Налоговая система Российской Федерации

  • Вид работы:
    Курсовая работа (т)
  • Предмет:
    Финансы, деньги, кредит
  • Язык:
    Русский
    ,
    Формат файла:
    MS Word
    379,01 Кб
  • Опубликовано:
    2014-05-04
Вы можете узнать стоимость помощи в написании студенческой работы.
Помощь в написании работы, которую точно примут!

Налоговая система Российской Федерации

Введение

Налоговая система - один из главных элементов рыночной экономики. Она выступает главным инструментом воздействия государства на развитие хозяйства, определения приоритетов социального и экономического развития. Поэтому необходимо, чтобы налоговая система России была адаптирована к новым общественным отношениям, соответствовала мировому опыту.

Налоговая система представляет собой совокупность налогов, взимаемых в государстве, формы и методы их построения, методы исчисления налогов и налоговый контроль. Современное российское законодательство дает краткое определение налоговой системы как совокупности налогов, сборов, пошлин и других платежей.

История не знает примера, когда государство не собирало налоги со своего народа. Это было всегда и всегда будет. Давайте вспомним историю, как и сейчас налог был основным источником пополнения казны государства. Надо было содержать армию и на это уходило большая часть средств. Но не все собираемые налоги шли на оборону государства, оставшаяся часть финансировала госкомитеты, медицину, науку, образование и т.д.

На протяжении всей истории человечества складывалась система налогообложения. Если сначала налоги взимались в виде различных натуральных податей и служили дополнением к трудовым повинностям или формой дани с покоренных народов, то по мере развития товарно-денежных отношений налоги приобрели денежную форму.

Адам Смит в своем классическом сочинении "Исследование о природе и причинах богатства народов" считал денежными принципами налогообложения всеобщность, справедливость, определенность и удобность. "Подданные государства," - отмечал его российский последователь Н.И. Тургенев, "должны давать средства к достижению цели общества или государства", каждый по возможности и соразмерено своему доходу по заранее установленным правилам (сроки платежа, способ взимания), удобным для плательщика. Со временем этот перечень был дополнен принципами обеспечения достаточности и подвижности налогов (налог может быть увеличен или сокращен в соответствии с объективными нуждами и возможностями государства), выбора надлежащего источника и объекта налогообложения, однократности обложения.

Таким образом, хотя налоги чаще вызывают возмущение, чем одобрение общества, без них ни одно государство существовать не сможет.

Актуальность этой темы в том, что Налоговая система России ещё не усовершенствована полностью, и требует исправления недостатков, так же рядом изъянов, каждый из которых подлежит анализу, необходимому для обоснования соответствующих реформационных мер.

В экономической литературе сложились две точки зрения на процесс совершенствования налоговой системы в России. Одни экономисты предлагают коренную ломку старой налоговой системы и создание новой: другие считают, что сложившаяся в стране трехуровневая налоговая система должна быть усовершенствована путем устранения недостатков.

Целью моей работы является изучить действующую налоговую систему в Российской Федерации.

Задачами данной курсовой работы является, во-первых, рассмотрение основ налоговой системы РФ, принципы и сущность налогов, их классификация и функции, а также изучение налоговой системы, как инструмент государственного регулирования. Второй задачей является непосредственно анализ налоговой системы, принципы её формирования и совершенствования.

Объектом исследования является ИФНС России № по г. Лабинску.

Предметом исследования является современное состояние налоговой системы Российской Федерации и перспективы ее развития.

При выполнении курсовой работы использованы следующие методы исследования: научно-поисковый, научно-исследовательский, сравнения, сопоставления, аналитический метод.

1. Налоговая система Российской Федерации

.1      Налоговая политика государства и ее влияние на структуру налоговой системы РФ

Реализация целей и задач, предусмотренных "Основными направлениями налоговой политики на 2009 год и плановый период 2010 и 2011 годов" и "Основными направлениями налоговой политики на 2010 год и плановый период 2011 и 2012 годов", проводилась во взаимосвязи с основными направлениями Программы антикризисных мер Правительства Российской Федерации и Основных направлений деятельности Правительства Российской Федерации на период до 2012 года.

Основными направлениями, одобренными в 2012 году, предусматривалось внесение изменений в законодательство о налогах и сборах по следующим направлениям:

а)             а) совершенствование налога на прибыль организаций;

б)      б) совершенствование налога на добавленную стоимость;

в)      в) совершенствование акцизного налогообложения;

г)       г) совершенствование налога на доходы физических лиц;

д)      введение налога на недвижимость взамен действующих земельного налога и налога на имущества физических лиц;

е)       совершенствование налога на добычу полезных ископаемых;

ж)      совершенствование налогообложения в рамках специальных налоговых режимов;

з)       совершенствование налогового администрирования;

и)      урегулирование вопросов налогообложения организаций, осуществляющих строительство транспортной, коммунальной и социальной инфраструктуры, а также инженерных сетей;

к)      отмена единого социального налога;

л)      совершенствование государственной пошлины;

м)      совершенствование транспортного налога;

н)      совершенствование налога на имущество организаций.

Поэтому рассмотрим основные изменения, произошедшие в 2012 г, по следующим налогам (прил. 2):

а) В положения Кодекса, регулирующие налог на доходы физических лиц, были внесены следующие изменения.

) Для упрощения декларирования доходов физическими лицами в Кодекс были внесены изменения, позволяющие не указывать в налоговой декларации доходы, не подлежащие налогообложению (освобождаемые от налогообложения), а также доходы, при получении которых налог полностью удержан налоговыми агентами, если это не препятствует получению налогоплательщиком налоговых вычетов.

С учетом внесенных изменений уже в 2012 году налогоплательщики, получившие доход от реализации в 2011 году имущества, которое находилось в их собственности более трех лет (например, автомобили, квартиры, иное имущество) не будут обязаны представлять налоговую декларацию.

Также в рамках рассматриваемых изменений была исключена необходимость подачи налогоплательщиком отдельного документа - заявления на получение налоговых вычетов при представлении в налоговый орган налоговой декларации, в которой уже заявлено право на получение налогового вычета по налогу на доходы физических лиц.

) В рамках реализации концепции создания в Российской Федерации международного финансового центра был внесен ряд изменений в Кодекс, направленных на оптимизацию порядка налогообложения доходов физических лиц от операций с ценными бумагами и финансовыми инструментами срочных сделок.

б) Налог на прибыль организаций.

Изменения, внесенные в Налоговый кодекс Российской Федерации (далее - Кодекс) указанным Федеральным законом, предусматривают следующее:

) Глава 25 "Налог на прибыль организаций" Кодекса дополнена новой статьей, устанавливающей особенности определения налоговой базы по налогу на прибыль при осуществлении операций займа ценными бумагами.

