Технология изготовления электронно-лучевой трубки
Содержание
Введение
1.
Фокусирующие системы
1.1
Магнитные фокусирующие линзы
1.2
Типы магнитных линз. Форма поля в магнитных линзах
1.3
Механизм фокусировки в магнитной линзе
1.4
Магнитная отклоняющая система
1.5
Конструкция отклоняющих катушек
1.6
Недостатки электростатической и магнитной систем отклонения
1.7
Эмирсионный объектив
1.8
Расчет линз
1.8.1
Расчет 1 линзы
1.8.2
Расчет 2 линзы
1.9
Расчет отклоняющей системы
2.
Технология изготовления трубки
2.1
Электронно-оптическая система
2.2
Технология изготовления колбы и экрана
2.3
Люминофорное покрытие экрана
2.4
Технология нанесения люминофорного покрытия
2.5
Технология алюминирования экрана
2.6
Заключительные операции изготовления электронно-лучевых трубок
Аналог
Список
литературы
Введение
Фокусирующая система может быть линзовой или
зеркальной. Линзовые системы имеют сферическую аберрацию значительно, большую,
чем зеркальные, но первые компактнее, хотя и менее надежны. Они также должны
иметь устройства стабилизации положения фокуса относительно обрабатываемой
поверхности, которые исполнены с опорой на поверхность изделия или без опоры с
емкостным датчиком.
Фокусирующая система, состоящая из ускоряющего
электрода и двух анодов, работает следующим образом. Оно осуществляет
фокусировку так, как было объяснено ранее. Между ускоряющим электродом и первым
анодом имеется неоднородное поле, подобное полю между анодами, но не
ускоряющее, а тормозящее. Для электронов, влетающих в это поле расходящимся
потоком, в левой половине поля происходит рассеивание, а в правой -
фокусировка. При этом фокусировка преобладает, так как в правой половине поля
скорость электронов меньше. Таким образом, на участке между ускоряющим
электродом и первым анодом также происходит фокусировка. Схематическое
изображение конструкций многокаскадных умножителей.
Фокусирующая система образуется либо проводящим
покрытием, нанесенным на стенку баллона, носящим название манжеты, либо
помещенными в катодную камеру металлическими электродами. Схема
технологического процесса сборки фотоэлектронного умножителя.
Фокусирующая система монтируется из
предварительно собранных узлов - пистонированного экрана, фокусирующего экрана,
собранной пружины и распылителей компонентов катода. Иногда в нее включают
дополнительные фокусирующие или ускоряющие электроды.
Фокусирующие системы применяют для повышения
разрешающей способности, чувствительности (особенно на фоне структурных помех),
точности определения координат и размеров дефектов. Разработаны фокусирующие
преобразователи различных типов. Рассмотрим лишь сферический активный
концентратор, так как другие фокусирующие системы могут быть сведены к нему,
если рассматривать сходящийся волновой фронт вблизи фокусирующей поверхности
как поверхность излучателя.
Фокусирующие системы - системы электродов,
катушек или магнитов, образующих электростатические и магнитные линзы для
фокусировки электронных пучков и электронных изображений.
Фокусирующие системы применяют для повышения
разрешающей способности, чувствительности особенно на фоне структурных помех,
точности определения координат и размеров дефекта. Существуют четыре основных
типа фокусирующих систем активные концентраторы, рефракторы, рефлекторы и
дефлекторы.
Фокусирующая система предназначена для
увеличения изображения. Она состоит из объективной и одной или нескольких
проекционных линз. Объективная линза является очень важной частью электронного
микроскопа, свойствами которой во многом определяется качество изображения.
Проекционные линзы служат для увеличения первичного изображения,
сформированного объективной линзой.
. Фокусирующие системы
.1 Магнитные фокусирующие линзы
Задача превращения потока электронов в тонкий
электронный луч, обладающий в плоскости экрана минимальным поперечным сечением
и большой плотностью тока, решается с помощью электростатических и магнитных
линз, образуемых специальными электродами, составляющими фокусирующую систему
электроннолучевой трубки. Далее будет рассматриваться магнитные линзы.
