Теоретические аспекты безубыточности предприятия

  • Вид работы:
    Курсовая работа (т)
  • Предмет:
    Финансы, деньги, кредит
  • Язык:
    Русский
    ,
    Формат файла:
    MS Word
    124,75 Кб
  • Опубликовано:
    2014-04-02
Вы можете узнать стоимость помощи в написании студенческой работы.
Помощь в написании работы, которую точно примут!

Теоретические аспекты безубыточности предприятия

Введение

В рамках анализа безубыточности изучается зависимость величины прибыли от наиболее важных для деятельности предприятия факторов, а именно: цен, объемов производства и продаж, уровня и структуры издержек.

Точка безубыточности - это такой объем продаж продукции фирмы, при котором выручка от продаж полностью покрывает все расходы на производство продукции, в том числе среднерыночный процент на собственный капитал фирмы и нормальный предпринимательский доход.

Значение точки безубыточности рассчитывается как отношение постоянных расходов к валовой прибыли на единицу продукции. Необходимо учитывать, что абсолютно постоянных издержек не существует, все они подвержены изменению с течением времени, например, изменение стоимости аренды помещения, рост заработной платы, изменение тарифов на энергоносители и т.п.

Расчет точки безубыточности может быть произведен для различных периодов времени заново, если произошли изменения в структуре предприятия или в системе его финансирования.

Операционный рычаг связан с уровнем предпринимательского риска: чем он выше, тем выше риск. В то же время, чем выше риск, тем больше возможное вознаграждение. Вблизи точки безубыточности, когда прибыль стремится к нулю, значение операционного рычага неограниченно возрастает, и даже незначительное изменение выручки, например, из-за снижения цены, может повлечь уменьшение прибыли в несколько раз. переменных затрат.

Запас финансовой прочности рассчитывается как объем продаж за вычетом величины, соответствующей точке безубыточности, отнесенный к объему продаж, и характеризует риск предприятия потерять финансовую устойчивость, в силу чего его принимают во внимание при формировании стратегии предприятия. Превышение объема продаж относительно точки безубыточности в основной валюте называется запасом финансовой прочности.

Расчет и анализ указанных основных показателей (а также производных от них) - всех вместе или только некоторых - позволяет изучить текущую ситуацию на предприятии, сделать прогнозы и принять взвешенное решение на основе реальных данных.

В самом деле, если фирма имеет бухгалтерскую прибыль, то есть сальдо доходов от продаж и денежных затрат на производство проданной продукции положительно, то она может не достигать точки безубыточности в смысле экономической прибыли.

Цель курсовой работы состоит в том, чтобы на основе анализа и обобщения отечественных и зарубежных научных исследований и современного практического опыта оценить безубыточность предприятия и выбрать пути улучшения финансовых результатов.

В соответствии с этим ставятся следующие задачи:

1.       Определить безубыточность как основу прибыльности.

2.       Описать метод расчета точки безубыточности.

.        Выявить условия и факторы преодоления убыточной работы предприятия.

.        Выполнить анализ финансового положения ОАО «Татнефтегеофизика».

.        Выявить существующие проблемы достижения высоких финансовых результатов деятельности.

.        Предложить пути совершенствования условий создания и повышения прибыли.

.        Рассмотреть способы повышение рентабельности предприятия.

Предметом исследования является методика анализа безубыточной работы предприятия. Объектом исследования выступает ОАО «Татнефтегеофизика».

1. Теоретические аспекты безубыточности предприятия

1.1 Безубыточность как основа функционирования предприятия в рыночной экономике

финансовый рентабельность убыточный прибыльность

Анализ возможных результатов предполагаемого бизнеса на базе математической модели (часто имеющей форму графика), позволяющей определить уровни доходов и затрат при различных уровнях деловой активности (объема производства, продаж); при этом можно определить «точку безубыточности» (break-even point), как минимальный объем производства при котором выручка от реализации продукции (sales) в точности равняется сумме постоянных и переменных затрат. При анализе безубыточности в данной работе мы будем пользоваться следующими основополагающими понятиями:

Предельный доход - величина, на которую изменится совокупный доход фирмы при увеличении выпуска продукции на одну единицу;

Предельные издержки - величина, на которую изменятся совокупные издержки фирмы при увеличении выпуска продукции на единицу;

Средние полные издержки - доля полных издержек (то есть постоянные издержки + переменные издержки + невозвратные издержки), приходящаяся на единицу выпускаемой продукции.

Для определения того, достигается в оптимальной точке прибыль или убыток, нам необходимо рассмотреть соотношение между ценой на продукцию фирмы и средними полными издержками. Удобнее всего это представить графически (рис. 1.1.1.).

В данном случае равенство предельного дохода и предельных издержек достигается в той точке, в которой цена реализации данного количества продукции выше средних полных издержек. Следовательно, в данном случае предприятие максимизирует свою экономическую прибыль.

I случай.

Рис. 1.1.1. График соотношения между ценой продукции и средними полными издержками (1 случай) [1, c. 87]

По данному графику легко определить, какова величина экономической прибыли. На графике заштрихованы полные издержки фирмы на производство продукции [], полный доход фирмы от реализации продукции []. Следовательно, площадь, заштрихованная только  - экономическая прибыль фирмы.случай

Рис. 1.1.2. График соотношения между ценой продукции и средними полными издержками [2 случай] [1, c. 88].

При такой структуре издержек и ценовой ситуации на рынке фирма не получает экономической прибыли, ибо ее полные издержки в точности равны совокупному доходу в точке оптимального объема производства. [3, c. 143].

Для рассмотрения следующих двух возможных ситуаций нам понадобятся средние переменные издержки-то есть доля переменных издержек, приходящаяся на единицу выпускаемой продукции.

В данной ситуации совокупный доход, получаемых от реализации продукции фирмы в точке оптимального объема выпуска продукции, недостаточен для покрытия совокупных издержек. Однако, при таком соотношении цены на продукцию и издержек на ее производство покрываются переменные издержки на ее производство. Таким образом, фирма функционирует с экономическим убытком, но она может существовать в краткосрочном интервале времени [4, c. 213].случай

Рис. 1.1.3. График соотношения между ценой продукции и средними полными издержками (3 случай)

IV случай

Рис. 1.1.4. График соотношения между ценой продукции и средними полными издержками (4 случай)

В этом случае совокупного дохода не хватает даже для компенсации переменных издержек. Поэтому при данной структуре цен и издержек наиболее оптимальным является решение о прекращении производства.

