Особенности управления проектами на предприятии
СОДЕРЖАНИЕ
ВВЕДЕНИЕ
.
Теоретические аспекты управления проектами на промышленном предприятии в
условиях структурных преобразований
.1
Структурные преобразования в промышленности
1.2 Понятие
проекта. Проектный подход в управлении
1.3
Управление проектами на промышленном предприятии
1.4
Показатели эффективности управления проектами на промышленном предприятии
. Анализ
управления проектами на промышленном предприятии
.1 Анализ
состояния и структурные преобразования в оборонно-промышленном комплексе России
.2 Анализ
двигателестроения в России
.3 Анализ
трансформации стратегических целей предприятия в условиях структурных
преобразований
.4
Структурные преобразования в форме создания центров технологических компетенций
.5 Анализ
предприятий, входящих в центр технологических компетенций "Лопатки
ГТД"
.6 Анализ
существующей технологии производства лопаток ГТД
.
Прогнозирование основных показателей деятельности центра технологических
компетенций "Лопатки ГТД"
.1 Анализ
мировых производителей ГТД
.2 Анализ
мировых производителей лопаток ГТД
.3 Анализ
барьеров входа на мировой рынок лопаток ГТД
.4
SWOT-анализ центра технологических компетенций "Лопатки ГТД"
.5 План
производства лопаток ГТД центра технологических компетенций "Лопатки
ГТД"
.6 Прогноз
финансовых результатов центра технологических компетенций "Лопатки
ГТД" структурный преобразование стратегический проект
3.7
Экономическая оценка эффективности инвестиционных вложений в производство
лопаток ГТД
.
Безопасность и экологичность проекта
.1 Анализ
экологической ситуации в России
.2 Анализ
экологической ситуации в Республике Башкортостан
.3 Анализ
техногенного воздействия промышленного предприятия на окружающую среду
.4 Анализ
техногенного воздействия механообрабатывающего цеха на окружающую среду
.5
Эколого-экономические расчеты воздействия загрязнения на окружающую среду
.6 Анализ
мероприятий по снижению негативного воздействия на окружающую среду
ЗАКЛЮЧЕНИЕ
СПИСОК
ЛИТЕРАТУРЫ
ПРИЛОЖЕНИЕ А
ПРИЛОЖЕНИЕ Б
ПРИЛОЖЕНИЕ В
ПРИЛОЖЕНИЕ Г
ВВЕДЕНИЕ
Современные структурные преобразования в промышленности России, в
частности в оборонно-промышленном комплексе (ОПК), привели к созданию крупных
интегрированных структур (государственных корпораций, холдингов), которые
объединили производственные и научно-исследовательские предприятия. Цель
подобных интеграционных процессов - поддержание функционирования и развития
предприятий промышленности, выход на мировой рынок наряду с крупнейшими
производителями.
Структурные преобразования в ОПК представлены интеграцией предприятий по
продуктовому принципу, также возможна интеграция предприятий по
технологическому принципу в форме создания центров технологических компетенций.
ЦТК "Лопатки газотурбинных двигателей (ГТД)" создается на базе
отечественных предприятий, в том числе открытого акционерного общества
"Уфимское моторостроительное производственное объединение" (ОАО
"УМПО"), которое является крупнейшим производителем двигателей и
лопаток ГТД в России.
На базе ОАО "УМПО" осуществляется создание и других ЦТК, что
требует рассмотрения проектного подхода к управлению предприятием как наиболее
эффективный. Проектный подход предполагает управление предприятием как
управление совокупностью проектов. Являясь современным подходом в менеджменте,
основой проектного подхода на предприятии является системный анализ. Суть его в
том, что сложная производственная деятельность делится на части: работы, этапы,
действия. Системный анализ изучает взаимодействие отдельных компонентов в
едином целом (предприятие).
Управление проектами за последнее время завоевало признание как наилучший
метод планирования и управления реализацией проектов на промышленном
предприятии. По своей сути управление проектом представляет собой
целенаправленный системный процесс выработки и реализации управленческих
решений, охватывающих все стадии осуществления конкретной разработки и
направленных на ее успешное выполнение в рамках установленных временных,
бюджетных и ресурсных ограничений.
Целью данного дипломного проекта является разработка проекта по созданию
ЦТК "Лопатки ГТД" и оценка его экономической эффективности.
Для достижения поставленной цели необходимо изучить теоретические аспекты
управления проектами на предприятии, проектного подхода, показатели
экономической эффективности проекта, провести анализ структурных преобразований
отрасли, проанализировать производство лопаток ГТД отечественными и зарубежными
производителями, изучить перспективы выхода на мировой рынок лопаток ГТД,
оценить целесообразность инвестиционных вложений в создание ЦТК "Лопатки
ГТД", спрогнозировать финансовые результаты деятельности ЦТК "Лопатки
ГТД".
Объектом исследования дипломного проекта является ООО "ЦТК
"Лопатки ГТД", создаваемое на базе предприятий, в том числе ОАО
"УМПО".
Предметом исследования является прогнозируемая производственная и
финансово-хозяйственная деятельность ЦТК "Лопатки ГТД".
