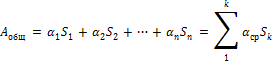
Акустический расчет помещения
Федеральное
агентство связи
ФГОБУ ВПО
«Сибирский государственный университет телекоммуникаций
и информатики»
Уральский
технический институт связи и информатики (филиал)
Контрольная
работа
на тему
«Акустический расчет помещения»
Выполнил Смольников А. В.
Проверил Логинов В.В.
Екатеринбург,
2013
Оглавление
Исходные
данные
Акустический
расчет помещения
Расчет
оптимального времени реверберации
Расчет
требуемых параметров помещения
Средний и
реверберационный коэффициенты звукопоглощения
Расчет
системы озвучения
Заключение
Исходные данные
|
Вариант:
|
9
|
|
Тип помещения
|
Актовый зал
|
|
Длина*ширина* высота(м)
|
40*20*6
|
|
Количество слушателей/стульев
|
500/500
|
|
Дополнительные условия
|
Подиум 20*1
|
|
Подъем 30*4
|
|
Двери
|
1(3,5*1,5)
|
|
Материал
|
Стены и потолок - известковая штукатурка по
обрешетке, Пол - паркет на шпонках; Стулья и двери - монолитная лакированная древесина
|
Акустический расчет помещения
Определим размеры помещения - объем и общую площадь ограничивающих
поверхностей.
Расчет общего объема помещения производится по формуле:
где
- ширина, длина и высота помещения в м3
Расчет общей площади ограничивающих поверхностей:
Все параметры сведены в таблицу:
Таблица
|
|
100 м 3
|
|
|
1200 м 3
|
|
V
|
4800 м 3
|
|
|
м 2
|
|
|
800 м 2
|
|
|
м 2
|
|
|
м 2
|
|
|
м 2
|
Расчет оптимального времени реверберации
реверберация
звукопоглощение громкоговоритель поверхность
Ощущаемое на слух время реверберации называют эквивалентной
реверберацией. Эквивалентная реверберация уменьшается при приближении к
источнику звука, так как уменьшается акустическое отношение, и это хорошо
ощущается слушателями. А в удаленных точках зала, где акустическое отношение
наиболее велико, всегда ощущается большая гулкость, чем в других точках
помещения. Если в помещении, в котором исполняется музыкальная программа или
произносится речь, время реверберации очень велико, то художественность
исполнения музыки сильно страдает из-за большой гулкости, а речь становится
неразборчивой из-за «наплывов» одного звука на другой. С другой стороны, если
время реверберации очень мало, то музыка и речь звучат резко, отрывисто. Только
при вполне определенном времени стандартной реверберации звучание получается
наилучшим. Соответствующее время реверберации называют оптимальной
реверберацией. Для разных видов программ оптимальное время реверберации
различно. Экспериментально установлено, что оптимальная реверберация зависит от
объема помещения.
Графические зависимости, полученные экспериментально, с достаточной
точностью могут быть заменены следующими приближенными выражениями:
Топт регламентируется для частотного диапазона 125 Гц…4 кГц.
сек
сек
График частотной зависимости времени оптимальной реверберации для речевых
передач приведён на рисунке 1:
Расчет требуемых параметров помещения
где а - коэффициент поглощения (таблица 3),- Общая площадь поверхности,-
Число предметов
Значения звукопоглащений сведены в таблицу:
|
Материал
|
S, м2
|
Коэффициенты звукопоглощения на частотах
|
|
|
|
125 Гц
|
250 Гц
|
500 Гц
|
1000 Гц
|
2000 Гц
|
4000 Гц
|
|
Пол
|
паркет по асфальту
|
528
|
26,4
|
21,12
|
15,84
|
15,84
|
36,96
|
36,96
|
|
Потолок
|
известковая штукатурка
|
500
|
20
|
25
|
30
|
40
|
20
|
30
|
|
Стены
|
известковая штукатурка
|
450
|
18
|
22,5
|
27
|
36
|
18
|
27
|
|
Двери
|
сосновая древесина
|
11,25
|
1,125
|
1,2375
|
1,125
|
0,9
|
0,9
|
1,2375
|
|
Кресла
|
Монолитная лакированная древесина
|
100
|
0,08
|
0,1
|
0,12
|
0,1
|
0,1
|
0,08
|
Проверка своих данных в программе Cool Edit до (слева) и после обработки:
По данным рисункам мы видим что с полученными коэффициентами основного,
дополнительного и требуемого звукопоглощения мы видим что звук стал мягче и
отчётливей. Следовательно, коэффициенты посчитаны правильно.
