Анализ лекарственных препаратов и лекарственных форм, содержащих антибиотики (пенициллины, стрептомицины, тетрациклины)

  • Вид работы:
    Курсовая работа (т)
  • Предмет:
    Медицина, физкультура, здравоохранение
  • Язык:
    Русский
    ,
    Формат файла:
    MS Word
    1,04 Мб
  • Опубликовано:
    2014-04-17
Вы можете узнать стоимость помощи в написании студенческой работы.
Помощь в написании работы, которую точно примут!

Анализ лекарственных препаратов и лекарственных форм, содержащих антибиотики (пенициллины, стрептомицины, тетрациклины)

МИНОБРНАУКИ РОССИИ

ФЕДЕРАЛЬНОЕ ГОСУДАРСТВЕННОЕ БЮДЖЕТНОЕ

ОБРАЗОВАТЕЛЬНОЕ УЧРЕЖДЕНИЕ ВЫСШЕГО ПРОФЕССИОНАЛЬНОГО ОБРАЗОВАНИЯ "ВОРОНЕЖСКИЙ ГОСУДАРСТВЕННЫЙ УНИВЕРСИТЕТ"

(ФГБОУ ВПО «ВГУ»)

Фармацевтический факультет ФАРМАЦЕВТИЧЕСКАЯ ХИМИЯ

Кафедра фармацевтической химии и фармацевтической технологии


КУРСОВАЯ РАБОТА

Тема: «Анализ лекарственных препаратов и лекарственных форм, содержащих антибиотики (пенициллины, стрептомицины, тетрациклины)»

Выполнил: студент

курса 506 гр. (ВПО з/о)

Гаврилова Ирина Николаевна






ВОРОНЕЖ 2013г.

Введение

Антибиотики - это химиотерапевтические вещества, образуемые микроорганизмами или полученные из других природных источников, а также их производные и синтетические продукты, обладающие способностью избирательно подавлять в организме больного возбудителей заболевания или задерживать развитие злокачественных новообразований. Антибиотики отличаются от других лекарственных средств гетерогенностью, т.е. многокомпонентностью состава. Для каждого антибиотика существует фермент, который его инактивирует. Оценка качества природных и полусинтетических антибиотиков проводится по токсичности, которая определяется биологическими методами на животных. Значительную часть антибиотиков выпускают в виде герметически укупоренных сухих рассыпок вследствие их нестабильности в водных растворах. Антибиотики занимают первое место среди препаратов, вызывающих побочные реакции; это прямая токсичность, дисбактериозы, нефро- и ототоксичность (стрептомицин), аллергические реакции (пенициллин). Поскольку антибиотики в большинстве случаев являются смесями веществ, их активность определяется в единицах действия (ЕД). Метод основан на сравнении угнетения роста тест-микроорганизма определенными концентрациями испытуемого препарата с угнетением роста известными концентрациями стандартного препарата антибиотика.

В медицинской практике используются около 25 тыс. лекарственных препаратов. При этом почти 90 % лекарств разработаны в последние десятилетия, что позволяет говорить о «фармацевтическом взрыве». Растет не только число лекарственных средств, но и сила их воздействия на организм. С внедрением в клиническую практику таких высокоэффективных лекарственных средств, как антибиотики, существенно расширяются возможности лечения различных заболевании.

Однако с ростом эффективности лекарственных средств сужается спектр их терапевтического действия и увеличивается риск осложнений лекарственной терапии. В среднем современная лекарственная терапия сопровождается осложнениями у 19-33 % больных, до 8 % людей госпитализируются по поводу лекарственных осложнений, у 2-3 % с медикаментозными осложнениями неправильное лечение может закончиться летальным исходом.[3]

Поэтому данная тема очень актуальна в настоящее время.

Цель данной курсовой работы - провести анализ лекарственных веществ и лекарственных форм, содержащих антибиотики.

Задачи:

. Выявить значение лекарственных веществ и лекарственных форм, содержащих антибиотик;

. Выявить правила хранения;

. Изучить характеристику физических, химических и фармакологических свойств;

. Изучить существующие методы идентификации и количественного определения.

1. Применение антибиотиков в медицине

В клинике применяют около 40 антибиотиков, не оказывающих вредного действия на организм человека. Для достижения лечебного действия необходимо поддержание в организме так называемых терапевтических концентраций, особенно в очаге инфекции. Повышение концентрации антибиотиков в организме более эффективно, но может осложниться побочными действиями препаратов. При необходимости усилительное действие антибиотика можно применять несколько антибиотиков (например, стрептомицин с пенициллином), а также эфициллин (при воспалении лёгких) и другие лекарственные средства (гормональные препараты, антикоагулянты и др.). Сочетания некоторых антибиотиков оказывают токсическое действие, и поэтому их комбинации применять нельзя. Пенициллинами пользуются при сепсисе, воспалении лёгких, гонорее, сифилисе и др.

