Статистико-экономический анализ производства сахарной свеклы

  • Вид работы:
    Курсовая работа (т)
  • Предмет:
    Эктеория
  • Язык:
    Русский
    ,
    Формат файла:
    MS Word
    438,24 Кб
  • Опубликовано:
    2013-11-05
Вы можете узнать стоимость помощи в написании студенческой работы.
Помощь в написании работы, которую точно примут!

Статистико-экономический анализ производства сахарной свеклы

МИНИСТЕРСТВО СЕЛЬСКОГО ХОЗЯЙСТВА РОССИЙСКОЙ ФЕДЕРАЦИИ

ФГБОУ ВПО «ВОРОНЕЖСКИЙ ГОСУДАРСТВЕННЫЙ АГРАРНЫЙ УНИВЕРСИТЕТ ИМЕНИ ИМПЕРАТОРА ПЕТРА I»

Кафедра статистики и анализа хозяйственной деятельности предприятий в АПК







Курсовая работа

на тему «СТАТИСТИКО-ЭКОНОМИЧЕСКИЙ АНАЛИЗ ПРОИЗВОДСТВА САХАРНОЙ СВЕКЛЫ» (на примере колхоза «Большевик» Калачеевского района и других предприятий Калачеевского, Павловского и Аннинского районов Воронежской области)


Выполнил:

Жихарева Н.А.

Проверил:

доцент Степанова Т.А.

Воронеж, 2013г.

Содержание

Введение

. Анализ рядов динамики

.1 Динамика валового сбора сахарной свеклы за 6 лет

.2 Динамика урожайности сахарной свеклы за 9 лет

.3 Выявление общей тенденции в рядах динамики

. Индексный анализ средней урожайности валового сбора сахарной свеклы

. Однофакторный корреляционно-регрессионный анализ средней урожайности сахарной свеклы

Выводы и предложения

Список использованных источников

Введение

Свекловодство играет очень важную роль в экономике. Экономическую значимость этой культуры увеличивает ещё то, что она служит хорошим предшественником яровой пшеницы и ячменя. Свекловодство, как известно, самая трудоемкая, энерго- и материалозатратная отрасль сельского хозяйства. По сравнению с зерновыми культурами общие затраты на 1 га посева в 6-8 раз выше, а трудовые затраты - в 10-12 раз больше. [3]

В период экономических реформ, лишившись поддержки со стороны государства, свекловодство стало почти повсеместно убыточным. В последнее время в стране наблюдается снижение производства сахарной свеклы. Если в 1990 г. ее посевные площади в России составляли 1 млн. га, то к 2001 г. они сократились почти в 2 раза и составили 772 тыс.га. За указанный период объемы заготовок сахарной свеклы упали соответственно с 25,12 млн. до 13, 09 млн. т. Последующий период характеризуется определёнными позитивными сдвигами, но функционирование свеклосахарного подкомплекса при этом носит неустойчивый характер. Так, наметившую в 2002-2003 г.г. тенденцию расширения посевов сахарной свеклы в последующие годы не удалось удержать. В 2005 г. она составляли 811 тыс. га, что на 39 тыс. га меньше, чем в 2004 г.

Одной из основных причин уменьшения посевных площадей является низкая рентабельность свеклосеющих хозяйств территориально удаленных от сахарных заводов, их низкая конкурентоспособность, а также отсутствие государственной финансовой поддержки и низкая инвестиционная активность сахарных компаний. Сегодня сахарная отрасль России, как и многие другие отрасли экономики, нуждается в стратегическом выборе направления развития. На наш взгляд, этот путь должен быть инновационным. Большую роль в этом должна сыграть государственная политика.

В связи с вышесказанным можно сказать, что тема курсовой работы является актуальной

Цель курсовой работы - провести статистико-экономический анализ урожая и урожайности сахарной свеклы с использованием разнообразных методов статистического анализа.

Для достижения данной цели необходимо решить следующие задачи:

.        Проанализировать динамику валового сбора и урожайности сахарной свеклы на примере одного предприятия.

.        Провести индексный анализ средней урожайности валового сбора сахарной свеклы

.        Провести корреляционно-регрессионный анализ, построить экономико-математическую модель урожайности сахарной свеклы.

Для решения этих задач в работе использовались табличный, статистический метод, индексный метод анализа метод исследования, метод анализа и синтеза, единство общего и особенного, метод восхождения от простого к сложному, а также статистические методы исследования, такие как - сводка и группировка статистического материала, построение различных статистических показателей, экономический анализ, метод программирования.

Предмет исследования - показатели валового сбора сахарной свеклы.

Объект исследования - условные сельскохозяйственные предприятия колхоза «Большевик» и другие предприятия Воронежской области на примере которых проводится анализ.

1. Анализ рядов динамики

.1 Динамика валового сбора сахарной свеклы за 6 лет

В практике сельскохозяйственной статистики различают Урожай и урожайность. Урожаем определенной культуры называют общий объем продукции со всей площади посева. Этот же объем продукции называется и валовым сбором. Различают урожай на корню и фактический урожай. Под урожаем на корню понимают весь выращенный урожай без потерь. Фактическим называется убранный и оприходованный урожай.

Урожай характеризуется рядом показателей:

. Видовой урожай.

. Урожай на корню перед началом своевременной уборки;

. Фактический сбор (амбарный урожай);

. Чистый сбор.

