Тепловой расчет наружной стены здания

  • Вид работы:
    Курсовая работа (т)
  • Предмет:
    Физика
  • Язык:
    Русский
    ,
    Формат файла:
    MS Word
    1,8 Мб
  • Опубликовано:
    2014-03-13
Вы можете узнать стоимость помощи в написании студенческой работы.
Помощь в написании работы, которую точно примут!

Тепловой расчет наружной стены здания

Министерство Образования Республики Беларусь

УО «Белорусский Государственный Университет Транспорта»

Кафедра «Экология и РИВР»









Курсовая работа

по дисциплине

ТЕПЛОТЕХНИКА

Выполнил

студент гр.

Литвиненко А.Г.

Проверил

преподаватель

Чепик Ю.Г.



Гомель 2013

. Определение расчетной температуры наружного воздуха tн и расчет сопротивления теплопередаче, тепловой инерции и толщины теплоизоляционного слоя

.1.Наружная стена из штучных материалов

Исходные данные:

   Гродненская область

   Влажностной режим помещения - сухой

   Температура внутреннего воздуха -

   Начало отопительного периода - 8

Требуется: Определить расчётную температуру наружного воздуха и рассчитать сопротивление теплопередаче, тепловую инерцию и толщину теплоизоляционного слоя наружной стены из штучных материалов.

Рисунок 1.1 - Конструкция наружной стены здания

По таблице 4.2[1] при сухом влажностном режиме условия эксплуатации ограждающих конструкций «А» .

Расчетные значения коэффициентов теплопроводности λ и теплоусвоения S материалов принимаем по таблице А.1[1] для условий эксплуатации ограждений «А»:

Известково-песчаный раствор плотностью :

λ 1 = 0,7 Вт/( м ∙°С); S1 = 8,69 Вт/(м2 ∙°С);

кирпич керамический плотностью :

λ 2 = 0,55 Вт/( м ∙°С); S2 = 7,01 Вт/(м2 ∙°С);

плиты жёсткие минераловатные на битумном связующем ():

λ 3 = 0,09 Вт/( м ∙°С); S3 = 1,46 Вт/(м2 ∙°С);

известково-песчаный раствор плотностью :

λ 4 = 0,7 Вт/( м ∙°С); S4 = 8,69 Вт/(м2 ∙°С).

Нормативное сопротивление теплопередаче для наружных стен из штучных материалов согласно таблице 5.1 [1] Rнорм = 2,0(м2∙°С)/Вт.

Для определения тепловой инерции стены находим термическое сопротивление отдельных слоев конструкции по формуле:


где δ - толщина рассматриваемого слоя, м ;

λ - коэффициент теплопроводности данного слоя, Вт/(м∙°С).

Вычислим термическое сопротивление отдельных слоев:

внутренний слой известково-песчаной штукатурки 1:

;

слой кирпичной кладки 2:

;

внешний слой известково-песчаной штукатурки 4:

;

Термическое сопротивление теплоизоляционного слоя (плиты жёсткие минераловатные на битумном связующем) находим из формулы:


где - коэффициент теплоотдачи внутренней поверхности, выбираем по таблице 5.4[1], αв=8,7 Вт/(м2∙°С);

- коэффициент теплоотдачи наружной поверхности, выбираем по таблице 5.7[1], αн=23 Вт/(м2∙°С);

- термическое сопротивление ограждающей конструкции

;

Отсюда следует что, термическое сопротивление слоя (плиты жёсткие минераловатные на битумном связующем) находится по формуле:

;

Подставив значения в эту формулу, получим:

;

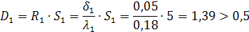
Вычисляем тепловую инерцию по формуле:


где Si - расчетный коэффициент теплоусвоения слоя материала конструкции в условиях эксплуатации согласно таблице 4.2[1], принимаем по таблице A.1[1], Вт/(м2∙°С).

;

Подставив значения, получим:

;

По таблице 5.2 [1] для ограждающей конструкции с тепловой инерцией 4,0-7,0 за расчетную зимнюю температуру наружного воздуха следует принять среднюю температуру наиболее холодных трех суток. Так как температура наиболее холодных трёх суток не нормируется, то находим её как среднее арифметическое значение нормируемых значений для одних суток и для пятидневки обеспеченностью 0,92 (таблица 4.3[1]).


