Сеть для электроснабжения группы потребителей
Курсовой проект
Сеть для электроснабжения группы
потребителей
РЕФЕРАТ
Курсовой проект по курсу «Электроэнергические системы и сети» выполнен на
листах формата А4, состоит из таблиц, рисунка и представляет собой расчёт
системы электроснабжения группы потребителей.
ЭЛЕКТРОПИТАЮЩАЯ СЕТЬ, НАДЁЖНОСТЬ И ЭКОНОМИЧНОСТЬ ЭЛЕКТРОСНАБЖЕНИЯ,
КАЧЕСТВО ЭЛЕКТРОЭНЕРГИИ, ВАРИАНТНОЕ ПРОЕКТИРОВАНИЕ, ОПТИМИЗАЦИЯ ПАРАМЕТРОВ
ЭЛЕМЕНТОВ СЕТИ, ПОСТРОЕНИЕ НОМОГРАММ, БАЛАНС МОЩНОСТИ, КОМПЕНСИРУЮЩИЕ
УСТРОЙСТВА, КАПИТАЛЬНЫЕ ВЛОЖЕНИЯ, ВЫБОР ТРАНСФОРМАТОРОВ.
Расчёт системы электроснабжения группы потребителей проведён с
использованием программ Microsoft Office, Mathcad, рисунки и чертежи выполнены с
помощью программы КОМПАС-3D V13.
Целью курсового проекта является проектирование сети для электроснабжения
группы потребителей, заключающееся в выборе наиболее экономически
целесообразного варианта сети, отвечающего всем современны требованиям, и
расчёте его основных параметров.
АННОТАЦИЯ
В проекте выбран наиболее экономически целесообразный вариант сети и
рассчитаны её параметры в различных режимах работы. Решение технических задач
текущего проекта построено с использованием современных методик. Оборудование,
предусмотренное к применению в процессе реализации проекта, отвечает всем
необходимым требованиям надёжности и выпускается как российскими, так и
зарубежными производителями. Проект отвечает всем современным требованиям и
нормам.
ВВЕДЕНИЕ
Выполнено учебное проектирование сети для электроснабжения промышленного
района.
Целью проектирования являлась разработка рациональной электропитающей
сети, обеспечивающей надежность и экономичность электроснабжения потребителей и
качество электроэнергии. Эта цель достигалась на основе принципов вариантного
проектирования и оптимизации параметров воздушных линий электропередачи и
трансформаторных подстанций: конфигурации и схемы сети, номинального
напряжения, сечений проводов, числа и мощности трансформаторов.
Выбор наилучшего варианта из трех конкурентоспособных осуществлен
согласно действующим методическим рекомендациям. Для признанной наилучшей
радиально-магистральной сети 110 кВ выполнены: уточненный расчет основных
электрических режимов, проверка достаточности регулировочного диапазона
устройств РПН трансформаторов, уточнение баланса мощности и расстановки
компенсирующих устройств, укрупненный расчет себестоимости передачи
электроэнергии.
1. СОСТАВЛЕНИЕ БАЛАНСА МОЩНОСТИ
сеть электроснабжение
мощность
Активная мощность первого потребителя по условию:
P1=20,2
МВт
Потери активной мощности в линиях и трансформаторах, приходящиеся на
первый потребитель принимаем в размере 5% от потребляемой активной мощности:
Δ P1 = 0,04
P1= 0,04
20,2 = 0,8МВт
Определим полную мощность первого потребителя:
S1 =
=
= 29,7
МВА
Реактивную мощность первого потребителя:
Q1 = S1 sinφ1
sinφ1 =
=0,73
= 29,7
0,73
= 21,6 Мвар
Потери реактивной мощности в трансформаторах
Зарядную мощность линий, а также потери реактивной мощности в линиях не
учитываем. Потери реактивной мощности в трансформаторах первого потребителя
принимаем равными 7% от его полной мощности:
ΔQтр1 = 0,07
S1 = 0,07
29,7 = 2,07 Мвар
Повторяем
эти расчёты для остальных потребителей и заносим результаты в таблицу:
Таблица
1.1 Баланс активной и реактивной мощности
|
Потребитель
|
1
|
2
|
3
|
4
|
5
|
6
|
Итого
|
|
Si,МВА
|
29,7
|
7,5
|
8,8
|
41,7
|
13,4
|
44,4
|
145,5
|
|
Pi,Мвт
|
20,2
|
5
|
6,6
|
28,8
|
5,1
|
26,2
|
91,9
|
|
Δ
Pi, Мвт
|
0,8
|
0,2
|
0,19
|
1,1
|
3,25
|
0,7
|
6,24
|
|
Qi, Мвар
|
21,6
|
4,2
|
3,7
|
21,7
|
11,4
|
28,8
|
91,4
|
|
ΔQтрi,Мвар
|
2,07
|
0,05
|
0,6
|
2,9
|
0,9
|
3,1
|
9,6
|
|
Qky, Мвар
|
16,95
|
2,5
|
2,2
|
15,03
|
9,6
|
23,3
|
68,88
|
|
nky
|
38
|
6
|
4
|
23
|
16
|
26
|
113
|
|
Qi',Мвар
|
4,5
|
1,5
|
1,02
|
6,29
|
1,8
|
5,4
|
20,51
|
По полученным результатам определяем требуемые активную и реактивную
мощности:
Pтреб
= 98,14МВт; Qтреб = 101Мвар
Далее по коэффициенту мощности энергосистемы определяем располагаемую реактивную
мощность:
Qрасп = (Pтреб
- Pтэц)
+ Pтэц
= (98,14 - 33)
0,31 + 33
0,36 = 32,07 Мвар
Определение мощности компенсирующих устройств
Сравнив располагаемую реактивную мощность с требуемой, приходим к выводу,
что имеется дефицит реактивной мощности, и необходима установка компенсирующих
устройств. Определяем необходимую мощность компенсирующих устройств для первого
потребителя:
Qky1 = Q
+ Δ Qтр1 - (P
+ Δ P
) tg
tg
= tg
+
( tg
- tg
) = 0,31 +
(0,36 -
0,31) = 0,32
Qky1 = 21,6 +
2,07 - (20,2 + 0,8)
0,32 = 16,95 Мвар
Выбор компенсирующих устройств
Принимаем к установке компенсирующие устройства типа КРМ(УКЛ)-6,3кВ для №
1,2, 3 и 10,5 кВ для № 4, 5, 6, с единичной мощностью 0,45 Мвар для
потребителей №1,2; 0,67 Мвар для потребителей №3,4; 0,6 Мвар для потребителя №5
и 0,45 Мвар для потребителя №6
n
=
=
= 37,4
38 штук
С
учётом компенсации реактивная мощность первого потребителя составит:
=
- 
= 21,6 -
38
0,45= 4,5 Мвар
Аналогично
проводим расчёты для остальных потребителей, и результаты заносим в таблицу.
Проверка баланса мощности
Определяем новое значение требуемой реактивной мощности и сравниваем его
с располагаемой реактивной мощностью.
=
+
= 30,31
Мвар
Исходя
из расчётов получаем профицит реактивной мощности.
Оценка погрешности баланса мощности
Исходя
из расчётов получаем профицит реактивной мощности. Рассчитанная погрешность
лежит в допустимых пределах, а значит, выбор компенсирующих устройств считаем
правильным.
2. СОСТАВЛЕНИЕ ВАРИАНТОВ КОНФИГУРАЦИИ СЕТИ С АНАЛИЗОМ КАЖДОГО
ВАРИАНТА
.1 Расчет расстояний
Имеется масштаб 1:2000000
Рассчитаем расстояние между объектами и занесем их в таблицу:
Таблица 2.1 - Расстояния между пунктами, км
|
|
РПП1
|
РПП2
|
ТЭЦ
|
1
|
2
|
3
|
4
|
5
|
6
|
|
РПП1
|
-
|
-
|
-
|
-
|
-
|
-
|
-
|
-
|
-
|
|
РПП2
|
120
|
-
|
-
|
-
|
-
|
-
|
-
|
-
|
-
|
|
ТЭЦ
|
30
|
130
|
-
|
-
|
-
|
-
|
-
|
-
|
-
|
|
1
|
116
|
40
|
100
|
-
|
-
|
-
|
-
|
-
|
-
|
|
2
|
70
|
60
|
80
|
50
|
-
|
-
|
-
|
-
|
-
|
|
3
|
92
|
54
|
90
|
20
|
52
|
-
|
-
|
-
|
-
|
|
4
|
54
|
116
|
40
|
90
|
90
|
86
|
-
|
-
|
-
|
|
5
|
128
|
30
|
130
|
42
|
70
|
52
|
122
|
-
|
-
|
|
6
|
114
|
48
|
114
|
36
|
80
|
36
|
100
|
40
|
-
|
2.2 Составление и выбор вариантов конфигурации сети
Сравнение вариантов схем будем проводить по упрощенному
экономическому критерию - удельным капиталовложениям в 1 км линии.
