Исследование преобразований аддитивной смеси сигнала и шума в типовых каскадах радиоканала
Федеральное
государственное автономное
образовательное
учреждение
высшего профессионального
образования
«СИБИРСКИЙ ФЕДЕРАЛЬНЫЙ
УНИВЕРСИТЕТ»
ИИФиРЭ
Кафедра радиотехники
КУРСОВОЙ ПРОЕКТ
Исследование
преобразований аддитивной смеси сигнала и шума в типовых каскадах радиоканала
Руководитель канд. техн. наук Баскова А.А.
Студент РФ 10-08Б № 051014854 Федорова Н. Н.
Красноярск 2012
Техническое задание
Исследовать преобразования аддитивной смеси сигнала,
представляющее собой синусоидальное немодулированное колебание, и белого шума с
нормальным законом распределения в радиоканале, состоящем из резонансного
усилителя промежуточной частоты, частотного детектора и усилителя низкой
частоты.
Исходные данные:
Тип детектора: Частотный детектор;
АЧХ УПЧ: 
;
АЧХ УНЧ:
Спектральная плотность мощности шума W0 = 0,008 мкВ2/рад/с;
Полоса пропускания УПЧ Δω = 6 рад/с;
Полоса пропускания УНЧ ΔΩ = 2 рад/с;
Амплитуда напряжения входного сигнала Um = 40 мкВ;
Коэффициент усиления УПЧ Kпч = 104;
Коэффициент усиления УНЧ Kпч = 40;
Рисунок 1 - Структурная схема исследуемого радиоканала
Содержание
1. Анализ
задания
. Расчет
спектрально-корреляционных характеристик сигнала и шума на входе УПЧ
. Анализ
прохождения аддитивной смеси сигнала и шума через усилитель промежуточной
частоты
3.1
Расчет спектрально-корреляционных характеристик сигнала на выходе УПЧ
.2
Расчет статистических и спектрально-корреляционных характеристик шума на выходе
УПЧ
.3
Расчет статистических и спектрально-корреляционных характеристик аддитивной
смеси сигнала и шума на выходе УПЧ
4. Анализ
прохождения аддитивной смеси сигнала и шума через частотный детектор
1.
Анализ задания
Функциональная схема анализируемого устройства,
представленная на рисунке 1, содержит последовательно соединенные первый
безынерционный усилитель, узкополосный фильтр, нелинейную цепь, второй
безынерционный усилитель и фильтр низкой частоты (ФНЧ). Совокупность первого безынерционного
усилителя и узкополосного фильтра представляет собой резонансный усилитель
промежуточной частоты (УПЧ), который предназначен для выделения полезного
сигнала из шумов. Выделение информационного сообщения, заложенного в один из
параметров сигнала (амплитуду, фазу, частоту), осуществляется нелинейной цепью,
в качестве которой используется частотный детектор.
Второй безынерционный усилитель и ФНЧ являются усилителем
нижних частот (УНЧ) и предназначены для усиления информационного сообщения и
его выделения из шумов.
На вход анализируемого устройства воздействует аддитивная
смесь гармонического сигнала и белого гауссового шума с энергетическим спектром
Wo, т.е. x(t) = Um cos(wot + jo) + x(t).
Информационное сообщение представляет собой постоянную, априори
неизвестную величину (Um, wo, jo), измеряемую в шумах, и
расчет сводится к решению классической задачи оценки помехоустойчивости приема
сигналов. Погрешность в оценке информационного сообщения определяется величиной
математического ожидания и дисперсией шума на выходе УНЧ.
Рисунок 2 - АЧХ УПЧ
Рисунок 3 - АЧХ УПЧ
Рисунок 4 - АЧХ УНЧ
2.