Видовой урожай виды на урожай - это показатель состояния посевов. Урожай на корню перед началом своевременной уборки - реально существующий факт. Здесь биологический процесс развития уже завершен. Но в процессе уборки возможны потери. Фактический сбор урожая, идти амбарный урожаи меньше урожая на корню ровно на величину потерь. Чистый сбор урожая есть фактический сбор (после доработки) за вычетом израсходованных на этот урожай семян. Чистый сбор важен для сопоставления урожая и урожайности культур с большим и малым расходом семян на 1 га посева. Для анализа динамики валового сбора сахарной свеклы необходимо определить следующие показатели: абсолютный прирост; темп роста; темп прироста и абсолютное значение 1 % прироста.

Абсолютный прирост показывает, на сколько увеличилось или уменьшилось изучаемое явление. Он может быть как положительным, так и отрицательным. Рассчитывается двумя способами - цепным и базисным:

а)      цепной способ рассчитывается как разность между каждым последующим и предыдущим уровнем ряда динамики

;

б)      базисный способ - это разность между каждым последующим и предыдущим уровнем ряда динамики, который принят за базу сравнения.


Темп роста показывает, как быстро изменяется изучаемое явление. Темп роста не может иметь знак «минус», он может быть больше или меньше 100%. Этот показатель так же рассчитывается цепным и базисным способом

а) цепной способ - это отношение между каждым последующим и предыдущим уровнем ряда динамики ();

б) базисный темп роста - это отношение каждого последующего ряда динамики к начальному, который принят за базу сравнения ()

Темп прироста показывает, на сколько процентов увеличилось или уменьшилось изучаемое явление. Рассчитывается этот показатель также двумя способами: цепным и базисным (ТП = ТР - 100).

Абсолютное значение 1% прироста представляет собой одну сотую часть базисного уровня и в тоже время - отношение абсолютного прироста к соответствующему темпу роста. Определяется путём давления деления предшествующего уровня ряда динамики на 100. Абсолютное значение 1% прироста всегда положительно. Абсолютное значение 1% прироста служит косвенной мерой базисного уровня и вместе с темпом прироста позволяет рассчитать абсолютный прирост уровня за рассматриваемый период. При замедлении темпов роста абсолютный прирост может увеличиваться, и наоборот. Используя выше приведённые формулы, рассчитаем требуемые показатели динамики валового сбора сахарной свеклы в к-зе «Большевик» и запишем результаты в таблицу 1.

Таблица 1 - Расчёт показателей динамики валового сбора сахарной свеклы в к-зе «Большевик» за 6 лет

годы

Валовой сбор сахарной свеклы, ц

Абсолютный прирост, ц

Темп роста, %

темп прироста, %

абсолютное значение 1% прироста, ц



цепной

базисный

цепной

базисный

цепной

базисный


2006

49700

-

-

-

100,0

-

-

-

2007

35720

-13980

-13980

71,9

71,9

-28,1

-28,1

497,0

2008

116200

80480

66500

325,3

233,8

225,3

133,8

357,2

2009

77220

-38980

27520

66,5

155,4

-33,5

55,4

1162,0

2010

38760

-38460

-10940

50,2

78,0

-49,8

-22,0

772,2

2011

147580

108820

97880

380,7

296,9

280,7

196,9

387,6


Анализируя данные показатели ряда динамики, следует отметить, что динамик валового сбора сахарной свеклы в к-зе «Большевик» на изучаемый период характеризуется неустойчивостью. Так, в 2007 г. валовой сбор уменьшился на 13980 ц или на 28,1% и в 2008 г. валовой сбор увеличился на 80480 ц или на 225,3% соответственно. В 2009г. производство сахарной свеклы сократилось на 38980ц. или на 33,5% по сравнению с 2008 г., темп роста составил был минимальным 66,5%. В 2010 г. объёмы производства ещё понизился ещё на 520 ц. по сравнению и предыдущим годом, темп роста минимального значения и составил 50,2%. Однако, в 2011 г. валовой сбор сахарной свеклы резко увеличился на 108820ц. или 380,3%.

Базисные показатели ряда динамики выявили положительную динамику. Наибольший прирост по сравнению с 2006г. был достигнут в 2011 г. и составил 97880 ц или 196,9%. Темп роста возрос до 296,9%.

Анализируя абсолютны значения 1% прироста можно сделать вывод, что увеличение валового сбора сахарной свеклы в 2007 г. по сравнению с 2006 г. на 1% было равнозначно его увеличению на 497 ц, а в 2008 г. уменьшению по сравнению с 2007 г. на 139,8 ц. Уменьшение валового сбора на 1% в 2009 г. было равнозначно его уменьшению на 1162 ц, увеличение валового сбора в 2010 г. на 1% означало его увеличение на 772,2 ц и уменьшению на 1% в 2011 г. соответствовало его увеличению на 387,6ц.

В целях подтверждения изложенных выводов о неустойчивой динамике валового сбора сахарной свеклы, изобразим его графически виде линейной диаграммы (рис. 1).

Рис. 1. Динамика валового сбора сахарной свеклы за период 2006-2011 гг. в к-зе «Большевик» Калачеевского района

График подтверждает сделанные выводы о неустойчивости сбора сахарной свеклы. Резкое увеличение валового сбора наблюдалось в 2008г., когда темп роста составил 233,8% и в 2011г., когда темп роста достиг максимального значения - 296,9%.

В связи с вышеизложенным, значительный интерес представляют средние или обобщающие показатели ряда динамики:

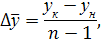
)        Средний абсолютный прирост:


где - конечный уровень ряда,

 - начальный уровень ряда,

 - число лет.

)        Средний темп роста:


)        Средний темп прироста:


Следовательно, ежегодно в течение изучаемого периода валовой сбор сахарной свеклы в к-зе «Большевик» увеличивался на 137640ц. или на 21,31%.