Актуальность темы исследования заключается в том, что создание центров
технологических компетенций является зарождающейся современной тенденцией
структурных преобразований ОПК, которая начнет своё развитие в ближайшей
перспективе.
Выполнение данной выпускной квалификационной работы основано на принципах
управления проектами, анализе внешнего (отечественный и мировой рынок, долговое
финансирование) и внутреннего (производство, персонал, финансовые результаты
деятельности) окружения проекта, методологических принципах экономической
эффективности.
Информационной базой исследования послужили материалы отечественной и
зарубежной литературы, информация из общедоступных источников Internet ресурсов.
1.
ТЕОРЕТИЧЕСКИЕ АСПЕКТЫ УПРАВЛЕНИЯ ПРОЕКТАМИ НА ПРОМЫШЛЕННОМ ПРЕДПРИЯТИИ В
УСЛОВИЯХ СТРУКТУРНЫХ ПРЕОБРАЗОВАНИЙ
.1
Структурные преобразования в промышленности
За последние 10-15 лет в промышленности России в целом, и в авиа- и
машиностроительной отраслях в частности, произошли серьезные структурные
преобразования.
Структурные преобразования представляют собой изменения связанные с
введением новых, объединением, выделением или ликвидацией структурных единиц
экономического субъекта.
Если ещё в начале 2000-ых годов промышленные предприятия представляли
собой разрозненные автономные организации, то, начиная с 2005-го года,
интеграционные процессы структурных преобразований привели к формированию
крупных экономических объектов, таких как: концерны, конгломераты, корпорации,
холдинги, финансово-промышленные группы. Корпорации создаются во всех основных
отраслевых комплексах, характеризуются большой концентрацией ресурсов и
существенным влиянием на экономическую систему. Они объединяют промышленные и
научно-исследовательские предприятия для более эффективного их управления,
контроля производства, распределения госзаказа и удовлетворения государственной
потребности в качественной, надежной, высокоэффективной продукции военной и
гражданской авиации, машиностроения.
Основные причины структурных преобразований группируются в трех областях,
представленных на рисунке 1.1.
Рис.1.1
Изменение окружающей среды обусловлено изменениями уровня конкуренции в
отрасли, рыночной среды поставщиков и потребителей, отрасли как таковой и
переменами в характере государственного регулирования.
Изменение стратегии предприятия во многом является следствием изменения
окружающей среды.
Изменение внутреннего состояния предприятия определяется возникновением
потребности в преобразовании внутренних ресурсов предприятия, необходимом для
достижения поставленных текущих и стратегических целей.
Российская модель интеграции характеризуется доминирующим участием
государства в капитале и в управлении этими организациями.
На сегодняшний день наиболее распространен процесс интеграции как
объединение предприятий по продуктовому принципу. Кроме того возможна
интеграция предприятий по технологическому принципу. Таким видом интеграции
является создание Центров компетенций (ЦК).
Центр компетенций - это особая структурная единица, чья функция состоит в
том, чтобы контролировать важнейшие направления деятельности, аккумулируя все
виды ресурсов, находя способы их максимально эффективного применения.
Выделяют несколько видов центров компетенций, которые различаются между
собой в зависимости от решаемых задач (рисунок 1.2).
Рисунок
1.2 - Виды центров компетенций
) Центр компетенций по сбору лучшего опыта. Основной "предмет
интереса" для такого центра - это так называемые лучшие практики, которые
были реализованы по какому-то из важных направлений деятельности компании.
Центр занимается выявлением и систематизацией таких практик, разработкой
соответствующих стандартов и внедрением полученного опыта в повсеместное применение.
2) Центр компетенций по разработке технологических стандартов. Знания,
которые собирает такой центр, в основном имеют технический характер, в
частности, касаясь разработки программных продуктов, технологий, оборудования.
Цель состоит в стандартизации процессов, создании единой технологической
платформы и связанных хранилищ данных.
) Центр компетенций, обслуживающий многочисленные проекты и инициативы,
связанные с управлением знаниями, например, обучение персонала по новым
продуктам и услугам, оценку используемых технологий и так далее.
) Центр компетенций по общей интеграцией процессов и данных по всему
предприятию, его цель - обеспечить глобальный обмен знаниями персонала в
общеорганизационных масштабах и повторное использование этих знаний.
) Центр технологических компетенций по интеграции ресурсов, модернизации
имеющегося производства, разработке новых видов продукции. Главная цель - более
эффективное управление производством, использования ресурсов, использование на
практике мирового опыта [55].
Центр компетенций является результатом процесса интеграции, специфическим
преимуществом которого является получение синергетического эффекта. Суть его
состоит в том, что возникающая после объединения новая интегрированная
структура может использовать широкий спектр преимуществ, которые появляются
вследствие объединения ресурсов предприятий.
Все синергетические эффекты, которые появляются в результате таких
структурных преобразований, можно разделить на два вида: операционные и
финансовые (рисунок 1.3).
Операционный и финансовый синергетические эффекты - это результат
воздействия факторов, перечисленных на рисунке 1.3, наиболее распространенными
среди которых являются эффект интеграции ресурсов, увеличение доли рынка, а также
создание налоговых щитов.