Расчет спектрально-корреляционных характеристик сигнала и шума на входе УПЧ
Сигнал на входе радиоканала представляет собой гармоническое
колебание с амплитудой Um и частотой ω0. Поэтому он будет иметь
следующую спектральную плотность:
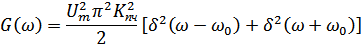
Спектр мощности сигнала есть квадрат модуля его спектральной
плотности, поэтому:
Рисунок 5 - Спектральная плотность сигнала на входе УПЧ
Рисунок 6 - Энергетический спектр сигнала на входе УПЧ
радиоканал преобразование аддитивный сигнал
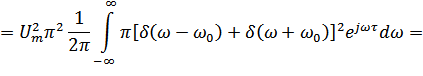
АКФ сигнала находится по теореме Винера-Хинчина:
корреляционная функция есть обратное преобразование Фурье энергетического
спектра:
Рисунок 7 - АКФ сигнала на входе УПЧ
Случайный процесс на входе УПЧ представляет собой белый шум с
нормальным распределением, следовательно его энергетический спектр будет
постоянным, а АКФ будет представлять собой дельта-функцию.
3.
Анализ прохождения аддитивной смеси сигнала и шума через усилитель
промежуточной частоты
3.1 Расчет спектрально-корреляционных
характеристик сигнала на выходе УПЧ
Усилитель промежуточной частоты является линейным
четырехполюсником, поэтому прохождение сигнала и шума через него можно
рассматривать отдельно. Спектр мощности сигнала на выходе УПЧ определяется
энергетическим спектром сигнала на входе УПЧ и коэффициентом передачи по
мощности усилителя. Так как входной сигнал есть гармоническое колебание с
частотой, соответствующей центральной частоты полосы пропускания УПЧ, выходной
сигнал не будет зависеть от формы и параметров АЧХ усилителя:

Очевидно, корреляционная характеристика также будет лишь
изменена по величине, но не по форме:
Рисунок 9 - АКФ сигнала на выходе УПЧ
Мощность сигнала на выходе УПЧ определяется значением его АКФ
при τ = 0:
Амплитуда выходного напряжения:
3.2 Расчет статистических и
спектрально-корреляционных характеристик шума на выходе УПЧ
Спектр мощности шума на выходе УПЧ определяется энергетическим
спектром шума на входе УПЧ и коэффициентом передачи по мощности усилителя.
Энергетический спектр шума пропорционален АЧХ усилителя ПЧ:
Рисунок 10 - Энергетический спектр шума на выходе УПЧ
АКФ шума на выходе УПЧ вычисляется по теореме Винера-Хинчина:
Рисунок 11 - АКФ шума на выходе УПЧ
Огибающая АКФ находится исключением косинусного сомножителя с
частотой ω0:
Рисунок 12 - Огибающая АКФ на выходе УПЧ
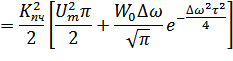
По АКФ и спектру мощности шума на выходе УПЧ можно определить
его числовые характеристики:
Математическое ожидание - поскольку у случайного процесса на
входе нет постоянной составляющей, оно равно нулю;
дисперсия - определяется как значение АКФ при τ = 0:
среднеквадратическое отклонение - определяется как квадратный
корень дисперсии:
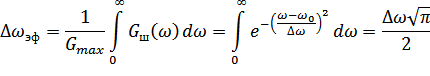
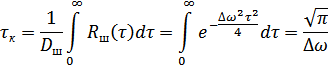
время корреляции - ширина эквивалентной прямоугольной
корреляционной функции той же площади, причем нас интересует огибающая АКФ:
эффективная ширина спектра - ширина эквивалентного
энергетического спектра с одинаковой площадью:
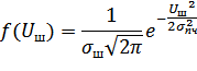
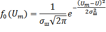
Поскольку шум на входе УПЧ имеет нормальное распределение и
сам УПЧ является узкополосным усилителем, шум на выходе УПЧ также будет иметь
нормальное распределение. Используя ранее вычисленные числовые характеристики
