Расчёт дуговой сталеплавильной печи
ЗАДАНИЕ НА КУРСОВОЙ ПРОЕКТ
Дуговая сталеплавильная печь ДСП-80.
Ёмкость печи: G=80т.
Выплавляемый материал: Высокоуглеродистая сталь
Чистота питающей сети: f=50 Гц.
ВВЕДЕНИЕ
Дуговая сталеплавильная печь в основном
предназначается для плавки конструкционных углеродистых, слаболегированных,
легированных и высоколегированных сортов сталей, для которых требуется
тщательная очистка от вредных примесей (особенно серы) удаление неметаллических
включений и обезгаживание. Такие стали было затруднительно выплавлять в
мартеновских печах, а повышенная стоимость передела в электропечах
компенсировалась улучшением качества получаемого металла и уменьшением угара
ценных легирующих. Выплавка стали из металлического лома (скрапа) является
энергоёмким процессом: на 1 тонну выплавляемой стали в зависимости от ёмкости
печи и характера процесса расходуется от 500 до 1000 кВт*ч электроэнергии.
Существенные преимущества имеет дуговая сталеплавильная печь по сравнению с
мартеновской печью и как агрегат для получения стального литья [1].
Кроме выплавки стали, в том числе из
металлизированных окатышей, дуговые печи применяют для плавки
высококачественных чугунов, цветных металлов, различных огнеупоров, флюсов и
синтетических шлаков, рафинирования некоторых ферросплавов. Кроме плавильных
известно применение дуговых печей в качестве миксеров (печей выдержки) для
чугуна и сплавов меди, при этом печь может быть как прямого нагрева, т.е. когда
дуга горит между электродом и расплавом, так и косвенного нагрева, когда дуга
горит между двумя горизонтально установленными электродами, размещёнными над
расплавом.
Дуговые сталеплавильные печи в чёрной
металлургии являются основным агрегатом для получения жидкого металла,
разливаемого в слитки, предназначенной для последующей обработки на прокатном и
кузнечном оборудовании [2].
ОСНОВНЫЕ ТЕХНОЛОГИЧЕСКИЕ ТРЕБОВАНИЯ
ПРИ ВЫПЛАВКЕ ЭЛЕКТРОТЕХНИЧЕСКОЙ СТАЛИ В ОСНОВНЫХ ЭЛЕКТРИЧЕСКИХ ПЕЧАХ
Высокоуглеродистая сталь характеризуется большой
усадкой и пониженной жидкотекучестью. Поэтому для получения достаточной и
равномерной плотности по длине и толщине образцов сечение литников и прибыли
было увеличено в два-три раза по сравнению с сечением, принятым для ковкого
чугуна.
Стали А, Б, В, Г и Д имели в исходном состоянии
структуру тонкого перлита, дисперсность которого увеличивалась с. повышением
содержания кремния. В структуре сталей Е, Ж, З, И и К. помимо перлита,
присутствовал избыточный цементит в виде игл, пластин и сетки. Интересно
отметить, что большинство пластин вторичного цементита в литых кремнистых сталях,
как это отмечается и в работе, имело оторочку «сотового» перлита, особенности
строения которой отчетливо выявляются при травлении пикратом натрия или
тепловом травлении. При травлении пикратом натрия в литой стали четко
проявляется внутрикристаллическая ликвация кремния; в осях дендритов
концентрация кремния меньше, чем в междендритных промежутках.
В структуре литой стали часто обнаруживается и
графит. Количество его может сильно изменяться в зависимости от условий
выплавки, степени раскисления и модифицирования, условий затвердевания и
охлаждения отливок в твердом состоянии.
Некоторые авторы считают, что этот графит
образуется в стали в момент кристаллизации. Согласиться с этим трудно, так как
при затвердевании высокоуглеродистых сталей может кристаллизоваться лишь
аустенит. Это, например, подтверждается тем фактом, что в контрольных образцах
высокоуглеродистых сталей В Г и З, подвергавшихся закалке непосредственно после
затвердевания, графит не обнаружен ни микроскопическим ни химическим анализом. После
закалки в них обнаруживался лишь крупноигольчатый мартенсит и остаточный
аустенит. Следовательно обнаруженный в литых графитизующихея сталях графит
образуется не в процессе их кристаллизации, а после затвердевания в результате
частичной графитизации при медленном охлаждении отливок.
Химический состав высокоуглеродистой стали;
|
Углерод
|
Марганец
|
Кремний
|
Фосфор
|
Сера
|
Хром
|
Никель
|
Медь
|
ГОСТ
или ТУ
|
|
0,4-0,7
|
0,45
|
0,03
|
0,03
|
0,03
|
0,1
|
0,1
|
0,15
|
ТУ14-1-5317-95
|
Заправка печи
После выпуска плавки необходимо очистить
скребками подину и откосы от оставшегося металла и шлака. Заправку подины и
откосов производить по возможности быстро, пока футеровка печи не остыла. При
слабой подине и больших подварках пода и откосов после прогрева подваренного
слоя за счет тепла печи, подину следует прикрыть дробленой известью или
известняком. Для закрепления подины рекомендуется провести несколько плавок
менее ответственного назначения. Для этого необходимо:
а) учитывать состояние печи и к концу ее
процесса не назначать плавку стали с повышенной тепловой нагрузкой (по
температурному режиму и продолжительности);
б) принимать во внимание марку стали предыдущей
плавки и задавать плавку промежуточного химического состава;
в) после ремонта огнеупорной кладки печи
производить выплавку закрепительной плавки на стали менее ответственного
назначения.
