Разработка стратегии развития предприятия

  • Вид работы:
    Курсовая работа (т)
  • Предмет:
    Менеджмент
  • Язык:
    Русский
    ,
    Формат файла:
    MS Word
    176,2 Кб
  • Опубликовано:
    2014-04-13
Вы можете узнать стоимость помощи в написании студенческой работы.
Помощь в написании работы, которую точно примут!

Разработка стратегии развития предприятия















КУРСОВАЯ РАБОТА

Разработка стратегии развития предприятия

 

 

1. Резюме


Основанная в 1992 году ведущим российским бизнесменом Рустамом Тарико, компания «Русский стандарт» является одной из самых быстрорастущих и наиболее динамично развивающихся российских компаний, в которой работают более 30 000 сотрудников. Первая компания «Руст Инк» быстро стала ведущим дистрибьютером премиальных алкогольных брендов в России. Затем компания приступила к выполнению основной миссии, направленной на создание брендов, отражающих новый стандарт качества и инноваций. В 1998 году был запущен первый российский премиальный водочный бренд «Русский стандарт», в кратчайший срок ставший премиальной водкой номер 1 в России.

Сегодня бренды компании «Русский стандарт» - Original, Platinum, Gold и Imperia - занимают лидирующие в премиальном водочном сегменте в России и представлены на рынках более чем 80 стран по всему миру. Водка «Русский стандарт» является единственным российским потребительским брендом, который стал глобальным.

В 2011 году «Русский стандарт» приобрел мажоритарный пакет акций компании Gancia, легендарного итальянского производителя игристых вин и вермутов.

Офис компании находится в городе Санкт-Петербург, Пулковское шоссе, 52.

«Русский стандарт» приобрел компанию Central European Distribution Corporation через одну из своих аффилированных компаний - Roust Trading Limited, став крупнейшим интегрированным производителем и дистрибьютором алкогольных напитков в странах Центральной и Восточной Европы и одним из крупнейшим мировых производителей водки.

«Русский стандарт» видит свою задачу в том, чтобы построить глобальную компанию, которая будет иметь репутацию лучшей компании в России и лучшей российской компании за рубежом. «Благодаря своей интуиции, мы тонко чувствуем желания потребителей. Благодаря инновациям, мы создаем продукты, которые делают революции на рынках. Мы стремимся предлагать людям доступные и высококачественные товары и услуги, повышающие качество их жизни»

2. Анализ внешней среды

риск стратегический управление

Анализ макроокружения компании:

Внешняя среда разделяется на макро и микро окружение. Макроокружение создает общие условия для деятельности организации во внешней среде. В большинстве случаев макроокружение не имеет специфического характера, применительного к отдельно взятой организации. Однако степень влияния макроокружения на различные организации зависит от сферы деятельности каждой из них и от ее внутреннего потенциала. К макроокружению относят следующие факторы:

. Экономический фактор

Уровень инфляции в России планируется снизить в 2014 году до 4,5% - такой прогноз подтвердил министр финансов РФ.

Можно заметить, что уровень инфляции падает, что является большим плюсом для нашего предприятия, ведь высокий уровень инфляции негативно сказывается на её деятельности, так как цена производства неуклонно растет, что приводит к росту стоимости выпускаемой продукции, и существенно отражается на объемах продаж компании.

Уровень безработицы. К лету 2013 года норма безработицы снизилась до уровня более низкого, чем был достигнут в предкризисный год. В июле третий месяц подряд безработица составила 5,3% экономически активного населения. Что говорит о падении уровня безработицы, но он все равно остается на довольно высоком уровне. Такие данные скорее являются положительными для предприятия. Так как безработица повышает эффективность труда (за счет создания конкуренции), а также отражается на «спросе» рабочих мест в нашей крупной стабильной компании, что позволяет нам отбирать работников по нужным нам критериям, а не брать «первых попавшихся».

Уровень доходов населения постепенно растет, и покупатель может позволить себе более дорогую продукцию, какой и является продукция «Русский стандарт», по сравнению с некоторыми конкурентами.

Выводы: Экономический фактор не отражается негативным образом на компании, а даже наоборот, имеет свои плюсы. Уровень инфляции снизился, а покупательская возможность наоборот, возросла.

. Политический фактор

Проблемам государственного регулирования производства и оборота алкогольной продукции, совершенствования его механизмов на законодательном уровне уделяется значительное внимание. Государственное регулирование этой отрасли обусловлено, прежде всего, необходимостью максимального предотвращения негативного влияния алкоголя на жизнь и здоровье населения путем сокращения производства нелегальной, зачастую фальсифицированной алкогольной продукции, а также обеспечения поступлений налогов в бюджет в силу высокой ликвидности алкогольной продукции.

Государственное регулирование и контроль за производством и оборотом алкогольной продукции имеют две тесно взаимосвязанные основные составляющие: первая связана с обеспечением поступления акцизов в доходную часть бюджета; вторая - с сокращением производства нелегальной, зачастую фальсифицированной алкогольной продукции. Для алкогольной продукции крепостью свыше 9% (кроме пива, вина, шампанского) акцизы повысятся с нынешних 400 рублей за литр безводного спирта до 500 рублей в 2014 году.