.2 Динамика урожайности сахарной свеклы за 9 лет

Под урожайностью подразумевается средний размер той или иной продукции растениеводства с единицы посевной площади данной культуры (обычно в центнерах с гектара). Урожайность характеризуется продуктивность этой культуры в конкретных условиях её возделывания.

Обычно различают видовую урожайность; урожайность на корню перед началом своевременной уборки; фактический сбор с гектара (в первоначально оприходованном весе и после доработки).

Урожайность рассчитывается для каждой культуры отдельно на основной и побочной, основной и сопряжённой продукции, а также в пересчёте на основную продукцию.

По группам однородных культур определяется средняя урожайность. Средняя урожайность рассчитывается по каждой сельскохозяйственной культуре по средневзвешенной. Средняя урожайность равна отношению валового сбора после доработки к уточнённой средней продуктивной площади.

Величина урожайности сельскохозяйственных культур определяется рядом факторов как экономического, так и природного характера, поэтому динамика этого показателя изучается за длительный период (9-12 лет).

Рассмотрим динамику урожайности сахарной свеклы за 9 лет в к-зе «Большевик», для этого рассчитаем темп роста и темп прироста. Результаты сведём в таблице 2.

Таблица 2 - Динамика урожайности сахарной свеклы в к-зе «Большевик»

годы

Урожайность, ц/га

Темп роста, %

Темп прироста, %



цепной

базисный

цепной

базисный

2003

109

-

-

-

-

2004

110

101,1

101,1

1,1

1,1

2005

146

132,3

133,8

32,3

33,8

2006

142

97,4

130,4

-2,6

30,4

2007

94

66,5

66,5

-33,5

-33,5

2008

332

352,2

234,1

252,2

134,1

2009

234

70,4

164,9

-29,6

64,9

2010

102

43,5

43,5

-56,5

-56,5

2011

470

462,1

201,0

362,1

101,0


Цепные темпы роста и темпы прироста говорят о неустойчивости динамики урожайности. Повышение урожайности наблюдалось в 2004-2006 гг., а также в 2008 г. и в 2011 г. Самый высокий темп роста был достигнут в 2011 г. и составил 462,1%, это значит, что урожайность повысилась на 362,1% по сравнению с 2004 г. Самый низкий темп роста составил 43,5%, что говорит о снижении урожайности в 2010 г. на 56,5%.

Базисные темпы роста и прироста говорят о том, что динамика урожайности зерновых по сравнению базисным годом, наибольший темп роста был достигнут в 2008 г. и составил 234,1%, а наименьший - в 2010г. - 43,6%.

Для получения обобщающих показателей динамики урожайности, рассчитаем средние показатели ряда динамики:

)        средний абсолютный прирост:

;

)        средний темп роста:

;

Следовательно, урожайность сахарной свеклы в целом за исследуемый период ежегодно повышалась на 45,125 ц или 120,04%.

.3 Выявление общей тенденции в рядах динамики

Чтобы выявить основную тенденцию (закономерность) в изменении уровней ряда, необходимо провести выравнивание рядов динамики.

Существуют несколько методов обработки рядов динамики, помогающих выявить основную тенденцию изменения уровней ряда, именно: метод укрупнения интервалов, метод скользящей средней и аналитическое выравнивание.

Для выявления общей тенденции в развитии урожайности сахарной свеклы в к-зе «Большевик» произведём выравнивание динамики урожайности с использованием этих методов.

.        Укрупнение периодов. Так как исходная информация приведена на 9 лет, то выравнивание следует производить по трёхлетиям. Для этого:

а) определяем сумму урожайности по трёхлетиям:

-2005: 109+110+146=365

-2008: 142+94+332=568

-2011: 234+102+470=806

б) определяем среднюю скользящую урожайность по каждому трёхлетию, как простую арифметическую:

-2005: 365/3=122ц/га

-2008: 568/3=189ц/га

-2011: 806/3=269ц/га

.        Расчёт скользящей средней. Скользящая средняя будет рассчитана по трёхлетиям, которые будут образовываться со сдвигом на 1 год вправо:

а) определяем сумму урожайности по трёхлетиям:

-2005: 109+110+146=365

-2006: 110+146+142=398

-2007: 146+142+94=382

-2008: 142+94+332=568

-2009: 94+332+234=660

-2010:332+234+102=668

-2011: 234+102+470=806

б) определяем среднюю скользящую урожайность по каждому трёхлетию, как простую арифметическую:

-2005: 365/3=122

-2006: 398/3=133

-2007: 382/3=127

-2008: 568/3=189

-2009: 660/3=220

-2010:668/3=223

-2011: 806/3=269

Полученные результаты сведём в таблице 3.

Таблица 3 - Выравнивание динамического ряда урожайности сахарной свеклы в к-зе «Большевик»

Годы

Фактическая урожайность сахарной свеклы, ц/га

Укрупнение периодов

скользящая средняя



сумма за трёхлетие

средняя урожайность за трёхлетие

сумма за трёхлетие

средняя урожайность за трёхлетие

2003

109

 

 

 

 

2004

110

365

122

365

122

2005

146

 

 

398

133

2006

142

 

 

382

127

2007

94

568

189

568

189

2008

332

 

 

660

220

2009

234

 

 

668

223

2010

102

806

269

806

269

2011

470

 

 

 

 


Таким образом, метод укрепления периодов выявил тенденцию роста средней урожайности зерновых по трёхлетиям в к-зе «Большевик» Калачеевского района. Однако, метод скользящей средней не подтвердил этой тенденции в изменении урожайности сахарной свеклы.

