Статистичний аналіз діяльності комерційних банків (умовна вибірка показників по 20 банках)
Міністерство
фінансів України
Дніпропетровський
державний фінансово-економічний інститут
КОНТРОЛЬНА
РОБОТА
з
дисципліни „СТАТИСТИКА”
на
тему: Статистичний аналіз діяльності комерційних банків (умовна вибірка
показників по 20 банках)
Виконала: студент _____ курсу
групи______________
Перевірив: викладач кафедри
статистики
Дніпропетровськ
2005
Зміст
Вступ.........................................................................................................................3
Розділ 1. Теорія статистичних спостережень.......................................................5
1.1. Статистичні характеристики варіаційних
рядів............................................8
1.2. Основи індексного аналізу............................................................................16
1.3. Статистичний аналіз динамічних
рядів........................................................19
1.4. Кореляційно-регресійний статистичний аналіз динамічних
рядів............22
Розділ 2. Аналіз статистичного спостереження характеристик вибірки
комерційних банків...............................................................................................25
2.1. Результати первинного статистичного спостереження показників діяльності
комерційних
банків.............................................................................25
2.2. Результати зведення та групування статистичних даних (задачі 1,
2)......28
2.3. Аналіз рядів розподілу (задача 5).................................................................30
2.4. Відносні статистичні показники (задача 3, 4)..............................................34
2.5 Аналіз інтенсивності та тенденцій розвитку, графічні методи (задача
6, 7)..............................................................................................................................35
2.6. Індексний аналіз (задачі 8, 9)........................................................................38
Перелік використаних джерел..............................................................................41
Вступ
Статистика – це наука, яка вивчає розміри і
кількісні співвідношення масових суспільно-економічних явищ і процесів у
нерозривному зв ' язку з їх якісним змістом.
Для вивчення кількісного аспекту масових
суспільно-економічних явищ і процесів статистика використовує ряд понять і
категорій: 1)ознака; 2)варіація; 3) статистична сукупність; 4)показник; 5)
система показників.
Ознакою в статистиці називають відмінну
рису, властивість, якість, що є характерною для окремих одиниць. об '
єктів(явищ).Статистична сукупність – це велика кількість одиниць, об ' єктів,
явищ, об ' єднаних будь-якими загальними властивостями(ознаками), що піддаються
статистичному вивченню.
Під статистичним показником розуміють
узагальнену кількісну характеристику соціально-економічних явищ і процесів у їх
якісній визначеності щодо конкретних умов місця і часу.
Систематизація та підсумовування даних з
метою одержання узагальненої характеристики досліджуваного явища за рядом
істотних ознак називають статистичним зведенням.
Групування – це процес утворення однорідних
груп на основі розподілу всієї сукупності досліджуваного явища на окремі
групи(частини) за найбільш істотними ознаками.
Все розмаїття ознак, на основі яких можуть
здійснюватися стаистичні групування, можна класифікувати наступним чином :
1) за формою вираження – на атрибутивні та
кількісні(варіаційні);
2) за характером коливності – на
альтернативні та варіаційні;
3) за роллю, яку вони відіграють в процесі
– на факторні та результативні.
В контрольній роботі проведена статистична
обробка вибірки результатів по 20 банкам при факторним ознакам – кількість
акцій, вартість однієї акції, рентабельність активів банку, рентабельність
капіталу банку та результативній ознаці – ринкова вартість пакету акцій
комерційного банку (ринкова оцінка вартості капіталу банку).
Розділ 1. Теорія статистичних спостережень
Статистика вивчає розміри і кількісні
співвідношення масових суспільно-економічних явищ і процесів у нерозривному
зв’язку з їх якісним змістом. Для того, щоб виявити та охарактеризувати
розміри, їх зміни і кількісні співвідношення конкретних масових суспільних
явищ, необхідно послідовно здійснити такі три основі стадії
економіко-статистичного дослідження: 1) статистичне спостереження; 2)
статистичне зведення і групування первинних даних; 3) аналіз статистичної
інформації. Для вивчення кількісного аспекту масових суспільно-економічних явищ
і процесів статистика використовує ряд понять і категорій: ознака, варіація,
статистична сукупність, показник, система показників. Статистична сукупність –
це велика кількість одиниць, об’єктів, явищ, об’єднаних будь-якими загальними
властивостями (ознаками), що піддаються статистичному вивченню
Закон великих чисел – це один із основних
законів який використовується статистикою для дослідження явищ суспільного
життя. Він дає змогу зрозуміти, чому із великої кількості хаосу випадкових
зв’язків ми можемо встановити і встановлюємо закономірності у розвитку
суспільних явищ. Кожне окреме явище суспільного життя завжди унікальне, тому що
на нього впливає велика кількість випадкових чинників. Розпізнати між ними
закономірність у кожному конкретному випадку практично неможливо. Але якщо
вивчати ці явища у значній кількості, то можна з’ясувати закономірності, оскільки
випадкові відхилення, властиві кожному окремому явищу, в своїй сукупності
нейтралізують одне одного.