Также был подписал новый закон, который гласит: «Запрещается розничная продажа алкогольной продукции на территории Санкт-Петербурга с 22 часов до 11 часов, за исключением розничной продажи алкогольной продукции, осуществляемой организациями, и розничной продажи пива, пивных напитков, сидра, пуаре, медовухи, осуществляемой индивидуальными предпринимателями, при оказании такими организациями и индивидуальными предпринимателями услуг общественного питания, а также розничной продажи алкогольной продукции, осуществляемой магазинами беспошлинной торговли», - гласит новая редакция статьи 6 «Ограничения розничной продажи алкогольной продукции в Санкт-Петербурге».

Выводы: из-за повышения ставки акциза, повысятся цены на продукцию, и в первую очередь это станет большим минусом для потребителей.

. Технологический фактор

Используя последние новинки в современной технике можно добиваться огромных высот, используя минимум ресурсов. Так, например, заменив ручное производство автоматическим, можно получить увеличение производства с меньшими издержками. Постоянный научный прогресс позволяет компании «Русский стандарт» это сделать. «Русский стандарт» является одним из предприятий, которое постоянно модернизирует оборудование, приобретает или разрабатывает новые технологии. Следовательно, более производительное оборудование влияет на скорость амортизации и с помощью этого повышается эффективность производства на цену продукции. В 2006 году компания оценила эффективность существующих практик и вложила средства в менее энергоемкие оборудование и технологии. Эти меры позволили добиться небольшого, но значимого сокращения энергопотребления во всех сферах бизнеса.

Вывод: В работе компании успешно применяются новейшие технологии и оборудование, имеющиеся на рынке. Что позволяет увеличивать объёмы производства и повысить качество продукции.

. Международный фактор

Компания экспортирует свою продукцию более чем в 80 стран мира. Международное сотрудничество является обязательным фактором для производства конкурентоспособной продукции на международном уровне.

«Русский стандарт» приобрел компанию Central European Distribution Corporation

(CEDC) через одну из своих аффилированных компаний - Roust Trading Limited, став крупнейшим интегрированным производителем и дистрибьютором алкогольных напитков в странах Центральной и Восточной Европы и одним из крупнейшим мировых производителей водки. В 2011 году «Русский стандарт» приобрел мажоритарный пакет акций компании Gancia, легендарного итальянского производителя игристых вин и вермутов.

Компания выполняет требования международных стандартов ISO 9001 ISO 22000, законодательства РФ и потребителей.

Вывод: международный фактор имеет прямое физическое влияние на деятельность компании, позволяя её принимать участие в вопросах и проблемах международного уровня. Развитая международная сеть и сотрудничество являются ключевыми факторами в деятельности «Русский стандарт». Роль компании в крупных организациях - значимая позиция в операционных условия отрасли, увеличение лоббирования со стороны промышленности в целом и в отношении политики и законодательства.

5. Социальный фактор

Продукция компании рассчитана на людей со средним и высоким уровнем дохода. Также не стоит забывать и о возрастном факторе. Так как он является определяющим. Следует ориентироваться на более зрелое поколение людей в возрасте от 21 года. Так как они являются частыми потребителями продукции. В последнее время люди все больше доверяют крупным специализированным магазинам, которые занимают лидирующие позиции на рынке, нежели рыночным площадкам и мелким магазинам. В связи с этими изменениями в предпочтении места покупки магазины, в которых можно приобрести продукцию «Русский стандарт» оказались в выигрышной позиции. Предприятие налаживает взаимоотношения с потребителями, которые основаны на сотрудничестве и доверии посредством непрерывного анализа удовлетворенности их желаний и потребностей, а также путем своевременного реагирования на их обращения.

Вывод: Социальный фактор положительно влияет на компанию. Так как можно спрогнозировать рост продаж к праздникам и привлечь больше потребителей за счет создания инновационных продуктов. А также можно стать спонсором какого-либо мероприятия, что приведёт к увеличению прибыли.

. Экологический фактор

Находясь на территории Санкт-Петербурга, предприятие строит свою экологическую политику с учетом высокой степени ответственности перед обществом за охрану окружающей среды.

Экологические цели:

)        Быть выше экологических требований, предъявляемых государством и обществом

)        Обеспечивать минимальное воздействие на окружающую среду и максимальную экологическую безопасность

)        Рационально использовать природные ресурсы

Экологические задачи:

)        В своей деятельности предприятие обязуется выполнять требования законодательных и нормативных документов РФ в области экологии, учитывая их при разработке, внедрении, обеспечении функционирования системы экологического менеджмента.

)        Минимизировать негативное воздействие, стремиться свести к минимуму негативное воздействие на окружающую среду, проводя поиск и внедрение лучших, с экологической и экономической точки зрения технологий, оптимизируя производственные процессы, выявляя и предотвращая потенциальные аварийные ситуации.

)        Ответственность за защиту, сохранение и улучшение окружающей среды несут все звенья нашей компании, т.к. эффективная система охраны окружающей среды требует ответственного участия всех сотрудников на всех уровнях.

)        Контролировать экологические аспекты с целью снижения воздействия на окружающую среду и повышения экологической результативности системы экологического менеджмента ООО «Русский стандарт Водка»

)        Рачительно обращаться с энергоресурсами, т.е. предприятие на регулярной основе обязуется контролировать рациональность использования энергоресурсов в процессе производственно деятельности предприятия и стремиться к повышению нашей эффективности в данном направлении.