Создание центра компетенций требует большого фронта работ и значительных
вложений инвестиционных ресурсов. Однако его работа может приносить важные
выгоды: сохранение и приумножение важнейших знаний, максимально эффективное использование
человеческого и интеллектуального капитала, оптимальное использование ресурсов,
решение множества бизнес-задач за счет собственного потенциала предприятия.
1.2 Понятие проекта. Проектный подход в управлении
Понятие проект имеет множество определений, каждое из которых уникально и
зависит от сферы применения, отрасли производства.
В общем смысле, проект - это ограниченное по времени целенаправленное
изменение отдельной системы с установленными требованиями к качеству
результатов, возможными рамками расхода средств и ресурсов и специфической
организацией [15].
Проект - это совокупность задач или мероприятий, связанных с достижением
запланированной цели, которая обычно имеет уникальный и неповторяющийся
характер. Это система организационно-правовых и расчетно-финансовых документов,
необходимых для осуществления каких-либо действий или описывающих такие
действия [54].
В более узком смысле, проект - это заранее проработанное и
запланированное создание или модернизация физических объектов, технологических
процессов, технической и организационной документации для них, материальных,
финансовых, трудовых и иных ресурсов, а также управленческих решений и
мероприятий по их выполнению [4].
Из приведенных определений можно сделать вывод, что любой проект ограничен
во времени, стоимости (бюджете) и содержании. На данном утверждении строится
тройственная ограниченность или проектный треугольник (рисунок 1.4).
Проектный треугольник описывает баланс между содержанием проекта,
стоимостью, временем и качеством. Качество было добавлено позже, поэтому
изначально именована как тройственная ограниченность.
Изменение одной стороны треугольника влияет на другие стороны. И хотя для
проекта в равной степени важны все элементы, как правило, только один из них в
зависимости от приоритетов имеет наибольшее влияние на другие.
С точки зрения системного подхода проект может рассматриваться как
процесс перехода из исходного состояния в конечное - результат при участии ряда
ограничений и механизмов (рисунок 1. 5).
Проекты, реализуемые в различных областях, разными специалистами имеют
значительные различия между собой, что приводит к необходимости классификации
проектов. Классификация типов проектов представлена в таблице 1.1. Следует
отметить, что сегодня наиболее распространены проекты долгосрочные, сложные,
мультипроекты, что объясняется современными экономическими тенденциями, высокой
конкурентной средой. Также увеличивается проектный цикл или жизненным цикл
проекта, т.е. промежуток времени между моментом появления проекта и моментом
его ликвидации. Понятие жизненного цикла проекта является одним из важнейших
для предприятия, поскольку именно текущая стадия определяет задачи,
используемые методики и инструментальные средства.
Жизненный цикл проекта - исходное понятие для исследования проблем
финансирования работ по проекту и принятия соответствующих решений.
Каждый проект независимо от его сложности и объема работ, необходимых для
его выполнения, проходит в своем развитии определенные стадии (фазы). При этом
универсального подхода к разделению процесса реализации проекта на фазы не
существует. Решая для себя такую задачу, участники проекта должны
руководствоваться своей ролью в проекте, опытом и конкретными условиями
выполнения проекта.
Жизненный цикл проекта и его фазы схематично представлены на рисунке 1.6,
исходя из которого можно понять, на какие фазы приходятся основные инвестиции и
наибольшие значения дохода, прибыли.
Таблица 1.1 - Классификация типов проектов [22]
|
Классификационный признак
|
Типы проектов
|
|
1. По уровню проекта
|
Проект
|
Программа
|
Система
|
|
2. По масштабам проекта
|
Монопроект
|
Мультипроект
|
Мегапроект
|
|
3. По срокам реализации
|
Краткосрочный
|
Среднесрочный
|
Долгосрочный
|
|
4. По уровню финансирования
|
Малый
|
Средний
|
Крупный
|
|
5. По степени сложности
|
Простой
|
Сложный
|
Сверхсложный
|
|
6. По сложности
|
Простой
|
Организационно сложный
|
Технически сложный
|
Ресурсно-сложный
|
Комплексно сложный
|
|
7. По требованиям к
качеству и способам его обеспечения
|
Бездефектный
|
Модульный
|
Стандартный
|
|
8. По характеру проекта /
уровню участников
|
Международный
|
Отечественный
|
|
9. По сферам деятельности
|
Технический
|
Организационный
|
Экономический
|
Социальный
|
Смешанный
|
|
10. По целевому назначению
|
Инвестиционный
|
Инновационный
|
Научно-исследовательский
|
Учебно-образовательный
|
Смешанный
|
Содержание и описание фаз жизненного цикла проекта приведено в таблице
1.2, где выделены три крупные фазы: начальная (прединвестиционная),
инвестиционная и эксплуатационная.
