Расчет привода печного толкателя

  • Вид работы:
    Курсовая работа (т)
  • Предмет:
    Другое
  • Язык:
    Русский
    ,
    Формат файла:
    MS Word
    519,59 Кб
  • Опубликовано:
    2014-03-24
Вы можете узнать стоимость помощи в написании студенческой работы.
Помощь в написании работы, которую точно примут!

Расчет привода печного толкателя

МИНИСТЕРСТВО ОБРАЗОВАНИЯ И НАУКИ РФ

ВЫКСУНСКИЙ ФИЛИАЛ

ФЕДЕРАЛЬНОГО ГОСУДАРСТВЕННОГО АВТОНОМНОГО ОБРАЗОВАТЕЛЬНОГО УЧРЕЖДЕНИЯ ВЫСШЕГО ПРОФЕССИОНАЛЬНОГО ОБРАЗОВАНИЯ

«НАЦИОНАЛЬНЫЙ ИССЛЕДОВАТЕЛЬСКИЙ ТЕХНОЛОГИЧЕСКИЙ УНИВЕРСИТЕТ «МИСиС»






ПОЯСНИТЕЛЬНАЯ ЗАПИСКА

К КУРСОВОМУ ПРОЕКТУ

ПО КУРСУ Детали машин

ТЕМА: Расчёт привода печного толкателя


Студент

Пугачев В.Н.

Руководитель работы

Веремеевич А.Н.

Содержание

1. Расчет основных характеристик редуктора

. Расчет косозубой зубчатой передачи

.1 Выбор материала

.2 Определяем допускаемое контактное напряжение

.3 Определяем межосевое расстояние

.4 Определяем основные параметры передачи

. Расчет вала редуктора

.1 Выбор материала

. Проверочный расчет шпоночных соединений

.1 Проверка шпонок на смятие. Выбранные ранее шпонки проверим на смятие рабочих поверхностей

.2 Проверка шпонок на срез

. Выбор и расчет муфт

. Конструирование узлов и деталей редуктора

.1 Основные размеры редуктора

.2 Смазочные и уплотнительные устройства

.3 Экономическая часть

.4 Охрана труда

Список используемой литературы

Приложение №1

1. Расчет основных характеристик редуктора

Рисунок 1 - Схема привода к печному толкателю

где: 1 - Электродвигатель.

- Муфта МУВП.

- Редуктор.

- Муфта МЗ.

- Открытая зубчатая передача.

- Реечный толкатель.

редуктор шпонка муфта деталь

Исходные данные для расчета

. Усилие на толкателе - 30 кН

. Скорость перемещения толкателя - 0,3 м/с

. Ход толкателя за один оборот h - 200 мм

. Передаточное число открытой зубчатой передачи - 5

. Срок службы - 4 тыс.ч.

коэффициенты:

6. α1 - 1,0

7. α2 - 0,6

. α3 - .0,5

. к1 - .0,8

. к2 - 0,1

. к3 - 0,1

. Определяем мощность на исполнительном механизме.

Р исп.мех.= F∙υ

Р исп.мех. = 30×0,3=9 (кВт).

. Определяем КПД привода.

η общ. = η МУВП ∙ η ред ∙ hМЗ. ∙ ηозп ∙ η пп× η р.т.

η ред. = η ззп ∙ η2 пп

η ред. = 0,98∙0,992 = 0,96

η МУВП = 1

hМЗ=0,98

η ззп = 0,98

η озп = 0,96

η пп = 0,99

η общ. = 1∙0,96∙0,98∙0,96×0,99∙0,96 = 0,86.

. Определяем потребляемую мощность электродвигателя.


. Выбираем стандартный двигатель по мощности.

Мощность двигателя (стандартный ряд чисел):

,37 кВт; 0,55 кВт; 0,75 кВт; 1,1 кВт; 1,5 кВт; 2,2 кВт; 3 кВт; 4 кВт; 5,5 кВт; 7,5 кВт; 11 кВт; 15 кВт; 18,5 кВт; 22 кВт; 30 кВт.

Приравниваем полученное значение к ближайшему стандартному с учётом, что допускаемый перегруз не более 8 %.