Рассчитаем требуемую толщину теплоизоляционного слоя:


Рассчитаем общую толщину стены:


Общее термическое сопротивление наружной стены, находим по формуле:


Найдём требуемое термическое сопротивление, по формуле:


где - коэффициент, учитывающий положение наружной поверхности ограждающей конструкции по отношению к наружному воздуху, принимаемый по таблице 5.3[1], ;

- расчетный перепад между температурой внутреннего воздуха и температурой внутренней поверхности ограждающей конструкции, °С, принимаемый по таблице 5.5, ;

Подставив значения в формулу, получим:

;

Вывод: Расчетная температура наружного воздуха составляет . Сопротивление теплопередаче слоя (плиты жёсткие минераловатные на синтетическом связующем) равно R3=1,094 (м2 ∙ ºС)/Вт. тепловая инерция наружной стены из штучных материалов равна D=6,94. Толщина теплоизоляционного слоя равна, общая толщина стены .

Данная стена удовлетворяет требованиям СНБ 2.04.01-97 по сопротивлению теплопередаче, так как

.

1.2 Совмещенное покрытие производственного здания

Рисунок 1.2 - Конструкция покрытия здания

По таблице 4.2[1] при сухом влажностном режиме условия эксплуатации ограждающих конструкций «А» .

Расчетные значения коэффициентов теплопроводности λ и теплоусвоения S материалов принимаем по таблице А.1[1] для условий эксплуатации ограждений «А»:

Битум нефтяной кровельный :

λ 1 = 0,27 Вт/( м ∙°С); S1 = 6,8 Вт/(м2 ∙°С);

гравий керамзитовый :

λ 2 = 0,21 Вт/( м ∙°С); S2 = 3,36 Вт/(м2 ∙°С);

железобетон ():

λ 3 = 1,92 Вт/( м ∙°С); S3 = 17,98 Вт/(м2 ∙°С);

Нормативное сопротивление теплопередаче для совмещенных покрытий согласно таблице 5.1 [1] Rнорм = 3,0(м2∙°С)/Вт.

Для определения тепловой инерции стены находим термическое сопротивление отдельных слоев конструкции по формуле:


где δ - толщина рассматриваемого слоя, м ;

λ - коэффициент теплопроводности данного слоя, Вт/(м∙°С).

Вычислим термическое сопротивление отдельных слоев:

битум строительный кровельный 1:

;

железобетон 3:

;

Термическое сопротивление керамзитового гравия находим из формулы:


где - коэффициент теплоотдачи внутренней поверхности, выбираем по таблице 5.4[1], αв=8,7 Вт/(м2∙°С);

- коэффициент теплоотдачи наружной поверхности, выбираем по таблице 5.7[1], αн=23 Вт/(м2∙°С);

- термическое сопротивление ограждающей конструкции

;

Отсюда следует что, термическое сопротивление слоя керамзитового гравия находится по формуле:

;

Подставив значения в эту формулу, получим:              

;

Вычисляем тепловую инерцию по формуле:


где Si - расчетный коэффициент теплоусвоения слоя материала конструкции в условиях эксплуатации согласно таблице 4.2[1], принимаем по таблице A.1[1], Вт/(м2∙°С).

;

Подставив значения, получим:

;

По таблице 5.2 [1] для ограждающей конструкции с тепловой инерцией более7,0 за расчетную зимнюю температуру наружного воздуха следует принять температуру наиболее холодной пятидневки обеспеченностью 0,92.по таблице 4.3[1] температура наиболее холодной пятидневки обеспеченностью 0,92 для Гродненской области равна:

Рассчитаем требуемую толщину слоя керамзитового гравия:


Рассчитаем общую толщину совмещённого перекрытия:


Общее термическое сопротивление наружной стены, находим по формуле


Найдём требуемое термическое сопротивление, по формуле:


где - коэффициент, учитывающий положение наружной поверхности ограждающей конструкции по отношению к наружному воздуху, принимаемый по таблице 5.3[1], ;

- расчетный перепад между температурой внутреннего воздуха и температурой внутренней поверхности ограждающей конструкции, °С, принимаемый по таблице 5.5[1].

Для производственного здания с сухим режимом:

;

где - температура точки росы, °С, при расчетных температуре и относительной влажности внутреннего воздуха.

По таблице 4.2[1], при сухом режиме помещений и принимаем равной 50 %.

Тогда, по таблице данных психрометрической диаграммы, для и , температура точки росы .

Тогда:

Так как , то принимаем .

Подставив значения в формулу, получим:

;

Вывод: Расчетная температура наружного воздуха составляет . Сопротивление теплопередаче слоякеромзитового гравия равно R2=1,79 (м2 ∙ ºС)/Вт. тепловая инерция совмещённого покрытия производственного здания равна D=16,62. Толщина слоя керамзитового гравия равна , общая толщина покрытия .

Данное покрытие удовлетворяет требованиям СНБ 2.04.01-97 по сопротивлению теплопередаче, так как

.