Бензилпенициллин, экмоновоциллин (новокаиновая соль пенициллина с экмолином) эффективны против стафилококков; бициллины-1, -3 и -5 (дибензилэтилендиаминовая соль пенициллина) используют для профилактики ревматических атак. Ряд антибиотиков - стрептомицина сульфат, паскомицин, дигидрострептомицинпаскат, пантомицин, дигидрострептомицинпантотенат, стрептомицин-салюзид, а также циклосерин, виомицин (флоримицин), канамицин и рифамицин - назначают при лечении туберкулёза. Препараты синтомицинового ряда используют при лечении туляремии и чумы; тетрациклины - для лечения холеры. Для борьбы с носительством патогенных стафилококков применяют лизоцим с экмолином.

Полусинтетические пенициллины с широким спектром действия - ампициллин и гетациллин - задерживают рост кишечной, брюшнотифозной и дизентерийной палочек.

Длительное и широкое применение антибиотиков вызывало появление большого количества устойчивых к ним патогенных микроорганизмов. Практически важно возникновение устойчивых микробов одновременно к нескольким антибиотикам - перекрёстная лекарственная устойчивость. Для предупреждения образования устойчивых к антибиотикам форм периодически заменяют широко применяющиеся антибиотиков и никогда не применяют их местно на раневые поверхности. Заболевания, вызванные устойчивыми к антибиотикам стафилококками, лечат полусинтетическими пенициллинами (метициллин, оксациллин, клоксациллин и диклоксациллин), а также эритромицином, олеандомицином, новобиоцином, линкомицином, лейкоцином, канамицином, рифамицином; против стафилококков, устойчивых ко многим антибиотикам, применяют шинкомицин и йозамицин. Кроме устойчивых форм, при применении антибиотиков (чаще всего стрептомицина) могут появляться и так называемые зависимые формы (микроорганизмы, развивающиеся только в присутствии антибиотиков). При нерациональном использовании антибиотиков активизируются патогенные грибы, находящиеся в организме, что приводит к кандидозу. Для профилактики и лечения кандидозов употребляют антибиотики нистатин и леворин.

В некоторых случаях при лечении антибиотиками развиваются побочные явления. Пенициллин при длительном применении в больших дозах оказывает токсическое действие на центральную нервную систему, стрептомицин - на слуховой нерв, и т. п. Эти явления ликвидируют уменьшением доз. Сенсибилизация (повышенная чувствительность) организма может проявляться независимо от дозы и способа введения антибиотиков и выражаться в обострении инфекционного процесса (поступление в кровь больших количеств токсинов вследствие массовой гибели возбудителя), в рецидивах заболевания (в результате подавления иммунобиологических реакций организма), суперинфекции, а также аллергических реакциях.[6]

2. Оценка качества, хранения и отпуск лекарственных форм с антибиотиками

Лекарственные формы с антибиотиками оценивают так же, как и другие лекарственные формы, то есть проверяют правильность документации, упаковку (укупорку); органолептический контроль (цвет, запах, наличие осадка); отсутствие механических примесей (жидкие лекарства), отклонение в объеме или массе, однородность смешивания (порошки, мази), температуру плавления, время полной деформации (суппозитории). Хранение лекарственных форм с антибиотиками основывается, прежде всего, на физико-химических свойствах каждого антибиотика в отдельности. Так, например, водные растворы полимиксина М сульфата хранят в течение 7 дней при температуре 4--10 °C. Грамицидин в водном растворе хранится не более 3 дней, в то время как в спиртовых и жировых растворах он не инактивируется долгое время. Общим требованием к хранению лекарственных форм с антибиотиками является температура в условиях холодильника, защищенное от света место, рН среды. В буферном растворе с рН = 6,5 устойчивость солей бензилпенициллина повышается до 15-20 дней при температуре до +5 °C. Лекарства с антибиотиками отпускают в стерильной посуде, максимально исключающей попадание микрофлоры, оформляют этикетками «Приготовлено асептически», «Хранить в прохладном месте».[15]

. Пенициллины

Бензил пенициллин открыт А. Флемингом (1929) и до сих пор широко используется в медицине.