Поэтому, для более точных выводов применим третий метод выравнивания - аналитическое выравнивание по уравнению прямой.

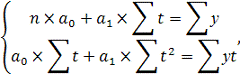
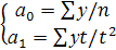
.        Аналитическое выравнивание. Для аналитического выравнивания первоначально берётся уравнение прямой:

Где  - теоретическое значение урожайности за каждый год, ц/га;

 - неизвестные параметры;

t - условное обозначение периода времени.

Для нахождения параметров решается система нормальных уравнений:


где n- количество лет.

Если задать условные обозначения времени так, чтобы их сумма была равна 0, получим следующее:

 

Исходные и расчётные данные для решения системы уравнений представим в виде таблице 4.

Таблица 4 - Аналитическое выравнивание урожайности сахарной свеклы

годы

Урожайность, ц/га (у)

Условные обозначения периода времени (t)

Расчётные данные




  

уt

У1 = 193,11+29,78t

2003

109

-4

16

-435

73,99

2004

110

-3

9

-330

103,77

2005

146

-2

4

-291

133,55

2006

-1

1

-142

163,33

2007

94

0

0

0

193,11

2008

332

1

1

332

222,89

2009

234

2

4

468

252,67

2010

102

3

9

305

282,45

2011

470

4

16

1880

312,23

Итого:

Уу=1738

Уt= 0

Уt^2=60

Ууt=1786,84

УУ1=1737,99


Подставим итоговые данные таблицы 4 в систему нормальных уравнений и получим следующие её выражение:

 

Подставив найденные значения параметров  и  в уравнение найдём его конкретное выражение:

=193,11+29,78.

Параметр  свидетельствует о том, что ежегодно в течение изучаемого периода урожайность сахарной свеклы повышалась на 29,78ц/га.

Посчитав значение t в уравнение прямой, определим теоретическое значение урожайности за каждый од. Результаты запишем в таблицу 4.

Таким образом, выравненный ряд урожайности сахарной свеклы, который говорит о её систематическом росте.

Изобразим динамику изученного явления графически (рис. 2).

Рис. 2. Фактическая и выравненная урожайность сахарной свеклы за 9 лет

Как следует из графика, динамике урожайности сахарной свеклы в к-зе «Большевик» присуща тенденция роста.

2. Индексный анализ средней урожайности валового сбора сахарной свеклы

Индекс в статистике - это обобщающий показатель сравнения двух совокупностей, состоящих из элементов, непосредственно неподдающихся суммированию. Индексы классифицируются по трем признакам: по характеру изучаемых объектов, по степени охвата элементов совокупности и методике расчета общих индексов.

По характеру изучаемых объектов индексы разделяются на индексы объемных и индексы качественных показателей.

К первой группе относятся индексы физического объема промышленной продукции, физического объема сельскохозяйственной продукции, физического объема розничного товарооборота, национального дохода и т.д. Во всех этих индексах количества оцениваются в одинаковых, сопоставимых ценах. Ко второй группе индексов качественных показателей принадлежат индексы цен (розничных, оптовых, отпускных промышленности, закупочных), индексы себестоимости производства продукции, индексы производительности труда (в промышленности, сельском хозяйстве и т.д.), индексы урожайности и некоторые другие индексы. Все эти индексы вычисляются на базе одинаковых, неизменных количества продукции.

С точки зрения степени охвата элементов совокупности индексы разделяются на индивидуальные и общие.

Индивидуальные индексы дают сравнительную характеристику отдельных элементов той или иной совокупности.

Уже в индивидуальном индексе выступают своеобразные черты индекса как сводного показателя в статистике. Прежде всего, индекс - это относительный показатель, получающийся в результате сравнения двух абсолютных величин, характеризующих уровень изучаемого явления для двух разных периодов (в динамических индексах). Величина, которую сравнивают и которая обычно стоит в числителе индексного отношения, характеризует уровень для отчетного периода, а величина, с которой сравнивают и которая обычно стоит в знаменателе индексного отношения, характеризует уровень для базисного периода.

Индекс, как относительный показатель, может быть выражен в виде коэффициента (когда базисный уровень принят за единицу) или в виде процентов (когда он принят за 100). Если индекс больше 1 (или 100%), уровень изучаемого явления растет, если меньше 1 (или 100°/о) - снижается. В зависимости от методологии расчета общие индексы разделяются на агрегатные (суммарные) и средний из индивидуальных индексов. Агрегатные индексы являются основной формой экономических индексов, а средние из индивидуальных индексов - производными, которые получаются в результате преобразования агрегатных индексов.

В зависимости от экономического содержания бывают индивидуальные индексы физического объёма продукции, себестоимости, цен, производительности труда. Общие индексы выражают сводные (обобщающие) результаты совместного изменения всех единиц, образующих статистическую совокупность, т.е. характеризуют изменение общего явления в целом. Важной особенностью общих индексов является го, что они обладают синтетическими и аналитическими свойствами. Синтетические свойства индексов состоят в том, что посредством индексного метода производится соединение (агрегирование) в целом разнородных единиц статистической совокупности. Аналитические свойства индексов состоят в том, что посредством индексного метода определяется влияние факторов на изменение изучаемого показателя. Общие индексы рассчитываются для количественных и качественных показателей.

Для проведения индексного анализа средней урожайности и валового сбора сахарной свеклы по данным предприятии, Калачеевского, Павловского и Аннинского районов Воронежской области используем таблицу 5.

Таблица 5 - Посевная площадь, урожайность, валовой сбор сахарной свеклы на предприятиях Воронежской области.