Завалка
Перед завалкой необходимо произвести расчет
шихты и следить за соответствием веса заваленной шихты ее расчетному
количеству. Шихтовые материалы должны соответствовать ГОСТу и быть сухими.
Завалка шихты в печь производится немедленно
после заправки. На подину заваливаются мелкие куски, затем крупные, а сверху
опять мелкие куски.
Длина электродов должна быть достаточной для
проведения всей плавки. Электроды не должны иметь трещин и сечение их должно
быть одинаковым по всей длине. При подготовке печи к включению тока
производится: тщательное разравнивание шихты; осмотр и обдувка сжатым воздухом
всех контактов стороны низкого напряжения; хорошее уплотнение печи для
предотвращения засоса воздуха через заслонку, стык между сводом и стенками.
ПЛАВЛЕНИЕ И ДОВОДКА (РАФИНИРОВАНИЕ)
Плавление шихты ведется на полной мощности
трансформатора. В конце плавления в печь присаживается известь в количестве 1,5
- 2 % от веса завалки. При применении шихты, содержащей повышенное количество
хрома и кремния, количество извести повышается до 3 %. Во время плавления шихта
периодически сталкивается с откосов печи в жидкий металл. Для ускорения
расплавления шихты желательно пользоваться кислородом. В конце периода плавления
металл перемешивается и берется проба на экспресс-анализ. Для разжижения шлака
нужно пользоваться плавиковым шпатом, а при его отсутствии - шамотным боем.
По ходу плавки производится проверка металла на
раскисленность.
МЕХАНИЗМЫ ДУГОВОЙ СТАЛЕПЛАВИЛЬНОЙ
ПЕЧИ
Механизм автоматического перемещения электрода
Моторно-редукторная группа, которая состоит из
электродвигателя постоянного тока типа ПЛ 072 и трехступенчатого редуктора с
двумя червячными и одной цилиндрической парами, передающими вращение ходовому
винту. Винт перемещает каретку электрододержателя.
Подачей рукоятки на себя механизм переключается
с автоматического управления на ручное. Механизм крепится на торцовой стенке
кожуха печи. Автоматическая подача электрода производится по команде приборов панели
автоматического управления мощностью и качанием электропечи. Автоматическое
поддержание заданной мощности дуги создает нормальный электрический режим
плавки, что позволяет экономить энергию и сократить время плавки.
Механизм наклона печи
Наибольшее распространение получил механизм
наклона с качением опорных сегментов печи по плоской или выпуклой постели.
Здесь носок печи, описывая циклоиду или эпициклоиду, вперед и вниз.
Во избежание сдвига секторов относительно
постелей в последних насверлены отверстия, в которые при качении входят
конусные штыри, закрепленные на сегментах. Привод таких механизмов может быть
электромеханическим (с толкающими рейками) или гидравлическими.
В обоих случаях механизм выполняют двухсторонним
и рассчитывают так, чтобы при выходе из строя одного из приводов можно было
наклонить печь с помощью второго.
Механизм подъема свода
Механизм подъема свода может быть гидравлическим
или электромеханическим.
Электромеханический привод печи ДСП 200 состоит
из двух червячно-винтовых редукторов, двух систем тяг и подвесок, передающих
усилие от винтов к четырем точкам подвески свода.
Грузоподъемность механизма подъема свода на печи
ДСП 100 50т, скорость подъема 0,85 м/мин, при повороте свода его поднимают на
150 мм выше уровня песчаного затвора, при вращении корпуса - на 50 мм,
максимальная высота подъема 500 мм.
Кожух
Кожух состоит из сварного каркаса, торцового
листа, чугунной литой рамы, которая крепится к кожуху на шпильках, чугунной
литой дверцы, запираемой клиньями, и сливного носка.
Рабочая камера бочкообразной формы, что повышает
использование энергии дуги и стойкость футеровки.
Электрододержатель
Электрододержатель состоит из корпуса, крышки и
винта с ручкой для зажима электрода. Он крепится на каретке механизма
перемещения электрода. Для уменьшения электрических потерь корпус и крышка
выполняются из бронзы. Корпус электрододержателя имеет водяное охлаждение.
Токоподвод
Токоподвод состоит из кронштейна, при помощи
которого он крепится к электрододержателю, контактных колец и двух щек, к
которым крепятся токоподводящие кабели. Щеки прижимаются к кронштейну пружиной
через контактные кольца. Такое крепление позволяет щекам оставаться на месте
при качании печи, что устраняет перегибы токоподводящих кабелей и увеличивает
срок их службы.
Щеки и кронштейн - бронзовые, контактное кольцо
- из медно-графитной массы.
В печи типа ДМ-0.5А установлен экономайзер
(левый или правый)- полый стальной цилиндр, разделенный на две полости
перегородкой, по обе стороны которой ввернуты два штуцера.
Экономайзер предназначен для отвода тепла от
каркаса в месте входа электрода, что уменьшает возможность прогара каркаса, т.
е. увеличивает срок его службы.
КОНСТРУКЦИЯ ФУТЕРОВКИ ДУГОВОЙ
СТАЛЕПЛАВИЛЬНОЙ ПЕЧИ
Футеровка электродуговых печей выполняется из
основных или кислых огнеупорных материалов. Наиболее распространены печи с
основной футеровкой, в них выплавляется сталь для слитков, в печах с кислой
футеровкой выплавляется небольшое количество стали преимущественно для
фасонного литья.
Отдельные части футеровки - подина, стены и свод
- работают в различных условиях, что и обусловливает неодинаковую их стойкость.