) Урегулирован порядок удержания налога на прибыль организаций с доходов, перечисляемых организации-нерезиденту в рамках договора РЕПО, договора займа ценными бумагами или договора доверительного управления имуществом.

) Уточнен порядок определения налоговой базы налоговым агентом по доходам от долевого участия для организаций, получающих доходы от долевого участия в российских организациях. С 2012 года при определении суммы налога учитывается общая сумма дивидендов, подлежащая распределению налоговым агентом в пользу всех получателей дивидендов, а не только налогоплательщиков - получателей дивидендов.

) В рамках совершенствования налогообложения торговых организаций с 1 января 2012 г. определен порядок оценки излишков товарных и материально-производственных запасов.

) В целях сближения бухгалтерского и налогового учета отменена переоценка полученных и выданных авансов и задатков, выраженных в иностранной валюте в налоговом учете.

) В рамках реализации концепции создания в Российской Федерации мирового финансового центра был снижен барьер для предоставления освобождения от налогообложения налогом на прибыль организаций доходов "стратегических" акционеров, получаемых в виде дивидендов. В частности, из Кодекса исключено ограничение в 500 млн. рублей, которое было необходимо до 1 января 2012 года как условие для применения нулевой ставки налога на прибыль организаций при налогообложении дивидендов, получаемых российскими "стратегическими" акционерами, то есть лицами, владеющими более 50 процентами акций организации, выплачивающей дивиденды.

в) За прошедший период в отношении налога на добавленную стоимость были осуществлены следующие изменения.

) В целях совершенствования процедуры возмещения налога на добавленную стоимость (далее - НДС) в Кодекс внесены изменения, направленные на сокращение сроков возмещения налога.

Вступившими в силу изменениями установлен заявительный порядок возмещения НДС, представляющий собой осуществление зачета (возврата) суммы НДС, заявленной к возмещению в налоговой декларации, до завершения проводимой на основе этой налоговой декларации камеральной налоговой проверки.

Право на применение заявительного порядка возмещения налога имеют налогоплательщики-организации, у которых совокупная сумма НДС, акцизов, налога на прибыль организаций и налога на добычу полезных ископаемых, уплаченная за три календарных года, предшествующих году, в котором подается заявление о применении заявительного порядка возмещения налога, без учета сумм налогов, уплаченных в связи с перемещением товаров через таможенную границу Российской Федерации, и в качестве налогового агента, составляет не менее 10 миллиардов рублей.

Кроме того, право на применение заявительного порядка возмещения НДС получили налогоплательщики, представившие вместе с налоговой декларацией, в которой заявлено право на возмещение налога, действующую банковскую гарантию, предусматривающую обязательство банка на основании требования налогового органа уплатить в бюджет за налогоплательщика суммы налога, излишне полученные им (зачтенные ему) в результате возмещения налога в заявительном порядке, если решение о возмещении суммы налога, заявленной к возмещению в заявительном порядке, будет отменено полностью или частично.

) В целях снижения издержек налогоплательщиков по исполнению законодательства о налогах и сборах в Кодекс были внесены изменения, устраняющие неблагоприятные последствия при незначительных нарушениях правил заполнения счетов-фактур. Так, ошибки в счетах-фактурах, не препятствующие налоговым органам при проведении налоговой проверки идентифицировать продавца, покупателя, наименование товаров (работ, услуг), имущественных прав, их стоимость, а также налоговую ставку и сумму налога, предъявленную покупателю, более не являются основанием для отказа в принятии к вычету сумм НДС.

) В качестве меры, направленной на совершенствование налогообложения операций, связанных с эксплуатацией жилого фонда, уточнен порядок применения НДС управляющими организациями и товариществами собственников жилья (далее - ТСЖ).

Аналогичный порядок применения освобождения от налогообложения НДС установлен по работам (услугам) по содержанию и ремонту общего имущества в многоквартирном доме.

) Кроме того, с 1 января 2010 г. в налоговую базу по НДС не включаются денежные средства, полученные управляющими организациями и ТСЖ, на формирование резерва, на проведение текущего и капитального ремонта общего имущества в многоквартирном доме [14, с. 213].

1.2 Задачи и функции налоговой системы РФ

Государство использует налоги для создания необходимого ему денежного фонда (государственного бюджета) и решения различных социально- экономических задач.

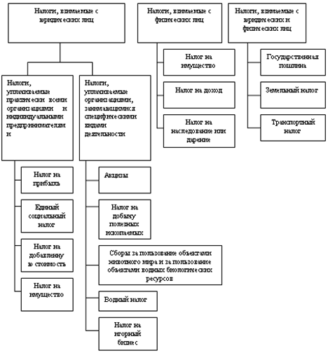
С учетом нового бюджетного устройства России в стране введена трехуровневая система налогов, которая состоит из федеральных налогов, региональных налогов, местных налогов.

Федеральные налоги (в том числе размеры их ставок, объекты налогообложения, плательщики налогов) и порядок их зачисления в бюджет или во внебюджетные фонды устанавливается законодательными актами РФ и взимаются на всей территории страны.

Региональные налоги также устанавливаются законодательными актами РФ и взимаются на всей территории. При этом конкретные ставки по этим налогам определяются законами республик РФ или решениями органов государственной власти краев и областей.

Из местных налогов общеобязательными являются - налог на имущество физических лиц и земельный налог. Конкретные ставки этих налогов, взимаемых на всей территории РФ, определяются законодательными актами республик в составе РФ и решениями органов государственной власти административно-территориальных образований (прил. 1).

Оснований для классификации может быть несколько. Каждая из них имеет свое значение и практическое применение.

Основные задачи налогообложения таковы:

1. Уровень налоговой ставки должен устанавливаться с учетом возможностей налогоплательщика, т.е. уровня доходов. Налог с дохода должен быть прогрессивным.

2. Налогообложение доходов должно носить однократный характер. Многократное обложение дохода недопустимо.

3. Обязательность уплаты налогов. Налоговая система не должна оставлять сомнений у налогоплательщика в неизбежности платежа.

4. Система и процедура выплаты налогов должны быть простыми, понятными и удобными для налогоплательщиков и экономичными для учреждений, собирающих налоги.

5. Налоговая система должна быть гибкой и легко адаптируемой к меняющимся общественно - политическим потребностям.

6. Налоговая система должна обеспечивать перераспределение создаваемого ВВП и быть эффективным инструментом государственной экономической политики.

Таким образом, для того что бы усовершенствовать налоговую систему РФ, следует держаться современных принципов налогообложения. Ведь налоги являются главной составляющей бюджета страны, что непосредственно влияет на благосостояние нации. Главной задачей современной налоговой системы является искоренение теневой экономики.

Принципы налогообложения, положенные в основу налоговой системы Российской Федерации:

·        Принцип не дискриминации налогоплательщиков. Налоги и сборы не могут различно применяться исходя из политических, экономических, конфессиональных и иных различий между налогоплательщиками. Также не допускается устанавливать дифференцированные ставки налогов и сборов, налоговые льготы в зависимости от формы собственности, гражданства лиц или места происхождения капитала.

