Чистопородное разведение

  • Вид работы:
    Курсовая работа (т)
  • Предмет:
    Сельское хозяйство
  • Язык:
    Русский
    ,
    Формат файла:
    MS Word
    347,46 Кб
  • Опубликовано:
    2013-11-30
Вы можете узнать стоимость помощи в написании студенческой работы.
Помощь в написании работы, которую точно примут!

Чистопородное разведение

Введение

Чистопородное разведение - это система спаривания животных, принадлежащих к одной породе. Потомство, полученное от такого спаривания, называют чистопородным. Каждая порода - большая народнохозяйственная ценность. Сохранение и совершенствование породных качеств - главная задача чистопородного разведения. Биологические особенности этого метода разведения заключаются в сохранении и усилении наследственности животных желательного типа, которых используют для племенных целей в зоне распространения породы, а также для скрещивания с другими породами.

С помощью чистопородного разведения созданы животные, давшие наивысшую продуктивность. Так, от коровы Россиянки черно-пестрой породы из племзавода «Россия» Челябинской области за 340 дней IV лактации получено 19162 кг молока жирностью 4,18%. Высший суточный удой 82,5 кг. Выведены такие выдающиеся жеребцы орловской рысистой породы, как Улов, Пион, Турнир, резвость которых на дистанции 1600 м была равна 2 мин 001 с. Баран ставропольской породы №72, настриг тонкой шерсти, с которого составил 30,1 кг, и свиноматка крупной белой породы, принесшая 32 поросенка за один опорос, также получены при чистопородном разведении.

Методом чистопородного разведения можно получать не только отдельных животных мирового класса, но и создавать целые стада, представляющие собой огромную племенную ценность. Примеров высокой эффективности чистопородного разведения много. В нашей стране во многих племзаводах годовой удой на корову составляет 7000 - 7500 кг и более. К таким племзаводам по разведению черно-пестрого скота относятся «Гражданский» Ленинградской области, где удой коров по стаду достиг 9560 кг, «Нива I» Ленинградской области (9153 кг), «Ленинский путь» Ленинградской области (9361 кг), «Омский бекон» Омской области (8569 кг). В племзаводе «Караваево» Костромской области удои коров костромской породы составляют от 7000 до 16000 кг молока.

В Италии, на ферме ЛуиджиАльбертино, разводящего голштинский скот, средний удой по стаду в 250 голов составляет более 10 000 кг молока на корову. В США в подконтрольных стадах чистопородного голштмнекого скота (2,2 млн. голов) удой коров превышает 8000 кг молока при жирности 3,36%, белковомолочности 3,23%. В Израиле на общественных фермах удои коров голштинской породы достигают 11 500 кг молока.

Выдающиеся селекционеры России придавали огромное значение чистопородному разведению и оберегали выведенные ими ценнейшие породы от случайного скрещивания.

Во многих стратах чистопородному разведению уделяют большое внимание. В США такие породы, как голштинская, джерсейская, гернзейская, воспроизводят только методом чистопородного разведения.

Цель генетического совершенствования молочного скота здесь - максимально повысить удой коров за 305 дней лактации при межотельных интервалах 12 - 13 мес. Критериями генетического совершенствования молочных животных американские селекционеры считают уровень продуктивности, долголетие, легкость доения, резистентность к маститам. Средний удой на корову в хозяйствах [1].

Объект исследования - сельскохозяйственные животные.

Цель курсовой работы изучить основной метод разведения сельскохозяйственных животных - чистопородное разведение.

Исходя из цели, были поставлены следующие задачи:

Изучить методы скрещивания, применяемые при совершенствовании существующих и создании новых пород;

Рассмотреть приемы скрещивания, применяемые в пользовательском животноводстве.

1. Обзор литературы

.1 Разведение с/х животных. Состояние животноводства в РК

Животноводство занимает важное место в структуре народного хозяйства РК и странах СНГ, является основной отраслью всего с\х производства, оно обеспечивает население высокоценными продуктами питания, а промышленность - сырьем, ценными органическими удобрениями. В РК не смотря на ежегодное снижение количества населения. В тоже время производство продуктов животноводства уменьшилось по сравнению с 1991 г. на 60%, что не позволяет в настоящее время решить проблему обеспечения продуктами питания за счет собственного производства.

Важнейшей проблемой 21 века является оптимизация структуры животноводства, его четкая специализация в соответствии с природно-климатическими условиями. В целом по Казахстану за последние годы поголовье КРС сократилось в 2 раза. В нашей области тоже. Надой молока по области сост. 2102 кг. Валовое производство снижается более высокими темпами, главной причиной является увеличение деспаритета цен между промышленной и с\х продукцией. Важнейшие факторы интенсификации в животноводстве это переход к оптимизации кормления, совершенствования селекционно-племенной работы и внедрение ресурсосберегающих технологии производства. Увеличение продуктов животноводства может идти с повышением жирности, белковости, улучшения вкусовых качеств. Важными задачами являются: увеличение плодовитости, укрепление конституции, повышение приспособленности животных к новым технологиям, продления сроков использования, повышение сохранного приплода, а в конечном итоге повышение рентабельности области за счет лучшего использования кормов и более высокой оплаты их продукции[2].

1.2 Методы разведения животных

Методы разведения - система подбора пар с\х животных с учетом их породной, видовой и линейной принадлежности. В зоотехнии различают 5 методов разведения[3]:

. Чистопородное разведение - спаривание животных, принадлежащих к одной корове, получается чистопородный приплод. В результате этого закрепляется наследственность.

Порода - большая группа животных, созданная трудом человека, имеет сходное качество по продуктивности, масти, типу конституции. Каждая порода имеет большую народно-хозяйственную ценность. Например: чистопородное разведение получила корова «Россиянка» за 340 дней надоила 15146 кг молока, а за 305 дней - 18086 кг жирностью 4%. Высший суточный удой 82,5 кг. «Россиянка» является правнучкой предыдущей рекордистки коровы «Волга», которая надоила 17517 кг (4,2%). Породность животных устанавливается по племенным записям. У чистопородных животных и мать и отец являются чистопородными животными одной и той же породы. При исходном осеменении от одного быка за его жизнь можно получить 10-20 тысяч голов приплода. Так в США от быка «К» заморожено семени 215 тысяч доз и получено приплода 140 тысяч голов. Дочери этого быка имели удой на 613 кг больше, чем матери дочерей. Для работы с породой составляют планы племенной работы. В каждом племенном хозяйстве составляют их индивидуально.

Для улучшения породы используют выдающихся производителей. В нашей области был бык «Кларас».

Разведение по линиям и семействам - этот вид разведения является высшей формой племенной работы и является частью чистопородного разведения. Например: корова линии АннасАдема 30587 осеменяется семенем быка этой же линии. Получается приплод той же линии.