.2 Типы магнитных линз. Форма поля в магнитных
линзах
Длинная магнитная линза представляет собой
просто однородное магнитное поле, параллельно которому направлена ось
фокусируемого расходящегося пучка электронов. Длинная линза даёт прямое
изображение объекта, многократно повторяющееся на равных расстояниях, причём
как объект, так и его изображение лежат внутри поля. Длинная магнитная линза
мало похожа на оптические и электростатические электронные линзы: она не
преломляет лучей, параллельных полю, и, значит, не имеет ни фокусов, ни главных
точек и не может давать ни увеличенного, ни уменьшенного изображения.
Обширное применение имеют магнитные линзы,
образованные неоднородным аксиальносимметричным полем.
Рисунок 1 - Конструкция магнитных линз
Простейшая, но очень слабая магнитная линза -
это кольцевой ток. Напряжённость поля на оси кольцевого тока радиуса R, как
можно очень показать, исходя из закона Био-Савара, выражается формулой
где
-
напряженность поля в центре кольцевого тока, то есть там, где она имеет
максимальное значение, и Z - расстояние от плоскости тока. Поле на оси короткой
катушки без железа, если её внутренний радиус много больше толщины оболочки,
приближенно можно вычислить по той же формуле, полагая в ней
,
где
-
число витков катушки, а R средний её радиус. Для увеличения оптической силы
линзы нужно увеличить
и сжимать поле в
осевом направлении. Это достигается с помощью оболочки из ферромагнетика -
магнитного экрана, часто снабженного кольцевыми полюсными наконечниками.
1.3 Механизм фокусировки в магнитной линзе
Из картины силовых линий видно, что на
значительной части поля линзы радиальная составляющая поля
и
продольная
- величины одного
порядка. Пусть электрон, вышедший из точки О на ось zв точку А, имеет скорость
.
Рисунок 2 - Механизм фокусировки в магнитной
линзе
Силу, действующую на электрон, можно представить
как сумму двух сил: Frz - силы, действующей со стороны радиальной слагающей
поля Hr на электрон, имеющий скорость Vr. Направление обеих сил одинаково, но
вследствие параксиальности электронных лучей Vz>>Vr и
Под действием силы
электрон
получает скорость, перпендикулярную к меридианной плоскости. Действие
продольной составляющей поля
на электрон,
имеющий скорость
, даёт «фокусирующую»
силу
,
направленную в сторону оси. Вплоть до середины линзы направление силы
не
меняется и скорость
растёт. Во второй
половине линзы
и вместе с ней
меняют
направление. Скорость
начинает убывать и
к моменту выхода из линзы обращается в нуль, нигде не меняя своего знака.
Электрон выходит из линзы в другой меридиальной плоскости по измененному
направлению и дальше, двигаясь прямолинейно, пересекает ось в точке О.
Если поле линзы слабо, то, конечно, может
оказаться, что лучи и после выхода из линзы останутся расходящимися - в этом
случае ось пересекут продолжения лучей. С другой стороны, при сильном поле
электрон внутри линзы успеет несколько раз пересечь ось.
.4 Магнитная отклоняющая система
Управление пространственным положением луча
осуществляется с помощью электрических (электростатическая отклоняющая система)
и магнитных (магнитная отклоняющая система) полей, а управление плотностью тока
- с помощью электрических полей. Электронно-лучевые приборы используются для
получения видимого изображения электрических сигналов, а также для запоминания
(хранения) сигналов.
Отклоняющая система служит для управления
положением луча в пространстве. В трубках с магнитным управлением отклоняющая
система состоит из двух пар отклоняющих катушек.
Магнитная отклоняющая система обычно содержит
две пары катушек, надеваемых на горловину трубки и образующих магнитные поля во
взаимно перпендикулярных направлениях. Рассмотрим отклонение электрона
магнитным полем одной пары катушек, считая, что поле ограничено диаметром
катушки и в этом пространстве однородно. Силовые линии магнитного поля
изображены уходящими от зрителя перпендикулярно плоскости чертежа. Электрон с
начальной скоростью
движется в магнитном
поле, вектор индукции B которого нормален к вектору скорости
,
по окружности с радиусом.
