Скорость истечения жидкости
Реферат
Скорость истечения жидкости
Введение
жидкость
физический истечение
Жидкостью в гидравлике называют
физическое тело способное изменять свою форму при воздействии на нее сколь
угодно малых сил. Различают два вида жидкостей: жидкости капельные и жидкости
газообразные. Капельные жидкости представляют собой жидкости в обычном,
общепринятом понимании этого слова (вода, нефть, керосин, масло и.т.д.).
Газообразные жидкости - газы, в обычных условиях представляют собой
газообразные вещества (воздух, кислород, азот, пропан и т.д.).
Основной отличительной особенностью
капельных и газообразных жидкостей является способность сжиматься (изменять
объем) под воздействием внешних сил. Капельные жидкости (в дальнейшем просто
жидкости) трудно поддаются сжатию, а газообразные жидкости (газы) сжимаются
довольно легко, т.е. при воздействии небольших усилий способны изменить свой
объем в несколько раз.
Цель работы - определение
коэффициентов скорости истечения жидкости.
Из поставленной цели вытекает
решения некоторых задач:
. Определить механику
жидкостей;
. Выявить принцип движения
жидкостей;
. Рассмотреть уравнение
Бернулли;
. Определить коэффициенты
скорости истечения жидкости в зависимости от отверстий и насадков.
Для написания реферата была
использована как научная литература, так и материал из интернета.
Совокупность
векторов v(t), заданных для всех точек
пространства, называется полем вектора скорости. Это поле можно наглядно
изобразить с помощью линий тока.
Линию тока можно
провести через любую точку пространства. Если построить все мыслимые линии
тока, они просто сольются друг с другом. Поэтому для наглядного представления
течения жидкости строят лишь часть линий, выбирая их так, чтобы густота линий
тока была численно равна модулю скорости в данном месте. Тогда по картине линий
тока можно судить не только о направлении, но и о модуле вектора v в разных точках пространства. Например, в точке А на рис. 1
густота линий, а следовательно и модуль v, чем в точке В.
Поскольку разные частицы жидкости могут проходить через данную точку
пространства с разными скоростями (т.е. v = v(t)), картина линий тока,
вообще говоря, все время изменяется. Если скорость в каждой точке пространства
остается постоянной (V=const), то течение жидкости Называется стационарным (установившимся).
При стационарном течении любая частица жидкости проходит через данную точку
пространства с одной и той же скоростью v. Картина линий тока при стационарном течении остается неизменной, и
линии тока в этом случае совпадают с траекториями частиц. Если через все точки
небольшого замкнутого контуpa провести линии тока, образуется поверхность, которую называют
трубкой тока. Вектор v касателен к поверхности
трубки тока в каждой ее точке. Следовательно, частицы жидкости при своем
движении не пересекают стенок трубки тока.
Возьмем трубку
тока, достаточно тонкую для того, чтобы во всех точках ее поперечного сечения S скорость частиц v была одна и та же (рис. 2). При стационарном течении трубка тока
подобна стенкам жесткой трубы. Поэтому через сечение 5 пройдет за время Дt объем жидкости, равный SvДt, а в единицу времени объем (1):
Жидкость, плотность которой всюду
одинакова и изменяться не может, называется несжимаемой. На рис. 39.3
изображены два сечения очень тонкой трубки тока - S1 и S2. Если жидкость
несжимаема, то кол - во ее между этими сечениями остается неизменным.
Отсюда следует, что объемы жидкости,
протекающие в единицу времени через сечения S1 и S2, должны быть одинаковыми
(2):
Равенство (2)
справедливо для любой пары произвольно взятых сечений. Следовательно, для
несжимаемой жидкости при стационарном течении произведение Sv в любом сечении данной
трубки тока имеет одинаковое значение (3):
Это утверждение
носит название теоремы о неразрывности струи.