Различают линии:

. Гениалогические (Адема 197) - большое число животных, имеющих общее происхождение в различных поколениях.

. Заводская линия - группа животных, происходящих от одного выдающегося производителя (родоначальника линии). Сходны по основным показателям продуктивности и эти качества передаются по наследству. Закладка линии происходит так: выявляют ценного быка, широко его используют и если потомки показывают высокую продуктивность, то регистрируют линию этого быка.

. Разведение по семействам.

Семейство - группа маток происходящих от одной выдающейся родоначальницы. В нашей области была корова «Букашка». Отел: 5 раз сыновьями, через них получено большое потомство с высокой продуктивностью.

. Родственное спаривание - спаривания животных, родственных между собой - инбридинг. Применяется редко и только в племенных хозяйствах при высоком уровне кормления с целью закрепления выдающихся качеств, однако следует учитывать, что при этом снижается интенсивность роста приплода, плодовитость и могут быть уродства. Степень инбридинга считают слева направо по рядам предков, считая родителей приплода за первый ряд, а общего предка за последний ряд.

. Скрещивание - это спаривание животных разных пород. Это делается в основном, чтобы улучшить животных одной породы за счет другой, но более продуктивной. В нашей области в 6 северных районах до 72 года разводили животных Ярославской породы, которые в среднем имели продуктивность ниже, чем черно-пестрой породы. Поглотили ярославскую породу черно-пестрой породой.

Скрещивание бывает: 1. поглотительное - когда одну породу преобразуют в другую породу, эти скрещивания продолжают до получения чистопородного животного в 4,5 поколении, на это уходит до 20 лет. При этом очень важно при отборе маток сохранить ценное свойство улучшаемой породы и привиты ценные свойства улучшающей.

. вводное - в нашей области это скрещивание применяется при улучшении красной горбатовской породы, когда к этой породе приливают кровь англерской породы.

. воспроизводственное (заводское) - оно применяется на базе двух или большего количества пород для создания новой породы. При этом чаще получают помесей 2-го или 3-го поколения, а затем эти помеси разводят в «себе»

. промышленное - применяется в товарных хозяйствах с целью получения эффекта гетерозиса. Чаще в мясном скотоводстве и свиноводстве.

. переменное - когда производители всегда новой породы. В этом случае всегда получают эффект гетерозиса. Этот вид скрещивания применяется особенно в свиноводстве и птицеводстве.

. Гибридизация - вид разведения животных, применяемый с давних пор (скрест кобылы с ослом дает мула). Получается более крепкое рабочее животное, очень выносливое. В КРС применяется скрещивание с производителем зебу для создания ценных пород, приспособленных к условиям жаркого климата. Так выведена порода Санта - Гертруда. Методом гибридизации получена африканская антилопа, жирность молока у самок которых - 10-14%, простокваша из этого молока не портиться несколько лет в нормальных условиях[4].

1.3 Чистопородное разведение

Разведение начало складываться в 16 -17 вв., когда стали сознательно изолировать ценные породы для разведения без смешения с менее ценными. Цель чистопородного разведения - ограничение изменчивости в пределах породы и придание животным однотипности по телосложению, характеру продуктивности и наследственным особенностям, создание и поддержание структуры породы, обеспечивающей не только сохранение у животных ценных хозяйственно-полезных качеств, присущих породе, но и дальнейшее её совершенствование в избранном направлении, придание ей наследственной устойчивости.

Чистопородное разведение применяют при разведении заводских пород, обладающих пластической наследственностью и большей, чем аборигенный скот, изменчивостью, а также при разведении некоторых примитивных пород, менее продуктивных, но отличающихся высокой приспособленностью к местным климатическим и хозяйственным условиям или устойчивостью против местных заболеваний.

Чистопородное разведение иногда ошибочно отождествляют с родственным разведением (инбридингом) или с разведением «в себе» (по принципу чистопородное разведение) помесей, полученных от скрещивания разных пород и отвечающих требованиям разводимой породы.

В ряде стран путем чистопородного разведения идет совершенствование генетических потенциалов наиболее ценных пород. В Германии, например, кроме чистопородного разведения немецкой черно-пестрой породы, с целью использования мировых генетических ресурсов лучших зарубежных пород применяют чистопородное разведение джерсейской, голштинской пород.

При чистопородном разведении большое внимание уделяют происхождению животных, которое устанавливают по племенным записям, по оценке экстерьера, типу животных и группам крови. Чистопородное разведение животных осуществляется с помощью различных методов отбора и подбора по линиям и семействам. Чистопородные животные отличаются по своим племенным и продуктивным качествам, этому для совершенствования породы необходим целеустремленный отбор лучших из них. Для отбора наиболее ценных особей проводят сопоставление их качеств со стандартом породы - минимальные требованию продуктивности, племенной ценности (для производителей по типу телосложения и происхождению. Для записи в ГПКЖ животные должны иметь продуктивность не ниже I класса. Стандарт периодически пересматривают и изменяют, что обеспечивает пресс породы.

К чистопородным относят:

      животных, полученных от чистопородных родителей одной и той же породы;

          животных, полученных от чистопородных родителей разных, но близкородственных между собой пород (например, красно - степная и англерская);

      животных TV-V поколения, полученных при поглотительном скрещивании;

          животных П-Ш поколения, полученных при вводном скрещивании;

          животных, полученных при воспроизводительном скрещивании или гибридизации после апробации новой породы госкомиссией[5].

При чистопородном разведении первостепенное внимание уделяется вопросам улучшения племенных и породных качеств животных, определяемых по происхождению на основе родословной, качеству потомства и результатам наследственной оценки животных по боковым родственникам (сибсы и полу-сибсы). Большое значение также имеют тип телосложения, крепость конституции, экстерьерные особенности, показатели роста и развития, собственной продуктивности свиноматки и хряка.

Чистопородное разведение путем гомогенного подбора осуществляется по принципу «подобное с подобным дает подобное» с использованием всесторонней оценки по фенотипу и генотипу. Отбор молодняка ведется от высокопродуктивных маток и производителей. Выращивают молодняк при полноценном, по всем питательным веществам кормлении с предоставлением прогулок на открытом воздухе в любое время года

Родительские пары для спаривания подбирают из числа отобранных на племя лучших животных, проверенных по результатам выращивания, собственной продуктивности и наследству. На улучшение признаков можно рассчитывать лишь при подборе однотипных животных, сходных по уровню и направлению продуктивности, показавших в предыдущих спариваниях высокие результаты. При отборе и подборе усиливается внимание признакам, требующим улучшения[6].