Закономірність – це повторюваність,
послідовність та порядок у розвитку соціальних явищ. Вона може проявлятися
по-різному. В філософії розрізняють два види закономірностей: динамічну та
статистичну.
Динамічна закономірність – це така, яка
виявляється в кожному окремому випадку і не залежить від кількості одиниць, які
ми спостерігаємо. Вона притаманна природним явищам. Наприклад, закон Архімеда
можна виявити і в одному об’єкті, який занурюють в рідину, і на тисячі
об’єктів.Статистична закономірність – це така, яка виявляється лише в достатній
кількості однорідних одиничних елементів, котрі й утворюють сукупність. Тобто
кожний окремий елемент може не підтверджувати існування тієї чи іншої
закономірності, тому що існування її в кожному окремому елементі носить
імовірний характер. Інакше кажучи, статистична закономірність властива лише
сукупності одиниць, яка має назву статистичної сукупності.
Статистичні закономірності проявляються
по-різному. Це можуть бути закономірності: 1) розвитку (динаміки) явищ
(статистика свідчить про збільшення чисельності населення, зростання тривалості
життя, зменшення середнього віку обрання шлюбу); 2) структурних зрушень
(збільшення частки міського населення в загальній його чисельності, а також
частки населення похилого віку в сільській місцевості); 3) розподілу елементів
сукупності (розподіл населення за віком, сімей за числом дітей, середньодушовим
доходом); 4) зв’язку між явищами (залежність прибутку від фондоозброєності,
собівартості продукції, продуктивності праці).
Статистична сукупність – це певна множина
елементів, поєднаних однаковими умовами існування та розвитку. Об’єктивною
основою існування статистичної сукупності є складне перетинання причин та умов,
які формують той чи інший масовий процес, наприклад, зміни тенденції в розвитку
злочинності від зміни соціально-економічної та політичної ситуації в країні.
Кожний окремий елемент, який складає
статистичну сукупність, має назву одиниці сукупності. Кожна окрема одиниця
сукупності є носієм явища, що вивчається, і відрізняється від іншої одиниці
сукупності розміром ознаки. Завжди має місце коливання (варіювання) значень
ознаки у кожній одиниці статистичної сукупності.
Явищами хімії, фізики, математики та інших
природничих наук властиві лише динамічні закономірності.
Явища суспільного життя, які вивчаються
статистикою, відносяться до статистичних закономірностей. Окремі елементи
статистичної сукупності характеризуються значною кількістю різних ознак, але
відповідно до мети дослідження вони мають загальні властивості, що і робить їх
статистичною сукупністю.Ознака, яка приймає в межах сукупності різні значення ,
називається варіюючою, а відмінність, коливання значень ознаки – варіацією.
Склад елементів і спосіб об’єднання їх визначають структуру сукупності.
Ознаки поділяються на кількісні і
атрибутивні (словесні). Якщо кількісна ознака представлена числом (стаж роботи,
заробітна плата), то застосовують загально визнані еталони і одиниці виміру.
Для атрибутивних ознак вимірювання означає реєстрацію наявності чи відсутності
властивості, що вивчається (категорійні підрахунки).
Набір властивостей явища і відповідних їм
чисел називають шкалою вимірювання. Теоретично існує багато типів шкал. За
рівнем вимірювання і допустимими арифметичними діями виділяють метричну,
номінальну, порядкову (рангову) шкали.
Метрична – це звичайна числова шкала
обчислення, яку використовують для вимірювання фізичних величин ваги, довжини,
часу) або результатів обчислення (прибуток, середня заробітна плата). Ознаки
метричної шкали поділяються на дискретні і неперервні. Дискретні мають лише
окремі, ізольовані значення. Найчастіше це результати лічби. Неперервні ознаки
мають будь-які значення в певних межах. Така визначеність неперервної ознаки
дещо умовна, її завжди можна представити дискретною.
Номінальна – це шкала найменувань.
“Оцифровка” ознак цієї шкали проводиться таким чином, щоб подібним елементам
відповідало одне й те саме число, а неподібним – різні числа. Найчастіше
використовують штучні вимірники, які приймають значення “1” або “0” залежно від
наявності чи відсутності властивості, що вивчається.
Порядкова (рангова) шкала встановлює не
тільки відношення подібності елементів, а й послідовності – порядку. Це
відношення типу “більше, ніж”, “краще, ніж” тощо. Кожному пункту шкали
приписується число – ранг, число балів або будь-яка монотонно зростаюча функція
(-2, -1, 0, 1, 2), що відбиває послідовність значень, але не відстань між ними.
Математично вивчати статистичну
закономірність дає змогу використання тільки закону великих чисел. Закон
великих чисел – це математично обґрунтована теорія, відповідно до якої,
спираючись на знання теорії ймовірностей, можна стверджувати, що спільна дія
значної кількості випадкових фактів призводить до наслідків, які не залежать
від випадку. Проте закон великих чисел не може визначити ні рівень, ні динаміку
розвитку суспільного явища. Він лише обумовлює взаємо погашення випадкових
відхилень, які властиві окремим одиницям статистичної сукупності, дозволяє
виявити в ній дію об’єктивних законів розвитку суспільних явищ.