Первая проблема, связанная с точкой безубыточности, - это проблема определения критического объема продукции, при котором достигается безубыточность.

Перейдем к рассмотрению методов расчета точки безубыточности.. Метод уравнения.

В самом общем виде схема любого отчета о финансовых результатах выглядит следующим образом:

Выручка - Переменные затраты - Постоянные затраты = Прибыль;

или


Это же уравнение можно переписать в алгебраической записи. Обозначим прибыль за исследуемый период через П, через Р - цену продажи единицы произведенной фирмой продукции, х - объем произведенной и проданной продукции за указанный период, а - уровень фиксированных расходов, в-переменные расходы на произведенную (и проданную) продукцию. В таких обозначениях уравнение «прибыли-доходов-расходов» выглядит следующим образом:

П = Р*х - (а + в*х)        (1)

или

П = (Р - в)*х - а

Последняя форма уравнения подчеркивает, что все факторы делятся на зависящие от объема реализации и независящие от него. В частности, как уже говорилось, все расходы фирмы можно разделить на постоянные и переменные.

Заметим, что при определении параметров мы разделили издержки на производство реализованной и произведенной продукции. Данное различие является наиболее существенным для двух подходов в управленческом учете: Absorption costing и Direct costing. По методу Absorption costing калькулирование себестоимости продукции осуществляется с распределением всех затрат между реализованной продукцией и остатками товаров, то есть постоянные расходы являются запасоемкими. При методе Direct costing постоянные расходы полностью относятся на реализацию. [23, c. 101].

Использование уравнения (1) позволяет легко определить точку безубыточности путем несложных алгебраических преобразований.

Объем выпуска, при котором достигается точка безубыточности, определяется из условия: П = 0, и он равен

хо = (П + а)/ (Р - в) = а / (Р - в)        (2)

. Маржинальный доход.

Метод маржинального дохода есть модификация предыдущего. Под маржинальным (предельным) доходом мы будем понимать доход, который получает фирма от производства дополнительной единицы изделия.. Графический метод.

Два рассмотренных ранее метода по своей сути есть методы статические. В самом деле, мы рассматриваем фиксированные цену реализации, переменные расходы, постоянные расходы и прибыль. Далее на основе этих данных мы рассчитываем объем производства, при котором достигается заданная прибыль. Например, если отказаться от фиксированной величины прибыли, то мы получим зависимость между объемом выпуска и прибылью, которую легко выразить графически (рис. 1.1.5.). Для этого нам необходимо объединить на одном графике следующие три линии:

Рис. 1.1.5. Зависимость между объемом выпуска и прибылью

Таким образом мы получаем следующий график анализа поведения затрат, прибыли и объема продаж:

Рис. 1.1.6. График анализа поведения затрат

Заметим, что на этом графике линия выручки и линия переменных расходов исходят из одной точки и разница между ними и есть не что иное, как маржинальный доход. Используя данный график мы можем легко определить величину прибыли или убытка для того или иного объема выпуска.

Рис. 1.1.7. График определения величины прибыли или убытка

Иногда бывает достаточно удобно рассматривать не два графика выручки и общих затрат, а один график чистой прибыли фирмы, получаемый как разница между графиками выручки и общих затрат:

Рис. 1.1.8. График прибыли фирмы [5, c. 124]

Заметим, что при нулевом выпуске убыток в точности равен постоянным затратам.

Мы получили достаточно удобный инструмент графического анализа зависимости между выпуском, выручкой, затратами и прибылью. Данный метод можно использовать и при других характеристиках зависимостей между объемом производства и финансовыми показателями. Однако, следует отметить и недостаток, присущий рассматриваемому методу. Как и всякий графический метод, он дает не очень точные результаты. [17, c. 109].

Для того, чтобы можно было возможно точнее представлять область релевантности для CVP-анализа, перечислим допущения, использованные для построения вышеописанных моделей:

. Поведение общих затрат и выручки жестко определено и линейно в пределах области релевантности. Это предположение верно лишь для тех случаев, когда изменение выпуска продукции фирмы невелико по сравнению с емкостью рынка данной продукции. Иначе нарушается линейность зависимости между объемом выпуска и выручкой.

. Все затраты можно разделить на переменные и постоянные. О различных подходах к классификации затрат более подробно будет сказано в следующем параграфе.

. Постоянные расходы остаются независимыми от объема в пределах области релевантности. Очень важное предположение, существенно облегчающее анализ, но и сильно ограничивающее область релевантности. В самом деле, при таком предположении объем выпуска продукции ограничен имеющимися основными средствами. Ни увеличивать их объем, ни получать основные средства в аренду мы не можем.

Более реалистично предположение о том, что постоянные расходы изменяются ступенчато:

Рис. 1.1.9. График общих расходов (разрывная функция)

Однако, такое предположение сильно осложняет CVP-анализ, так как график общих расходов становится разрывной функцией.

В качестве более точного приближения можно предложить аналогичный ступенчатый график:

Рис. 1.1.10. График общих расходов (ступенчатая функция)

5. Цена реализации выпуска не меняется. Наиболее уязвимое предположение, так как цена реализации продукции зависит не только от действий самого предприятия, но и от структуры спроса на рынке, действий конкурентов, ситуации на рынке товаров-субститутов и т.д. Однако, такой анализ весьма сложен, и в каждом конкретном случае необходим индивидуальный подход.

. Цены на материалы и услуги, используемые в производстве, не меняются. Весьма спорное предположение, однако, это сильно облегчает анализ.

. Производительность не меняется.

. Отсутствуют структурные сдвиги. Остановимся на данном предположении. До сих пор мы рассматривали производство одного изделия. Соответственно, не возникали проблемы распределения издержек на различные изделия, определения их цен, определения эффективности производства каждого из изделий.

. На затраты релевантно влияет только объем производства. Очень важное для CVP-анализа предположение. Мы абстрагируемся от влияния внешней среды и причисляем к постоянным затратам все не зависящие от объема выпуска издержки производства.

. Объем производства равен объему продаж, или изменения начальных и конечных запасов в итоге незначительны.

Остается единственный невыясненный вопрос: откуда брать оценки цен и затрат на будущие периоды. Уже функционирующая компания берет эти значения из собственной статистики затрат и поведения цен с учетом будущих изменений в экономике.