1.4 Родственное спаривание

Инбридинг - это система разведения животных, находящихся в родстве. По сложившимся в науке представлениям, этот метод разведения приводит к двум последствиям: возрастанию гомозиготности (генетического однообразия) и повышению степени генетического сходства потомков с предком, на которого осуществлен инбридинг. Применяется в животноводстве с древних времен, оказывает большое положительное воздействие при умелом использовании в небольших степенях в течение непродолжительного времени и отрицательное (во многих случаях пагубное) влияние на жизнеспособность и продуктивность животных при неумелом и особенно неконтролируемом использовании в течение длительного времени.

Применение родственного спаривания в сочетании с целенаправленным отбором по экстерьеру и производительности животных при правильном их кормлении и содержании («воспитании») принесло огромный успех известному английскому заводчику Р. Беквеллу в создании с его учениками шортгорнской и герефордской пород мясного скота, шайрской породы лошадей и лейстерской породы овец.

Всестороннее и глубокое изучение накопленных в зоотехнической литературе многочисленных данных по применению родственного разведения дало основание профессору Иллинойского университета Девенпорту (1912 г.) сказать: «Родственное разведение есть лучший метод в скотоводстве!»

У арабов уже в XIII в. накопилось много фактов отрицательного влияния систематического родственного спаривания на потомство племенных лошадей, и уже в древние времена существовали строгие законы, запрещающие кровосмешение.

От вредных последствий инбридинга в первую очередь страдают свиньи, лошади и птицы, наследственный механизм которых в большей степени подвержен влиянию инбредной депрессии, или, как ее еще называют, инбредной дегенерации. Главной причиной вреда тесного инбридинга Ч. Дарвин считал усиление сходства половых клеток родственных животных, обедняющих при слиянии наследственную основу и суживающих приспособительные возможности организма к постоянно изменяющимся условиям внешней среды. Подчеркивая роль недостаточной разнокачественности половых клеток родственных животных как основной причины инбредной депрессии, Дарвин сформулировал положение, получившее впоследствии известность как закон Дарвина - Цайта, который гласит: при скрещивании между собой различных пород, линий и особей той же породы, но различного происхождения у приплода наблюдаются повышенный рост, жизнеспособность и плодовитость; спаривание животных в близких степенях родства на протяжении нескольких поколений ведет к угнетению роста, слабости или бесплодию.

Причина вредного действия родственного спаривания с позиций современной генетики заключается в нарастании гомозиготности у инбредных особей. В связи с возрастанием при инбридинге степени гомозиготности увеличивается вероятность перехода летальных генов в гомозиготное состояние, приводящее к появлению аномалий у инбредных животных.

Хотя возникающую при инбридинге депрессию генетика связывает главным образом с возрастанием гомозиготности, высказываются соображения о роли в этом процессе и плазмы. Полагают, что кроме геномной существует еще и плазматическая инбредная депрессия, связанная, возможно, по мнению И. Иоганссона, с особенностями материнского организма. На такую мысль наводит тот факт, что при одном и том же типе родственного спаривания свинки изменяются иначе, чем хрячки. Это подтверждается данными А.А. Сруога, свидетельствующими о том, что при спаривании неродственных маток с инбредными хряками поросята отличались более высокими показателями роста, чем при скрещивании инбредных маток с неродственными им аутбредными производителями.

Отмечается материнский эффект, выражающийся в ускорении роста молодняка, полученного от аутбредных маток, и угнетение роста - у инбредных.

Различают три степени инбридинга: близкий или тесный - общие предки в I-II рядах родословной, умеренный - во II-III ряду, отдаленный - в III-V рядах и далее[7].

Степень инбридинга можно определить по методу Райта с использованием следующей формулы:


где Fx - коэффициент инбридинга, %; n, n1 - ряды родословной, в которых встречается повторяющийся предок со стороны матери (n) и отца (n1); fa - коэффициент инбридинга для общего предка.

Тесный инбридинг приводит к быстрому возрастанию однородности, а умеренный инбридинг повышает ее медленнее. Поэтому, практическая значимость инбридинга сводится к закреплению желательных качеств у инбредного потомства.

Нахождение родственного животного в ряду родословной записывают римскими цифрами сначала со стороны матери, перечисляя их через запятую, а потом со стороны отца - через тире, перечисляя ряды родословной также через запятую. Так, если, например, по линии матери потомки встречаются на удалении от общего предка во II и III рядах, а по линии отца - в III и IV рядах, то инбридинг получает запись: II, Ш-Ш, IV.

Различают следующие степени инбридинга:

         кровосмешение (очень тесный инбридинг) в степени П-П, I-II и

         П-I, когда спаривают сестру с братом, мать с сыном и дочь с отцом соответственно;

         близкий инбридинг (тесное родственное разведение) I-III, III-I, П

         умеренный инбридинг, если общий предок встречается в Ш-Ш,

         III-IV, IV-III и IV-IV рядах;

         отдаленный инбридинг, когда общий предок встречается в IV-V

поколениях. Если общий предок отмечается дальше V поколения, животное считается неродственным.

Инбридинг, применяющийся в нескольких поколениях, называется сложным. Записывают сложный инбридинг, перечисляя ряды предков, в которых применялось родственное спаривание, сначала по материнской, а потом по отцовской стороне.

Подсчитывают ряды родословной, в которых встречается общий предок, начиная с первого ряда - отца и матери.

Мерой родства между особями служит коэффициент родства, которой обычно обозначается R (иногда гА).

Коэффициент родства - это количественный показатель, указывающий, насколько сходство племенной ценности двух данных особей превышает сходство двух случайно отобранных для спаривания партнеров той же популяции. Корреляция между неродственными особями равна 0. Для двух родственных особей коэффициент родства (корреляция между племенной ценностью особей) может колебаться между 0 и 1.

Различается родство по боковой линии, например двоюродные братья и сестры, и родство по нисходящей линии, например родители и потомки.

Родственное разведение свиней в близких степенях приводит к снижению жизненности потомства, замедлению роста молодняка, появлению уродств. Поэтому близкородственное спаривание свиней в массовой племенной работе со свиньями не рекомендуется и особенно на товарных фермах, производящих свиней на убой. Разведение в близких степенях родства применяют лишь непродолжительное время при выведении новых и совершенствовании существующих пород в целях закрепления желательных качеств выдающихся производителей[8].

1.5 Инбридинг в свиноводстве

Примером умелого применения близкородственного разведения может служить использование тесного инбридинга М.Ф. Ивановым при создании украинской степной белой породы. Огромная заслуга М.Ф. Иванова состоит в том, что он в отличие от многих других случаев применения инбридинга для получения отдельных животных впервые взял этот метод на вооружение в селекционной работе по созданию целой породы. Тесный инбридинг особенно успешно был применен при создании заводских линий родоначальников породы - Аскания I (родоначальника спаривали со своими дочерями) и Задорного 975, при создании которой основоположника линии Сталактита 352 спаривали с местными матками, а его сына Сталактита 659 - с полукровными матками, полученными от его отца.