1.1 Статистичні характеристики варіаційних
рядів
Зібрані знаслідок статистичного
спотереження первинні матеріали за допомогою зведення і групування
узагальнюються, в результаті чого одержують зведені статистичні таблиці, в яких
сукупності одиниць подаються в цілому та в розрізі груп[8].
Серед показників, які розраховуються в
практиці статистичної роботи, можна виділити три групи за явними ознаками:
1) за суттю досліджуваних явищ розрізняють
показники об ' ємні, що характеризують розміри явищ, процесів, та якісні, що
характеризують кількісні співвідношення,характерні властивості досліджуваних
явищ;
2) за ступенем агрегування явищ можна
виділити індивідуальні, що виражають ознаки окремих одиниць сукупності, і
загальні(узагальнюючі), що виражають розміри ознаки окремих груп або всієї
сукупності;
3) залежно від характеру досліджувальних
явищ розрізняють статистичні показники інтервальні, які ивражають розміри
кількісної ознаки за певні періоди часу, і моментні, що виражають розміри
кількісної ознаки на певний момент;
Абсолютні величини – це показники, які
виражають розміри суспільно-економічних явищ і процесів в кокретних умовах часу
і місця.
Відносними статистичними величинами
називаються показники, які виражають кількісні співвідношення між явищами
суспільно-економічного життя. Відносними величинами динаміки називаються
показники, які виражають ступінь зміни явищ у часі.
Відносні величини струтури характеризують
склад досліджувальної сукупності. Зіставляючи струкутру однієї і тої ж
сукупності за різні періоди часу, можна простежити за структурними змінами.
Однією з кількісних характеристик
статистичних закономірностей є середня величина, яка здатна відобразити
характерний рівень ознаки, притаманої усім елементам сукупності. Варіація
будь-якої ознаки формується під впливом двох груп причин – основних,
визначальних, які тісно пов’язані з природою самого явища, і другорядних,
випадкових для сукупності в цілому.
Характерний, типовий рівень ознаки
формується під впливом першої групи причин. Відхилення індивідуальних значень
ознаки від типового зумовлені дією другорядних причин, які урівноважуються і
тому на рівень середньої істотно не впливають. Середня характеризує типовий
рівень варіаційної ознаки. Вона відображує в собі те спільне, характерне, що
об’єднує всю масу елементів, тобто статистичну сукупність. Проте слід
пам’ятати, що середня відображає типовий рівень ознаки лише в тому випадку,
коли статистична сукупність, за якою вона обчислюється, якісно однорідна. Це
одна з основних умов наукового застосування середніх у статистиці. Крім того,
типовий рівень ознаки, що вивчається, проявляє себе лише у випадку узагальнення
масових фактів. В цьому проявляється дія закону великих чисел [1] .
За допомогою середніх величин масу
елементів можна охарактеризувати одним числом, не зважаючи на те, що середня
величина абстрактна і може не збігатися з жодним з індивідуальних значень
ознаки. Вона відображає те загальне, типове для маси явищ, яке реально існує в
конкретних умовах простору і часу. За допомогою середніх можна здійснити
порівняльний аналіз кількох сукупностей, дати характеристику закономірностей
розвитку соціально-економічних явищ і процесів. Не слід змішувати середні з
відносними величинами інтенсивності. Середня завжди узагальнює кількісну
варіацію ознаки, яка тією чи іншою мірою властива всім без винятку елементам
сукупності.
Статистична середня – одна з найважливіших
кількісно-якісних категорій, яку широко використовують у планово-аналітичній
роботі підприємств і організацій. Поширення набуло обчислення таких показників,
як середня врожайність, середня заробітна плата, середній рівень продуктивності
праці та інше.
При вивченні закономірностей розподілу
застосовують середню арифметичну, варіації – середня квадратичну, інтенсивності
розвитку – середню геометричну. Вибір середньої має ґрунтуватися на всебічному
теоретичному аналізі суті явищ та наявній інформації. Середня лише тоді може
бути справжньою узагальнюючою характеристикою, коли при заміні нею всіх
варіантів загальний обсяг варіаційної ознаки залишиться незмінним. Отже,
залежно від того, що являє собою загальний обсяг варіаційної ознаки, в кожному
конкретному випадку обирають вид середньої.
Варіація, тобто коливання, мінливість значень
будь-якої ознаки є властивістю статистичної сукупності. Вона зумовлена дією
безлічі взаємопов’язаних причин, серед яких є основні і другорядні. Основні
причини формують центр розподілу, другорядні – його варіацію ознак, сукупна їх
дія – форму розподілу.
Статистичні характеристики центру розподілу
(середня, мода , медіана) відіграють важливу роль у вивченні статистичних
сукупностей. В одних сукупностях індивідуальні значення ознаки значно
відхиляються від центру розподілу, в інших – тісно групуються навколо нього, а
відтак виникає потреба оцінити поряд з характеристиками центру розподілу міру і
ступінь варіації. Чим менше варіація, тим однорідніша сукупність, отже, тим
більш надійні і типові характеристики центру розподілу, насамперед середні
величини.
