Сигналізація віддалених об’єктів

  • Вид работы:
    Дипломная (ВКР)
  • Предмет:
    Информатика, ВТ, телекоммуникации
  • Язык:
    Украинский
    ,
    Формат файла:
    MS Word
    1008,16 Кб
  • Опубликовано:
    2014-04-22
Вы можете узнать стоимость помощи в написании студенческой работы.
Помощь в написании работы, которую точно примут!

Сигналізація віддалених об’єктів

Вступ

охоронний сигналізація ідентифікатор

Сучасні технології дозволяю створювати системи, завчасно попереджають про настання або наближення деякої події . Широке розмаїття життєвих ситуацій піднімає проблему своєчасного оповіщення на новий рівень. Про все, починаючи від катаклізмів природи, що несуть в собі численні негативні наслідки, і закінчуючи приготуванням тосту, людина може бути проінформований в певний час , щоб уникнути несприятливих наслідків і прискорити наближення задовольняють моментів. У сучасному світі саме затребуване оповіщення - це оповіщенні про незаконне проникнення в межі приватної власності.

Щодня в Києві, столиці України, реєструється до 20 квартирних крадіжок. А якщо врахувати всю Україну, то це число буде значно більше. Не варто випускати з уваги ще той факт, що до 2014 року кількість квартирних крадіжок тільки зростала. Тому системи сигналізації будуть необхідні для багатьох. При цьому фахівці вважають, що краще, якщо у вас будуть одночасно встановлено дві або більше різні системи охорони, що значно ускладнить роботу злодія. Усвідомивши серйозність перешкоди, зловмисник, відступить від своєї справи, не бажаючи бути поміченим.

Актуальність розроблюваної теми роботи підкреслюється підвищенням попиту на системи захисту, оповіщення, безпеки, спостереження за об'єктами нерухомості, в яких зберігаються матеріальні цінності.

Розроблювальний пристрій (GSM - сигналізація) націлене на широке коло споживачів. Отже, воно буде доступне за своєю ціною для багатьох людей.

Розроблюване пристрій призначений для контролю роботи датчиків ( сповіщувачів ), натискання тривожної кнопки , дозвону та надіслати текстове повідомлення (SMS) по каналу зв'язку GSM у разі тривоги. Пристрій може вбудовуватися в системи охоронної та пожежної сигналізації. Пристрій застосовується спільно з стільниковим телефоном стандарту GSM.

Дана систем може з легкістю підлаштовуватися під різні вимоги замовника: тільки охоронні функції, охоронні функції плюс контроль параметрів (температури, освітлення і т.д.). Всі інтерфейси передбачені на платі, а вибір того чи іншого варіанту реалізується при отриманні ТЗ від замовника та прошивкою того чи іншого варіанту програми . Якщо замовник у процесі експлуатації захоче змінити функції, то просто відбувається перепрограмування , дооснащення додатковими зовнішніми пристроями при необхідності і повернення системи замовнику. Універсальність системи немаловажна при виборі системи споживачем.

В якості вихідних даних для роботи використаний набір технічних засобів, в сукупності представляють пристрій сигналізації: мікроконтролер, мобільний телефон, датчики, зчитувач ключів, зарядний пристрій.

1.Аналогічні системи сповіщення

З розвитком послуг стільникового зв'язку все більше розповсюдження отримують GSM сигналізації. Перевага GSM сигналу над звичайним радіосигналом у тому, що радіосигнал є обмеженим по дальності зв‘язку, станція випрацювання такого сигналу має великі розміри, а отже, енергоємна і залежить від електропостачання. Разом з тим, GSM джерело має розміри мобільного телефону і може працювати від акумулятора, а дальність поширення такого сигналу обмежується лише можливостями вашого мобільного оператора. Суть такої охоронної системи полягає у використанні вже наявного GSM каналу будь-якого стільникового оператора для передачі сигналів тривоги у вигляді SMS або голосу на телефон абонента, а можливо і групи абонентів. Велика кількість подібних каналів сигналізації дозволяє довідатися про стан параметрів об'єкта охорони: від активності об'єктів до температури і атмосферного тиску на ділянці охорони. Принцип роботи охоронної GSM сигналізації: на об'єкті, що охороняється встановлюється комплект охоронної сигналізації, який оснащується GSM модемом або мобільним телефоном. При виникненні ситуації тривоги контрольна панель активізує цей модем, і далі можливі три результати:

Передача SMS

В процесі налаштовування системи в GSM модем заносять sms-повідомлення, які будуть передані на запрограмований номер телефону згідно з заздалегідь визначеними ситуаціями, наприклад, «Тривога», «Відсутність мережного живлення», «Пожежа», «Витік води» і ін.

Причому для кожної події можна запрограмувати своє повідомлення. Отримавши таке sms-повідомлення, власник буде точно знати, що сталося на об'єкті охорони: тривожна ситуація або, наприклад, витік води.

Дзвінок на мобільний телефон.

Це мабуть, «найбюджетніший» варіант використання системи. У випадку тривоги, наприклад, відкриття вхідних дверей під час перебування системи в режимі «ОХОРОНА», модем робить дзвінок на Ваш мобільний телефон. На екрані телефону відображається номер абонента, що викликається, яким є охоронна система. Вам відразу стає зрозуміло, що відбулася позаштатна ситуація, але без подальшої деталізації.

Оскільки сьогодні оператори стільникового зв'язка пропонують велику кількість тарифів без абонентської плати, то можна не піклуватися про стан рахунку. Адже немає необхідності піднімати трубку.

Голосовий виклик

Якщо необхідно отримувати голосові повідомлення по спрацьовуванню охоронної системи, то додатково знадобиться голосовий модуль, у який заздалегідь надиктовуються повідомлення про тривогу. При реалізації такої схеми GSM модем буде виконувати функції емалювання дротової телефонної лінії.- модем працює разом з «класичною» системою охоронної сигналізації, тобто він є доповненням до системи, а це спричиняє додаткові витрати.

Оскільки купівля GSM-Модему вимагає витрат, то замість нього можна використовувати мобільний телефон, який виконує такі ж функції, має менші габарити і доступну ціну.

Система охоронної сигналізація включає:

·   датчики;

·        виконавчі пристрої.

Датчик - чутливий елемент, що перетворює контрольований параметр в електричний сигнал.

Особливість датчиків для систем охоронної сигналізації та, що вони реєструють, в основному, неелектричні величини. Вимірювання неелектричних величин - досить складне завдання і при цьому датчики мусять забезпечувати високу надійність і вірогідність контролю.

Датчики об'єднуються в зони. Під зоною розуміють один або кілька датчиків, що охороняють певний об'єкт або ділянку об'єкта.

У системах типу «охоронна сигналізація» використовуються датчики наступних типів:

·              пасивні інфрачервоні датчики руху;

·              датчики розбивання скла;

·              активні інфрачервоні датчики руху і присутності;

·              фотоелектричні датчики;

·              мікрохвильові датчики;

·              ультразвукові датчики;

·              вібродатчики;

·              датчики температури;

·              датчики наявності пару і газу;

·              магнітні (герконові) датчики;

·              шлейфи.

Пульт-Концентратор - центральний пристрій системи типу «охоронна сигналізація». Він виконується на базі мікроконтролера. Всі функції системи обумовлюються програмою мікроконтролера. Параметри програми задає користувач, залежно від його повноважень, зі спеціального пульта.

Існують різні способи постановки / зняття охорони: дистанційно, радіо брелоками, електронними ключами Touch Memory, Proximity, магнітними картами, простими кнопками.

Електронні ідентифікатори Touch Memory являють собою мікросхему, розміщену в міцному корпусі із нержавіючої сталі. Аутентифікація (розпізнання) користувача випрацьовується за унікальним і незмінним для кожної карти кодом завдовжки 48 біт.

Недоліки: незважаючи на наявність унікального 48-бітного коду, який теоретично унеможливлює підробку Touch Memory, в той же час існують програми, що дозволяють у найкоротший строк здійснювати копіювання цього виду електронних ключів. Подібні програми (в поєднанні зі вмонтованою у корпус Touch Memory програмувальною мікросхемою) використовуються сьогодні численними пунктами, які пропонують «виготовити копію електронних ключів».

Магнітні карти є пластиковими картками стандартних розмірів.

Недоліки: чутливі до забруднення, впливу магнітних полів, нагрівання, механічних ушкоджень. При багаторазових зчитуваннях відбувається поступове стирання магнітного шару. Досвід експлуатації виявив слабкість пристроїв для зчитування магнітних карт і карт зі штриховим кодом.