Применение близкородственного разведения при очень сильной браковке, доходившей в первых поколениях до 80 - 90%, в сочетании с тщательным отбором по крепости конституции, экстерьеру, уровню продуктивности и при полноценном кормлении животных дало хорошие результаты: в относительно короткие сроки впервые в отечественной практике была создана новая высокопродуктивная порода свиней.

С большим успехом умеренный инбридинг в степени Ш - IV, IV-IV был применен для создания новых высокопродуктивных заводских линей хряков и семейств маток при совершенствовании крупной белой породы. Так, в племзаводе «Никоновское» путем линейного разведения с применением инбридинга в степени Ш - Ш на выдающегося хряка Леопарда 681 был по лучен чемпион породы 1965 г. Леопард №2897 путем однородного подбора правнука и правнучки выдающегося хряка. Чемпион породы отличался высокими показателями роста и развития (живая масса 400 кг, длина туловища 181 см, обхват груди за лопатками 175 см), крепкой конституцией, гармоничным телосложением и высокой продуктивностью (рис. 1).

Комплексным инбридингом на двух выдающихся животных - того же Леопарда 681 в степени IV-V и на рекордистку ВСХВ Герань 194 - была получена чемпион породы по группе молодых маток Тайга №720, давшая по первому опоросу 17 поросят с общей массой гнезда в 2-месячном возрасте 87 Родоначальник линии кг. Матка отличалась высокой скоростью роста (ее живая масса в возрасте 16 мес была 201 кг), а также высокой воспроизводительной способностью, откормочной и мясной продуктивностью потомства (рис. 1).

Рис. 1. Схема родословной хряка Леопарда №2897


Рис. 2. Схема родословной свиноматки Тайги №720

Также с применением инбридинга на двух выдающихся предков - Леопарда 681 в степени IV-V и Драчуна 7821 в степени IV-IV - была получена рекордистка ВДНХ СССР 1965 г. матка Тайга 6570, опоросившаяся 14 поросятами и показавшая рекордную молочность - 132 кг. Цель комплексного инбридинга - объединить путем однородного подбора качества выдающихся животных и получить на этой основе новые высокопродуктивные генотипы.

Наукой установлено также, что повышение степени инбридинга до 30 - 60%, а значит, и уровня гомозиготности приводит к инбредной депрессии, выражающейся в снижении жизненности и скорости роста потомства[9].

В исследованиях американского ученого Лаша с сотрудниками, выполненных на линейных свиньях польско-китайской породы, установлено, что в линиях, в которых степень инбридинга соответствовала уровню, достигаемому при постоянном спаривании полусибсов, число поросят к отъему снизилось так сильно, что сохранить породу оказалось весьма трудно

Таблица 1. Некоторые данные из опытов по инбридингу свиней в США (по Крафту)

Линейное разведение

Число пометов

Многоплодие

Процент живых поросят при отъеме

Без инбридинга

4435

8,33

70,2

Инбредные линии

9424

7,97

61,9

Двухлинейные гибриды

1572

7,78

71,3

Трехлинейные гибриды

1181

8,30

71,8


Из данных таблицы 1 следует, что самые низкие показатели были у маток инбредных линей (с коэффициентом инбридинга в среднем около 30%). Отсюда можно сделать вывод, что создание и скрещивание инбредных линий в свиноводстве не оправдало надежд. На значительное повышение продуктивности в товарном свиноводстве можно рассчитывать лишь при межпородном скрещивании. [10]


2. Основная часть

.1 Разведение по линиям и семействам

Из-за множества биологических и хозяйственно полезных признаков животных бывает нелегко сохранить их на высоком уровне у каждого животного и всей породе в целом. Более высокие результаты по совершенствованию отдельных признаков достигаются у животных отдельных групп, линий и семейств, составляющих генеалогическую структуру породы, придающих ей некоторое феногенотипическое разнообразие и повышающих, таким образом, ее жизнеспособность.

Линия (семейство) - это группа животных, сходных по биологическим особенностям, уровню и направлению продуктивности, происходящих от одного родоначальника[11].

Разведение по линиям понимается как спаривание животных, имеющих в третьей или четвертой генерации одного и того же производителя. Оценивая значение разведения по линиям, Кулешов говорит, что однородное спаривание по производительности и кровям (фамильное, линейное разведение) - верный путь к повышению степени производительности. Отдельные элементы применения линейного разведения в заводской работе были известны еще в XVIII столетии, а в настоящее время разведение по линиям и семействам является самым основным и эффективным методом работы с породой. Наиболее интенсивной формой линейного разведения признано считать возвратное спаривание на одного и того же производителя в течение многих поколений. Для поддержания линии рекомендуется применять умеренные формы линейного разведения, например спаривание женской особи с дедушкой по отцовской линии или с братом отца, который тоже несет половину набора генов дедушки со стороны отца.

Различают несколько видов линий и семейств.

Генеалогическая (или формальная) линия - это группа животных, включающая в себя потомков нескольких (правильнее сказать многих) поколений ценного производителя. Такая «длинная» линия, полученная чаще всего без строгого целенаправленного отбора и однородного подбора, не имеет, как правило, выраженной однотипности и характеризуется лишь общностью происхождения.

Генеалогическая линия ведет свое начало от «короткой» заводской линии, но по мере удаления представителей линии от родоначальника, формируясь лишь отбором производителей по происхождению, постепенно утрачивает свое значение группы, связанной родством. По этому поводу Д.А. Кисловский справедливо считал, что если у того или иного родственного животного, формально принадлежащего к линии, нет общности типа данной линии, то оно не будет характерным для этой линии.

Не случайно Н.Н. Завадовский разделил всех разводившихся в России в начале 30-х годов свиней крупной белой по роды, восходивших к четырем родоначальникам, на следующие систематические единицы: хряков - на род, линию и группу, маток - на семейства. Сформировав тем самым генеалогическую структуру породы, не потерявшую своего значения до настоящего времени. Его представления о роде как самой крупной в породе систематической единице согласуются, скорее всего, с понятием о генеалогической линии, во главе которой стоит хряк - родоначальник. Лучшие его потомки образуют линии, которые, в свою очередь, делятся на более мелкие систематические единицы, называемые группами.

М.П. Либизов отмечает, что в 1947 г. профессор П.Н. Кудрявцев изменил эту систематику, присвоив название линий тем структурным единицам, которые Н.Н. Заводовский называл группами, и тем самым приблизил родоначальников этих «линий» к современности.

Заводская линия - это группа животных, происходящая от выдающегося родоначальника, обладающая характерными для нее биологическими особенностями и ценными продуктивными качествами, которые поддерживаются и совершенствуются целенаправленным отбором и подбором. По выражению профессора Е.А. Богданова, суть линии состоит в том, что ее определяет не происхождение, а однородность качества. В связи с этим он рекомендует поддерживать линию, чтобы она не оказалась одним названием без содержания.