Середнє відбиває те загальне, що
складається в кожному окремому, одиничному об'єкті завдяки цьому середня
одержує велике значення для виявлення закономірностей властивим масовим
суспільним явищам і непомітних в одиничних явищах. Середня відображає
об'єктивну властивість явища. У дійсності часто існує тільки відхилені явища, і
середня як явище може і не існувати, хоча поняття типовості явища і
запозичається з дійсності.Індивідуальні значення досліджуваної ознаки в окремих
одиницях сукупності можуть бути тими чи іншими (наприклад, ціни в окремих
продавців). Ці значення неможливо пояснити, не просліджуючи
причинно-наслідувальні зв'язки. Тому середня величина індивідуальних значень
того самого виду є продукт необхідності. Він є результатом сукупної дії всієї
єдиної сукупності, що виявляється в масі повторюваних випадків,
опосередковуваних загальними умовами процесу[2].
Розподіл індивідуального значення
досліджуваної ознаки породжує випадковість його відхилення від середніх, але не
випадкове середнє відхилення, що дорівнює нулю.
Середня, розрахована по сукупності в цілому
називається загальною середньою, середні, обчислені для кожної групи —
груповими середніми. Загальна середня відбиває загальні риси досліджуваного
явища, групова середня дає характеристику розміру явища, що складається в
конкретних умовах даної групи.
Визначальній функції відповідає рівняння
середніх, знаючи визначальну функцію і рівняння середніх
чи
(1.1)
одержуємо формулу[1]:
(1.2)
де Хi — індивідуальне значення ознаки
кожної одиниці сукупності;
n — число одиниць сукупності.
Здатність середніх величин зберігати
властивості статистичних сукупностей називають визначальною властивістю.
Статистичні групування, за допомогою яких
виявляють взаємозв’язки між ознаками, називають аналітичними[2].
Групування зводиться до утворення
оптимального числа груп для кожного конкретного випадку з таким розрахунком,
щоб групові середні носили не випадковий характер і щоб групувальна ознака
проявила себе повною мірою.
Ранжируваний ряд – ряд, розташований в
порядку збільшення або зменшення значень ознаки.
До характеристик центру розподілу відносять
середню, моду та медіану.
Середня величина характеризує типовий
рівень ознаки в сукупності.
Мода – це найпоширеніше значення ознаки,
тобто варіанта, яка в ряду розподілу має найбільшу частоту. В інтервальному
ряду за найбільшою частотою визначається модальний інтервал.
Моду обчислюють за наступною формулою:
(1.3)
де і –величина інтервалу; fMo – частота
модального інтервалу; fMo-1 – частота інтервалу, що передує модальному; fMo+1 –
частота інтервалу, наступного за модальним.
Моду визначають за гістограмою розподілу.
Медіана – це варіанта, яка припадає на
середину упорядкованого ряду розподілу і ділить його на дві рівні за обсягом
частини. В інтервальному ряду визначається медіанний інтервал.
Положення медіани визначається її номером.
(1.4)
де xMe – нижня границя медіанного
інтервалу; і – величина інтервалу; S(Me-1) – накопичена частота інтервалу, що
передує медіанному; f – частота медіанного інтервалу.
Середня величина в кожний момент часц чи на
визначеному (котроткостро-ково-обмеженому) інтервалі часу характеризується
наступними параметрами :
розмах варіації;
середнє лінійне відхилення;
середнє квадратичне відхилення;
дисперсію;
- коефіцієнт варіації.
Для вимірювання та оцінки варіації
використовують абсолютні та відносні характеристики. До абсолютних відносяться:
варіаційний розмах, середнє лінійне та середнє квадратичне відхилення,
дисперсія; відносні характеристики представлені низкою коефіцієнтів варіації.
Варіаційний розмах характеризує діапазон
варіації, це різниця між максимальним і мінімальним значеннями ознаки:
(1.5)
Узагальнюючою мірою варіації є середнє
відхилення індивідуальних значень ознаки від центру розподілу.
Середнє лінійне відхилення:
(1.6)
Середнє квадратичне відхилення:
(1.7)
Середній квадрат відхилень – дисперсія:
, (1.8)
де
- середнє арифметичне інтервального ряду
розподілу, f – частота.
Середнє лінійне та середнє квадратичне
відхилення – іменовані числа (в одиницях вимірювання ознаки).
Дисперсія і середнє квадратичне відхилення
призначені для вимірювання варіації оцінки. середнє квадратичне відхилення є
мірилом надійності середньої. Чим менше середнє квадратичне відхилення, тим
повніше середня арифметична відображає всю сукупність. Всі показники варіації –
розмах варіації, середнє лінійне відхилення, середній квадрат відхилення та
середнє квадратичне відхилення завжди виражаються в тих одиницях виміру, в яких
виражені вихідні дані ряду та середні. Всі вони є абсолютним виміром варіації.