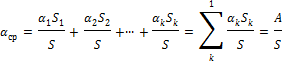
Средний и реверберационный коэффициенты звукопоглощения
Среднее значение коэффициента звукопоглощения для заполненного помещения
соответствует условному материалу, которым можно было бы обработать поверхности
помещения, обеспечив поглощение звуковой энергии, свойственное данному
конкретному помещению, поверхности которого обработаны разнородными
материалами. То есть среднее значение коэффициента поглощения представляет
собой величину, учитывающую различие поглощающих свойств материалов, которыми
обработаны поверхности помещения.
Если помещение состоит из k участков площадью Sk с различными
коэффициентами поглощения ak, то средний коэффициент звукопоглощения будет
равен
Где S - суммарная площадь всех поверхностей помещения;
А - общий фонд звукопоглощения.
Реверберационный коэффициент поглощения:
|
Коэффициент в зависимости от частоты
|
|
125
|
250
|
500
|
1000
|
4000
|
|
|
0,24
|
0,21
|
0,22
|
0,21
|
0,20
|
0,21
|
|
|
0,27
|
0,24
|
0,25
|
0,24
|
0,22
|
0,24
|
В
помещениях большого объема на частотах более 1000 Гц приходится считаться с
дополнительным поглощением, которое учитывает поглощение звука в воздухе (оно
обусловлено вязкостью среды), равное 
. Таким
образом, время стандартной реверберации будет определяться формулой:
|
125 Гц
|
250 Гц
|
500 Гц
|
1000 Гц
|
2000 Гц
|
4000 Гц
|
|
µ
|
-
|
-
|
-
|
0,0005
|
0,0017
|
0,0017
|
|
Tp
|
1,9
|
2,2
|
2,1
|
2,2
|
2,2
|
2,0
|
Расчет системы озвучения
Требуемое звуковое давление вычисляется по формуле:
Выбор значения
, требуемого уровня звука для удаленной точки, проводится
исходя 80-85 дБ для речевых трансляций.
Расстояние от громкоговорителей до удаленной точки:
здесь: l - длина помещения
- высота центра громкоговорителя над
уровнем пола
- уровень голов слушателей над полом Номинальное звуковое
давление для громкоговорителя:
где
- количество громкоговорителей
В данной формуле значение
будем приближенно считать как звуковое давление создаваемое
громкоговорителем на расстоянии 1м от него.
Угол наклона громкоговорителя к горизонту:
Квадраты звуковых давлений для сосредоточенной системы озвучения находят
по следующей формуле:
где:
h -
высота подвеса громкоговорителя над головами слушателей
Таблица расчета системы озвучения:
|
|
0.63
|
0.63
|
0.63
|
|
|
1,1
|
1,7
|
1,9
|
|
|
2,9
|
1,3
|
0,1
|
|
|
28,1
|
28,03
|
28
|
12,5
|
12,52
|
1,99
|
|
|
5,91
|
2,6
|
0,2
|
|
, Па2
|
2,27
|
0,6
|
3,29
|
|
x
|
8
|
16
|
28
|
|
y
|
7
|
7
|
7
|
|
|
-2,0
|
-0,56
|
-0,002
|
|
|
7
|
7
|
7
|
|
|
8,25
|
16,04
|
28
|
|
L
|
71,5
|
61,39
|
51,68
|
Уровень звукового давления во всех точках вычисляют по формуле:
= 20 × lg p + 94
Заключение
В ходе выполнения данной работы мы произвели акустический расчет
помещения, для этого мы так же определили следующие расчеты: определили размеры
помещения, выбрали оптимальное время реверберации, рассчитали требуемые
параметры помещения, определили основные параметры по имеющимся характеристикам
помещения, произвели расчет дополнительного и полученного фондов
звукопоглощения. Так же мы выбрали и рассчитали систему озвучения, описали
расположение громкоговорителей.
По итогам всех этих вычислений можно сделать вывод о том, что в
исследуемом помещении (кинотеатре) акустика удовлетворительная - речь не будет
искажаться, её чёткость и слышимость хороши. Об этом говорит показатель уровня
звукового давления и реверберации.
Так, для получения наилучшего звучания акустической системы (будь то
домашний медиацентр или студия) наибольшую роль играет именно акустические
свойства помещения для прослушивания. Прежде всего необходимо озадачиться
обустраиванием комнаты идеальным для прослушивания образом, а затем заниматься
вопросом оборудования.