|
Номер
варианта
|
7
|
|
A, мВ
|
2,4
|
|
N
|
6
|
|
Ф,
мкс
|
80
|
|
 , мкс10
|
|
|
f0,
МГц
|
4
|
|
у,
мВ
|
3
|
|
Fm,
МГц
|
10
|
|
a
|
1,5
|
|
b, 1/В
|
3
|
сигнал шум помеха тракт
Содержание задания:
Составить и изобразить структурную и
функциональную схемы исследуемого тракта.
. Определить оптимальные значения полос
пропускания квазиоптимальных фильтров (аналитически и численно).
. Рассчитать среднеквадратическое
значение помехи на выходах звеньев тракта.
. Определить форму сигнала на выходах
всех звеньев тракта и определить амплитудные (пиковые) значения сигнала на этих
выходах.
. Найти отношения сигнал/помеха на
выходах всех звеньев тракта и сравнить его с оптимальным значением (для
согласованного фильтра при когерентном накоплении радиоимпульсов).
. Изобразить временные и спектральные
диаграммы совокупности сигнала и помехи на входе тракта и на выходах всех
функциональных узлов тракта (можно использовать моделирование).
. Сделать выводы по полученным
результатам.
. Привести список использованной
литературы.
Введение
Объектом исследования является радиотехнический
тракт, включающий квазиоптимальный полосовой фильтр, детектор и согласованный
фильтр для последовательности видеоимпульсов при воздействии суммы сигнала и
помехи.
Сигнал задан в виде последовательности 6
радиоимпульсов длительностью 10 мкс с прямоугольной огибающей с амплитудой 2,4
мВ и гармоническим заполнением с частотой 4 МГц, расположенных с нарастающими
интервалами.
Аддитивная помеха задана в виде гауссова
квазибелого шума со среднеквадратическим значением 3 мВ и полосой
10МГц.
Входной квазиоптимальный фильтр представляет
собой полосовой фильтр (либо второго порядка (колебательный контур), либо с
прямоугольной АЧХ), полоса пропускания которого выбирается из условия максимума
отношения сигнал/помеха.
Детектор представляет собой нелинейный элемент с
заданной проходной характеристикой с последующим фильтром нижних частот (RC-цепь
первого порядка).
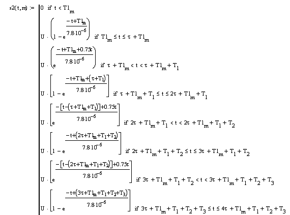
В состав согласованного фильтра входит
согласованный фильтр для одиночного видеоимпульса и накопитель
последовательности импульсов, получившихся после детектирования радиоимпульсов
на выходе квазиоптимального входного фильтра. Для квазипериодической
последовательности в качестве такого согласованного фильтра можно использовать
рециркулятор (рекурсивный фильтр первого порядка). Для последовательностей с
разными интервалами - нерекурсивный фильтр (трансверсальный) в виде линии
задержки с отводами. При этом вместо согласованного фильтра для одиночного
видеоимпульса можно использовать квазиоптимальный фильтр нижних частот с
оптимальной по критерию отношения сигнал/помеха полосой.
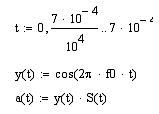
1. Входной сигнал, шум и аддитивная смесь
Ходной сигнал без помехи:
Модуль спектральной плотности сигнала на входе:

Аддитивная смесь:
Модуль спектральной плотности сигнала с помехой
на входе:
В качестве квазиоптимального фильтра выбран
фильтр 2-го порядка.

=1.28 - оптимальное значение


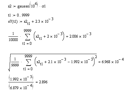
Расчет среднеквадратического значения помехи на
выходах звеньев тракта.
Полосовой фильтр:
Нелинейный элемент:
По результатам 1000 реализаций сигнала на выходе
нелинейного элемента было получено следующее значение СКЗ:
ФНЧ:
Фильтр нижних частот можно заменить амплитудным
детектором. Используя сведения из теории из [1, стр. 169] и принимая во
внимание то что:
тогда среднеквадратическое значение помехи на
выходе фнч будет рассчитываться из формулы:
Накопитель импульсов:
По результатам 1000 реализаций сигнала на выходе
накопителя импульсов было получено следующее значение СКЗ:
. Определение формы сигнала на выходах всех
звеньев тракта и определение амплитудных (пиковые) значений сигнала на этих
выходах
Прохождение сигнала через полосовой фильтр:
А сигнал имеет вид:
Максимальное значение сигнала при прохождении
через полосовой фильтр рассчитывается из формул:
Максимальное значение будет
наблюдаться при 
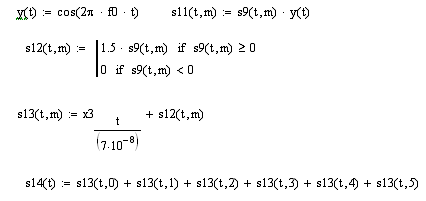
Прохождение сигнала через нелинейный элемент:
Характеристика нелинейного элемента
Форма сигнала
По результатам 1000 реализаций сигнала на выходе
нелинейного элемента было получено следующее значение максимума сигнала:
Прохождение сигнала через ФНЧ:
Согласно теории сигнал на выходе амплитудного
детектора точно повторяет вид огибающей входного высокочастотного сигнала. Из
этого следует, что максимум сигнала на выходе ФНЧ:
Прохождение сигнала через накопитель импульсов:
После сложения всех сдвинутых импульсов получим
следующую временную диаграмму:
По результатам 1000 реализаций сигнала на выходе
накопителя импульсов было получено следующее значение максимума сигнала:
. Отношения сигнал/помеха на выходах звеньев
тракта
Отношение сигнал/помеха на выходе полосового
фильтра:
Отношение сигнал/помеха на выходе нелинейного
элемента:
Отношение сигнал/помеха на выходе ФНЧ:
Отношение сигнал/помеха на выходе накопителя
импульсов:
. Временные диаграммы совокупности сигнала и помехи
на выходах всех функциональных узлов тракта
Сигнал на выходе полосового фильтра:

Сигнал на выходе нелинейного элемента:
Модуль спектральной плотности:
Сигнал на выходе ФНЧ:
Модуль спектральной плотности:
Сигнал на выходе накопителя импульсов:
Модуль спектральной плотности:
5. Прохождение сигнала через оптимальный фильтр
Отношение сигнал / помеха для оптимального
фильтра можно определить из соотношения:
Выводы
После выполнения всех пунктов задания я
определил как изменяется отношение сигнал / шум на выходах всех звеньев тракта,
и выяснив что после прохождения через каждый элемент это отношение
увеличивается.
Так же я определил оптимальное отношение
сигнал/шум при прохождении исходного сигнала через оптимальный фильтр, и
выяснил что оно примерно совпадает с отношением сигнал/шум на выходе
исследуемого тракта.
При выполнении пунктов задания я наблюдал за
видом сигнала и спектра на выходе каждого элемента тракта.
Список литературы
1. Федосов В.П.;
Радиотехнические цепи и сигналы.; ТРТУ; 2004г; [207стр.].
. Гоноровский И.С.;
Радиотехнические цепи и сигналы; М: «Советское радио»; 1977г; [608стр. ].
. Тихонов В.И.;
Статистическая радиотехника; М: «Советское радио»; 1966г; [678стр.].
Приложение 1
Программа в Mathcad
с помощью которой выполнялись вычисления.