·        Принцип экономического приоритета, который означает, что основанием для установления налога может служить экономическая природа объекта налогообложения. Законодательная декларация этого принципа ограничивает произвольное установление налогов и сборов.

·        Принцип презумпции правоты собственника при толковании налогового законодательства.

·        Принцип ясности и доступности понимания порядка налогообложения. Каждый налогоплательщик должен точно знать, какие налоги и сборы, когда и в каком размере он должен уплачивать в казну.

Характеризуя налоговую систему, следует отметить, что при ее создании и дальнейшем реформировании исходили из учета внутринациональных особенностей России, а именно: уровня развития страны, выбранной экономической политики, финансово-бюджетного устройства и других аспектов. Эти особенности нашли свое выражение в ряде организационных принципов, положенных в основу налоговой системы Российской Федерации.

Функции налогов - это такие их свойства, которые позволяют использовать налоги в качестве инструментов формирования доходов государства, распределения, перераспределения доходов в обществе в интересах обеспечения жизнедеятельности государства, экономического развития и решения социальных проблем страны.

Основные функции налогов следующие:

-        Фискальная

-        Регулирующая

         Контролирующая

Суть фискальной функции заключается в финансировании государственных расходов, в формировании финансовых ресурсов государства, необходимых для осуществления им своих функций. Формирование доходов государственного бюджета на основе стабильного и центрального взимания налогов превращает само государство в крупнейшего экономического субъекта.

Из фискальной функции налогов вытекает их распределительная функция. То есть происходит перераспределение доходов юридических и физических лиц в интересах реализации крупных народнохозяйственных, социальных, научно-технических, экономических программ.

Регулирующая функция имеет первостепенную значимость по своему воздействию на национальную экономику. Трудно представить себе нерегулируемую государством экономическую систему.

Налоговое регулирование представляет собой комплекс мероприятий, направленных на вмешательство государства в рыночную экономику в соответствии с концепцией развития.

Регулирующая функция налогов осуществляется путем применения отлаженной системы налогообложения, выделения из бюджета капитальных вложений и дотаций, государственных закупок и осуществления народнохозяйственных программ, выплаты пособий и т.п.

При помощи налогов можно поощрять или сдерживать определенные виды деятельности (повышая или понижая налоги), направлять развитие тех или иных отраслей промышленности, воздействовать на экономическую активность предпринимателей, сбалансировать платежеспособный спрос и предложение.

Особое место занимает воспроизводственное назначение, которое направлено на компенсацию и возмещение потребляемых ресурсов. Такую нагрузку несут в себе плата за воду, пользование природными ресурсами, отчисления на производство материально-сырьевой базы, в дорожные фонды.

Контролирующая функция позволяет установить соотношение между налоговыми поступлениями и потребностями государства в финансовых ресурсах, определить направления эффективного использования и контролировать движение ресурсов, внося изменения в действующую налоговую систему. Выполнение контролирующей функции предопределяется обеспечением налоговой дисциплины - своевременным выполнением своих обязательств субъектами налогообложения.

Функции налогов взаимосвязаны. Рост налоговых поступлений в бюджет, т.е. реализация фискальной функции, создает материальную возможность для осуществления регулирующей функции налогов. В то же время, достигнутое в результате экономического регулирования ускорение развития и роста доходности производства, позволяет государству получить больше средств [10, с. 117].

2. Современное состояние налоговой системы Российской Федерации (на примере ИФНС России № 2374 по г. Лабинску)

.1 Структура и функции ИФНС России № 2374 по г. Лабинску. Функции отделов

налоговый российский фискальный инспекция

Инспекция Федеральной налоговой службы № 2374 по г. Лабинску Краснодарского края. Юридический адрес: г. Лабинск, ул. Красная, 67/1. Государственное учреждение. Учредительными документами является Положение о Федеральной налоговой службе.

Структура государственной налоговой инспекции по имеющимся отделам:

1.      Отдел финансового и общего обеспечения.

Основные функции отдела:

1)      обеспечивает получение средств федерального бюджета и расходования их по назначению: составление и согласование сметы расходов на содержание ИФНС России по г. Лабинску;

2)      выполняет начисление и выдачу заработной платы, премий, вознаграждений и пособий, обеспечивает правильное расходование фонда оплаты труда;

)        ведет учёт бухгалтерский операций, связанных с деятельностью ИФНС России по г. Лабинску, хранении бухгалтерского архива в бумажной и электронной форме, обеспечивает учёт, проведение инвентаризации основных и денежных средств, товарно-материальных ценностей;

)        представляет в установленном порядке бухгалтерскую отчётность об имущественном и финансовом положении ИФНС России по г. Лабинску и результатах её финансово-хозяйственной деятельности, а также статистической отчётности;

)        осуществляет прием. перемещение и увольнение персонала, формирует резерв кадров, подготавливает документы для присвоения классных чинов, составляет штатное расписание инспекции, ведет личные дела сотрудников;

)        организует аттестацию служащих, занимающих государственные должности;

)        ведет учёт, выдачу, контроль за сохранностью служебных удостоверений, разрабатывает и осуществляет мероприятия по обеспечению внутреннего режима и защите информации;

)        взаимодействует с другими организациями по вопросам воинского учёта, медицинского страхования, пенсионного обеспечения сотрудников ИФНС России по г. Лабинску;

)        осуществляет контроль за наличием и достаточностью в подразделениях ИФНС России по г. Лабинску расходных товарно-материальных ценностей, обеспечение закупок, поставок, хранения и распределения имущества и расходных материалов, необходимых для деятельночти инспекции.

2.      Отдел работы с налогоплательщиками, их регистрации учёта.