Рисунок 3 - Траектория электрона в магнитной
отклоняющей системе
По выходе из магнитного поля электрон продолжает
движение по касательной к его криволинейной траектории в точке выхода из поля.
Он отклонится от оси трубки на некоторую величину z = L tga. При малых углах a»
tg a; z » La.
Величина центрального угла a = s/r »
где
s - кривая, по которой движется электрон в поле В. Подставляя сюда значение r,
получаем:
Таким образом, отклонение электрона равно:
Выражая скорость
электрона
через напряжение на аноде, получаем:
.5 Конструкция отклоняющих катушек
Отклоняющие катушки с ферромагнитными
сердечниками позволяют увеличить плотность потока магнитных силовых линий в
необходимом пространстве. Катушки с ферромагнитными сердечниками применяются
только при низкочастотных отклоняющих сигналах, так как с увеличением частоты
отклоняющего напряжения возрастают потери в сердечнике. В телевизионных и
радиолокационных электронно-лучевых трубках обычно применяются отклоняющие
катушки без сердечника. Стремясь получить более однородное магнитное поле, края
катушки отгибают, а саму катушку изгибают по форме горловины трубки. Витки в
катушке распределяют неравномерно: Число витков на краях обычно в 2 - 3 раза
больше, чем в середине. Для уменьшения поля рассеяния катушки без сердечника
обычно заключаются в стальной экран.
.6 Недостатки электростатической и магнитной
систем отклонения
Отклонение луча магнитным полем в меньшей степени
зависит от скорости электрона, чем для электростатической системы отклонения.
Поэтому магнитная отклоняющая система находит применение в трубках с высоким
анодным потенциалом, необходимым для получения большой яркости свечения экрана.
К недостаткам магнитных отклоняющих систем
следует отнести невозможность их использования при отклоняющих напряжениях с
частотой более 10 - 20 кГц, в то время как обычные трубки с электростатическим
отклонением имеют верхний частотный предел порядка десятков мегагерц и больше.
Кроме того, потребление магнитными отклоняющими катушками значительного тока
требует применения мощных источников питания. Достоинством магнитной
отклоняющей системы является ее внешнее относительно электроннолучевой трубки
расположение, что позволяет применять вращающиеся вокруг оси трубки,
отклоняющие системы.
В индикаторных трубках применяется магнитная
отклоняющая система, в соответствии с этим мы и сделали выбор данной системы.
Под иммерсионным объективом, называемым также
иногда катодной линзой, понимается комбинация электронной линзы с источником
электронов - катодом. Если, например, перед катодом имеющим плоскую эмитирующую
«поверхность, поместить диафрагму А (анод) и подать на эту диафрагму
положительный относительно катода потенциал, то мы получим простейший
иммерсионный объектив. При этом из приведенного на том же рисунке распределения
потенциала вдоль оси симметрии объектива можно убедиться, что в данном случае
он будет действовать как рассеивающая линза.
В случае если требуется, наоборот, сфокусировать
электронный пучок, необходимо между анодом и катодом поместить еще одну
диафрагму, называемую модулятором и имеющую небольшой отрицательный
относительно катода потенциал. Такой иммерсионный объектив представлен на рисунке
4, где показаны также распределение потенциала вдоль его оси симметрии и
вытекающий из этого распределения оптический эквивалент такой линзы. Очевидно,
что поле в области диафрагмы модулятора М будет фокусировать электронный пучок
поле же в области анодной диафрагмы А будет оказывать рассеивающее действие.
Однако общее действие такого иммерсионного объектива будет собирающим, так как
в первой области скорости электронов эмитируемых катодом, значительно меньше
скоростей набираемых ими в поле линзы при подходе к рассеивающей области.