При этом учитываем, что во всех пунктах имеются потребители первой,
второй и третьей категории надёжности. Принимаем, что стоимость сооружения
одного километра двухцепной линии в полтора раза выше, чем одноцепной.
Предполагаем, что стоимость одного выключателя приравнивается к стоимости
сооружения пяти километров воздушной линии электропередачи. При составлении
схем в качестве параметра сравнения будем использовать приведенную длину линий,
которая вычисляется по формуле:
Где
- суммарная длина всех одноцепных ЛЭП,
- суммарная длина всех двухцепных ЛЭП,
- суммарное количество выключателей для данной схемы.
2.2.1 Схема распределительной сети (вариант 1)
Выбираем радиально-магистральную сеть, где объединены между собой РПП1 и
потребители 2,4 и ТЭЦ посредством одноцепных линий. Потребители 1, 3, 5, 6 и
РПП2 так же соединены посредством одноцепной линии. Приведенная длина
получилась наименьшей.
Определяем общую длину линий:
Рисунок
2.1 - Вариант 1
Необходимое количество выключателей складывается из выключателей на
подстанции РПП (по одному выключателю на каждый отходящий фидер), выключателей
на ТЭЦ и выключателей на подстанциях потребителей. Общее количество
выключателей для данного варианта составляет 24.
Приведенная длина линии:
км
Основной недостаток данной схемы - большая протяженность линий.
.2.2 Схема распределительной сети (вариант 2)
Кольцевая сеть, где потребители 5, 6, 3, 2, а также РПП2 и потребитель 5
соединены одноцепной линией. Когда как РПП1 и потребитель 2, ТЭЦ и потребитель
4 - двухцепной линией.
Общая длина линий:
Приведенная
длина составляет:
Рисунок
2.2 - Вариант 2
Основной
недостаток данной схемы - большая протяженность линий.
2.2.3
Схема распределительной сети (вариант 3)
Радиально-магистральная сеть. В данном варианте подстанции ПС1, ПС2, ПС3,
ПС4, ПС5 - проходные, подстанция ПС6 - тупиковая.
Общая длина линий:
Приведенная
длина составляет:
Недостатком
этой схемы является то, что мощность ТЭЦ недогружена, так как активная мощность
потребителя 4 составляет 28,8 МВт, а мощность ТЭЦ - 33 МВт
Рисунок
2.3 - Вариант 3
.2.4
Схема распределительной сети (вариант 4)
Комбинированная
сеть. Данный вариант представляет собой кольцевую сеть, в которой все
потребители, РПП1, РПП2 и ТЭЦ объединены в два больших кольца. От РПП1 в кольце
отходят одна двухцепная линия, это сделано для того, чтобы снизить потери при
аварийном режиме.
Общая
длина составляет:
Общее
количество выключателей -25.
Приведённая
длина:
Рисунок 2.4 - Вариант 4
Недостатком данной схемы является большая потеря напряжения при аварийном
режиме.
.2.5 Схема распределительной сети (вариант 5)
Комбинированная сеть. Выбрана кольцевая сложнозамкнутая сеть.
РПП1, потребитель 2 и 3 объедены в одно кольцо. РПП2, потребители 1,5 и 6
объеденены в кольцо, а от потребителя 6 также отходит фидер к потребителю 4.
Общая длина составляет:
Общее
количество выключателей - 24.
Приведённая
длина:
Рисунок
2.5 - Вариант 5
Недостатками
данной схемы является большая нагруженность ПС6.
.2.6
Схема распределительной сети (вариант 6)
Кольцевая
сеть. Объединим в кольцевую линию потребителей 2, 3, 4, 6, а также вместе с
ними - РПП1 и ТЭЦ. Также имеем еще одно кольцо РПП2 и потребители 1 и 5.
Общая
длина:
Общее
количество выключателей -30.
Приведённая
длина:
Рисунок
2.6 - вариант 6
Недостатками
данной схемы является большая протяженность линий.
.2.7
Схема распределительной сети (вариант 7)
Кольцевая
сеть. Сеть представляет собой объеденные два кольца: первое - РПП1 и 2, 3, 4,
ТЭЦ, второе - РПП2 и 1, 5 и 6. Является продолжением предыдущего варианта.
Общая длина:
Общее
количество выключателей -32.
Приведённая
длинна:
Рисунок
- 2.7 - вариант 7
Недостаток
данного варианта - большие потери в послеаварийном режиме.
.2.8 Схема распределительной сети (вариант 8)
Кольцевая сеть. Сеть представляет собой объеденные два кольца: первое -
РПП1 и 3, 4, ТЭЦ, второе - РПП2 и 2, 1, 5 и 6. Является продолжением
предыдущего варианта.
Общая длина:
Общее
кол-во выключателей - 30.
Приведённая
длина:
Рисунок
2.8 - Вариант 8
Недостаток
схемы - большая протяжённость линии.
2.3 Анализ вариантов схем распределительной сети
Проведем анализ всех рассмотренных вариантов и сведем данные в таблицу:
Таблица 2.2 - Варианты схем
|
№ варианта
|
1
|
2
|
3
|
4
|
5
|
6
|
7
|
8
|
|
, км366378366356500440424464
|
|
|
|
|
|
|
|
|
|
, шт.2433332524303230
|
|
|
|
|
|
|
|
|
|
L, км
|
490
|
553
|
531
|
481
|
620
|
590
|
584
|
614
|
Исходя из приведенной длины, выбираем три лучших варианта:
1. Радиально-магистральный - вариант №1 - 490 км
2. Кольцевой - вариант №2 - 553 км
3. Комбинированный - вариант №4 - 481 км.
3.
ПРЕДВАРИТЕЛЬНЫЙ РАСЧЁТ ВЫБРАННЫХ ВАРИАНТОВ
.1 Расчет радиально-магистральной сети (вариант 1)
.1.1 Расчетная схема этого варианта сети представлена на рис. 3.1. Расчёт
ведём в соответствии с первым законом Кирхгофа
Рисунок 3.1 - Расчётная схема радиально-магистрального варианта 1
МВА
МВА
МВА

Далее с помощью формулы Илларионова определяем величину номинального
напряжения на участках. При этом учитываем, что линию с двухсторонним питанием
целесообразно спроектировать на одно напряжение.
Где L - длина линии, Рц - активная
мощность, приходящаяся на одну цепь линии.
кВ
Принимаем номинальное напряжение для всей линии 110 кВ.
Аналогично проведём расчёты напряжений для всех участков и выберем
номинальные напряжения. Результаты расчетов представлены в таблицу 3.1.
Таблица 3.1 Выбор напряжений для варианта 1
|
Участок
|
L, км
|
Р, МВт
|
Q, Мвар
|
S, МВА
|
U, кВ
|
Uном, кВ
|
|
РПП1-2
|
70
|
24,79
|
18,83
|
31,2
|
44,4
|
110
|
|
2-4
|
90
|
19,79
|
14,63
|
24,7
|
75,4
|
110
|
|
ТЭЦ -4
|
40
|
33
|
11,9
|
35,08
|
137,5
|
110
|
|
РПП2-1
|
40
|
27,3
|
33,1
|
42,9
|
86,2
|
110
|
|
1-3
|
20
|
7,1
|
11,5
|
13,5
|
92,5
|
110
|
|
6-3
|
36
|
13,7
|
15,2
|
20,4
|
105,2
|
110
|
|
5-6
|
40
|
39,9
|
44
|
59,3
|
104,1
|
110
|
|
РПП -5304555,471,344,4110
|
|
|
|
|
|
|
На
участках РПП1-2, РПП
-5 несмотря на полученное по формуле Илларионова
значение напряжения, выбираем напряжение 110 кВ, потому что установка на
подстанции 2 трёхобмоточного трансформатора экономически неоправданно.