Основные функции отдела:

) осуществляет государственную регистрацию юридических лиц, КФХ, физических лиц в качестве индивидуальных предпринимателей, в том числе и внесение соответствующих записей в Единый государственный реестр юридических лиц (ЕГРЮЛ), Единый государственный реестр индивидуальных предпринимателей (ЕГРИП) либо принятие решений об отказе в государственной регистрации;

) ведение территориального раздела ЕГРЮЛ, ЕГРИП, в том числе анализ полноты и достоверности включенных в реестры сведений и ежедневное формирование массивов для передачи данных на вышестоящий уровень;

) учёт налогоплательщиков, в том числе постановка на учёт налогоплательщиков с применением ИНН. снятие с учёта налогоплательщиков, внесение изменений в их учётные данные, привлечение к постановке на учёт налогоплательщиков, не состоящих на учёте;

) ведение территориального раздела ЕГРН, в том числе анализ полноты и достоверности включенных в реестр сведений;

) подготовка и передача в юридический отдел материалов для обеспечения производства по делам о нарушениях законодательства о налогах и сборах и государственной регистрации;

) участие в производстве по делам об административных правонарушениях;

) подготовка информации о налогоплательщиках для предъявления исков в судебные органы о ликвидации юридического лица или прекращении деятельности физического лица в качестве индивидуального предпринимателя;

) предоставление сведений о государственной регистрации юридических лиц и индивидуальных предпринимателей в государственные органы, государственные внебюджетные фонды в порядке, установленном Правилами ведения Единого государственного реестра юридических лиц, утвержденным постановлениями Правительства РФ от 19.06.2002 г. № 438 "О Едином государственном реестре юридических лиц", от 16.10.2003 г. № 630 "О едином государственном реестре индивидуальных предпринимателей";

) предоставление сведений из ЕГРЮЛ и ЕГРИП, ЕГРН, в порядках, установленных постановлением Правительства РФ от 10.03.1999 г. № 266 "О порядке ведения государственного реестра налогоплательщиков", от 19 июня 2002 г. № 438 "О едином государственном реестре юридических лиц", от 16 октября 2003 г. № 630 "О едином государственном реестре индивидуальных предпринимателей", Правилах хранения в единых государственных реестрах юридических лиц и индивидуальных предпринимателей документов и передачи их на постоянное хранение в государственные архивы, а также о внесении изменений и дополнений в Постановления Правительства РФ от 19 июня 2002 г. № 438 и 439;

) организация и проведение в рамках работы, проводимой управлениями МНС России мероприятий, способствующих формированию позитивного отношения налогоплательщиков к налоговым органам;

) взаимодействие со СМИ, общественными организациями, органами исполнительной власти в рамках проводимых информационно-разъяснительных мероприятий по утвержденным программам управления МНС России по субъекту РФ.

3.      Отдел информационных технологий.

Основные функции отдела:

1.      обеспечение работоспособности аппаратной части, системного и прикладного программного обеспечения общего применения;

2.      администрирование сетевых ресурсов и обеспечение резервного копирования баз данных и программных средств;

.        внедрение и сопровождение ведомственных прикладных программ;

.        обучение и консультирование пользователей ведомственных прикладных программ, консультирование пользователей программных средств общего обеспечения;

.        запуск регламентированных технологических процессов электронной обработки данных, в том числе технологического процесса "Операционный день";

.        администрирование баз данных Инспекции;

.        внедрение и сопровождение систем телекоммуникаций;

.        программно-техническое обеспечение технологических процессов приема, передачи информации в электронном виде при взаимодействии налоговых органов с налогоплательщиками и сторонними организациями;

.        тиражирование программных продуктов по формированию в электронном виде налоговой отчётности, представляемой налогоплательщиками и н6алоговыми агентами;

.        формирование установленной отчётности по предмету деятельности отдела;

.        подготовка информационных материалов для руководства Инспекции по вопросам, находящимся в компетенции Отдела;

.        участие в организации и осуществлении мероприятий по профессиональной подготовке и переподготовке кадров для налоговых органов, проведении совещаний, семинаров по вопросам, входящим в компетенцию отдела;

.        ведение в установленном порядке делопроизводства, хранение и сдача документов Отдела.

4.      Юридический отдел.

Основные функции отдела:

) проведение правовой экспертизы документов, подготавливаемых в Инспекции, оказание правовой помощи подразделениям Инспекции по вопросам применения законодательства РФ;

) рассмотрение, систематизация и анализ жалоб налогоплательщиков;

) участие в рассмотрении представленных налогоплательщиками возражений по актам выездных налоговых проверок;

) согласование проектов решений по результатам налоговых проверок;

) осуществление производства, участие и юридическое сопровождение дел о налоговых и административных правонарушениях, нарушения законодательства о налогах и сборах;

) осуществление защиты государственных интересов в арбитражных судах и судах общей юрисдикции;

) обеспечение направления материалов в органы внутренних дел для решения вопроса о возбуждении уголовного дела при выявлении обстоятельств, позволяющих предполагать совершение нарушения законодательства о налогах и сборах, содержащего признаки состава преступления;

) представление Российской Федерации в делах о банкротстве и процедурах банкротства;

) ведение систематизированного учёта актов законодательства. ведомственных нормативных актов ФНС России и Управления, а также иных нормативных актив, связанных с налогообложением и деятельностью налоговых органов;

) анализ судебной практики и подготовка разъяснений по её применению в соответствии с законодательством РФ;

) участие в подготовке т подготовка ответов на письменные запросы налогоплательщиков;

) формирование установленной отчётности по предмету деятельночти Отдела;

) участие в организации и осуществлении мероприятий по профессиональной подготовке и переподготовке кадров для налоговых органов, проведение совещаний, семинаров по вопросам, входящим в компетенцию отдела;

) ведение в установленном порядке делопроизводства, хранение и сдача а архив документов Отдела;

) защита государственных интересов в арбитражных судах и судах общей юрисдикции.

5.      Отдел ввода и обработки данных.

Основные функции отдела:

1)      обработка информационных массивов;

)        ввод данных по государственной регистрации юридических лиц, КФХ и физических лиц в качестве индивидуальных предпринимателей и учёту налогоплательщиков;

3)      ввод данных налоговых деклараций и иных документов, служащих основанием для исчисления и уплаты налогов, сборов и других платежей в бюджетную систему РФ, бухгалтерской отчётности, поступивших на бумажных носителях и в электронном виде;

)        ввод данных деклараций о доходах и имуществе государственных служащих, специальных деклараций об источниках и размерах средств, израсходованных на приобретение имущества;

)        ввод сведений о счетах налогоплательщиков, полученных как от налогоплательщиков, так и от банков;

)        контроль правильности ввода информации, анализ протокола ошибок и исправление ошибок, допущенных операторами отдела ввода и обработки данных;

)        предварительная проверка сводной информации, поступающей из органов федерального казначейства;

)        прием. обработка и ввод в автоматизированную систему платежных документов, поступивших из органов федерального казначейства, финансовых органов, местных органов самоуправления и других источников, сверка электронных документов с бумажными носителями;

)        прием и обработка поступающей из банков информации о платежах физических лиц.

2.2 Поступления налоговых платежей в бюджетную систему РФ

Как доложил руководитель ФНС России М. В. Мишустин, за 2012 год в федеральный бюджет поступило 5,166 трлн руб., что на 17 млрд руб., или на 0,3 %, больше сумм, утвержденных в бюджете, и на 15 % больше поступлений в 2011 году. Всего в консолидированный бюджет Российской Федерации в 2012 году было мобилизовано около 11 трлн руб., что на 13 % больше поступлений 2011 года.