2. Проверка на возможность конденсации влаги в толще наружной стены и чердачного покрытия с холодным чердаком производственного здания

Требуется: Проверить на возможность конденсации влаги в толще наружной стены и чердачного покрытия с холодным чердаком производственного здания (см. задачу №1).

Расчёт наружной стены из штучных материалов.

Конструкцию наружной стены принимаем из задачи №1, которая представлена на рисунке 2.1.Исходные данные также принимаем из условия задачи №1.

Рисунок 2.1 Конструкция наружной стены

По таблице 4.2[1] при сухом влажностном режиме условия эксплуатации ограждающих конструкций «А» .

Расчетные значения коэффициентов теплопроводности λ, теплоусвоения S и паропроницаемости материалов принимаем по таблице А.1[1] для условий эксплуатации ограждений «А»:

Известково-песчаный раствор плотностью :

λ 1 = 0,7 Вт/( м ∙°С); S1 = 8,69 Вт/(м2 ∙°С); ;

кирпич керамический плотностью :

λ 2 = 0,55 Вт/( м ∙°С); S2 = 7,01 Вт/(м2 ∙°С); ;

плиты жёсткие минераловатные на битумном связующем ():

λ 3 = 0,09 Вт/( м ∙°С); S3 = 1,46 Вт/(м2 ∙°С); ;

известково-песчаный раствор плотностью :

λ 4 = 0,7 Вт/( м ∙°С); S4 = 8,69 Вт/(м2 ∙°С); .

Для Гродненской области, согласно таблице 4.4 [1], при начале отопительного периода 8, средняя температура наружного воздуха за отопительный период ; средняя относительная влажность наружного воздуха за отопительный период , среднее парциональное давление водяного пара за отопительный период

Парциальное давление водяного пара внутреннего воздуха, определяется по формуле:

;

где - расчётная относительная влажность внутреннего воздуха, %, принимаемая в соответствии с таблицей 4.1 [1]. Для жилых зданий ;

- максимальное парциональное давление водяного пара внутреннего воздуха, Па при расчётной температуре этого воздуха, принимаемое по приложению Ж [1].

При расчётной температуре внутреннего воздуха , .

;

Положение плоскости возможной конденсации в данной конструкции находится на границах слоя штукатурки и утеплителя (плиты жёсткие минераловатные на битумном связующем).

Определяем температуру в плоскости возможной конденсации по формуле:


где - температура внутреннего воздуха, принимается из условия.

- термическое сопротивление слоёв ограждающей конструкции от внутренней поверхности конструкции до плоскости возможной конденсации;

- сопротивление теплопередаче ограждающей конструкции, , найдём по формуле:


где - коэффициент теплоотдачи внутренней поверхности, выбираем по таблице 5.4[1], αв=8,7 Вт/(м2∙°С);

- коэффициент теплоотдачи наружной поверхности, выбираем по таблице 5.7[1], αн=23 Вт/(м2∙°С);

- термические сопротивления отдельных слоев конструкции, кв.м•°С/Вт, принимаем согласно данным задачи №1.

Температура в плоскости возможной конденсации:

.

Максимальное парциальное давление водяного пара в плоскости возможной конденсации при tK = 0,2°С, принимаем по приложению Ж [1]. В результате интерполирования табличных значений оно составляет:

Сопротивление паропроницанию до плоскости возможной конденсации составляет:


Определяем требуемое сопротивление паропроницанию стены от её внутренней поверхности до плоскости возможной конденсации:


Сопротивление паропроницанию рассчитываемой конструкции стены в пределах от её внутренней поверхности до плоскости возможной конденсации составляет:


Вывод: Данная конструкция наружной стены отвечает требованиям СНБ 2.04.01-97 по сопротивлению паропроницанию, так как Rпв=2,8( м2 ∙ ч ∙ Па)/мг >Rnн.тр=0,72(м2 ∙ ч ∙ Па)/мг.

Расчёт чердачного покрытия с холодным чердаком производственного здания.

Конструкцию чердачного покрытия принимаем из задачи №1, которая представлена на рисунке 2.2.Исходные данные также принимаем из условия задачи №1.

По таблице 4.2[1] при сухом влажностном режиме условия эксплуатации ограждающих конструкций «А» .