Чтобы иметь более полное представление о заводской линии, не лишние будет обратиться к профессору М.М. Либизову, считавшему, что основными структурными единицами заводской породы должны быть не «короткие» линии, а достаточно многочисленные, длительно разводимые и совершенствуемые в нескольких племенных хозяйствах, устойчивые заводские линии, обладающие желательным типом и высокими племенными и продуктивными качествами, неродственные другим линиям породы в пределах четырех рядов предков.

Под инбредной линией подразумевают группу животных, которые в результате применения инбридинга связаны между собой более тесным родством, чем с другими представителями данной породы[12].

Семейство - это группа родственных маток, происходящих от одной родоначальницы и характеризующихся сходством по основным признакам и продуктивным качествам. Его заводское значение определяется особенностями женских особей осуществлять смену поколений путем вынашивания и выращивания потомства, а также передавать по наследству материнские качества преимущественно через своих дочерей. Следовательно, роль семейства как структурной единицы стада заключается в сохранении и повышении в первую очередь репродуктивных качеств свиней, и приспособительных механизмов адаптации животных к условиям окружающей среды.

Основная задача разведения по линиям и семействам создание внутри породы консолидированных в наследственном отношении однородных групп высокопродуктивных животных, объединенных общностью происхождения и сходных по биологическим особенностям, уровню и направлению продуктивности в целях наследственной дифференциации и усиления жизнеспособности породы. Совершенствование существующих и создание новых генеалогических структур породы осуществляется успешнее в процессе селекции по небольшому числу признаков, закрепляемых по наследству методами целенаправленного отбора и подбора.

Разведение по линиям и семействам дает высокие результаты при умеренном инбридинге на выдающихся, проверенных в предыдущих сочетаниях родоначальников линий и семейств, при однородном подборе маток и производителей. При таких сочетаниях в потомстве накапливаются и закрепляются по наследству лучшие качества по материнской и отцовской сторонам родословной и формируются генотипы животных с новыми свойствами, получаемыми не только через родителей, но и через боковых родственников. Формирование новых генотипов животных осуществляется посредством накопления и использования, по выражению М.М. Щепкина, «заводского капитала».

Заводское искусство разведения по линиям состоит в умелом использовании племенных качеств выдающихся маток и производителей для получения однородных, константных в генетическом отношении высокопродуктивных групп животных, составляющих структурные единицы породы.

2.2 Чистопородное разведение в овцеводстве

Чистопородное разведение является основным методом размножения овец в племзаводах, племсовхозах и племфермах, основной задачей которых является получение и выращивание чистопородных племенных овец, а также и в крупных высокопродуктивных пользовательских стадах, где получение фенотипной, высокого качества продукции имеет решающее значение. Это особенно актуально в тонкорунном овцеводстве, где в пользовательских стадах получают большие партии однотипной тонкой высококачественной шерсти.

Однако длительное чистопородное разведение даже в условиях хорошего кормления и содержания часто приводит к застою и не обеспечивает необходимого прогресса в стаде. Это обстоятельство вызывает необходимость применения скрещивания с баранами другой породы, но такого же направления продуктивности, что в конечном итоге устраняет имеющиеся недостатки в стаде и заметно повышает продуктивность овец. С целью недопущения ослабления конституции и снижения жизнеспособности овец в племенных хозяйствах и племенных фермах применяют «освежение крови», то есть используют баранов-производителей той же породы, но выращенных в других хозяйствах, что позволяет обогатить наследственность стада, поскольку эти бараны, выращенные в иных экологических условиях, имеют некоторые генетические различия. При этом имеется в виду то обстоятельство, что бараны-производители, используемые для «освежения крови», должны обладать ценными племенными достоинствами, высокими хозяйственно-полезными качествами и по уровню продуктивности не уступать баранам-производителям стада, в котором они будут использоваться[13].

В овцеводстве так же используется инбридинг. Обычно его используют в племенных хозяйствах, преследуя следующие цели: создание линий; получение инбредных баранов для использования в товарном овцеводстве на аутбредных матках и для проверки производителей на наличие нежелательных рецессивных генов (генетический груз).

Заметные результаты в разведения овец по линиям во многом зависят:

Во-первых, от того, насколько правильно выбран баран-производитель в качестве родоначальника, достаточно ли полно по своей племенной ценности и индивидуальным качествам он отвечает поставленной цели и какие матки подобраны для первоначального спаривания;

Во-вторых, от тщательности проводимого в последующем отбора потомства для дальнейшего использования в линии.

В случае, когда исходная группа состояла из животных, обладающих ценными качествами, конечная цель работ с линией заключается в том, чтобы путем родственного разведения и соответствующего отбора и подбора добиться заметного усиления и закрепления ценных свойств и увеличения численности животных этой линии. По своей сути разведение животных по линиям является средством превращения индивидуальных особенностей выдающихся производителей в групповые и потому не является самоцелью, а служит важным способом совершенствования племенных и продуктивных качеств породы путем распространения ценных свойств, возникающих у отдельных овец в процессе селекционной работы. Линейное разведение имеет большое значение в племенных хозяйствах для выращивания высококлассных инбредных баранов, способных при скрещивании с неродственными матками (топкросс) и при межлинейных кроссах давать высокопродуктивное потомство с новым сочетанием ценных признаков.

Количество линий как в племенном заводе (где обычно рекомендуется 4-5 неродственных между собой линий), так и в целом в породе (рекомендуется 9-12 линий) определяется с учетом задач селекции, численности и ареала распространения породы, размеров стад и других условий, а во времени протяженность линии определяется ее соответствием или несоответствием типу, стандарту линии.

Как инбридинг, так и лайнбридинг повышают степень генетической однородности стада, то есть ведут к уменьшению генетической изменчивости. В силу этого возможности генетического улучшения и жизнеспособность животных при этих видах спаривания снижаются. Эти методы не рекомендуются для товарных стад.

В противоположность этому топкроссинг и топкроссбридинг резко увеличивают разнокачественность потомства, и возможности генетического улучшения возрастают. Использование этих видов подбора само по себе повышает продуктивность потомства.

Топкроссинг представляет собой спаривание инбредных баранов, то есть полученных путем инбридинга, с неродственными им и неинбредными самками той же породы. При топ-кроссбридинге таких же баранов спаривают с неинбредными самками другой породы. Топкроссинг и топкроссбридинг являются весьма перспективными и высокоэффективными видами подбора для товарных стад.

Следующий тип спаривания, кросс линий, одинаково пригоден для племенных и товарных стад. В племенном хозяйстве баранов одной линии назначают на маток другой линии, в товарных - баранов одной линии назначают, как правило, на маток, происходящих из нескольких линий. Наиболее часто этот метод применяют, когда в результате длительной селекции резко снизилась эффективность отбора по селекционируемым признакам или ставится задача путем кросса линий сочетать ценные качества, присущие особям различных линий, и на этой основе создать новую, более ценную линию. При этом следует иметь в виду, что не все линии и особи, даже высокопродуктивные, дают при кроссах высокопродуктивное потомство, а поэтому эффективность использования кроссов линий определяется степенью их сочетаемости, которая должна оцениваться в специальных экспериментах.