Из стандартного ряда чисел подходит значение -11 кВт.

Выбираем Р = 11 кВт.

. Выбираем двигатель по числу оборотов (скорости вращения).

n эл.дв. об/мин

U общ.

U озп

U ред.

1.

3000

33,33

5

6,67

2.

1500

16,67

5

3,33

3.

1000

11,11

5

2,22

4.

750

8,33

5

1,67





Из исходных данных UОЗП =3¸7; принимаем UОЗП =5.


Двигатели с числом оборотов 3000 и 750 брать не рекомендуется из-за высокой стоимости одних и больших габаритов других. Редуктор выбираем из условия: 2<U ред.<6(8) исходя из целесообразности; пары трения должны изнашиваться примерно в одно время, разумно U ред.≤4, в этом случае материал шестерни колеса может быть один и тот же с одинаковой термообработкой.

Передаточные числа (стандартный ряд чисел):

,0; 2,24; 2,5; 2,8; 3,15; 3,5; 4,0; 4,5; 5,0.

Приравниваем полученное значение к ближайшему стандарту. Из стандартного ряда чисел подходит - 2,24.

. Выбираем двигатель.

Число оборотов: 1000 об/мин;

мощность: 11 кВт.

Подходит двигатель следующей марки: 4А160S6/975.

. Находим основные характеристики редуктора.

Число оборотов шестерни:

n 1 = n эл. дв.

n 1 = 1000 (об/мин)

Число оборотов колеса:

Мощность на шестерне:

Р 1 = Р потр.

Р потр. = 10,46(кВт)

Мощность на колесе:

Р 2 = Р 1∙ η ред.

Р 2 = 10,46∙0,96 = 10,04(кВт)

Крутящий момент на шестерни:


Крутящий момент на колесе:



Рисунок 2 - Электродвигатель

Таблица 1 - Параметры электродвигателя

Тип двигателя

Размеры, мм


d1

h

h31

d30

l30

l1

l31

l10

d10

4А160S6/975

48

160

430

358

624

110

108

178

15


2 Расчет косозубой зубчатой передачи

.1 Выбор материала

Рекомендуется выбирать для шестерни колеса одинаковую марку стали с различной термической обработкой, но учитывая, что шестерня и колесо имеют разные размеры разрешается выбирать одну марку материала с одинаковой термической обработкой, при этом из-за различия в массе зубчатых колёс меньшая - шестерня будет иметь скорость закалки (охлаждения) выше, а значит и выше механические свойства. При выборе материала рекомендуется твёрдость шестерни выбирать на 20-50 ед. НВ больше чем твёрдость колеса. Для редукторов общего назначения твёрдость материала зубчатых колёс выбирается НВ £ 350, эта твёрдость обеспечивает прирабатываемость зубьев.

Выбираем сталь 40Х с одинаковой термической обработкой, например улучшение (закалка + высокий отпуск).

s В - предел прочности;

s Т - предел текучести;

НВ - твёрдость.

Таблица 2 - Твердость зубчатого колеса и шестерни


шестерня

колесо

s В

930 (МПа)

780 (МПа)

s Т

690 (МПа)

490 (МПа)

НВ

257-285 (257)

215-243 (215)


2.2 Определяем допускаемое контактное напряжение

Эквивалентное число циклов шестерни:

N Е1 = 60∙n 1 ∙Т∙(α 13∙к 1 + α 23∙к 2 + α 33∙к 3)

Т - срок службы (тыс. часов);

n 1 - число оборотов шестерни(об/мин);

α 1, α 2, α 3, к 1, к 2, к 3 - коэффициенты.

N Е1 = 60∙1000∙4000∙(13∙0,8 + 0,63∙0,1 + 0,53∙0,1) = 2,26×108

 

 

 

Число циклов нагружений до перегиба кривой усталости, т.е. при достижении длительного предела выносливости при контактных напряжениях:

N 01,2 = 30∙НВ1,22.4.

N 01 = 30∙2572.4 = 1,8×107;

N 02 = 30∙2152.4 = 1,2×107.