А це значить, що порівнювати абсолютні показники варіації у варіаційних рядах
різних явищ безпосередньо неможливо. Для того, щоб забезпечити їх порівняння,
потрібно обчислити показники, які характеризували б варіацію, виражену в
стандартних величинах, наприклад, у процентах. Якщо порівняти середнє
квадратичне відхилення з середньою величиною, то і буде одержана ця стандартна
величина.
Порівнюючи варіації різних ознак або однієї
ознаки у різних сукупностях, використовують відносні характеристики варіації.
Коефіцієнти варіації розраховуються як відношення абсолютних, іменованих
характеристик до центру розподілу і часто виражаються процентами:
Коефіцієнт осциляції:
(1.9)
Лінійний коефіцієнт варіації:
(1.10 )
Квадратичний коефіцієнт варіації:
(1.11)
Коефіцієнт варіації є в певній мірі
критерієм типовості середньої. Якщо коефіцієнт дуже великий, то це означає, що
середня характеризує сукупність за ознакою, яка суттєво змінюється у окремих
одиниць.
Згідно з [ ] , cукупність вважається
однорідною для розподілів близьких до нормального, коли величина коефіцієнта
варіації не перевищує 33%.
1.2 Основи індексного аналізу
Індексом у статистиці називається відносний
показник, який характеризує зміну рівня якогось суспільного явища з часом або
його співвідношення у просторі.
Прийнято розрізняти дві категорії індексів:
індивідуальні та загальні. Індекс, який характеризує співвідношення величин
окремого явища, називається індивідуальним, а індекс, котрий характеризує
співвідношення рівнів усього явища в цілому або його частин, що складаються з
кількох окремих елементів, які безпосередньо не піддаються підсумовуванню, -
загальним.
Статистичний індекс – це узагальнюючий
показник, який виражає співвідношення величин складного економічного явища, що
складається з елементів безпосередньо несумірних. У статистиці розрізняють
декілька ивдів індексів, в основу класифікації яких покладені різні ознаки [3]:
характер об ' єкта дослідження,
ступінь охоплення одиниць сукупності,
база порівняння,
вид зрівнюваних величин.
Індивідуальні індекси дають порівняльну
характеристику окремих елементів складного явища і мають форму відношення
певного показника у базисному (0) та звітному (1) періодах [5]:
(1.12)
Загальний індекс є агрегатуваннням
індивідуальних індексів і характеризує зміну сукупностей, до якої входять
різнорідні елементи . Так загальна формула агрегатного індексу сукупності явищ
у базисному (0) та звітному (1) періоді має наступний вираз(для вартісних
економічних явищ , які характеризуються обсягами (q) та ціною (р) одиниці
обсягу):
(1.13)
Для характеристики економічних явищ
загальний агрегатний індекс (1.13) розбивають на два індекси :
загальний індекс фізичного обсягу
вартісного явища (при умові незмінних цін р у базисному та звітному періодах):
(1.14)
загальний індекс цін вартісного явища (при
умові незмінного обсягу q у базисному та звітному періодах):
(1.15)
Для характеризування структурних зрушень
середніх величин в вартісних економічних явищах застосовують індекси змінного
складу, індекси постійного складу та індекси структурних зрушень, які формують
систему взаємопов ' язаних індексів [5]:
(1.16)
(1.17)
де індекс цін постійного складу Ipz дорівнює
:
(1.18)
а індекс цін за рахунок структурних зрушень
Id дорівнює :
(1.19)
1.3 Статистичний аналіз динамічних рядів
Для кращого розуміння і аналізу
досліджувальних статистичних даних, їх потрібно систематизувати, побудувавши
хронологічні ряди, які називаються рядами динаміки або часовими рядами.
Кожний ряд динаміки складається з двох
елементів :
1) періодів або моментів часу, до яких
відносяться рівні ряду(t);
2) статистичних показників, які
характеризують інтенсивності рівнів ряду(Y).
Основою довгострокового аналізу та
прогнозування параметрів рядів динаміки є індексний аналіз.
Індексом у статистиці називається відносний
показник, який характеризує зміну рівня якогось суспільного явища з часом або
його співвідношення у просторі[9].
Прийнято розрізняти дві категорії індексів:
індивідуальні та загальні. Індекс, який характеризує співвідношення величин
окремого явища, називається індивідуальним, а індекс, котрий характеризує
співвідношення рівнів усього явища в цілому або його частин, що складаються з
кількох окремих елементів, які безпосередньо не піддаються підсумовуванню, -
загальним.
У статистиці найчастіше застосовують
індивідуальні індекси. Якщо необхідно обчислити динаміку однорідних показників,
то можна використовувати індивідуальний індекс, який дасть змогу з’ясувати, як
змінилось те чи інше явище за той чи інший час або в просторі.
У процесі аналізу рядів динаміки обчислюють
і використовують наступні аналітичні показники динаміки: абсолютний приріст,
темп зростання, темп приросту і абсолютне значення одного проценту приросту.