Расчетные значения коэффициентов теплопроводности λ, теплоусвоения S и паропроницаемости материалов принимаем по таблице А.1[1] для условий эксплуатации ограждений «А»:

Рисунок 2.2 Конструкция чердачного покрытия производственного здания

Битум нефтяной кровельный :

λ 1 = 0,27 Вт/( м ∙°С); S1 = 6,8 Вт/(м2 ∙°С); ;

гравий керамзитовый : ;

λ 2 = 0,21 Вт/( м ∙°С); S2 = 3,36 Вт/(м2 ∙°С);

железобетон ():

λ 3 = 1,92 Вт/( м ∙°С); S3 = 17,98 Вт/(м2 ∙°С); ;

Для Гродненской области, согласно таблице 4.4 [1], при начале отопительного периода 8, средняя температура наружного воздуха за отопительный период ; средняя относительная влажность наружного воздуха за отопительный период , среднее парциональное давление водяного пара за отопительный период

Парциальное давление водяного пара внутреннего воздуха, определяется по формуле:

;

где - расчётная относительная влажность внутреннего воздуха, %, принимаемая в соответствии с таблицей 4.1 [1]. Для производственного здания по СНиП 2.04.05-91 принимаем ;

- максимальное парциональное давление водяного пара внутреннего воздуха, Па при расчётной температуре этого воздуха, принимаемое по приложению Ж [1].

При расчётной температуре внутреннего воздуха , .

;

Положение плоскости возможной конденсации в данной конструкции находится на границах слоя битума и керамзитового гравия.

Определяем температуру в плоскости возможной конденсации по формуле:


где - температура внутреннего воздуха, принимается из условия.

- термическое сопротивление слоёв ограждающей конструкции от внутренней поверхности конструкции до плоскости возможной конденсации;

- сопротивление теплопередаче ограждающей конструкции, , найдём по формуле:


где - коэффициент теплоотдачи внутренней поверхности, выбираем по таблице 5.4[1], αв=8,7 Вт/(м2∙°С);

- коэффициент теплоотдачи наружной поверхности, выбираем по таблице 5.7[1], αн=23 Вт/(м2∙°С);

- термические сопротивления отдельных слоев конструкции, кв.м•°С/Вт, принимаем согласно данным задачи №1.


Температура в плоскости возможной конденсации:

.

Максимальное парциальное давление водяного пара в плоскости возможной конденсации при tK = 4,3°С, принимаем по приложению Ж [1]. В результате интерполирования табличных значений оно составляет:

Сопротивление паропроницанию до плоскости возможной конденсации составляет:


Определяем требуемое сопротивление паропроницанию перекрытия от её внутренней поверхности до плоскости возможной конденсации:


Сопротивление паропроницанию рассчитываемой конструкции перекрытия в пределах от её внутренней поверхности до плоскости возможной конденсации составляет:


Вывод: Данная конструкция чердачного перекрытия не удовлетворяет требованиям СНБ 2.04.01-97 по сопротивлению паропроницанию, так как Rпв=21,8 м2 ∙ ч ∙ Па)/мг <Rnн.тр=22,91 (м2 ∙ ч ∙ Па)/мг. Для соблюдения норм по сопротивлению паропроницанию, в конструкции рекомендуется устройство слоя из полиэтиленовой пленки толщиной , которая позволяет увеличить сопротивление паропроницанию на .

При введении полиэтиленовой пленки в конструкцию до плоскости возможной конденсации сопротивление паропроницанию будет равно Что превышает требуемое сопротивление паропроницанию Rnн.тр=22,91 (м2 ∙ ч ∙ Па)/мг.

теплоустойчивость холодный чердак стена

3. Определение температуры на границах слоёв многослойной конструкции наружной стены, теплового потока и глубины промерзания

Требуется: определить температуры на границах слоев многослойной конструкции наружной стены, тепловой поток и глубину промерзания для стены 1-ой задачи. Поменять второй и третий слой местами, оценить изменение глубины промерзания. Построить зависимости

Рисунок 3.1 Конструкция наружной стены.

Исходные данные принимаем согласно условиям задачи №1

Известково-песчаный раствор плотностью :

λ 1 = 0,7 Вт/( м ∙°С);

кирпич керамический плотностью :

λ 2 = 0,55 Вт/( м ∙°С);

плиты жёсткие минераловатные на битумном связующем ():

λ 3 = 0,09 Вт/( м ∙°С);

известково-песчаный раствор плотностью :

λ 4 = 0,7 Вт/( м ∙°С);

Расчётная температура наружного воздуха , температура внутреннего воздуха .

Определяем тепловой поток через четырехслойную конструкцию при разности температур двух сред по закону Фурье:


где - термическое сопротивление ограждающей конструкции.

Определяем температуры на границах слоев конструкции по формуле:

;

где - температура в любой точке конструкции,.