1.2 Точка безубыточности и роль ее анализа в исследовании безубыточности

Анализ безубыточности и целевое планирование прибыли является неотъемлемой частью инвестиционного проектирования. Этот тип анализа показывает принципиальную выполнимость проекта и одновременно позволяет выяснить основные узкие места проекта в смысле достижения заданного значения прибыли, которая обеспечивает требуемую эффективность инвестиционного проекта.

Как показывает практика, наиболее эффективны те проекты, в соответствии с которыми производство функционируют на уровне близком к уровню полной мощности. Однако несмотря на это некоторые проекты приносят убытки в течение первых нескольких лет после их реализации - с годами ситуация улучшается, в то время, как другие продолжают работать с убытком достаточно долго

Если проект функционирует на более низком уровне использования производственных мощностей, доходы не могут покрыть все издержки. Когда уровень использования производственных мощностей возрастает, то можно надеяться, что будет достигнута ситуация, когда общие доходы будут равны общим издержкам. В этой точке нет ни прибыли, ни убытков. Такая ситуация называется ситуацией безубыточности.

В процессе проведения анализа безубыточности в его стандартном [классическом варианте] принимаются следующие допущения.

Используется классификация издержек по характеру их поведения при изменении объема реализации готовой продукции. Издержки подразделяются на постоянные и переменные. Предполагается, что вся произведенная продукция будет продана в течение планового периода времени.

В качестве критерия для анализа принимается прибыль до выплаты налогов, а не чистая прибыль. Для расчета точки безубыточности используются простые соотношения, основанные на балансе выручки:

Выручка = Переменные издержки + Постоянные издержки + Прибыль.

Запишем основное уравнение модели, символизирующее тот факт, что прибыль до выплаты налогов NI определяется суммарной выручкой за вычетом всех постоянных и переменных издержек

 (3)

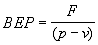
где F - величина постоянных издержек за период времени, а v - величина переменных издержек на единицу продукции.

Точка безубыточности по определению соответствует условию NI = 0, откуда

. (4)

Таким образом, для того, чтобы рассчитать точку безубыточности необходимо величину постоянных издержек разделить на разницу между ценой продаж продукции и величиной переменных издержек на единицу продукции. Последняя носит название единичного вложенного дохода (unit contribution margin).

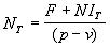
Если задача заключается в определении целевого объема продаж NT, т.е. такого значения объема продаж, которое соответствует заданному значению прибыли NIT, то используем аналогичное соотношение

 (5)

откуда

. (6)

Важной характеристикой успешной работы предприятия является величина запаса безопасности (Safety Margin), которая в относительной форме определяется в виде разности между запланированным объемом реализации и точкой безубыточности

 (7)

Чем выше этот показатель, тем безопаснее себя чувствует предприятие перед угрозой негативных изменений.

Сущность анализа безубыточности полностью раскрывается на графике безубыточности (см. рис. 1.2.1.). Этот график показывает объем произведенной продукции в натуральном выражении на горизонтальной оси и величину дохода или издержек в стоимостном выражении на вертикальной оси. Можно было бы построить аналогичный график, откладывая по горизонтальной оси объем выпуска в процентах к полной мощности.

Рис. 1.2.1. Графическое представление точки безубыточности АС - линия совокупных издержек; ОD - линия дохода

Линия АВ, показывающая постоянные издержки, которые не меняются в зависимости от объема, проходит параллельно оси Х. Вертикальное расстояние между линией АВ и линией АС при любом определенном объеме характеризует совокупные переменные издержки производства данного объема продукции, а вертикальное расстояние между ОА и АС при любом определенном объеме производства характеризует совокупные издержки производства данного объема. Когда продукция не реализуется совокупные издержки не равны нулю, а равны ОА. Когда объем выпуска равен Х, совокупные издержки представлены линией СХ, которая равна = ХВ + ВС (ХВ - фиксированные элементы издержек (то же, что ОА) и ВС - переменные элементы издержек).

Для каждой конкретной цены продажи единицы конечного продукта, линия ОD, будет показывать величину доходов при различных объемах продаж. Пересечение линии совокупного дохода с линией совокупных издержек определяет точку безубыточности (ТБ) «N», точку в которой совокупный доход равен совокупным издержкам (переменным и постоянным).

Рис. 1.2.2. Альтернативный вариант графического представления анализа безубыточности

АС - линия совокупных издержек; ОD - линия дохода

Существует еще один способ графического представления анализа безубыточности, который носит название «обратного графика безубыточности».,

Здесь переменные издержки представлены в виде расстояния по вертикали между осью ОХ и линией ОВ, начинающейся в начале О. Фиксированные издержки добавляются по вертикали, оставаясь постоянными, в результате чего линия совокупных издержек АС проходит параллельно ОВ на расстоянии, равном АО = ВС, что соответствует фиксированным издержкам.

2. Анализ безубыточности на примере ОАО «Татнефтегеофизика»

2.1 Общая характеристика финансово - хозяйственной деятельности ОАО «Татнефтегеофизика»

Открытое акционерное общество «Татнефтегеофизика» является крупнейшей в Российской Федерации высокотехнологичной геофизической сервисной компанией с полувековой историей, имеющей большой опыт успешной работы в различных климатических и геологических условиях не только в России, но также в странах СНГ, Азии и Ближнего Востока.

Наличие современных технологий, высокий профессионализм специалистов, реализация собственных научных разработок обеспечивает компании в условиях жесткой конкуренции на рынке геофизических услуг высокий рейтинг и успешное сотрудничество с ведущими компаниями России, ближнего и дальнего зарубежья.

ОАО «Татнефтегеофизика» является одной из ведущих высоко-технологичных геофизических компаний страны, с более чем полувековым опытом работы успешной работы в различных климатических и геологических условиях не только России, но и стран СНГ, Азии и Ближнего Востока.

ОАО «Татнефтегеофизика» проводит геолого-геофизических работы для разведки и эксплуатации месторождений нефти и газа, оказывает полный спектр геофизических услуг в нефтяных и газовых скважинах, включая горизонтальные, контроль за разработкой месторождений, самые современные методы линейной и объемной сейсморазведки, элек-тро-, грави - магниторазведки, аэрокосмического дешифрирования, обработка геолого-геофизической информации с помощью новейших вычислительных комплексов.

ОАО «Татнефтегеофизика» - крупнейшая геофизическая компания России, в которой трудятся более четырех тысяч человек. Мы располагаем практически всеми существующими в мировой практике методами геофизической разведки.

На сегодняшний день мы являемся первой российской компанией, открывшей свой филиал в Социалистической Народной Ливийской Арабской Джамахирии.