На динамику поступлений налогов в 2012 году оказало влияние несколько факторов. Высокая база сравнения (в 2010 и 2011 годах высокие темпы роста основных экономических показателей объяснялись выходом российской экономики из кризиса 2008 и 2009 годов), замедление темпов роста экономики, закрытие отдельных этапов крупномасштабных инвестиционных проектов. Темпы роста поступлений налога на прибыль составили около 104 % против 128 % в 2011 году, НДС - 108 % против 132 %. Определяющее влияние на динамику поступления налога на прибыль и НДС оказал рост вычетов по налогу на добавленную стоимость и расходов по налогу на прибыль.

В 2012 году объем вычетов по НДС составил 1 трлн руб. и вырос по сравнению с предыдущим годом на 283 млрд руб. К примеру, в газовой отрасли вычеты составили 299 млрд руб. и увеличились на 85 млрд, последнее связано с завершением инвестиционных проектов по освоению нефтегазоконденсатных месторождений Забайкалья и Уренгоя, строительству магистрального газопровода Починки - Грязовец. Объем налоговых вычетов по НДС повысили и завершившиеся инвестиционные проекты по строительству олимпийских объектов в Сочи.

За последние пять лет, как отметил руководитель налогового ведомства, сократился объем накопленной задолженности, но за 2012 год она выросла на 0,5 % и на 1 января 2013 года составила 1,1 трлн руб. Эффективность мер принудительного взыскания задолженности осталась на уровне прошлого года - 57 %. Мишустин назвал региональные управления налоговой службы, которые допустили наибольший прирост задолженности, это управления ФНС России по Красноярскому, Краснодарскому, Ставропольскому краям, Москве и Санкт-Петербургу, Новосибирской, Ярославской областям, Кабардино-Балкарской Республике, Республике Северная Осетия - Алания. Основная причина роста задолженности - доначисление по результатам проверок и неуплата текущих платежей.

Говоря о качестве аналитической работы, Мишустин отметил его значительное улучшение: количество выездных проверок сократилось на 14 %, а эффективность одной такой проверки возросла на 30 %, средняя сумма доначислений составила 5,6 млн руб.

В 2012 году в связи с изменением законодательства несколько изменились и условия администрирования налогов. С начала 2012 года в рамках действия закона о трансфертном ценообразовании крупнейшие налогоплательщики имеют возможность подать в налоговую службу заявление о заключении соглашения о ценообразовании для целей налогообложения. За 2012 год ФНС получила более 30 заявлений от налогоплательщиков нефтегазовой, металлургической и транспортной отраслей. "Заключение таких соглашений, - подчеркнул Мишустин, - как показывает мировой опыт, длится годами. К 1 января 2013 года мы заключили три соглашения с 17 налогоплательщиками, входящими в группы компаний „Роснефть", „Газпром нефть" и „Аэрофлот". С 2013 года служба имеет право проводить контрольные мероприятия в отношении этих налогоплательщиков. И 20 мая истекает срок подачи налогоплательщиком уведомлений о контролируемых сделках 2012 года.

Природа налогово-бюджетных проблем заключается в том, что их не удается решить раз и навсегда. Они могут возрождаться не только в случае чрезвычайных ситуаций (например, война или стихийное бедствие), отрицательного внешнего шока или просто ухудшения экономической конъюнктуры. Замедление темпов необходимых институциональных и структурных реформ, а также ослабление финансовой дисциплины очень быстро приводят к серьезным фискальным трудностям.

Основной источник дохода бюджета - это налоги. Рассмотрим динамику поступлений основных налогов в 2011-2012 г. г. (рис.1.):

Рис. 1. Динамика поступлений основных налогов в 2011-2012 г.г.

Основную массу поступлений администрируемых финансовой налоговой службой России доходов в федеральный бюджет в 2012 году составляет НДПИ (налог на добычу полезных ископаемых) (2459 млрд. руб.). Второе место - налог на прибыль - 2355 млрд. руб. Хотя в 2011 именно он принес больше всего поступлений в бюджет (на 11,16 % больше, чем НДПИ). Третье место - НДФЛ (налог на доходы физических лиц) - 2260 млрд. руб.; он увеличился на 13,34 %, по сравнению с 2011 г. Далее идут - НДС, 1886 млрд. руб., имущественные налоги - 785 млрд. руб., и акцизы - 783 млрд. руб.

Если говорить о всех поступлениях и расходах бюджета страны, то в последнее время наблюдается его дефицит. Рассмотрим доходы и расходы бюджета России на 1 февраля 2012г. и на 1 февраля 2011г. (т. е. за 1 месяц доходов и расходов каждого года):

Таблица 2.1 - Сводная таблица исполнения бюджета РФ на 01.02.2013

Фактические данные

Величина изменения

Темп роста, %

На 01.02.2012

На 01.02.2013



Численность постоянного населения, тыс. чел.

143 056,38

143 347,06

0

0

Доходы, млн. руб.

1 059 559,19

1 093 098,63

33539,44

103,17

Из них: доходы, руб. на душу населения

7 406,58

7 625,54

218,95

102,96

Налоговые и неналоговые доходы, млн. руб.

1 025 286,13

1 034 356,21

9070,08

100,88

Безвозмездные поступления от других бюджетов бюджетной системы Российской Федерации, млн руб.

36 015,25

58 742,42

22727,17

163,10

Безвозмездные поступления, руб. на душу населения

251,76

409,79

158,04

162,77

3,40

5,37

1,97

158,10

Расходы, млн. руб.

1 032 383,17

1 108 714,93

76331,76

107,39

Из них: расходы, руб. на душу населения

7 216,64

7 734,48

517,85

107,18

Доля расходов на заработную плату, %

11,03

9,75

-1,28

88,40

Фактические данные

Величина изменения

Темп роста, %

На 01.02.2012

На 01.02.2013



Дотации бюджетам субъектов Российской Федерации и муниципальных образований, млн. руб.

539 180,39

480 060,91

-59119,48

89,04

Пособия по социальной помощи населению, млн. руб.

21 462,78

27 879,70

6416,92

129,90

Профицит/дефицит, млн. руб.

27 176,02

-15 616,30

-42792,32

57,46


На 1 февраля 2013 года в федеральный бюджет страны поступило доходов 1 093 098,63 млн. руб., что на 33 539,44 млн. руб., или на 3,17 % больше, чем на 1 февраля 2012 года. Налоговые и неналоговые доходы составили 1 034 356,21 млн. руб. в текущем году. Безвозмездные поступления от других бюджетов бюджетной системы Российской Федерации выросли на 63,1 % или на 22727,17 млн. руб. И составили на душу населения в 2013 году 7 625,54. Доля безвозмездных поступлений в доходах составила 5,37 %, что является на 58,1 % больше, чем в 2012 году. Если говорить о расходах, то они увеличились с 1 032 383,17млн. руб. до 1 108 714,93 млн. руб., т. е. на 7,39 %. Из них на 12,4 % сократилась доля расходов на заработную плату, на 59119,48 млн. руб. уменьшились дотации бюджетам субъектов Российской Федерации и муниципальных образований.