- тепловой поток проходящий через конструкцию,

- часть термического сопротивления находящегося между плоскостями с температурами и ,

Температура на внутренней границе стены, с учётом коэффициента теплоотдачи внутренней поверхности, равна:


где - коэффициент теплоотдачи внутренней поверхности, выбираем по таблице 5.4[1], αв=8,7 Вт/(м2∙°С);

Температура на границе известково-песчаная штукатурка - керамический кирпич, равна:

;

Температура на границе керамический кирпич - плиты жёсткие минераловатные на битумном связующем, равна:

;

Температура на границе плиты жёсткие минераловатные на битумном связующем - известково-песчаная штукатурка, равна:

;

Температура на внешней границе стены, с учётом теплоотдачи наружной поверхности, равна:

;

Как видно из расчёта температур на границах слоёв, граница промерзания находиться в слое плит жёстких минераловатных на битумном связующем.

Найдём глубину промерзания в теплоизоляционном слое из пропорции:

Подставив значение , и выполнив расчёт получим глубину промерзания теплоизоляционного слоя:

.

Общая глубина промерзания составит:


Рисунок 3.2. Глубина промерзания конструкции.

Построим графики

Рисунок 3.3 - График зависимости

Рисунок 3.4 - График зависимости

Рассмотрим данную задачу в случае, когда теплоизоляционный слой находится с внутренней стороны стены.

Изменённая конструкция стены представлена на рисунке 3.5.

Значение термического сопротивления всей конструкции и теплового потока в этом случае останется прежним:


Рисунок 3.5. изменённая конструкция наружной стены.

Определяем температуры на границах слоев конструкции по формуле:

;

Температура на внутренней границе стены, с учётом коэффициента теплоотдачи внутренней поверхности, равна:


где - коэффициент теплоотдачи внутренней поверхности, выбираем по таблице 5.4[1], αв=8,7 Вт/(м2∙°С);

Температура на границе известково-песчаная штукатурка - плиты жёсткие минераловатные на битумном связующем, равна:

;

Температура на границе плиты жёсткие минераловатные на битумном связующем - керамический кирпич, равна:

;

Температура на границе керамический кирпич - известково-песчаная штукатурка, равна:

;

Температура на внешней границе стены, с учётом теплоотдачи наружной поверхности, равна:

;

Как видно из расчёта температур на границах слоёв, граница промерзания находиться в слое плит жёстких минераловатных на битумном связующем.

Найдём глубину промерзания в теплоизоляционном слое из пропорции:

Подставив значение , и выполнив расчёт получим глубину промерзания теплоизоляционного слоя:

.

Общая глубина промерзания составит:


Рисунок 3.6. Глубина промерзания изменённой конструкции наружной стены.

Построим графики

Рисунок 3.7 График зависимости

Зависимость остаётся неизменной в зависимости от порядка расположения слоёв конструкции. График представлен на рисунке 3.4.

Вывод: В результате расчётов были получены температуры на границах слоёв многослойной конструкции соответствующей стене из первой задачи и в случае, когда второй и третий слой поменяли местами.

Тепловой поток в первом и во втором случае равны, так как он зависит только от внутренней и наружной расчётной температуры, а также от общего термического сопротивления конструкции, и не зависит от последовательности расположения слоёв в конструкции.

В первом случае глубина промерзания составила , а во втором , что свидетельствует о том что утеплитель целесообразно располагать с внешней стороны здания.

Были построены графики зависимостей . Графики нелинейные и характеризуются быстрым возрастанием температур в слое утеплителя. Графики по большей части линейны (нелинейные участки объясняются учётом коэффициентов теплоотдачи внутренней и наружной поверхностей, которые не зависят от термического сопротивления элементов конструкции), что объясняется прямой зависимостью температур в слоях от термического сопротивления.

. Расчёт теплоустойчивости наружного ограждения

Требуется: Рассчитать теплоустойчивость наружного ограждения.

Конструкцию помещения выбираем согласно условию задачи 6. Для проверки теплоустойчивости произведём расчет жилого помещения размерами 12х8х6 м. Система отопления - паровое, время подачи пара 18 ч, перерыв 6 ч.

Конструкцию наружной стены принимаем согласно условию первой задачи.

Рисунок 4.1 Конструкция наружного ограждения.

При расчёте теплоустойчивости определяют амплитуду колебаний внутреннего воздуха в течение суток и минимальную температуру внутренней поверхности наружных ограждающих конструкций.

По таблице 4.2[1] при сухом влажностном режиме условия эксплуатации ограждающих конструкций «А» .

Расчетные значения коэффициентов теплопроводности λ и теплоусвоения S материалов принимаем по таблице А.1[1] для условий эксплуатации ограждений «А»:

Известково-песчаный раствор плотностью :

λ 1 = 0,7 Вт/( м ∙°С); S1 = 8,69 Вт/(м2 ∙°С);

кирпич керамический плотностью :

λ 2 = 0,55 Вт/( м ∙°С); S2 = 7,01 Вт/(м2 ∙°С);

плиты жёсткие минераловатные на битумном связующем ():

λ 3 = 0,09 Вт/( м ∙°С); S3 = 1,46 Вт/(м2 ∙°С);

известково-песчаный раствор плотностью :

λ 4 = 0,7 Вт/( м ∙°С); S4 = 8,69 Вт/(м2 ∙°С).