Обчислення цих показників грунтується на абсолютному або відносному зіставленні
між собою рівнів ряду динаміки. Рівень, який зіставляється, називають звітним,
а рівень, з яким зіставляють інші рівні – базисним. За базу зіставлення
приймають початковий (перший) рівень ряду динаміки. Якщо кожний наступний
рівень зіставляють з попереднім, то отримують ланцюгові показники динаміки, а
якщо кожний наступний рівень зіставляють з рівнем, що взятий за базу
зіставлення, то одержані показники називають базисними [7].
Абсолютний приріст обчислюється як різниця
між звітним і базисним рівнями і показує, на скільки одиниць підвищився чи
зменшився рівень порівняно з базисним за певний період часу. Він виражається в
тих же одиницях виміру, що й рівні динаміки.
або
(1.20)
де yi – звітний рівень ряду динаміки; yi-1
– попередній рівень ряду динаміки;
y1 – початковий рівень ряду динаміки.
Темп зростання обчислюється як відношення
зіставлюваного рівня з рівнем, прийнятого за базу зіставлення, і показує, у
скільки разів (процентів) зрівнюваний рівень більший чи менший від базисного.
або
(1.21)
Темп приросту визначається як відношення
абсолютного приросту до абсолютного попереднього або початкового рівня і
показує, на скільки процентів порівнювальний рівень більший або менший від
рівня, взятого за базу порівняння.
або
(1.22)
Абсолютне значення одного проценту приросту
визначається шляхом ділення абсолютного приросту на темп приросту за один і той
же період.
(1.23)
Середній абсолютний приріст визначається як
середня арифметична проста з ланцюгових приростів за певні періоди і показує,
на скільки одиниць в середньому змінився рівень порівняно з попереднім.
(1.24)
Середній темп зростання розраховується за
формулою середньої геометричної:
(1.25)
Середній темп приросту визначається як
різниця між середнім темпом зростання одиницею (якщо середній темп зростання
вигляді коефіцієнта), бо 100 (якщо він у процентах)
(у вигляді коефіцієнтів); (1.26)
(у вигляді процентів).
Середній темп прирості показує, на скільки
процентів збільшився або зменшився рівень порівняно з попереднім в середньому
за одиницю часу.
1.4 Кореляційно-регресійний статистичний
аналіз динамічних рядів
Характеристикою кореляційного зв’язку є лінія регресії.
Найпростіше рівнян
ня лінійного регресії має вигляд: y=a+bx,
де параметри a, b находимо з системи нормальних рівнянь[7]:
(1.27)
(1.28)
Коефіцієнт кореляції між двома рядами
вібирок X,Y величин
розраховується за формулою :
(1.29)
де
- дисперсія вибірки величин Х; (1.30)
- дисперсія вибірки величин Y; (1.31)
- коваріація виборок X,Y (1.32)
Для характеристики кореляційного зв’язку
між факторною і результативною ознаками побудуємо графік кореляційного поля та
теоретичну лінію регресії, визначити параметри лінійного рівняння регресії.
Для перевірки істотності зв’язку потрібно
порівняти фактичне значення статистики Фішера (F-критерій) з його критичним
(табличним) значенням, яке потрібно визначити з урахуванням умов аналітичного
групування і заданого рівня істотності, скориставшись таблицею.
Коефіцієнт детермінації визначається
наступним чином:
(1.33)
Для оцінки лінійного зв’язку
використовується лінійний коефіцієнт кореляції (Пірсона):
(1.35)
який набуває значень у межах +-1, тому
характеризує не лише щільність, а й напрямок зв’язку. Додатне значення свідчить
про прямий зв’язок, а від’ємне – про зворотний.
Щільність зв’язку оцінюється індексом
детермінації: R=
, проте
інтерпретується тільки R2. Якщо коефіцієнт детермінації більше 0,6 , то 60%
варіації залежної величини пояснюється варіацією незалежного параметра
кореляції і зв’язок є щільним.
Розділ 2. Аналіз статистичного
спостереження характеристик вибірки комерційних банків
2.1 Результати первинного статистичного
спостереження показників діяльності комерційних банків
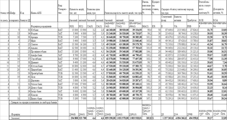
Згідно з вихідними даними, в табл.2.1
наведені результати статистичного спостереження показників діяльності 20
комерійних банків (з 22 по 41 згідно варіанту курсової роботи).
Таблиця 2.1
Вихідні дані статистичного спостереження
В табл.2.2 згідно заданої форми первинної
обробки вихідної статистичної інформації спостереження наведені результати
обчислення аналізуємих показників діяльності комерційних банків, при цьому в
графах табл.2.2 числові значення параметрів наведені з заданою точністю
форматів. Одночасно в табл.2.2 навелені формули розрахунку показників
діяльності (жирним шрифтом) , за якими по вихідним даним отримані додаткові
розраховуємі показники діяльності банків(розрахунки виконані в “електронних
таблицях” EXCEL-2000 – наведені графічно-форматовані на лист А4 копії листів
таблиць розрахунків).