Также необходимо сказать, что доходы за весь 2012 год составили 12 853,68 млрд. руб., а расходы - 12 890,75 млрд. руб. Наблюдается явный дефицит бюджета, равный 37,06 млрд. руб. Тем не менее, существует тенденция к снижению дефицита, ведь в 2010 г. он составлял 749,36 млрд. руб. В 2011 г. был профицит бюджета - 430 млрд. руб.

В ходе работы получены следующие выводы:

)Дефицит бюджета постепенно уменьшается. По сравнению с 2010 г. он уменьшился в 20 раз.

) За 1 месяц работы в 2013 г. в бюджете страны наблюдается дефицит. Расходы увеличиваются быстрее доходов, причем на данном этапе это не влияет отрицательно на население страны.

) Прибыль от налогов существенно продолжает расти. Это означает, что фискальная политика государства налаживается, последствия кризиса уменьшаются.

Россия находится на пути экономического роста, подъема. Именно сейчас важно создать абсолютно новую налоговую систему, продумать все необходимые сферы финансирования, чтобы в бюджете страны наблюдался только профицит. Эффективная система управления общественными финансами - важнейший фактор современного устойчивого экономического роста. Поэтому бюджетные реформы неизбежны, и откладывать их - значит неявно соглашаться с нарастающим отставанием от международного тренда экономического развития и снижения конкурентоспособности страны. [4, с. 76].

3. Перспективы развития налоговой системы России. Концепция налоговой системы

.1 Концепция налоговой системы

Многовековой опыт налогообложения подсказывает его главный принцип: "Нельзя резать курицу, несущую золотые яйца". Как бы велики ни были потребности в финансовых средствах на покрытие мыслимых и немыслимых расходов, налоги не должны подрывать заинтересованность плательщиков в хозяйственной деятельности.

Современные принципы установления налогов:

а)             уровень налоговой ставки должен устанавливаться с учетом возможности плательщика выплатить налог. Так как эти возможности различны, то и налоговые ставки должны быть дифференцированы, т.е. налог с дохода должен быть прогрессивным. На практике этот принцип соблюдается далеко не всегда. Однако сама идея необходимости обложения налогами доходов и имущества по прогрессивным ставкам в течение столетий владеет умами значительной части человечества. Она постоянно присутствует в политической жизни, межпартийной борьбе, отражается в той или иной степени в партийных программах;

б)      необходимо прилагать все усилия, чтобы налогообложение доходов носило однократных характер. Примером осуществления этого принципа явилась замена налога с оборота, когда обложение оборота происходило по нарастающей кривой, на НДС, когда вновь созданный чистый продукт облагается налогом всего один раз вплоть до его реализации;

в)      налоговая система не должна оставлять сомнений у плательщика в неизбежности платежа. Система штрафов и санкций, общественное мнение в стране должны быть такими, чтобы неуплата или несвоевременная уплата налогов были менее выгодными, чем своевременное и честное выполнение обязательств;

г)       система и процедура уплаты налогов должны быть простыми, понятными, удобными для плательщиков и экономичными для учреждений, собирающих налоги;

д)      налоговая система должна быть гибкой и легко адаптируемой к изменяющимся общественно- политическим потребностям;

е)       налоговая система должна обеспечивать перераспределение ВВП и быть эффективным инструментом государственного регулирования экономики.

На основе этих принципов сложились две основные концепции налогообложения:

Первая концепция заключается в том, что субъекты налогов должны уплачивать налоги пропорционально тем выгодам, которые они получают от государства, т.е. те, кто получил большую выгоду, платят налоги, необходимые для финансирования создания этой выгоды. Например, те, кто хочет пользоваться хорошими дорогами, должны оплачивать затраты на поддержание и ремонт этих дорог.

Однако всеобщее применение этой концепции связано с определенными трудностями. Практически невозможно точно определить, какую личную выгоду и в каком размере получает каждый плательщик от расходов государства на национальную оборону, бесплатную медицину, просвещение и т.п. Кроме того, следуя данной логике, необходимо было бы облагать налогом малоимущих, безработных для финансирования выплаты им же пособий. Это само по себе лишено смысла.

Согласно второй концепции, юридические и физические лица должны уплачивать налоги в прямой зависимости от размера полученного дохода. Данная концепция имеет много сторонников, так как отличается большей рациональностью и справедливостью. Естественно, существует разница между налогом, взимаемым с предполагаемых расходов на предметы роскоши, и налогом, удерживаемым из предполагаемых расходов на предметы первой необходимости.

Но при внедрении на практике и этой концепции возникают заметные проблемы. Они связаны с тем, что нет строго научного подхода к измерению возможности того или иного лица платить налоги. Ясно только, что средний потребитель действует всегда рационально. В первую очередь тратит свои доходы на товары и услуги первой необходимости, и лишь затем - на не столь важные блага.

Известно также, что при высокой ставке подоходного налога (выше 50%) резко снижается деловая активность фирм и населения в целом. Теоретически и графически это обусловлено известным в экономической теории эффектом, открытым американским экономистом А. Лаффером. Учитывая данное обстоятельство, разработчики современной российской системы налогообложения исходили из следующего: лучше иметь много источников пополнения бюджета со средней ставкой налога, чем один - два - с высокой. По сути, подход правильный. Многие страны стремятся разнообразить пути пополнения казны, а диверсификация источников позволяет снижать ставки налогов.

Но на практике получилось так, что по размерам ставок российские налоги приближены к общемировым, а по количеству - "опережают" многие страны. В настоящее время на территории России собирается свыше 50 налогов и сборов. Это далеко не всегда соответствует реальной экономической ситуации. Растут расходы по сбору налогов, появляются условия для уклонения от уплаты. Так как граждане России не являются образцом законопослушности - растут недоимки по платежам в бюджет. Кроме того, исключительно сложен подсчет некоторых налогов (особенно НДС), в законодательную базу постоянно вносятся изменения и дополнения. Все это свидетельствует о необходимости совершенствования налоговой системы страны, упорядочения как количества налогов, так и методов их взимания. Предполагается, что данному обстоятельству будет способствовать принятие Налогового кодекса РФ - общего свода правил по налогообложению, подготовленного Министерством финансов. Его прохождение в Государственной Думе и Совете Федерации встречало весьма серьезные препятствия. [6, с. 214].

3.2 Совершенствование налогового законодательства в РФ

Важнейшей предпосылкой развития эффективной рыночной экономики в России является последовательное улучшение состояния всей макроэкономической системы. Среди ключевых условий такой стабилизации сокращение бюджетного дефицита, достигаемое в определенной мере с помощью принятия мер по увеличению бюджетных поступлений.