Избранный инновационный путь развития позволил компании в последние годы взять на вооружение современную высокоинформационную геофизическую аппаратуру, уникальные разработки, мощные электронно-вычислительные средства. Наличие современных технологий, высокопрофессиональных специалистов, реализация собственных научных разработок обеспечивают ОАО «ТНГ» в условиях жесткой конкуренции на рынке геофизических услуг высокий рейтинг и успешное сотрудничество с ведущими нефтяными компаниями, среди которых ОАО «Татнефть», РАО «Газпром», ЛУКОЙЛ, ТНК, «ЮКОС» и другие.

Акционерное общество «Татнефтегеофизика», г. Бугульма, осуществляет научную и практическую деятельность на рынке геофизических услуг вот уже более 50 лет. Вот уже на протяжении 10 лет компанией руководит Харисов Ринат Гатинович.

За 2013 год общество выполнило валовый объем работ на сумму 1690957,5 тысяч рублей (без НДС). По сравнению с 2012 годом объем выполненных работ вырос на 61,5%. По основным видам деятельности это выглядит следующим образом:

Таблица 2.1.1. Объем выполненных работ

Направления

Объем работ в тыс. руб., без НДС


2012 г.

Уд вес

2013 г.

Уд вес

2013/2012

Дирекция ГИС

535706,7

51,2%

858474,7

50,5%

160,3

Дирекция геологии

62950,1

6,0%

87232,7

5,2%

138,6

Разведочная дирекция

382406,3

36,5%

649732,5

38,4%

169,9

УПТО ГР

65952,2

6,3%

95327,7

5,6%

144,6

ВСЕГО

1047015,4

100%

1690767,7

100%

161,5

Без внутр объема

980554,7

93,7%

1590947,8

94,15

162,2


Анализируя выполненный объем в целом по обществу, следует отметить рост объемов по всем видам деятельности общества. Наибольший рост объемов наблюдается по геологоразведочным работам в текущих ценах на 169,9%, дирекции ГИС на 160,3%.

Рост объемов произошел за счет индексации стоимости единиц работ, а также за счет увеличения физического объема. Увеличение физического объема полевых сейсморазведочных работ произошло за счет увеличения сейсморазведки методом 2Д по сравнению с 2012 годом на 2096 пог. км. По методу 3Д наблюдается снижение физического объема на 342 кв. км. Индексация сейсморазведочных и сейсмокаротажных работ, финансируемым Министерством Экологии и Природных Ресурсов РТ была проведена в 4 квартале 2012 года за 2 полугодие 2013 г. в сумме 26297,3 тысяч рублей

Необходимо отметить, что в 2013 году у АО «Татнефтегеофизика» появились новые заказчики ЗАО «Ойлгазтэт», ЗАО «Пармаойл», ООО «Селена».

Увеличение объемов по сравнению с 2012 годом произошло по ТПП «Лангепаснефтегаз», по ЗАО «Славнефть Красноярск Нефтегаз», снижение объемов произошло в Оренбуржье в связи со сменой владельца и сменой руководства (АО «Оренбургнефть», АО «Оренбурггеология»).

На Куакбашской площади в Татарстане ведутся трехмерные работы с использованием в качестве источников возбуждений упругих колебаний, как сейсмических вибраторов, так и групповых взрывов по технологии исключающей рубку просек. При этом впервые в практике сейсморазведочных работ общества регистрация информации осуществляется радиотелеметрической системой «Eagle». В 2013 году АО «Татнефтегеофизика» выиграло тендер на производство работ на Тереховейской площади. По дирекции разведочной геофизики объем выполненных работ составил 649732,5 тыс. руб., в 2012 г. -382406,3 тыс. руб. Увеличение составило 69,9%. Удельный вес в общем объеме увеличился с 36,5% в 2012 году до 38,4% в отчетном году.

Выполним анализ финансовых результатов ОАО «Татнефтегеофизика».

Конечный финансовый результат - это балансовая прибыль или убыток, что представляет собой сумму результата от реализации продукции, результата от прочей реализации, сальдо доходов и расходов от внереализационных операций:

Рб = Рр ± Рпр ± Рвн

Рб03 = 17823 руб., Рб04 = 10952 руб.

Анализ финансовых результатов деятельности предприятия включает исследование, во-первых, изменений каждого показателя за текущий анализируемый период, во-вторых, исследование структуры соответствующих показателей и их изменений, в-третьих, изучение динамики изменения показателей финансовых результатов за ряд отчетных периодов.

Проведем вертикальный анализ финансовых результатов (табл. 2.1.1).

Таблица 2.1.1. Вертикальный анализ финансовых результатов


2012 год

2013 год

Приме

ПОКАЗАТЕЛЬ

руб.

%

руб.

%

Чания

1. Всего доходов и поступлений [стр. 2 + стр. 5]

446127

100,0

310163

100,0


2. Выручка от реализации продукции без НДС и акцизов

430677

96,5

289133

93,2

в% к с. 1

3. Затраты на производство реализованной продукции

412490

95,8

261518

90,4

в% к с. 2

4. Результат от реализации [стр. 2 - стр. 3]

18187

4,2

27615

9,6

в% к с. 2

5. Прочие доходы

15450

3,5

21030

6,8

в% к с. 1

6. Прочие расходы

15814

-

37694

-


7. Балансовая прибыль [стр. 4 + стр. 5 - стр. 6]

17823

4,0

10951

3,5

в% к с. 1

8. Платежи в бюджет

6238

35,0

7854

71,7

в% к с. 7

9. Чистая прибыль [стр. 7 - стр. 8]

11585

2,6

3097

1,0

в% к с. 1


Анализ и выводы по данным таблицы 2.1.1. делаем на основе относительных показателей.

Показатель по строке 2 уменьшился. Это говорит о том, что предприятие все больший доход получает не от основной деятельности, эту тенденцию следует признать позитивной, если она осуществляется не в ущерб основной деятельности.

Уменьшение показателя по строке 3 - положительная тенденция. Затраты на производство падают, следовательно увеличивается возможность получения предприятием дополнительной прибыли, повышается конкурентоспособность продукции. Но снижение показателя по строке 7 носит явно негативный характер, свидетельствующий об отрицательных тенденциях в организации производства на данном предприятии.

Таблица 2.1.2. Горизонтальный анализ и динамика финансовых результатов (руб.)

Наименование показателя

Код стр.

2012 год

2013 Год

Абсол. отклон.

Относит отклон.