Наружная стена.

Найдём расположение слоя конструкции, для которого тепловая инерция :

Для первого (считая со стороны помещения) слоя наружного ограждения:


Для двух первых слоёв наружного ограждения (известково-песчаная штукатурка и керамический кирпич):

;

Тогда коэффициент теплоусвоения внутренней поверхности наружных стен будет равен:

Коэффициент теплопоглощения внутренней поверхности наружных стен


Чердачное перекрытие.

Конструкцию перекрытия принимаем согласно условию задачи 1.2.

Рисунок 4.2. Конструкция сердачного перекрытия.

Битум нефтяной кровельный :

λ 1 = 0,27 Вт/( м ∙°С); S1 = 6,8 Вт/(м2 ∙°С);

гравий керамзитовый :

λ 2 = 0,21 Вт/( м ∙°С); S2 = 3,36 Вт/(м2 ∙°С);

железобетон ():

λ 3 = 1,92 Вт/( м ∙°С); S3 = 17,98 Вт/(м2 ∙°С);

Найдём расположение слоя конструкции, для которого тепловая инерция :

Для первого, считая со стороны помещения, слоя железобетона:


Так как для первого слоя конструкции , то коэффициент теплоусвоения внутреннеё поверхности чердачного перекрытия будет равен коэффициенту теплоусвоения материала первого слоя - железобетона:

Тогда коэффициент теплоусвоения внутренней поверхности наружных стен будет равен:


Коэффициент теплопоглощения внутренней поверхности чердачного перекрытия (потолка помещения):


Для расчёта принимаем пол из дуба поперёк волокон, толщиной 5 см, устраиваемый на кирпичных столбиках.

Найдём расположение слоя конструкции, для которого тепловая инерция :

Для первого, считая со стороны помещения, слоя железобетона:


Так как для первого слоя конструкции , то коэффициент теплоусвоения внутреннеё поверхности пола будет равен удвоенному коэффициенту теплоусвоения материала


Коэффициент теплопоглощения внутренней поверхности пола:


Оконное заполнение.

Для расчёта принимаем тройное остекление в деревянных раздельно-спаренных переплётах. Сопротивление теплопередаче - . Коэффициент теплопоглощения окна:


Для определения амплитуды колебаний внутреннего воздуха рассчитываем теплопотери через все ограждающие конструкции и теплопоглощение поверхностей с учётом их площадей, по формуле:


Результаты расчёта приведены в таблице 4.1.

Таблица 4.1. Расчёт теплопотерь и теплопоглощения

Ограждающая конструкция

Расчёт теплопотерь

Расчёт теплопоглощения


 

Q, Вт

 

 

 Вт/

Наружная стена без проёма

2,0

72

42

1512

7,64

4,07

52,3

212,8

Наружная стена с оконным проемом

2,0

45,3

42

951,3

7,64

4,07

29,8

121,3

Чердачное перекрытие

3,0

96

42

1344

17,98

5,86

74,2

434,8

Пол

0,28

96

42

14400

10

4,65

74,2

345

Окно

0,55

2,7

42

7330

-

1,68

2,7

4,5

Итого:

35330

1457


Теплопотери на вентиляцию данного помещения из расчёта 3 м3/ч на 1 м2 площади при расчётных температурах внутреннего и наружного воздуха состовляет:


где - площадь помещения, м2.

=1008 кДж/(кг) - удельная теплоёмкость воздуха.

- плотность воздуха.

Определяем амплитуду колебаний температуры внутреннего воздуха при однократной топке котла:


где коэффициент неравномерности теплоотдачи системы отопления, принимаемый по таблице 6.1[1]/

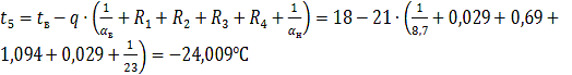
Таким образом, при однократной топке поквартирного парового отопления амплитуда колебаний температуры внутреннего воздуха помещения при расчётной температуре наружного воздуха превышает допустимые 3 .

Определим температуру наружного воздуха ? до которой амплитуда колебаний температуры внутреннего воздуха помещения при однократной топке котла не будет превышать .


При температуре наружного воздуха ниже следует увеличить продолжительность однократной топки котла.