В начале 90-х годов в России сложилась такая ситуация, когда проблемы организационного и процедурного характера, а также нехватка средств отработки информации и должным образом подготовленного персонала снижали возможности Госналогслужбы работать в необходимом режиме, по-новому. Во-первых, в государственных районных налоговых инспекциях отсутствовала функциональная спецификация, в их организации, как правило, прослеживалась зависимость от категорий налогоплательщиков или их местоположения, причем каждое подразделение выполняло общие функции. Вторая проблема представляла проблему технического характера и связывалась с существованием ограниченных технических возможностей обработки документов и низким уровнем автоматизации.

При сложившейся в названный выше период системе налоговой администрации, налоговое законодательство применялось не всегда справедливо и последовательно, людские и иные ресурсы использовались неэффективно, был затруднен контроль налоговой дисциплины, имелись недоимки поступлений. Все это приводило и приводит к достаточно низкому уровню взимаемости налогов.

Правительство Российской Федерации, Госналогслужба России "разрабатывали с помощью МВФ, МБРР и других доноров долгосрочный комплексный план модернизации налоговой администрации". На первом этапе (1992-1994 г.г.) при участии МВФ и ЕС в стадии реализации находился небольшой налоговый проект по модернизации механизма взимания НДС на базе двух районных инспекций. Цель проекта - разработка и проверка жизнеспособности новой организационной структуры, процедур, схем автоматизации и программ подготовки персонала, которые могли бы использоваться в качестве прототипов для обработки других видов налогов и внедрения аналогичной системы в других регионах.

На втором этапе (1994 - 1997 г.г.) к проекту был добавлен налог на прибыль, а в эксперимент были включены еще две области, на территории которых функционировали около 90 районных инспекций.

Он предусматривает создание инфраструктуры, обеспечивающей при разумных затратах и в приемлемые сроки получение и обработку налоговых поступлений.

Конструирование и совершенствование налоговой системы, обеспечивающей, с одной стороны, "рост промышленного производства, а с другой, решение социальных проблем" является также предметом дебатов между представителями не только государственных, но и деловых кругов общества. Л. П. Павлова, А.В. Ефремов в своей статье "Налоговая реформа и создание эффективной налоговой системы в России" называют основные требования к налоговой системе, которая, на их взгляд, могла бы решить следующие задачи:

. Способствовать росту производства, его эффективности;

. Стимулировать инвестиции, научно-технический прогресс;

. Увеличить долю прямых налогов по отношению к косвенным, которые по сути своей не могут способствовать действию механизма социального выравнивания;

. Быть простой и обозримой по количеству налогов и сборов.

Как нам кажется, такой подход является наиболее правильным. Кроме того, на всей территории России и на всех уровнях государственного управления должны быть установлены единые ставки налогов, но регионы и муниципалитеты при этом, могли бы иметь право на их снижение в определенных рамках с целью стимулирования приоритетных отраслей производств.

Такая налоговая система, формирующаяся в ходе перестройки хозяйственной системы страны, позволила бы избежать развала бюджетного механизма и мобилизовать дополнительные финансовые ресурсы для выполнения функций государства.

Вместе с тем, непрерывные изменения, вносимые в налоговое законодательство, вполне объяснимы при становлении налоговых отношений в условиях рынка, но они не могут продолжаться бесконечно. По мере достижения финансовой стабилизации складываются необходимые предпосылки для завершающего этапа реформирования налоговой системы, что является одним из важнейших условий для кардинального улучшения экономической ситуации в стране. При реализации программы реформирования необходимо избежать дестабилизации экономики в целом и бюджетной системы в частности, поэтому следует сохранить преемственность новой налоговой системы по отношению к действующей.

Противоположное мнение отдельных специалистов сводится к следующему. В настоящее время существует множество просчетов в налоговой системе, которые якобы являются причиной экономического спада. Поэтому, на их взгляд, следует отказаться от попыток модернизировать действующую систему, а пересмотреть сами принципы, на которых она организована, достигнув, таким образом, коренной смены законодательства.

Представляется, что обе позиции, несмотря на их кардинальное расхождение, в основных моментах верны и представляют собой две различные позиции на один и тот же объект. В расхождении оценок налоговой системы нет противоречия, так как одновременное сочетание положительных и отрицательных свойств в ней признается и теми и другими, правда, в разных пропорциях.

Одним из основных недостатков современной российской фискальной системы является, на наш взгляд, чрезмерно высокие налоговые ставки, действующие в производственном секторе, которые, по образному выражению одного из авторов, являются "налоговым подавлением".

Одной из важных проблем, несмотря на принятие Налогового кодекса, остается устранение разночтений, а также противоречий, которые имеются в законодательстве и позволяют неоднозначно толковать нормы и произвольно применять их - с одной стороны, и уклоняться от налоговых платежей - с другой.

На наш взгляд, весьма дискуссионными являются также предложения о всемерном сокращении налоговых льгот. Практически все страны с развитой рыночной экономикой используют налоговые льготы для стимулирования модернизации производства, ускорения внедрения научно - технических достижений. В налоговом законодательстве ряда стран полностью включаются в себестоимость продукции расходы частных фирм на научно - исследовательские и опытно - конструкторские работы, существенно снижая, таким образом, величину облагаемой налоговой прибыли. Многие российские специалисты, а также должностные лица государства утверждают, что льготы разъедают нашу налоговую систему, их отмена позволит увеличить бюджетные доходы, в последующем снизить налоги, восстановить принцип равномерности, и справедливости распределения налогового бремени.

Однако не следует забывать, что данные преобразования проводились в стране с развитой рыночной экономикой, тогда как в России ее становление только начинается. Именно по этой причине необходимо использование налоговых льгот в разумных пределах, как одного из рычагов воздействия на хозяйствующих субъектов.

В Германии, например, налоговыми льготами поддерживаются фирмы, инвестирующие капиталы в восточные земли страны - и это притом, что Германия, так же как и США, является высокоразвитой экономической страной.

Поэтому, осуществление политики сокращения видов налоговых льгот, предусмотренных НК Российской Федерации, означает лишение российской налоговой системы регулирующей функции. И уж тем более неверным является предложение их полной отмены. Это касается, прежде всего, налоговой льготы на собственную прибыль предприятия, инвестируемую в расширение и техническую реконструкцию производства. Обоснование необходимости отмены этой льготы, по мнению отдельных авторов, состоит в том, что данная льгота якобы не выполняет той роли, которая на нее возложена, в силу чрезмерной размытости и некорректности, а поэтому дает возможность налогоплательщику уходить от налогообложения. Вряд ли будет правильным считать, что в основе решения о введении того или иного налога или той или иной налоговой льготы должна лежать степень вероятности сокрытия налогов.

Большой в долгосрочном плане недостаток существующей налоговой системы заключается в том, что в ней не в полной мере учитываются национальная специфика и стратегические силы регионов, обусловленные природно-географическими и национально-культурными факторами России. Этот недостаток кроется в сокращении прав регионов вводить собственные и изменять федеральные налоги.