Рисунок 1.6 - Жизненный цикл проекта
Таблица 1.2 - Содержание фаз жизненного цикла проекта [4]
|
Начальная
(прединвестиционная)
|
Инвестиционная
(строительная)
|
Эксплуатационная
|
|
Прединвестиционные
исследования
|
Разработка проектно-сметной
документации
|
Проведение торгов и
заключение контрактов; Организация закупок и поставок, подготовительные
работы
|
Строительно-монтажные
работы
|
Завершение строительной
фазы проекта
|
|
|
Изучение прогнозов и
направлений развития страны (региона, города). Формирование инвестиционного
замысла. Предварительное согласование инвестиционного замысла. Составление и
регистрация оферт. Составление обоснования инвестиций, оценка
жизнеспособности проекта. Выбор и предварительное согласование места
размещения объекта Экологическое обоснование. Экспертиза. Предварительное инвестиционное
решение. Разработка предварительного плана проекта
|
Разработка плана
проектно-изыскательных работ. Задание на разработку проекта строительства и
разработка. Согласование, экспертиза и утверждение проекта строительства.
Выдача задания на проектирование. Разработка, согласование и утверждение
рабочей документации. Принятие окончательного решения об инвестировании Отвод
земли под строительство Разрешение на строительство. Задание на разработку
проекта производства работ. Разработка плана проекта.
|
Тендеры на
проектно-изыскательные работы и заключение контрактов. Тендеры на поставку
оборудования и заключение контрактов Тендеры на подрядные работы и заключение
контрактов. Тендеры на услуги консультантов и заключение контрактов.
Разработка планов (графиков) поставки ресурсов. Подготовительные работы к
строительству.
|
Разработка оперативного
плана строительства. Разработка графиков работы машин. Выполнение
строительно-монтажных работ. Мониторинг и контроль. Корректировка плана
проекта и оперативного плана строительства (управление изменениями). Оплата
выполненных работ и поставок.
|
Пусконаладоч-ные работы.
Сдача-приемка объекта. Закрытие контракта. Демобилизация ресурсов. Анализ
результатов.
|
Эксплуатация. Ремонт.
Развитие производства. Закрытие проекта: - вывод из эксплуатации; - демонтаж
оборудования; -модернизация (начало нового проекта)
|
Проект функционирует в определенном окружении, включающем внутренние и
внешние компоненты, учитывающие экономические, политические, социальные,
технологические, нормативные, культурные и иные факторы.
Внешнее окружение проекта - это та часть окружающей среды, которая
существует независимо от проекта. Внутреннее окружение проекта - это та часть
окружающей среды, которая существует только во время осуществления проекта. Основные
составляющие внешнего и внутреннего окружения проекта представлены на рисунке
1.7.
Проект всегда нацелен на результат, на достижение поставленных целей.
Отличают генеральную цель (миссию) проекта от целей первого и последующих
уровней, а также подцелей/задач, действий и результатов.
Миссия - это генеральная цель проекта. Она детализирует статус проекта,
обеспечивает ориентиры для определения целей следующих уровней, а также
стратегий на различных организационных уровнях.
Стратегия проекта - центральное звено в выработке направлений действий с целью
получения обозначенных миссией результатов проекта. Подготовку стратегии
проекта можно условно разделить на три последовательные процедуры:
) стратегический анализ;
) разработку и выбор стратегии;
) реализацию стратегии.
Стратегический анализ начинается с анализа внешней и внутренней среды. Со
стороны внешней среды можно ожидать либо угрозы, либо возможности для
реализации проекта (так называемый SWOT-анализ) [4].
Разработка и выбор стратегии осуществляется на трех организационных
уровнях. Различают:
корпоративную стратегию (общие направления развития, т.е. стратегию
роста, сохранения или сокращения);
деловую стратегию (стратегию конкуренции конкретного товара на конкретном
рынке);
функциональную стратегию (разрабатывается для каждого функционального
подразделения с целью конкретизации выбранной стратегии проекта).
Реализация стратегии подразумевает в первую очередь необходимость
определенных изменений в организационной структуре, поэтому часто требуется
создать специальные координационные механизмы в дополнение к имеющейся
структуре управления: проектные, межпроектные (программные), венчурные (для
проектов с высокими уровнями рисков) группы.
Эффективного управления проектами на всех стадиях жизненного цикла
позволяет достичь проектный подход. Являясь современным подходом в
менеджменте, основой проектного подхода на предприятии является системный
анализ. Суть его в том, что сложная производственная деятельность делится на
части: работы, этапы, действия. Системный анализ изучает взаимодействие
отдельных компонентов в едином целом (предприятие).
Проектный подход предполагает управление предприятием как управление
совокупностью проектов. При таком подходе на предприятии организационная
структура становится более прозрачной, просматривается высокая эффективность
управления по показателям оптимизации сроков, затрат на производство работ, по
производительности.
Проектный подход на предприятии очень важен, ведь именно с его помощью
возможно создание гибких организационных структур, которые предназначены для
решения задач, несущих в себе отклонения от намеченного хода производства [42].
1.3
Управление проектами на промышленном предприятии
Управление проектами за последнее время завоевало признание как наилучший
метод планирования и управления реализацией проектов на промышленном
предприятии. По своей сути управление проектом представляет собой
целенаправленный системный процесс выработки и реализации управленческих
решений, охватывающих все стадии осуществления конкретной разработки и
направленных на ее успешное выполнение в рамках установленных временных,
бюджетных и ресурсных ограничений.