Выручка [нетто] от реализации товаров, продукции, работ, услуг [за минусом НДС, акцизов и др.] [Np]

 010

 430677

 289133

 -141544

 67,13

Себестоимость реализации товаров, продукции, работ, услуг

020

412490

261518

-150972

63,40

Коммерческие расходы

030

-

-

-

-

Управленческие расходы

040

-

-

-

-

Прибыль [убыток] от реализации [стр. 010 - 020 - 030 - 040] [Рр]

050

18187

27615

9428

151,84

Проценты к получению

060

-

-

-

-

Проценты к уплате

070

-

-

-

-

Доходы от участия в других организациях

080

-

-

-

-

Прочие операционные доходы

090

377

2760

2383

732,10

Прочие операционные расходы

100

6695

4054

-2641

60,55

Результат от прочей реализации [Рпр]


-6318

-1294

5024

20,48

Прибыль [убыток] от финансово-хозяйственной деятельности [стр. 050 + 060 -070 +080 -090 -100]

110

11869

26321

14452

221,78

Прочие внереализационные доходы

120

15073

18270

3197

121,21

Прочие внереализационные расходы

130

9119

33640

24521

368,90

Сальдо доходов и расходов от внереализационных операций [Рвн]


5954

-15370

-21324

-258,15

Прибыль [убыток] отчетного периода [стр. 110 + 120 - 130] [Рб]

17823

10951

-6872

61,44

Налог на прибыль

150

6238

7854

1616

125,91

Чистая прибыль [стр. 140 - 150]


11585

3098

-8487

26,74

Отвлеченные средства

160

-

10761

10761


Нераспределенная прибыль[убыток] отчетного периода [стр. 140 - 150 - 160]

170

11585

-7663

-19248

-66,15


Для анализа и оценки уровня и динамики показателей финансовых результатов деятельности предприятия составляется таблица (см. табл. 3.1.2), в которой также используются данные отчетности из формы №2.

В отчетном периоде снизилась выручка от реализации у ОАО «Татнефтегеофизика «более чем на 32%, но также снизилась и себестоимость реализованных работ и услуг, что характерно, темп снижения себестоимости больше, чем темп снижения выручки от реализации. Это положительный момент, который говорит о снижении переменных расходов на производство продукции и оказание услуг и является фактором повышения прибыльности хозяйственной деятельности предприятия. В связи с этим прибыль от реализации продукции в 2013 году возросла более чем на 50%, по сравнению с 2012 годом.

Налог на прибыль в 2013 году больше, несмотря на меньшую балансовую прибыль. Связано это с тем, что налогооблагаемая прибыль в 2013 году больше аналогичного показателя 2012 года из - за корректировки балансовой прибыли на суммы не включаемых в затраты, снижающих налогооблагаемую прибыль, расходов - например, расходов на рекламу, представительских расходов, курсовых разниц по операциям в иностранной валюте.

И показатель чистой прибыли предприятия в 2013 году почти в четыре раза оказался меньше показателя чистой прибыли в 2012 году.

2.2 Анализ точки безубыточности и вероятности банкротства предприятия

Анализ безубыточности имеет своей целью определить, каким должен быть объем продаж для того, чтобы предприятие могло без посторонней помощи покрыть все свои расходы, не получая прибыли. В любом случае анализ безубыточности помогает определить важнейший этап на жизненном пути предприятия - точку, в которой средств, выручаемых от продаж, становится достаточно для оплаты понесенных им расходов.

Безубыточность - такое состояние, когда бизнес не приносит ни прибыли, ни убытков. Это выручка, которая необходима для того, чтобы предприятие начало получать прибыль. Ее можно выразить и в количестве единиц продукции, которую необходимо продать, чтобы покрыть затраты, после чего каждая дополнительная единица Проданной продукции будет приносить прибыль предприятию [7, c. 43].

Разность между фактическим количеством реализованной продукции и безубыточным объемом продаж продукции - это зона безопасности, и чем она больше, тем прочнее финансовое состояние предприятия.

Безубыточный объем продаж и зона безопасности предприятия являются основополагающими показателями при разработке бизнес-планов, обосновании управленческих решений, оценке деятельности предприятий, определять и анализировать которые должны уметь каждый бухгалтер, экономист, менеджер.

Определить их уровень в ОАО «Татнефтегеофизика» за 2013 год можно графическим и аналитическим способами.

Выручка (нетто) [В] 289133

Постоянные затраты [А] 70000

Переменные затраты

на весь выпуск продукции (3 пер) 160000

Прибыль от реализации продукции [П] 27615

Маржинальный доход (МД = В-Зпер) 129133

Доля маржинального дохода в выручке (Дмд) 0,45

Для определения безубыточного объема продаж выражении необходимо сумму постоянных затрат маржинального дохода в выручке:

Т = А / Дмд = 15555 тыс. руб.

Для расчета безубыточного объема продаж в процентах к максимальной производственной мощности, которая принимается за 100% может быть использована формула:

Т = А: МД * 100% = 70000: 129133 *100 = 54%.

В ОАО «Татнефтегеофизика» критическая точка расположена на уровне 50% возможного объема реализации продукции. Если пакеты заказов на изделия предприятия больше 54% от его производственной мощности, то будет прибыль. Если же пакет заказов будет менее 54% от фактической производственной мощности, то предприятие будет иметь убытки и может стать банкротом.

Одной из целей финансового анализа является своевременное выявление признаков банкротства предприятия. Банкротство связано с неплатежеспособностью предприятия.

Во всем мире процесс банкротства, то есть признание предприятия неплатежеспособным, регулируется законодательными актами и правительственными документами, издаваемыми государством. В Российской Федерации основные положения, связанные с несостоятельностью предприятий, определены Гражданским кодексом РФ и Федеральным законом РФ «О несостоятельности предприятия «от 8 января 2013 г. №6-ф.

Неудовлетворительное финансовое состояние предприятия, признаки приближения банкротства необходимо постоянно держать под контролем как финансовому менеджеру самого предприятия, так и аудитору, осуществляющему проверку этого предприятия.

Если после произведенных расчетов окажется, что «Z - счет» меньше 2,675 [критическое значение индекса Z], то банкротство возможно в обозримом будущем [2 - 3 года]; если «Z - счет» больше 2,675, то у предприятия достаточно устойчивое финансовое положение.

Применим данный метод определения признаков банкротства к нашему предприятию.