Допускаемое контактное напряжение при длительной работе:


s - предел выносливости поверхностных слоёв зубьев, зависит от твёрдости, термообработки и материала. Для углеродистой и легированной стали с твёрдостью НВ £ 350 и термообработкой - улучшение или нормализация:

s 0Н 1,2 = 2∙НВ 1,2 + 70

s 0Н 1 = 2∙257 + 70 = 584 (МПа)

s 0Н 2 = 2∙215 + 70 = 500 (МПа);

ZR - коэффициент зависящий от параметров шероховатости поверхности, если R а ³ 10 мкм, то Z R = 0,9;

n - коэффициент безопасности, для объёмно упрочнённых зубьев n = 1,1;

если N E > N 0, значит, деталь работает в зоне горизонтального участка кривой усталости, т.е. принимаем, что нагрузка постоянна, поэтому:


Для косозубой передачи имеющей разные твёрдости шестерни колеса:



.3 Определяем межосевое расстояние


Zk -коэффициент, учитывающий специфику косозубых передач

Zk=0,8

КαH -коэффициент, учитываюций неравномерность распределения нагрузки,

КαH=1,1

К - коэффициент дополнительной нагрузки при расчете на контактную прочность равен 1,2…1,5.

y a - коэффициент ширины колеса, y = в w / а w, для симметрично расположенных колёс 0,4 < y a < 0,5, y a = 0,4.

Межосевое расстояние (стандартный ряд чисел):

мм; 80мм; 100мм; 125мм; 140мм; 160мм; 180мм; 200мм; 225мм; 250мм; 280мм; 315мм; 400мм.

Приравниваем полученное значение к стандартному. Из стандартного ряда чисел подходит - 125 (мм).

а w(стандарт.) = 125 (мм).


При V ≤ 3,5 м/с применяют прямозубые колеса,

При V > 3,5 м/с - косозубые колеса.

.4 Определяем основные параметры передачи

Определяем модуль зацепления

Модуль - нормированный шаг зацепления, он характеризует отдельно взятое колесо, у сопряжённых зубчатых колёс модуль единый. Модуль определяет величину зуба. Делительная окружность делит зуб на две неравные части, на головку и ножку.


Для силовых передач минимальный модуль равен 1,5 мм.

m = (0,01 ¸ 0,02)∙а w,

m = (1,25 ¸ 2,5) мм

Принимаем модуль зацепления m = 1, 5

Модуль зацепления (стандартный ряд чисел):

,5; 1,75; 2; 2,25; 2,5; 2,75; 3; 3,25; 3,5; 3,75; 4.

Приравниваем полученное значение к стандартному. Из стандартного ряда чисел подходит - 1,5 (мм).

m = 1,5 (мм).

Угол наклона зубьев косозубой передачи.

b = (8о ¸ 18о(25о)), для предварительного расчёта b = 12о, cosb = 0,978.

Определяем суммарное число зубьев.





Z 2 = Z 1∙U стандарт.,

Z 2 = 50,3×2,24 = 112,7;

проверка:

Z c = Z 1 + Z 2; Z 1 = 50,3 Z 2 = 112,7

Z c = 50+113 = 163.

Определяем фактический угол наклона.


Ширина зубчатого колеса.

в 2 = а w(стандарт.)∙y a,

в 2 = 125∙0,4 = 50 (мм).

Ширина шестерни.

в 1 = в 2 + (3…8)мм, для компенсации неточной сварки,

в 1 = 50+8=58 (мм).

Диаметры делительных окружностей.




проверка:


Определяем диаметры колес:


Находим окружную скорость по делительным окружностям.


если:

u £ 2м/с, то зацепление прямозубое;

м/с > u > 2м/с, то зацепление косозубое;

u > 8м/с, то зацепление шевронное.

т.к. окружная скорость больше 2 м/с, но меньше 8 м/с, то зацепление косозубое.

Делаем проверочный расчет на выносливость по контактным напряжениям.


Основные параметры зубчатой передачи

Параметр

Ед. изм.

Расчётная формула

Значение параметра для




шестерни

колеса

Межосевое расстояние

а w

мм

(d 1 + d 2) / 2

125

Модуль зацепления нормальный

m n

мм

(0.01 ÷ 0.02)∙а w

1,5

Модуль зацепления торцовый

m t

-

m n / cos(β) факт.

