Дискретизация и восстановление исходного непрерывного сигнала

  • Вид работы:
    Практическое задание
  • Предмет:
    Информатика, ВТ, телекоммуникации
  • Язык:
    Русский
    ,
    Формат файла:
    MS Word
    370,29 Кб
  • Опубликовано:
    2014-02-22
Вы можете узнать стоимость помощи в написании студенческой работы.
Помощь в написании работы, которую точно примут!

Дискретизация и восстановление исходного непрерывного сигнала

Содержание

Введение

. Спектральный анализ дискретизируемого сигнала

. Расчет характеристик сигнала на выходе дискретизатора

. Анализ частотных и временных характеристик восстанавливающего фильтра

. Расчет сигнала, восстановленного по дискретным отсчетам заданным ФНЧ

. Исследование влияния на погрешность восстановления сигнала частоты его дискретизации и частоты среза ФНЧ и выбор конкретных значений

. Сравнительный анализ качества восстановления сигнала заданным реальным ФНЧ и идеальным ФНЧ

. Проверка основных расчетных результатов с помощью имитационного (схемотехнического) моделирования

 

Введение


Суть лабораторной работы заключается в дискретизации и восстановлении исходного непрерывного сигнала, опираясь на теорему Котельникова, также оценка погрешности восстановленного сигнала. Работа предусматривает использование программы Mathcad 7 (Ikura) или версий более поздних и симулятора Electronics Workbench 5.12 Pro. Ikura предполагает расчет теоретической части работы, а симулятор проверку всех вычислений проведенных в Ikure, т.е. в нем необходимо будет смоделировать исходный сигнал, далее продискретизировать его и восстановить с помощью фильтра нижних частот.

Ikura представляет программу с помощью, которой можно проверить правильность выполнения этапов, путем введения полученных расчетных формул в нее.

 

1. Спектральный анализ дискретизируемого сигнала


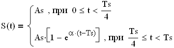
Исходный непрерывный сигнал, подлежащий дискретизации является по своей природе непериодическим сигналом с конечной энергией. Он описывается следующей формулой (1):

, (1)

где , Ts = 1 мс - длительность сигнала, а As = 1 В - амплитуда. Построим сигнал с помощью программы IKURA. График исходного сигнала представлен на рисунке 1.

Рисунок 1 - График исходного сигнала

Рассчитаем спектральные плотности амплитуд и фаз. Для этого воспользуемся прямым преобразованием Фурье [1, с. 18]

. (2)

В соответствии с (2) найдем комплексную спектральную плотность нашего сигнала. Тогда получим следующее выражение:

. (3)

В свою очередь второй интеграл представляет собой сложный, поэтому его можно разбить в свою очередь на сумму двух интегралов

 (4)

Проведя ряд несложных вычислений, получим следующую формулу, описывающую спектральную плотность

. (5)

Рассчитаем действительную и мнимую части спектральной плотности. Получим следующие формулы:

,

. (6)

дискретизируемый сигнал фильтр схемотехнический

Полный расчет спектральной плотности.

Получить формулы спектра амплитуд и спектра фаз можно следующим образом:

. (7)

На рисунке 2 и 3 представлены спектральные плотности амплитуд и фаз соответственно.

Рисунок 2 - Спектральная плотность амплитуд

Рисунок 3 - Спектральная плотность фаз

Из графика спектральной плотности амплитуд видно что, основная часть всех гармоник лежит в интервале от 0 до 2 - 2,5 кГц, это нам понадобиться в дальнейшем при расчетах. Итак, проверим наше предположение с помощью соотношения:

, (8)

где q - это доля от полной энергии сигнала Es, определяющейся по следующей формуле:

, (9)

Рисунок 4 - Соотношение доли энергии q от верхней граничной частоты практической ширины спектра Fм

Ограничим наш спектр верхней граничной частотой Fм равной 2 кГц, это соответствует 97% всей энергии. Тогда очевидно из соотношения частот , где F частота дискретизации, что кГц.

 

. Расчет характеристик сигнала на выходе дискретизатора


Дискретизированный сигнал представляет собой последовательность отсчетных импульсов в промежутки времени кратных k, где k - это целые числа, начиная с 0. Рассчитаем количество отсчетов импульсов по следующей формуле:

,

. (10)

где T - это период дискретизации, равный . Получим следующий график сигнала:

Рисунок 5 - Дискретизированный сигнал

Комплексная спектральная плотность дискретизируемого сигнала вычисляется по следующей формуле:

. (11)

На рисунке 6 и 7 представлена спектральная плотность амплитуд и фаз дискретизируемого сигнала.