Вывод: Экологическая политика ООО «Русский стандарт» строится на принципах непрерывного анализа и улучшения своих экологических показателей, снижения воздействия на окружающую среду и соблюдения требований Российского законодательства, которые предприятие обязалось выполнять в области охраны окружающей среды, экологической безопасности и рационального использования природных ресурсов.

Анализ микроокружения компании.

1. Покупатели

Покупателем «Русский стандарт» является компания ЗАО «Руст Инкорпорэйтед», которая реализует продукцию по всем основным сетям и дилерам, а также по крупным магазинам, например таким, как Окей, Лента, Карусель и т.д., а также по мелким магазинам и ларькам.

Само же предприятие «Русский стандарт» продает свою продукцию только на экспорт.

Потребителями продукции являются лица от 21 года, со средним или высоким достатком (от 20000 тыс. руб.)

. Поставщики

«Русский стандарт» максимально ориентируется на российских поставщиков, которые поставляют основные компоненты для производства водки. Основные компоненты (бутылки, посуда) поставляет предприятие в Смоленской области, с которой компания сотрудничает уже 5 лет.

Также компания сотрудничает с французским поставщиком с самого основания, который поставляет этикетки. Подарочные упаковки поставляет Китай, так как в России качество ниже, а цена выше. Зависимость от поставщиков высокая, так как без всех перечисленных поставляемых компонентов невозможно производство.

. Конкуренты

Как и другие крупные компании «Русский стандарт» имеет своих конкурентов в той или иной продукции. Конкурентов, производящих алкогольную продукцию очень много. Основной целью «Русский стандарт» является удовлетворить наибольшее количество потребителей лучше, чем это делают конкуренты, создавая именно такую продукцию, которая необходима потребителям. Однако средние издержки компании остаются сравнительно низкими из-за постоянного роста общего объема продаж на мировом рынке. Финансовые результаты деятельности «Русский стандарт» подтверждают тот факт, что компания обладает устойчивым внешним конкурентным преимуществом. Угроза появления товаров заменителей (низкая). Потребитель, возможно, захочет перейти на другой товар, если не будет угрозы качеству этого товара. Основными конкурентами компании «Русский стандарт Водка» являются такие бренды, как:

)        ЗАО «Ликеро-водочный завод Топаз»

ЛВЗ «Топаз» сегодня - это мощный производственный комплекс, одно из самых современных предприятий России и один из крупнейших налогоплательщиков Московской области. Высокое качество продукции завода «Топаз» сертифицировано на соответствие ISO 9001 и HACCP (Hazard Analysis and Critical Control Point) английским органом по сертификации NQA. В ближайшее время предприятие получит сертификат ISO 22000.

Завод имеет десять современных высокотехнологичных линий розлива и уникальную установку «Ручей» - автоматизированный высокотехнологичный комплекс для производства водки, полностью исключающий вмешательство в процесс человеческого фактора. По технологии «Ручей» водка проходит серебряную и платиновую фильтрации.

)        ООО "Объединенные пензенские водочные заводы»

Группа Компаний «Пензаспиртпром» является одной из старейших организаций по производству спирта и ликеро-водочных изделий России.

Первый завод был основан в 1898 году.

Высокий технический уровень производства, использование зерна, выращенного на лучших полях России и ближних государств, в сочетании с профессионализмом работников предприятия позволяют получать высокосортный этиловый спирт «Люкс», удовлетворяющий потребности самых взыскательных партнеров.

На сегодняшний день группа компаний «Пензаспиртпром» - один из самых крупных производителей алкогольной продукции в России, объединяющий Кузнецкий и Нижнеломовский ликероводочные заводы и ЛВЗ «Агат», бережно хранящие и продолжающие вековые традиции русского винокуренного промысла. Группа компаний «Пензаспиртпром» это динамично развивающееся предприятие с самыми передовыми технологиями производства, вошедшее в десятку лидеров России по объему выпускаемой продукции.

)        ООО «Стандартъ»

В августе 2004 г. на базе Выксунского ликеро-водочного завода было образовано Общество с ограниченной ответственностью «Стандартъ» во главе с генеральным директором Н.Н. Простакишиным. Сегодня это предприятие занимает второе место в Нижегородской области по объему продаж.

В 2006 г. было произведено и реализовано более 13 млн бутылок винно-водочной продукции. Установленные на заводе итальянские линии розлива позволяют увеличить выпуск до 17 млн. бутылок в год.

Сейчас ООО «Стандартъ» активно осваивает Поволжский регион и уверенно продвигается на региональные рынки. Его продукция представлена уже более чем в 40 регионах России.

В феврале 2007 г. на Международной выставке «Прод-экспо-2007» в Москве завод «Стандартъ» получил серебряные и золотые медали на всех дегустационных конкурсах за свои лучшие продукты - водку «С серебром премиум» и «Лебединый рай». В 2007 г. было освоено свыше 40 млн. руб. инвестиций, направленных на усовершенствование технологического процесса производства винно-водочных изделий и логистики.

)        ООО «Традиции качества»

Завод «Традиции Качества» был создан в 1997 году. Предприятие является одним из лидеров по производству ликероводочной продукции не только в Центральном регионе России, но и на национальном уровне. В состав «Синергии» завод вошел в 2007 г. За последние несколько лет завод прошел процесс реконструкции, включающий ввод нового купажного цеха мощностью 300 тыс. декалитров водки в месяц, складского комплекса, современной линии розлива (мощностью 12 тыс. бутылок в час) производства Италии.