В 2012 году: «Z - счет «= 264320 / 457931 * 1,2 + 11585 / 457931 * 1,4 + 18187 / 457931 * 3,3 + 74759 / 383172 * 0,6 + 430677 / 457931 + 1 = 0,69 + 0,04 + 0,13 + 0,12 + 0,94 + 1 = 2,92

В 2013 году: «Z - счет «= 243775 / 443540 * 1,2 + [- 7663] / 443540 * 1,4 + 27615 / 443540 * 3,3 + 74759 / 368781 * 0,6 + 289133 / 443540 + 1 = 0,66 - 0,02 + 0,21 + 0,12 + 0,65 + 1 = 2,62

В 2012 году предприятие ОАО «Татнефтегеофизика «имело достаточно устойчивое финансовое положение, и вероятность банкротства была очень низкая. Ситуация несколько изменилась в 2013 году. Появилась перспектива возможного банкротства в обозримом будущем. Но так как значение данного показателя не намного отличается от критического значения индекса» Z - счет», то особых причин для беспокойства нет, хотя забывать о существующем факте не следует.

Меры по предотвращению банкротства предприятия связаны с эффективным управлением его финансами и производством, правильным определением стратегических целей и тактики их реализации.

Санация как досудебная, так и судебная представляет собой меры по восстановлению его платежеспособности.

Досудебная санация - меры по восстановлению платежеспособности должника, принимаемые собственником, учредителями, кредиторами и иными лицами в целях предупреждения банкротства.

Судебная санация - процедура банкротства, применяемая к должнику в целях восстановления его платежеспособности, с передачей полномочий по управлению должником внешнему управляющему.

Целями антикризисной стратегии предприятия должны быть:

обеспечение их ликвидности и платежеспособности на основе оптимального сочетания собственных и заемных источников средств;

получение прибыли и соответствующего уровня рентабельности, достаточного для удовлетворения всех своих потребностей для основной, инвестиционной и финансовой деятельности.

3. Пути улучшения финансовых результатов деятельности предприятия

3.1 Совершенствование условий создания и повышения прибыли

Прибыль - это денежное выражение основной части денежных накоплений, создаваемых предприятиями любой формы собственности.

Как экономическая категория она характеризует финансовый результат предпринимательской деятельности предприятия. Прибыль является показателем, наиболее полно отражающим эффективность производства, объем и качество произведенной продукции, состояние производительности труда, уровень себестоимости. Вместе с тем прибыль оказывает стимулирующее воздействие на укрепление коммерческого расчета, интенсификацию производства при любой форме собственности.

Обобщенно наиболее важные показатели финансовых результатов деятельности предприятия представлены в форме №2 годовой и квартальной бухгалтерской отчетности. К ним относятся: прибыль, от реализации продукции, прибыль от прочей реализации, доходы и расходы от внереализационных операций, балансовая прибыль, налогооблагаемая прибыль, чистая прибыль [16, c. 14].

Использование прибыли предприятия может идти по нескольким направлениям: платежи в бюджет, отчисления в резервный капитал и фонды, отвлечено на фонды накопления и потребления, благотворительные цели, другое.

Чистая прибыль, остающаяся в распоряжении предприятия, может идти по двум основным направлениям: в Фонд Накопления и Фонд Потребления.

Фонд Накопления, к которому можно отнести Фонд Капитальных Вложений на приобретение основных средств, другие фонды для приобретения работающих активов, служит базой для дальнейшего развития деятельности предприятия, увеличивает собственный капитал.

Например, снижение объемов продаж ОАО «Татнефтегеофизика» может быть следствием одновременно нескольких причин:

§  неконкурентное ценообразование;

§  изменения в рыночном спросе;

§  низкое качество продукции;

§  утрата технологического преимущества в производстве;

§  недостатки в стратегии / системе сбыта;

§  моральное устаревание продукции.

Часто для выправления негативной динамики продаж необходимо проведение одновременной реструктуризации по всем или по большинству из указанных выше направлений. Кроме того, такая динамика продаж, вероятно, приведет к снижению уровня доходности бизнеса и, как результат, ликвидности бизнеса компании [19, c. 13].

Недостаточный уровень ликвидности остается одной из самых актуальных проблем многих российских предприятий.

Каковы основные возможности для совершенствования условий создания и повышения прибыли ОАО «Татнефтегеофизика»? Обозначим лишь основные направления преобразований.

Улучшение финансовых результатов:

§  Изменение номенклатуры товарной продукции на более «молодую» и прибыльную.

§  Изменение структуры сбыта.

§  Оптимизация «цепочки» поставщиков.

§  Снижение доли постоянных статей расходов.

§  Достижение лучших условий от поставщиков.

§  Достижение лучших условий по обслуживанию существующих банковских долгов.

§  Оптимизация схем налогообложения.

Прогнозирование и управление денежными потоками:

§  Сокращение сроков оплаты по новым договорам продаж продукции.

§  Увеличение сроков оплаты поставщикам сырья, материалов и услуг.

§  Оптимизация программы капитальных вложений с точки зрения срочности и размеров отдельных ее статей.

§  Сокращение срока оборачиваемости товарно-материальных запасов и управление оптимальным уровнем таких запасов.

§  Высвобождение денежных средств за счет сокращения и управления уровнем дебиторской задолженности.

§  Управление уровнем кредиторской задолженности в пределах, допустимых по условиям контрактов.

Улучшение структуры баланса компании:

§  Управление коэффициентами ликвидности.

§  Списание безнадежных долгов и управление кредитными рисками.

§  Списание бесполезных запасов сырья и материалов и управление их уровнем и структурой.

§  Управление уровнем и структурой резервов, создаваемых в разных целях.

Эффект от таких преобразований тем выше, чем оперативнее действует руководство компании и чем больше направлений, по которым эти преобразования проводятся.

.2 Повышение рентабельности предприятия

Финансовое состояние - это совокупность показателей, отражающих наличие, размещение и использование финансовых ресурсов. Однако цель анализа состоит не только и не столько в том, чтобы установить и оценить финансовое состояние предприятия, но еще и в том, чтобы постоянно проводить работу, направленную на его улучшение. Анализ финансового состояния показывает, по каким конкретным направлениям надо вести эту работу, дает возможность выявления наиболее важных аспектов и наиболее слабых позиций в финансовом состоянии именно на данном предприятии. В соответствии с этим результаты анализа дают ответ на вопрос, каковы важнейшие способы улучшения финансового состояния конкретного предприятия в конкретный период его деятельности. [23, c. 58].

Показатели являются наиболее обобщенной характеристикой эффективности хозяйственной деятельности. И все они говорят о том, что в 2013 году на предприятии снизилась эффективность хозяйственной деятельности по сравнению с 2012 годом. А в целом можно сказать, что имущество, находящееся в распоряжении предприятия, используется недостаточно эффективно, неполно. Имеются значительные резервы для более рационального размещения источников средств предприятия, которые приведут к увеличению показателей прибыли предприятия и увеличат рентабельность.

Для обобщения анализа финансовых результатов воспользуемся сводной таблицей рассчитанных показателей (табл. 3.2.1.).

Таблица 3.2.1. Оценка показателей прибыли и рентабельности предприятия (%)

ПОКАЗАТЕЛЬ

2012 г.

2013 г.

Изменение

Пояснения

Чистая прибыль на 1 руб. оборота

2,69

1,07

-1,62

Снизилась

Прибыль от реализации продукции на 1 руб. реализации продукта

4,22

9,55

5,33

Выросла

Прибыль от всей реализации на 1 руб.оборота

2,76

9,10

6,34

Выросла

Общая прибыль на 1 руб. оборота

4,14

3,79

- 0,35

Снизилась

Общая рентабельность предприятия

5,17

2,43

- 2,74

Низкая

Чистая рентабельность предприятия

3,36

0,69

- 2,67

Низкая

Чистая рентабельность собственного капитала

15,50

4,14

- 11,36

Очень низкая

Общая рентабельность производственных фондов

27,04

12,74

- 14,30

Очень низкая



Таким образом, показатели прибыли от реализации продукции, прибыли от всей реализации на 1 руб. оборота возросли, что свидетельствует о положительных изменениях в деятельности фирмы. Но из - за различной налогооблагаемой базы в 2012 и 2013 годах, прибыль, подлежащая налогообложению в 2013 году оказалась выше аналогичного показателя в 2012 году, что привело к большей величине налога на прибыль и снижению чистой прибыли предприятия на 1 руб. оборота. Данный факт говорит о том, что необходимо пересмотреть затраты предприятия, включаемые в себестоимость продукции и относимые на прибыль предприятия в установленных размерах.

Общая прибыль предприятия ОАО «Татнефтегеофизика» достаточно низкая, что говорит о наличии резерва в использовании средств предприятия - как собственных, так и заемных. Также данный показатель говорит о том, что на предприятии имеется достаточно большое количество основных фондов, которые используются недостаточно эффективно, и улучшить финансовое положение фирмы могут действия, направленные на избавление от ненужных основных средств, либо действия по их более эффективному использованию [22, c. 69].

Приняв во внимание выявленные в ходе анализа негативные явления, можно дать некоторые рекомендации по повышению рентабельности:

§  принять меры по снижению кредиторской задолженности;

§  следует увеличить объем инвестиций в основной капитал и его долю в общем имуществе организации;

§  необходимо повышать оборачиваемость оборотных средств предприятия; особенно обратить внимание на приращение быстрореализуемых активов;

§  обратить внимание на организацию производственного цикла, на рентабельность продукции, ее конкурентоспособность.

§  изменить отношение к управлению производством,

§  усовершенствовать структуру управления,

§  совершенствовать кадровую политику,

§  продумывать и тщательно планировать политику ценообразования,

§  изыскивать резервы по снижению затрат на производство,

§  активно заниматься планированием и прогнозированием управления финансов предприятия.

Заключение

Задачами экономического анализа финансового состояния являются: объективная оценка использования финансовых ресурсов на предприятиях, выявление внутрихозяйственных резервов укрепления финансового положения, а также улучшение отношений между предприятиями и внешними финансовыми, кредитными органами и др.

В отчетном периоде снизилась выручка от реализации у ОАО «Татнефтегеофизика» более чем на 32%, но также снизилась и себестоимость реализованных работ и услуг, что характерно, темп снижения себестоимости больше, чем темп снижения выручки от реализации. Это положительный момент, который говорит о снижении переменных расходов на производство продукции и оказание услуг и является фактором повышения прибыльности хозяйственной деятельности предприятия. В связи с этим прибыль от реализации продукции [работ, услуг] в 2013 году возросла более чем на 50%, по сравнению с 2012 годом.

Результат от прочей реализации - убыток как в 2012, так и в 2013 году, стал меньше в 2013 году, что является еще одним положительным моментом и что позволило в 2013 году повысить показатель прибыли от финансово - хозяйственной деятельности по сравнению с 2012 годом более чем в два раза.

Но результат от внереализационных операций в 2013 году был значительно хуже, чем в 2012 году. Это существенно снизило преимущества результатов хозяйственной деятельности предприятия в 2013 году по сравнению с 2012 годом. И под влиянием результата от внереализационных операций балансовая прибыль 2013 года ниже аналогичного показателя 2012 года почти на 40%. Этот факт указывает на узкое место в деятельности предприятия и обращает внимание на необходимость снижения внереализационных убытков.

Также негативным фактом является появление в 2013 году большого количества отвлеченных средств, что снижает прибыль, остающуюся в распоряжении предприятия и даже приводит к появлению убытка в 2013 году. Если обратиться к данным аналитического учета по данной статье, то видно, что данная сумма была отвлечена на уплату штрафов в налоговую инспекцию за несвоевременно сданный баланс.

Рассматривая факторный анализ изменения прибыли предприятия, видно, что два фактора - повышение отпускных цен и уменьшение себестоимости, положительно повлияли на изменение прибыли. Изменение объема продукции снизило прибыль предприятия, отрицательно сказавшись на ее изменении.

Анализируя данные баланса предприятия, видно, что кредиторская задолженность - статья баланса, которая имеет наибольший удельный вес. Ее значение возросло. Это свидетельствует о том, что покупатели и заказчики перечисляют в счет авансов за работы и услуги денежные средства в большом количестве. С одной стороны, это положительный момент, так как предприятие ОАО «Татнефтегеофизика «для выполнения своих работ пользуется заемными средствами, увеличивая возможности собственного производства и снижая необходимость дополнительных собственных капиталовложений.

За 2013 год структура актива баланса предприятия ухудшилась. Уменьшилась валюта баланса, что явилось средством снижения как иммобилизованных активов, так и оборотных активов. Произошел отток денежных средств. Вместе с тем показатель по статье «Запасы и затраты» вырос, что свидетельствует об увеличении производственных запасов. Дебиторская задолженность также возросла, причем более чем в три раза. Уменьшение данной статьи может служить резервом увеличения статьи» Денежные средства «и может повлиять в будущем на снижение статьи» Убытки».