К природным пенициллинам относят бензилпенициллин и феноксиметилпенициллин. Бензилпенициллин является довольно сильной кислотой, гигроскопичен, быстро инактивируется и поэтому применяется в виде солей с неорганическими и органическими основаниями. Феноксиметилпенициллин обладает большей устойчивостью, применяется в виде кислоты.

Соли бензилпенициллина и феноксиметипенициллина активны в отношении грамположительных микроорганизмов (относительно узкий спектр действия), неустойчивы к действию кислот и пенициллазы.
Эти недостатки природных пенициллинов стимулировали поиск новых антибиотиков. В конце 50-х гг. XX столетия начались работы по созданию активных полусинтетических антибиотиков на основе 6-аминопенициллановой кислоты (6-АПК). Ацилирование 6-АПК хлорангидридами различных кислот позволило получить ряд полусинтетических пенициллинов, устойчивых к кислотам, пенициллиназе и и меющих более широкий, спектр действия.

Химические строение и физико-химические свойства.

Общая формула пенициллинов:


В основе строения пенициллинов лежит 6-АПК, которая представляет собой гетероциклическую систему, состоящую из 2 конденсированных колец: четырехчленного - β-лактамного (В) и пятичленного - тиазолидинового (А) (рис. 2). 6-AПК является дипептидом, состоящим из L-цистеина и L-валина. Пенициллины отличаются друг от друга строением ацильного остатка в аминогруппе 6-АПК. Пенициллины представляют собой белые или почти белые кристаллические порошки. Пенициллины со свободной карбоксильной группой в 3-м положении (например, феноксиметилпенициллин, ампициллин, амоксициллин) мало растворимы в воде. Соли щелочных металлов (натриевая и калиевая соли бензил пенициллина, натриевые соли оксациллина, ампициллина, динатриевая соль карбенмциллина) легко растворимы в воде; соли органических оснований (новокаиновая соль бензил пенициллина) мало растворимы в воде. Соли бензилпенициллина неустойчивы в растворах и разрушаются при приеме внутрь (в кислой среде), феноксиметилпенициллин более устойчив в кислой среде и может применяться внутрь в виде таблеток.

Зависимость между химическим строением и биологическим действием:

- характер радикала определяет степень связывания пенициллина белками; 2 - заместитель в о-положении фенильного радикала влияет на устойчивость к пенициллиназе; 3 - характер связи фенильного радикала с метиленовой группой определяет кислотоустойчивость пенициллинов; 4 - заместитель атома водорода в метиленовой группе определяет спектр действия пенициллина; 5 - расщепление β-лактамной связи приводит к исчезновению свойств антибиотика и появлению аллергического действия; 6 заместитель в карбоксильной группе дает возможность получения солевых форм пенициллинов; П - пенициллиназа расщепляет β-лактамное ядро; А - амидаза расщепляет амидную связь.

Химические свойства и реакции подлинности.

Наиболее лабильной частью молекулы пенициллина является β-лактамное кольцо, которое подвергается гидролитическому расщеплению под действием щелочей, кислот, фермента пенициллиназы с потерей биологической активности.

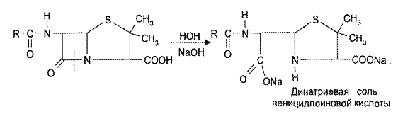
Реакция щелочного гидролиза пенициллинов используется в гидроксамовой реакции, в количественном йодометрическом определении пенициллинов.

Щелочи и пениниллиназа гидролизуют β-лактамное кольцо с образованием неактивной пенициллоиновой кислоты:


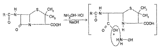
Гидроксамовая реакция.

Гидроксамовая рекция основана на наличии β-лактомного кольца в молекуле пенициллина. При взаимодействии пинициллинов со щелочным раствором гидроксиламина гидрохлорида происходит реакция гидроксиламинолиза с образованием гидроксамовой кислоты, которая после подкисления образует окрашенные комплексные соли с солями тяжелых металлов: с солями железа (Ш) фиолетового цвета раствор гидроксамата железа (III) и зеленого цвета осадок гидроксамата меди (II):

Гидроксамат железа (III) Гидроксамат меди (II) (красно-фиолетовый раствор) (зеленый осадок)

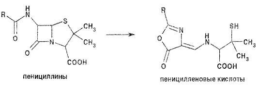
Образование пенилловой и пенициленовой кислот, их использование в анализе.

