерпретації не має а1 показує на скільки одиниць змінювався рівень
ряду динаміки протягом аналізованого періоду в середньому за одиницю вірний з
урахуванням тенденції до рівномірного росту або зниження.
a0
=
(2.25)
де
n-
кількість рівнів ряду динаміки
a1
=
(2.26)
Виходячи з моїх даних, я розрахую ці
показники наступним чином:
a0
=
=
125607,3
a1
=
Розрахуємо індекс
детермінації та індекс кореляції. Індекс детермінації та індекс кореляції
набувають значень від
. Чим ближче
до 1 тим, більш точно отримане рівняння тренда описує вихідний ряд динаміки.
σ2з =
( 2.27)
За формулою 3.4 зробимо
розрахунок:
σ2з =
7986779396
σ2ф =
(2.28)
За формулою 3.5 зробимо
розрахунок:
σ2ф =
7375307938
Розрахуємо індекс кореляції за
наступною формулою
I2
=
(2.29)
I2
=
Для того, щоб охарактеризувати
результати розрахунку за індексом кореляції, ми розрахуємо індекс детермінації.
I
=
(2.30)
I
=
=
0,961
Оскільки значення індексу
детермінації дуже наближене до 1, це означає, що отримане рівняння прямої лінії
досить точно відображає вихідний ряд динаміки, тобто, тенденція що склалася є
сприятливою для розробки прогноза. Я зображу мої розрахунки для більшої
наочності у вигляді графіка.
Мал. 2.5 - Динаміка роздрібного
товарообороту в Україні за 2000-2010 рр. (вихідні та розрахункові рівні)
2.8 Прогноз за даними 2000-2010 рр
на 2011-2013 рр
Я зроблю прогноз на 3
роки вперед, враховуючи динаміку і тенденцію, що склалася за всі 11 років.
Прогноз я буду робити по формулі
(2.24), враховуючи особливості прогнозного методу. Розрахунки я буду робити
також у таблиці.
Таблиця 2.9 Динаміка обсягів
роздрібного товарообороту в Україні за 2000-2010 рр. і прогноз на 2011-2013 рр.
|
Рік
|
обсяг
роздрібного товарообороту, млн. грн.
|
t
|
Yt
|
t²
|
Y˄
|
|
2000
|
28757
|
-10
|
-287570
|
100
|
-10180,32
|
|
2001
|
34417
|
-8
|
-275336
|
64
|
16977,2
|
|
2002
|
39691
|
-6
|
-238146
|
36
|
44134,718
|
|
2003
|
49994
|
-4
|
-199976
|
16
|
71292,236
|
|
2004
|
67556
|
-2
|
-135112
|
4
|
98449,755
|
|
2005
|
94332
|
0
|
0
|
0
|
125607,27
|
|
2006
|
129952
|
2
|
259904
|
4
|
152764,79
|
|
2007
|
178233
|
4
|
712932
|
16
|
179922,31
|
|
2008
|
246903
|
6
|
1481418
|
36
|
207079,83
|
|
2009
|
230955
|
8
|
1847640
|
64
|
234237,35
|
|
2010
|
280890
|
10
|
2808900
|
100
|
261394,86
|
|
2011
|
-
|
-
|
144
|
288552,38
|
|
2012
|
-
|
14
|
-
|
196
|
315709,9
|
|
2013
|
-
|
16
|
-
|
256
|
342867,42
|
|
Разом
|
1381680
|
-
|
5974654
|
1036
|
2328809,7
|
Отже, згідно моїх прогнозних
розрахунків, у 2011 році рівень роздрібного товарообороту складе 288552,38
млн. грн., у 2012 році - 315709,9,
а у 2013 - 342867,42 млн. грн..
Свій прогноз я зображу у вигляді
графіка.
Мал. 2.6 - Динаміка роздрібного
товарообороту в Україні за 2000-2010 рр. та прогноз на 2011-2013 рр.
Висновок
Отже, протягом 2000-2010 років, або
протягом 10 років, в Україні в середньому щорічно здійснювався товарообіг
роздрібного товарообороту на суму 138168
млн. грн., щорічно збільшувався в середньому на 25213,3
млн. грн., або на 25,6%.
Середній обсяг роздрібного
товарообороту України за 2010 рік склав 8979,04 млрд. грн.
У моїй сукупності регіонів за
розміром роздрібного товарообороту найбільше значення показника дорівнює 25446
млн. грн., цей показник відноситься до міста Донецьк, а найменше - 3822, що
відповідає місту Тернопіль.
В даній сукупності регіонів найбільш
часто зустрічаються регіони з рівнем роздрібного товарообороту в середньому
7734,9 млн. грн.
% регіонів в даній сукупності мають
обсяг роздрібного товарообороту менше 8564,1 млн грн., а друг половина -
більше.
У 2010 році в Україні найнижчий
рівень товарообороту серед 25% найуспішніших регіонів перевищував найбільший
рівень роздрібного товарообороту серед 25% найвідсталіших регіонів в середньому
на 76,6%.