Управление проектами объединяет разнообразные виды деятельности,
характеризуемые рядом общих признаков, основные из них таковы:
направленность на достижение конкретных целей, определенных результатов;
координированное выполнение многочисленных взаимосвязанных действий;
ограниченная протяженность во времени с определенным началом и концом.
Управление проектами - это методология организации, планирования,
руководства, координации трудовых, финансовых и материально-технических
ресурсов на протяжении всего жизненного цикла, направленная на эффективное
достижение его целей путем применения современных методов, техники и технологи
управления для достижения определенных в проекте результатов по составу и
объему работ, стоимости, времени, качеству и удовлетворению участников проекта
[4].
Принято выделять социальный и культурологический, а также технический и
технологический аспекты управления проектами (рисунок 1.8). Рациональное
сочетание этих аспектов определяет результат и экономические показатели
проекта.
В управлении проектами можно выделить следующие управленческие процессы:
инициализация проекта - процесс управления проектом, результатом которого
является авторизация и санкционирование начала проекта или очередной фазы его
жизненного цикла;
планирование - непрерывный процесс, направленный на определение и
согласование наилучшего способа действий для достижения поставленных целей
проекта с учетом всех факторов его реализации;
организация исполнения - процесс обеспечения реализации плана проекта путем организации
выполнения включенных в него работ и координации исполнителей;
контроль исполнения - процесс сравнения показателей плановых и фактических показателей
выполнения проекта, анализ отклонений и их причин, оценка возможных альтернатив
и принятие, в случае необходимости, решений о корректирующих действиях для
ликвидации нежелательных отклонений;
завершение проекта
- процесс формального окончания работ и закрытия всего проекта [46].
Основными причинами обращения промышленных предприятий к управлению
проектами являются следующие:
глобальная конкуренция и требования качества, необходимость внедрения
систем управления качеством и сертификации;
в сферу действия проекта вовлечены другие организации;
необходимость оптимизации координации действий компании и издержек
управления;
требуются существенные изменения в текущей организационной структуре;
изменяются условия и окружение проекта в процессе его жизненного цикла;
сокращение жизненного цикла продукта - скорость становится конкурентным
преимуществом;
имеются конкурирующие проекты;
работы по проекту трудоемки и технически сложны, требуют комплексного
подхода;
рост объема знаний и информации, усложнение продуктов, товаров и услуг и
т.д. [3].
Промышленные предприятия России в последние годы, благодаря выравниванию
экономической ситуации в стране и проведенным преобразованиям в сфере
промышленности и оборонно-промышленного комплекса, стали выходить из кризисного
состояния, обретать финансовую устойчивость.
Перечислим типичные сохраняющиеся проблемы российского промышленного
предприятия:
во-первых, неполная загрузка производственных мощностей приводит к
тяжелому бремени накладных расходов в составе себестоимости изготавливаемой
продукции;
во-вторых, на большинстве предприятий сохранилась организационная
структура управления, основанная на бюрократических принципах. Иерархическое
распределение полномочий и ответственности, стандартизованные правила,
управление исходя из прецедентов - эти принципы плохо работают в современных
экономических условиях;
в-третьих, предприятия, как правило, с одной стороны, остро ощущают
дефицит финансирования, а с другой - неэффективно используют ресурсы:
оборудование, товарно-материальные запасы, персонал и др. [56].
В результате предприятия имеют низкую эффективность производства и крайне
сложны в управлении. Для эффективного развития предприятия и поддержания его в
стабильном состоянии необходимы инновации: запуск новых изделий в производство,
внедрение новых технологий, как производственных, так и управленческих.
Управление при помощи проектов позволяет сконцентрироваться на достижении
поставленных целей и вместо долгого и очень формального выполнения
регламентированных процессов, осуществлять короткое и прямое взаимодействие,
координацию и четкое разделение труда.
Специфика управления проектами для предприятий машиностроения связана со
следующими особенностями:
) ограниченность рыночных механизмов;
) методический коллапс;
) отставание по информационным системам;
) отставание по технологиям;
) утрата инженерных компетенций;
) кадровый разрыв;
) сокращающаяся ресурсная база и др. [12].
Управление проектами позволяет справиться практически со всеми
перечисленными проблемами.
Прозрачная организационная структура управления при помощи проектов
позволяет достигать высокой эффективности управления по показателям
производительности, оптимизации сроков и затрат на выполнения отдельных работ,
этапов, проекта в целом.
Однако внедрение управления проектами на российских предприятиях проходит
очень сложно. Сказывается не только отсутствие квалифицированного персонала, но
и зачастую нежелание руководителей осуществлять необходимые изменения. Также
процесс внедрения управления проектами усложняется множеством стандартов, как
национальных, так и международных, классификация которых приведена в таблице
1.3.
Таблица 1.3 - Классификация стандартов в управлении проектами [56]
|
Классификация стандартов
|
Мировые
|
Отечественные
|
|
1
|
2
|
3
|
|
Международные стандарты,
определяющие общие требования к процессам управления проектом
|
- ISO 10006 "Системы
менеджмента качества. Руководящие указания по менеджменту качества
проектов"
|
- ГОСТ Р ИСО 10006-2005
"Системы менеджмента качества. Руководство по менеджменту качества при
проектировании", 2006
|
|
Национальные стандарты,
определяющие общие требования к процессам управления проектом
|
- A Guide to the
Project Management Body of Knowledge (PMBOK Guide). Руководство к своду знаний по управлению проектами.