Наименование хозяйств

Посевная площадь, га

Урожайность зерновых, ц/га

Валовой сбор, ц



2010 год (П0)

2011 год (П1)

2010 год (Уо)

2011 год (У1)

2010 год (УоПо)

2011 год (У1П1)

условн. год (УоП1)

1

к-з "Большевик"

380

314

101,71

470,02

38760

147580

31937

2

ЗАО "Заря"

280

360

153,22

408,74

42840

147240

55159

3

ЗАО "Победа"

180

180

91,42

422,21

16380

75960

16456

4

ООО "Нива" Калач-го р-на

800

520

53,91

308,63

43200

160490

28033

5

ЗАО "Агрофирма Павловская Нива"

1024

1161

91,53

379,32

94208

440019

106266

6

ЗАО "Манино"

400

400

45,19

268,73

18000

107600

18076

7

ЗАО "Павсловкая МТС"

300

303

50,04

324,3

15000

98172

15162

8

ООО "Русское поле"

300

250

98,47

349,62

29400

87500

24618

9

ООО "Калачеевское -2"

81

240

77,99

207,84

6318

49920

18718

10

ООО "Бавария"

380

770

61,54

279,93

28560

215600

47386

11

ЗАО "Подгорное"

700

700

64,66

317,52

45500

222600

45262

12

ООО " Агро-союз"

30

287

99,73

525,1

3000

15750

28623

13

ООО "Комсомольское"

210

250

125

450

26250

112500

31250

14

СХА "Рассвет"

90

45

108,94

447

9810

20115

4902

15

К-з им. Куйбышева

250

330

84,59

325,37

21250

107250

27915

16

ЗАО "Путь Ленина"

455

438

176,84

502,65

80535

220314

77456

17

ОАО "СХТ"

200

2590

30,94

303,1

6200

75750

80135

18

ЗАО "Николаевка"

570

350

99,1

618,99

56430

216650

34685

19

ООО "Майс"

165

165

55,73

308,75

9240

50985

9195

20

ООО "Нива" Анн-го р-на

300

3210

79,21

425,85

23700

127800

254264

21

ООО "Нива" Павл-го р-на

200

200

13,98

315,44

2800

63000

2796

Итого:

УП0 = 7295

УП1 = 13063

ӯ0 = 84

ӯ1 = 379

УУ0П0 = 617381

УУ1П1 = 2762795

УУ0П1 = 958293


Определим среднюю урожайность сахарной свеклы по формуле средней арифметической взвешенной:

- в базисном году

отчётном году

 ц/га - условная урожайность

Определим общее изменение средней урожайности сахарной свеклы:

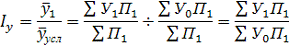
а) относительное изменение покажет общий индекс средней урожайности переменного состава:

=  или 249%

б) абсолютное изменение рассчитаем как разницу между средней урожайностью отчётного и базисного года:

127 ц/га

Следовательно, средняя урожайность сахарной свеклы на предприятиях изучаемых районов повысилась в отчётном году по сравнению с базисным годом на 127 ц/га.

На общее изменение средней урожайности оказывают влияние 2 фактора:

.        изменение урожайности посевных площадей.

.        Изменение структуры посевных площадей.

а) относительное влияние первого фактора покажет общий индекс урожайности постоянного состава, который рассчитывается как отношение фактической средней урожайности отчётного года к средней условной урожайности отчётного года:


б) абсолютное изменение составит разницу между числителем и знаменателем:


Следовательно, за счёт повышения урожайности сахарной свеклы в отдельных предприятиях средняя урожайность в районах в отчётном году повысилась на 138 ц/га или 88,3%.

а)      Относительное влияние второго фактора покажет общий индекс структуры посевных площадей, который определяется как отношение условной средней урожайности за отчётный год к средней урожайности базисного года:


б)      абсолютное изменение составит:

Следовательно, индекс структуры посевных площадей показывает, что урожайность сахарной свеклы понизилась на 12 ц/га.

Рассчитанные показатели находятся во взаимосвязи, что позволяет построить две модели, описывающие взаимосвязь факторов:

)        Мультипликативная модель


2,49 =2,8830*0,866=2,49;

)        Аддитивная модель:


=138-11=127

Индексный анализ средней урожайности выявил положительную динамику, так как в отчётном 2011 году она повысилась по сравнению с 2010 годом на 49%. Положительное влияние на это изменение оказали оба рассматриваемых фактора. Однако, наиболее существенным оказался фактор - повышение урожайности в отдельных предприятиях. За счёт него средняя урожайность повысилась на 88,3 %.

Изменение средней урожайности окажет влияние на состояние и динамику валового сбора сахарной свеклы.

Определим общее изменение валового сбора сахарной свеклы.

а)      Относительное изменение покажет расчёт общего валового сбора сахарной свеклы:


б) абсолютное изменение валового сбора составит:


Следовательно, валовой сбор сахарной свеклы увеличился в отчётном году по сравнению с базисным годом на 2145414 или на 42,4%

Валовой сбор находится под влиянием 3-х факторов:

)        Урожайности сахарной свеклы в отдельных предприятиях;

)        Размера посевной площади;

)        Структура посевных площадей.

Рассмотрим влияние первого фактора:

а) относительное влияние определяется путём расчёта индекса урожайности постоянного состава:


б) абсолютное изменение валового сбора составит:


13063=1804501 ц

Следовательно, за счёт роста урожайности в отдельных предприятиях валовой сбор сахарной свеклы урожайность в районах в отчётном году увеличился на 1804501ц. или на 88,3%.