.1.3 Выбор сечения проводов линий
Выбираем сечения проводов линий. При этом в качестве основного метода
используем метод экономических интервалов.
Построим номограммы границ экономических интервалов. Будем считать, что
по климатическим условиям район сооружения сети соответствует II району по
гололеду и будут использоваться одноцепные и двухцепные ВЛ на железобетонных
опорах. Стоимости сооружения 1 км линии и активные погонные сопротивления для различных
сечений представлены в таблице 3.2. Они взяты из [3, таблиц. 6.99 и 6.100] с
учетом коэффициента удорожания (принимаем kуд = 70) и из [5, табл. П.1].
Таблица 3.2 Стоимости сооружения 1 км ВЛ и погонные сопротивления
|
Тип линии
|
Стоимость сооружения К0i ,
тыс.руб/км для провода марки:
|
|
АС-70/11
|
АС-95/16
|
АС-120/19
|
АС-150/24
|
АС-185/29
|
АС-240/32
|
|
Одноцепная 110 кВ
|
1022
|
1001
|
917
|
924
|
966
|
1057
|
|
Двухцепная 110 кВ
|
1498
|
1470
|
1428
|
1554
|
1652
|
1750
|
|
Погонное сопротивление, r0i
, Ом/км
|
0,429
|
0,306
|
0,249
|
0,198
|
0,162
|
0,121
|
Как следует из таблицы, стоимость сооружения линий с проводами марок
АС-70/11 и АС-95/16 для одноцепной линии 110 кВ выше, чем с проводами больших
сечений.
Это значит, что при данных ценах сечения 70 мм2 и 95 мм2 экономически
невыгодны, поэтому далее эти сечения для данных случаев не рассматриваем.
3.1.4
Определим наибольшее значение параметра
Примем эффективность капиталовложений E=0,5; стоимость потерь электроэнергии Сэ=0,8 руб./кВт∙ч;
норму отчислений на амортизацию и обслуживание α = 0,03; время наибольших потерь τнб =1000 ч.
[кВт/руб.]1/2
3.1.5
Определим граничный ток для одной из пар сечений, скажем, для Fi=120
мм2
и Fi+1=150 мм2 для двухцепной линии 110 кВ.
А
Граничные
токи для всех остальных пар сечений определяем аналогично. Результаты заносим в
таблицу 3.3:
Таблица
3.3 - Граничные токи между сечениями
|
Пары сечений
|
120/150
|
150/185
|
185/240
|
150/240
|
120/240
|
|
Одноцепная 110 кВ
|
175,7
|
512,3
|
706,7
|
623,4
|
496,1
|
|
Двухцепная 110 кВ
|
745,6
|
782,6
|
733,4
|
756,8
|
752,3
|
Для одноцепной линии 110 кВ определяем граничный ток для пары сечений 150
и 240 мм2.
Для двухцепной линии 110 кВ граничный ток для пары сечений 185 и 240 мм2
получился меньше, чем для пары сечений 150 и 185 мм2. Это означает, что сечение
185 мм2 экономического интервала не имеет. Поэтому определяем граничный ток для
следующих пар сечений: 120 и 150 мм2 , 150 и 240 мм2.
Итак, при данной стоимости сооружения линий для одноцепных линий 110 кВ
могут быть выгодными сечения 120, 150 и 240 мм2. Для двухцепных линий 110 кВ -
120, 185 и 240 мм2. На рисунке 3.2 представлены номограммы экономических
интервалов, построенные по данным таблицы 3.3.
Рисунок 3.2 - Номограммы экономических интервалов
3.1.6
Теперь по построенным номограммам выберем сечения. Для этого нужно найти
значение параметра
и величину тока в каждой цепи в часы наибольших
нагрузок. Для заданного значения числа часов использования максимума Тим = 6300
ч определяем
:
ч
3.1.7 В качестве приемлемого срока окупаемости примем Ток=8 года.
Соответствующая этому сроку окупаемости эффективность капиталовложений
составит:
.1.8
Стоимость потерь электроэнергии принимаем 0,8 руб./кВт∙ч. Норму
отчислений на амортизацию и обслуживание на основании [3, табл.6.32] примем α = 0,03. Тогда найдём
.
0,003кВт/руб.1/2
3.1.9
Вычислим наибольший ток в одной цепи линии РПП
-2:
А
Рисунок 3.3 - Номограмма двухцепной линии 110 кВ
По
номограмме для двухцепной линии 110 кВ определяем, что при
ток 166,8 А попадает в экономический интервал сечения
240 мм2. Следовательно, для этой линии выбираем провод марки АС-120/19.
Определяем некоторые параметры этой линии и ее режима. Активное погонное
сопротивление r0 = 0,121 Ом/км берем из таблицы 4,
реактивное погонное сопротивление x0=0,405 Ом/км определяем по [5.табл.П.4]. Тогда полные сопротивления
линии определим по формулам:
Ом;

Ом;
3.1.10 Потери мощности в линии:
МВт.
3.1.11 Потери напряжения в нормальном и наиболее тяжелом послеаварийном
режиме:


кВ
или
кВ или
1,48%
Отметим, что потеря напряжения в послеаварийном режиме соизмерима с
пределами регулирования напряжения устройств РПН трансформаторов 110 кВ [3.
табл. 6.48], составляющими ±9∙1,78 = ±16,02%.
Выбор сечений проводов и их проверка, а также определение некоторых
параметров для других линий произведены аналогично. Результаты расчетов
помещены в табл. 3.4:
Таблица 3.4 Выбранные сечения и некоторые параметры линий
радиально-магистральной сети
Общие потери мощности ΔРΣ = 8,72 МВт.
Суммарные потери напряжения ΔUΣ=15,98 %
Пределы регулирования РПН превышают требуемые.
3.1.12 Падение U до
наиболее удаленного потребителя 6 равна
%
Пределы
регулирования РПН превышают требуемые.
.1.13 Расчет послеаварийного режима
Наиболее тяжёлый послеаварийный режим возникает при обрыве 1 цепи участка
РПП1-2. При этом ток на участке увеличится в 2 раза и станет 332,6 А. Данный
ток меньше допустимого (390А).
3.1.14 Выбор трансформаторов на подстанциях потребителей
Согласно заданию имеются потребители 1, 2 и 3категории. Поэтому
предусматриваем установку двух или одного трансформаторов. Номинальная мощность
трансформаторов должна удовлетворять условиям:
Sном ≥
Sном ≥
Для потребителей 1 и 2 категории т. е. ПС1, ПС2, ПС3, ПС4, ПС5 и ПС6.
Для ПС1:
МВА;
МВА.
Выбираем
2 трансформатора ТДН 16000/110/10 мощностью 16 МВА.
Для
ПС2:
МВА;
МВА.
Выбираем
2 трансформатора ТМН 6300/110/10 мощностью равной 6,3 МВА.
Для
ПС3:
МВА;
МВА.
Выбираем
2 трансформатора ТМН 6300/110/10 мощностью равной 6,3 МВА.
Для
ПС4:
МВА;
МВА.
Выбираем
2 трансформатора ТДН 16000/110/10 мощностью 16 МВА.
Для
ПС5:
МВА;
МВА.
Выбираем
1 трансформатор ТДН 10000/110/10 мощностью 10 МВА.
Для
ПС6:
[МВА];
[МВА].
Выбираем
2 трансформатора ТДН 16000/110/10 мощностью 16 МВА.
.2 Расчет кольцевой сети (вариант 2)
Расчетная схема этого варианта сети представлена на рисунке 3.4.
Расчет потокораспределения линии проводим, начиная с участка РПП1-ТЭЦ,
отдельно по активной и реактивной мощности:
МВА
Рассчитаем
первое кольцо:
МВА
МВА
МВА
МВА
МВА
МВА
МВА
Рисунок 3.4 - Расчётная схема кольцевого варианта
3.2.1 Результаты помещаем в таблицу 3.5, а также наносим на расчетную
схему. Далее, с помощью формулы Илларионова определяем величину номинального
напряжения на участках. При этом учитываем, что линию с двухсторонним питанием
(кольцевую линию) целесообразно спроектировать на одно напряжение. Целесообразную
величину напряжения определяем по наиболее загруженному головному участку
РПП1-ТЭЦ.
кВ
Принимаем номинальное напряжение для всей линии 110 кВ.
Аналогично проведём расчёт напряжения для остальных участков и выберем номинальное
напряжение. Результаты расчетов помещены в таблицу 3.5.