Четвертое издание. PMI. 2008 -
PRINCE2 (Projects IN Controlled Environments). OGC UK, 2001 - другие национальные стандарты
|
- ГОСТ Р 54869-2011
"Проектный менеджмент. Требования к управлению проектом" -
Руководство к своду знаний по управлению проектами. Четвертое издание. PMI.
2008. Русская версия
|
|
Стандарты, определяющие
общие требования к процессам управления программой и портфелем проектов
|
- The Standard
for Program Management, Second Edition, PMI 2008 - The Standard for Portfolio
Management, Second Edition, PMI 2008 - Managing Successful Programmes, OGC
UK, 2007 - P2M. Program and Project Management for Innovation of Enterprises,
PMCC, 2002
|
- ГОСТ Р 54870-2011
"Проектный менеджмент. Требования к управлению портфелем проектов"
- ГОСТ Р 54871-2011 "Проектный менеджмент. Требования к управлению
программой"
|
|
Стандарты, определяющие
требования к последовательности и методикам выполнения отдельных процессов
|
- Practice
Standard for Work Breakdown Structure, 2nd Edition, PMI, 2006 - Practice
Standard for Earned Value Management, PMI, 2005 -Practice Standard for
Scheduling, PMI, 2007 - Practice Standard for Configuration Management, PMI,
2007
|
- ГОСТ Р 52806-2007
Менеджмент рисков проектов. Общие положения
|
|
Стандарты, определяющие
требования к квалификации специалистов в области управления проектами
|
- ICB IPMA
Competence Baseline, Version 3.0, IPMA 2006 - PMCDF Project Management
Competence Development Framework, PMI, 2003
|
- Основы Профессиональных
Знаний и Национальные Требования к Компетентности (НТК 3.0) Специалистов по
Управлению Проектами, СОВНЕТ, 2010. Не является официальным стандартом в
России, но зарегистрирован в Росстандарт России. Используется для
сертификации специалистов в соответствии с требованиями IPMA. - ГОСТ Р
52807-2007 Руководство по оценке компетентности менеджеров проектов
|
|
Стандарты, определяющие
требования к корпоративной системе управления проектами
|
- OPM3
Organizational Project Management Maturity Model, PMI, 2008
|
Нет русскоязычных
стандартов
|
Стандарты в области управления проектами необходимы для создания единой
информационной среды, формирования основных правил, устанавливающих, что такое проект,
программа, портфель проектов, в них сформулированы принципы и методологические
подходы к управлению, которые применимы к различным сферам управления,
повергающимся стандартизации.
1.4
Показатели эффективности управления проектами на промышленном предприятии
Современный этап развития теории управления проектами характеризуется
расширением сфер применения методов управления проектами и их интеграцией с
другими инструментами управления предприятием. Сложившиеся условия
хозяйствования требуют от предприятий, ведущих проектно-ориентированую
деятельность, высокой динамики и адаптивности. Необходимо четко понимать к
каким целям стремится предприятие и подбирать подходящие проекты,
обеспечивающие достижение этих целей.
Современная конкурентная среда требует от предприятий оперативности
выполнения множества разнообразных проектов, минимальных затрат на их
реализацию и высокого качества управления ими. Ориентация предприятия на
стратегические цели добавляет к ранее обозначенным срокам выполнения, бюджету и
качеству четвертое ограничение - соответствие стратегии. Согласно мнению
некоторых исследователей, современная практика управления проектами в настоящее
время столкнулась с определенным дефицитом методических положений и решений,
позволяющих эффективно управлять проектами с учетом стратегических целей
предприятия [5].
В рамках управления проектами нерешенной остается задача обеспечения
связи проектов со стратегией компании, что может быть достигнуто через
использование методики сбалансированной системы показателей (ССП). Необходимым
является разработка механизмов по обеспечению связи между показателями
предприятия, подразделений, проектов и их участников. ССП позволяет
структурировать стратегические цели и донести их до каждого сотрудника через
сбалансированную систему финансовых и нефинансовых показателей, определяющих
цели деятельности, а далее - оценить достигнутые результаты по каждому проекту,
направлению деятельности и предприятия в целом.
ССП позволяет оценить эффективность управления проектами, соответствие их
стратегическим целям предприятия в рамках четырех основных аспектов
(перспектив): финансы, взаимоотношения с клиентами, внутренние процессы,
обучение и развитие персонала и инфраструктуры посредством интеграции финансовых и нефинансовых
индикаторов с учетом причинно-следственных связей между результирующими
показателями и факторами, под влиянием которых они формируются:
) финансы - показывает, каких показателей необходимо достичь, чтобы
обеспечить интересы акционеров, инвесторов. Примерами целей в данной перспективе могут служить:
- рост прибыли;
увеличение чистого денежного потока;
повышение рентабельности продукции;
минимизация себестоимости продукции;
достижение лидерства в отрасли по объему продаж в
расчете на одного сотрудника;
повышение рентабельности собственного капитала.