Под действием кислот пенициллины инактивируются с образованием пенилловой (при рН 2,0) и пеницилленовой (при рН 5,0) кислот. В обоих случаях на 1-м этапе расщепляется β-лактамный цикл с образованием пенициллоиновой кислоты. Затем происходит конденсация карбоксильной или амидной группы с гидроксильной группой ацильного радикала:


Реакция с реактивом Марки.

Пенициллины с реактивом Марки (раствор формалина в концентрированной серной кислоте) образуют окрашенные продукты. Наиболее характерной эта реакция является для феноксиметилпенициллина (красное окрашивание при комнатной температуре и углубление окраски при нагревании). Реакция протекает за счет феноксиуксусной кислоты, которая образуется из феноксиметилпенициллина при действии концентрированной серной кислоты.

Фенол с реактивом Марки образует ауриновый краситель красного цвета. Ампициллин и амоксициллин за счет остатка аминокислоты в ацильной части молекулы дают реакцию с нингидрином и солями меди (II) (с реактивом Фединга или раствором меди сульфата).

Испытания на чистоту.

Пенициллины могут легко изменяться пол влиянием внешних воздействий, поэтому для них обязательным является испытание на прозрачность и цветность.

Все препараты оптически активны (правовращающие). УФ-спектрофотометрия используется для определения посторонних примесей. Поглощение при 320 нм обусловлено образованием тиольной формы пенициллоиновой кислоты.

Методы количественного определения.

Количественное определение пенициллинов проводят йодометрическим методом. Соли бензилпенициллина растворяют в воде, а феноксиметилпенициллин - в фосфатном буфере с рН 7,0. Затем добавляют раствор гидроксида натрия и оставляют на 20 мин. После щелочного гидролиза к смеси прибавляют соляную кислоту, раствор ацетатного буфера (рН 4,5) и избыток 0,01 н. раствора йода. Оставляют на 20 мин в темном месте и титруют избыток 0,01 н. раствора йода 0,01 и. раствором натрия тиосульфата. Параллельно проводят контрольный опыт с таким же количеством препарата, но без щелочного гидролиза.


При щелочном гидролизе происходит раскрытие β-лактамного кольца с образованием пенициллоиновой кислоты в открытой тиольной форме. Пенициллоиновая кислота при рН 4,5 гидролизуетея в присутствии окислителя (йод) до пенальдиновой кислоты и пеницилламина, которые окисляются раствором йода соответственно до дегидроиенальдиновой и пеницилламиновой кислоты (1).


Природные пениииллины: грамположительные и грамотрицательные кокки (за исключением пенициллиназообразующих штаммов эпидермального и золотистого стафилококков, энтерококков), палочки (листерии, дифтерийная, сибиреязвенная палочки), спирохеты (бледная спирохета, лептоспиры, боррелии), спорообразующие анаэробы (клостридии), споронеобразующие анаэробы (пептострептококки, фузобактерии), актиномицеты.

Полусинтетические пениииллины: пенициллиназоустойчивые пенициллины имеют спектр противомикробного действия, аналогичный таковому природных пенициллинов, а также воздействуют на пенициллиназообразующие стафилококки. Ампициллин и амоксициллин имеют аналогичный природным пенициллинам спектр действия, а также дополнительно влияют на энтерококки, сальмонеллы, шигеллы, протей, кишечную палочку, гемофильную палочку. Карбенициллин, тикарциллин (карбоксипенициллины), азлоциллин, пиперациллин (уреидопенициллины) дополнительно действуют на бактероиды (в высокой концентрации) и некоторые штаммы синегнойной палочки.

4. Тетрациклины

Это группа природных антибиотиков, продуцируемых Streptomyces aurefaciens, Str. rimosus и другими родственными микроорганизмами, и их полусинтетических производных.



В основе механизма антибактериального действия тетрациклинов лежит подавление ими биосинтеза белка микробной клетки на уровне рибосом; они блокируют связывание аа-тРНК на А участке рибосомы 70S.

Тетрациклины обладают бактериостатическим эффектом, который связан с нарушением синтеза белка в микробной клетке.

Тетрациклины считаются АМП <#"726944.files/image010.gif">

. Окситетрациклин с различными диазотированными соединениями дает окрашенные продукты. При прибавлении к окситетра-циклину раствора диазотированной сульфаниловой кислоты появляется интенсивная оранжево-желтая окраска.

. Для отличия от хлортетрациклина пользуются в качестве проявителя при бумажной хроматографии 2%-ным раствором пара-диметиламинобензальдегида в 1,2 н. соляной кислоте. Хлор-тетрациклин через 5-8 часов после обработки бумаги таким раствором дает грязновато-желтое пятно, тогда как окситетрациклин в тех же условиях окрашивает бумагу в сине-зеленый цвет. Чувствительность реакции 5 y антибиотика, распределенного на поверхности диаметром 1 см.