В наиболее тяжелых условиях находятся свод и стенки печи. Эти части футеровки,
и особенно свод, подвергаются значительному перегреву за счет лучистой энергии
электрических дуг, химическому воздействию раскаленных газов, содержащих окислы
железа и известковую пыль. Они также испытывают резкие перепады температур,
особенно в период загрузки шихты, и значительные механические напряжения.
Различные условия работы существенным образом отражаются на конструкции
отдельных частей футеровки, способах их изготовления и сортах применяемых
огнеупорных материалов.
Подина основной печи ДСП-70 состоит из верхнего
рабочего набивного слоя, кирпичного основания и теплоизоляционного слоя.
Теплоизоляция подины включает: слой листового асбеста, укладываемого на днище
кожуха, и слой шамотного порошка, на который укладывают два ряда нормального
шамотного кирпича на плашку. На теплоизоляционном слое возводится кирпичное
основание подины, состоящее из нескольких рядов магнезитового кирпича. Кладка
выполняется таким образом, чтобы вертикальные швы в соседних рядах не совпадали
друг с другом, что затрудняет проход жидкого металла в случае местного
разрушения рабочего слоя подины через кладку.
Верхний рабочий слой подины изготавливается
набивкой из магнезитового порошка с добавками в качестве связующих:
каменноугольной смолы (10 % по массе) и пека (~1%). Общая высота футеровки
подины составляет 830 мм.
В печах емкостью 70 т стойкость подины
составляет 1300-1800 плавок, в печах меньшей емкости - до 5000 плавок.
Кладка стен основных электропечей ДСП-70
выполняется из большемерного безобжигового магнезитохромитового или
периклазошпинелидного кирпича.
Стойкость стен крупных печей до 100-150 плавок.
Свод основных печей средней и большой емкости на
наших заводах набирают преимущественно из магнезитохромитового кирпича: ранее
для сводов использовали динасовый кирпич.
Динасовые своды обладают низкой стойкостью, что
связано с их оплавлением, вызываемым взаимодействием кремнезема с известковой
пылью и окислами железа, содержащимися в атмосфере печи.
В настоящее время динасовые своды на наших
заводах применяют в печах малой емкости. За рубежом динас еще остается наиболее
распространенным материалом для свода основных печей, что обусловлено высокой
стоимостью магнезита и отсутствием месторождений его сырья в США, Англии, ФРГ и
других странах. В США на ряде заводов для повышения стойкости сводов их
выкладывают из высокоогнеупорного высокоглиноземистого (муллитового и
силлиманитового) кирпича, содержащего до 60-70 Al2O3. Применяют также
комбинированные своды, выкладываемые из двух и более видов огнеупоров: из
динасового, особого шамотного и муллитового кирпича.
Стойкость магнезитохромитовых сводов в 2-3,5 раза
превышает стойкость динасовых и достигает100-200 плавок (более высокие
показатели относятся к печам меньшей емкости).
Свод выбирают из кирпича на специальном шаблоне
в сводовом кольце. Благодаря выпуклости шаблона кладка свода получается с
необходимой кривизной, оцениваемой величиной стрелы подъема, которая
обеспечивает его прочность. Отношение стрелы подъема к диаметру свода зависит
от материала свода.
Толщина свода у печей емкостью 30-80 т достигает
300 мм.
По окончании изготовления подины и стен устанавливают
свод и электроды и производят сушку футеровки и спекание набойки подины. Для
этой цели и печь загружают слой кокса толщиной 200-400 мм, отпускают на него
электроды и включают ток. Под действием раскаленного кокса происходит удаление
летучих, коксование смолы и пека и образование из отдельных зерен магнезита,
сцементированных коксовой решеткой, прочной монолитной массы.
ОПРЕДЕЛЕНИЕ ГЕОМЕТРИЧЕСКИХ
ПАРАМЕТРОВ ПЕЧИ
Наиболее распространенной ванной трехфазной
дуговой сталеплавильной печи прямого действия является сфероконическая ванна с
углом между образующей и осью конуса 45°.
Для жидкой стали расчётный удельный объём обычно
принимается:
= 0,135 - 0,145 м3/т; принимаем V0 =1,4 м3/т
Отношение диаметра зеркала к глубине металла:
=5- 5,5; принимаем
а = 5
Объём жидкого металла:
Vм = V0 . G = 0,14 . 80 =11,2 м3
Высота сферического сегмента обычно принимается
равной 20% общей глубины жидкого металла. Для этого случая коэффициент,
зависящий от отношения диаметра зеркала металла к глубине ванны по металлу,
определяется по формуле:
С = 0,875 + 0,042 . а=0,875+0,042 . 5 =1,085
Диаметр зеркала жидкого металла:
м
Глубина металла:
Глубина сферического сегмента:
Высота конической части жидкого металла:
Над жидким металлом в ванне должно быть
пространство для шлака, объём которого обычно принимается равным 15% объёма
жидкого металла:
Высота слоя шлака определяется упрощенно из соотношения:
Принимаем Hш =87 мм.
Суммарная глубина ванны от пода до уровня
откосов:
Уровень порога рабочего окна принимается на
уровне зеркала шлака или несколько выше с запасом 20 - 40 мм.
Уровень откосов принимается на 30 - 70 мм выше
уровня порога рабочего окна во избежание размывания шлаком основания футеровки
стенки.
высота от зеркала шлака до уровня порога: h1 =
30 мм
высота от уровня порога до уровня откосов: h2 =
50 мм
Нсумм = Н + Нш + h1 + h2=971+87+30+50=1138 мм
Толщина футеровки пода:
Для ограничения тепловых потерь через под и
уменьшения вызываемого ими температурного перепада по глубине жидкого металла
суммарная толщина футеровки пода обычно принимается приблизительно равной
глубине ванны.