Як видно з аналізу даних табл.2.2 за
звітний рік при прибутковій діяльності всіх банків виборки загальна ринкова
ціна акціонерного капіталу (сума ринкових вартостей акцій) зросла( як за рахунок
додаткових емісій акцій, так і за рахунок підвищення їх ринкової ціни), але не
всі банки виконали запланований рівень підвищення ринкової ціни акціонерного
капіталу.
Рис.1.1. Вхідний кореляційно-регресійний пошук факторних та
результативних ознак вибірки показників діяльності комерційних банків
Таблиця 2.2
Результати додаткових розрахунків показників діяльності за даними
первинного спостереження (Основні показники діяльності акціонерних банків
України)
Рис.1.2. Вхідний кореляційно-регресійний пошук факторних та
результативних ознак вибірки показників діяльності комерційних банків
2.2 Результати зведення та групування
статистичних даних (задачі 1, 2)
Задача 1. Побудувати типологічне
групування, використавши таке поняття як рівень виконання плану (не виконали
план – до 100%, виконали від 100% до 101%, перевиконали – більше 100%).
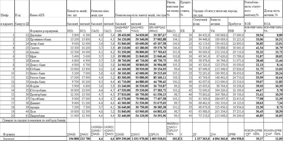
В табл.2.3 наведені дані показників
діяльності комерційних банків, виконані перегруппуванням даних табл.2.2 для
утворення ранжованого ряду по варіанті – рівень виконання плану. В табл.2.4
наведені дані показників діяльності комерційних банків, виконані
перегрупуванням даних табл.2.2 для утворення ранжованого ряду по варіанті –
ціна акції у базовому періоді. Отримані статистичні таблиці є вихідними даними
для статистичного аналізу рядів аналізуємих варіант, які виконані для
розрахунку гістограм та кумулят розподілів, виконаних у “електронних таблицях”
EXCEL-2000 (табл. 2.5, 2.6, рис.2.1, 2.2).
Таблиця 2.5
Типологічне группуванні по якісно-кількісній
варіанті (виконання плану)
|
Інтервал процента виконання плану підвищення
ринкової вартості акцій
|
Частота в интервале
|
Відносна частота в інтервалі
|
Кумулята частот в %
|
|
Не виконали план
|
7
|
0,35
|
35,00%
|
|
Виконали план
|
3
|
0,15
|
50,00%
|
|
Перевиконали план
|
10
|
0,50
|
100,00%
|
|
96-98
|
0
|
0
|
,00%
|
|
98-100
|
7
|
0,35
|
35,00%
|
|
100-102
|
3
|
0,15
|
50,00%
|
|
102-104
|
4
|
0,20
|
70,00%
|
|
104-106
|
2
|
0,10
|
80,00%
|
|
106-108
|
3
|
0,15
|
95,00%
|
|
108-110
|
1
|
0,05
|
100,00%
|
Таблиця 2.6
Структурне группування по варіанті – ціна
акції у базовому періоді
|
Інтервал ринкової вартісті акції, грн
|
Частота
|
Відносна частота
|
Кумулята частот %
|
|
2-3
|
0
|
0
|
,00%
|
|
3-4
|
5
|
0,25
|
25,02%
|
|
4-5
|
11
|
0,55
|
80,09%
|
|
5-6
|
4
|
0,20
|
100,00%
|
“Ринкова вартість акції” має розподіл
близький до нормального, варіанта “процент виконання плану” – має характер
розподілу, який не відповідає нормальному.
Задача 5. На основі варіаційних рядів
розподілу, наведених в табл.2.3, розрахувати середнє значення варіанти, моду та
медіану. Оцінити ступінь варіації у відповідному періоді, розрахувавши розмах
варіації, середнє лінійне та середнєквадратичне відхилення, а також лінійний,
квадратичний коефіцієнти варіації та коефіцієнт осціляції.
Таблиця 2.7
Статистичний аналіз варіаційних рядів
розподілу
Результати розрахунків, виконаних за
допомогою стандартного програмного забезпечення “електронних таблиць”
EXCEL-2000, наведене в табл.2.7. Одночасно в табл.2.7 наведені формули
розрахунків.
Як видно з результатів розрахунків,
величина коефіцієнтів варіації вартості акції менше 33%, що підтверджує висновки
графіку гістограми рис.2.2 про нормальність розподілу варіанти – величина
вартості акції комерційного банку. При цьому слід відмітити, що у звітному
періоді коефіцієнти варіації та осціляції виборки зросли відносно базового
періода.
Таблиця 2.3
Результати додаткових розрахунків показників діяльності за даними
первинного спостереження ранжовані за варіантою – рівень виконання плану (Основні
показники діяльності акціонерних банків України)
Таблиця 2.4
Результати додаткових розрахунків показників діяльності за даними
первинного спостереження ранжовані за варіантою – ціна акції у базовому періді (Основні
показники діяльності акціонерних банків України)
2.4 Відносні статистичні показники(Задача
3,4)
Задача 3. За даними для перших 4-х банків з
табл.2.2 про вартість акцій банків побудувати робочу таблицю форми , наведеної
в методичних вказівках, передбачивши в ній графи для обчислення таких відносних
величин ( з точністю 0,0001):
планового завдання;
динаміки;
виконання плану;
структури та структурних зрушень;
Таблиця 2.8
Розрахунок відносних величин динаміки вартості акцій банків
Задача 4. В табл.2.2 знайти відносні
величини інтенсивності, пояснити їх економічний зміст, методику визначення для
кожного банку та в цілому для всієї сукупності.