На основе данных о компании «Русский стандарт Водка» и данных о компаниях конкурентах проведем сводный анализ, используя сильные и слабые стороны компаний.

Таблица 1. Анализ конкурентов


ЗАО "Ликеро-водочныйзавод Топаз»

ООО "Объединенные пензенские водочные заводы»

ООО «Стандартъ»

ООО «Традиции качества»

Сильные стороны

1. Имидж 2. Технология производства 3. Высокий статус предприятия 4. Цена

1. Очень давно на рынке 2. Высокий технический уровень производства 3. Статус продукции 4. Высокая квалификация работников

1. Высокий объем продаж 2. Высокий технический уровень 3. Цена 4. Активное продвижение продукции

1. Давно на рынке. 2. Высокий технический уровень производства  3. Цена 4. Качество продукции

Слабые стороны

1. Сильное давление со стороны конкурентов

1. Расположение 2. Нехватка рабочих

1. Высокая конкуренция 2. Расположение 3. Дорогостоющее оборудование

1. Высокая конкуренция 2. Расположение


Исходя из таблицы, мы можем сделать следующие выводы:

. У наших конкурентов цены ниже, чем у нас, а следовательно спрос больше и выше прибыль.

. Практически у всех конкурентов улучшается оборудование для производства, что может ускорить объем производства, и, соответственно на их продукцию может возрасти спрос.

. Цены на продукцию конкурентов ниже, чем у нас, поэтому потребители могут отдать предпочтение более дешевому товару.

. Конкуренцию нам могут составить те компании, которые довольно долго находятся на рынке.

Таблица 2. Итоговая таблица анализа внешней среды

Фактор

Важность фактора

Оценка фактора

Влияние фактора

Итоговая оценка

1. Экономический

0,10

40

1

4

2. Политический

0,05

30

1

1,5

3. Технологический

0,10

50

1

5

4. Международный

0,09

30

1

2,7

5. Социальный

0,15

35

1

5,25

6. Экологический

0,01

25

1

0,25

7. Покупатели

0,20

50

1

10

8. Поставщики

0,10

45

1

4,5

9. Конкуренты

0,20

50

-1

-10

Итого

1



33,2


Исходя из таблицы, можно сделать вывод, что внешняя среда «Русский стандарт» считается благоприятной.

Наиболее важными факторами являются: покупатели, конкуренты, социальный.

Самым слабым фактором оказался - экологический.

 

. Анализ внутренней среды


) Организация управления: организационная структура.

Организационная структура управления ООО «Русский Стандарт Водка» относится к линейно-функциональному типу.

В данной структуре общий руководитель и руководители подразделений разделяют свое воздействие на исполнителей по функциям. Общий руководитель осуществляет линейное воздействие на всех участников структуры, а функциональные руководители оказывают технологическое содействие исполнителям выполняемых работ.

Оперативное управление и руководство финансовой и производственно-хозяйственной деятельностью ООО «Русский Стандарт Водка» осуществляет его директор. В непосредственном подчинении директора находятся структурные подразделения.

HR-менеджер - организует работу с персоналом в соответствии с общими целями развития предприятия. Обеспечивает укомплектование предприятия, учреждения, организации работниками необходимых профессий, специальностей и квалификации. Определяет потребность в персонале, изучает рынок труда с целью определения возможных источников обеспечения необходимыми кадрами.

Заместитель генерального директора осуществляет руководство производством, а также вспомогательным персоналом.

Технологи ООО «Русский Стандарт Водка» осуществляют непосредственный контроль за соблюдением технологии, рецептуры и контроль за качеством выпускаемой продукции под рекламным знаком «Русский Стандарт Водка».

Начальник отдела по маркетингу и сбыту осуществляет систему сбыта продукции ООО «Русский Стандарт Водка», налаживает договорные отношения с покупателями продукции, а так же выявляет наиболее выгодные ценовые и договорные условия поставки сырья.

Отношение к структуре организации может быть определено отношением к системе, включающей данную структуру, на основании оценки ее деятельности. Такая опосредованность может иметь как положительное, так и отрицательное влияние на имидж конкретной компании. В подобной ситуации резко возрастает роль индивидуального имиджа: своевременная подача информации, своевременная реакция на негативную информацию и т.д., что дает повод для ведения активных исследований в отношении имиджа конкретной структуры.

. Производство: стоимость сырья и его доступность.

Одним из важнейших показателей деятельности компании считается динамика ее развития. На сегодня ООО «Русский Стандарт Водка» является крупнейшим производителем и экспортером алкогольных напитков в стране. Неудивительно, что на протяжении всего времени существования компания демонстрирует стабильный и уверенный рост по всем показателям.

Например, объем производства в 2007 году составлял 2350 тыс. долл., а уже в 2011 году - 6550 тыс. долл.

Стоимость сырья: 1 литр спирта этилового = 7,5 руб.

Водка «Русский Стандарт Original» производится в строгом соответствии с оригинальной формулой Д.И. Менделеева, и в качестве знака подлинности на бутылке используется автограф великого ученого.

Водка «Русский Стандарт Platinum», дистиллированная и очищенная специальными серебряными фильтрами, является прекрасным примером непревзойденной способности достигать совершенства в производстве водки.

. Маркетинг

Среди первостепенных требований к торговым партнерам - наличие обученного штата сотрудников, складских помещений и отлаженной системы логистики, соблюдение финансовой дисциплины, работа исключительно в своем регионе (дилеры имеют право работать только на закрепленной за ними территории).