Из соотношения (3)
вытекает, что при изменяющемся сечении трубки тока частицы несжимаемой жидкости
движутся с ускорением (рис. 4). Если трубка тока горизонтальна, это ускорение
может быть обусловлено только непостоянством давления вдоль трубки - в местах,
где скорость больше, давление должно быть меньше, и наоборот.
1.
Принцип движения жидкостей
Касаясь трактата Д. Бернулли
«Гидродинамика», Лагранж называет его произведением, «которое вообще блещет
анализом, столь же изящным по своему изложению, сколь простым по своим
выводам». В основу исследования Д. Бернулли кладет принцип сохранения
механической энергии. Он первый правильно решил задачи об истечении жидкости из
сосуда, о реакции жидкости. Однако Лагранж считает энергетический принцип
ненадежным, так как он к тому времени еще не был доказан в общем виде. Следует
заметить, что сам Лагранж вывел этот принцип из своей общей формулы динамики
для широкого круга явлений: для консервативных сил, действующих на точки
системы со стационарными связями. Однако конечные алгебраические соотношения
гидравлики были менее универсальными, чем дифференциальные уравнения движения
жидкости. Случаи неустановившегося движения не могли быть описаны энергетическими
соотношениями. Вероятно, поэтому Лагранж считал блестящий, по его мнению,
анализ «Гидродинамики» Бернулли недостаточным. Лагранж заметил, что принцип
Даламбера и его предшественника Я. Бернулли о равновесии потерянных и
приобретенных побуждений к движению в данный момент времени давал в руки
исследователей более точный метод, нежели энергетический принцип.
Потому Лагранж и считал Даламбера
первым, кто свел истинные законы движения жидкостей к аналитическим уравнениям.
Именно в его работах впервые появляются точные уравнения движения жидкостей
(как несжимаемых, так и сжимаемых) - уравнения в частных производных, которых
ранее не знали. Лагранж отмечает: «Однако эти уравнения еще не обладали всей
той общностью и простотой, которая им может быть придана. Только Эйлеру мы
обязаны первыми общими формулами для движения жидкостей, основанными на законах
их равновесия и выраженными в простой и ясной символике частных производных.
Благодаря этому открытию вся механика жидкостей была сведена к вопросу одного
только анализа, и если бы уравнения, содержащие эту механику, были
интегрируемы, можно было бы в каждом случае полностью определить условия
движения и действия жидкости, приводимой в движение любыми силами…».
Казалось, что еще можно было бы
добавить к развитию точных методов гидромеханики после трудов Эйлера? Однако
Лагранж попытался это сделать. Он сформулировал свою задачу так: «Произведенное
нами в первой части настоящего труда объединение в одной и той же формуле всех
законов равновесия тел как твердых, так и жидких и сделанное нами применение
этой формулы к законам движения, естественно, приводит нас к тому, чтобы точно
так же объединить динамику и гидродинамику, как ветви единого принципа и как
выводы из единой общей формулы».
Уравнения движения идеальной жидкости
выводятся из общей формулы динамики. Рассуждениями, аналогичными проведенным
для случая равновесия жидкости, Лагранж получает три динамических уравнения,
отличающихся от статических присутствием «сил инерции».
Введение нового знака Лагранж
объясняет тем, что этот знак нужен «для выражения дифференциалов, относящихся к
мгновенному положению смежных частиц, в то время как закон будет относиться
только к изменению положения той же частицы в пространстве».
В совокупности получаются четыре
уравнения для определения неизвестных. Полученная система четырех уравнений с
четырьмя переменными преобразуется Лагранжем к форме, которую принято называть
формой Лагранжа: переменными являются начальные значения координат частицы и
время. Такие уравнения встречались и в работах Эйлера. Эти уравнения более
сложной структуры, чем уравнения в переменных Эйлера, имеют преимущество для
неоднородных жидкостей, когда плотность в данной частице, которой приписаны так
называемые лагранжевы координаты, не меняются по времени.