1,527

Число зубьев

z c

-

2∙а w∙ cos(β) / m n

163


z 1

-

z c / (U + 1)

50

113


z 2

-

z 1∙U



Шаг зацепления нормальный

P H

мм

π∙m n

4,71

4,71

Шаг зацепления окружной

P t

мм

π∙m t

4,79

4,79

Диаметр делительной окружности

d 1;2

мм

m n∙ z 1;2 / cos(β) факт.

76,7

173,3

Высота головки зуба

h а

мм

m n

1,5

1,5

Высота ножки зуба

h f

1,25∙m n

1,875

1,875

Высота зуба

h

мм

h а + h f

3,375

3,375

Диаметр вершин

d a

мм

d 1;2 + 2∙h а

79,7

176,3

Диаметр впадин

d f

мм

d 1;2 - 2∙h f

72,95

169,55

Длина зуба

b 1

мм

b 2 + (3 ÷ 5)мм

58

50


b 2

мм

а w∙ψ а



Передаточное число

U

-

z 2 / z 1 = d 2 / d 1

2,24

Степень точности

9


3. Расчет вала редуктора

.1 Выбор материала

Выбираем улучшенную сталь 30

σ Т = 300 МПа; σ -1 = 250 МПа; σ В = 600 МПа; τ-1 = 140 МПа; НВ = 179; Е = 2∙10 11 МПа; μ = 0,27 σ -1Р = 200 МПа;

Определение минимального диаметра тихоходного вала:


[τ] = 15…35

Стандартный ряд: 10; 10.5; 11; 11.5; 12; 13; 14; 15; 16; 17; 18; 19; 20; 21; 22; 24; 25; 26; 28; 30; 32; 34; 36; 38; 40; 42; 45; 48; 50; 52; 55; 60; 63; 65; 70; 75; 80; 85; 90; 95; 100; 105; 110; 120; 125; 130; 140; 150; 160 и т.д.

Принимаем d1=42мм

Определение размеров вала:

d2 = d1 + 3…5 (мм); d2 =42 + 3 = 45 (мм).

Выбираем подшипник шариковый радиальный однорядный ГОСТ 8338-75:

Подшипники в диапазоне внутренних диаметров 3…10 мм стандартизованы через 1 мм, до 20 мм - через 2…3 мм, до 110 мм - через 5 мм, до 200 мм - через10 мм, до 500 мм через 20 мм и.т.д.

Поэтому диаметр d2, т.е. вала под подшипником округляется до стандартного размера внутреннего диаметра подшипника.

D=85мм; B=19мм

d3 = d2 + 3…5 (мм), d3 = 45 + 5 = 50 (мм).

d4 = d3 +10…15 (мм), d4 = 50 + 10 = 60 (мм).

Рис.1. Конструкция тихоходного вала редуктора.

В=10 (мм). H = 10 (мм). Δ1= 3 ÷ 6 (мм), выбираем Δ1= 5 (мм).

Δ2= 10 (мм).

Длина ℓ П.М вала зависит от муфты, по d1= 42 (мм) выбираем муфту упругую втулочно-пальцевую (МУВП) ГОСТ 21424-75; D = 140 (мм); L = 165 (мм);

П.М. = 82,5 (мм).

Диаметры крепежных болтов

dф = (0,03 аw +10…12) мм; d1(болта) = 0,75∙dф,

dф = 0,03∙125 + 10 = 14 (мм), d1 = 0,75∙114 = 10 (мм),

Округляем до стандартных dф = М14; d1 = М10

Длину вала ВD:

1 = ℓ П.М. / 2 + Н + ℓВ + А,

А = С - В/2 - 5 (мм), С = 2.5∙d1 + δ,

δ - толщина стенки,δ = 6…10 (мм),

С = 2.5∙10 + 10 = 35 (мм), А = 35 - 19/2 - 5 = 20,05 (мм),

1 = 82,5/2 + 10 + 10 + 20.05 = 81,3 (мм).