В основе политики сбыта компании лежат несколько ключевых принципов:

·   жесткий контроль над ценами;

·        недопущение несанкционированного «перетекания» продукции из региона в регион.

Рекламно-информационной деятельностью в ООО «Русский Стандарт Водка» занимается PR - служба. Паблик рилейшнз являются интегрирующим фактором для многочисленных внешних и внутренних связей, поэтому для специалистов по PR необходимо построить свою работу с учетом внутренних и внешних факторов, формирующих корпоративный имидж организации.служба является структурным подразделением в отделе маркетинга предприятия. Отдел создается и ликвидируется приказом директора предприятия и подчиняется непосредственно директору предприятия.

Цель PR - службы в ООО «Русский Стандарт Водка» направлена, в первую очередь, на получение максимально возможной прибыли за счет долгосрочных взаимоотношений с клиентами.

В состав отдела входят специалисты, отвечающие за отдельные направления работы отдела (разработку рекламных кампаний; подготовку рекламных текстов; творческое производство и т.д.).

Главный специалист PR-службы выполняет следующие функции:

1.  Распределение обязанности между сотрудниками отдела.

2.       Утверждение должностных инструкций сотрудников отдела.

.        Формирование рекламной стратегии, основанной на перспективных направлениях дальнейшего организационного развития, инновационной и инвестиционной деятельности ООО «Русский Стандарт Водка».

.        Заключение договоров по рекламированию товара со сторонними организациями в случаях полномасштабной рекламы на телевидении, в средствах массовой информации, городском общественном транспоте и др.

.        Установление связей с деловыми партнерами и расширение внешних связей в целях совершенствования рекламной деятельности.

.        Составление ежегодного плана рекламной деятельности предприятия, утверждение его у директора ООО «Русский Стандарт Водка» и контроль его реализации.

На главного специалиста PR-службы возлагается персональная ответственность в случае:

1.  Несоответствия законодательству издаваемых отделом инструкций, приказов.

2.   Выпуска рекламы с нарушением законодательства, использование которой привело к осложнению взаимоотношений с контрагентами, уменьшению прибыли предприятия, причинению ущерба деловой репутации предприятия, а также привлечению предприятия к ответственности.

3.       Необеспечения или ненадлежащего обеспечения руководства предприятия информацией по вопросам работы PR-службы.

.        Несвоевременного, а также некачественного исполнения документов и поручений руководства предприятия.

.        Утечки информации, являющейся коммерческой тайной.

.        Несоблюдения трудового распорядка сотрудниками отдела.

Как правило, на должность главного специалиста PR-отдела назначается лицо, имеющее высшее профессиональное образование (гуманитарное), опыт работы в рекламной сфере, по связям с общественностью и средствами массовой информации, а так же иметь опыт проведения PR-мероприятий.

Главный специалист должен знать основы рыночной экономики, предпринимательства и особенности отрасли, в которой функционирует предприятие. Данные основополагающие понятия являются основными для разработки реализации программы PR - мероприятий.специалисты ООО «Русский Стандарт Водка» реализуют в своей работе основные направления деятельности по связям с общественностью и средствами массовой информации.

В последние годы получили широкое распространение мероприятия по стимулированию спроса и предложения на рынке товаров и услуг или промо-акций. Целью проведения подобных мероприятий является получение одобрения и поддержки данной группы товаров или услуг со стороны ключевых аудиторий. Аудитория потенциальных клиентов чутко реагирует на мнение профессионалов, способным проанализировать и дать компетентное заключение по только что появившимся на рынке новым товарам.

С целью привлечения новых клиентов, PR-служба ООО «Русский Стандарт Водка» регулярно проводит мониторинг СМИ, а также организует и проводит специальные мероприятия (пресс-конференций, брифингов, презентаций, пиар акции и т.д.)

Основной акцент в целях рекламы делается на информирование покупателей и реализаторов о продукции, основных характеристиках, наименованиях товара.

Рекламная деятельность компании осуществляется с помощью следующих носителей:

Прямая реклама:

• по почте, (рассылаются листовки под Новый год, 14 февраля, 8 марта поздравляя население);

• лично вручаемые рекламные материалы, информационные письма, листовки, флаеры (при наличии контакта).

Реклама в прессе: важную роль в потреблении газетной рекламы играет ее привычность. Плюсом газетной рекламы является ее ненавязчивость. Она не перебивает информационный поток, как радио или ТВ. Люди читают ее по собственной воле.

Практика ООО «Русский Стандарт Водка» применения радиоканала показывает, если в радиоролике фоном звучит музыка из телевизионной рекламы, тот же тембр голоса и сюжет, то 75% слушателей, при условии, что они видели рекламный ролик, достраивают сюжет телеспота. Учитывая эту особенность, работники пиар отдела ООО «Русский Стандарт Водка» пришли к выводу, что при перераспределении 7-10% телебюджета на радиорекламу эффективность всей рекламной кампании возрастает на 50%. Существенную роль играет формат радиорекламы. Наибольший интерес у клиентов вызывают рекламные объявления в формате «фрагмент жизни (определенный, как и в ТВ-рекламе, как «мини-пьеса»), «История», рассказанная по радио, с большой вероятностью может привлечь внимание слушателей.