При изучении движения идеальной
несжимаемой однородной жидкости Лагранж выделяет важный случай, когда скорости
обладают потенциалом (хотя термина «потенциал» у Лагранжа нет). Он записывает
условия безвихревого течения.
Далее формулируется так называемая
теорема Лагранжа о сохранении потенциального течения в идеальной однородной
жидкости, если течение началось из состояния покоя. Формулировка этой теоремы
дается в чисто математических терминах: «Если движение начинается из состояния
покоя, будет для этого мгновения интегрируемо и, стало быть, оно будет всегда
интегрируемо в течение всего времени движения».
Далее Лагранж приводит пример, когда
выражение не является полным дифференциалом, однако общее уравнение движения и
в этом случае может быть проинтегрировано. Пример Лагранжа относится к случаю
вращения жидкости с постоянной угловой скоростью вокруг вертикальной оси. В
этом частном случае им получен первый интеграл, имеющий характер
энергетического соотношения.
Этот результат имеет большое
значение в гидродинамике идеальной баротропной жидкости, в более общем виде он
был позже получен Коши и стал называться интегралом Лагранжа - Коши. Надо
отметить, что в работах Эйлера этот интеграл вводится в 1755-1770 гг.
2.
Уравнение Бернулли
В реальных жидкостях при перемещении
слоев жидкости друг относительно друга возникают силы внутреннего трения,
тормозящие относительное смещение слоев. Воображаемая жидкость, у которой
внутреннее трение полностью отсутствует, называется идеальной. Течение
идеальной жидкости не сопровождается диссипацией энергии.
Рассмотрим
стационарное течение несжимаемой идеальной жидкости. Выделим объем жидкости,
ограниченный стенками узкой трубки тока и перпендикулярными к линиям тока
сечениями S1 и S2 (рис. 5), За время А/ этот объем сместится вдоль трубки тока,
причем граница объема S1 получит перемещение Дl2, а граница S2 - перемещение Дl2. Работа, совершаемая при
этом силами давления, раина приращению полной энергии (Ek + Ep),
заключенной в рассматриваемом объеме жидкости.
Силы давления на стенки трубки тока
перпендикулярны в каждой точке к направлению перемещения жидкости, вследствие
чего работы не совершают. Отлична от нуля лишь работа сил давления, приложенных
к сечениям S1 и S2.
(4)
Полная энергия
рассматриваемого объема жидкости слагается из кинетической энергии и
потенциалальной энергии в поле сил земного тяготения. Вследствие стационарности
течения полная энергия той части жидкости, которая ограничена сечениями 1’ и
2 (внутренняя незаштрихованная часть трубки тока на рис. 5), за время Дt не изменяется. Поэтому приращение полной энергии равно разности
значений полной энергии заштрихованных объемов ДV2 и ДV1, масса которых Дm = рДV (р - плотность жидкости).
Возьмем сечение S трубки тока и
перемещения Дl настолько малыми, чтобы
всем точкам каждого из заштрихованных объёмов можно было приписать одно и то же
значение скорости v, давления p, и высоты h. Тогда дли приращения полной
энергии получается выражение:
(5)
Приравняв выражения
(4) и (5), сократив на AV и перенеся члены с одинаковыми индексами в' одну часть равенства,
придем к уравнению
(6)
Это уравнение
становится вполне строгим лишь при стремлении поперечного сечения S к нулю, т.е. при стягивании трубки
тока в линию. Следовательно, величины и, h и р в обеих частях равенства нужно рассматривать как относящиеся
к двум произвольным точкам одной и той же линии тока.
При выводе формулы (6) сечения S1
и S2 были взяты совершенно произвольно. Поэтому можно
утверждать, что в стационарно текущей несжимаемой и идеальной жидкости вдоль
любой линии тока выполняется условие
(7)
Уравнение (6) или равнозначное ему
уравнение (7) называется уравнением Бернулли. Хотя это уравнение было получено
для идеальной жидкости, оно хорошо выполняется для реальных жидкостей, у
которых внутреннее трение невелико.