Таблиця 2.9
Розрахунок показників інтенсивності – темпів приросту вартості
акцій
2.5 Аналіз інтенсивності та тенденцій
розвитку, графічні методи(Задача 6, 7)
Задача 6. Побудувати ряд динаміки для
прибутку комерційного банку за 9 місяців, використавши (умовно) показники для
перших 9-ти банків з табл.2.2.
Форма побудованої таблиці – відповідно
методичним вказівкам, передбачивши можливість розрахунку(базисним та ланцюговим
методом) показників (точність 0,0001) :
абсолютний приріст;
коефіцієнт росту;
темп росту;
темп приросту;
абсолютне значення 1% приросту.
Обчислити за досліджувальний період та
середньомісячні :
абсолютний приріст;
коефіцієнт росту;
темп росту;
темп приросту;
Задача 7. На базі даних таблиці задачі 6
провести згладжування рівнів ряду показників щомісячного прибутку за допомогою
тричленної ковзної(рухомої) середньої та виконати аналітичне вирівнювання за
допомогою лінійного тренду.
В табл.2.10 та на рис.2.3,2.4,2.5 наведені
результати розрахунків та побудова варіантів побудови аналітичних трендів для ряду
прибутку , виконані в “електронних таблицях” EXCEL-2000.
Як показують результати , наведені на
рис.2.3-2.5 по показнику R2 – найкраще наближення тренду виконується кубічним
поліномом, при цьому форма тренду наближається до “сезонної хвилі”. Лінійний тренд
дає регресію з дуже нещильним показником R2=0,11. Для ковзної середньої – перші
2 точки вирівнювання не можуть бути апроксімовані.
Таблиця 2.10
Аналіз динаміки прибутку умовного комерційного банку за 9 місяців
2003 року
2.6 Індексний аналіз(Задачі 8,9)
Задача 8. Виписати у таблицю за базисний та
звітний період з табл.2.2 для перших 5 банків дані про ціну та кількість акцій
та обчислити із ступенем точності 0,0001 :
індивідуальні індекси цін, обсягу та
вартості акцій;
загальний індекс вартості акцій;
відхилення обсягу ринкової вартості акцій
за рахунок зміни цін і кількості акцій.
Задача 9. На основі даних таблиці задачі 8
(за базисний та звітний періоди дані про ціну та кількість акцій) обчислити із
ступенем точності 0,0001 :
індекси середніх цін змінного та постійного
складу;
індекс структурних зрушень;
відхилення середньої ціни акцій у 5-ти
банках в цілому та за рахунок зміни цін та структурних зрушень ;
Як видно з результатів індексного аналізу :
середня величина вартості акції в цілму по
5-ти банках зросла за рахунок цін, а вплив структурних зрушень –
невеликий(табл.2.12);
зростання вартості пакету акцій у звітному
періоді на =21,3% відбулося за рахунок зростання середньої ціни акції на +5,95%
та зростання обсягів акцій (емітування) на +14.5%(табл.2.11).
Таблиця 2.11

Результати індексного аналіза ринкової вартості пакету акцій (індивідуальні
та агрегатні індекси)
Таблиця 2.12
Результати індексного аналіза середньої ціни акцій банків в
цілому (індекси змінного составу та структурних зрушень)
Перелік використаних джерел
1. Вашків П.Г., Пастер П.І., Сторожук В.П., Ткач Є.І. Статистика підприємництва:
Навч. Посібник – К.: Слобожанщина, 1999.
2. Двірник В.М. Статистичне вивчення зв’язків соціально-економічних
явищ: конспект лекцій. – Дніпропетровськ: ДАУБП, 1999.
3. Двірник В.М. Статистичні індекси в економічних дослідженнях. Дніпропетровськ:
ДАУБП, 1998.
4. Єріна А.М., Пальян З.О. Теорія статистики: Практикум. – К.: Знання,
1997.
5. Елисеева И.И., Юзбашев М.М. Общая теория статистики: Учебник. – 4-е изд.,
перераб и доп. – М: Финансы и статистика, 1999.
6. Ефимова М.Р., Ганченко О.И., Петрова Е.В. Практикум по общей теории статистики:
Учебное пособие. – Москва: Финансы и статистика, 2000.
7. Ефимова М.Р., Петрова Е.В., Румянцев В.Н. и др. Общая теория статистики:
Учебник. – Москва: Инфра-М, 1998.
8. Общая теория статистики: Учебник. / Под ред. А.А. Спирина, О.Э.
Башиной. – 5-е изд., доп. И перераб. – М.: Финансы и статистика, 1999.