Собственный капитал в 2013 году не увеличился, но заемный капитал уменьшился. Однако превышение заемного капитала над собственным осталось значительным. В 2012 и 2013 годах предприятие не пользовалось кредитами и займами. Использование финансовых ресурсов предприятия в 2013 году было менее эффективным, чем в предшествующем периоде.

Денежные средства и активные расчеты не достаточны для покрытия краткосрочной задолженности предприятия. В 2012 году, так же, как и в 2013, имеется недостаток собственных оборотных средств. Причем в 2013 году он увеличился более чем в полтора раза. Это говорит о негативных изменениях в ликвидности баланса предприятия.

Анализируя финансовую устойчивость, видно, что предприятие находится в неустойчивом финансовом состоянии. Хотя источники формирования превышают запасы и затраты на значительную сумму, это происходит из - за наличия источников средств, снимающих финансовую напряженность [превышение нормальной кредиторской задолженности над дебиторской].

Анализ ликвидности баланса говорит о том, что с точки зрения возможностей своевременного осуществления расчетов предприятие ОАО «Татнефтегеофизика «имеет определенный ряд недостатков: имеется платежный недостаток по погашению краткосрочных обязательств, который в 2013 году еще более увеличился. То есть на предприятие существует несоответствие по срочности в обязательствах и возможности реализации активов.

Деловая активность предприятия снизилась, уменьшилась эффективность использования имеющихся ресурсов и средств. Предприятие достаточно сильно зависит от своих кредиторов.

Платежеспособность предприятия на конец 2012 и 2013 годов была вполне удовлетворительна, то есть на 01.01.04 г. предприятие могло погасить более половины своей краткосрочной задолженности, а на 01.01.99 г. - чуть более четверти. В 2012 году коэффициент абсолютной ликвидности даже превышал ориентировочно установленные нормы.

ОАО «Татнефтегеофизика» необходимо:

§ принять меры по снижению кредиторской задолженности;

§  следует увеличить объем инвестиций в основной капитал и его долю в общем имуществе организации;

§  необходимо повышать оборачиваемость оборотных средств предприятия; особенно обратить внимание на приращение быстрореализуемых активов;

§  обратить внимание на организацию производственного цикла, на рентабельность продукции, ее конкурентоспособность.

§  изменить отношение к управлению производством,

§  усовершенствовать структуру управления,

§  совершенствовать кадровую политику,

§  продумывать и тщательно планировать политику ценообразования,

§  изыскивать резервы по снижению затрат на производство,

§  активно заниматься планированием и прогнозированием управления финансов предприятия.

Список использованной литературы

1. Абрамов С.И. Инвестирование. - М.: Центр экономики и маркетинга, 2012. - 440 с.

2.       Агапцов С.А. Предпринимательский потенциал промышленности: Монография / ВАГС. - Волгоград: Перемена, 2010. - 281 с.

.        Агапцов С.А., Мордвинцев А.И., Полонский А.М. Предпринимательская система хозяйствования: Монография. - Волгоград: ТОО «Принт», 2013. - 256 с.

.        Акофф Р. Планирование будущего корпорации. - М.: Прогресс, 2012. - 326 с.

.        Антикризисное управление: от банкротства - к финансовому оздоровлению / Под ред. Г.П. Иванова. - М.: Закон и право, ЮНИТИ, 2013. - 320 с.

.        Артеменко В.Г., Беллендир М.В. Финансовый анализ: Учебное пособие. - М.: Издательство «ДИС», НГАЭиУ, 2012. - 128 с.

.        Астахов В.П. Анализ финансовой устойчивости фирмы и процедуры, связанные с банкротством. - М.: Изд-во «Ось-89», 2011-80 с.

.        Баканов М.И., Шеремет А.Д. Теория экономического анализа: Учебник для вузов. - М.: Финансы и статистика, 2012. - 414 с.

.        Балабанов И.Т. Анализ и планирование финансов хозяйствующего субъекта. - М.: Финансы и статистика, 2012. - 109 с.

.        Балабанов И.Т. Основы финансового менеджмента, как управлять капиталом? - М.: Финансы и статистика, 2011. - 383 с.

.        Белолипецкий В.Г. Финансы фирмы: Курс лекций/ Под ред. И.П. Мерзлякова. - М.: Инфра-М, 2013. - 298 с.

.        Бернстайн Л.А. Анализ финансовой отчетности: Пер. с англ. - М.: Финансы и статистика, 2012. - 624 с.

.        Бланк И.А. Словарь-справочник финансового менеджера. - Киев: Ника-Центр, 2013. - 480 с.

.        Бланк И.А. Стратегия и тактика управления финансами. - Киев.: МП «ИТЕМлтд» СП «АДЕФ-Украина», 2012. - 534 с.

.        Бланк И.А. Финансовый менеджмент: учебный курс. - К.: Ника-Центр, 2013. - 528 с.

.        Бородина Е.И., Голикова Ю.С., Колчина Н.В., Смирнова З.М. Финансы предприятий. - М.: Банки и биржи, 2011. - 208 с.

.        Вавилов Н., Фокин Ю. Успехи и трудности повышения эффективности производства // Экономист. - 2002.- №1 -66-75 с.

.        Васильев А.А. Модели управления процессом бюджетного планирования на предприятиях. Межвузовский сборник трудов молодых ученых по итогам работы межвузовского аспирантского семинара / ВолгГТУ. - Волгоград, 2013. -16 с.

.        Винслав Ю. Финансовый менеджмент в крупных корпоративных структурах // Российский экономический журнал. - 2012. - №3.-7 с.

.        Виханский О.С., Наумов А.И. Менеджмент. Учебник - М.: Гардарика, 2013. - 363 с.

.        Герчикова И.Н. Финансовый менеджмент: Учебное пособие - М.: Изд-во АО «Консалтбанкир», 2012. - 208 с.

.        Глазьев С. Как добиться экономического роста [макродинамика переходной экономики: упущенные возможности и потенциал улучшения. // Российский экономический журнал. - 2012.- №73 -19 с.

.        Голанский М.М. Саморазвивающиеся системы в экономическом анализе и планировании. - М.: Наука, 2012. - 189 с.

Похожие работы на - Теоретические аспекты безубыточности предприятия

 

Не нашли материал для своей работы?
Поможем написать уникальную работу
Без плагиата!
Без нейросетей!