Проектирование конвейера
1. Выбор
электродвигателя. Кинематические расчеты
Спроектировать привод ленточного
конвейера.
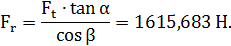
. Определяем потребляемую
мощность привода (мощность на выходе)
Н
Вт
. После
вычисления мощности
(Вт)
определяют потребную мощность электродвигателя
,
где
- КПД зубчатой передачи
- КПД муфты
- КПД ременной передачи
- КПД подшипников (одна
пара)
3. После определения потребной
мощности электродвигателя нужно подобрать частоту вращения вала
электродвигателя

об/мин
4. Затем выбираем
электродвигатель:
После выбора электродвигателя
определяем общее передаточное число привода

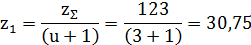
5. Находим передаточное число
редуктора
6. После этого находим
передаточные числа быстроходной и тихоходной ступеней
7. После определения
передаточных чисел ступеней редуктора находят частоты вращения и вращающие моменты
на валах передачи
Частота вращения вала колеса
тихоходной ступени:
Частота вращения вала
колеса быстроходной ступени:
Вращающий момент на
приводном валу (на выходе):
Вращающие моменты на
валах тихоходной и быстроходной ступенях редуктора:
т.к. редуктор
двухпоточный, значит момент на каждый промежуточный вал будет 70,6485 Н/м.
2. Расчеты зубчатых
передач
Рассчитать тихоходную
ступень цилиндрической прямозубой передачи:
Вращающий момент: 
Передаточное число: 
Частота вращения вала
электродвигателя: 
Угловая скорость колеса:

Время работы передачи: 
Выбор материала и
термической обработки. Примем для колеса и
шестерни сталь 40Х и вариант ТО II:
колесо - улучшение; HB 235…262;
шестерня - улучшение и
закалка ТВЧ; HRC 45…50
Допускаемые
напряжения.
Т.к. 

N
- количество циклов передачи
для колеса 
для шестерни 
.
Допускаемые контактные
напряжения и напряжения изгиба,
соответствующие числу
циклов 
и 
для колеса


для шестерни


,
полагая, что модуль
передачи 
.
Допускаемые контактные
напряжения и напряжения изгиба с учетом времени работы передачи:
для колеса
для шестерни
Среднее допускаемое
контактное напряжение
Окончательно принимаем в
паскалях (Па)
Межосевое
расстояние.
Примем 
Тогда 
Тогда межосевое
расстояние
Округляя до стандартного
значения, принимаем 
Предварительные
размеры колеса
Модуль
передачи.
Коэффициент 
Модуль передачи
округляя, принимаем из
1-го ряда 
Угол
наклона и суммарное число зубьев.
Минимальный угол наклона зубьев:
Суммарное число зубьев
Округляя, принимаем 
Действительное значение
угла наклона зубьев
Число
зубьев шестерни и колеса.
Число зубьев шестерни
округляя, принимаем 
число зубьев колеса

(» - «т. к. внешнее
зацепление)
Фактическое
передаточное число.
Диаметры
колес. Делительные диаметры:
шестерни
колеса
Диаметры окружностей вершин и впадин
шестерни
колеса
Пригодность
заготовки колес.
Колесо с выточками:
Силы в
зацеплении. Окружная
Радиальная
Осевая
Проверка
зубьев колес по напряжениям изгиба.
Окружная скорость колеса
Расчетное напряжение изгиба в зубьях
колеса и шестерни
Проверка
зубьев колеса по контактным напряжениям.
Значения коэффициентов 
Тогда расчетное
контактное напряжение
3. Эскизное
конструирование валов и подбор подшипников
Расстояние
между деталями передач.
зазор между стенками корпуса
Расстояние 
между дном корпуса и
поверхностью колес принимают
В соосном редукторе
определяют расстояние 
Диаметры
валов.
Для быстроходного вала
Для тихоходного вала
Для промежуточных валов
4. Проверочный расчет
валов и подшипников в Autodesk Inventor
Допускаемые значения:
Проверка
быстроходного вала:
По углу отклонения:
По отклонению:

Условия жесткости и
прочности для быстроходного вала соблюдаются.
Проверка
промежуточного вала
По углу отклонения:
По отклонению:
Условия жесткости и
прочности для промежуточного вала соблюдаются.
Проверка
тихоходного вала:
По отклонению:
Условия жесткости и
прочности для тихоходного вала соблюдаются.
Подбор
подшипников.
Для быстроходного вала выбираем
подшипники шариковые радиально - упорные с угловым контактом.
ГОСТ 8995-75
условное обозначение подшипника:
126106
Результаты
|
Основной номинальный срок службы
|
L10
|
5,61487932649E+011 ч
|
|
Настроенный номинальный срок службы
|
Lna
|
5,61487932649E+011 ч
|
|
Расчетный коэффициент статического запаса прочности
|
s0c
|
751,38122 бр
|
|
Потеря мощности при трении
|
Pz
|
0,00558 Вт
|
|
Необходимая минимальная нагрузка
|
Fmин
|
0 Н
|
|
Статическая эквивалентная нагрузка
|
P0
|
9 Н
|
|
Динамическая эквивалентная нагрузка
|
P
|
5 Н
|
|
Коэффициент ускоренного вращения
|
kn
|
0,000 бр
|
|
Коэффициент настройки срока службы для надежности
|
a1
|
1,00 бр
|
|
Температурный коэффициент
|
ft
|
1,00 бр
|
|
Эквивалентная скорость
|
ne
|
436 об_мин
|
|
Минимальная скорость
|
nmин
|
436 об_мин
|
|
Максимальная скорость
|
nmакс
|
436 об_мин
|
|
Проверка прочности
|
Положительная
|
Краткие сведения о
сообщениях
|
16:22:59: Значение консистентной смазки для ограничения скорости
не найдено, нельзя рассчитать коэффициент ускоренного вращения. 16:22:59
Расчет: Соответствие при подборе в процессе расчета!
|
|
Основной номинальный срок службы
|
L10
|
396603 ч
|
|
Настроенный номинальный срок службы
|
Lna
|
396603 ч
|
|
Расчетный коэффициент статического запаса прочности
|
s0c
|
5,11398 бр
|
|
Потеря мощности при трении
|
Pz
|
1,32239 Вт
|
|
Необходимая минимальная нагрузка
|
0 Н
|
|
Статическая эквивалентная нагрузка
|
P0
|
3872 Н
|
|
Динамическая эквивалентная нагрузка
|
P
|
2323 Н
|
|
Коэффициент ускоренного вращения
|
kn
|
0,000 бр
|
|
Коэффициент настройки срока службы для надежности
|
a1
|
1,00 бр
|
|
Температурный коэффициент
|
ft
|
1,00 бр
|
|
Эквивалентная скорость
|
ne
|
145 об_мин
|
|
Минимальная скорость
|
nmин
|
145 об_мин
|
|
Максимальная скорость
|
nmакс
|
145 об_мин
|
|
Проверка прочности
|
Положительная
|
Краткие сведения о сообщениях
|
0:19:44: Значение консистентной смазки для ограничения скорости
не найдено, нельзя рассчитать коэффициент ускоренного вращения. 0:19:44
Расчет: Соответствие при подборе в процессе расчета!
|
Для тихоходного вала выбираем
подшипники шариковые радиально - упорные с угловым контактом.
ГОСТ 8995-75
условное обозначение подшипника:
116211
Результаты
|
Основной номинальный срок службы
|
L10
|
2,80705932248E+011 ч
|
|
Настроенный номинальный срок службы
|
Lna
|
2,80705932248E+011 ч
|
|
Расчетный коэффициент статического запаса прочности
|
s0c
|
463,25464 бр
|
|
Потеря мощности при трении
|
Pz
|
0,02028 Вт
|
|
Необходимая минимальная нагрузка
|
Fmин
|
0 Н
|
|
Статическая эквивалентная нагрузка
|
P0
|
54 Н
|
|
Динамическая эквивалентная нагрузка
|
P
|
32 Н
|
|
Коэффициент ускоренного вращения
|
kn
|
0,000 бр
|
|
Коэффициент настройки срока службы для надежности
|
a1
|
1,00 бр
|
|
Температурный коэффициент
|
ft
|
1,00 бр
|
|
Эквивалентная скорость
|
ne
|
145 об_мин
|
|
Минимальная скорость
|
nmин
|
|
Максимальная скорость
|
nmакс
|
145 об_мин
|
|
Проверка прочности
|
Положительная
|
Краткие сведения о сообщениях
|
16:33:50: Значение консистентной смазки для ограничения скорости
не найдено, нельзя рассчитать коэффициент ускоренного вращения. 16:33:50
Расчет: Соответствие при подборе в процессе расчета!
|
5. Обоснование и
крепление зубчатых колес на валах
Устанавливая колеса на валах,
необходимо выбрать способ передачи вращающего момента от колеса к валу и
обеспечить точную установку колеса на валу.
При расчетах обычно используют
только формулу напряжения смятия:
При прессовых посадках 
Для крепления колес на
валах используем призматические шпонки (ГОСТ 23360-78)
Для промежуточного вала:
по табл. 18.19
Диаметр вала: 58…65
(мм);
Сечение шпонки: высота h=11 (мм), ширина b=18
(мм)
Для тихоходного вала:
Диаметр вала: 65…75 (мм);
Сечение шпонки: высота h=12 (мм), ширина b=20
(мм)
Для выходного конца
тихоходного вала:
Диаметр вала: 50…58
(мм);
Сечение шпонки: высота h=10 (мм), ширина b=16
(мм)
Для выходного конца
быстроходного вала:
Диаметр вала: 22…30
(мм);
Сечение шпонки: высота h=7 (мм), ширина b=8
(мм)
6. Смазка и сборка
редуктора
Смазка редуктора.
Для уменьшения потерь мощности на
трение и снижения интенсивности износа трущихся поверхностей, а также для
предохранения их от заедания, задиров, коррозии и лучшего отвода теплоты
трущиеся поверхности деталей должны иметь надежную смазку.
Предельно допустимые уровни
погружения колес цилиндрического редуктора в масляную ванну:

; Принимаем 
Где 
Смазка
подшипников.
Подшипники смазывают тем же маслом,
что и детали передач. Другое масло применяют лишь в оветсвенных изделиях, в
которых требуется защитить подшипники от продуктов износа деталей передач.
При картерной смазке
колес подшипники качения смазываются брызгами масла. При окружной скорости
вращения колес 
брызгами масла
покрываются все детали передач и внутренние поверхности стенок корпуса.
Стекающее с колес, валов и стенок корпуса масло попадает в подшипники.
Сборка
редуктора.
1) Перед сборкой внутреннюю
полость редуктора (1) тщательно очищают, покрывают маслостойкой краской. Сборку
производят в соответствии со сборочным чертежом, начиная с узлов валов.
2) На быстроходный
вал - шестерню (4) устанавливают шариковые радиально - упорные подшипники с угловым
контактом (22) предварительно нагретые в масляной ванне до температуры 
.
3) На промежуточные
валы (5) закладывают призматические шпонки(18) и напрессовывают зубчатые колеса
(7). Аналогично на промежуточные валы устанавливают подшипники (23).
4) С тихоходным
валом (3) поступают также.
5) В подготовленный
к сборке корпус редуктора, в гнезда подшипников устанавливаются собранные узлы
валов. Плоскости разъема крышки и корпуса покрываются герметиком и при помощи
цилиндрических штифтов (25) устанавливается крышка корпуса. Корпус и крышка
крепятся на фланце болтами(14).
6) Проверяют
установленные валы их проворачиванием на отсутствие заклинивания подшипников
(валы должны проворачиваться от руки) и закрепляют крышки подшипников (8,9,10)
винтами.
7) В резьбовое окно
корпуса устанавливается сливная пробка (13), а также маслоуказатель жезловый
(12).
8) В смотровой люк
заливают масло, закрывают его крышкой-отдушиной и закрепляют болтами.
9) Собранный
редуктор обкатывают и испытывают на стенде согласно требованиям технической
документации.
Список литературы
редуктор привод
конвейер зубчатый
1) Дунаев П.Ф., Леликов О.П. «Конструирование узлов и деталей
машин»: Учебное пособие для машиностроительных специальных вузов - 4-е издание
переработанное и дополненное, Москва: «Высшая школа», 1984.
2) Иванов М.Н. «Детали маши»: издание 3-е дополненное и
переработанное, Москва: «Высшая школа», 1976.
) Анурьев В.И. «Справочник конструктора машиностроителя»,
Том 2 издание 6-е переработанное и дополненное, Москва: «Машиностроение», 1982.
) Детали машин. Атлас конструкций. Издание 3-е дополненное
и переработанное под редакцией Д.Н. Решетова, Москва: «Машиностроение», 1970.