Рекламная кампания разработана британским агентством My Agency и является частью глобальной маркетинговой активности Russian Standard. Vodka as it should be, которая успешно идет на ключевых экспортных рынках бренда с весны 2011 г.

Таким образом, ООО «Русский Стандарт Водка» достаточно интенсивно проводит рекламно-информационные мероприятия.

В целом, можно сделать вывод, что благодаря проделанному комплексу работ компания получит возможность серьезно укрепить свои позиции на рынке и получить преимущества перед конкурентами.

. Финансы

Проанализируем эффективность финансово-хозяйственной деятельности ООО «Русский Стандарт Водка», дадим оценку его финансовому потенциалу. В качестве критерия эффективности финансово-хозяйственной деятельности рассмотрим обобщающие показатели, характеризующие финансовое состояние организации в динамике, а так же рост стоимости компании.

Оценка финансовых результатов представлена на рис. 1


Несмотря на рост выручки и валовой прибыли в 2011 году по сравнению с 2010 и 2009 годами, их тенденции роста ниже тенденции роста себестоимости, что в итоге привело в 2011 году по сравнению с 2010 годом к снижению всех базовых показателей рентабельности.

Показатели рентабельности также свидетельствуют о снижении финансового потенциала анализируемого предприятия. Несмотря на то, что в данной отрасли показатели общей рентабельности находятся на уровне 20-22%, для ООО «Русский Стандарт Водка», ее показатели не превышают 10%.

Оценочная стоимость компании значительно выросла и составила в 2011 г. почти 10 млрд. руб., что свидетельствует о повышении финансового потенциала ООО «Русский Стандарт Водка».

 

. Формирование целей предприятия


Цели компании:

1. Укрепление позиции мирового лидера на мировом водочном рынке и ключевого игрока на локальных рынках

2.       Совершенствование существующих продуктов и увеличение объема продаж

.        Создание новых марок в соответствии с предпочтениями потребителей

.        Сохранение положения ведущего импортёра и дистрибьютора алкогольных напитков для крупнейших мировых производителей

.        Поддержка персонала компании и создание оптимальных условий для дальнейшего развития.

 

. Анализ и выбор стратегии


Для анализа и выбора стратегии мы используем метод SPACE.

В методе SPACE выделяют четыре группы критериев оценки предприятия:

) Финансовая сила

) Конкурентоспособность предприятия

) Привлекательность отрасли функционирования данного предприятии

) Стабильность отрасли функционирования данного предприятия.

Перечень показателей оценки, входящих в каждую группу приведен ниже в таблице.

Критерий

Важность критерия

Оценка критерия

Итоговая оценка

1. Финансовая сила предприятия

1. Норма прибыли. Данный критерий важен для каждой фирмы, так как на основе этого показателя формируется з\п сотрудников и финансирование всех проектов компании.

0,15

5

0,75

2. Производственные затраты. Производственные затраты важны для предприятия, т.к. от данного критерия зависит качество изготовляемой продукции. А если их уменьшить, то снизится имидж компании и прибыль.

0,12

5

0,6

3. Рентабельность капитала. Также немаловажный показатель, так как на основе его оцениваются производственные мощности фирмы. Её возможности и улучшения.

0,13

5

0,65

4. Стабильность получения прибыли. Важный критерий, так как для развития фирмы нужна уверенность в завтрашнем дне. На данный момент эта уверенность у компании есть.

0,11

5

0,55

5. Рентабельность инвестиций. В ближайшее время планируется открытие новых заводов в странах ближнего зарубежья и в том числе в России. На данный момент это важные проекты, так как они помогут укрепить лидирующие позиции на рынке алкогольной продукции и увеличить производственные мощности в связи с растущим спросом.

0,13

5

0,65

6. Финансовая ликвидность.

0,15

3

0,45

7. Задолженность. На настоящий момент компания задолженностей не имеет.

0,08

5

0,4

8. Способность к повышению уровня накоплений и к привлечению посторонних капиталов. На данный момент компания является одним из крупнейших производителей водки на российском рынке что позволяет ей активно участвовать в привлечении различного капитала и находить спонсоров для своего продвижения.

0,13

4

0,52


1

Итого

4,57

2. Конкурентоспособность предприятия

1. Объем рынка. Рынок алкогольной продукции в России очень велик и позволяет смело развиваться в направлении его освоения.

0,08

4

0,32

2. Доля рынка. Являясь одним из ведущих производителей алкогольной продукции, компания «Русский стандарт Водка» владеет около 25% рынка России, и в дальнейшем компания будет отвоевывать потребителей у конкурентов.

0,2

4

0,8

3. Структура ассортимента продукции. Большое количество видов алкогольной продукции позволяет компании «Русский стандарт Водка» активно продвигать свой товар на рынке России.

0,1

5

0,5

4. Способность к осуществлению маркетинга. Постоянное исследование рынка и активное участие в акциях и праздниках в различных городах России позволяет смело говорить о том, что маркетинг в компании развит хорошо.

0,05

4

0,2

5. Возможность активного воздействия на уровень цен и затрат. Занимая не последнее место по производству и реализации, компания может проводить успешные ценовые акции.

0,05

4

0,2

6. Связи с потребителями. Телефоны горячих линий расположены в каждом втором городе России, что позволяет активно изучать мнение потребителей. Также ежегодно руководство компании опрашивает около 3000 человек в каждом городе на предмет качества продукции.