Таблица 3.5 - Выбор напряжений для варианта 2
Выбор сечений проводов произведен методом экономических интервалов
аналогично п. 3.1. Результаты расчетов представлены в таблице 3.6. Там же
приведены результаты расчета параметров сети и некоторых параметров нормального
режима.
Таблица 3.6 - Выбранные сечения и некоторые параметры линий кольцевой
сети
Общие потери напряжения в нормальном режиме составляет ΔU = 19,2%.
3.2.2 Расчет послеаварийного режима
Наиболее тяжёлый послеаварийный режим имеет место после выхода из строя
наиболее загруженного участка РПП2-2 и РПП1-ТЭЦ.
.2.3 Определим потери напряжения в после аварийном режиме. Результаты
сведём в таблице 3.7
Таблица 3.7 Потери напряжения в послеаварийном режиме
|
Участок
|
ТЭЦ-4
|
РПП -4 ,%
|
|
|
|
ΔU,%
|
2,3
|
0,89
|
3,19
|
|
|
Участок
|
2-3
|
3-1
|
1-6
|
6-5
|
РПП -5 ,%
|
|
|
ΔU,%
|
1,09
|
0,77
|
1,7
|
3,1
|
3,5
|
10,16
|
|
|
|
|
|
|
|
|
|
|
|
|
.2.4 Выбор трансформаторов на подстанциях потребителей
Условия для выбора номинальной мощности трансформаторов остаются такими
же, как в п. 3.1.
Для ПС1:
МВА;
МВА.
Выбираем
2 трансформатора ТДН 16000/110/10 мощностью 16 МВА.
Для
ПС2:
МВА;
МВА.
Выбираем
2 трансформатора ТМН 6300/110/10 мощностью равной 6,3 МВА.
Для
ПС3:
МВА;
МВА.
Выбираем
2 трансформатора ТМН 6300/110/10 мощностью равной 6,3 МВА.
Для
ПС4:
МВА;
МВА.
Выбираем
2 трансформатора ТДН 16000/110/10 мощностью 16 МВА.
Для
ПС5:
МВА;
МВА.
Выбираем
1 трансформатор ТДН 10000/110/10 мощностью 10 МВА.
Для
ПС6:
[МВА];
[МВА].
Выбираем
2 трансформатора ТДН 16000/110/10 мощностью 16 МВА.
.3 Расчет комбинированной сети (вариант 4)
Расчетная схема этого варианта сети представлена на рисунке 3.6.
Рисунок 3.6 - Расчётная схема комбинированного варианта
Расчет потокораспределения линии проводим, начиная с участка РПП1-ТЭЦ,
отдельно по активной и реактивной мощности:
МВА
МВА
МВА
МВА
МВА
МВА
МВА
МВА
МВА
.3.1 Результаты помещаем в таблицу 3.8, а также наносим на расчетную
схему. Далее, с помощью формулы Илларионова определяем величину номинального
напряжения на участках. При этом учитываем, что линию с двухсторонним питанием
(кольцевую линию) целесообразно спроектировать на одно напряжение.
Целесообразную величину напряжения определяем по наиболее загруженному
головному участку РПП1-ТЭЦ.
кВ
Принимаем номинальное напряжение для всей линии 110 кВ.
Аналогично проведём расчёт напряжения для остальных участков и выберем
номинальное напряжение. Результаты расчетов помещены в таблицу 3.8.
Таблица 3.8 - Выбор напряжений для варианта 4
Выбор сечений проводов произведен методом экономических интервалов
аналогично п. 3.1. Результаты расчетов представлены в таблице 3.9. Там же
приведены результаты расчета параметров сети и некоторых параметров нормального
режима.
Таблица 3.9 Выбранные сечения и некоторые параметры линий комбинированной
сети
Общие потери напряжения в нормальном режиме составляет ΔU = 27,54%.
Общие потери мощности ΔРΣ = 5,34 МВт
3.3.2 Расчет послеаварийного режима
Наиболее тяжёлый послеаварийный режим имеет место после выхода из строя
наиболее загруженного участка.
Рис.3.7 Схема послеаварийного режима для варианта 4
Далее, начнем расчет схемы:
МВА
МВА
МВА
МВА
МВА
МВА
Определим потери напряжения в после аварийном режиме. Результаты сведём в
таблицу 3.10.
Таблица 3.10 - Потери напряжения в послеаварийном режиме
|
Участок
|
ТЭЦ-4
|
РПП1-4
|
РПП2-5
|
2-1
|
1-3
|
6-3
|
,%
|
|
ΔU,%
|
2,3
|
0,89
|
1,6
|
6,9
|
1,8
|
3,9
|
15,9
|
.3.3 Выбор трансформаторов на подстанциях потребителей
Условия для выбора номинальной мощности трансформаторов остаются такими
же, как в п. 3.1.
Для ПС1:
МВА;
МВА.
Выбираем
2 трансформатора ТДН 16000/110/10 мощностью 16 МВА.
Для
ПС2:
МВА;
МВА.
Выбираем
2 трансформатора ТМН 6300/110/10 мощностью равной 6,3 МВА.
Для
ПС3:
МВА
МВА.
Выбираем
2 трансформатора ТМН 6300/110/10 мощностью равной 6,3 МВА.
Для
ПС4:
МВА;
МВА.
Выбираем
2 трансформатора ТДН 16000/110/10 мощностью 16 МВА.
Для
ПС5:
МВА;
МВА.
Выбираем
1 трансформатор ТДН 10000/110/10 мощностью 10 МВА.
Для
ПС6:
[МВА].
Выбираем
2 трансформатора ТДН 16000/110/10 мощностью 16 МВА.
4. ТЕХНИКО-ЭКОНОМИЧЕСКОЕ ОБОСНОВАНИЕ ПРОЕКТА
.1 Допущения для вариантов схем
В качестве примеров предварительного расчета рассмотрены расчеты
вариантов 1, 2 и 4, отобранных в п. 3. Они представляют собой радиально-магистральную
сеть, кольцевую сеть и комбинированную. Исходные данные для оценки
экономической эффективности этих вариантов взяты из предыдущих расчётов.
Технико-экономический расчёт проводим в соответствии с методикой,
изложенной в [11].
Для всех вариантов делаем следующие допущения.
. Сооружение сети продолжается 3 года. Инвестирование проекта
осуществляется за счет собственных и заемных средств. Распределение капитальных
вложений по годам принимаем следующим:
первый год - 60000 тыс. руб./ год (собственные средства);
второй год - 30000 тыс. руб./год (заемные средства).
третий год - оставшиеся капитальные вложения (заемные средства).
Плата за кредит - 25% годовых. Погашение кредита начинается на 4 год
после начала строительства. Погашение производится равными долями в течение 5
лет (по 20% в год).
.Частичная эксплуатация сети начинается через год после начала
строительства. На первом году эксплуатации потребителям будет отпущено 50%, на
2-ом - 80%, на 3-ем - все расчетное количество. В последующие годы отпуск
электроэнергии потребителям остается неизменным.
. Горизонт расчета принимаем 15 лет. Шаг расчета устанавливаем 1 год.
. Тариф на покупаемую электроэнергию (на шинах подстанций энергосистемы
110 кВ) для шага 0 принимаем 2,28 руб./кВт·ч. Принимаем также, что в
последующие годы тариф на покупаемую электроэнергию растет на 1% в год. Тариф
на электроэнергию, отпускаемую потребителям, принимаем на 10% выше.
. Норму дисконта принимаем равной 0,15.
. Норму отчислений на эксплуатацию принимаем 6% на все оборудование.
. Для оценки требуемых капитальных вложений будем пользоваться
укрупненными показателями стоимости на 1990 год. Для учета последующего
изменения цен введем коэффициент удорожания и примем его равным 30.
. Инфляцию не учитываем.
.2 Расчёт чистого дисконтированного дохода при сооружении
радиально-магистральной сети
Стоимость сооружения линии РПП1-2 составит:
Здесь
- стоимость сооружения 1 км одноцепной ВЛ-110 кВ на
железобетонных опорах с проводами марки АС-120/19 для III
района по гололеду, по [2, табл. 6.98];
-
протяженность линии РПП1-2;
-
коэффициент удорожания.
тыс. руб.
Стоимость
сооружения остальных линий определяем аналогично. Результаты сводим в таблицу
4.1.