2) взаимоотношения с клиентами - показывает, чем можно заинтересовать и
привлечь клиентов, чтобы добиться требуемых финансовых результатов. Примерами целей в данной перспективе
могут служить:
- повысить степень удовлетворения клиентов;
минимизировать число упущенных клиентов;
увеличить прибыльность операций с клиентами;
расширить базу клиентов;
быть признанным лидером на рынке по новым видам
продукции;
достигнуть определенной доли рынка в целевых
сегментах.
3) внутренние процессы - показывает, какие процессы играют наиболее
важную роль при реализации конкурентных преимуществ предприятия и каким образом
их можно улучшить.
Примерами целей в данной перспективе могут служить:
- минимизировать время цикла производства продукции;
минимизировать уровень запасов;
снизить число перенастроек оборудования;
обеспечить высокое качество во всем;
минимизировать возвраты продукции;
уменьшить время разработки новой продукции [13].
4) инновации, обучение и развитие персонала и инфраструктуры - показывает,
за счет каких знаний, умений, технологий и прочих нематериальных активов
предприятие может реализовать свое конкурентное преимущество, и какие
компетенции необходимо развивать, чтобы иметь возможность привлечь клиентов и
усовершенствовать внутренние процессы.
Графически ССП можно представить в виде рисунка 1.9.
Система сбалансированных показателей позволяет управлять предприятием на
основе проектного подхода, т.е. как совокупностью проектов. Но управление
проектами для предприятия важно не только как управление системой в целом, но и
управление каждым проектом в отдельности.
Одним из наиболее важных аспектов в управлении проектами является
определение эффективности проекта и сравнение проектов между собой.
Эффективность проекта - это категория, отражающая соответствие проекта
целям и интересам его участников [4].
Существует ряд методик оценки эффективности проектов, отличающихся
условиями применимости и предметными областями. Суть всех методов оценки
базируется на следующей простой схеме: исходные инвестиции при реализации
какого-либо проекта генерируют денежный поток. Инвестиции признаются
эффективными, если этот поток достаточен для возврата исходной суммы
капитальных вложений и обеспечения требуемой отдачи на вложенный капитал.
В
условиях наиболее распространенной является схема, прописанная в Методических
рекомендациях по оценке эффективности инвестиционных проектов [1].
Эффективность проекта оценивается в течение расчетного периода, охватывающего
временной интервал от начала проекта до его прекращения. В основе всех расчетов
по проекту лежат денежные потоки.
Денежный поток проекта - это зависимость от времени денежных поступлений
(притоков) и платежей (оттоков) при реализации проекта, определяемая для всего
расчетного периода.
Значение денежного потока характеризуется:
притоком, равным размеру денежных поступлений на этом шаге;
оттоком, равным платежам на этом шаге;
сальдо, равным разнице между притоком и оттоком.
Основные показатели эффективности проекта основаны на учете стоимости
финансовых ресурсов во времени, которая определяется с помощью дисконтирования.
В качестве основных показателей, используемых для расчетов эффективности
проекта, можно выделить:
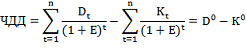
чистый дисконтированный доход (ЧДД) - текущая стоимость денежных потоков инвестиционного проекта с
учетом ставки дисконтирования, за вычетом инвестиций;
индекс доходности (ИД) - отношение приведенных денежных доходов к приведенным на начало
реализации проекта инвестиционным расходам;
внутренняя норма доходности (ВНД) - расчетная процентная ставка, при
которой получаемые доходы от проекта становятся равными затратам на проект,
т.е. это процентная ставка, при которой ЧДД равняется нулю;
модифицированная внутренняя норма доходности (МВНД) - это скорректированная
внутренняя норма доходности, дающая более правильную оценку ставки
дисконтирования;
дисконтированный срок окупаемости (Ток) - это продолжительность периода от
начального момента до момента окупаемости проекта с учетом дисконтирования.
Формулы расчета показателей оценки экономической эффективности проекта
представлены в таблице 1.4, где:
Dt - денежный поток t-го года;
Е - ставка дисконта;
Kt - капиталовложения в t-ом году;

-
дисконтированный денежный поток;

-
приведенные капиталовложения;
Е+
- значение ставки дисконта, при котором ЧДД>0 (ЧДД+);
Е-
- значение ставки дисконта, при котором ЧДД<0 (ЧДД-);
τ - год, когда
последний раз отрицателен;

-
накопленный приведенный денежный поток.
Таблица 1.4 - Формулы расчета показателей оценки экономической
эффективности проекта
|
Наименование показателя
|
Формула расчета
|
Критерий показателя
|
|
Чистый дисконтированный
доход
|
|
|
|
Индекс доходности
|
|
|
|
Внутренняя норма доходности
|
|
 E
|
|
Модифицированная внутренняя
норма доходности
|
МВНД= 
|
|
|
Срок окупаемости
|
|
-> min
|
Графическое представление показателей экономической эффективности
позволяет наглядно сравнить проекты между собой, выбрать экономически выгодный.
На рисунке 1.10 представлено сравнение проектов по критерию срока окупаемости и чистого дисконтированного дохода.