Определим влияние второго фактора:

а) относительное влияние определяется путём расчёта индекса размера посевных площадей:


б) абсолютное изменение составит:


84,9876=490208 ц

Следовательно, за счёт увеличения посевной площади сахарной свеклы в Аннинском, Павловском, Калачеевском районах, валовой сбор сахарной свеклы в 2011 году увеличился на 80% или на 490208ц.

Определим влияние третьего фактора:

а) относительное влияние определяется путём расчёта индекса структуры посевных площадей:


б) абсолютное изменение составит:


Выполненные расчёты позволяют построить две модели, описывающие взаимосвязь факторов:

)        Мультипликативная модель:

4,432=2,88304,432

)        Аддитивная модель:


1804501+4902082145414

Индексный анализ показал, что валовой сбор сахарной свеклы в анализируемых районах Воронежской области имел положительную тенденцию. Однако изученные факторы по-разному повлияли на это изменение. Увеличение посевных площадей оказало положительное влияние на величину валового сбора сахарной свеклы.

Из изложенного следует, что в Аннинском, Павловском, Калачеевском районе должны быть найдены резервы расширения посевных площадей сахарной свеклы и улучшения их структуры. Но главное внимание следует уделить повышению урожайность сахарной свеклы как интенсивному фактору, определяющему состояние производства сахарной свеклы.

В связи с этим представляет интерес выявление резервов повышения урожайности сахарной свеклы в каждом предприятии районов и их совокупности на базе использования статистических методов: группировки, корреляционного анализа.

3. Однофакторный корреляционно-регрессионный анализ средней урожайности сахарной свеклы

Корреляционно-регрессионный анализ - это установление формы связей, измерение влияния фактора на результат, измерение тесноты связи и меры воздействия каждого фактора на результаты. Чтобы результаты КРА дали желаемый результат, нашли практическое применение, т.е. должны быть соблюдены определённые правила или условия:

.        Однородность статистической совокупности. Корреляционно-регрессионному анализу должны быть подвергнуты предприятия, производящие однотипную продукцию, имеющих однотипный технологический процесс и приблизительно одинаковые климатические условия.

.        В основу КРА должны быть положены наиболее существенные и независимые друг от друга факторы;

.        Факторы, используемые при построении КРА, должны иметь качественные выражения;

.        Число факторов должно быть в 5,6 раз меньше числа изучаемой совокупности.

В природе и обществе явления и процессы связанные друг с другом и зависят друг от друга.

Связи в зависимости между явлениями, могут быть:

а) функциональными;

б) корреляционными.

Функциональной является связь, при которой определённому значению признака (факторного) всегда соответствует один или несколько определённых значений другого признака (результативного).

Корреляционной называется связь, при которой каждому значению признака (факторного) соответствует несколько значений другого признака (результативного). В отличие от функциональной связи, корреляционная связь проявляется не в каждом отдельном случае, а при большом числе наблюдений.

По направлению выделяют следующие связи:

а) прямую;

б) обратную.

При прямой связи с увеличением или уменьшением значение факторного признака, происходит увеличение или уменьшение значения результативного признака. В случае обратной связи, значение результативного признака меняется под воздействием факторного, но в противном направлении, по сравнению с изменением последнего.

По аналитическому выравниванию выделяют следующие связи: прямолинейные и криволинейные. Если статистическая связь между явлениями может быть приближенно выражена уравнением прямой линии, то её называют линейной связью. Если она выражается уравнением какой-либо кривой линии (гипербола, парабола, степенная, экспоненциальной), то такую связь называют нелинейной или криволинейной связью.

Корреляция - это статистическая зависимость между случайными величинами, не имеющего строго функционального характера, при которой изменение одной из них приводит к изменению математического ожидания другой.

Корреляционный анализ - это количественное определение тесноты связи между двумя признаками (при парной связи) и между результативным и множеством факторных признаков (при многофакторной связи).

Коэффициенты регрессии показывают на сколько единиц изменяется результат при изменении фактора на единицу.

Коэффициенты корреляции представляют количественную характеристику тесноты связи между признаками, дают возможность определить полезность факторных признаков при построении уравнений множественной регрессии.

Корреляция и регрессия тесно связаны между собой.

корреляция оценивает силу (тесноту) статистической связи;

регрессия исследует её формы.

Оба служат для определения наличия или отсутствия связи между явлениями.

По хозяйствам Воронежской области изучим корреляционно-регрессионную зависимость между уровнем интенсивности и урожайности сахарной свеклы.

Предположим, что зависимость между уровнем интенсивности и урожайностью зерновых описывается уравнением прямой линии:

,

где: теоретическая (расчётная) урожайность;

х - фактический уровень интенсивности;

константа или постоянный член уравнения;

парный коэффициент регрессии (или пропорциональности).

Для того, чтобы найти неизвестные параметры , необходимо составить и решить систему двух нормальных уравнений:


где n - число хозяйств (n=25).

Исходные и расчётные данные для решения системы уравнений и построения корреляционно-регрессионной зависимости представим в виде таблицы 6.