3. Истечение жидкости из
отверстий и насадков и определение коэффициентов скорости истечения
Рассмотрим истечение идеальной
несжимаемой жидкости из небольшого отверстия в широком открытом сосуде.
Выделим мысленно в жидкости трубку
тока, сечениями которой являются открытая поверхность жидкости S1 и
сечение струи при выходе из отверстия S2 (если не принять
специальных мер, то сечение струи будет меньше отверстия). Для всех точек
каждого из этих сечений скорость жидкости v и высоту h
над некоторым исходным уровнем можно считать одинаковыми. Поэтому к данным
сечениям можно применить теорему Бернулли. Давления р1 и р2
в обоих сечениях одинаковы и равны атмосферному. Скоростью v1
перемещения открытой поверхности жидкости ввиду ее малости можно пренебречь.
Поэтому уравнение (7) в данном случае упрощается следующим образом:
где v - скорость жидкости в
сечении S2 (скорость истечения из отверстия). Сократив на р,
можно написать, что где h = h1 - h2 - высота открытой
поверхности над отверстием.
(8)
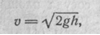
Формула (8) называется формулой
Торричелли. Из нее следует, что скорость истечения жидкости из отверстия,
находящегося на глубине h под открытой поверхностью жидкости, совпадет со
скоростью, которую приобретает любое тело, падая с высоты h (в случае, если
сопротивлением воздуха можно пренебречь). Этот результат получен в
предположении, что жидкость идеальна. Для реальных жидкостей скорость истечения
будет меньше, причем тем сильнее отличается от значения, определяемого формулой
Торричелли, чем больше внутреннее трение в жидкости. Например, глицерин будет
вытекать из сосуда медленнее, чем вода.
Рассмотрим различные случаи
истечения жидкости из резервуаров, баков, котлов через отверстия и насадки
(коротки трубки различной формы) в атмосферу или пространство, заполненное
газом или той же жидкость. В процессе такого истечения запас потенциальной
энергии, которым обладает жидкость, находящаяся в резервуаре, превращается в
кинетическую энергию свободной струи.
Основным вопросом, который
интересует в данном случае, является определение скорости истечения и расхода
жидкости для различных форм отверстий и насадков.
. Истечение через малые
отверстия в тонкой стенке при постоянном напоре
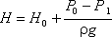
Рассмотрим большой резервуар с
жидкостью под давлением Р0, имеющий малое круглое отверстие в
стенке на достаточно большой глубине Н0 от свободной
поверхности.
Жидкость вытекает в воздушное
пространство с давлением Р1. Пусть отверстие имеет форму,
показанную на рис. 8, а, т.е. выполнено в виде сверления в тонкой стенке без
обработки входной кромки или имеет форму, показанную на рис. 8, б, т.е.
выполнено в толстой стенке, но с заострением входной кромки с внешней стороны.
Струя, отрываясь от кромки отверстия, несколько сжимается. Такое сжатие
обусловлено движением жидкости от различных направлений, в том числе и от
радиального движения по стенке, к осевому движению в струе.
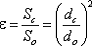
(9)
где Sс
и Sо - площади поперечного сечения струи и отверстия
соответственно; dс и dо - диаметры струи и
отверстия соответственно.
Скорость истечения
жидкости через отверстие такое отверстие
(10)
где Н - напор
жидкости, определяется как
(11)
ц - коэффициент скорости
(12)
где б - коэффициент
Кориолиса; ж - коэффициент сопротивления отверстия.
2. Истечение при несовершенном
сжатии
Несовершенное сжатие наблюдается в
том случае, когда на истечение жидкости через отверстие и на формирование струи
оказывает влияние близость боковых стенок резервуара.
Так как боковые стенки частично
направляют движение жидкости при подходе к отверстию, то струя по выходе из
отверстия сжимается в меньшей степени, чем из резервуара неограниченных
размеров, как это было описано в п. 1.