Обсяг роздрібного товарообороту у
міських поселеннях значно вище, ніж у сільській місцевості. Наприклад у 2010
році обсяг роздрібного товарообороту у міських поселеннях склала 256716
млн. грн.., або 91,4%,
а у сільських поселеннях відповідно 24174
млн. грн.., або 8,6
%.
У 2003 році при зростанні доходу
населення на 1%, товарооборот зростав на 1,6 %, у 2004 році - на 1,3%, у 2005
році - на 1,0%, у 2006 році - на 1,6%, у 2007 році - на 1,2%, у 2008 році - на
1,1%, у 2009 - при зростанні доходів населення на 1%, товарооборот знижувався
на 1,0%, а у 2010 році - при зростанні доходів населення на 1%, товарооборот
зростав на 0,9%.
За моїм прогнозом на 3 роки у 2011
році рівень роздрібного товарообороту складе 288552,38
млн. грн., у 2012 році - 315709,9,
а у 2013 - 342867,42 млн. грн..
Список
використаної літератури
. Підгорний
А. З. Теорія статистики: Навчальний посібник - Одеса,: ОДЕУ, 2001
. Лугінін
О.Є., Білоусова С.В. Статистика: Підручник. - К.: Центр навчальної літератури,
- 2005
. Герасименка
С.С. Статистика: Підручник - 2-ге вид., перероб. і доп. - К.; КНЕУ, 2000
. Шканова
О.М. Інфраструктура товарного ринку: Навчальний посібник - К.: МАУП - 2004
. Прокопенко
О.В., Школа В.Ю., Дегтяренко О.О. Інфраструктура товарного ринку: Навчальний
посібник . - К.: Центр навчальної літератури, - 2007
6. В.О.
Піщейко Статистичний збірник «Роздрібна
торгівля
України у 2000-2010 роках»
- Київ 2011
. О.Г.
Осауленко Статистичний щорічник України за
2010 рік - Київ 2011
. #"730837.files/image085.gif">
|
1
|
Крим
|
10171
|
1420768,642
|
|
2
|
Вінниця
|
5673
|
32182929
|
|
3
|
Волинь
|
4709
|
22174681
|
|
4
|
Дніпропетровськ
|
24763
|
613206169
|
|
5
|
Донецьк
|
25446
|
647498916
|
|
6
|
Житомир
|
5028
|
25280784
|
|
7
|
Закарпаття
|
5978
|
35736484
|
|
8
|
Запоріжжя
|
10734
|
115218756
|
|
9
|
Івано-Франківськ
|
4859
|
23609881
|
|
10
|
Київ
|
12222
|
149377284
|
|
11
|
Кіровоград
|
4430
|
19624900
|
|
12
|
Луганьск
|
9143
|
83594449
|
|
13
|
Львів
|
15024
|
225720576
|
|
14
|
Миколаїв
|
5695
|
32433025
|
|
15
|
Одеса
|
18007
|
324252049
|
|
16
|
Полтава
|
7215
|
52056225
|
|
17
|
Рівне
|
4389
|
19263321
|
|
18
|
Суми
|
3926
|
15413476
|
|
19
|
Тернопіль
|
3822
|
14607684
|
|
20
|
Харків
|
18798
|
353364804
|
|
21
|
Херсон
|
5138
|
26399044
|
|
22
|
Хмельницький
|
5228
|
27331984
|
|
23
|
Черкаси
|
5571
|
31036041
|
|
24
|
Чернівці
|
4122
|
16990884
|
|
25
|
Чернігів
|
4385
|
19228225
|
|
Разом
|
224476
|
2927023340
|
Додаток В
Робоча таблиця
|
Межі
групи, млн грн
|
Регіон
|
Роздрібний
товарооборот у 2010 р, млн грн
|
|
3822-11030
|
Крим
|
10171
|
|
Вінниця
|
5673
|
|
Волинь
|
4709
|
|
Житомир
|
5028
|
|
Закарпаття
|
5978
|
|
Запоріжжя
|
10734
|
|
Івано-Франківськ
|
4859
|
|
Кіровоград
|
4430
|
|
Луганьск
|
9143
|
|
Миколаїв
|
5695
|
|
Полтава
|
7215
|
|
Рівне
|
4389
|
|
Суми
|
3926
|
|
Тернопіль
|
3822
|
|
Херсон
|
5138
|
|
Хмельницький
|
5228
|
|
Черкаси
|
5571
|
|
Чернівці
|
4122
|
|
Чернігів
|
4385
|
|
Разом
|
110216
|
|
11030-18238
|
Київ
|
12222
|
|
Львів
|
15024
|
|
Одеса
|
18007
|
|
Разом
|
45253
|
|
18238-25446
|
Дніпропетровськ
|
24763
|
|
Донецьк
|
25446
|
|
Харків
|
18798
|
|
Разом
|
69007
|