Таблица
4.1 - Капитальные вложения в ВЛ радиально-магистральной сети
|
Линия
|
Uном, кВ
|
Кол-во цепей
|
Марка провода
|
К0, тыс. руб./км
|
L, км
|
КВЛ, тыс. руб.
|
|
РПП1-2
|
110
|
1
|
АС-120/19
|
13,1
|
70
|
27510
|
|
2-4
|
110
|
1
|
АС-120/19
|
13,1
|
90
|
35370
|
|
ТЭЦ -4
|
110
|
1
|
АС-120/19
|
13,1
|
40
|
15720
|
|
РПП2-1
|
110
|
1
|
АС-120/19
|
13,1
|
40
|
15720
|
|
1-3
|
110
|
1
|
АС-120/19
|
13,1
|
20
|
7860
|
|
3-6
|
110
|
1
|
АС-120/19
|
13,1
|
36
|
14148
|
|
6-5
|
110
|
1
|
АС-240/32
|
15,1
|
40
|
15720
|
|
РПП -5132048
|
|
Определяем капитальные вложения в подстанции.
Стоимость сооружения ПС1 определяем с использованием [2. Таблицы 6.134].
тыс. руб.
Стоимость
сооружения остальных ПС определяем аналогично. Результаты сводим в таблицу 4.2.
Таблица
4.2 - Капитальные вложения в подстанции радиально-магистральной сети
|
ПС
|
Uном, кВ
|
nтр
|
Sтр ном, кВА
|
Ктр, тыс. руб.
|
КПС, тыс. руб.
|
|
1
|
110/10
|
2
|
16000
|
4410
|
8820
|
|
2
|
110/10
|
2
|
6300
|
3430
|
6860
|
|
3
|
110/10
|
2
|
16000
|
4410
|
8820
|
|
4
|
110/10
|
1
|
16000
|
4410
|
4410
|
|
5
|
110/10
|
1
|
10000
|
3780
|
3780
|
|
6
|
110/10
|
2
|
6300
|
3430
|
6860
|
|
РПП1
|
Ячейка 110 кв с
выключателем (элегазовый) 3 шт.
|
87600
|
|
РПП2
|
Ячейка 110 кв с
выключателем (элегазовый) 4 шт.
|
116800
|
|
|
|
|
ТЭЦ
|
Ячейка 110 кв с
выключателем (элегазовый) 1 шт.
|
29200
|
|
Итого, подстанции:
|
273150
|
Общие капитальные вложения в сооружение электрической сети:
тыс. руб.
Разбиваем
эти капитальные вложения по годам строительства. В денежном выражении это
составляет 202599 тыс. руб./год, 116300 тыс. руб./год и 86299 тыс. руб./год.
Вносим их в первую строку таблицы 4.3.
Остальные
расчеты проводим в таблице 4.3.
Во
вторую строку таблицы помещаем платежи в счет погашения кредита и процентов за
него. Погашение кредита производится с 3-го по 7-й шаг по 20% от суммы займа,
т. е. по 80 039 тыс. руб./год
В
третью строку вписываем процентные платежи за кредит. На шаге 0 плата за кредит
отсутствуют, т. к. были использованы только собственные средства. На шаге 1
проценты за кредит составляют 25% от капитальных вложений, сделанных на шаге 1,
поскольку это уже заёмные средства. Это составляет 50649 тыс. руб/год.
Соответственно, проценты за кредит на шагах 2 и 3 составляют 25% от суммы
капитальных вложений на шагах 1 и 2, то есть 29075 тыс. руб/год. Начиная с шага
4 и до шага 7 включительно в результате постепенного погашения кредита процентные
платежи за кредит ежегодно снижаются на 20% (то есть на 9147,7тыс. руб/год).
Далее
для каждого шага определяем отчисления на обслуживание из расчета 6% от всех
капитальных вложений, сделанных за предыдущие годы, и заполняем четвертую
строку таблицы 4.3.
В
пятую строку таблицы вносим тариф на электроэнергию.
Затраты
на покупку электроэнергии (шестая строка таблицы) определяем по формуле:
Здесь
- тариф на электроэнергию; на шаге 1 равен 2,28 руб.
/кВт·ч.
K - коэффициент,
учитывающий изменение объема покупаемой электроэнергии по годам. В соответствии
с принятыми допущениями на шаге 1 и 2 он равен 0,5 и 0,8 соответственно. На
шаге 3 и на последующих шагах k = 1,0.
На
шаге 1 затраты на покупку электроэнергии составят:
тыс.
руб/год.
В
седьмую строку таблицы помещаем общие затраты. Они определяются суммированием
данных второй, третьей, четвертой и шестой строк.
В
восьмую строку помещаем результаты, получаемые от реализации проекта. В данном
случае единственный результат работы электрической сети - это выручка от
продажи электроэнергии потребителям. Ее определяем по формуле:
На шаге 1 выручка от продажи электроэнергии потребителям составит:
тыс.
руб/год
Выручка
от продажи электроэнергии потребителям на шаге 2, 3 и далее рассчитываются
аналогично.
Приведенный
эффект на каждом шаге расчета определяем, вычитая из результата общие затраты
(без капитальных вложений), и заполняем девятую строку таблицы.
В
десятую строку помещаем значения коэффициента дисконтирования.
И, наконец, в последней строке таблицы определяем на каждом шаге чистый
дисконтированный доход. На шаге 0 он отрицательный и равен капитальным
вложениям. На шаге 1 к нему добавляется приведенный эффект (с учетом
дисконтирования):
-191397,7тыс.
руб.
Капитальные вложения на шаге 1 и 2 не учитываем, так как они сделаны за
счет заемных средств.
Расчеты на остальных шагах производим аналогично.
Чистый дисконтированный доход для этого варианта, то есть для
радиально-магистральной сети, за все 15 шагов составит 204287.1
тыс. руб. Срок окупаемости Ток=10 лет.
4.3 Расчёт чистого дисконтированного дохода при сооружении кольцевой сети
Повторяем расчет для варианта 2 (кольцевая сеть). Расчет стоимости
сооружения линий проводим аналогично п. 4.2. Результаты сводим в табл. 4.4 и табл.
4.5.
Таблица 4.4 Капитальные вложения в ВЛ кольцевой сети
|
Линия
|
Uном,кВ
|
Кол-во цепей
|
Марка провода
|
К0, тыс.руб/км
|
L,км
|
Квл,тыс.руб.
|
|
РПП1-ТЭЦ
|
110
|
1
|
AC-240/32
|
15,1
|
30
|
13590
|
|
ТЭЦ-4
|
110
|
1
|
AC-150/24
|
13,2
|
40
|
15840
|
|
РПП -41101AC-120/1913,15421222
|
|
|
|
|
|
|
|
РПП2-2
|
110
|
1
|
AC-150/24
|
13,2
|
60
|
23760
|
|
2-3
|
110
|
1
|
AC-185/29
|
13,8
|
52
|
21528
|
|
3-1
|
110
|
1
|
AC-120/19
|
13,1
|
20
|
7860
|
|
1-6
|
110
|
1
|
AC-150/24
|
13,2
|
36
|
14256
|
|
6-5
|
110
|
1
|
AC-185/29
|
13,8
|
40
|
16560
|
|
РПП -51101АС-120/1913,13011790
|
|
|
|
|
|
|
|
Итого,воздушные линии
|
|
|
|
132951
|
Таблица 4.5 Капитальные вложения в подстанции кольцевой сети
|
Капитальные вложения в
подстанции кольцевой сети
|
|
ПС
|
Uном кВ
|
nтр
|
Sтр ном, кВА
|
К, тыс.руб.
|
Кпс, тыс.руб.
|
|
1
|
110/10
|
2
|
16000
|
4410
|
8820
|
|
2
|
110/10
|
2
|
6300
|
3430
|
6860
|
|
3
|
110/10
|
2
|
16000
|
4410
|
8820
|
|
4
|
110/10
|
1
|
16000
|
4410
|
4410
|
|
5
|
110/10
|
1
|
10000
|
3780
|
3780
|
|
6
|
110/10
|
2
|
6300
|
3430
|
6860
|
|
РПП1
|
Ячейка 110 кв с
выключателем (элегазовый) 4 шт.
|
116800
|
|
|
|
|
РПП2
|
Ячейка 110 кв с
выключателем (элегазовый) 2 шт.
|
58400
|
|
ТЭЦ
|
Ячейка 110 кв с
выключателем (элегазовый) 3 шт.
|
87600
|
|
Итого, подстанции
|
302350
|
Общие капитальные вложения в сооружение электрической сети:
тыс. руб.