Наиболее распространенным типом спаривания в товарном, да и в племенном овцеводстве является аутбридинг, т.е. спаривание неинбредных баранов с неродственными им неинбредными самками. Аутбридинг, как и предыдущий тип, заметно увеличивает гетерозиготность потомства, что обеспечивает рост продуктивности и создает условия для эффективной селекции [15].

2.3 Чистопородное разведение в коневодстве

В разведении лошадей, как и в других животноводческих отраслях, может применяться чистопородное разведение. В коневодстве в этом плане существуют несколько своеобразные подходы. Отдельные породы, относящиеся к числу чистокровных (это чистокровная верховая порода, арабская чистокровная порода и ахалтекинская порода) могут разводиться только в полной чистоте, без малейшего прилития крови других пород. Вторые породы также должны разводиться в чистоте, однако здесь допускается незначительное прилитие крови родственных пород, в основном на уровне не более одной восьмой. К числу таких пород в российском коневодстве нужно отнести орловскую рысистую породу, породы русских, советских и владимирских тяжеловозов. Третьи породы при их разведении допускают значительное прилитие крови, как правило, более совершенных пород лошадей. Это группа полукровных пород. При этом такое прилитие, где доля вводимой породы может быть очень велика (половина и более), не лишает лошадей чистопородности. Чистопородное разведение, в первых двух своих вариантах, консолидирует породу, закрепляет ее свойства, обеспечивает производство продукции с определенными качествами. Однако оно не может обеспечить нужных изменений в породе в достаточно короткие сроки [16].

2.4 Чистопородное разведение в птицеводстве

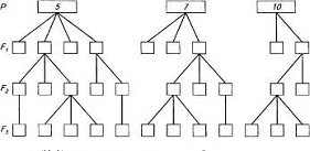
В птицеводстве совершенствуют линии в селекционных стадах путем внутрилинейного разведения при гнездовой селекции (для каждой линии комплектуют не менее 60 селекционных гнезд, в которые подбирают одного самца и в зависимости от вида птицы от 3 до 16 самок) и группового спаривания в множителе исходных линий. Отбор и подбор птицы в гнезда ведут с целью размножения тех семей и семейств, которые дают наилучшее потомство и соответствуют профилю микролинии и линии.

Рис. 3. Схема построения генеалогической структуры линии:

Р - петухи (5, 7, 10) родоначальники микролиний; F1 - сыновья; F2 - внуки; F3, - правнуки

Линии подразделяют на: отцовские и материнские. Причем требования к отцовским и материнским линиям и родительским формам различны.

Каждая специализированная линия птицы имеет свои особенности, которые обусловлены определенным (присущим только конкретной линии) набором генов (аллелей), или генофондом. В результате разведения линии «в себе» и целенаправленного отбора в ряде поколений создаются сходные генотипы, поэтому для селекционера важно сохранить в линии состав желательных генотипов. Этого можно достичь путем гомогенного подбора с использованием инбридинга. Для консолидации, то есть закрепления желательного уровня признаков в линии, сначала применяют родственное спаривание типа «брат х сестра», «полубрат х полусестра», а затем переходят к умеренному инбридингу, которым пользуются при работе с микролиниями. Микролиния - руппа птицы, которая, сохраняя качества линии, несколько отличается по какому-либо признаку от средней по линии. Следует помнить, что при использовании инбридинга наряду с желательными признаками линии или микролиниях могут закрепиться и сцепленные с ними рецессивные нежелательные.

Чтобы избежать вредных последствий инбридинга, рекомендованы следующие меры:

Ø  строгий отбор особей крепкой конституции для племенных целей и создание для них оптимальных условий кормления и содержания;

Ø  неродственное спаривание птицы (аутбридинг);

Ø  освежение крови путем использования производителей той породы или линии высокого класса, но неродственных основном; поголовью хозяйства;

Ø  циклическая селекция, суть которой состоит в том, что делят на:

Ø  родственные группы (микролинии), и если в данном год кур первой

микролинии спаривают с петухами этой же микролинии, то на следующий год куры первой микролинии будут спарены с петухами второй микролинии, через год - с третьей и т.д.

Если микролиний пять, то петухи первой микролинии будутспарены с курами своей микролинии только на шестой год, что дает гарантию сохранения птицы от инбредной депрессии [17].


3. Иммуногенетические методы чистопородного разведения в свиноводстве

Интенсификация селекционного процесса животных связана с использованием некоторых современных генетических методов и, в первую очередь, иммуногенетического и цитологического.

Группы крови - это определенное сочетание эритроцитарных антигенов, которые наследуются кодоминантно по закону Менделя (как простые качественные признаки) и неизменны в течение всего постнатального периода. Каждое животное уникально по антигенному составу крови (исключение - однояйцовые близнецы).

В настоящее время относительно хорошо изучены 15 генетических систем групп крови свиней, объединяющих более 80 эритроцитарных антигенных факторов. Для обозначения систем групп крови используют прописные буквы латинского алфавита, а антигены в пределах системы обозначают строчными латинскими буквами[25].

Ген, ответственный за выработку фактора крови, может оказывать влияние одновременно и на формирование некоторых признаков продуктивности. Возможно, что между генами, которые определяет образование полиморфных структур крови, и генами, обусловливающими продуктивные признаки, существует сцепление. В этом случае они могут служить маркерами продуктивности. Использование антигенов в качестве маркеров позволяет проследить их положительные или отрицательные связи с продуктивными признаками. Установление связей генов, контролирующих хозяйственно-полезные признаки, с генами групп крови позволит широко использовать качественные признаки как прямые маркеры для раннего прогноза наследственной ценности и продуктивности животных, что во много раз ускорит и повысит эффективность селекции.

Каждая генетическая система групп крови животного представлена двумя аллелями, один из которых унаследован от отца, а другой - от матери. Поэтому использование характеристик групп крови для подтверждения достоверности происхождения очень эффективно. Иммуногенетический контроль происхождения животных стал обязательным элементом селекции, который обеспечивает высокую точность их происхождения.

К настоящему времени во всех странах мира с развитым животноводством введена обязательная проверка достоверности происхождения племенных животных всех видов по генетическим маркерам. Неправильная запись родословных у свиней особенно часто возникает из-за естественной изменчивости интервала между смежными половыми охотами и нормальными колебаниями продолжительности беременности. У свиней нормальный срок супоросности считается 109 - 121 сутки. Гнезда поросят, которые родились позже 122 суток, не должны признаваться плановыми. Кроме того, причиной сомнений в подлинности происхождения наиболее часто является пересадка поросят-сосунов к другим свиноматкам, а также из-за плохо читаемых ушных номеров. Это бывает при покусах, потере бирок. Несоответствие между племенными записями и истинным происхождением поросят в племенных свиноводческих хозяйствах составляет от 10 до 25%, а в отдельных из них - 40 - 50%.