Незважаючи на сучасність і простоту, використання таких ідентифікаторів вимагає додаткових заходів обережності: зберігання має здійснюватися так, як і зберігання звичайного ключа від квартири (з якого можна зняти зліпок) або банківської карти (унікальний код якої можна зчитати).

На відміну від цих методів постановки / зняття охорони, використання звичайної кнопки керування (КК), що розміщується на території, яка охороняється, є досить простим і надійним.

Прокладку дротів від блоку керування до КК слід виконувати прихованою, бо обрив дроту порушує працездатність пристрою. Оскільки обірвати дріт можна тільки перебуваючи усередині охоронного приміщення, що вимагає відкриття дверей, чи вікон - моментально спрацює паралельна ланка охоронної сигналізації.

Розроблена охоронна сигналізація є універсальним, недорогим пристроєм і не поступається за своїми функціями й можливостями таким аналогам як: комплект GSM сигналізації «GSA-04 стандарт» і «GSA-04 економ», GSM сигналізація на базі МК PIC16F628A, Сталкер-5 (C60).

1.1 Страж SMS 8x6 GPS

Система "Страж SMS 8x6 GPS" (рисунок 1) призначається для контролю приміщень та автомобілів, а так само для управління віддаленими об'єктами.

Рисунок 1.Страж SMS 8х6 GPS

Глобальними особливостями цієї моделі є:

• Збільшена кількість входів і виходів ( 7 входів датчиків , вхід сигналу постановки на охорону / 4 керованих виходу , вихід індикатора стану стража , вихід включення сирени ) .

• Використання практично будь-яких типів датчиків (аналогові , цифрові ( контактні) ) .

• Управління за допомогою DTMF сигналів , що дає можливість керувати системою не лише через SMS -повідомлення , але і з будь-якого телефонного апарату, що підтримує тональний набір , і робити це в режимі реального часу.

• Віддалений контроль і поповнення балансу коштів на SIM- карті пристрою.

• Можливість " інтелектуального GPS контролю" - тривога при зміні GPS координат.

• Наявність автоматичного внутрішнього обігріву дозволяє працювати при низьких температурах.

• Живлення від 7.5В до 30В постійного струму або від мережі ~ 220В ( при використанні мережного адаптера) .

• Температурний діапазон -40С .. +40 С.

Основні переваги «Страж SMS 8x6 GPS»:

• Простота програмування і управління .

• Тривожна інформація про зміну стану входів об'єкта передається у вигляді SMS -повідомлень і дзвінків від даного пристрою (до 3 телефонних номерів).

• Можливі SMS за запитом з телефонів абонентів для отримання інформації:

Про залишок коштів на рахунку ;

Про статус пристрою (стан охорони , харчування , входів і виходів управління);

Про GPS- координатах пристрою (якщо підключений GPS- приймач) .

• Можливе дистанційне керування самим Стражем і зовнішніми пристроями , підключеними до нього DTMF- командою , зателефонувавши на об'єкт (управління 6 виходами виконавчих пристроїв).

• Можливість підключення мікрофону для віддаленого прослуховування приміщення при спрацьовуванні датчика (протягом 4 хвилин).

• Підтримка стільникових мереж GSM.

• Вбудований Li -Ion акумулятор (до 2 діб роботи при пропажі зовнішнього живлення ) .

• Відсутність жорсткої зв'язки між виникненням події та управлінням виконавчими пристроями.

• Режим тривалої роботи - МікроПотребляющій режим , який дозволяє працювати від повністю зарядженого акумулятора протягом декількох місяців.

• Контроль струму споживання зовнішніми модулями і їх автоотключение при неполадки в них.

Як працює система:

При спрацьовуванні якого-небудь з контрольованих датчиків , пристрій додзвонюється і / або розсилає SMS -повідомлення за списком телефонів (до 3 номерів) , попередньо записаних в SIM карту. Можна прослухати приміщення протягом чотирьох хвилин (тільки при тривозі ) .

Підключаються датчики можуть бути :

• аналоговими ( що видають напругу з інтервалу 0 .. 15 В) - датчики руху , датчики витоку газу , пожежні датчики задимлення та ін;

• контактними ( цифровими ) - кнопка , геркон , пожежний датчик , датчик об'єму (ІЧ- датчик ) , акустичний датчик.

Спрацювання датчиків контролюється незалежно один від одного , у відповідності з установками логіки роботи , які розташовуються в SIM- карті. Приклад підключення одного з датчиків ( датчика розбиття скла Pyronix ) до системи "Страж SMS 8x6 GPS " представлений на рисунку 2

Рисунок 2. Підключення датчика разбиття скла Pyronix до «Страж 8х6 GPS»

Також, за допомогою Страж SMS 8х6 GPS можна управляти 6-ма різними виконавчими пристроями за допомогою DTMF команд. Наприклад, віддалено знеструмити приміщення.

Виходи для виконавчих пристроїв являють собою електронні ключі з максимальним комутованих напругою 30В і максимальним струмом 0,5 А. Малопотужні виконавчі пристрої можна підключати безпосередньо до цих виходів, а більш потужні - тільки через реле. Страж контролюється стан кожного з цих виходів.

Віддалений контроль стану системи:

Стан системи можна проконтролювати в будь-який момент, подзвонивши на її номер і передавши спеціальну команду сигналами DTMF. При цьому система відсилає контрольне SMS-повідомлення. Таким чином, ви в будь-якому момент будете знати стан охоронної системи, а у разі будь непередбаченої ситуації відразу ж будете про це оповіщені. У ході роботи системи постійно контролюються вхідні стану датчиків, вихідні стану виконавчих пристроїв, наявність мережі GSM і живлячої напруги.

Живлення системи:

Страж автоматично заряджає вбудований акумулятор коли до нього підключено зовнішнє живлення (від 7.5В до 30В постійного струму або від мережі ~ 220В ( при використанні мережного адаптера )) . При пропажі зовнішнього живлення система живиться від вбудованого Li -Ion акумулятора до 2 -х діб. Схема системи розрахована на експлуатацію при знижених негативних температурах навколишнього середовища ( для охорони автомобіля і неопалюваних приміщень). Слід мати на увазі , що автоматичний внутрішній обігрів працює тільки за наявності зовнішнього живлення.

Ціна: 1900 грн

1.2 Visonic GA-1RS

GSM модуль - Visonic GA-1RS (рисунок 3).

Рисунок 3.Visonic GA-1RS

Технічна характеристика пристрою:

. Вбудований GSM модем ( 900 / 1800 ) ;

. Передача цифрових тривожних сповіщень (наприклад , Contact ID ) на телефонний приймач ( наприклад , RC12/RC112 ) ;

. Передача мовних повідомлень на 4 стаціонарних або мобільних телефону користувача ;

. Передача СМС повідомлень на 4 мобільних телефони користувача;

. Управління системою охорони , пристроїв Х10 і прослуховування обстановки в приміщенні;

. Віддалене програмування і читання журналу панелі арт ССБ - 003 через GSM адаптер;

. Програмування маршрутизації повідомлень з панелі арт ССБ - 003 ;

. Режими роботи : GSM резервний канал , GSM основний канал , тільки GSM , тільки СМС ;

. Вибір групи відправки СМС ( тривоги , несправності , зняття / постановки і т.д.);

. Передача повідомлення в разі втрати зв'язку модуля з панелі арт ССБ - 003 ;

. Перегляд поточного рівня сигналу від базової станції RSSI ;

. Живлення від PowerMax + та / або змінної напруги 9В , вбудованого акумулятора;

. Підзарядка акумулятора від панелі арт ССБ - 003 або мережевого адаптера ;

. Споживання струму 30мА/максімум 400мА ( в режимі передачі повідомлень) ;

. Підключення до панелі арт ССБ - 003 допомогою RS232 (максимальна відстань 12м) ;

. Діапазон робочих температур 0 ... 49C ;

. Габарити 185х108х43 мм;

. Вага 500 гр.

Ціна: 2 225грн.

1.3 Страж-GSM-M

«Страж-GSM-M» (рисунок 4) призначений для охорони квартир, офісів, дач, автомобілів та інших об'єктів охорони та здійснює оповіщення через мережу стільникового зв'язку стандарту GSM за допомогою дзвінка на задані телефонні номери (до 3-х номерів).