Разбиваем
эти капитальные вложения по годам строительства. В денежном выражении это
составляет 217651 тыс. руб./год, 128825 тыс. руб./год и 88825 тыс. руб./год.
Вносим их в первую строку таблицы 17.
Вносим
их в первую строку таблицы 4.6. Остальные расчеты экономической эффективности
этого варианта производим в табл. 4.6 аналогично варианту с
радиально-магистральной сетью.
Чистый
дисконтированный доход для этого варианта, то есть для кольцевой сети, за все
15 шагов составит 1796182,9 тыс. руб. Срок
окупаемости Ток=3 года.
4.4 Расчёт чистого дисконтированного дохода при сооружении
комбинированной сети
Повторяем расчет для варианта 4 (комбинированная сеть). Расчет стоимости
сооружения линий проводим аналогично п. 4.2, с использованием [2, таблицы
6.99]. Результаты сводим в таблицу 4.7.
Таблица 4.7 Капитальные вложения в ВЛ комбинированной сети
|
Линия
|
Uном,кВ
|
Кол-во цепей
|
Марка провода
|
К0, тыс.руб/км
|
L,км
|
Квл,тыс.руб.
|
|
РПП1-ТЭЦ
|
110
|
1
|
AC-240/32
|
15,1
|
30
|
13590
|
|
ТЭЦ-4
|
110
|
1
|
AC-120/19
|
13,1
|
40
|
15840
|
|
РПП -41101AC-150/2413,25421222
|
|
|
|
|
|
|
|
РПП2-5
|
110
|
1
|
AC-185/29
|
13,8
|
30
|
12420
|
|
РПП2-2
|
110
|
1
|
AC-150/24
|
13,2
|
60
|
23760
|
|
2-1
|
110
|
1
|
AC-120/19
|
13,1
|
50
|
19650
|
|
1-3
|
110
|
1
|
AC-240/32
|
15,1
|
20
|
9060
|
|
3-6
|
110
|
AC-240/32
|
15,1
|
36
|
16308
|
|
1 -61101AC-240/3215,13616308
|
|
|
|
|
|
|
|
Итого, воздушные линии
|
|
|
|
148158
|
Таблица 4.8 Капитальные вложения в подстанции комбинированной сети
|
Капитальные вложения в
подстанции комбинированной сети
|
|
ПС
|
Uном кВ
|
nтр
|
Sтр ном, кВА
|
К, тыс.руб.
|
Кпс, тыс.руб.
|
|
1
|
110/10
|
2
|
16000
|
4410
|
8820
|
|
2
|
110/10
|
2
|
6300
|
3430
|
6860
|
|
3
|
110/10
|
2
|
16000
|
4410
|
8820
|
|
4
|
110/10
|
1
|
16000
|
4410
|
4410
|
|
5
|
110/10
|
1
|
10000
|
3780
|
3780
|
|
6
|
110/10
|
2
|
6300
|
3430
|
6860
|
|
РПП1
|
Ячейка 110 кв с
выключателем (элегазовый) 2 шт.
|
58400
|
|
|
|
|
РПП2
|
Ячейка 110 кв с
выключателем (элегазовый) 3 шт.
|
87600
|
|
|
|
|
ТЭЦ
|
Ячейка 110 кв с
выключателем (элегазовый) 1 шт.
|
29200
|
|
Итого, подстанции
|
214750
|
Общие капитальные вложения в сооружение электрической сети:
тыс. руб.
Разбиваем
эти капитальные вложения по годам строительства. В денежном выражении это
составляет 181454 тыс. руб./год, 101227 тыс. руб./год и 80227 тыс. руб./год.
Вносим их в первую строку таблицу 4.9.
Вносим
их в первую строку таблицу 4.9. Остальные расчеты экономической эффективности
этого варианта производим в таблицу 4.9 аналогично варианту с
радиально-магистральной сетью.
Чистый
дисконтированный доход для этого варианта, то есть для комбинированной сети, за
все 15 шагов составит 470444,5 тыс. руб. Срок
окупаемости Ток=9 лет.
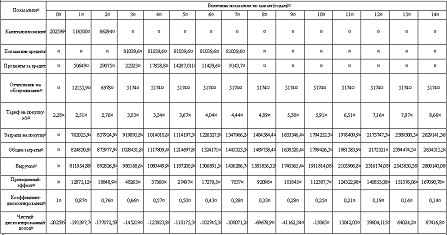
Таблица 4.3 - Расчёт чистого дисконтированного дохода при сооружении
радиально-магистральной сети
Таблица 4.6 - Расчёт чистого дисконтированного дохода при сооружении
кольцевой сети
Таблица 4.9 - Расчёт чистого дисконтированного дохода при сооружении
комбинированной сети
.5 Чтобы провести анализ, ведем основные технико-экономические
характеристики вариантов в таблицу 4.10.
Таблица 4.10 - Выбор лучшего варианта схемы
|
Тип схемы (№ варианта)
|
Радиально-магистральная(1)
|
Кольцевая(2)
|
Комбинированная(4)
|
|
Суммарный доход
|
204287.1
|
1796182,9
|
470444,5
|
|
Срок окупаемости
|
10
|
3
|
9
|
Как следует из полученных результатов, наибольшей экономической
эффективностью обладает вариант 2, то есть кольцевая сеть.
5. УТОЧНЁННЫЙ РАСЧЕТ РЕЖИМОВ ВЫБРАННОГО ВАРИАНТА
Уточнённый расчёт будем вести для
варианта 2, то есть для кольцевой сети.
Прежде всего, определяем зарядную мощность воздушных линий. Для линии
РПП2-4 половина зарядной мощности составит:
РПП1-ТЭЦ:
Мвар.
Величина погонной реактивной проводимости линии b0 взята по
[4, табл. П4] для ВЛ-110 кВ с проводом марки АС-240/32. Расчет
зарядных мощностей для остальных линий произведем аналогично и результаты
занесём в таблицу 5.1.
Таблица 5.1 - Расчет зарядных мощностей ВЛ
|
Участок
|
Uном, кВ
|
L, км
|
nц
|
Провод
|
b0·10-6, См
|
Qзар/2, Мвар
|
|
РПП1-ТЭЦ
|
110
|
30
|
1
|
АС-240/32
|
2,81
|
0,51
|
|
ТЭЦ-4
|
110
|
40
|
1
|
АС-120/19
|
2,66
|
0,64
|
|
РПП -4110541АС-150/242,70,88
|
|
|
|
|
|
|
|
РПП2-2
|
110
|
60
|
1
|
АС-185/29
|
2,75
|
0,99
|
|
2-3
|
110
|
52
|
1
|
АС-150/24
|
2,7
|
0,84
|
|
3-1
|
110
|
20
|
1
|
АС-120/19
|
2,66
|
0,32
|
|
6-1
|
110
|
36
|
1
|
АС-240/32
|
2,81
|
0,61
|
|
5-6
|
110
|
40
|
1
|
АС-240/32
|
2,81
|
0,68
|
|
РПП -5110301АС-240/322,810,51
|
|
|
|
|
|
|
5.1 Уточненный расчет режима наибольших нагрузок
.1.1 Определяем расчетную нагрузку подстанций для этого режима. На ПС1
установлены 2 трансформатора ТДН-16000/110. В соответствии со справочными
данными [4, табл. П7] активные потери холостого хода одного такого
трансформатора ΔРх=19 кВт, реактивные ΔQх=112 квар. Определяем нагрузочные
потери в подстанции:
МВА.
.1.2
Расчетная нагрузка подстанции составит
Расчетные
нагрузки остальных подстанций определены аналогично. Результаты сведены в табл.
5.2.