Рациональная налоговая политика всегда стремится к простой и ясной цели: на равный доход должен взиматься равный налог. К сожалению, в условиях переходной экономики достаточно часто проявляется противоположная тенденция. Принципу нейтральности налогообложения прямо противоречит установление особого налогового режима для отдельных предприятий и акционерных обществ.

Проведение субъективных различий между "первоочередными" и "второстепенными" сферами развития производства - это, по сути дела, есть модификация планового финансирования капиталовложений социалистического периода и позавчерашний день налоговой политики.

В этой связи мы полагаем возможным сократить масштабы налоговой дифференциации в отношении налогоплательщиков, в зависимости от источника их доходов, а также предотвратить попытки введения чрезмерно прогрессивных налоговых ставок, направленных на уменьшение предполагаемого неравенства, избежав тем самым стереотипа "уравниловки".

Последовательное соблюдение принципа нейтральности позволит значительно расширить базу налогообложения, а, следовательно, появится возможность снижения налоговых ставок [7, с. 96].

 

Заключение

Налоговая система является одним из главных элементов рыночной экономики. Она выступает главным инструментом воздействия государства на развитие хозяйства, определения приоритетов экономического и социального развития. В связи с этим необходимо, чтобы налоговая система России была адаптирована к новым общественным отношениям, соответствовала мировому опыту.

Нестабильность наших налогов, постоянный пересмотр ставок, количества налогов, льгот и т. д. несомненно, играет отрицательную роль, особенно в период перехода российской экономики к рыночным отношениям, а также препятствует инвестициям как отечественным, так и иностранным. Нестабильность налоговой системы на сегодняшний день - главная проблема реформы налогообложения.

Для внедрения антикризисных мероприятий по совершенствованию налоговой системы России были составлены законодательные акты Российской Федерации" и от 30.12. 2008 г. № 305-ФЗ "О внесении изменений в статью 284 части второй Налогового кодекса Российской Федерации" был принят пакет антикризисных мер, связанных со снижением налогов.

Основными путями совершенствования налоговой системы являются:

·   обеспечение стабильности налоговой системы;

·   максимальное упрощение налоговой системы, изъятие из законов и инструкций норм, имеющих неоднозначное толкование;

·   ослабление налогового прессинга путем снижения налоговых ставок, обеспечение разумного уровня налоговых изъятий;

·   оптимальное сочетание прямых и косвенных налогов.

·   усиление роли имущественных налогов, имеющих устойчивую налогооблагаемую базу;

·   приведение в соответствие с налоговым законодательством иных законов, так или иначе затрагивающих порядок исчисления и уплаты налогов;

·   максимальный учет при налогообложении реальных издержек хозяйствующих субъектов, связанных с их производственной деятельностью;

·   совершенствование подоходного налогообложения физических лиц, разработки гибкой шкалы налогообложения с учетом инфляционного процесса;

·   развитие принципа добровольности при уплате налогов;

В России налогам принадлежит решающая роль в формировании, регулировании и распределении доходной части государственного бюджета.

Так аккумулируя налоги в бюджетном фонде, государство финансирует важнейшие направления жизни и деятельности как общества в целом, так и отдельных индивидуумов: здравоохранение, образование, культура, и искусство, правоохранительная деятельность, государственное управление, инвестиционная деятельность в областях промышленности и сельского хозяйства и многое другое, т.е. государство за счет налогов является плательщиком разнообразных потребностей его граждан.

В практике налогообложения на сегодняшний день необходима, прежде всего, стабильность налогообложения. Но здесь не надо путать стабильность налога и стабильность законодательства, как справедливо отмечает И.В. Горский, поскольку стабильность законодательства определяется стабильностью текста закона и его трактовки и в условиях перехода к рыночной экономике позволяет достаточно часто его менять. Под стабильностью же налогов понимается, прежде всего, стабильность реализации присущих им функций, в частности, первой их них - фискальной. На наш взгляд, именно такая стабильность должна являться основополагающим принципом реформирования налоговой системы в России.

Список использованных источников

1. Гражданский кодек РФ. - М.: Издательство: Гросс-Медиа, 2009г. с. 496 [8]

.   Конституция Российской Федерации с комментариями Конституционного Суда РФ. - М.: Издательство: Инфра-М, 2008 г. с. 200 [9]

.   Мамрукова, О.И. Налоги и налогообложение./ Учеб. пособие/ Под ред. О. И. Мамруковой. - М.: Омега - л. 2003. - с. 296. [5]

4.      Налоги и налогообложение: Учеб. пособие/ Под ред. Б.Х. Алиева. - М.: Финансы и статистика, 2004. - с. 416.[4]

.        Налоги и налогообложение: Учеб. пособие/ Под ред. Г.Б. Поляка, А.Н. Романова. - М: ЮНИТИ - ДАНА, 2003. - с. 399. [6]

.        Налоги и налогообложение: Учебник/ Д.Г. Черник и др. - 2-е изд., доп. Иперераб. - М.: ИНФРА - М, 2004. - с. 328.[7]

.        Налоговый Кодекс РФ. Части первая и вторая . - М.: Издательство ОМЕГА-Л,2006.- с. 550. [2]

.        Пансков, В.Г.. Налоги и налогообложение в Российской Федерации.- М.: Международный центр финансово - экономического развития, 2003г. с. 544. [3]

.        Федеральный закон от 26.11. 2008 г. № 224-ФЗ "О внесении изменений в часть первую, часть вторую Налогового кодекса Российской Федерации и отдельные законодательные акты Российской Федерации" [17]

.        Федеральный закон от 30.12. 2008 г. № 305-ФЗ "О внесении изменений в статью 284 части второй Налогового кодекса Российской Федерации" [18]

.        Концепция социально-экономического развития страны до 2020 года, утвержденная распоряжением В.В.Путина от 17.11.2008 №1662-р. [19]

Журналы:

.   "Экономический анализ: теория и практика", 2009, N 8 [15]

13.    Е.Казаков "Учреждения культуры и искусства: бухгалтерский учет и налогообложение", 2008, N 10 [16]

.        О.В.Скворцов "Налоги и налогообложение", 2009, N 6 [14]

.        С.Ю.Головина, Б.Х.Алиев, А.М.Абдулгалимов, Д.В.Борисов, В.Махерова "Налоги и финансовое право", 2009, N 9[1]

Электронные источники:

16.    #"725422.files/image002.gif">

 


Приложение 2


Налоги и сборы, устанавливаемые в РФ

Классификация налогов Российской Федерации по субъекту уплаты

Похожие работы на - Налоговая система Российской Федерации

 

Не нашли материал для своей работы?
Поможем написать уникальную работу
Без плагиата!
Без нейросетей!