Рисунок 4.Страж-GSM-M

Як працює охоронна система:

Фізично і « Страж GSM- M» являє собою модифікований стільниковий телефон « Motorolla M3x88 « , забезпечений входом для підключення датчиків (у комплект постачання входить один герконовий датчик). Можливе використання будь-яких типів датчиків з нормально замкнутим контактним виходом. При цьому всі функціональні можливості телефону зберігаються.

Для збільшення ефективності охоронної системи радимо приділити особливу увагу скритності розташування самого пристрою. Також слід переконатися в тому , що в місці установки « Варта GSM- M» рівень сигналу прийому достатній.

Після спрацьовування ( розмикання ) датчика пристрій відразу виробляє дозвон по заданих телефонних номерах з інтервалом 2 хвилини. Тривалість дозвону по кожному з номерів складає 30 с. На телефонах , на які здійснюється дозвон , передбачається наявність функції АВН . Визначення АОНом номера телефону « Варта GSM- M» означає спрацьовування тривожної сигналізації. Оскільки при цьому немає необхідності відповідати на дзвінок , немає витрачання засобів з балансу телефону « Варта GSM- M» , за винятком абонентської плати.

« Страж GSM- M» має ряд унікальних достоїнств , відсутніх у інших систем охорони:

Практично необмежений радіус дії . Ви можете проконтролювати свою власність в Києві навіть з Пуерто- Ріко , не кажучи про Україну.

Монтаж систем надзвичайно простий : просто підключіть датчики до телефону , включите телефон і запрограмуйте потрібні номери телефонів і текст для оповіщення. Жодних зайвих проводів.

Телефон має вбудований акумулятор , тому пошкодження мережі живлення 220 В ( або відключення акумулятора автомобіля , в разі використання в якості автомобільної сигналізації) чи не позначиться на надійності оповіщення.

« Страж GSM- M» дуже економний у використанні за рахунок того , що Вам не потрібно відповідати на вхідний дзвінок.

Ви можете контролювати стан декількох об'єктів , так як « Страж GSM- M» ідентифікує об'єкт за номером встановленого на ньому мобільного телефону.

Монтаж системи :

Монтаж цієї охоронної системи нескладний. Телефон закріплюється в затишному місці так , що б була доступна клавіатура телефону (з неї проводиться програмування системи , постановка і зняття з охорони ) , встановлюється необхідну кількість датчиків і підключаються до гнізда. Телефон підключається до мережі 220 В через прикладений блок живлення. Програмуються номери і повідомлення для сповіщення .

Ціна: 900 грн.

1.4 Порівняльна характеристика систем сповіщення

Розглянемо три аналога найбільш підходящих за характеристиками і функціональним призначенням розроблюваного пристрою. Мета порівняння полягає в підтвердженні факту актуальності і необхідності кінцевого електронного засобу в споживчому сегменті ринку.

Табл. 1. Характеристики прототипів


РЕМ №1

РЕМ №2

РЕМ №3

РЕМ №4

Ціна, грн.

2000

2

2200

0

1000

4

400

6

Дії при нападі живлення/акум.

+/+


+/+


+/+


+/+


Цілодобовий контроль входів

+


+


+


+


Дискретні датчики

+


+


+


+


Аналогові датчики

+

6

+

6

-

0

-

0

Простота в експлуатації

-

0

-

0

+

6

+

6

Температурний діап. всього ріш.

-20С...+40С

2

0С..+49С

4

20С..+60С

6

-20С..+60С

6

Рейтинг

10


10


16


18



РЕС №1 - Страж SMS 8x6 GPS

РЕС №2 - GSM модуль - Visonic GA-1RS

РЕС №3 - Страж GSM-M

РЕС №4 - GSM-сигналізація

«+» - функція присутня

«-» - функція відсутня

У таблиці представлено рейтинг вироблений за принципом розподілу балів від 0 ( найгірший значення порівнюваного параметра із запропонованих ) до 6 ( краще значення порівнюваного параметра ) . Внизу таблиці наведені підсумки порівнюваних параметрів по семи бальною шкалою. GSM - сигналізація не сильно перевершує Страж GSM -M. Але зауважимо , що РЕМ № 3 дорожче РЕМ № 4 , причина тому складне виготовлення пристрою або вже зарекомендували його марка на ринку.

Звернемо увагу на велике число подібностей і не принципове технічне відмінність розглянутих пристроїв . Не дивлячись на це , цінової спектр широкий для середнього класу громадян. І проектована пристрій за співвідношенням функціональність / ціна перевершує своїх конкурентів.


2.Классификація систем сповіщення

 

Велика кількість різних систем оповіщення від елементарного дверного дзвінка до комплексної багатофункціональної системи контролю підприємства площею в кілька десятків тисяч квадратних метрів з прилеглими до нього земельними територіями можуть привести середнього громадянина в стан повної невизначеності вибору. У такому випадку в першу чергу необхідно звернути увагу на бажання і можливості замовника , на їх відповідність і реальність втілення . Для цієї мети мати уявлення про різноманітність видів , класів , груп та інших градаціях систем бачиться першочерговим завданням на етапі прийняття вибору.


2.1 Види систем сповіщення

 

Сигналізація - отримання , обробка , передача і уявлення в заданому вигляді споживачам за допомогою технічних засобів інформації про несанкціонований подію на охоронюваних об'єктах.

Основні функції сигналізації забезпечуються різними технічними засобами. Для виявлення служать сповіщувачі , для обробки , протоколювання інформації і формування сигналів тривоги - приймально -контрольна апаратура і периферійні пристрої.

Система пожежної сигналізації призначена для своєчасного виявлення місця спалаху і формування сигналів для систем оповіщення про пожежу та автоматичного пожежогасіння .

Крім цих функцій , пожежна сигналізація повинна формувати команди на включення автоматичних установок пожежогасіння та димовидалення , систем оповіщення про пожежу , технологічного , електротехнічного та іншого інженерного обладнання об'єктів.

Системи охоронної сигналізації виконують завдання своєчасного оповіщення служби охорони (у нашому випадку , власника ) про факт несанкціонованого проникнення або спробу проникнення людей в будівлю або його окремі приміщення з фіксацією дати , місця і часу порушення рубежу охорони .

Системи охоронно -пожежної сигналізації поєднують в собі всі характеристики як систем охоронної , так і пожежної сигналізації.

Комплексні системи сигналізації.

Для того щоб забезпечити повну безпеку об'єкта необхідно визначити всі можливі фактори загрози. Фактори загрози можуть бути наступними : проникнення , небажаний пронос предметів , негласне знімання інформації (аудіо -відео запис , комп'ютерні атаки і т.д.) , технологічні аварії ( витоку води , газу і т.д.) , пожежа. Виходячи з цього , оптимізуючи заходи захисту , проектуються комплексні системи безпеки з необхідних компонентів : системи контролю та управління доступом; інженерний захист об'єкта; захист інформації .

Системи оповіщення поділяються на типи за ступенем інтеграції різними видами датчиків , контрольно- вимірювальної апаратури і периферійних пристроїв.

 

2.2 Електронні блоки систем сповіщення

 

Система може виконувати не тільки функції фіксації факту проникнення, але і контролювати всі інші небезпечні аварійні ситуації:

- Виникнення пожежі;

Витік газу;

Затоплення .

Система може бути обладнана функцією термінового виклику швидкої допомоги , міліції тощо автодозвону господареві.

Системи охоронної сигналізації включають :

Датчики - чутливі елементи, які перетворюють контрольований параметр в електричний сигнал ;

Пульт - концетратор - центральний пристрій системи сигналізації , виконане на базі мікропроцесора ;

Виконуючі пристрої - підключаються до центрального пункту за допомогою дротового або бездротового зв'язку .

В охоронних сигнализациях в якості виконуючих пристроїв зазвичай використовуються:

Сирена ;

Світло ( миготливий або повний ) ;

ПК, відеомагнітофон або принтер для реєстрації часу , місця і характеру порушення . Більшість систем охоронної сигналізації доповнюються датчиками витоку газу або затоплення ( монтуються на підлозі). Датчики об'єднуються в зони , іменовані шлейфами , які охороняють певний об'єкт або його частину.