Рисунок 4 - Простейший эмирсионный объектив
Рисунок 5 - Фокусирующая эмирсионная система
Оптическую силу иммерсионного объектива можно
менять, изменяя соотношения потенциалов образующих его электродов. При этом она
будет расти с ростом отношения анодного напряжения к абсолютной величине
напряжения на модуляторе и уменьшением расстояния между этими электродами.
Очевидно, что наряду с образованием электронного
изображения иммерсионный объектив может быть использован для управления
величиной тока пучка электронов, отбираемого с катода, так как, изменяя отрицательный
по отношению к катоду потенциал модулятора, можно изменять как размеры
поверхности катода, перед которой поле линзы является ускоряющим, т. е. менять
рабочую поверхность катода, так и саму величину этого поля.
Иммерсионный объектив является неотъемлемой и
важнейшей частью электронно-оптических систем большинства электроннолучевых
приборов.
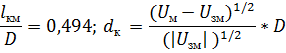
1.8 Расчет линз
.8.1 Расчет 1 линзы
Рисунок 6 - Иммерсионный объектив
. Проверить правильность выбора геометрии
м - диаметр
отверстия диафрагмы, ≤ 1 мм
м - толщина
диафрагмы модулятора (0,15 ÷ 0,2) мм
м - расстояние
катод - модулятор (0,1 ÷ 0,2) мм
м - расст.
модулятор - ускор. электрод (1 ÷ 2) мм
В - потенциал
второго анода
. Расчет диаметра поверхности рабочей части
катода
Таблица 1 - Диаметр поверхности рабочей части
катода
. Рассчитать среднее значение тока с катода
- эмпирический
коэффициент
Таблица 2 - Среднее значение тока с катода
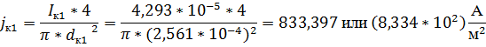
. Определить среднюю плотность тока с катода
Таблица 3 - Средняя плотность тока с катода
. Определить максимальную плотность тока с
катода
. Найти распределение плотности тока по катоду.
Меняя значение
, от полученного
значения и меньше, строим график зависимости
,
пользуясь формулой
Таблица 4 - Зависимость плотности тока от
диаметра катода
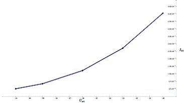
Рисунок 7 - Зависимость плотности тока от
диаметра катода
. Построить модуляционную характеристику
- эмпирический
коэффициент
Таблица 5 - Зависимость тока от напряжения
Рисунок 8 - Зависимость тока от напряжения
. Рассчитать угол расхождения электронного пучка
- диаметр
отверстия диафрагмы, ≤ 1 мм
- заданное
напряжение замыкания модулятора
- расст. модулятор
- ускор. электрод (1 ÷ 2) мм
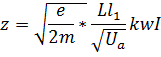
. Определяем радиус скрещения (кроссовер)
Дж/К - постоянная
Больцмана
K - температура
оксидного катода
Кл - заряд
электрона
- потенциал
электрода на который приходится скрещение
. Определить максимальную плотность тока в
скрещении
Дж/К - постоянная
Больцмана
K - температура
оксидного катода
Кл - заряд
электрона
- потенциал
электрода на который приходится скрещение
. Найти среднюю плотность тока луча в плоскости
скрещения
Дж/К - постоянная
Больцмана
K - температура
оксидного катода
Кл - заряд
электрона
- потенциал
электрода на который приходится скрещение
Меняя
в
пределах разумного находят
Для
- диаметр
отверстия диафрагмы, ≤ 1 мм
- заданное
напряжение замыкания модулятора
- расст. модулятор
- ускор. электрод (1 ÷ 2) мм
Дж/К - постоянная
Больцмана
K - температура
оксидного катода
- потенциал
электрода на который приходится скрещение
Для
- диаметр
отверстия диафрагмы, ≤ 1 мм
- заданное
напряжение замыкания модулятора
- расст. модулятор
- ускор. электрод (1 ÷ 2) мм
Дж/К - постоянная
Больцмана
K - температура
оксидного катода
Кл - заряд
электрона
- потенциал
электрода на который приходится скрещение
Таблица 6 - Зависимость плотности тока от
радиуса скрещивания при
,
максимальная плотность тока в скрещивании
.8.2 Расчет 2 линзы
. Выбрать геометрические размеры II линзы
Рисунок 9 - Схематическое изображение трубки
- расстояние от УЭ