Рассчитываем АС, АЕ и СВ:

2 = ℓ3 = В/2 + Δ1 + Δ2 + b2/2;

2 = ℓ3 = 19/2 + 5 + 8 + 50/2 = 49.5 (мм).

4 = ℓ3 + b2/2 - 5 (мм),

4 = 49.5 + 50/2 - 5 = 69,5 (мм).

Рис.2. Проверочный (уточнённый) расчёт вала. Составление расчётной схемы вала редуктора.

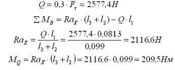
Определение числовых значений сил, действующих в зацеплении:

В зацеплении действуют окружная сила Ft, радиальная сила Fr, и осевая сила Fа.


(для стандартного угла α = 20º tg α = 0,364)

Рис.3. Схема действия сил, эпюра изгибающих моментов в плоскости YZ.

Рис.4. Схема действия сил, эпюра изгибающих моментов в плоскости XZ.


Рис. 5. Эпюра изгибающих моментов от совместного действия сил.


Рис. 6. Эпюра изгибающих моментов от действия силы Q.

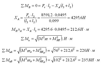
Суммарный изгибающий момент от действия всех сил:


Рис.7. Эпюра изгибающих моментов от совместного действия всех сил.

Рис. 8. Эпюра крутящего момента.

Определение опасных сечений вала.

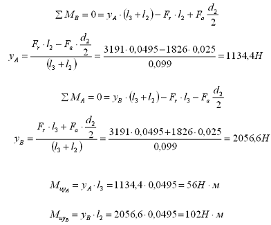
Отмечаем опасные сечения вала, которые подлежат проверке на предел выносливости: сечение С (шпоночный паз и Mmax) и Е (канавка с галтелью).

Сечения в точке С (Рис.1, сечение К - К).

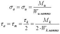
Здесь действует Ми = 340,55 (Нм) и Мк = 214,78 (Нм). Напряжения изгиба изменяются по симметричному циклу, напряжение кручения - по отнулевому циклу.


Wи.нетто - момент сопротивления изгибу сечения, ослабленного шпоночной канавкой,

Wк.нетто - момент сопротивления кручению сечения, ослабленного шпоночной канавкой.

d3 = 50 мм:


Коэффициенты запаса прочности


σ -1, τ -1 - пределы выносливости при изгибе и кручении для симметричного цикла напряжений,

кσ и кτ - коэффициенты концентрации нагрузки для нормальных и касательных напряжений,

ε σ и ε τ - масштабный фактор

β - коэффициент учитывающий шероховатость поверхности,

ψσ, ψτ - коэффициенты, учитывающие соотношение между пределами выносливости при симметричном и пульсирующем циклами напряжений.

σ -1 = 250 (МПа); τ -1 = 140 (МПа); к σ = 1,89; к τ = 1,74; ε σ = 0,85;

ε τ = 0,85; β = 0,9; ψ σ = 0,2; ψ τ = 0,1.


Проверка прочности вала в сечении Е - Е.

В сечении действует М и = 287,6 (Нм) и М к = 214,78 (Нм).


σ -1 = 250 (МПа); τ -1 = 140 (МПа); к σ = 1,89; к τ = 1,74; ε σ = 0,85;

ε τ = 0,85; β = 0,9; ψ σ = 0,2; ψ τ = 0,1.



Следовательно, опасным сечением является сечение Е - Е, т.к. там меньший коэффициент запаса.

4. Проверочный расчет шпоночных соединений

.1 Проверка шпонок на смятие. Выбранные ранее шпонки проверим на смятие рабочих поверхностей

Целью расчета является выполнение условия σсм ≤ [σсм], где [σсм] - допустимые напряжения смятия.

Если ступица стальная, то [σсм] = 100... 150 МПа.

Если ступица чугунная - [σсм] = 60...90 МПа.

Меньшие значения допускаемых напряжений принимаются в случае передачи неравномерных или ударных нагрузок.

Напряжения смятия определяются по формуле:


где: окружная сила,

Т - передаваемый крутящий момент,

d - диаметр вала,

- расчетная площадь смятия паза в ступице,

h - высота шпонки,

t1 - глубина паза вала,

lP - расчетная длина паза (для призматических шпонок со скругленными концами , здесь l - стандартная длина шпонки, b - ширина шпонки).

В этой курсовой работе для шпонки на выходном конце вала под муфтой (материал муфты - чугун) напряжения смятия равны:

Для шпонки под ступицей зубчатого колеса (материал колеса -сталь) напряжения смятия равны:

Таким образом, выбранные ранее шпонки подходят по напряжениям смятия.

.2 Проверка шпонок на срез

Напряжения среза определяются по формуле:


где:  b - ширина шпонки,

- площадь среза шпонки,

 - допускаемое напряжение среза,

 = 60... 100 МПа (меньшие значения принимаются при неравномерной или ударной нагрузке),

l - стандартная длина шпонки.

Напряжения среза для шпонки на выходном конце вала под муфтой равны:


Напряжение среза для шпонки под ступицей зубчатого колеса:


Следовательно, выбранные ранее шпонки подходят по напряжениям среза.

5. Выбор и расчет муфт

С целью компенсации радиальных, осевых и угловых смещений валов при эксплуатации привода, тихоходный вал редуктора и вал шестерни открытой зубчатой передачи соединены зубчатой муфтой (МЗ), типоразмер которой выбираем по диаметру вала редуктора с учетом ограничения.

В нашем работе при диаметре d = 42 мм выбираем по ГОСТ 5006-66 муфту МЗ с Tкр = 0,71 кН•м, так как при Т2 = 214,78 Н•м

К= 1,5, получим: Tрасч =1,4•214,78 = 300,7 Н•м<. Следовательно, прочность муфты обеспечена.

Для соединения вала электродвигателя с быстроходным валом редуктора используем упругую втулочно-пальцевую муфту (МУВП), типоразмер которой выбираем по величине наибольшего диаметра соединяемых валов с учетом ограничения Ткр < [Ткр], где Ткр - крутящий момент на быстроходном валу редуктора (Т1); [Ткр] - табличное значение крутящего момента для выбранной муфты.

В нашем работе при диаметре d = 42 мм выбираем по ГОСТ 21424-75 муфту МУВП с  = 250 Н•м > Т1 = 99,89 Н•м.

Поскольку в данном случае применяется стандартная муфта, проверку на смятие ее упругого элемента и пальцев на изгиб не производим.

6. Конструирование узлов и деталей редуктора

.1 Основные размеры редуктора

При расчёте геометрических и кинематических параметров используются следующие формулы:

δ = 0,025∙ а w + 3, но ≥ 6 (мм);

δ = δ 0 ∙ δ;

δ к = 1.2∙ δ;

А 1 = (2.0 ÷ 2.5)∙ δ;

А 2 = 1.0∙ δ;

1 = 2.5∙d 1(болта) + δ;

2 = (2.0 ÷ 2.2)∙ d 2(болта) + δ;

d фунд. = 0.03∙ а w + 10 (мм);

d 1(болта) = 0.7∙ d фунд.;

d 2(болта) = 0.5∙d фунд.;

d 3(болта) = 0,3∙ d фунд.;

n M = 2.5∙m;

V 0 = (π∙d a∙n) / 6∙10 4;

d cm = 1.6∙d к;

h M = V M / B к∙α к;

V M = (0.4 ÷ 0.8)∙Р двиг.;

D фл. = D п + 4.5∙ d 3(болта);

3 = (D п / 2) + (1.3 ÷ 1.5)∙d 1(болта);

4 = (D п / 2) + 2.6∙d 1(болта);

h 1 ≥ D п;

d ц = D п + 2.2∙d 3(болта);

К 1 = 2.5∙ d 1(болта);

С 1 = 1.3∙ d 1(болта);

К 2 = 2.2∙ d 2(болта);

С 2 = 1.2∙ d 2(болта);

δ - толщина стенки корпуса;

а w - межосевое расстояние зубчатой передачи;

δ 0 - толщина стенки корпуса;

δ к - толщина стенки корпуса;

А 1 - наименьшее расстояние от торца зубчатого колеса до ближайшего элемента поверхности картера;

А 2 - наименьшее расстояние от цилиндрической поверхности колёс до поверхности картера;