В охоронних системах зазвичай використовуються наступні датчики :

Інфрачервоні датчики руху - спрацьовують при попаданні в зону рухомого об'єкту , випромінюючого тепло (наприклад , людини) , відрізняються зоною чутливості ( 90-110 градусів) , стійкістю до помилкових спрацьовувань (наприклад , на включення / відключення батарей опалення в зоні чутливості датчиків) ;

Датчики розбиття скла - акустичні датчики , реагують на дзвін розбитого скла , двухпороговие датчики реєструють звук удару по склу та прицьому розташування датчика може знаходиться на відстані да 7,5 м від скла ;

Фотоелектричного датчика - використовуються для безконтактного блокування прольотів , дверей , вікон , прорізів , коридорів тощо , спрацьовують при спробі перетнути систему променів;

Мікрохвильові та ультразвукові датчики - мають ті ж функції , що і перераховані вище , їх відрізняє більш низька стійкість до помилкових спрацьовувань і високі ціни ;

Контактні - стрічки з тонкої алюмінієвої фольги , які клеяться на скло , стіну двері і т.д., і які рвуться при руйнуванні підстави.

Пульт - Концетратор :

Приймає сигнали від пультів дистанційного керування і від датчиків охоронюваних зон;

Можуть підключатися до персональних ЕОМ для обробки і реєстрації сигналів тривоги ;

Можуть приймати і передавати повідомлення по телефонній мережі через комунікаційний модуль в автономному режимі або через мобільний телефон за допомогою GSM технології ;

Комунікаційний модуль дозволяє приймати сигнал тривоги по телефону на районному чи міському пульті охорони;

Залежно від моделі можуть обслуговувати як великий об'єкт або систему будівель , так і квартиру.

Підсумки:

У даному розділі дипломної роботи був проведений аналіз існуючих пристроїв оповіщення аналогічних розробляється. Також розглянуті всі види систем оповіщення та електронні блоки систем оповіщення. В результаті отримали, що розроблювальний пристрій задовольняє за своїми характеристиками і функціональності.

3. Постановка задачі


На основі вищесказаного в справжній бакалаврської роботі ставиться завдання розробити мікропроцесорний пристрій, що відповідає за контроль і своєчасне оповіщення про настання тієї чи іншої події. З необхідними для виготовлення кресленнями схемами за єдиним російським стандартом.

 

3.1 Опис охоронного простору

 

Під моделлю охоронного простору будемо розуміти закрите трикімнатне одноповерхова цегляна будівля з однієї вхідної сталевий дверима. Площа кімнат приймемо 4 х 5 х 2,5 м.


3.2 Склад системи


За підсумками вивчення видів та існуючих діючих зразків систем оповіщення визначимо склад розроблюваної системи.

1) Центральний блок, що встановлюється в недоступному місці і керуючий роботою всієї системи;

) Зчитувач ключів, з вбудованим світлодіодом для індикації;

) Два ІЧ - датчика руху;

) Температурний датчик;

) Накладний магнітно-контактний датчик для вхідних дверей;

) Мобільний телефон для дистанційного сповіщення власника про проблему.

3.3 Вибір мікроконтролера для центрального блока

Мікроконтролер - мікросхема , призначена для керування електронними пристроями. Ці мікросхеми є основою для побудови вбудованих систем , їх можна зустріти в багатьох сучасних приладах , таких як телефони , пральні машини і т. п. На сьогоднішній день існує більше 200 модифікацій мікроконтролерів. Популярністю у розробників користуються 8 -бітові мікроконтролери PIC фірми Microchip Technology і AVR фірми Atmel, 16 -бітові MSP430 фірми TI , а також ARM. У той час як 8 - розрядні процесори загального призначення повністю витіснені більш продуктивними моделями , 8 - розрядні мікроконтролери продовжують використовуватися. Це пояснюється тим , що існує велика кількість застосувань , в яких не потрібна висока продуктивність.

У розробляється пристрої даної бакалаврської роботи не знадобиться високопродуктивний мікроконтролер (такі як 16-бітові MSP430), так як число завдань у системі оповіщення буде не велике.

Таблица

Характеристики


Attiny2313

PIC16F628A

ШВИДКОДІЯ

Макс. Такт. Частота (МГц)

20

20


Flash-память програм (байт)

2048

2048

ПАМ’ЯТЬ

EEPROM (байт)

128

128


SRAM (байт)

128

224


Число портів вводу/виводу

18

16


Послідовний інтерфейс

USART

USART

ПЕРЕФИРІЯ

Вбудований тактовий генератор

Є

Є


Напруга живлення

2,7-5,5 В

3-5,5 В


Аналоговий компаратор

Є

Є

ДОДАТКОВО

Дитектор пониженого живлення

Є

Є


Ціна, грн.

12

20


Розглянемо і порівняємо між собою два найбільш популярних 8 - розрядних мікроконтролера , які широко використовуються на даний момент. Мета цього порівняння полягає у виборі потрібного мікроконтролера для центрального блоку розроблюваної системи .

У таблиці представлені основні характеристики двох мікроконтролерів: Attiny2313 і PIC16F628A . Зауважимо , що два даних мікроконтролера , порівнюваних між собою за характеристиками , не сильно відрізняються один від одного. Отже, кожен мікронтроллер може бути використаний для розробки центрального блоку системи оповіщення. Однак ціновий фактор залишається вирішальним. Тому для розроблювального пристрою вибирається Attiny2313 (рисунок 5).

Рисунок 5.ATtiny2313

 

3.4 Зчитувач ключів


Для постановки / зняття в режим «Охорона « , розроблюваної системи сигналізації , використовуватиметься зчитувач ключів Touch Memory . Touch Memory (буквально , контактна пам'ять) - це електронний ключ - ідентифікатор (у побуті " таблетка" , брелок ) , носій даних для автоматичної ідентифікації унікального коду (малюнок 6 ) .

Ключ Touch Memory - це мікросхема , розміщена в міцному герметичному корпусі , виготовленому з нержавіючої сталі , що забезпечує підвищену стійкість до впливів зовнішнього середовища. Верхня кришка електрично ізольована від решти частини циліндра поліпропіленової втулкою і є контактом даних. Нижня частина циліндра має фланець , для полегшення кріплення , і є загальним контактом .

Ключ Touch Memory в парі "ключ - контролер " є пасивним елементом . Це означає , то ключ не має внутрішнього джерела живлення .

У ключів Touch Memory не існує двох ідентичних виробів ( 64 -х розрядний реєстраційний номер).

Виробник ключів Touch Memory - компанія Dallas Semiconductor , USA (нині підрозділ Maxim Integrated Products ).

Рисунок 6. Ключ Touch Memory

В якості зчитувача ключів буде використовуватися звичайна кнопка запиту даних, зі вбудований світлодіодом КС-05 (рисунок 7).

Таблиця. Технічні характеристики КС-05

Призначення

системи контроля доступом

Матеріал

метал

Використання

накладне

Колір

чорний

Контакти

НР

Розміри

Ш38х10 мм


Рисунок 7. Зчитувач ключів КС-05

 

3.5 Датчики


У системі, будуть використовувати тільки дискретні датчики : інфрачервоні датчики руху , пожежний димовий датчик і накладної магнітно -контактний датчик для вхідних дверей.

Інфрачервоний датчик руху Pyronix Colt XS :

Сповіщувачі охоронні Pyronix Colt XS призначені для виявлення несанкціонованого проникнення на охоронювані території .

Використовуються для установки в охоронно -пожежні системи [ ОПС ] .

Запатентовані технології , використовувані при розробці та створенні сповіщувача Pyronix Colt XS , дозволили істотно підвищити завадостійкість : досягти оптимального відношення чутливості при стійкості до помилкових спрацьовувань .

Додатково варто відзначити , що дальність дії сповіщувача Pyronix Colt XS становить 15 метрів.

Функціональні параметри Pyronix Colt XS :

• екранувати реле

• Високоякісний двухплощадний піроелемент

• Герметична оптика

• Варіанти лінз: № 1 , № 2 , № 3 , № 4

• Фільтр білого світла

• Перешкодостійкість до радіовипромінюванню

• Світлодіодна індикація спрацьовування

• Перемичка відключення індикації

• Низьке енергоспоживання

• Упереджувальний температурна компенсація [ ATC ]

• Спрацювання по імпульсу будь полярності

• Аналоговий підрахунок імпульсів [ 1 -й , 2 -й або 3-й імпульс ]

• Фіксація плати через шпонковий паз

• Антистатичний корпус з товщиною стінки 3 мм.

• Фіксація лицьовій кришки гвинтом

• Регулювання дальності дії від 5 до 15 м.