К 1 мл 0,05%-ного раствора хлор/тетрациклина добавляют 0,15 мл серной кислоты; смесь в течение 2 минут нагревают в кипящей воде. При этом хлортетрациклин дает интенсивное желтое окрашивание, а в растворе окситетрациклина выпадает желтый осадок. В этом случае к раствору окситетрациклина перед нагреванием добавляется 0,1 мл 1 молярного раствора нитрита натрия, сначала появляется оранжево-красное окрашивание, а затем выпадает желтый осадок.

. С реактивом Несслера выпадает осадок зеленого цвета.

. С раствором нитропруссида натрия выпадает темно-зеленый осадок. Эта реакция очень характерна, так как хлортетрациклин дает красный студнеобразный осадок.


Количественное определение.

Колориметрический метод с хлорным железом. Приготовляется раствор, содержащий примерно 0,5 мг окситетрациклина в 1 мл при рН 2,0. Один или два эквивалента раствора доводят 0,01 н. соляной кислотой до 10 мл и добавляют 10 мл 0,05%-ного раствора хлорного железа в 0,01 н. соляной кислоте. Перемешанный раствор оставляют при комнатной температуре в течение 10 минут. При этом появляется оранжево-коричневая окраска, стабильная в течение 2 часов.

Для колориметрирования пользуются фотоэлектроколориметром со светофильтром, имеющим длину волны 490 ммк; для сравнения применяется реактив, приготовленный в то же время и таким же образом, что и раствор окситетрациклина. Концентрацию анализируемого раствора определяют по стандартной кривой, полученной при определении раствора, содержащего 500 у/мл окситетрациклина в 0,01 н. соляной кислоте; рН этого раствора равен примерно 2,0. Погрешность опытов составляет 2%. Метод применим для анализа окситетрациклина в капсюлях, таблетках и мазях при содержании его в растворе от 50 у/мл и выше.Возникновение оливково-зеленого цвета раствора через 10 минут после прибавления реактива указывает на разрушение окситетрациклина и невозможность проведения колориметрического определения.

. Стрептомицины

Группа аминогликозидов объединяет родственные по химическомустроению и антимикробному спектру антибиотики олигосахаридной природы - стрептомицины, гентамицины, неомицины, канамицины, мономицины и др., а также полусинтетический аминогликозид амикацин. Общее название «аминогликозиды» принято для этой группы антибиотиков в связи с тем, что в составе их молекул содержатся аминосахара, связанные гликозидной связью с агликоном. По механизму действия аминогликозиды являются ингибиторами синтеза белка. Аминогликозиды характеризуются широким спектром антимикробного действия. Первый антибиотик этой группы стрептомицин был открыт С. Ваксманом (США) в 1942 г., применяется в медицинской практике с 1946 г. В 1955 г. японскими учеными был выделен канамицин (Умезава с сотрудниками). Мономицин выделен в нашей стране Г.Ф.Гаузе в 1962 г. Гентамицин выделен и описан Вайнштейном (США) в 1962 г.; в нашей стране в медицинской практике применяют с 1976 г.

Аминогликозиды получают методом микробиологического синтеза. Продуцентом стрептомицина является Streptomyces globisporus streptomycini; канамицина - Streptomyces kanamyceticus; гентамицина - Microspora purpurea. Амикацин получают полусинтетическим способом. Многие аминогликозиды обладают ото- и нефротоксичностью.

Химическое строение, физические и физико-химические свойства.

По химическому строению антибиотики-аминогликозиды являются гликозидами, состоящими из агликона и сахаров, большинство которых является аминосахарами. Агликон аминогликозидов представляет собой циклогексановое кольцо с основными группами при С1 и С3 и гидроксильными группами при С4, аминогликозиды делят на 2 группы: стрептидинсодержащие и дезоксистрептаминосодержащие. К первой группе относятся стрептомицин, дигидрострептомицин, агликоном у которых является стрептидин; ко второй группе - канамицины, гентамицины, неомицины, мономицины, амикацин. Агликоном у них является 2-дезоксистрептамин, который отличается от стрептидина наличием аминогрупп вместо остатковгуанидина и отсутствием оксигруппы при С2. Аминогликозиды применяются в медицинской практике в виде солей - сульфатов.

Стрептомицина сульфат.