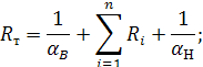
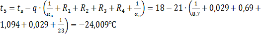
Определим минимальные внутренних поверхностей наружных ограждающих конструкций.

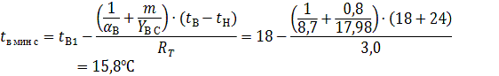
Минимальная температура внутренней поверхности наружной стены:


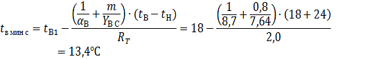
Минимальная температура внутренней поверхности чердачного перекрытия:


Вывод. Амплитуда колебаний температуры внутреннего воздуха при однократной топке котла равна . Таким образом, при однократной топке поквартирного парового отопления амплитуда колебаний температуры внутреннего воздуха помещения при расчётной температуре наружного воздуха превышает допустимые 3 .

При температуре наружного воздуха ниже следует увеличить продолжительность однократной топки котла.

Минимальная температура внутренней поверхности наружной стены равна , минимальная температура внутренней поверхности чердачного перекрытия равна

. Расчёт сопротивления паропроницанию наружной стены жилого здания из мелкоштучных газосиликатных блоков

Требуется: Рассчитать сопротивление паропроницанию наружной стены жилого здания из мелкоштучных газосиликатных блоков.

Конструкцию наружной стены принимаем из задачи №1, заменяя керамический кирпич на газосиликатные блоки.

Рисунок 2.1 Конструкция наружной стены.

По таблице 4.2[1] при сухом влажностном режиме условия эксплуатации ограждающих конструкций «А» .

Расчетные значения коэффициентов теплопроводности λ, теплоусвоения S и паропроницаемости материалов принимаем по таблице А.1[1] для условий эксплуатации ограждений «А»:

Известково-песчаный раствор плотностью :

λ 1 = 0,7 Вт/( м ∙°С); S1 = 8,69 Вт/(м2 ∙°С); ;

газосиликатные блоки :

λ 2 = 0,41 Вт/( м ∙°С); S2 = 6,13 Вт/(м2 ∙°С); ;

плиты жёсткие минераловатные на битумном связующем ():

λ 3 = 0,09 Вт/( м ∙°С); S3 = 1,46 Вт/(м2 ∙°С); ;

известково-песчаный раствор плотностью :

λ 4 = 0,7 Вт/( м ∙°С); S4 = 8,69 Вт/(м2 ∙°С); .

Для Гродненской области, согласно таблице 4.4 [1], при начале отопительного периода 8, средняя температура наружного воздуха за отопительный период ; средняя относительная влажность наружного воздуха за отопительный период , среднее парциональное давление водяного пара за отопительный период

Парциальное давление водяного пара внутреннего воздуха, определяется по формуле:

;

где - расчётная относительная влажность внутреннего воздуха, %, принимаемая в соответствии с таблицей 4.1 [1]. Для жилых зданий ;

- максимальное парциональное давление водяного пара внутреннего воздуха, Па при расчётной температуре этого воздуха, принимаемое по приложению Ж [1].

При расчётной температуре внутреннего воздуха , .

;

Положение плоскости возможной конденсации в данной конструкции находится на границах слоя штукатурки и утеплителя (плиты жёсткие минераловатные на битумном связующем).

Определяем температуру в плоскости возможной конденсации по формуле:


где - температура внутреннего воздуха, принимается из условия.

- термическое сопротивление слоёв ограждающей конструкции от внутренней поверхности конструкции до плоскости возможной конденсации;

- сопротивление теплопередаче ограждающей конструкции, , найдём по формуле:


где - коэффициент теплоотдачи внутренней поверхности, выбираем по таблице 5.4[1], αв=8,7 Вт/(м2∙°С);

- коэффициент теплоотдачи наружной поверхности, выбираем по таблице 5.7[1], αн=23 Вт/(м2∙°С);

- термические сопротивления отдельных слоев конструкции, кв.м•°С/Вт, принимаем согласно данным задачи №1.


Температура в плоскости возможной конденсации:

.

Максимальное парциальное давление водяного пара в плоскости возможной конденсации при tK = -2,05°С, принимаем по приложению Ж [1]. В результате интерполирования табличных значений оно составляет:

Сопротивление паропроницанию до плоскости возможной конденсации составляет:


Определяем требуемое сопротивление паропроницанию стены от её внутренней поверхности до плоскости возможной конденсации:


Сопротивление паропроницанию рассчитываемой конструкции стены в пределах от её внутренней поверхности до плоскости возможной конденсации составляет:


Вывод: Данная конструкция наружной стены отвечает требованиям СНБ 2.04.01-97 по сопротивлению паропроницанию, так как Rпв=2,8( м2 ∙ ч ∙ Па)/мг >Rnн.тр=0,72(м2 ∙ ч ∙ Па)/мг.