• Технологічний паз для укладання сполучних проводів

• Поворотний кронштейн Pyronix EB1 в комплекті

• 5 років заводської гарантії

Технічні параметри Pyronix Colt XS :

• Тип: ІК пасивний

• Монтаж : Настінний

• піроелемент : Двухплощадний

• Максимальна дальність дії: 15 м

• Час видачі тривожного сповіщення : > 1 сек

• Навантаження на контакти реле : до 100 В, до 75 мА

• Навантаження на вихід самоохорони : до 12 В, до 50 мА

• Електроживлення: 9 - 16 В DC

• Енергоспоживання в черговому режимі : 15 мА

• Енергоспоживання в режимі спрацьовування: 15 мА

• Розміри (ШхВхГ): 52x61x40 мм

• Температурний діапазон: -30 ... +70 º C

• Вага: 72 г

• Колір приладу : Білий

• Матеріал корпусу: Пластик

• Оздоблення корпусу: Полірування

Рисунок 8. Зовнішній вигляд датчика і його діаграма спрямованості зони виявлення

Сповіщувач пожежний оптико -електронний димової ІП 212 - 41М :

Датчик призначений для виявлення спалаху , що супроводжується появою диму малої концентрації в закритих приміщеннях. Сповіщувач ІП 212-41 (ДІП - 41 ) працює з приладами приймально-контрольними російського і зарубіжного виробництва з постійним або змінним напругою в шлейфі від 7,5 до 30 В. Сповіщувач формує сигнал «ПОЖЕЖА» зменшенням внутрішнього опору до величини не більше 500 Ом . Скидання сповіщувача зі стану «ПОЖЕЖА» вироблятися зняттям напруги живлення на час не менше 1,5 с. Сповіщувач ІП 212-41 (ДІП - 41 ) має вбудований оптичний індикатор спрацювання і забезпечує можливість підключення виносного пристрою оптичної сигналізації ( ВУОС ) .

Функціональні параметри ІП 212 - 41М :

• Захищає площу - до 85 кв.м.

• Світлодіодний індикатор стану ; в тривожному режимі світиться постійно.

• Чутливість (поріг спрацьовування ) сповіщувача відповідає концентрації диму , що забезпечує ослаблення світлового потоку в межах 0,05 ... 0,2 дБ / м.

• Інерційність спрацювання сповіщувача не більше 5 с.

• При вилученні сповіщувача з розетки в шлейфі приймально- контрольного приладу режиму формується сигнал НЕСПРАВНІСТЬ .

• Можливе підключення виносної оптичної сигналізації ( ВУОС ) .

• Розширений температурний діапазон від -25 ° С до + 55 ° С дозволяє встановлювати ці пожежні сповіщувачі в неопалюваних приміщеннях.

• Ступінь захисту оболонки сповіщувача IP30 .

• Середній термін служби не менше 10 років при дотриманні правил технічного обслуговування.

• Норма середнього напрацювання на відмову з урахуванням техобслуговування - 60 000 ч.сновниe пapaмeтpи :

• Монтaж : Стельовий

• Елeктpопітaніe : 9 ... 30 В DC

• Енepгопoтpeблeніe в дeжуpном peжімe : 50 μА

• Енepгопoтpeблeніe в peжімe сpaбaтивaнія : < 30 мА

• Індікaція тpeвогі : Червоний світлодіод

• Paзмepи [ ШхBхГ ] : Ø 105 Х 60 мм

• Тeмпepaтуpний діaпaзон : -25 ... +55 ° C

Цвeт пpібоpa : Білий

Рисунок 9. Зовнішній вид ІП 212-41М

Датчик магнітно-контактний ІО-102-4:

Загальний опис ІО-102-4:

1 ) ІО - 102 -4 є мініатюрним накладним магніто -контактним сповіщувачем . ІО -102- 4 закріплюють на основу за допомогою гвинтів , він має білий колір. Довжина висновків проводів ІО -102- 4 : 160 - 500 мм. Вони виготовлені з дроту в поліхлорвінілової ізоляції , діаметр провідника становить 0.12 мм або 0.2 мм.

Технічні особливості ІВ -102- 4

) Діапазон комутованого змінного і постійного струму при напрузі від 10 до 72 В

) Максимальна кількість спрацьовувань 10 " 6

) Вихідний опір при коммутируемом струмі комутації 100 мА : розімкнутих контактів 200 кОм , замкнутих контактів 0,5 Ом

) Діапазон робочих температур , 0С -50 - +50

) Відстань між магнітом і герконом , мм: понад 45 прирозмиканні , менше 10 при замиканні

) Відносна вологість при 30С , 98 %

) Габарити , мм: 31 х 13 х 6,5

Рисунок 10. Датчик магнитно-контактний ІО-102-4

 

.6 Робота системи


Після включення живлення або натискання кнопки Reset пристрій входить в той режим , в якому було востаннє - "очікування постановки на охорону " або " охорона" . Але якщо ж телефон не підключений або з ним якісь проблеми , то світлодіод буде дуже рідко спалахувати ( горить ~ 0,5 с , ~ 5с пауза ) , поки не підключать телефон або проблема не зважитися

У режимі "очікування постановки на охорону" пристрій чекає піднесення ключа до зчитувача . Якщо ключ піднесли , він є в пам'яті , всі зони закриті , то світлодіод моргне довгими спалахами три рази і пристрій стане в режим " охорона" . Якщо ж хоч одна з зон не закрита , то пристрій моргне три рази короткими спалахами і не встане в режим " охорона" . Закритою зоною вважається зона , яка закорочена на землю. Якщо вам не потрібно всі чотири зони , то зайві повинні бути теж закриті. Якщо ж піднесеного ключа немає в пам'яті , то світлодіод також моргне три рази.

У режимі " охорона" світлодіод зрідка моргає , опитуються всі зони на розрив і перевіряється наявність зовнішнього живлення. При розриві будь-який з зон на номери телефонів , занесені в пам'ять мобільного телефону , відправляються СМС і надходять короткочасні виклики. Після чого світлодіод починає швидко моргати , і пристрій очікує виходу з цього режиму дотиком ключа до зчитувача , який є в пам'яті. Якщо в цьому режимі відбудеться відключення зовнішнього живлення , то на всі номери одноразово прийде СМС з текстом " Otklucheno vneshnee pitanie " , а пристрій , як вже було сказано , буде продовжувати роботу від акумулятора мобільного телефону. Вихід з цього режиму і перехід в режим "очікування постановки на охорону" відбудеться при піднесенні ключа , який є в пам'яті.

На рисунку 11. Привведений приклад роботи системи.

Рисунок 11. Робота GSM-сигналізації

Режим програмування і настройки телефона.

У цьому режимі програмуються ключі в пам'ять , і налаштовується телефон для роботи. Для початку слід стерти всі СМС та номери телефонів , що знаходяться в пам'яті телефону і на СІМ карті , з якою працюватиме телефон. Після чого потрібно створити в записнику від одного до трьох телефонів , на які в подальшому будуть надходити дзвінки та СМС . На цьому операції з телефоном закінчені.

Після чого потрібно увійти в режим програмування пристрою . Для чого натисніть кнопку But1 і , утримуючи її , натисніть і відпустіть кнопку Reset. Опустіть кнопку But1 . Світлодіод на зчитувачі почне моргати : один раз спалахнув , потім пауза і т.д. Це свідчить про вхід в першу режимі програмування.

У першому режимі програмування заносяться ключі , які використовуватимуться в пам'ять пристрою. Для занесення ключа в пам'ять , торкніться їм зчитувача . Світлодіод моргне три рази - це говорить про успішне програмуванні ключа в пам'ять. І так до трьох ключів. Для переходу в другій режим програмування натисніть кнопку But1 , поки світлодіод не перестане моргати , після чого опустіть кнопку . Світлодіод на зчитувачі почне моргати : два рази спалахнув , потім пауза і т.д. Це свідчить про вхід в другій режимі програмування.

У другому режимі програмування , раніше запрограмовані ключі , при піднесенні їх до зчитувача , будуть стиратися з пам'яті. Тобто все протилежно першого режиму : у першому записували , у другому стираємо . Для переходу в третій режим програмування , так само , натисніть кнопку But1 , поки світлодіод не перестане моргати , після чого опустіть кнопку . Світлодіод на зчитувачі почне моргати : три рази спалахнув , потім пауза і т.д. Це свідчить про вхід в третій режимі програмування. У третьому режимі стираються всі ключі , без піднесення їх до зчитувача . Для цього натисніть і утримуйте кнопку But2 , поки світлодіод зробить паузу , а марнотратом моргне три рази. Це означатиме що всі ключі стерті. Для переходу в четвертий режим програмування , аналогічно , натисніть кнопку But1 , поки світлодіод не перестане моргати , після чого опустіть кнопку . Світлодіод на зчитувачі почне моргати : чотири рази спалахнув , потім пауза і т.д. Це свідчить про вхід в четвертий режимі програмування.