Стрептомицин содержит в качестве агликона стрептидин − (1,3- дигуанидино-2,4,5,6-тетраоксициклогексан), который связан гликозидной связью с дисахаридом стрептобиозамином. Стрептобиозамин состоит из N-метил-L-глюкозамина (2-дезокси-2-метиламино-L-глюкозы) и L-стрептозы, которая в отличие от других сахаров содержит две альдегидные группы (при С1 и при С3). Таким образом, в положении 3 остатка L-стрептозы молекулы стрептомицина содержится свободная альдегидная группа. Стрептомицин представляет собой сильное трехкислотное основание (за счет двух гуанидиновых групп стрептидина и N-метильной группы N-метил-L-глюкозамина). Фармакопейным препаратом является стрептомицина сульфат (стрептомицин)2*3H2SO4.

Стрептомицин образуется лучистым грибом Strepiomyces globisporus streptomycini или другими родственными организмами. Является opганическим основанием, молекула которого состоит из трех частей: стрептидина, стрептозы и N-метилглюкозамина:


В медицинской практике применяют стрептомицина сульфат, стрептосульмицина сульфат, стрептомицина хлоркальциевый комплекс и близкие им дигидрострептомицина сульфат и дигидрострептомицина пантотенат. Стрептомицин и его производные обладают широким спектром антибактериальной активности. Действует стрептомицин бактерицидно. Эффект связан с подавлением синтеза белка на уровне рибосом в микробной клетке.

Химические свойства.

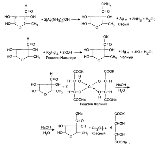
Стрептомицин, в отличие от других аминогликозидов, подвергается гидролитическому расщеплению не только в кислой, но и в щелочной среде. При щелочном гидролизе стрептомицина при нагревании из остатка L-стрептозы образуется мальтол, который открывается с образованием окрашенного в фиолетовый цвет комплекса с солями железа (Ш). Эта реакция используется для идентификации и количественною определения препарата.


Кроме того, при щелочном гидролизе из остатков гуанидина выделяется аммиак, который обнаруживают по запаху и по посинению влажной красной лакмусовой бумаги.

Реакция образования мальтола, специфичная для обнаружения стрептомицина:


Дигидрострептомицин, который вместо альдегидной группы в остатке L-стрептозы содержит оксиметильную группу, не образует мальтола, что отличает его от стрептомицина.

Наличие свободной альдегидной группы в остатке L-стрептозы молекулы стрептомицина обусловливает ряд характерных реакций: окисления - за счет восстанавливающих свойств альдегидной группы: с реактивом Фелинга образуется красный осадок оксида меди (I), с аммиачным раствором серебра нитрата - «серебряное зеркало» на стенках пробирки; с реактивом Несслера - темный осадок металлической ртути. [1, 9]



При взаимодействии с фенолами, например, с резорцином в присутствии кислоты серной концентрированной образуется ауриновый краситель вишнево-красного цвета

Остатки гуанидина в молекуле стрептомицина сульфата можно открыть с помощью реакции Сакагучи и реакции с окисленным нитропруссидом натрия (реактив Вебера). В реакции Сакагучи реактивами на остатки гуанидина являются α- нафтол в щелочной среде и натрия гипобромит. Происходит окисление и бромирование α-нафтола, а далееобразование окрашенного в малиновый цвет нафтохинонимина:


С окисленным нитропруссидом натрия:

[Fe(CN)5NO] + K3[Fe(CN)6]+ NaOH (реактив Вебера)  появляется красное окрашивание.

Испытания на чистоту.

Так как аминогликозиды могут окисляться с образованием окрашенных и нерастворимых продуктов, в НД рекомендуется определение прозрачности и цветности. Раствор стрептомицина сульфата должен быть прозрачным и бесцветным в течение 24 часов. Аминогликозиды гигрокопичны; поэтому в НД нормируется потеря в массе при высушивании в вакуум-сушильном шкафу (для стрептомицина сульфата она не должна превышать 5,0%). Аминогликозиды получают методом биосинтеза, поэтому в них определяют токсичность, а у стрептомицина, кроме того - содержание веществ гистаминоподобного действия. Для лекарственных форм, предназначенных для парентерального применения, определяют стерильность и пирогенность.

Методы количественного определения.