При истечении жидкостей из
цилиндрического резервуара круглого сечения через круглое отверстие,
расположенное в центре торцевой стенки, при больших числах Re коэффициент
сжатия для идеальной жидкости можно найти по формуле, представленной Н.Е.
Жуковским:
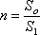
(13)
где n - отношение
площади отверстия Sо к площади поперечного сечения резервуара
S1
(14)
3. Истечение под уровень
Часто приходится иметь дело с
истечением жидкости не в атмосферу, а в пространство, заполненное этой же
жидкостью. Такой случай называется истечением под уровень, или истечением через
затопленное отверстие.
В этом случае вся кинетическая
энергия струи теряется на вихреобразование, как при внезапном расширении.
Скорость истечения в сжатом сечении
струи
(15)
где ц - коэффициент
скорости;
Н
- расчетный напор,
(16)
4. Истечение через насадки при
постоянном напоре
Внешним цилиндрическим насадком
называется короткая трубка длиной, равной нескольким диаметрам без закругления входной
кромки (рис. 11). На практике такой насадок часто получается в тех случаях,
когда выполняют сверление в толстой стенке и не обрабатывают входную кромку.
Истечение через такой насадок в газовую среду может происходить в двух режимах.
Первый режим - безотрывный режим.
При истечении струя, после входа в насадок сжимается примерно так же, как и при
истечении через отверстие в тонкой стенке. Затем струя постепенно расширяется
до размеров отверстия из насадка выходит полным сечением.
Коэффициент расхода м, зависящий от
относительной длины насадка l / d и числа Рейнольдса, определяется по
эмпирической формуле:
(17)
Так как на выходе из
насадка диаметр струи равен диаметру отверстия, то коэффициент сжатия е=1 и,
следовательно, м=ц, а коэффициент сопротивления ж = 0,5.
Если составить уравнение
Бернулли для сжатого сечения ^ 1-1 и сечения за насадком 2-2 и
преобразовать его, то можно получить падение давления внутри насадка
P2 - P1
0,75Hgс
(18)
При некотором
критическом напоре Нкр абсолютное давление внутри насадка
(сечение 1-1) становится равным нулю (P1 = 0), и поэтому
(19)
Следовательно, при Н>Нкр
давление P1 должно было бы стать отрицательным, но так как в
жидкостях отрицательных давлений не бывает, то первый режим движения становится
невозможным. Поэтому при Н
Нкр происходит изменение
режима истечения, переход от первого режима ко второму.
Второй режим
характеризуется тем, что струя после сжатия уже не расширяется, а сохраняет
цилиндрическую форму и перемещается внутри насадка, не соприкасаясь с его
стенками. Истечение становится точно таким же, как и из отверстия в тонкой
стенке, с теми же значениями коэффициентов. Следовательно, при переходе от
первого режима ко второму скорость возрастает, а расход уменьшается благодаря
сжатию струи.
При истечении через
цилиндрический насадок под уровень первый режим истечения не будет отличаться
от описанного выше. Но при Н>Нкр перехода ко второму
режиму не происходит, а начинается кавитационный режим.
Таким образом, внешний
цилиндрический насадок имеет существенные недостатки: на первом режиме -
большое сопротивление и недостаточно высокий коэффициент расхода, а на втором -
очень низкий коэффициент расхода. Недостатком также является возможность
кавитации при истечении под уровень.
5. Истечения через отверстия и
насадки при переменном напоре (опорожнение сосудов)
Рассмотрим случай опорожнения
открытого в атмосферу сосуда при постоянно уменьшающемся напоре, при котором
течение является неустановившемся.
Однако если напор, а следовательно,
и скорость истечения изменяются медленно, то движение в каждый момент времени
можно рассматривать как установившееся, и для решения задачи применить
уравнение Бернулли.