шума, построим функцию распределения вероятностей:
Рисунок 13 - Функция распределения вероятностей шума на
выходе УПЧ
Для дальнейшего анализа прохождения шума через радиотракт
необходимо знать закон распределения огибающей шума. Так как шум на выходе УПЧ
- узкополосный процесс, огибающая, распределена по закону Рэлея:
Рисунок 14 - Функция распределения вероятностей огибающей
шума на выходе УПЧ
3.3
Расчет статистических и спектрально-корреляционных характеристик аддитивной
смеси сигнала и шума на выходе УПЧ
Результирующий энергетический спектр смеси сигнала и шума на
выходе УПЧ есть суперпозиция энергетических спектров сигнала и шума при
прохождении сигнала и шума через усилитель по отдельности:
Рисунок 15 - Спектр мощности аддитивной смеси сигнала и шума
на выходе УПЧ
Результирующие АКФ смеси сигнала и шума и их огибающих на
выходе УПЧ также есть суперпозиция АКФ сигнала и шума и их огибающих при
прохождении сигнала и шума через усилитель по отдельности:
Рисунок 16 - АКФ аддитивной смеси сигнала и шума на выходе
УПЧ
Рисунок 17 - Огибающая АКФ аддитивной смеси сигнала и шума на
выходе УПЧ
По полученным мощности сигнала и дисперсии шума на выходе УПЧ
можно определить отношение сигнал/шум по мощности:
И по амплитуде:
Огибающая аддитивной смеси сигнала и шума на выходе УПЧ
распределена по закону распределения вероятностей Рэлея-Райса:
где I0(x) - функция Бесселя нулевого порядка
мнимого аргумента
Поскольку отношение сигнал/шум на выходе УПЧ достаточно велико,
распределение Релея-Райса можно аппроксимировать нормальным со средним
значением U и дисперсией 
:
Рисунок 18 - Функция распределения вероятностей огибающей
аддитивной смеси сигнала и шума на выходе УПЧ
4.
Анализ прохождения аддитивной смеси сигнала и шума через частотный детектор
4.1 Расчет закона распределения частоты шума
на выходе частотного детектора
На выходе УПЧ можно считать, что случайный процесс будет
узкополосным. Каждая из реализаций узкополосного случайного процесса имеет вид
почти гармонического колебания и может быть записана в виде:
Где 
- огибающая, 
- фаза, 
- частота, случайные медленноменяющиеся функции. Представим
колебание 
через квадратичные составляющие:

Где 
, 
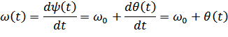
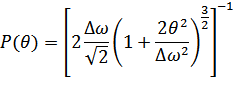
Мгновенную частоту шума можно записать в виде:
Из этого выражения видно, что закон распределения мгновенной
частоты шума на выходе частотного детектора определяется распределением произвольной
фазы:
Рисунок 19 - Закон распределения произвольной фазы на выходе
частотного детектора
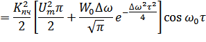
4.2 Расчет спектрально-корреляционных
характеристик сигнала на выходе частотного детектора
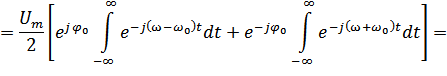
Энергетический спектр сигнала на выходе частотного детектора
определяется как:
Рисунок 20 - Энергетический спектр сигнала на выходе ЧД
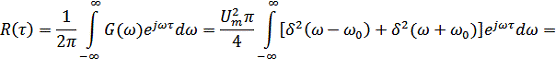
Автокорреляционная функция сигнала на выходе частотного
детектора находится по теореме Винера-Хинчина:
Рисунок 21 -АКФ сигнала на выходе ЧД
4.3 Расчет спектрально-корреляционных
характеристик шума на выходе частотного детектора
Энергетический спектр шума на выходе частотного детектора
определяется:
Рисунок 21 - Энергетический спектр шума на выходе ЧД
Автокорреляционная функция шума на выходе частотного
детектора находится по теореме Винера-Хинчина: