|
R1
|
R2
|
R3
|
R4
|
R6
|
L2
|
L3
|
C1
|
C2
|
|
Ом
|
Гн.
|
10-6Ф
|
|
85
|
400
|
138
|
198
|
250
|
16
|
57
|
42290
|
22447
|
Эквивалентная схема объекта управления
Рисунок 1. Исходная схема
Содержание
1. Построение математической модели объекта управления
в пространстве состояния
. Построение математической модели
. Построение сигнального графа
. Нахождение передаточной функции по формуле Мейсона
5. По передаточной функции определить временные и
частотные характеристики и построить их графики
6. Определить прямые и косвенные оценки качества ОУ по
полученным зависимостям
Заключение
Список используемой литературы
математический управление передаточный временный
1. Построим математическую модель объекта управления в
пространстве состояния
Рисунок 2 Структурная схема ОУ
В схеме четыре элемента, запасающих энергию:L1,L2,C1,C2, следовательно, математическая модель должна быть
четвертого порядка.
При построении математических моделей следует учитывать следующие
выражения для связи токов, напряжений и комплексных сопротивлений элементов
электрической схемы.
Для сопротивления R 
Для индуктивности L 
Для емкости C
2. Построение математической модели
Задаемся направлением контурных токов i1,i2,i3,i4. Составляем четыре уравнения по второму закону Кирхгофа для
контуров:
В уравнениях (1),(4) есть интегралы, поэтому продифференцируем их:
В уравнениях
и
есть производные, в качестве x1,x2,x3,x4 выбираем элементы с производными и производные берем на
порядок ниже:
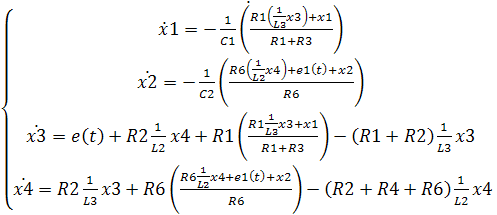
Запишем введенный вектор состояния в виде дифференциальных уравнений
первого порядка.
Уравнение в пространстве состояний записывается в левой части:
,
Выразим токи i1,i2,i3,i4 из уравнений
:
Найдем
:
выходной параметр:
Получили четыре дифференциальных уравнения и одно уравнение для выходного
параметра.
Запишем полученную систему уравнений в матричном виде:
Получим матричное уравнение для выходной переменной:
3. Построение сигнального графа
Перепишем уравнения в общем, виде для построения графа системы:
. Нахождение передаточной функции по формуле Мейсона
,
где к - количество возможных прямых путей от входа к
выходу;
∆ - определитель графа;
Рk - коэффициент передачи кого пути от входа к выходу;
∆к - определитель всех касающихся контуров при
удалении кого пути;
- сумма коэффициентов передачи всех
отдельных контуров;
- сумма всех возможных произведений
из 2-х не касающихся контуров;
- сумма всех возможных комбинаций из
3-х не касающихся контуров.
С учетом всех перечисленных формул для нахождения
передаточной функции по формуле Мейсона необходимо выполнить действия в
определенной последовательности:
определить и записать уравнения всех к прямых путей от
входа к выходу Р1, Р2,..., РК ;
- выявить число замкнутых контуров и записать их
уравнения Lx,L2,...,Ln;
записать выражение для определителя системы ∆;
записать определители путей: ∆1, ∆2, ∆k;
- записать и преобразовать выражение передаточной функции W(p).
В данном случае есть 5 пути от входа к выходу:
;
В системе имеется 7 замкнутых контуров:
Определитель системы ∆:
Количество сомножителей равно количеству прямых путей. Выражение для
записывается как выражение для
, но разрываются контуры, через
которые проходит прямой путь Pi.
Определитель путей ∆k:
Запишем и преобразуем выражение передаточной функции:
5. По передаточной функции определить временные и частотные харак
теристики и построить их графики
Переходная функция:
Рис. 5 График переходной функции.
Весовая функция:
Рис. 6 График весовой функции.
Строим графики АЧХ и ФЧХ.
Рис. 7 График АЧХ (амплитудно-частотная характеристика).
Рис. 8 График ФЧХ (фазо-частотная характеристика):
6. Определить прямые и косвенные оценки качества ОУ по полученным
зависимостям
Определим качество системы по графику переходного процесса h(t).
а) Прямые оценки качества:
tp= 11 с - время переходного процесса (время регулирования);
- перерегулирование;
n=0.5
- колебательность;
tH= 0.385 -время нарастания регулируемой величины;
tcor=0.66 - время первого согласования;
б) Косвенные оценки качества:
Показатель колебательности:
Резонансная частота:
Частота среза: wсp=10
Полоса пропускания частот:

Заключение
В ходе выполнения курсовой работы была построена математическая модель
объекта управления в пространстве состояния, составлены граф системы и
структурная схема. По формуле Мейсона найдена передаточная функция системы,
построены графики временных и частотных характеристик системы, определены
оценки качества системы по данным характеристикам.
Список используемой литературы
1. Брофеев Ю.И. Импульсная техника. -М.: Высшая школа, 1984.
. Р.Ли Оптимальные оценки, определение характеристик и
управление. -М.: Наука, 1966.
. Справочное пособие по теории систем автоматического
регулирования и управления под ред. Е.А.Санковского - Минск: Высшая школа,
1973.