Обозначим переменную высоту уровня
жидкости в сосуде за h, площадь сечения резервуара на этом уровне S,
площадь отверстия Sо, и взяв бесконечно малый отрезок времени
dt, можно записать следующее уравнение объемов:
(20)
где dh -
изменение уровня жидкости за время dt.
Отсюда время полного
опорожнения сосуда высотой Н
(21)
6. Истечение из-под затвора в
горизонтальном лотке
Во многих водозаборных и
водопропускных гидротехнических сооружениях расходы воды проходят через
отверстия, перекрываемые затворами. Затворы поднимают на определенную высоту
над дном и пропускают через отверстия необходимые расходы. Чаще всего на
гидромелиоративных сооружениях устраивают отверстия прямоугольного сечения,
истечение из которых и рассмотрим.
Отверстия могут быть незатопленными
(истечение свободное) и затопленными, когда уровень воды за затвором влияет на
истечение.
Если отверстие незатопленное, то
вытекающая из-под затвора струя находится под атмосферным давлением.
Когда затвор приподнят над дном,
вытекающая из-под него струя испытывает сжатие в вертикальной плоскости. На
расстоянии, примерно равном высоте отверстия а (высоте поднятия
затвора), наблюдается наиболее сжатое сечение. Глубина в сжатом сечении hc
связана с высотой отверстия а следующей зависимостью:
hc =е'a (22)
где е' - коэффициент вертикального
сжатия струи.
Коэффициент вертикального сжатия е'
зависит от отношения высоты отверстия а к напору (глубине воды перед
затвором) Н. Для ориентировочных расчетов можно принимать е' = 0,64.
Если составить уравнение Бернулли
для сечений, проведенных перед затвором и в сжатом сечении, после
преобразований получим:
(23)
где ц - коэффициент
скорости,
(24)
где Н0
- напор с учетом скорости подхода,
(25)
Таким образом, скорость
истечения жидкости из отверстия, находящегося на глубине h под открытой
поверхностью жидкости, совпадет со скоростью, которую приобретает любое тело,
падая с высоты h (в случае, если сопротивлением воздуха можно пренебречь). Для
реальных жидкостей скорость истечения будет меньше, причем тем сильнее
отличается от значения, чем больше внутреннее трение в жидкости.
Заключение
Жидкость - физическое
тело способное изменять свою форму при воздействии на нее сколь угодно малых
сил.
Коэффициенты скорости
истечения жидкости различны. Они зависят от тех отверстий и насадков, из
которых жидкость вытекает.
1. Истечение через малые
отверстия в тонкой стенке при постоянном напоре
2. Истечение под уровень
3. Истечение из-под затвора в
горизонтальном лотке

Действительная скорость
истечения V всегда несколько меньше идеальной из-за наличия сопротивления,
следовательно, коэффициент скорости ц всегда меньше единицы.
Таким образом, движение
жидкости может быть вызвано двояко.
В первом случае жидкость
движется относительно неподвижного твердого тела. Для упрощения теоретических
расчетов применяют простейший случай такого движения, т.е. истечение жидкости
из неподвижного сосуда по цилиндрической круглой трубке, лучше всего капиллярной.
Во втором случае в
жидкости перемещается под действием известных сил твердое тело или пузырек газа
(воздуха).
Список литературы
1. Осипов П.Е.
Гидравлика, гидравлические машины и гидропривод. М.: Лесная промышленность,
1981, 424 с.
. Идельчик И.Е.
Справочник по гидравлическим сопротивлениям. - М.: Машиностроение, 1975, 559 с.
. Башта Т.М. и др.
Гидравлика, гидромашины и гидроприводы. - М.: Машиностроение, 1982, 423 с.
. Лабораторный практикум
по гидравлике, гидромашинам и гидроприводу / Под ред. Вильнера Я.М.: Минск,
Высшая школа, 1980, 224 с.
. Лабораторный курс
гидравлики, насосов и гидропередач / Под ред. Руднева С.С. и Подвидза Л.Г. -
М.: Машиностроение, 1974, 415 с.