0,3

4

1,2

7. Рентабельность продаж.

0,22

5

1,1


1

Итого

4,32

3. Привлекательность отрасли

1. Характеристика конкурентов. Конкурентов у компании много, но объёму выпускаемой продукции компания «Русский стандарт» занимает заслуженное второе место.

0,15

3

0,45

2. Стадия жизненного цикла данной отрасли. По мере развития алкогольной отрасли скорость инноваций уменьшается, а рост поддерживается увеличением доли рынка.

0,05

4

0,2

3. Зависимость развития отрасли от конъюнктуры.

0,05

2

0,1

4. Общественная привлекательность сектора. Употребление алкогольной продукции никогда не прекратится.

0,3

5

0,15

5. Длительность жизни отрасли. Отрасль алкогольной индустрии активно развивается на всём своём протяжении жизненного цикла. Что можно охарактеризовать как положительную сторону для компании.

0,1

5

0,5

6. Структура применения данной отрасли в других секторах.

0,02

2

0,04

7. Стабильность прибыли.

0,08

5

0,4

8. Подверженность отрасли влиянию со стороны иностранного капитала. Риск снижения спроса на товар есть у всех компаний. Но компания «Русский стандарт Водка» активно осваивает новые рынки, что можно считать достижением.

0,05

4

0,2

9. Уровень конкуренции в секторе. Средний.

0,2

4

0,8


1

Итого

2,84

4. Стабильность отрасли

1. Стадия развития данного сектора. Компания «Русский стандарт Водка», являясь одним из лидеров алкогольной продукции, постоянно развивается, и стремится к улучшению своей продукции.

0,16

4

0,64

2. Степень иновационности отрасли. Компания регулярно выпускает усовершенствованную продукцию новой обработки.

0,3

5

0,15

3. Степень зависимости отрасли от конъюнктуры.

0,02

4

0,08

4. Длительность жизни отрасли. Длительность жизни очень высока, так как несмотря на подрывающую потребителей экономическую турбулентность, мировой рынок алк. продукции развивается стабильно.

0,05

5

5. Степень развития информационных услуг в отрасли. Алкогольная продукция входит в ТОП-100 по объему рекламных бюджетов на национальном телевидении и является лидером по объемам бюджетов.

0,1

4

0,4

6. Стабильность прибыли. Несмотря на рост цен и снижение покупательской способности рынок является относительно стабильным.

0,3

5

0,6

7. Подверженность отрасли влиянию со стороны иностранного капитала.

0,02

4

0,08

8. Уровень конкуренции в отрасли очень высок, так как отрасль, на сегодняшний день, является не маловажной.

0,05

3

0,15


1

Итого

2,35


Исходя из проделанного анализа, мы получаем, что для развития предприятия и реализации всех поставленных целей, необходимо применить стратегию концентрированного роста, а в частности комбинировать такие две стратегии как, стратегию усиления позиций на рынке и стратегию разработки нового товара. Первая стратегия подразумевает, что предприятие работая на том же рынке с тем же продуктом укрепляет и увеличивает свое положение. Стратегия осуществляется за счет: применения различных средств продвижения товара (стимулирование, реклама и т.д.); увеличения сферы применения продукта, и, следовательно, увеличения объема потребления продукта; разработки более привлекательных вариантов существующей продукции без существенных изменений. Вторая это когда предприятие совершенствует существующие продукты. Стратегия осуществляется с использованием НИОКР или проектно-целевых групп и может быть: подлинной инновацией (абсолютно новый продукт на данном рынке), продукцией (совершенствование продукта), Me-too продукты (новые только для предприятия).

 

. Разработка стратегии


В соответствии с комплексом маркетинга стратегия должна касаться четырех составляющих: продукт, цена, продвижение, место продаж. В рамках выбранной стратегии и целей, составим план, который представлен в таблице.

Оформление разработанной стратегии

План

Исполнитель

Срок выполнение

Продукт

1. Оснастим необходимым оборудованием (для заготовки новых бутылок)

Главный инженер

Апрель-Июль

2. Изготовление бутылок, дизайн.

Главный технолог

Февраль-Март

Цена

1. Определим цену одной бутылки с учетом производственных издержек

Маркетолог

Январь-Март

Продвижение

1. Разработаем рекламную кампанию по продвижению нового продукта на 2014 год. Рассчитаем необходимый бюджет рекламной компании.

Директор по маркетингу и рекламе

Февраль-Июль

2. В отделе маркетинга назначим PR-менеджеров ответственных за размещение информации о продукте в СМИ.

Директор по маркетингу и рекламе

Февраль-Июль

Место продажи

1. Разместим всю необходимую информацию о новом продукте в интернете и на телевидении.

Начальник отдела продаж

Сентябрь-Декабрь

2. Необходимые обновления внесем на сайт предприятия

IT-менеджер

Июль-Сентябрь

 

. Анализ риска реализации стратегии

Таблица 8. Оценка рисков.

Риск

Опасность (вес) риска

Возможность реализации



Эксперт 1

Эксперт 2

Конечная оценка

Цена

1. Слишком высокая цена на товар

0,12

29

35

32

2. Повышение ставки на акцизы

0,07

30

17

23,5

3. Слишком низкая цена на товар

0,09

40

48

44

Продукт

1. Отсутствие спроса на новый вид изделия.