Количественное определение аминогликозидных антибиотиков проводится микробиологическим методом диффузии в агар с определенным тест-микробом по соответствующему стандарту. Для стрептомицина сульфата описаны также спектрофотометрические методы в видимой области спектра, основанные на цветных реакциях (мальтольной, с нингидрином и др.). Разработаны также методы газожидкостной и жидкостной хроматографии, полярографический метод и др.[1]

. Основные аспекты фармацевтического анализа

На различных этапах фармацевтического анализа в зависимости от поставленных задач имеют значение такие критерии, как избирательность, чувствительность, точность, время, затраченное на выполнение анализа, израсходованное количество анализируемого препарата (лекарственной формы).

Избирательность метода очень важна при проведении анализа смесей веществ, поскольку дает возможность получать истинные значения каждого из компонентов. Только избирательные методики анализа позволяют определять содержание основного компонента в присутствии продуктов разложения и других примесей.

Требования к точности и чувствительности фармацевтического анализа зависят от объекта и цели исследования. При испытании степени чистоты препарата используют методики, отличающиеся высокой чувствительностью, позволяющие устанавливать минимальное содержание примесей.

При выполнении постадийного контроля производства, а также при проведении экспресс-анализа в условиях аптеки важную роль имеет фактор времени, которое затрачивается на выполнение анализа. Для этого выбирают методы, позволяющие провести анализ в наиболее короткие промежутки времени и вместе с тем с достаточной точностью.

При количественном определении лекарственного вещества используют метод, отличающийся избирательностью и высокой точностью. Чувствительностью метода пренебрегают, учитывая возможность выполнения анализа с большой навеской препарата.

Мерой чувствительности реакции является предел обнаружения. Он означает наименьшее содержание, при котором по данной методике можно обнаружить присутствие определяемого компонента с заданной доверительной вероятностью. Термин ''предел обнаружения" введен вместо такого понятия, как "открываемый минимум", им пользуются также взамен термина "чувствительность". На чувствительность качественных реакций оказывают влияние такие факторы, как объемы растворов реагирующих компонентов, концентрации реактивов, рН среды, температура, продолжительность опыта. Это следует учитывать при разработке методик качественного фармацевтического анализа. Для установления чувствительности реакций все шире используют показатель поглощения (удельный или молярный), устанавливаемый спектрофотометрическим методом. В химическом анализе чувствительность устанавливают по величине предела обнаружения данной реакции. Высокой чувствительностью отличаются физико-химические методы анализа. Наиболее высокочувствительны радиохимические и масс-спектральный методы, позволяющие определять 10-8-10-9% анализируемого вещества, полярографические и флуориметрические 10-6-10-9%; чувствительность спектрофотометрических методов Ю-3-10-6%, потенциометрических 10-2%. Термин "точность анализа" включает одновременно два понятия: воспроизводимость и правильность полученных результатов. Воспроизводимость характеризует рассеяние результатов анализа по сравнению со средним значением. Правильность отражает разность между действительным и найденным содержанием вещества. Точность анализа у каждого метода различна и зависит от многих факторов: калибровки измерительных приборов, точности отвешивания или отмеривания, опытности аналитика и т.д. Точность результата анализа не может быть выше, чем точность наименее точного измерения.

Так, при вычислении результатов титриметрических определений наименее точная цифра - количество миллилитров титранта, израсходованного на титрование. В современных бюретках в зависимости от класса их точности максимальная ошибка отмеривания около ±0,02 мл. Ошибка от натекания тоже равна ±0,02 мл. Если при указанной общей ошибке отмеривания и натекания ±0,04 мл на титрование расходуется 20 мл титранта, то относительная ошибка составит 0,2%. При уменьшении навески и количества миллилитров титранта точность соответственно уменьшается. Таким образом, титриметрическое определение можно выполнять с относительной погрешностью ±(0,2-0,3)%.

Точность титриметрических определений можно повысить, если пользоваться микробюретками, применение которых значительно уменьшает ошибки от неточного отмеривания, натекания и влияния температуры. Погрешность допускается также при взятии навески.

Отвешивание навески при выполнении анализа лекарственного вещества осуществляют с точностью до ±0,2 мг. При взятии обычной для фармакопейного анализа навески 0,5 г препарата и точности взвешивания ±0,2 мг относительная ошибка будет равна 0,4%. При анализе лекарственных форм, выполнении экспресс-анализа такая точность при отвешивании не требуется, поэтому навеску берут с точностью ±(0,001-0,01) г, т.е. с предельной относительной ошибкой 0,1-1%. Это можно отнести и к точности отвешивания навески для колориметрического анализа, точность результатов которого ±5%.

фармацевтический анализ антибиотик качество

Выводы

К наиболее проблемным областям применения лекарственных средств относится антибактериальная терапия. Это обусловлено рядом причин. Во-первых, антибиотики являются одной из наиболее широко применяемых групп лекарств, используемых в различных областях медицины.