Рисунок 6 - Спектральная плотность амплитуд дискретизируемого сигнала

Рисунок 7 - Спектральная плотность фаз

Из рисунков 6 и 7 видно, что дискретизированный (залит цветом) сигнал немного отличается по форме от исходного (изображен непрерывной линией), это связано с тем, что мы насильно ограничили верхнюю граничную частоту практической ширины спектра, а это в свою очередь повлияло на дискретизированный сигнал, ибо его спектр стал перекрываться по частоте со спектрами его копий. А также по спектральной плотности амплитуд можно оценить частоту среза фильтра, которым наш сигнал будет восстановлен, для ИФНЧ граничная частота однозначно была бы равна 2 кГц, но так как у нас фильтр не идеальный и до АЧХ идеального фильтра ему далеко. Но это всего лишь предварительный выбор частоты, и на окончательный выбор не повлияет, поэтому возьмем её равной 2 кГц.

 

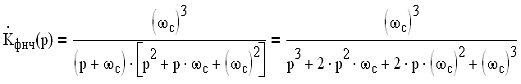
. Анализ частотных и временных характеристик восстанавливающего фильтра


Фильтр, которым необходимо восстановить имеет следующие полюса:

, , .

Коэффициент усиления K0 = 1, .

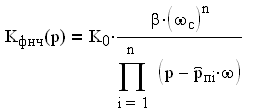
Комплексный коэффициент передачи ФНЧ рассчитывается следующим образом:

. (12)

Подставив все начальные данные получим:

 (13)

Проведя ряд несложных вычислений, а точнее взяв модуль от комплексного коэффициента передачи, получаем АЧХ:

, (14)

а, взяв от него аргумент, получаем ФЧХ:

. (15)

Подставив в (14) выбранную ранее частоту среза и преобразовав ω в f и ωс в Fc, получим следующую АЧХ (рисунок 8) и ФЧХ (рисунок 9)

Рисунок 8 - АЧХ ФНЧ

Рисунок 9 - ФЧХ ФНЧ

Проведем расчет времени задержки сигнала, т.е. отклика фильтра. Его следует проводить по формуле следующего характера:

, (16)

где всем известная производная , получим следующее время задержки:


График времени задержки от частоты представлен на рисунке 10.

Рисунок 10 - зависимость времени задержки tз от частоты f

Из рисунка видно, что с увеличением частоты время задержки уменьшается. Значение времени задержки равно  мс.

Теперь рассчитаем импульсную характеристику фильтра. Она определяется следующим образом:

, (18)

Вычислений проводить не будем, так как полный расчет приведен в приложении B, мы же запишем сразу готовый результат:

 (19)

Подставив вместо , можно получить следующий график:

Рисунок 11 - импульсная характеристика ФНЧ

Импульсная характеристика представлена именно в таком виде, а точнее только на положительной оси времени по той причине, что мы говорим о реальном фильтре, который не может дать отклик раньше подачи на его вход сигнала.

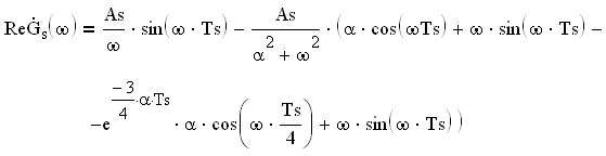
4. Расчет сигнала, восстановленного по дискретным отсчетам заданным ФНЧ


Непрерывный сигнал на выходе фильтра определяется следующим образом:

, (20)

где V(t) - это и есть восстановленный сигнал. Получим:

Рисунок 12 - Восстановленный сигнал на фоне исходного

Где S(t) - это исходный сигнал, а V(t) - восстановленный.

Сдвинем восстановленный сигнал относительно оси времени на tз рассчитанную ранее, результат этих трудов представлен на рисунке 13.

Рисунок 13 - Восстановленный сигнал на фоне исходного сдвинутый влево на время задержки

Посмотрим, как ведет себя спектральная плотность восстановленного сигнала, график спектральной плотности амплитуд приведен на рисунке 14.

Рисунок 14 - Спектр амплитуд восстановленного сигнала на фоне спектра амплитуд исходного сигнала

Спектр фаз восстановленного сигнала представлен на рисунке 15.

Рисунок 15 - Спектр фаз восстановленного сигнала на фоне спектра фаз исходного сигнала

Как видно плотности амплитуд отличаются немного друг от друга, но суть не в том что они отличаются, она заключается в оценке погрешности, которую легко оценить по следующей формуле:

. (21)

Погрешность составляет %, а по условию не должна превышать 2%, поэтому следующей задачей стоит исследования и нахождение оптимальных значений частоты среза Fс и частоты дискретизации F при которых погрешность восстановления сигнала будет укладываться в разрешенный интервал.

 

. Исследование влияния на погрешность восстановления сигнала частоты его дискретизации и частоты среза ФНЧ и выбор конкретных значений


Методика будет заключаться в следующем: сначала будем постепенно увеличивать частоту дискретизации F небольшими шагами и относительно каждой точки останова будем изменять частоту среза Fс, на мой взгляд, это самый оптимальный вариант при котором легко можно найти самые минимальные частоты, которые будут удовлетворять условию (погрешность не более 2%). Результаты занесём в таблицу 1.