Нсумм = 1138 мм
δП = 800 мм
Диаметр ванны на уровне откосов:
Толщина футеровки стенки:
δст = 550 мм
Внутренний диаметр кожуха:
Высота плавильного пространства:
Внутренний объём печного пространства, включая
объём ванны от подины до уровня откосов и объём плавильного пространства, как
правило, должен обеспечивать возможность единовременной загрузки печи шихтой
без дополнительных подвалок.
В современных дуговых сталеплавильных печах для
обеспечения достаточного срока службы футеровки свода высота плавильного
пространства для больших печей:
=0,3-0,34; принимаем k1=0,34
Объём плавильного пространства:
Внутренний объём печи:

В расчётный внутренний объём печи не включен
объём пространства от уровня зеркала металла до уровня откосов. Это делается
для обеспечения запаса при расчёте внутреннего объёма, учитывая, что при
загрузке корзиной шихта не заполняет часть кольцевого пространства вблизи
верхней части стенки.
Для единовременной завалки весом,
соответствующим номинальной ёмкости печи, объёмный вес шихты должен составлять:
Полная высота кожуха:
Толщина футеровки свода:
Толщина футеровки свода при отсутствии тепловой
изоляции соответствует длине стандартного кирпича:
δСВ = 380 мм
Стрелка выпуклости свода:
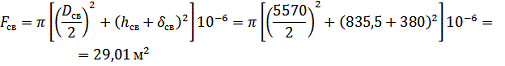
Пролет свода принимается предварительно: DCB =
5570 мм .
Стрелка выпуклости свода при хромомагнезитовой
футеровке равна:
= 0,15 • DCB =0,15•5570=835,5 мм
Размеры основного рабочего окна:
ширина:
ок = 0.23 • Doк = 0,23 • 5189 =1193,47 мм
высота:
hoк = 0,77 • bок = 0,77 • 1193,47 =919 мм
Размеры рабочего окна принимаем:
ок =1194мм; hoк =920мм.
ОПРЕДЕЛЕНИЕ ТЕПЛОВЫХ ПОТЕРЬ ПЕЧИ
Экзотермические реакции
|
Реакция
|
Тепловой
эффект кВт*ч/кг, окисленного элемента
|
|
С+О2
→CO C+FeO→CO С+О2 →CO Si+О2 →SiO2 Si+FeО →SiO2
Fe+О2 →Fe2O3
|
2,55-2,85
2,37 9,1-9,45 7,47-8,9 2,98-3,15 2,03
|
Высота стенки кожуха: Диаметр сферического
сегмента:
Радиус сферы:
аc bс сс - стороны вписанного треугольника
bc = ac; cc = Dc
Радиус сферы пода:
Высота пода:
Высота стенки кожуха:
Поверхность стенки:
Поверхность пода:
Поверхность свода:
Поверхность проёма рабочего окна:
ок=bок . hок .10-6 =1194.919.10-6=1,097 м2
Для определения удельных тепловых потерь через
под задаёмся следующими данными:
Толщина огнеупорной части футеровки пода: S1 =
0,450 м
Толщина теплоизоляционной части футеровки пода:
S2 =(δп . 10-3) - S1
=(800 .10-3)-0,45=0,35 м
Средний расчётный коэффициент теплопроводности
огнеупорной части футеровки пода: λ1= 2,2 ккал/м°Сч
Средний расчётный коэффициент теплопроводности
теплоизоляционной части футеровки пода: λ2= 1,0 ккал/м°Сч
Температура внутренней поверхности футеровки:
t1= 1600 °С
Температура внешней поверхности футеровки: t2 =
180 °С
Температура окружающей среды: t0 = 20 °С
Удельные тепловые потери пода:
Коэффициент теплоотдачи: α180
=16,6
Теплоотдача с поверхности пода в окружающую
среду:
Разница между тепловыми потерями и теплоотдачей
пода несущественна, следовательно температура внешней поверхности пода будет
мало отличаться от 180 °С.
Потери через под:
Для определения удельных тепловых потерь через
стенки задаёмся следующими данными:
Толщина огнеупорной части стенки: S1 = 0,215 м
Толщина теплоизоляционной части стенки:ум = 0,75
- коэффициент уменьшения футеровки
Средний расчётный коэффициент теплопроводности
огнеупорной части стенки: λ1= 2,2 ккал/м°Сч
Средний расчётный коэффициент теплопроводности
теплоизоляционной части стенки: λ2=
0,9 ккал/м°Сч
Температура внутренней поверхности футеровки:
t1= 1600 °С
Температура внешней поверхности футеровки: t2=
240 °С
Температура окружающей среды: t0 = 20 °С
Удельные тепловые потери стенки:
Коэффициент теплоотдачи: α240
=19,8
Теплоотдача с поверхности стенки в окружающую
среду:
Разница между тепловыми потерями и теплоотдачей
стенки несущественна, следовательно температура внешней поверхности стенки
будет мало отличаться от 240 °С.
Потери через стенки:
Для определения удельных тепловых потерь через
свод задаёмся следующими данными:
Толщина огнеупорной части свода (футеровка
однослойная):ум = 0,75 - коэффициент уменьшения футеровки
Средний расчётный коэффициент теплопроводности
огнеупорной части свода: λ=1,5 ккал/м°Сч
Температура внутренней поверхности футеровки:
t1= 1600 °С
Температура внешней поверхности футеровки: t2 =
305 °С
Температура окружающей среды: to = 20 °С
Удельные тепловые потери свода:
Коэффициент теплоотдачи: α305
=23,19
Теплоотдача с поверхности свода в окружающую
среду:
Разница между тепловыми потерями и теплоотдачей
свода несущественна, следовательно температура внешней поверхности свода будет
мало отличаться от 305 °С.