Таблица
5.2 - Расчетные нагрузки подстанций в режиме наибольших нагрузок
|
ПС
|
Pнб. МВт
|
Qнб. Мвар
|
dPпс. КВт
|
dQпс. Квар
|
dPx. КВт
|
dQx. Квар
|
∑Qзар/2. Мвар
|
Pрасч. МВт
|
Qрасч. Мвар
|
|
1
|
20,2
|
29,7
|
0,03
|
2,46
|
0,019
|
0,112
|
0,93
|
59,21
|
254,8
|
|
2
|
5
|
4,2
|
0,01
|
0,62
|
0,0115
|
0,0504
|
1,83
|
43,25
|
226,89
|
|
3
|
6,6
|
3.7
|
0,02
|
1,33
|
0,019
|
0,112
|
1,16
|
44,93
|
227,1
|
|
4
|
28,8
|
21,7
|
0,04
|
3,94
|
0,019
|
0,112
|
1,52
|
68,24
|
247,08
|
|
5
|
5,1
|
11,4
|
0,04
|
3,03
|
0,014
|
0,07
|
1,19
|
43,35
|
235,14
|
|
6
|
26,2
|
28,8
|
0,02
|
1,02
|
0,0115
|
0,0504
|
1,29
|
65,51
|
254,61
|
5.1.3 Расчет потокораспределения начнем с участка РПП1-ТЭЦ
МВА
МВА
МВА(5.6)
Расчеты по остальным участкам производим аналогично. Результаты помещаем
в таблицу 5.3. Теперь производим расчет потери напряжения и напряжения на шинах
110 кВ всех потребителей.
Напряжение на шинах источников для режима наибольших нагрузок принимаем
увеличенным на 3%, то есть 113,3кВ.
.1.4 Потери напряжения на участке ТЭЦ-4 рассчитаем по формуле:
кВ.
.1.5
Напряжение на шинах ВН:
кВ
Расчеты
по остальным участкам производим аналогично. Результаты помещаем в таблицу 5.3.
Таблица
5.3 - Расчет режима наибольших нагрузок
|
Участок
|
Pк. Мвт
|
Qк. Мвар
|
R. Ом
|
X. Ом
|
dP. Вт
|
dQ. Мвар
|
Pн. МВт
|
Qн. Мвар
|
dU. кВ
|
|
РПП1-ТЭЦ
|
20
|
19,1
|
3,63
|
12,1
|
0,02
|
0,08
|
20,7
|
19,5
|
2,08
|
|
ТЭЦ-4
|
53
|
31
|
9,96
|
17,08
|
0,04
|
0,07
|
53,2
|
31,5
|
2,18
|
|
РПП -424,29,313,423,050,440,9424,79,88,7
|
|
|
|
|
|
|
|
|
|
|
РПП2-2
|
29,8
|
35,6
|
7,26
|
2,9
|
0,82
|
1,89
|
31,1
|
35,9
|
3,6
|
|
2-3
|
24,8
|
31,4
|
6,29
|
24,9
|
0,68
|
1,31
|
25,1
|
31,6
|
10,9
|
|
3-1
|
18,2
|
27,7
|
2,42
|
21,06
|
0,45
|
0,84
|
18,6
|
28
|
7.5
|
|
6-1
|
38,4
|
49,3
|
8,9
|
8,54
|
0,36
|
1,23
|
38,7
|
50
|
1,7
|
|
5-6
|
64,6
|
78,1
|
6,48
|
16,52
|
0,12
|
0,40
|
65,1
|
78,4
|
3,05
|
|
РПП -569,789,53,6312,10,421,4970,0189,73,45
|
|
|
|
|
|
|
|
|
|
Общие потери мощности в этом режиме: ΔРΣ=3,36 МВт.
Суммарные потери напряжения: ∆U=43,1%
.1.6 Проверяем достаточность регулировочного диапазона устройств РПН.
Для этого на ПС4 сначала определяем низшее напряжение, приведенное к
высшему:
кВ
Принимаем
желаемое напряжение на шинах низшего напряжения для режима наибольших нагрузок
на 3% выше номинального значения, то есть 10,4 кВ, и определяем желаемый
коэффициент трансформации:
.1.7
По каталожным данным трансформатора определяется номер регулировочного
ответвления устройства РПН, на котором обеспечивается желаемый коэффициент
трансформации:
Принимаем
n=2 и определяем действительное напряжение на шинах
низшего напряжения ПС4 в режиме наибольших нагрузок:
Для
остальных подстанций расчеты проведены аналогично в таблице 5.4.
Таблица
5.4 - Проверка достаточности диапазона РПН
|
ПС
|
n тр
|
S ном
|
Uв ном. кВА
|
Uн ном. кВ
|
Uв. кВ
|
U'н. кВ
|
n
|
Uдействит. кВ
|
2
|
16
|
115
|
11
|
110,27
|
106,39
|
-1
|
10,36
|
|
2
|
2
|
6,3
|
115
|
11
|
107,64
|
104,48
|
-2
|
10,36
|
|
3
|
2
|
16
|
115
|
11
|
112,37
|
109,58
|
1
|
10,30
|
|
4
|
1
|
16
|
115
|
11
|
112,92
|
109,71
|
2
|
10,13
|
|
5
|
1
|
10
|
115
|
11
|
106,33
|
102,44
|
-3
|
10,35
|
|
6
|
2
|
6,3
|
115
|
11
|
110,50
|
106,85
|
-1
|
10,41
|
Как видно из таблиц, диапазон регулирования устройств РПН достаточен для
обеспечения у потребителей необходимого уровня напряжения в этом режиме.
.2 Уточненный расчет режима наименьших нагрузок
.2.1 Определяем нагрузки потребителей в этом режиме. Согласно заданию,
активная мощность снижается на 30%, а tgφ увеличивается на 0,03. Тогда для
первого потребителя:
МВт;
Мвар
Расчетная
нагрузка этой подстанции, а также нагрузки остальных подстанций определяются
аналогично. Результаты расчета сведены в табл.5.5.
Таблица
5.5 - Расчетные нагрузки подстанций в режиме наименьших нагрузок
.2.2 Проверка целесообразности отключения одного из трансформаторов
Проверяем целесообразность отключения одного из трансформаторов, например
трансформатора ТДН-16000/110 на ПС1:
МВА
Для
двух других трансформаторов расчет выполним аналогично и результаты занесем в
таблицу 5.5:
Таблица
5.5. - Значения мощности при отключении одного трансформатора
|
Трансформатор
|
ТМН-6300/110
|
ТДН-10000/110
|
ТДН-16000/110
|
|
Sоткл, МВА
|
4,55
|
6,83
|
10,7
|
Исходя из данных таблицы можно сделать вывод, что целесообразным может
быть отключение одного из трансформаторов на ПС1 (ТДН-16000/110), на
ПС5(ТДН-10000/110), ПС2 (ТМН-6300/110), т.к. на этих подстанциях значения
мощности Sоткл выше значения мощности нагрузки
.
Расчет потокораспределения произведём аналогично п.5.1. и результаты
занесем в таблицу 5.6. Расчет электрического режима сети и проверка
достаточности регулировочного диапазона РПН выполняются аналогично п.5.1. При
этом напряжение на шинах источников для режима наименьших нагрузок принимаем
увеличенным на 3%, то есть 113,3 кВ.
Результаты расчета сведены в таблицу 5.6 и 5.7.
Таблица 5.6 - Расчет режима наименьших нагрузок
Общие потери мощности в этом режиме: ΔРΣ=1,645 МВт.
Суммарные потери напряжения: ∆U =43,1 кВ.
Таблица 5.7 - Проверка достаточности диапазона РПН
|
ПС
|
n тр
|
S ном
|
Uв ном. кВА
|
Uн ном. кВ
|
Uв. кВ
|
U'н. кВ
|
n
|
Uдействит. кВ
|
К жел
|
n расч
|
|
1
|
2
|
16
|
115
|
11
|
113,85
|
110,93
|
-2
|
11,00
|
10,08
|
-1,99
|
|
2
|
2
|
6,3
|
115
|
11
|
110,03
|
107,63
|
-4
|
11,08
|
9,78
|
-3,60
|
|
3
|
2
|
16
|
115
|
11
|
112,72
|
110,55
|
-3
|
11,17
|
10,05
|
-2,17
|
|
4
|
1
|
16
|
115
|
11
|
113,07
|
110,56
|
-2
|
10,97
|
10,05
|
-2,17
|
|
5
|
1
|
10
|
115
|
11
|
116,28
|
113,53
|
1
|
10,67
|
10,32
|
-0,72
|
|
6
|
2
|
6,3
|
115
|
11
|
110,22
|
107,38
|
-4
|
11,06
|
9,76
|
-3,72
|
Как видно из таблиц, диапазон регулирования устройств РПН достаточен для
обеспечения у потребителей необходимого уровня напряжения в этом режиме.