Таблица 6- исходные и расчётные данные для решения системы уравнений и построения корреляционно-регрессионной модели урожайности сахарной свеклы

№ п/п

Урожайность сахарной свеклы, ц/га (у)

Уровень интенсивности, тыс, руб. (х)

хІ

ху

уІ

Уᵪ=7888,85+1,94х

1

426

3,86

15

1643

181348

7896

2

303

0,91

1

275

91870

7891

3

525

4,68

22

2455

275730

7898

4

280

25,86

669

7238

78361

7939

5

208

11,66

136

2423

43197

7911

6

269

25,42

646

6832

72216

7938

7

315

31,36

983

9892

99502

7950

8

309

41,66

1736

12863

95327

7970

9

325

35,52

1262

11557

105866

7958

10

450

33,46

1119

15055

202500

7954

11

318

31,55

995

10017

100819

7950

12

350

36,73

1349

12841

122234

7960

13

309

34,04

1159

10505

95252

7955

14

409

38,30

1467

15656

167068

7963

15

470

45,67

2086

21466

220919

7977

16

324

51,31

2632

16639

105170

7988

17

447

59,62

3555

26651

199809

8005

18

503

46,97

2206

23607

252657

7980

19

619

70,17

4923

43431

383149

8025

20

422

76,21

5807

32175

178261

8037

21

379

54,35

2954

20617

143884

7994

Всего

7959

759,28

35721

303838

3215139

167139


Подставим итоговые данные в систему уравнений и решим её:

 

10,89=21,17

Подставим найденное значение в любое из уравнений и найдём :

Подставив найденные значения  в уравнение прямой, найдём его конкретное выражение:

7888,85+1,94х

Полученный коэффициент регрессии () свидетельствует о том, что при увеличении уровня интенсивности на 1 тыс. руб., урожайность сахарной свеклы в данных конкретных условиях будет повышаться на 1,94 ц/га.

Чтобы определить теоретические значения урожайности сахарной свеклы по каждому хозяйству, подставим значение фактора в разработанную модель (уравнение прямой) и запишем результаты в таблицу 11.

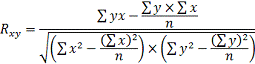
Для измерения тесноты связи определим линейный коэффициент корреляции (R) по следующей формуле:



Коэффициент корреляции всегда меньше единицы и изменяется в пределах от -1 до +1. Знаки коэффициентов регрессии и корреляции всегда совпадают.

Полученный коэффициент корреляции R=0,4 свидетельствует о том, что связь между урожайностью сахарной свеклы и уровнем интенсивности прямая.

Коэффициент детерминации (D) показывает, какая доля вариации результативного признака обусловлена изменением факторных признаков, входящих в факторную регрессионную модель.

 или 16%.

Полученный коэффициент детерминации (0,16 или 16%) свидетельствует о том, что урожайность сахарной свеклы в исследуемой совокупности предприятий всего на 16% зависит от уровня интенсивности, а на 84% от других факторов не вошедших в модель.

Выводы и предложения

В данной курсовой работе с помощью статистических методов анализа было изучено состояние производства сахарной свеклы в сельскохозяйственных предприятий Калачеевского, Павловского и Аннинского районов Воронежской области. В результате мы пришли к следующим выводам.

В первой главе на примере колхоза «Большевик» Калачеевского района была изучена динамика валового сбора сахарной свеклы за 6 лет (2006-2011 г.) и урожайности за 9 лет (2003-2011 гг.). Динамика этих показателей характеризуется неустойчивостью.

Так, в 2007 г. валовой сбор уменьшился на 13980 ц. или на 28,1% и в 2008 г. валовой сбор увеличился на 80480 ц или на 225,3% соответственно. В 2009 г. производство сахарной свеклы сократилось на 38980ц. или на 33,5% по сравнению с 2008 г., темп роста составил был минимальным 66,5%. В 2010 г. объёмы производства ещё понизился ещё на 520 ц по сравнению и предыдущим годом, темп роста минимального значения и составил 50,2%. Однако, в 2011 г. валовой сбор сахарной свеклы резко увеличился на 108820 ц или 380,3%.

Урожайность сахарной свеклы повышалась в 2004-2006 гг., а также в 2008 г. и в 2011 г. Самый высокий темп роста был достигнут в 2011 г. и составил 462,1%, это значит, что урожайность повысилась на 362,1% по сравнению с 2004 г. Самый низкий темп роста составил 43,5%, что говорит о снижении урожайности в 2010 г. на 56,5%.

Во второй главе проводиться индексный анализ средней урожайности и валового сбора сахарной свеклы на примере совокупности предприятий Калачеевского, Павловского и Аннинского районов Воронежской области. Было выявлено, что средняя урожайность сахарной свеклы на предприятиях изучаемых районов повысилась в отчётном году по сравнению с базисным годом на 127 ц/га.

В результате изучения факторов, повлиявших на это изменение, мы пришли к выводу, что только за счёт повышения урожайности большинства предприятий средняя урожайность повысилась на 1804501 ц или на 88,3%, т.е. этот фактор оказался наиболее существенным.

Также было выявлено, что валовой сбор сахарной свеклы в анализируемых районах увеличился в отчётном году по сравнению с базисным годом на 2145414 или на 42,4%. Увеличение произошло за счёт роста урожайности в отдельных предприятиях на 88,3%, а индекс структуры посевных площадей показывает, что урожайность сахарной свеклы понизилась на 12 ц/га.

В третьей главе был проведён корреляционно-регрессионный анализ урожайности сахарной свеклы и построена экономико-математическая модель зависимости урожайности сахарной свеклы от уровня интенсивности. Было получено уравнение прямой следующего вида:7888,85+1,94х, из которого следует, что при увеличении уровня интенсивности на 1 тыс. руб., урожайность сахарной свеклы в данных конкретных условиях будет повышаться на 1,94 ц/га.

Полученный коэффициент корреляции R=0,4 свидетельствует о том, что связь между урожайностью сахарной свеклы и уровнем интенсивности прямая.

Полученный коэффициент детерминации ( или 16%.) свидетельствует о том, что урожайность сахарной свеклы в исследуемой совокупности всего на 16% зависит от уровня интенсивности, а на 84% от других факторов, не вошедших в модель.