Таблица 1 - Значения погрешности при различных частотах среза Fс и дискретизации F

F, кГц

4

8

Fс, кГц

0.5

1

1.5

2

2.5

1

2

3

3.5

4

δ%

13.42

8.29

10.45

15.09

24.20

5.19

3.64

5.28

6.66

8.83

F, кГц

12

16

Fс, кГц

1.5

2

3

4

6

3

4

5

6.5

δ%

3.35

2.77

2.42

4.42

6.88

1.93

1.84

2.2

3.4

5.98

Попробуем еще раз провести подбор этим же способом, но относительно уже интервала дискретизации от 6 до 8 кГц. Результат занесем в таблицу 2.

Таблица 2 - Значения погрешности при различных частотах среза Fс и дискретизации F (точный подбор)

F, кГц

13

14

Fс, кГц

1,5

2

2.5

3

4

2

2,5

3

3.5

4

δ%

3,68

2,77

2,48

2,42

3,13

2,56

2,28

2,09

2,08

2,27

F, кГц

15


Fс, кГц

3

3,5

4




δ%

2

1,93

2,01





Построим график зависимости погрешности от частоты среза и частоты дискретизации - рисунок 16.

Рисунок 16 - Зависимость погрешности от частоты

Где 1 - зависимость погрешности при F = 13 кГц, 2 - при F = 14 кГц, 3 - при F = 15 кГц, а % - максимально допустимая погрешность.

Очевидно, что частота дискретизации должна быть кГц, а частота среза кГц, тогда погрешность будет составлять %.

На рисунке 17 изображен график восстановленного сигнала на фоне исходного. Заметно что, восстановлен с наименьшей по отношению к прежнему разу погрешностью. Графики спектра амплитуд и фаз приведены на рисунках 18 и 19.

Рисунок 17 - Восстановленный сигнал при частоте дискретизации F=15 кГц и частоте среза фильтра Fс = 3,5 кГц

Рисунок 18 - Спектр амплитуд восстановленного сигнала

Рисунок 19 - Спектр фаз восстановленного сигнала

6. Сравнительный анализ качества восстановления сигнала заданным реальным ФНЧ и идеальным ФНЧ


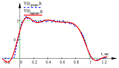
Оценим на сколько восстановленный сигнал реальным фильтром отличается от восстановленного идеальным при одних и тех же условиях, т.е. кГц и кГц. На рисунке 20 это показано наглядно.

Рисунок 20 - Восстановленный сигнал реальным фильтром  и идеальным фильтром

Оценим погрешность восстановления идеальным фильтром, она равна %. Конечно иной раз жаль, что человечество еще не создало ИФНЧ, но не в данном случаи, поскольку использование реального намного выгоднее, с точки зрения погрешности. Почти на целый процент погрешности отличаются, казалось бы, мелочь, а для сигнала это бывает порой существенной разницей.

 

. Проверка основных расчетных результатов с помощью имитационного (схемотехнического) моделирования

 

Проверку будем проводить с помощью симулятора Electronics Workbench 5.12 Pro.

Структурная схема всей установки будет выглядеть следующим образом.

Рисунок 21 - Структурная схема моделирующей установки

где ГИС - это генератор исходного сигнала, ФНЧ - фильтр нижних частот, точка 1 - точка съема восстановленного сигнала. Схема каждого блока приведена в приложении C.

Рассмотрим получившиеся графики исходного сигнала, дискретизированного и восстановленного сигнала. В целях сравнительного анализа приведем три графика на 2 - х рисунках. Первый из которых это дискретизированный сигнал на фоне исходного, а второй восстановленный на фоне исходного. Рисунки соответственно 22 и 23.

Рисунок 22 - График исходного и дискретизированного сигнала

Рисунок 23 - График исходного и восстановленного сигнала

Для достоверности моделирования выборочно сравним численные результаты всех моделированных сигналов с рассчитанными ранее. Результаты приведены в таблице 3.

Таблица 3 - Результаты численных значений всех сигналов

t, мс

S(t)р, В

S(t)м, В

V(t)р, В

, мВ V(t)м, мВ


0

1

1

0

0

0

0.1

1

1

0,82

25

24

0.2

1

1

1,07

32

32

0.3

1

0.999

1,01

30

30

0.4

1

0.997

0,98

29

29

0.5

0.99

0.993

1,01

30

30

0.6

0.98

0.981

0,98

29

39

0.7

0.95

0.950

0,99

30

39

0.8

0.86

0.864

0,93

28

38

0.9

0.63

0.63

0,85

26

35

0

0

0,59

18

18

1.1

0

0

0,07

1,9

2

1.2

0

0

-0,04

-1,3

-1,3

1.3

0

0

0,0064

0,19

0,19


Где m - это отношение между средними величинами восстановленного моделирующим способом и рассчитанным.

Как видно отличие минимальное лишь в некоторых значениях, что говорит о том что расчет проведен правильно в соответствии с методикой, а результаты полученные в ходе расчетов верные.

Похожие работы на - Дискретизация и восстановление исходного непрерывного сигнала

 

Не нашли материал для своей работы?
Поможем написать уникальную работу
Без плагиата!
Без нейросетей!