Что касается перспектив использования групп крови в селекции животных на повышение устойчивости к заболеваниям, то результаты исследований показывают, что группы крови тоже связаны со многими заболеваниями, однако полной ясности в понимании механизмов этой связи пока нет. В свете современного представления механизм связи групп крови с устойчивостью заболеваниям может быть ассоциирован через сцепление с генами главного комплекса гистосовместимости (МНС) или же с сывороточными энзимами, которые, в свою очередь, могут быть сцеплены с МНС или же непосредственно с генами, детерминирующими то или иное заболевание[24].

Изучение групп крови представляет большой интерес, для эволюционной генетики давая возможность проследить сходство по аллелям групп крови домашних пород животных и родственных им видов диких предков. Это бывает необходимо для выяснения механизмов породообразовательного процесса, разработки методов прогноза гетерозиса.

Актуальной остается проблема сохранения генофонда сельскохозяйственных животных, особенно местных отечественных пород. В этом случае с целью прогнозирования внутрипородного гетерозиса изучение аллелофонда по маркерным генам групп крови у малочисленных уникальных пород имеет огромное значение.

Рассмотрим исследования Г.М. Гончаренко (2008) на свиньях типа КМ-1 из хозяйства ООО СХО «Заречье» Кемеровской области. Изучались их генотипические особенности по группам крови и полиморфизму структурных генов количественных признаков для ведения племенной работы в замкнутой популяции.

Животных тестировали по группам крови 7 генетических систем: A, B, D, E, F, G, L общепринятыми методами. Частоту аллелей и генотипов вычисляли по методике Суховой Н.О., Дмитриевой Г.Л., Набродовой Н.И. (1986). Оценку продуктивных качеств учитывали по следующим показателям: живая масса при рождении и при отъеме, многоплодие и молочность, коэффициент оплодотворяемости.

В результате тестирований по группам крови была выявлена генотипическая характеристика свиней заводского типа КМ-1. Аллелофонд маток и хряков не имеет существенных отличий, о чем свидетельствует и индекс генетического сходства между ними, равный 0,998. В то же время при сравнении частот аллелей пород, селекционируемых в направлении повышения мясности, к примеру, со свиньями породы ландрас можно наблюдать значительные различия. Для сравнения взяты свиньи из Омской области. Число носителей аллеля G2 системы-G у ладрасов составило 18,9% в то время как в типе КМ-1 выявлено 52,4% таких свиней.

Частота одноименных аллелей Е-системы исследуемых пород примерно одинакова. Некоторые различие по встречаемости аллелей наблюдаются по L-системе, Аллельная структура свиней КМ-1 имеет довольно значительные различия и с типом крупной белой породы, особенно по D- и Е - системам Так, аллель Еedg встречается у 30-35% свиней крупной белой породы, а у свиней породы КМ-1 его частота достигает 50% и выше.

Независимо от характера взаимосвязи групп крови с количественными признаками их выявление может иметь значение для прогнозирования и оценки племенной ценности животных. Тем более, что большинство исследователей приводят данные о сцепленной групп крови с рядом хозяйственно-полезных признаков.

Анализ продуктивности свиней с определенными генотипами A, G, L систем показал, что Аср содержащие свиноматки уступают свиноматкам с негативным генотипом по А системе по всем хозяйственно-полезным признакам, особенно по возрасту достижения живой массы 100 кг. Разница в скороспелости свиней в зависимости от содержания ср-фактора составляет 68 дней.

По G системе более продуктивными были свиноматки с генотипом b/b. Они отличались более высоким многоплодием, молочностью, массой гензда в 2 мес. и скороспелостью. Кроме того у этих животных и самый тонкий шпик - 18 мм.

По носительству генотипов L системы свиноматки с Lbcgi/bcgi отличаются низкой живой массой поросят в 2 мес., плохой скороспелостью и более толстым шпиком, хотя имеют высокие многоплодие и молочность.

На воспроизводительную способность хряков так же, как и на продуктивность свиноматок, негативное влияние оказал ср-фактор. Более высоким многоплодием обладали матки, осемененные спермой хряков с генотипом adhi/bdfi L системы. По другим генотипам различий не обнаружено.

Приведенные исследования служат подтверждением вывода о сложной взаимосвязи групп крови и количественных признаков животного, которые могут меняться в зависимости от направления селекции.

Курс на улучшение отечественных пород, их консолидацию в целом необходим, однако он должен проводиться сознательно и умело. Какова же при этом должна быть стратегия селекции? Единственным, возможным методом должна быть селекция по комплексу признаков, одновременно с учетом продуктивных, воспроизводительных качеств потомства и жизнеспособности особей. В проведении такой комплексной селекции большую помощь могут оказать группы крови. Проследить наследование конкретных участков хромосом можно, лишь располагая такими высокополиморфными локусами, как ЕАЕ-локус у свиней с 17 известными аллелями. Использование генетических маркеров этих и других локусов групп крови позволит объективно оценить эффект селекции, и ее направленность, контролировать сохранение наследственной информации выдающихся родоначальников, проводить генетическую типизацию линий и получать гетерозисный эффект, вести целенаправленный подбор животных для улучшения их продуктивных качеств.

В качестве еще одного примера рассмотрим систему разведения свиней и организацию племенного свиноводства на период 2002-2010 гг. в Алтайском крае. Эта программа была разработана специалистами Департамента племенного животноводства администрации Алтайского края и учеными АГАУ. В ее основу положена классическая ступенчатая система разведения свиней: первая ступень - селекционные стада, вторая - репродукторные, третья - гибридные и четвертая - промышленные. Организация племенного свиноводства планируется так, чтобы максимально использовать генетический потенциал селекционных стад племенных хозяйств и ферм при минимальном завозе из них маточного поголовья в репродукторные стада.

Предусмотренное программой иммуногенетическое и иммунологическое тестирование свиней в племенных хозяйствах селекционной и репродукторной ступеней позволит контролировать достоверность их происхождения, обеспечивать поддержание генетического сходства линий в селекционных стадах регулировать генетическую структуру пород, прогнозировать предрасположенность к ряду заболеваний и продуктивные качества, использовать генетически обусловленные показатели резистентности свиней и т.д.

Использование такой информации значительно повысит эффективность селекционных мероприятий системы разведения.


Заключение

чистопородный свиноводство инбридинг иммуногенетический

Чистопородное разведение является основным и наиболее распространенным методом разведения.