Потери через свод:
Тепловые потери излучением через рабочее окно:
Для определения тепловых потерь излучением через
окно, необходимо найти коэффициент диафрагмирования оконного проёма: Ψ
= 0,5
Для наиболее распространённого случая излучения
из печной камеры в окружающее пространство приведённый коэффициент излучения
обычно принимается равным:
Спр = 4,0 ккал/м2. °С4ч
Тепловые потери через постоянно открытое окно
при температуре печи 1600 °С составляют:
Принимая время пребывания окна в открытом
состоянии равным 15% длительности плавления, определяем среднюю мощность
тепловых потерь излучения:
изл.дв. =q/изл.дв. . 0,15 =314.0,15=47,1 кВт
Тепловые потери теплопроводностью через
футеровку дверцы: Толщина футеровки дверцы: Sдв = 0,115 м.
Температура внешней водоохлаждаемой поверхности
футеровки дверцы: t2 = 50 °С.
Средняя температура внутренней поверхности
футеровки дверцы: t1 = 1400 °С.
Коэффициент теплопроводности футеровки дверцы: λ
=
2,26
Тепловые потери теплопроводностью через
футеровку дверцы:
Коэффициент 0,85 учитывает время пребывания окна
в закрытом состоянии.
Суммарная мощность тепловых потерь через рабочее
окно печи:
дв. =qизл.дв. +qт.дв =47,1+26=73,1 кВт
Тепловые потери через водоохлаждаемые конструкции:
Тепловые потери через водоохлаждаемые
металлические конструкции, находящиеся в печном пространстве, определяются
исходя из следующих предпосылок:
а) Суммарная активная поверхность
водоохлаждаемых конструкций, непосредственно воспринимающая теплоизлучение из
печного пространства (арочки и столбики рабочих окон и утопленные
экономайзеры), принимается: Fохл = 0,5 м2
б) Средняя температура печного пространства за
период расплавления принимается: Тср = 1300 °С
в) Приведенный коэффициент излучения: Спр = 4,0
ккал/м2°С4ч
Тепловые потери через внутренние водоохлаждаемые
конструкции печи, пренебрегая незначительным диафрагмированием излучения:
Потери тепла с печными газами:
Потери тепла у дуговых сталеплавильных печей с печными
газами весьма значительные. Атмосфера в плавильном пространстве ДСП содержит:
подсасываемый в печь воздух; газообразные продукты химико металлургических
реакций и сгорания органических примесей в металле; газы, растворенные в
исходных материалах и выделяющиеся при их нагреве; продукты угара электродов.
Определить состав печной атмосферы заранее очень трудно. Но в период
расплавления химические реакции и газовыделение еще не играют заметной роли и
атмосфера состоит в основном из воздуха. Нагретый до 1400 - 1500 °С газ
отсасывается из ДСП мощной системой газоотсоса через специальное отверстие в
своде.
Для оценочного расчёта теплоты, уносимой этими
газами, принимают в среднем на 1 т номинальной ёмкости печи приходится расход
воздуха:
V' = 600 м3/(тч)
Общий расход воздуха:
Плотность воздуха: γ0
= 4,1 кг/м3
Массовый расход воздуха:
Удельная теплоёмкость воздуха, средняя для
интервала температур 20 -1600 °С: Свозд = 1,400 Дж/(кг°С)
Температура газов на выходе из печи: tг = 1600
°С
Температура воздуха снаружи печи: to = 20 °С
Тепловые потери с печными газами:
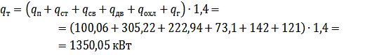
Суммарная мощность тепловых потерь печи в период
расплавления:
где 1,4 - коэффициент неучтенных тепловых
потерь.
Относительные значения отдельных статей тепловых
потерь:
Суммарная мощность тепловых потерь печи без
неучтенных тепловых потерь (100%):
|
Потери
через под
|
Потери
через стенки
|
Потери
через свод
|
Потери
через проём рабочего окна
|
Потери
через водоохлождающие конструкции
|
Потери
с печными газами
|
|
10,38
|
31,65
|
23,12
|
7,6
|
14,7
|
12,55
|
Тепловые потери печи в период межплавочного
простоя определяют, исходя из длительности простоя, принимаемой:
τ/пр = 50 мин;
ин - загрузка, 40 мин - заправка печи)
Средняя мощность тепловых потерь за период
межплавочного простоя:
Потери энергии за время межплавочного простоя:
ТЕПЛОВОЙ БАЛАНС ПЕЧИ И ВЫБОР
МОЩНОСТИ ТРАНСФОРМАТОРА
Сводный тепловой баланс дуговой печи за полный
цикл плавки включает:
а) суммарные тепловые и электрические потери
печи с трансформатором за время расплавления, рафинировки и межплавочного
простоя;
б) полезную энергию на расплавление твёрдой
завалки или подогрев жидкой завалки до заданной температуры;
в) полезную энергию, расходуемую в период
рафинировки на перегрев металла и эндотермические реакции в ванне печи.