Во-вторых, они относятся к дорогостоящим препаратам, на закупку которых тратится значительная часть лекарственного бюджета - затраты на антибиотики составляют в среднем 25-50 % всех расходов на лекарственные средства, закупаемые многопрофильной больницей. По расходам на лечение инфекции занимают в стационарах общего профиля первое место среди всех патологий.

В-третьих, антибиотики являются жизненно важными, но небезопасными средствами, потенциально способными вызывать тяжелые побочные эффекты, в связи с чем их применение следует строго контролировать.

В-четвертых, эта группа препаратов используется наиболее нерационально. По данным ВОЗ, нерационально используются до 75 % антимикробных средств, что способствует повышению частоты побочных и токсических реакций, росту бактериальной резистентности, удлинению времени госпитализации, а также становится причиной назначения других лекарственных препаратов для лечения основного заболевания и устранения ятрогенных последствий неправильного выбора и применения антибиотика. Все это в свою очередь требует значительных финансовых затрат.

Наряду с прямыми затратами на лечение инфекции высокая стоимость антибиотикотерапии обусловлена проведением дополнительных курсов лечения при неэффективности стартовой терапии, а также необходимостью коррекции осложнений заболевания и побочных эффектов антибактериальных препаратов.

Для качественной идентификации антибиотиков, в отличие от ряда групп природных соединений (алкалоиды, гликозиды), не существует общих, групповых реакций. Различные антибиотики дают те или другие реакции, преимущественно цветные.

Для идентификации антибиотиков в настоящее время широко используется спектральная характеристика.

Для количественного определения антибиотиков используются различные методы: биологические, химические, физико-химические.

Биологические методы основаны на непосредственном биологическом действии антибиотика на применяемый тест-микроорганизм, чувствительный к данному антибиотику.

Из биологических методов количественного определения антибиотиков наибольшее распространение получил метод диффузии в агар с турбидиметрическим определением, основанным на измерении концентрации клеток тест-микроба, образующих определенную оптическую плотность среды (мутность) в результате их роста в присутствии небольшого количества антибиотиков.

Недостатками биологических методов контроля являются затраты большого количества времени на анализ, а также зависимость точности результатов анализа от многих внешних факторов.

В последние годы широкое распространение для количественного определения антибиотиков получили химические и физико-химические методы, из которых наибольшее применение имеют фотоколориметрический и спектрофотометрический методы. Последние основаны на использовании определенных свойств антибиотиков: цветные реакции, появление или исчезновение характерных полос в УФ- или ИК-областях спектра под воздействием различных реагентов (кислот, щелочей и др.).

Список литературы

. Беликов В.Г. фармацевтическая химия. В 2 ч.: Ч.1 Общая фармацевтическая химия; Ч.2. Специальная фармацевтическая химия:Учеб.для вузов.- Пятигорск, 2003.-720с.

. Белозеров Е.С. Лекарство-друг, лекарство-враг. - Алма-Ата: Наука, 2006 - 128 с.

. Д. Н. Синев, И. Я. Гуревич. Технология и анализ лекарств. - Л.: Медицина 1989-367 с.

. Кукес В.Г. Клиническая фармакология. - М: ГЭОТАР МЕДИЦИНА, 1999. - 528 с.

. Л. С. Страчунский, С.Н. Козлов. Антибиотики: клиническая фармакология. Смол.: Амипресс 1994-208 с.

. Машковский М. Д. Лекарственные средства.-М.; Медицина, 1998. 688 с.

. М. Навашин, И. П. Фомина. Рациональная антибиотикотерапия. - М.: Медицина 1982-496 с.

. Руководство к лабораторным занятиям по фармацевтической химии. Под ред. Арзамасцева А.П. - М: Медицина, 2001. - 384с.

. Справочник Видаль - М: АстраФарм Сервис 2013-1640 с.

.Сливкин А.И. Функциональный анализ органических лекарственных веществ/А.И. Сливкин, Н.П. Садчинкова; под ред. Академика РАМН , проф.А.П. Арзамасцева.-Воронеж: Воронежский государственный университет, 2007.-426с.

. Фармакопейный анализ. Сливкин А.И.(Под ред. Проф. В.Ф. Селеменева).

Похожие работы на - Анализ лекарственных препаратов и лекарственных форм, содержащих антибиотики (пенициллины, стрептомицины, тетрациклины)

 

Не нашли материал для своей работы?
Поможем написать уникальную работу
Без плагиата!
Без нейросетей!