0,15

10

14

12

2. Увеличение себестоимости сырья

0,1

23

28

25,5

Продвижение

1. Неэффективная рекламная поддержка выпускаемой продукции

0.07

26

30

28

2. Недополучение потребителем информации о товаре

0.06

41

32

36,5

3. Неэффективная работа маркетинга

0,06

30

35

32,5

4. Высокие затраты на рекламную деятельность

0,05

25

28

26,5

Место продажи

1. Возможность появления новых конкурентов.

0,04

30

38

34

2. Высокие расходы на печать каталогов и прайсов

0,07

13

35

24

3. Увеличение цен на продукцию, снижение спроса, потеря прибыли.

0,04

50

45

47,5

4. Нехватка информации в точках продаж

0,08

30

20

25

Итого

1

377

405

391


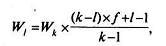
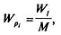
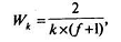
. Определяем вес группы с наименьшим приоритетом по следующей формуле:


где Wk - вес группы с наименьшим приоритетом;

k - количество групп;

f - соотношение весов первого и последнего риска:

;

.

. Затем определяем веса остальных групп рисков по следующей формуле:



=

. Определяем веса простых рисков внутри групп:


где М - число рисков в данной группе.

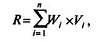
5. На основании полученных данных рассчитываем балльную оценку рискованности проекта, по формуле:


где Vi - балльная оценка по всем рискам.

R=0,1*(32+23,5+44)+0,135*(12+25,5)+0,0575*(28+36,5+32,5+26,5)+0,05*(34+24+47,5+25)=28,6

Бальная оценка получилась чуть менее 30 баллов, следовательно стратегия считается пригодной для применения, но и так же нуждается в доработке.

. Расчет и ранжирование простых рисков в общей рискованности проекта.

Расчет и ранжирование простых рисков в общей рискованности проекта

Риск

Вес в общей рискованности, %

Цена

1. Слишком высокая цена на товар

0,1*32/28,6*100=11,2 (3)

2. Повышение налоговых ставок

0,1*23/28,6*100=8,04

3. Слишком низкая цена на товар

0,1*44/28,6*100=15,4 (1)

Продукт

4. Отсутствие спроса на новый вид изделия.

0,135*12/28,6*100=5,7

5. Увеличение себестоимости сырья

0,135*25,5/28,6*100=12 (2)

Продвижение

6. Неэффективная рекламная поддержка выпускаемой продукции

0,0575*28/28,6*100=5,6

7. Недополучение потребителем информации о товаре

0,0575*36,5/28,6*100=7,3

8. Неэффективная работа маркетинга

0,0575*32,5/28,6*100=6,5

9. Высокие затраты на рекламную деятельность

0,0575*26,5/28,6*100=5,3

Место продажи

10. Возможность появления новых конкурентов.

0,05*34/28,6*100=5,9

2. Высокие расходы на печать рекламных буклетов

0,05*24/28,6*100=4,2

3. Увеличение цен на продукцию, снижение спроса, потеря прибыли.

0,05*47,5/28,6*100=8,3

4. Нехватка информации в точках продаж

0,05*25/28,6*100=4,4

наиболее существенных риска:

1. Слишком низкая цена на товар

. Увеличение себестоимости сырья

. Слишком высокая цена на товар

Мероприятия, разрабатываемые для нейтрализации рисков.

1.       Мониторинг продукции и цен конкурентов, с целью разработки ценовой политики против них.

.        Найти более выгодную цену на товар, не слишком низкую, не слишком высокую;

3.       Необходимо тщательно проверять качество изготовляемой продукции.

 

 


Выводы

риск стратегический управление

На основе анализов ситуации на рынке и расчётов была выбрана оптимальная, на мой взгляд, стратегия для компании «ООО Русский стандарт Водка» - стратегия концентрированного роста. Для большей эффективности, было решено скомбинировать такие две стратегии как, стратегия усиления позиций на рынке и стратегия разработки нового товара. Стратегии будут осуществляться за счет:

-       применения различных средств продвижения товара (стимулирование, реклама и т.д.);

-       поиск более приемлемой цены на товар;

-       разработки более привлекательных вариантов существующей продукции без существенных изменений;

По итогам расчетов, стратегия получилась пригодной для применения (R=28,6%). Исходя из анализа внешней и внутренней среды предприятия, можно сделать вывод, что внешняя и внутренняя среды ООО «Русский стандарт Водка» считаются благоприятными. На основе полученных данных, можно сделать вывод, что компания является успешным и конкурентоспособным предприятием.


Список использованной литературы


1.     Белоусов В.Л. Анализ конкурентоспособности фирмы. - М.: Маркетинг в России и за рубежом. - 2009. - №5

2.       Завьялов П.С. Маркетинг в схемах, рисунках, таблицах: Учеб. пособие. - М.: Инфра-М, 2008.

.        Круглов М.И. Стратегическое управление компанией: Учебник для Вузов. - М.: Русская Деловая литература, 2009.

.        Томпсон-мл. Артур А., Стрикленд А.Дж. Стратегический менеджмент: концепции и ситуации для анализа. - 12-е изд.: Пер. с англ. - М.: Издательский дом «Вильямс», 2008.

5.       www.russianstandart.com

6.       www.marketcenter.ru

Похожие работы на - Разработка стратегии развития предприятия

 

Не нашли материал для своей работы?
Поможем написать уникальную работу
Без плагиата!
Без нейросетей!