. Расчёт потерь тепла через ограждающие конструкции и днище тепловой установки по периодам её работы при изменении температуры от до и расчетной

Требуется: Рассчитать рассчитать потери тепла через ограждающие конструкции и днище тепловой установки по периодам ее работы при изменении температуры от до и расчетной .

Исходные данные:

Размеры: длина 12 м, ширина 8 м, высота 6 м.

Режим работы: , .

Температура: , .

Нормативные сопротивления теплопередаче (выбираем по таблице 5.1 [1]):

;

;

;

Рисунок 6.1. Конструкционная схема установки

Рисунок 6.2 График режима работы тепловой установки.

Определяем потери тепла, тепловой установки при стационарном и нестационарном режимах. Расчет ведем по формуле:

;

где  основные теплопотери (Вт);

 площадь надземной части (м2);

 сопротивление теплопередачи ((м2∙°С)/Вт);

 температура внутреннего воздуха (°С);

 температура наружного воздуха (°С);

- добавочные теплопотери (%).

Вычисления потерь тепла при стационарном режиме при tB=15°, сведём в таблицу 6.1

Таблица 6.1. Потери тепла при стационарном режиме при tB=15°С;

Ограждение

Площадь

Сопротивление теплопередаче ,

Разность температур

n

Добавочные теплопотери

Основные теплопотери

Наружная стена

48

2,2

39

1

1,05

893

Наружная стена

72

2,2

39

1

1,1

1404

Наружная стена

48

2,2

39

1

1,05

893

Наружная стена

64

2,2

39

1

1,0

1134

Пол

96

3,0

39

1

1,05

1310

Чердачное перекрытие

88

3,0

39

0.9

1,05

1081

Дверь

8

0,3

39

1

1,05

1092

Окно

8

0,3

39

1

1,05

1092

Итого:

9019


Вычисления потерь тепла при нестационарном режиме при tB= tраб=70°, сведём в таблицу 6.2.

Таблица 6.1. Потери тепла при нестационарном режиме при tB= tраб =70°С

Ограждение

Площадь

Сопротивление теплопередаче ,

Разность температур

n

Добавочные теплопотери

Основные теплопотери

Наружная стена

48

2,2

94

1

1,05

2153

Наружная стена

72

2,2

94

1

1,1

3384

Наружная стена

48

2,2

94

1

1,05

2135

Наружная стена

64

2,2

94

1

1,0

2735

Пол

96

3,0

94

1

1,05

3158

Чердачное перекрытие

88

3,0

94

0.9

1,05

2895

Дверь

8

0,3

94

1

1,05

2632

Окно

8

0,3

94

1

1,05

2632

Итого:

21724


Рассчитаем теплопотери через подземную часть стены. Для этого изобразим горизонтальную развертку подземной части тепловой установки, разделим на соответственные зоны по 2м.

Рисунок 6.3 - Развертка подземной части тепловой установки

Термическое сопротивление для первой зоны, полосы, то есть от поверхности пола расположенной на расстоянии до 2м:

 (m2 ∙ °С)/Вт.

Для второй зоны полосы, т.е. для следующих двух метров от наружной стены:

(m ∙ °С)/Вт.

Для третьей зоны полосы:

 (m2 ∙ °С)/Вт.

Потери тепла через подземную часть определяем по формуле:

,

где F - площадь зоны, м2;- термическое сопротивление зоны, (m2 ∙ °С)/Вт.

Рассчитаем площади зон:

 м2;

 м2;

 м2;

Тогда теплопотери при стационарном режиме подземной части конструкции:

 Дж.

Теплопотери при нестационарном режиме подземной части конструкции:

 Дж.

Полные потери всей конструкции при стационарном режиме:

+2177=11196 Дж

Полные потери всей конструкции при нестационарном режиме:

+5247=26971 Дж

Общие потери всей конструкции:

Дж

Вывод: При данных габаритных размерах и изменении температуры потери тепла за полное время составляют 38167 Дж.

Литература


1 СНБ 2.04.01-97 Строительная теплотехника. Минск, 1994.

СНиП 2.04.05-91 Отопление, вентиляция и кондиционирование. Госстрой СССР. - М., 1992.

Исаченко В.П., Осипова В.А., Сукомел А.С. Теплопередача. - М.: Энергоиздат, 1981.

ГОСТ 2.105-95 Общие требования к текстовым документам. Изд. Стандартов, 1996.

Похожие работы на - Тепловой расчет наружной стены здания

 

Не нашли материал для своей работы?
Поможем написать уникальную работу
Без плагиата!
Без нейросетей!