до середины
- расстояние от
середины
до
экрана
Определить радиус пятна
. Рассчитать фокусное расстояние второй линзы
-
расстояние от УЭ до середины
-
расстояние от середины
до экрана
Найти линейное увеличение, создаваемое 2-й
линзой
. Найти плотность тока в пятне
Таблица 7 - Радиус скрещения, средняя плотность
тока луча в плоскости скрещения, радиуса пятна, плотность тока в пятне
. Рассчитать максимальную плотность тока в пятне

. Определить распределение плотности тока в
пятне
Таблица 8 - Зависимость плотности тока от
радиуса пятна
Рисунок 10 - Зависимость плотности тока от
радиуса пятна
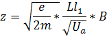
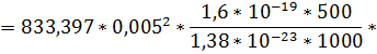
.9 Расчет отклоняющей системы
. Определяем величину поля, которая требуется
для отклонения на экране
. Расчет магнитной отклоняющей системы
- длина
отклоняющей системы ширина действия отклоняющей системы
-
потенциал второго анода
. Определим угол отклонения
Определяем число ампер-витков, необходимых для
получения угла отклонения
- длина
отклоняющей системы ширина действия отклоняющей системы
2. Технология изготовления трубки
.1 Электронно-оптическая система
Электронно-оптическая система производит
электрическое или магнитное управление электронным лучом и представляет собой
систему соосных диафрагм с электрическим потенциалом. Электронно-оптическая
система вместе с катодным узлом и горловиной колбы готовится отдельно. К сборке
электронно-оптической системы предъявляются очень высокие требования. Операции
по сборке требуют очень высокоточного сборочного оборудования. Все проводимые
операции записываются в сопроводительный лист.
.2 Технология изготовления колбы и экрана
Экран представляет собой часть колбы с
нанесенным на нее люминофором. Экран изготавливается из особого стекла с
добавлением солей свинца, стронция или тяжелых металлов для защиты от
рентгеновского излучения. Химический состав стекла чаще всего представляется
как сумма массовых долей окислов некоторых элементов. Однако на практике стекло
изготавливают не из окислов, а из химических веществ, которые при нагревании
вступают между собой в реакции, в результате которых образуется стекло. В
качестве таких веществ - сырьевых материалов - применяют природные соединения
(песок, доломит, мел, полевой шпат и др.), а также продукты химической
промышленности (сода, поташ, селитра и др.).
Процесс приготовления шихты заключается в
контроле сырьевых материалов, их дозировке и перемешивании до получения
однородной смеси. После приготовления шихта контролируется на однородность.
Берется несколько параллельных проб шихты и определяется содержание щелочных
соединений. Если расхождение в содержании их между параллельными пробами не
превышает 1%, то шихта считается однородной и отправляется на участок
стекловарения.
После этого переходят к варке стекла. Экраны и
конусы цветных кинескопов изготавливаются из стекломассы, получаемой в
проточных ванных печах непрерывного действия с поперечным расположением
пламени. После варки стекла производится прессование экранов на одиннадцатипозиционном
пресс-автомате типа АПР-11М. Затем производится вварка фиксаторов на
многопозиционной машине. Спай фиксатора со стеклом - один из узлов оболочки,
испытывающий наибольшие нагрузки как во время сборки кинескопа, так и во время
его эксплуатации.
Многочисленные наблюдения показывают, что
большая часть разрушений оболочек в сборочном производстве происходит по
фиксаторному узлу. Поэтому актуальными задачами производства цветных кинескопов
являются оценка степени согласованности спая фиксатор-стекло и разработка мер
по увеличению согласованности этого спая и его прочности. Фиксаторы экранов
цветных кинескопов изготавливаются из сплава 47НХР.