Полезная энергия:
Полезная энергия, необходимая для нагрева и
расплавления 1 тонны стали, при твёрдой завалке: Wo = 340 кВтч
Полезная энергия:
Энергия на покрытие тепловых потерь за время
расплавления при времени расплавления: τ = 2,1 ч
Суммарная электроэнергия периода расплавления:
Удельный расход электроэнергии на расплавление
твердой завалки:
Потребная мощность трансформатора:
Коэффициент использования мощности
трансформатора в период расплавления: К = 0,87
Коэффициент мощности печной установки: cosφ=0,85
Мощность трансформатора:
Установленную мощность трансформатора
целесообразно принять: Р = 25000 кВА
Параметры выбранного трансформатора:
Тип трансформатора: ЭТЦН-ЧОООО/З 5
Номинальная мощность:25 МВА
Первичное напряжение:35 кВ
Пределы вторичного напряжения:417-131 В
Вторичный линейный ток:34.6кА
Напряжение к.з., (в том числе реактора):7.6 %
Потери х.х.:85.6 кВт
Потери к.з.:217.0 кВт
Переключение
ступеней НН: РПН
ВЫБОР НАПРЯЖЕНИЯ ПЕЧИ И ДИАМЕТРА
ЭЛЕКТРОДА
Принимая верхнюю ступень вторичного напряжения
417 В, определяем номинальный ток печи: U2 =417
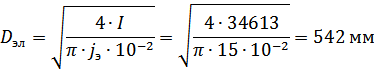
Диаметр электрода выбирают по номинальному
линейному тока печи и допустимой плотности тока в поперечном сечении электрода:
Принятая допустимая плотность тока для
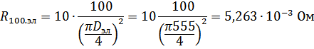
графитированного электрода с максимальным током 36,1 кА: jэ = 15 А/см2
Диаметр графитированного электрода:
Принимается графитированный электрод: Dэл = 555
мм lэл=1700мм
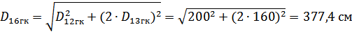
Диаметр распада электродов [лит. 2]:
Расстояние между осями соседних электродов
называется распадом электродов. У ДСП с расположением электродов в плане по
вершинам правильного треугольника диаметром окружности распада электродов
называют диаметр окружности, проведённой в плане через центры поперечных
сечений электродов.
Значение Dрэ должно находиться в определённых
отношениях с диаметром плавильного пространства Dот и с диаметром электродов
Dэл.
Рекомендуемые интервалы для больших печей:
; принимаем
.
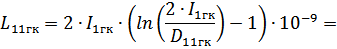
Индуктивное сопротивление электродов: Длина
электрода: lэл =170 см. Средний геометрический размер:
Расстояние между осями электродов:

Собственная индуктивность электрода:
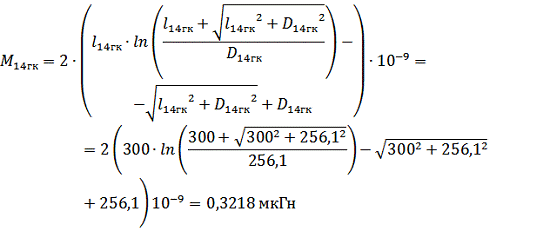
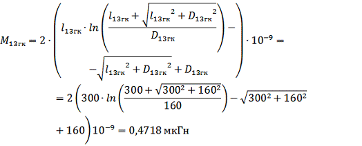
Взаимоиндукция одного электрода:
При симметричном расположении электродов: M13эл
= M12эл; M23эл = M12эл;
Индуктивность электрода (при симметричном
расположении):
эл = L11эл - М12эл =5,65-1,931=3,719 мкГнэл =
LIэл; LIIIэл = LIэл
Индуктивное сопротивление электродов:
эл =2πf LIэл
=2
.π . 50 . 3,719 . 10-6=1,167 . 10-4 Омэл =XIэл;
XIIIэл = XIэл
Индуктивное сопротивление трубошин:
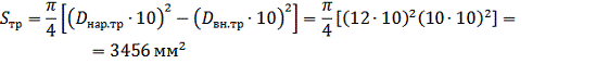
Число трубошин на фазу: nтр = 4
Наружный диаметр трубы:
нар.тр =12 см;
Общее сечение на фазу:
Плотность тока в трубошине (2,5 - 4,5 А/мм2):
Принимаем Jтр = 3,9 А/мм2
Расстояние между двумя шинами одной фазы
примерно в 2 раза больше, чем наружный диаметр трубы:
тр =2Dнар.тр =2 .12=24 смтр =D12тр;
Расстояние между трубошинами возле гибких
кабелей: hгк = 160 см
Среднее расстояние между осями фаз:
ф.тр = h12ф.тр;
ф.тр =2. h12ф.тр =2.117 =213,5 см
Средний геометрический размер трубы:
тр =D11тр
Расстояния между трубошинами:
тр =h12ф.тртр =h12ф.тр + D34тр =106,75+24=130,75
смтр =h12ф.тр - D12тр =106,75-24=82,75 смтр =D13тр
Длина трубошин:
тр = 300см; l2тр = l1тр;
тр = l3тр
Собственная индуктивность трубошины 1:
Собственная индуктивность трубошины 2: L22тр
=L11тр
Собственная индуктивность трубошины 3:
Взаимная индуктивность трубошин 1и 2: l12тр
=l1тр
Взаимная индуктивность трубошин 1 и 3:
Взаимная индуктивность трубошин 1 и 4: l14тр
=l13тр
Взаимная индуктивность трубошин 2 и 3: l23тр
=l13тр
Взаимная индуктивность трубошин 2 и 4: l24тр
=l23тр
Взаимная индуктивность трубошин 3 и 4: l34тр
=l3тр
Индуктивность 1 и 2 труб:
Индуктивность 3 и 4 труб:
По условиям осевой симметрии индуктивность обеих
труб среднего рукава одинаковы: L4тр = L3тр; Индуктивность трубошин:
Индуктивное сопротивление трубошин:
Индуктивное сопротивление гибких кабелей:
Принимается кабель КСВ ДСП -2100
Технические условия: ТУ 16-505,429-77
Суммарное сечение: Sкаб = 2100 мм2
Число кабелей на фазу: nкаб = 6
Внутренний диаметр: Dвн.к. = 48 мм
Наружный диаметр: Dнар.к = 83,4 мм
Наружный диаметр оболочки: Dоб.к. = 115 мм
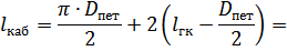
Диаметр изгиба петли: Dпет = 2000 мм
Высота гирлянды: Iгк 3000 мм
Расстояние между hгк = 1600 мм кабелями двух фаз
Общее сечение на фазу:
Плотность тока в кабеле (3,0-5,0 А/мм2):

Для облегчения расчета гирлянда кабелей
рассматривается как сплошной прямоугольный проводник сечением со сторонами 200
- 100 мм, а петлю - в виде двух прямых участков.