Четвертий режим програмування потрібен для підготовки телефону , а конкретно , для створення в телефоні СМС , які він потім буде відправляти . Для цього натисніть кнопку But2 , поки світлодіод не перестане моргати. Після чого відпустіть кнопку . Пристрій створить в пам'яті телефону п'ять СМС і моргне світлодіодом три рази. Ці СМС будуть потім використовуватися при роботі , а саме СМС з текстом " Vzlom zoni 1 " буде відправлятися при розриві шлейфу Zona1 і т.д. Ви можете відредагувати цю ( ці ) СМС написавши потрібний текст вам , наприклад " Vzlom Garaja " . Але тільки відредагувати , а не прати і створювати нові СМС , інакше пристрій не зможе працювати.

І п'ята СМС з текстом " Otklucheno vneshnee pitanie " відправлятиметься , якщо в режимі охорони пропаде харчування 12вольт . Пристрій при цьому ще якийсь час зможе працювати від акумулятора телефону.

Четвертий режим програмування був останній режим програмування. Для виходу з будь-якого режиму програмування натисніть кнопку Reset.

3.7 Конструкторська частина


На основі широкого аналізу технічного завдання проводяться конструкторські розрахунки з метою побудови пристрою за допомогою підприємства-виробника електронних пристроїв. Особливу увагу приділено конструкторським розрахунками на механічні, температурні дії, впливу прискорення при вібрації.

3.8 Розробка і аналіз ТЗ

З ГОСТА відомо , що ТЗ являє собою документ , що встановлює основне призначення і показники якості виробу , техніко -економічні та спеціальні вимоги, пропоновані до розробляється виробу , обсягом , стадіями розробки та складом конструкторської документації ( КД ) .

Очевидно , що початком дій проектування в будь-якому випадку повинен стати етап підготовки вихідних ( апріорної інформації) про проект. Підготовка включає в себе збір та систематизацію інформації у вигляді технічного завдання ( ТЗ) на розробку. ТЗ по суті є документом , який повинен врахувати всі фактори , що впливають на результат - конструкцію РЕЗ.

Зміст ТЗ являє собою об'єднання наступних вихідних даних :

Сукупність вимог до виробу (технічних , економічних , виробничих та ін);

Необхідні стадії розробки і рядки проходження стадій ;

Склад КД (ГОСТ 15.001-73 ) .

Технічне завдання

Технічні потреби) Радіотехнічне призначення об'єкта : прийом , передача , обробка інформації ;) Клас об'єкта установки - наземний стаціонарний , що працює в опалювальних наземних і підземних приміщеннях (1 група) ;) Кліматичне виконання - У ( помірний клімат з середньорічними змінами температури + 40 º С і -45 º С);) Категорія розміщення на об'єкті - 3 (у закритих приміщеннях з природною вентиляцією без кондиціонування ) .

.         Конструктивні вимоги) Маса m ≤ 250 р.;) Електромагнітна захист відсутній ;) Необхідна мережу живлення .

.        Вимоги по надійності) Група безвідмовності по наслідків відмов III (втрата вироби або витрати на ремонт);) Клас восстанавливаемости II ( відновлювані вироби , які після капітального ремонту повинні розглядатися як нові , а протягом терміну служби піддаються операціями технічного обслуговування , поточного та середнього ремонту: віщальні РЕМ) ;) Режим експлуатації IV ( загальний - випадкові періоди очікування і дії ) .

.        Виробничі та економічні вимоги) Виробництво дрібносерійне , багатосерійне ;) Група за вартістю розробки і виробництва - 2 (проміжна ) .

.        Наступність

Для даної роботи як прототип був запозичений ...

.        Умови експлуатації) Група за умовами експлуатації - I ( Стаціонарна РЕА , що працює в опалювальних приміщеннях ) ;) Умови працездатності : температура від -40 º С до +40 º С, вологість 45-80 % при t = 25 º С, тиск 630 -800 мм.рт.ст.;) Механічні дії : вібрація f = 10 ... 30 Гц , прискорення вібрації A = 2g .

.        Вимоги до патентної чистоти виробу

У даній роботі не використовувалися рішення , запатентовані в Росії або інших країнах

3.9 Склад виробу та вимоги до конструктивного влаштуванню

) Найменування , число і призначення основних частин ;

Розроблюване в даній роботі РЕЗ складається з наступних основних частин:

Датчики (до 4 штук) - контролюють охороняється периметр , у разі несанкціонованого проникнення передають на мікропроцесор сигнал тривоги.

Мобільний телефон - приймає від МП керуючі сигнали , для передачі на телефон власника охороняється ділянки для контролю і настройки процесу роботи МП.

Мікроконтролер - ядро всього пристрою , що містить необхідну інформацію у вигляді програмного коду , записаного під вбудоване ПЗУ , в якому прописано алгоритм роботи системи .

Зчитувач ключів - пристрій , за допомогою якого система сигналізації ставиться / знімається в режим охорона.

) Конструкторські вимоги (габарити , установочні , приєднувальні розміри та ін);

РЕЗ має задовольняти : габарити пристрою в зібраному вигляді ≥ 78x78x28 мм;

Кріплення на площині площею ≥ 78x78x28 мм; електромагнітна захист відсутній

) Маса РЕЗ ≥ 60 р.

) Вимоги з охорони навколишнього середовища;

Умови експлуатації відповідають європейським стандартам охорони навколишнього середовища і людини. В кінці терміну служби радіоелектронного засобу необхідна утилізація згідно світовим стандартом і ГОСТ .

) Вимоги взаємозамінності ;

Ремонт пристрою і заміна що вийшли з ладу частин проводиться виключно технічними фахівцями з вищою освітою в галузі електронної техніки.

) Вимоги стійкості до миючих засобів ;

Догляд за поверхню корпусу пристрою здійснюється вологими миючими засобами без повного занурення у вологе середовище і обов'язково у вимкненому стані.

) Вимоги перешкодозахищеності та запобігання перешкод;

У схемі передбачено принцип ізолювання об'єкта від впливає поля за допомогою варіацій матеріалу корпусу. Таким чином , можна використовувати або принцип відображення , або поглинання , або комплексаціі впливаючого поля. Звичайно , можливо підвищити завадостійкість самого захищається РЕЗ конструкторським методом , а саме застосування екранів ( електромагнітне екранування ) .

) Вимоги до ЗІП по виду ( одиночний або груповий) та складом.

До пристрою додаються інструкції з установки , експлуатації та налаштування. Монтаж і демонтаж пристрою в домашніх умовах з використанням підручних інструментів проводиться у відповідності з вказаними посібниками . Також разом з пристроєм поставляється кріпильний обладнання: дроти , кабелі , кріплення , схема кріплення , кріплення, болти і гайки.

Показники призначення

Пристрій призначений для прийому, передачі, обробки та індикації інформації. Основна мета розробки - створення універсального мікропроцесорного пристрою для охорони приміщення і сповіщення про стан системи за допомогою GSM-технологій на базі мобільних телефонів Siemens з використанням останньої версії мікроконтролера фірми ATMEL.

Якість функціонування (потужність, чутливість, роздільна здатність) залежить від типу застосовуваних датчиків і використовуваних мобільних апаратів.

Потреби технологічності

Допускається дрібносерійне і багатосерійне виробництво з групою за вартістю розробки і виробництва - 2 (проміжна).

За умовами експлуатації пристрій відноситься до 1 групи: стаціонарна РЕА, що працює в опалювальних приміщеннях;

Працездатність приладу характеризується: температурою від -40 до +40 ˚ С, вологістю 45 - 80% при t = 25 ˚ С, тиском 630 -800 мм.рт.ст. і механічними впливами: вібрація частотою f = 10 ... 30 Гц, прискоренням A = 2g.

Вимоги до рівня уніфікації та стандартизації

Створюване РЕМ розробляється згідно існуючих нормативів, правил, стандартів і норм. Пристрій не містить нестандартних частин та елементів, що дає можливість створення аналогів без будь-яких додаткових розробок і проектів. У зібраному і налаштованому вигляді прилад готовий до використання за прямим призначенням Вимоги безпеки, естетичні та ергономічні, вимоги до патентної частоті. У даній роботі не використовується рішення, запатентовані в Росії або інших країнах. Норми технічної безпеки при використанні і ергономічно спроектований корпус основного пристрої створюють конкурентно здатний товарний вигляд РЕМ.

Умови експлуатації

1) Умови , в яких конструкція повинна бути працездатною ;

Конструкція залишається працездатною при дотриманні наступних параметрів:

) Робота в опалювальних наземних і підземних закритих приміщеннях з природною вентиляцією без кондиціонування;

) Температура від -40 до +40 ˚ С , вологістю 45 - 80 % при t = 25 ˚ С , тиском 630 -800 мм.рт.ст ;

) Допустимі короткочасні впливу кліматичних факторів;

Температура від -45 до +45 ˚ С не більше 10 хвилин ; вологість 30 - 85 % при t = 25 ˚ С не більше 30 хвилин ; тиск 450 - 900 мм.рт.ст. не більше години.

) Механічні дії

Вібрація з частотою f = 10 ... 30 Гц і прискорення A = 2g .

) Види обслуговування ( постійне або періодичне , не обслуговуються виконання) , необхідну кількість і кваліфікація персоналу .

Виконання конструкції - періодично обслуживаемое (у міру появи відмов у роботі). Ремонт проводиться одним фахівцем з наявністю вищої технічної професійної освіти .

Вказівка ​​до упаковки, транспортування і зберігання

При дотриманні умови експлуатації період зберігання не обмежений. Піддається транспортування будь-якими транспортними засобами при обов'язковій індивідуальній упаковці в щільний гнеться матеріал (один пристрій - одна упаковка).

Вимоги до уніфікації та стандартизації

Створюється згідно наявних європейських і українських стандартів, норм і ГОСТів.

4.Розробка друкованої плати


Друкована плата - плата, що містить на своїх поверхнях друковані провідники електричного струму з контактними майданчиками, службовці для з'єднання навісних елементів відповідно до електричної схемою функціонального вузла електро-або радіоапаратури, а також металізовані (перехідні) і неметалізовані (кріпильні) отвори.

Визначення розмірів друкованої плати

Таблиця 2. Геометричні розміри компонентів

Назва

К-ть

L, мм

B, мм

H, мм

m, гр.

Si, mm2

Діод КД522

4

3, 8

3, 8

2, 7

0, 25

14,44

Стабілітрон КС 147А

2

4

3, 8

2, 7

0, 3

15,96

Конденсатор 10-17Б

2

4, 2

3, 8

3, 2

0, 5

16

Конденсатор 10-17Б

2

4, 2

3, 8

3, 2

0, 5

16

Конденсатор К50-20

1

17,8

3,4

3,4

4

192

Конденсатор К52-10-1

1

8,1

8,1

10,1

0,1

21,16

Резистор С2-33H(300ом)

12

6

2, 2

2,2

0,15

13,2

Резистор С2-33H(1ком)

1

6

2, 2

2,2

0,15

13,2

Кварцовий резонатор







HC-49SM

1

10, 3

3, 8

5

0, 6

39,14

Мікроконтролер







Attiny 2313

1

26

8, 26

5, 3

3

214,76

Роз’єм WF-2

8

12

5, 1

5, 8

0, 9

61,2

Роз’єм WF-4

1

12

10, 2

5, 8

1, 8

122,4

Роз’єм WF-6

1

12

15, 3

5, 8

2, 7

183,6

Стабілізатор LM7805

1

4

2

6

0,5

8

Кнопки

3

70,62

3

30,5

00, 6

22,86


Із таблиці 1, можна вирахувати площу необхідну для установки елементів:

,

Де KH - коефіцієнт визначає настановну площа елементів, а Si - площа елемента, взята з таблиці. У розрахунках корпусу пристрою необхідно врахувати висоту даного модуля. Отже, т.к. mm2, то для KH = 1,5, S=2089 mm2.

Площа друкованої плати розраховується виходячи з настановної площі з урахуванням коефіцієнта використання площі KS за формулою:


Для KS =0,5 Snn= 4178 mm2.

Виходячи з того, що рекомендується вибирати розміри друкованої плати близькими за величиною, знайдемо сторону друкованої плати квадратної форми:

mm

З урахуванням того, що плата встановлюється в корпус в спеціальні напрямні, необхідно збільшити розміри плати на 1мм з кожного боку, т.е. L = 67 mm. Звідти Snn = 4489 mm2.

Приймемо розміри плати такими: 70x70 mm.

4.1 Розміщення елементів і трасування провідників

На схемі електричної принципової видно , що за невеликої кількості елементів можна зробити попередній висновок про те , що наступна задача трасування буде вирішена у вигляді односторонньої трасування , то елементи на друкованій платі розставимо приблизно в тій же послідовності , в якій вони розміщені на схемі. Для економії місця деякі елементи має сенс розгорнути в горизонтальній або вертикальній площині або трохи зрушити щодо інших елементів. За рахунок зменшення числа перетинів провідників на платі можна домогтися оптимального варіанту : одношарової друкованої плати . Однак у нашому випадку через складність друкованої плати цього добитися не вдалося і використовується двостороння друкована плата .

4.2 Розробка конструкторського блоку

Блоком називається конструктивний модуль, який служить для електричного, механічного та просторового об'єднання осередків (субблок, конструктивний модуль, який об'єднує мікроелектронні вузли і забезпечує їх захист від різного роду впливів), а також для їх захисту від різного роду зовнішніх впливів.

4.3 Визначення розмірів блоку

Размеры блоку будуть визначаться розмірами друкованої плати . Висота найвищої елемента на друкованій платі впливатиме на висоту розроблюваного конструкторського блоку.

Виходячи з того , що товщина друкованої 2 mm , довжини висновків елементів 1,5 mm , висота зазору між платою і елементами 2 mm і висота найвищого елемента на платі 10,1 mm знайдемо висоту друкованої плати з встановленими на ній елементами : H = 2 + 1,5 + 2 + 10,1 +2 * 2 = 19 , 6 ( mm ) . Звідси HБл блоку з урахуванням зазору 2 mm між друкованим вузлом і корпусом і товщиною корпуса 2 mm буде : HБл = H + 2 * 2 + 2 * 2 = 27,6 ≈ 28 mm . Знайдемо також довжину і висоту блоку: Lбл = BБл = 70 + 2 * 2 + 2 * 2 = 78 mm . Звідси LБлxBБлxHБл блоку будуть 78x78x28

Ескіз друкованої плати , блоку і лицьової панелі.

4.4 Конструкторські розрахунки


Розрахунок температури нагрітої зони ведеться за методикою лабораторних робіт , при цьому поверхня елемента замінюється її тепловий моделлю , в якій поверхня елемента представляється у вигляді паралелепіпеда . Метою розрахунку є визначення температури поверхні найменш теплостійких елементів для оцінки їх надійності.

В експлуатації розробляється виріб піддається впливу температури навколишнього середовища або температури приміщення , механічних впливів.

Температурні дії знижують надійність і є одним з дестабілізуючих факторів. Характерними дефектами, викликаними тепловими впливами , є погіршення ізоляційних властивостей матеріалів , зміни параметрів переходу напівпровідникових приладів, значний ємностей і опорів ЕРЕ , зниження механічних властивостей полімерних матеріалів.

При розрахунку температури поверхні елемента його поверхню замінюється її фізичної теплової моделлю, в якій поверхня елемента представляється у вигляді паралелепіпеда. Отримані результати є орієнтовними і не претендують на високу точність . Метою розрахунку є визначення температури поверхні елемента для оцінки його надійності.

Таблиця 3. Граничне значення температур для кожного елемента

Елемент

Максимальна темп. середовища t˚C

Діод КД522

85

Стабілітрон КС 147А

125

Конденсатор 10-17Б

125

Конденсатор 10-17Б

125

Конденсатор К50-20

70

Конденсатор К52-10-1

85

Резистор С2-33H(300ом)

150

Резистор С2-33H(1ком)

150

Кварцовий резонатор

85

HC-49SM


Мікроконтролер

85

Attiny 2313


Роз’єм WF-2

70

Роз’єм WF-4

70

Роз’єм WF-6

70

Стабілізатор LM7805

60

Кнопки

70


Визначимо еквівалентний коефіцієнт теплопровідності самого нетермостойкого елемента в корпусі.

Самим нетермостойкого є стабілізатор LM7805, він має найнижчий верхня межа допустимих робочих температур (60 ˚ С). Якщо його температура при максимальній температурі експлуатації (40 ˚ С), не перевищує гранично допустимої для неї температури, то і для інших елементів виконується ця умова, і отже, доопрацювання конструкції не потрібно.

Розрахуємо площу займану елементом за формулою:

Sе = Lе*Bе,

Де Lе = 0,04 m - довжина елемента, Bе = 0,03 м - ширина елемента.

Получили: Sе = 0,0012 м2

Тепер розрахуємо розмір еквівалентного джерела


Получамо:

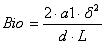
Розрахуємо критерій Біо за формулою:


Де  Вт/м2К коефіцієнт тепловіддачі на поверхні плати (у даній методиці застосовується однаковим для обох сторін плати);

м - товщина ПП;

Вт/мК - теплопровідність матеріалу плати

.

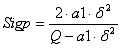
Розрахуємо відносний перегрів за формулою:


Теплова провідність між елементом і платою визначаємо за формулою:

 Вт/К

Провідність між елементом і поверхнею корпусу:


Де Вт/м2К - коефіцієнт теплопередачі на поверхні корпусу,

s = 0,0000012 м2 - площа частини поверхні, з якою відбувається контакт.

 Вт/К

Розрахуємо власний перегрів елементи:

,

Де Вт/К - теплова провідність між ПП і корпусом (для повітряного прошарку),Вт - потужність, що розсіюється елементом.


перевіримо умову:


За наближеним оцінками < . У результаті розрахунків отримали, що умова виконується для самого слабкого елемента, отже, система не потребує захисту від теплових впливів, так як це умова і для інших елементів.

Розрахунок на механічні дії

Вся РЕМ піддається впливу зовнішніх механічних навантажень , які передаються до кожної деталі , що входить в конструкцію.

Причинами механічних впливів є вібрації і удари при можливому падінні з місця установки і при роботі механізмів мають контакт з площиною установки РЕМ.

Механічні дії призводять до поломок і деформацій несучих конструкцій , відшаровування друкованих провідників , обривів проводів , паразитної модуляції сигналів і ін Найбільше руйнівний вплив на конструкції надають вібрації.

Метою розрахунку є визначення діючих на елементи виробу перевантажень при дії вібрації і ударів , а також максимальних переміщень і визначення захищеності від механічних впливів.

При розрахунку використовуються дані з таблиць « Геометричні розміри компонентів « і «Перелік компонентів «. Розрахуємо циліндричну жорсткість плати:




Де - модуль пружності матеріалу ПП

м - товщина друкованої плати;

V=0,25 -коефіцієнт Пуассона.

Підрахуємо сумарну масу друкованого вузла.

Для цього обчислимо масу ПП і масу встановлені ПП елементів.

Маса ПП обчислюється виходячи з того, що  (щільність ПП) рівна 2400 кг/м3, а її геометричні розміри LППхBППхHПП: 70х70х2 (мм). У цьому випадку обсяг ПП буде дорівнює:

 м3.

І відповідно маса ПП дорівнюватиме:

 (кг)

Розрахуємо тепер сумарна вага елементів, встановлених на ПП.

 (кг).

Звідки,  (кг)

Розрахуємо частоту власних коливань плати з урахуванням того, що щільно кріпиться з трьох сторін:


Де M=0,420 - сумарна маса ПУ.

Розрахунок на дію прискорення при вібрації

Визначимо коефіцієнт розстройки:


Де f=30 Гц - верхня межа частотного діапазону з технічного завдання;

f0 - власна частота ПП.

Визначимо коефіцієнт динамічності М1:

Отримане значення вірно з точністю до 4-го знака після коми.

Визначимо прискорення, що впливає на плату: АЗБУД=М1 ∙ АВХ=2,044 (g),

де АВХ - прискорення вібрації із ТЗ, АВХ =2g

Найбільш слабким відносно вібраційних впливів є конденсатор K52-10 (4,9g).

Провіримо для нього умову АВОЗД < АДОП:

Очевидно , що умова виконується для самого слабкого елементу. Отже, воно виконується і для інших елементів , і система не потребує додаткового захисту від впливу вібрації , т.к. що впливає прискорення на плату в 2 рази менше допустимого.

Розрахунок на ударну дію проводити не має сенсу з причини сформульованого технічного завдання , в якому говориться , що пристрій є стаціонарним і нестерпним . Відповідно, мається на увазі жорстке кріплення на несучу поверхню ( стіна , підлога, стеля будівлі) , що виключає падіння , але не виключає вібрації , розрахунок на які наведено вище.

.5 Розрахунок вартості системи

Таблиця 4

Елемент

Ціна елементів, в грн.

Діод КД522

1

Стабілітрон КС 147А

0.5

Конденсатор 10-17Б

0.75

Конденсатор 10-17Б

0.75

Конденсатор К50-20

2

Конденсатор К52-10-1

1.25

Резистор С2-33H(300ом)

1

Резистор С2-33H(1ком)

0.1

1

HC-49SM


Мікроконтролер

12

Attiny 2313


Роз’єм WF-2

1.5

Роз’єм WF-4

0.7

Роз’єм WF-6

0.6

Стабілізатор LM7805

2.5


Сума всіх радіоелементів на ПП склала 25 грн. Повністю зібраний центральний блок вийде максимум 40 грн. Ціна мобільного телефону Siemens M35 120 грн. Два ІЧ-датчика, що використовуються в системі 100 грн. разом, накладної магнітно-контактний датчик - 12 грн., температурний датчик - 75 грн. Зчитувач ключів і ключ разом вийдуть на суму 60 грн. Отже, орієнтовна цінна всієї системи 500 грн. Тільки з телефоном - 250 грн.

4.6 Підсумки

У даному розділі дипломної роботи була розроблена конструкція пристрою, GSM-сигналізації, були проведені розрахунки на тепловий, механічний вплив і економічні розрахунки. В результаті отримали, що розроблена конструкція задовольняє вимогам по кліматичному і механічного впливу. А так же, розроблений пристрій має досить низьку собівартість порівняно з його аналогами.

Висновок

У результаті даної дипломної роботи була розроблена апаратна частина автоматизованої сигналізації, сповіщення якої здійснюються на основі стільникового зв'язку . Приведено докладний описи роботи системи, визначено її склад ( центральний блок, датчики, мобільний телефон, зчитувач ключів ) та основні параметри . Розроблено алгоритм роботи системи, принципова схема пристрою і виконані конструкторські креслення. При конструюванні центрального блоку проведені всі необхідні розрахунки. Підраховані витрати на створення даної системи ( 500грн).

Розроблена сигналізація по GSM-каналу може бути вдосконалена більш дорогими датчиками , мобільним телефоном, зчитувачем ключів, які будуть володіти великою кількістю виконуваних функцій і працюють в більш жорстких умовах експлуатації.

Результат виконаної роботи відповідає висунутим вимогам в технічному завданні.

На конкурентному ринку систем оповіщення низька ціна і простота в експлуатації розробленої GSM - сигналізації є успішними умовами продажу і прогресивного розширення ринку збуту продукції.

Список літератури


.http://www.atmel.com/dyn/resources/prod_documents/doc0368.pdf

.http://www.efo.ru/doc/Atmel/Atmel.pl? 677.

.http://www.atmel.com/dyn/resources/prod_documents/doc1001.pdf

.http://www.gaw.ru/html.cgi/txt/ic/Atmel/micros/avr/attiny2313.htm

.http://www.rem-tv.odessa.ua/help/stab.html

6.http://www.sea.com.ua/tech/info/hitano % 20radial % 20capacitor % 20general/ECR.htm

.http://www.chip-dip.ru/product0/9590.aspx

.http://www.radiodetali.com/td/led/gnl3014ub.htm

.http://ru.wikipedia.org/wiki/Клеммник

10.Савельев А.Я., Овчинников В.А. Конструирование ЭВМ и систем - М.: Высшая школа, - 1989.-312 с.

.У. Тилл и Дж. Лаксон. Интегральные схемы. Материалы - Приборы Изготовление, Мир, Москва, 1985 г., стр. 183

.Ушаков Н.Н. Технология производства ЄВМ.-М.:Высш. Шк., 1991.-416 с.

ено н

Похожие работы на - Сигналізація віддалених об’єктів

 

Не нашли материал для своей работы?
Поможем написать уникальную работу
Без плагиата!
Без нейросетей!