После этого происходит отжиг экранов с целью
снятия температурных напряжений. Для повышения прочности и надежности фиксаторного
узла необходимо так построить процесс изготовления экранов, чтобы в спае
фиксатора со стеклом после отжига существовали напряжения сжатия или лишь
небольшие напряжения растяжения. Это обеспечивается тогда, когда ТКЛР сплава
47НХР находится в пределах, регламентированных ГОСТ 14080-68, а ТКЛР стекла - в
пределах 94,5*10-7 K-1 - 96,5*10-7
K-1
(статические данные производства).
Затем идет механическая обработка экранов.
Обработка сферической части экрана производится в три приема. Сначала экраны обрабатываются
грубыми абразивами для удаления с поверхности углублений, шероховатостей,
складок и других дефектов, возникших в процессе прессования. При этом с
поверхности снимается слой стекла толщиной примерно 0,1 - 0.3 мм. После
завершения операции грубой шлифовки поверхность экрана имеет чистоту не выше
класса 7 по ГОСТ 2789-73, поэтому вторая операция тонкой шлифовки производится
на станках аналогичной конструкции, но в качестве абразива используется пемза.
Тонкая шлифовка повышает чистоту обработки поверхности
экрана до класса 10. Следующая операция - полировка производится с помощью
полирита, для нее применяются те же станки. После обработки полиритом
поверхность экрана имеет чистоту 12-го - 13-го классов. После каждой операции
шлифовки экран тщательно моется для удаления абразива.
После полировки экран также моется, сушится и
поступает на визуальный контроль качества полированной поверхности.
Заключительная операция при механической обработке экранов - доводка их торцов.
Эта операция проводится свободным абразивом - электрокорундом с размером зерна
40 мкм. После тщательной мойки и сушки экраны направляются на окончательный
контроль.
Далее происходит изготовление конусов. В
настоящее время применяются два способа изготовления конусов. Один из них
разработан специально для цветных кинескопов и основан на питании
стеклоформующей машины с помощью фидера. Он является наиболее производительным
и перспективным. По другому способу стекло подается в машину формирования с
помощью вакуумного питателя аналогично тому, как это делается при изготовлении
конусов черно-белых кинескопов. Некоторые изготовители применяют для
изготовления конусов метод прессования, но этот способ пока еще менее
распространен, чем метод центробежного формирования. Рассмотрим первый способ.
Составление шихты, транспортировка ее к
загрузчику, варка стекла проводятся аналогично тому, как описано выше для
производства экранов. Отличием является то, что печь для стекловарения имеет
несколько меньший объем и площадь; температура варки стекла также несколько
ниже. Это объясняется тем, что стекло С94-1 может провариваться при более
низкой температуре (14000), и тем, что к стеклу конусов не предъявляется таких
высоких требований как к экранам.
После съёма конуса с машины центробежного
формирования он направляется на машину вварки анодного вывода. Далее конус
снимают с машины вварки и направляют в печь отжига. После отжига отрезается
кабель-колпачок параболической части конуса. Затем к конусу приваривается
горловина. После этой операции конусы с приваренными горловинами подвергаются
отжигу в печах. Затем идет механическая обработка конусов, мойка, сушка и
конечная проверка.
В последнее время проверка конусов и экранов
производится с помощью специально разработанного измерительного комплекса.
Комплекс включает большое количество оборудования, и передача деталей с одного
измерительного устройства на другое производится автоматически. На нем можно
контролировать все геометрические размеры деталей. Например, очень точные
датчики фиксируют положение 16 точек наружной периферийной поверхности торцов
конусов и экранов. Подобным же образом определяется несоосность горловины
конуса, неперпендикулярность ее, контролируется отклонение внутреннего диаметра
горловины от допустимых значений. У экранов производится контроль внутренней
сферы и степень отклонения ее от номинала. Проверяется положение фиксаторных
узлов и расстояние между фиксаторами.