ширина: aгк = 24 см
высота: bгк = 24 см
Расстояния между кабелями:
Средний геометрический размер кабеля:
Собственная индуктивность 1:
Взаимная индуктивность полупетли 1 и 2: l12гкр
=lгк .0,1=300
Взаимная индуктивность полупетли 1 и 3: l13гкр
=lгк .0,1=300
Взаимная индуктивность полупетли 1 и 4: l14гкр
=lгк .0,1=300
Взаимная индуктивность полупетли 1 и 5: l15гкр
=lгк .0,1=300
Взаимная индуктивность полупетли 1 и 6: l16гкр
=lгк .0,1=300
Взаимная индуктивность полупетли 2 и 3: l23гкр
=lгк .0,1=300
Индуктивность полупетли:

Индуктивность гибких кабелей:
Индуктивное сопротивление гибких кабелей:
Индуктивное сопротивление шинных пакетов:
Число шинных пакетов на фазу: n ш= 6
Геометрические размеры шины:
а =12 мм - толщина= 300 мм - высота
Общее сечение на фазу:
Плотность тока в шинном пакете (1,4 - 1,6
А/мм2):
Принимаем Jш = 1,6 А/мм2
С.г.р. площади сечения шины от самой себя
Собственная индуктивность шины:ш = 3 м- длина
шины
=
Взаимная индуктивность между шинами 1 и 2:
м - расстояние между центрами шин 1
и 2.

Взаимная индуктивность между шинами
1 и 3:=0,04 м - расстояние между центрами шин 1 и 3.

Взаимная индуктивность между шинами
1 и 4:=0,06 м - расстояние между центрами шин 1 и 4.
Взаимная индуктивность между шинами
1 и 5:=0,08 м - расстояние между центрами шин 1 и 5.
Взаимная индуктивность между шинами 1 и 6:=0,1 м
- расстояние между центрами шин 1 и 6.
Взаимная индуктивность между шинами
2 - 3, 3-4, 4-5, 5-6:
= h23 = h34 =h45 = h56 = 0,02 м
М12= М23= М34= М45= М56 =2,826 мкГн
Взаимная индуктивность между шинами
2 - 4, 3-5, 4-6:
= h24 =h35 = h46 = 0,04 м
М13= М24= М35= М46 =2,414 мкГн
Взаимная индуктивность между шинами
2 - 5, 3-6:
=h25 = h36 = 0,06 м
М14= М25= М36 =2,175 мкГн
Взаимная индуктивность между шинами
1-6:
= h26 = 0,08 м
М15= М26 =2,006 мкГн
Взаимная индуктивность между шинами
крайнего и среднего пакетов: hп12 =1,5 м -расстояние между центрами шин
крайнего и среднего пакетов.
Взаимная индуктивность между шинами
крайних пакетов:п13 =3 м - расстояние между центрами шин крайних пакетов.
Индуктивность шины 1
Индуктивность шины 2
Индуктивность шины 3
Ввиду симметрии
индуктивность шин 4, 5 и 6:
ш = L3ш; L5ш = L2ш;
L6ш = L1ш
Собственная
индуктивность шинного пакета:
Индуктивность шинопровода крайнего пакета 1:
Ввиду симметрии индуктивность шинопроводов
крайнего пакета 3: L1=L3
Индуктивность шинопровода среднего пакета 2:
Индуктивное сопротивление шинных пакетов:
Значения суммарных индуктивных сопротивлений:

печь трансформатор сталь выплавка
В относительных величинах:
Полная индуктивность короткой сети печной
установки, помимо рассчитанной выше, включает индуктивность трансформатора и
его ошиновки.
Если в порядке первого приближения принять
относительное индуктивное сопротивление трансформатора с ошиновкой равным 10%,
то суммарное индуктивное сопротивление короткой сети печной установки составит
около 48%.
При этом расчётный коэффициент мощности печной
установки составит:
С учётом несинусоидальности токов дуговой печи
фактический коэффициент мощности печной установки будет ещё ниже, порядка 0,85.
Расчет активного сопротивления
Активное сопротивление электродов:
Из общей длины электрода 4.0 м в расчет
активного сопротивления, которое необходимо для определения максимальных
электрических потерь короткой сети, вводится длина 3.5 м считая, что остальная
часть электрода не является источником электрических потерь.