Обобщая все вышеизложенные выводы, можно сказать, что сельскохозяйственным предприятиям изучаемых районов Воронежской области необходимо изыскивать резервы для повышения производства сахарной свеклы. Для увеличения валового сбора сахарной свеклы. Для увеличения валового сбора сахарной свеклы и повышения урожайности сахарной свеклы предприятия обязаны принять следующие меры:

искать рациональные пути снижения себестоимости (затраты на удобрения, топливо);

пересмотреть ценовую политику для того, чтобы окупить затраты на производство;

решить проблему нехватки техники в некоторых хозяйствах;

применять сорта и гибриды сахарной свеклы, обладающие высокой схожестью семян и сочетающих высокую урожайность с устойчивостью к болезням;

применять прогрессивные технологии возделывания сахарной свеклы;

соблюдать агротехнические сроки по посеву, обработке и уборке сахарной свеклы и т.д.

В заключение хотелось бы сказать, что сельскому хозяйству необходима значительная государственная поддержка федерального и регионального уровней.

сахарный свекла сельскохозяйственный экономика

Список использованных источников

1.        Афанасьев В.Н. Статистика сельского хозяйства: учебное пособие / В.Н. Афанасьев, А.И. Маркова. - М.: Финансы и статистика, 2006. - 272 с.

2.      Сафронова Н.А. Экономика организации (предприятия): учебник/ Н.А. Сафронова. - М.: Экономистъ, 2009. - 618с.

.        Сергеев С.С. Сельскохозяйственная статистика с основами экономической статистики: учебник. / С.С. Сергеев. - М.: Статистика, 2008.

.        Сурков И.М., Коротеев В.П. Резервы повышения эффективности сельскохозяйственного производства (методика расчета и мероприятия по их освоению): учебное пособие. / И.М. Сурков, В.П. Коротеев - Воронеж : ВГАУ, 2009. - 222с

.        Башкатов Б.И. Статистика сельского хозяйства с основами общей теории статистики. Курс лекций./ Б.И. Башкатов - М.: «ЭКМОС». - 2007. - 352с

.        Громыко Г.Л. Теория статистики: учебник / Г.Л. Громыко. - М.: ИНФРА-М, 2010. - 414 с.

.        Золотарев А.Т. «Все начинается с семян» //Сахарная свекла. - 1997. - №11.

.        Искусных В.И. «Итоги производства сахарной свеклы в Российской Федерации в 2002 году» // Сахарная свекла. - 2005. - №2. С. 9-10

.        Ковалевский Г.В. Индексный метод в экономике: учебное пособие / Г.В. Ковалевский - М.: Финансы и статистика, 2009. - 239с

.        Плошко Б.Г. Группировка и системы статистических показателей: учебник / Б.Г. Плошко - М.: «Статистика»,2007. - 117с

.        Ряузов Н.Н. Общая теория статистики: учебник. / Н.Н. Ряузов -М.: Финансы и статистика, 2009. - 343 с.

12.        Савицкая Г.В., Мисуно А.А. Резервы повышения эффективности сельскохозяйственного производства: методика Статистика: учебное пособие / Г.В. Савицкая, Л.П. Харченко, П.Г. Долженкова - М.:ИНФРА-М, 2010 - 382с.

13.   Анализ финансово-экономической деятельности предприятия: Учеб. Пособие для ВУЗов/под ред. Любушина Н.П. -М.: ИНИТИ - ДАНА, 2005.- 471с.

14.        Афанасьев, В.Н. Статистика сельского хозяйства: Учебное пособие. / В.Н. Афанасьев. - М.: Финансы и статистика, 2002. - 272с.

15.   Баканов М.И., Шеремет А.Д. Теория анализа хозяйственной деятельности Учебник, 3-е переработанное и дополненное издание: М.: Финансы и статистика. 2007. - 489 с.

16.    Вучков И. и др. Прикладной линейный регрессионный анализ / Пер. с болг. И. Вучков, Л. Бояджиева, Е. Солжов. М: Финансы и статистика, 2008.- 239 с.

.        Долгушевский Ф.Г., Христич А.Г. Сельскохозяйственная статистика с основами экономической статистики. М.: Статистика, 2006. - 311 с

.        Елисеева И.И. Общая теория статистики. М. Финансы и статистика. 2007. - 287 с

19.        Елисеева, И.И. Общая теория статистики: Учебник для вузов /И.И. Елисеева, М.Н. Юзбашев, 3-е изд. - М.: Финансы и статистика. - 1998.

20.   Емельянов A.M. Экономика сельского хозяйства М.: Экономика. 2007. - 290 с.

21.    Ефимова М.Р., Рябцев В.М. Общая теория статистики: Учебник. М.: Финансы и статистика, 2005.- 303 с.

22.        Ефимова, М.Р. Практикум по общей теории статистики: Учебное пособие /М.Р. Ефимова, Е.В. Петрова, О.И. Ганченко, 2-е изд. М.: Финансы и статистика - 2002.

23.    Зинченко, А.П. Сельскохозяйственная статистика с основами социально-экономической статистики. - М.: издательство МСХА - 1998.

24.   Муравьев А.И. Теория экономического анализа: проблемы и решения. М: Финансы и статистика,2008. - 391 с.

25.    Плошка Б.Г. Группировка и система статистических показателей. М.: Статистка, 2005.- 176 с.

.        Савицкая Г.В. Анализ хозяйственной деятельности промышленного предприятия. М.: ИСЗ, 2005. - 109 с.

.        Шеремет А.Д. Методика финансового анализа предприятия М.: ИПО МП, 2006. - 450 с.


Не нашли материал для своей работы?
Поможем написать уникальную работу
Без плагиата!
Без нейросетей!