Результаты контроля выводятся на табло. По ним
технологическая служба стекольного цеха следит за качеством деталей и уровнем соблюдения
технологического процесса и в случае необходимости корректирует его. Данные,
полученные на измерительном комплексе, могут быть переданы в ЭВМ, которая
накапливает их и производит статистический анализ. Так как этот измерительный
комплекс является весьма сложным и для проверки всех геометрических размеров
деталей требуется довольно много времени, затруднительно проводить с его
помощью 100-процентную проверку деталей. На практике с помощью комплекса
производится выборочный контроль (как правило, не менее 11 экранов и 8 конусов
в час).
.3 Люминофорное покрытие экрана
Люминофор представляет собой вещество,
преобразующее энергию электронов в видимое излучение. Люминофор состоит из
основного вещества, активатора и плавня. Основное вещество определяет класс
люминофора: (сульфиды, селениды, силикаты, вольфраматы, фосфаты и др.).
Активаторы - это центры свечения. В качестве активаторов используются медь,
серебро, марганец, олово и др. металлы с концентрацией тысячные доли на грамм.
Плавни добавляют в шихту для общего сцепления люминофора между собой. В
обозначениях люминофоров пишут формулу основного вещества, затем - активатор в
количестве грамм на один грамм основного вещества. Например: ZnS:10-5
Cu:10-4
Al. К люминофору предъявляются следующие требования:
) малое давление насыщенных паров;
) химическая устойчивость;
) соответствующий спектр излучения;
) высокая яркость и световая отдача (1 кд/Вт);
) требуемое время послесвечения (мс, доли сек.,
секунды);
) выдержка параметров при изменении температуры;
) большой срок службы;
) высокий квантовый выход.
Под квантовым выходом понимается отношение числа
электронов, приведших к свечению к общему числу падающих электронов. Величина
квантового выхода колеблется от 10-6 до 10-8
.
Длительность свечения люминофора корректируется
гасителями. В качестве гасителей используется сода, никель, железо и др.
материалы.
2.4 Технология нанесения люминофорного покрытия
Перед нанесением люминофорного покрытия колба
подвергается тщательной мойке в растворах специальных моющих средств на основе
деминерализованной воды, плавиковой кислоты и поверхностно активных веществ.
Затем готовится суспензия из смеси биндера и люминофора. Вязкость эмульсии
определяется специальным модулем “m”. Качество эмульсии определяется также
размером зерен люминофора.
Суспензия называется эмульсией при размере зерен
более 0.1 мм, каллоидным раствором при зерне 0.1-0.001 мм и
истинным раствором при зерне люминофора менее 0.001 мм. В состав суспензии
вводится каогулятор и гель для ускорения схватывания покрытия и защиты от
ионной бомбардировки.
.5 Технология алюминирования экрана
Для улучшения параметров люминофорного покрытия
слой люминофора покрывают пленкой алюминия. Алюминирование экрана применяется
для увеличения яркости свечения за счет отраженного потока, для защиты
люминофора от электронов низких энергий, которые не возбуждают люминофор, для
защиты люминофора от ионов, распыляющих покрытие.
Алюминирование чаще проводится методом пиролиза
- высокотемпературным разложением алюминиевосодержащих солей.
2.6 Заключительные операции изготовления
электронно-лучевых трубок
электронная лучевая трубка линза
Собранная электронно-оптическая система и колба
с люминофорным покрытием поступают на сборочный конвейер. На конвейере
проводится заварка приборов, откачка до глубокого вакуума и ряд операций по
предварительным испытаниям.
Аналог
Трубкой аналогом в соответствии с габаритными
размерами и заданными параметрами является индикаторная трубка 18МЛ3Н
Рисунок 11 - Трубка аналог 18МЛ3Н
Таблица 9- Предельно допустимые параметры
|
Uм
В
|
Uу
В
|
Uа1
В
|
Uа2*
В
|
|
-150…0
|
300…500
|
-300…1000
|
12…16
|
Список литературы
Шерстнев
Л.Г. "Электронная оптика и электронно-лучевые приборы"
Барановский
В.К. "Электронно-лучевые трубки"
Нелендер
Р.А. "Свойство и применение металлов и сплавов для электровакуумных
приборов".