Увеличение производства, повышение качества и снижение себестоимости невозможны без систематического совершенствования селекционно-генетической работы с определенными стадами и породами свиней с целью улучшения их племенной ценности и повышения продуктивности.

В племенной работе с каждым стадом и в целом с породой разведение по линиям и семействам имеет исключительно большое значение. Сконцентрировать в каждом животном все ценное, чем характеризуется порода, невозможно. Различные достоинства породы накапливаются в отдельных линиях и семействах, которые входят в структуру породы, придавая пластичность, нужную для дальнейшего ее совершенствования. Создание линий и семейств - дело медленное и кропотливое. Оно требует глубокой, целеустремленной племенной работы, состоящей в том, чтобы превратить достоинства отдельных животных в достоинства групповые.

В настоящее время разведение по линиям и семействам - самый эффективный метод работы с породой. В последнее время в связи с проблемами работы по созданию и апробации новых линий в зоотехнической литературе появились возражения против разведения животных по линиям. Инициаторами этих возражений выступили А.П. Бегучев, М.Д. Дедов, Д.В. Карликов, М.Г. Спивак, однако, альтернативы этому мероприятию они не выдвигают. Но этот прием был и остается одним из действенных рычагов совершенствования пород, регулирования их генеалогической структуры. Разведение по линиям - это перевод лучших качеств выдающегося предка в групповую особенность, закрепление, а если возможно, то и усиление этих положительных качеств.

Основными этапами работы с линией являются следующие:

) выявление выдающегося родоначальника;

) выделение достойных продолжателей;

) типизация и размножение животных;

) совершенствование достигнутых результатов и закладка новой линии.

Как следует из вышеприведенного, при работе с линиями, особенно на ранних стадиях формирования, приходится прибегать к использованию инбридинга, а инбридинг обедняет генофонд, сужает наследственный потенциал. Для преодоления вредных последствий инбридинга при чистопородном разведении часто применяют такой зоотехнический прием как освежение крови[26].

Иммуногенетический контроль используется при чистопородном разведении и скрещивании, сохранении малочисленных отечественных пород свиней. Отцовские и материнские линии формируют под иммуногенетическим контролем, составляя генотипическую характеристику, структуру линии или семейства. Определяют маркерный генотип по группам крови, характерным для родоначальника и его потомства.

Иммуногенетическое тестирование будет полезно, как для племенных хозяйств (достоверность происхождения, линейная принадлежность и т.д.), так и для товарных (промышленное скрещивание, предотвращение иммунологического конфликта и. как следствие, отхода новорожденных поросят).


Список использованной литературы

1. Дмитриев, Н.Г. / Разведение сельскохозяйственных животных с основами частной зоотехнии и промышленного животноводства // Н.Г. Дмитриев, А.И., Жигачёв. - Л.: Агропромиздат, 1989.-С. 547

. Кабанов, В.Д. /Свиноводство // . - М.: Колос, 2001. - С. 431.

. Козлов, С.А. /Коневодство // С.А. Козлов, В.А. Парфенов. - СПб.: Издательство «Лань», 2004. - С. 304.

. Кочиш, И.И. / Птицеводство // И.И. Кочиш, М.Г. Петраш, С.Б. Смирнов. - М.: Колос, 2003. - С. 407.

. Мороз, В.А. /Овцеводство и козоводство // В.А. Мороз. - Ставропольское книжное издательство, 2002. - С. 452.

. Щеи Е.В., Попов И.K., Разведение сельскохозяйственных животных. - М.: Рос.гос. аграр. заоч., 2002. - С. 143.

. Девяткин А.И. /Рациональное использование кормов // А.И. Девяткин-М.: Росагроп. ромиздат, 1990. - С. 256.

. Левин, А.Б. /Основы животноводства. Учебник ля средн. сел. проф.-техн. Училищ. - 2-е изд., испр. И доп. // А.Б. Левин, - М.: Высш. Школа, 1981. - 271 с.

. Производство молока: справочник/ Н.Г. Дмитриев, В.И. Мосийко, С.С. Брага и др.; Сост. Н.Г. Дмитриев. - М.: Агропромиздат, 1985. - 336 с.

. Справочник зоотехника/ А.П. Калашников, О.К. Смирнов, Н.И. Стрекозов и др.; Под ред. А.П. Калашникова, О.К. Смирнова. - М.: Агропромиздат, 1986. - 479 с.

. Аликаев, В.А. / Справочник по контролю кормления и содержания животных // . В.А. Аликаев, Е.А. Петухова, Л.Д. Халенева., Н.Т. Емелина, Р.Ф. Бессарабова.-М.:Колос.1982.-С. 98.

. Харитонов, Е.Л. / По материалам «Организация научно-обоснованного кормления высокопродуктивного молочного скота» // Е.Л Харитонов, В.И. Агафонов, Л.В. Харитонов, 2008

. Хазиахметов, Ф.С. /Нормированное кормление сельскохозяйственных животных // Ф.С Хазиахметов, Б.Г., Шарифянов, Р.А Галлямов. Лань, С.-Пб., М., Краснодар, 2005

. Костомахин Н.М., /Разведение с основами частной зоотехнии // . - СПб.: «Лань», 2006.-с. 448.

. Кушнер, X.Ф., Иогансон И., /Генетические основы продуктивности и селекции-том 2 // X.Ф. Кушнер, И. Иогансон.-М.: Руководство по разведению животных, 1963-С. 656.

. Петухов, В.Л., Гудилин И.М. / Генетические основы селекции животных // .: Агропромиздат, 1989. - с. 347;

. Эрнст, Л.К., Кравченко Н.А., Солдатов А.П. Племенное дело в животноводстве. М.: Агропромиздат, 1987. - с. 287

. Арзуманян, Е.А. /Животноводство // Е.А. Арзуманян и др. - М.: ВО Агро-промиздат, 1985. - 237 с.

. Апальков, И.Е. /Экономика, организация и планирование сельскохозяйственного производства // И.Е. Апальков, А.С. Смирнов: Справочник. - М., 1989. - С. 233.

. Бродская, Н.М. /Домашняя ферма // Н.М. Бродская, М.Ф. Кобцев. - Новосибирск: Новосиб. кн. изд-во, 1990. - вып. 1. - С. 114-124.

. Воротилов, М.А. /Нагул и откорм крупного рогатого скота // М.А. Воротилов. - М.:Сельхозгиз, 1992. - С. 92.

. Доброхотов, Г.Н. /Справочник зоотехника/ /Г.Н. Доброхотов: Справочник. - М., 1993. - 314 с.

. Калашников, В. / Некоторые проблемы развития мясного скотоводства и пути их решения. // Молочное и мясное скотоводство. - 2006. - №1. С. 2-4.

Похожие работы на - Чистопородное разведение

 

Не нашли материал для своей работы?
Поможем написать уникальную работу
Без плагиата!
Без нейросетей!