1 - наименьшее расстояние от поверхности картера до большей стороны поверхности корпуса;

2 - наименьшее расстояние от поверхности картера до меньшей стороны поверхности корпуса;

d фунд. - диаметр фундаментного болта;

d 1(болта) - диаметр подшипникового болта корпуса;

d 2(болта) - диаметр уплотнительного болта;

d 3(болта) - диаметр болта крышки подшипникового узла;

n M - глубина погружения колеса в масло;

V 0 - окружная скорость колеса;

d cm - диаметр ступицы зубчатого колеса;

h M - высота уровня масла;

V M - объём масла (дм 3);

D фл. - диаметр фланца крышки подшипникового узла;

d ц - расстояние между болтами крышки подшипникового узла;

К 1 - ширина пояска корпуса со стороны подшипникового фланца;

С 1 - расстояние от корпуса до подшипникового болта;

К 2 - ширина уплотнительного пояска корпуса;

С 2 - расстояние от корпуса до уплотнительного болта;

m - модуль зацепления зубчатой передачи;

d a - диаметр окружности выступа колеса;

d к - диаметр вала под колесо;

Р двиг - мощность двигателя;

D п - диаметр отверстия в корпусе под подшипник;

.2 Смазочные и уплотнительные устройства

Смазывание зубчатой передачи

Для уменьшения потерь мощности на трение и снижения интенсивности износа трущихся поверхностей, а также для предохранения их от заедания, задиров, коррозии и лучшего отвода теплоты трущиеся поверхности деталей должны иметь надёжную смазку.

В настоящее время в машиностроении для смазывания передач широко применяют картерную систему. В корпус редуктора заливают масло так, чтобы венцы колёс были в него погружены. При их вращении масло увлекается зубьями, разбрызгивается, попадает на внутренние стенки корпуса, откуда стекает в нижнюю его часть. Внутри корпуса образуется взвесь частиц масла в воздухе, которая покрывает поверхность расположенных внутри корпуса деталей.

Выбор смазочного материала основан на опыте эксплуатации машин. Принцип назначения сорта масла следующий: чем выше окружная скорость колеса, тем меньше должна быть вязкость масла, чем выше контактные давления в зубьях, тем большей вязкостью должно обладать масло. Поэтому требуемую вязкость масла определяют в зависимости от контактного напряжения и окружной скорости колёс.

Допускаемое контактное напряжение: σ Н = 462,5 (МПа);

Окружная скорость: 4,0 (м/с).

Находим требуемую кинематическая вязкость для зубчатого колеса при 500: 34∙10 -62/с).

Подбираем марку масла:

Индустриальное И-Г-А-32.

Считают, что в двухступенчатой передаче при окружной скорости больше одного метра в секунду достаточно погружать в масло только колесо тихоходной ступени.

Смазывание подшипников.

На практике стремятся смазывать подшипники тем же маслом, которым смазываются детали передачи.

При картерной смазке колёс подшипники качения смазываются брызгами масла. При окружной скорости колёс больше одного метра в секунду брызгами масла покрываются все детали передачи и внутренние поверхности стенок корпуса. Стекающее с колеса, с валов и со стенок корпуса масло попадает в подшипники.

Учитывая колебания объёма масла в корпусе, минимальный уровень масляной ванны ограничивают центром нижнего тела качения подшипника.

Смазочные устройства

При работе передач масло постепенно загрязняется продуктами износа. С течением времени оно стареет, свойства его ухудшаются. Поэтому масло, налитое в корпус редуктора, периодически меняют. Для этой цели в корпусе предусматривают сливное отверстие, закрываемое пробкой с цилиндрической резьбой.

Цилиндрическая резьба не создаёт надёжного уплотнения. Поэтому под пробку с цилиндрической резьбой ставят уплотняющие прокладки из фибры, алюминия, паронита. Для этой цели применяют также кольца из маслобензостойкой резины, которые помещают в канавки, чтобы они не выдавливались пробкой при её завинчивании.

Для наблюдения за уровнем масла в корпусе устанавливают маслоуказатель жезловый (щуп) или же маслоуказатель фонарного типа.

При длительной работе в связи с нагревом масла и воздуха повышается давление внутри корпуса, что приводит к просачиванию масла через уплотнения и стыки. Чтобы избежать этого, внутреннюю полость корпуса сообщают с внешней средой путём установки отдушин в его верхних точках.

Уплотнительные устройства.

Уплотнительные устройства применяют для предохранения от вытекания смазочного материала из подшипниковых узлов, а также от защиты их от попадания извне пыли и влаги.

В проекте использованы следующие уплотнительные устройства:

манжетные уплотнения;

прокладки;

щелевые уплотнения.

.3 Экономическая часть

Рациональное решение экономических задач существенно определяет рентабельность производства. Это относится в частности к использованию таких технологий, которые в данных условиях производства обеспечивают наименьшую трудоёмкость, металлоёмкость, энергоёмкость. В проекте получили отражение следующие решения экономических задач.

) Изготовление корпусных частей редуктора предусмотрено из серого чугуна, что обеспечивает двойную экономию:

снижается масса корпусных частей за счёт более высокой текучести чугуна по сравнению со сталью и снижается стоимость чугуна.

) Для ограничения длины центрирующих посадочных поверхностей крышек подшипников предусмотрены проточки.

) Ввиду малого объёма производства зубчатые венцы соединяют с центром посадкой с натягом.

6.4 Охрана труда

Для удобства и безопасности транспортировки редуктора на его крышке предусмотрены проушины, на основании корпуса грузовые захваты.

При изготовлении элементов привода необходимо притупить все острые кромки, т.е. сделать фаски и скругления на фланцах корпуса, крышках подшипников, крышке смотрового отверстия, рёбрах жёсткости, валах, втулках очистить поверхность от задиров и заусенцев.

С целью избежания несчастного случая, при поломке муфты следует оградить их защитными кожухами. Для предотвращения случаев поражения обслуживающего персонала электрическим током привод необходимо заземлить.

Части редуктора и привода покрасить нитрокрасками, внутреннюю часть в красный цвет, наружную в серый цвет. Привод перед эксплуатацией подвергнуть обкатке и испытанию.

Список используемой литературы

1. Е.А. Свистунов, Н.А. Чиченёв. «Расчёт деталей и узлов металлургических машин». 1985.

2. С.А. Чернавский и др. «Проектирование механических передач». 1984.

. А.Н.Веремеевич. «Конспект лекций».

. Е.А. Свистунов, Н.А. Чиченёв «Руководство к решению задач по прикладной механике».

5. Детали машин. Под редакцией О.А. Ряховского. - М.:МГТУ им. Баумона. 2002г - 543 с

6. Дудко Т.А. Детали машин и основы конструирования. Учеб.-метод пособие для курсового проектирования. - М.:МИСИС. 2005г. - 95с

Приложение №1

Сводная таблица допусков и посадок.

Сопряжённые детали с посадкой

Характеристика сопряжения величины (мкм)

Графическое изображение допусков

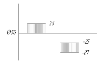
Вал - колесо Ø50 Н7/р6

Предельные отклонения

отверстие

ES = 25 EI = 0



вал

es = 42 ei = 26



Допуск

отверстие

25




вал

16



Зазор

max min




Натяг

max min

42 1


Вал - колесо Ø50 Н7/f9

Предельные отклонения

отверстие

ES = 25 EI = 0



вал

es = - 25 ei = - 87



Допуск

отверстие

25




вал

62



Зазор

max min

112 25



Натяг

max min



Подшипник - вал Ø45 k6

Предельные отклонения

отверстие

ES = 0 EI = -12



вал

es = 18 ei = 2



Допуск

отверстие

12




вал

16



Зазор

max min




Натяг

max min

30 2


Подшипник - корпус  Ø85 H7

Предельные отклонения

отверстие

ES = 35 EI = 0



вал

es = 0 ei = - 15



Допуск

отверстие

35




вал

15



Зазор

max min

50 0



Натяг

max min

Похожие работы на - Расчет привода печного толкателя

 

Не нашли материал для своей работы?
Поможем написать уникальную работу
Без плагиата!
Без нейросетей!