.3 Уточненный расчет послеаварийного режима
В качестве наиболее тяжелого послеаварийного режима выбираем режим,
возникающий в часы наибольших нагрузок при выводе в ремонт одной цепи участка
РПП1-2. В результатате, сопротивление на этом участке увеличивается вдвое, а
расчетная нагрузка ПС2 изменяется за счет уменьшения зарядной мощности
отключенной ВЛ и становится равной:
МВА
Результаты
занесём в таблицу 5.8.
Таблица 5.8 - Расчетные нагрузки подстанций в послеаварийном режиме
Расчет электрического режима сети и проверка достаточности
регулировочного диапазона РПН выполняются аналогично п.5.1. При этом напряжение
на шинах источников для послеаварийного режима принимаем увеличенным на 3%, то
есть 113,3 кВ. Результаты расчета сведены в таблице 5.9 и 5.10.
Таблица 5.9 - Расчет послеаварийного режима
|
Участок
|
Рк, МВт
|
Qк, Мвар
|
R, Ом
|
Х, Ом
|
dP,МВт
|
dQ, Мвар
|
Рн, МВт
|
Qн, Мвар
|
dU, кВ
|
|
РПП1-ТЭЦ
|
|
|
3,63
|
12,1
|
0,024
|
0,081
|
|
|
0,337
|
|
ТЭЦ-4
|
|
|
9,96
|
17,08
|
0,037
|
0,064
|
|
|
0,315
|
|
РПП -413,423,050,3990,8471,656
|
|
|
|
|
|
|
|
|
|
|
РПП2-2
|
|
|
7,26
|
2,9
|
0,711
|
1,811
|
|
|
5,510
|
|
2-3
|
|
|
6,29
|
24,9
|
0,241
|
0,511
|
|
|
2,743
|
|
3-1
|
|
|
2,42
|
21,06
|
0,000
|
0,000
|
|
|
-0,079
|
|
6-1
|
|
|
8,9
|
8,54
|
0,297
|
0,995
|
|
|
2,304
|
|
5-6
|
|
|
6,48
|
16,52
|
0,107
|
0,359
|
|
|
0,848
|
|
РПП -53,6312,10,4211,4083,079
|
|
|
|
|
|
|
|
|
|
Общие потери мощности в этом режиме: ΔРΣ=2,238 МВт.
Суммарные потери напряжения: ∆UΣ=16,715%.
Таблица 5.10 - Проверка диапазона РПН в послеаварийном режиме
|
ПС
|
n тр
|
S ном
|
Uв ном. кВА
|
Uн ном. кВ
|
Uв. кВ
|
U'н. кВ
|
n
|
Uдействит. кВ
|
К жел
|
n расч
|
|
1
|
2
|
16
|
115
|
11
|
110,996
|
107,997
|
-4
|
11,122
|
9,82
|
-3,42
|
|
2
|
2
|
6,3
|
115
|
11
|
110,557
|
108,166
|
-4
|
11,14
|
9,83
|
-3,34
|
|
3
|
2
|
16
|
115
|
11
|
112,648
|
110,479
|
-3
|
11,16374
|
10,04
|
-2,21
|
|
4
|
1
|
16
|
115
|
11
|
112,963
|
110,456
|
-3
|
11,16136
|
10,04
|
-2,22
|
|
5
|
1
|
10
|
115
|
11
|
111,075
|
108,190
|
-4
|
11,1419
|
9,84
|
-3,33
|
|
6
|
2
|
6,3
|
115
|
11
|
110,221
|
107,384
|
-4
|
11,05896
|
9,76
|
-3,72
|
Как видно из таблиц, диапазон регулирования устройств РПН
достаточен для обеспечения у потребителей необходимого уровня напряжения этом
режиме.
6. Уточнение количества компенсирующих устройств и
определение себестоимости передачи электроэнергии
.1 Уточняем необходимое количество компенсирующих устройств. Для этого
суммируем потоки активной и реактивной мощности на головных участках для
нормального режима наибольших нагрузок:
.2
Определяем реактивную мощность энергосистемы и ТЭЦ:
Мвар
Мвар
Так
как
> QΣ, то принимаем решение уменьшить общее количество компенсирующих
устройств.
Уменьшаем
число конденсаторных батарей типа КУ-6-ПЛ с
единичной мощностью 0,42 Мвар на 18 шт.
С
учетом изменений баланс реактивной мощности составит:
Мвар
Погрешность
в этом случае составит
.3
Определяем себестоимость передачи электроэнергии по спроектированной сети.
И0=11532,6
тыс руб./год (по данным таблицы 4.3);
тыс
руб./год
тыс
руб./год
кВт∙ч/год
руб/кВт∙ч.
ЗАКЛЮЧЕНИЕ
В данном курсовом проекте спроектирована сеть для электроснабжения
промышленного района (шесть потребителей, получающих питание от шин РПП и ТЭЦ).
Был произведён расчёт баланса мощности, в котором разность между располагаемой
и требуемой реактивной мощностью не превысила 5 % (0,3%), а с учетом уточнения
- 0,6%. Также была осуществлена расстановка компенсирующих устройств: 1
синхронный компенсатор, а остальные - конденсаторные установки. В следующем
разделе представлены 9 конфигураций сети (3 варианта радиально-магистральной, 2
варианта кольцевой и 4 вариантов комбинированной сети). После предварительных расчётов,
были отобраны три наиболее целесообразных варианта. Далее рассчитаны потоки
мощности для каждого участка сети, по построенным номограммам и граничным
токам, определили сечения проводов и рабочее номинальное напряжение сети. По
данным значениям погонных сопротивлений рассчитали активное и реактивное
сопротивление линий . Подсчитаны потери мощности и напряжения в линиях.
Получившиеся значения падений напряжения в нормальном и послеаварийном режимах
входят в предел регулирования РПН трансформаторов. Был произведен расчёт
мощности и выбор марки трансформаторов (выбраны следующие марки: ТМН-6300/110,
ТДН-10000/110 и ТДН-16000/110). Затем был произведён технико-экономический
расчёт для всех трёх вариантов. По результатам расчётов был произведён отбор одного
наиболее выгодного варианта (радиально-магистральная сеть). После этого
выполнили уточнённый расчёт данного варианта конфигурации сети в режимах
наибольших нагрузок, наименьших нагрузок и для послеаварийного режима).
Произведён уточнённый расчёт баланса мощности и определено точное количество
компенсирующих устройств. И в заключении подсчитана себестоимость
электроэнергии, которая составила 0,08 руб/кВт∙ч.
СПИСОК ИСПОЛЬЗУЕМЫХ ИСТОЧНИКОВ
3.
Боровиков В.А.
Электрические сети энергетических систем/В.А. Боровиков, В.К. Косарев, Г.А.
Ходот. Л.: Энергия, 1977. 391 с.
4.
Пособие к
курсовому и дипломному проектированию для электроэнергетических специальностей
вузов/под ред. В.М. Блок. М.: Высшая школа, 1990. 388 с.
5.
Хусаинов И.М.
Примеры расчетов электрических сетей: учеб. пособие для студентов специальности
100400 и направления 551700/И.М.Хусаинов. Саратов: СГТУ, 1998. 94 с.
6.
Идельчик В.И.
Электрические системы и сети/В.И.Идельчик. М.: Энергоатомиздат, 1989. 592 с.
7.
Типовые схемы
принципиальные электрические распределительных устройств напряжением 6-750 кВ
подстанций и указания по их применению (№ 14198 тм - т. 1). М.:
Энергосетьпроект, 1993. 75 с.
8.
Справочник по
проектированию электроэнергетических систем/ под ред. С.С. Рокотяна и М.М.
Шапиро. М.: Энергоатомиздат, 1985. 349 с.
9.
Поспелов Г.Е.
Электрические системы и сети. Проектирование/Г.Е. Поспелов, В.Т. Федин. Минск.:
Высшая школа, 1988. 308 с.
10.Правила устройства электроустановок (ПУЭ). Спб.:
Изд-во ДЕАН, 2002, 928 с.
11.Электрическая часть станций и подстанций: Справочные
материалы для курсового и дипломного проектирования/ сост. И.П. Крючков, Б.Н.
Неклепаев. М.: Энергоатомиздат, 1989. 608 с.
12.Справочник по электроснабжению и электрооборудованию:
Т.1. Электроснабжение/ под общ. ред. А.А. Федорова. М.: Энергоатомиздат, 1986.
586 с.