эл =4 м; lэл/ =3,5 м
Сопротивление проводника переменному току:
Сопротивление 100 пог.м электрода, пренебрегая
зависимостью удельного сопротивления от температуры:
Коэффициент поверхностного эффекта:
Принимаем Kп.эл = 1,08
Коэффициент близости для пары электродов:
Принимаем К/б.эл = 1,02
С учётом обоих смежных электродов:
Кб.эл =(К/б.эл )2= 1,022=1,04
Активное сопротивление электрода:
Контактное сопротивление между электродом и
электрододержателем:
Вес электрода: γ =1600
плотность электрода:
Усилие зажима электрода для расчёта контактного
сопротивления в электрододержателе:
Сопротивление контакта “бронза-графит”:
единичное сопротивление контакта:
показатель степени: m = 0,5
Сопротивление трубчатого токопровода рукава
электродержателя:
Токоподвод рукава каждой фазы выполняется из
двух параллельных медных труб Ø 180/160 мм,
длиною, средней для трёх фаз, равной:
Сечение одной трубы:
Сопротивление проводника переменному току:
Сопротивление 100 пог.м. трубошины, пренебрегая
зависимостью удельного сопротивления от температуры:
Коэффициент поверхностного эффекта:

Коэффициент близости для пары труб:
Межосевое расстояние труб одной фазы 300 мм:
, Кб.тр =1,1
Эффект близости труб второй и третей фаз можно
пренебречь.
Активное сопротивление токоподвода из двух
параллельных труб:

Сопротивление гибких кабелей:
Гирлянда фазы состоит из 4 медных гибких кабелей
сечением по:
,
Среднее межосевое расстояние смежных кабелей:
Наружный диаметр кабеля: Dнар.к = 83,4 мм
Температурный коэффициент меди: α
= 0,0042
1/°С
Рабочая температура кабеля: Т2к = 80 °С
Температура окружающей среды: Тос = 20 °С
Удельное сопротивление меди при t = 20 °С: ρ
=0,018 Ом.мм2/м
Удельное сопротивление кабеля при рабочей
температуре:
Длина кабеля:

Сопротивление проводника переменному току:
Для упрощения расчета сопротивления 100 пог. м.
кабеля принимается удельное сопротивление подсчитанное для 80 °С
Коэффициент поверхностного эффекта (при учёте
поверхностного эффекта можно пренебречь пустотами в сечении кабеля):
Эффект близости учитывается влиянием на каждый
кабель лишь четырёх наиболее близко расположенных и четырёх диагонально
расположенных смежных кабелей:
для ближайших четырёх кабелей:
, К/б.гк=1,45
для диагонально расположенных смежных кабелей:
К//б.гк=1,11
Сопротивление гибких кабелей:
Сопротивление шинного пакета:
Шинный пакет состоит из 6 медных шин сечением
по: Sш = 21600 мм2, nш = 6
Температурный коэффициент меди: α
= 0,0042
1/°С
Рабочая температура шины: Т2к = 80 °С
Температура окружающей среды: Тос = 20 °С
Удельное сопротивление меди при t = 20 °С: ρ
=0,018 Ом.мм2/м
Длина шины: l = 3 м
Собственное сопротивление шины:
.
Для упрощения расчета сопротивления
100 пог. м. кабеля принимается удельное сопротивление подсчитанное для 80 °С


Коэффициент поверхностного эффекта
(при учёте поверхностного эффекта можно пренебречь пустотами в сечении кабеля):
.
Сопротивление шины с учетом поверхностного
эффекта
.
Сопротивление шинного пакета на
участке:
Суммарное активное сопротивление короткой сети
без трансформатора и его ошиновки:
где 1,4 - коэффициент влияния неучтённых
электрических потерь короткой сети.
Потери в трансформаторе:
Потери в трансформаторе можно предварительно
принять равными 2% полной активной мощности трансформатора:
где 0,85 - ориентировочный коэффициент мощности
печной установки.
Потери в короткой сети без трансформатора при
номинальном токе печи составляют:
Полные электрические потери в короткой сети
печной установки, пренебрегая потерями в ошиновке трансформатора:
Полное активное сопротивление короткой сети
печной установки без учёта ошиновки трансформатора:
Проверка теплового баланса и выбранной мощности
печного трансформатора
Номинальная активная мощность трансформатора:
Коэффициент использования мощности
трансформатора в период расплавления: К = 0,87
Коэффициент мощности печной установки: cosφ=0,85
Доля электрических потерь печной установки от
активной мощности трансформатора:
Время расплавления:
При определении мощности трансформатора было
предварительно принято время расплавления 1,67 часа. Поскольку расхождение
между предварительно принятым и полученным при проверке значениями времени
расплавления невелико, можно считать, что мощность трансформатора была выбрана
правильно.
СПИСОК ИСПОЛЬЗУЕМОЙ ЛИТЕРАТУРЫ
1. Свенчанский А.Д., Смелянский М. Я. Ч. 2. Дуговые печи.
Учебное пособие для вузов, - М.:
Энергия, 1970, - 264 с.
2. Электрические промышленные
печи. Дуговые печи и установки специального нагрева. Учебник для
вузов. Свенчанский А. Д., Жердов И. Т., Кручинин А.М. и др. Под
ред. Свенчанского А. Д.. Изд. 2-е, перераб. и доп. - М.: Энергоиздат, 1981. -
296 с., ил.
. Короткие
сети и электрические параметры дуговых электропечей. Справ. изд. Данцис Я.Б.,
Кацевич Л.С., Жилов Г.М. и др. М. : Металлургия, 1987. - 320 с.
. Электрические
печи сопротивления и дуговые печи. Под редакцией М.Б. Гутмана, М. 1983г. -
360с.
. А.В.
Егоров. Расчёт мощности и параметров электрических печей черной металлургии. М.
1990 - 281с.
. Атлас.
Дуговые сталеплавильные печи. М. 1978г. - 180с.