Рисунок 1.10 - Сравнение проектов по критерию срока окупаемости и чистого
дисконтированного дохода
На рисунке 1.10 представлен вариант, когда выбор наиболее экономически
эффективного проекта очевиден - проект А, т.к. показатель ЧДДА>ЧДДБ,
а срок окупаемости проекта А меньше срока окупаемости проекта Б.
Также возможен вариант, когда выбор наиболее эффективного проекта не так
очевиден (рисунок 1.11), т.к. ЧДДА>ЧДДБ, но при этом
срок окупаемости проекта Б меньше срока окупаемости проекта А.
Рисунок 1.11 - Сравнение проектов по критерию срока окупаемости и чистого
дисконтированного дохода
В подобной ситуации инвестор или предприятие принимает решение о том,
какой из показателей является приоритетным при выборе того или иного проекта.
При планировании проекта очень важным является прогнозирование ситуации
на рынке во время начала реализации проекта и его функционирования. В связи с
этим одним из наиболее распространенных методов является метод сценариев.
Метод сценариев - эффективное средство для организации прогнозирования,
объединяющего качественный и количественный подходы.
При
использовании данного метода рассчитываются денежные потоки по пессимистичному,
наиболее вероятному и оптимистичному сценариям. Каждому сценарию присваивается
вероятность их осуществления 
(
). По
каждому сценарию рассчитываются показатели экономической оценки эффективности
проекта и их среднее ожидаемое значение:

, (1.1)
где
σ - среднее ожидаемое значение на примере ЧДД;

-
вероятность i-го сценарий;

-
средневзвешенное значение ЧДД:

(1.2)
Показатель
среднее ожидаемое значение является показателем уровня риска, также как и
коэффициент вариации:

(1.3)
Чем
выше показатель уровня риска, тем выше уровень риска. Условием приемлемого
риска по проекту является k<33%.
Обычно
наиболее вероятный вариант сценария рассматривается в качестве базового, на
основе которого принимаются решения. Другие варианты сценария, рассматриваемые
в качестве альтернативных, планируются в том случае, если реальность в большей
мере начинает приближаться к их содержанию, а не к базовому варианту сценария.
Проведенный
анализ показал, что современные структурные преобразования во многом
представляют собой "перестройку" структуры отрасли, что оказывает
значительное влияние на предприятия. Промышленные предприятия оказались в
ситуации, когда на изменения в отрасли необходимо реагировать быстро и
последовательно, что затруднительно при сложившейся системе управления,
планирования. Проектный подход же позволяет организовать деятельность
предприятия, таким образом, чтобы под влиянием структурных преобразований предприятие
не ощущало значительных потерь, производство и финансовое благополучие
оставались стабильным, а управление проектами позволило развиваться ему в любых
рыночных условиях.
Проведенный
анализ также показал, что интеграционные процессы на российском предприятии
протекают в форме объединения предприятий по продуктовому и технологическому
принципу, т.к. технологии - это основа новаций. Поэтому Центр технологических
компетенций является интеграционной единицей, которая позволяет аккумулировать
и более эффективно использовать все виды ресурсов, что позволяет получить
синергетический эффект, как операционный, так и финансовый.
2. АНАЛИЗ УПРАВЛЕНИЯ ПРОЕКТАМИ НА
ПРОМЫШЛЕННОМ ПРЕДПРИЯТИИ
2.1 Анализ
состояния и структурные преобразования в оборонно-промышленном комплексе России
Большинство промышленных предприятий, в особенности авиа- и
машиностроительной отраслях, являются производителями продукции, техники
военного назначения и являются частью оборонно-промышленного комплекса (ОПК).
Это означает, что предприятия в большой степени зависят от объемов
гособоронзаказа и экспорта на мировые рынки военной техники и вооружений (ВВТ).
В начале 1990-х годов объемы гособоронзаказа были резко сокращены, что
привело к ухудшению положения многих предприятий ОПК, снижению их
финансово-экономической стабильности, платежеспособности. Многие предприятия
закрывались, с годами ощущался недостаток квалифицированных кадров, т.к.
промышленное предприятие в кризисном финансовом положении и без прежних объемов
работ, не могло гарантировать достойного уровня оплаты труда и стабильную
занятость.
Но начиная с 2000-х гг., объемы госзаказа стали возрастать, увеличилось
бюджетное финансирование, направленное на поддержку предприятий, имеющих
стратегическое значение для ОПК России. Динамика объемов госзаказа за
2000-2012гг. и прогноз на 2013-2015гг. представлены в таблице 2.1 и на рисунке
2.1.
Таблица 2.1 - Динамика гособоронзаказа за период 2000-2012гг. и прогноз
на 2013-2015гг. [8, 29]
|
Годы
|
Объем гособоронзаказа,
млрд. руб.
|
Изменение, млрд. руб.
|
Темп роста, %
|
|
|
|
цепной
|
базисный
|
|
2000
|
46
|
-
|
-
|
100%
|
|
2001
|
+11
|
124%
|
124%
|
|
2002
|
79
|
+22
|
139%
|
172%
|
|
2003
|
111
|
+32
|
141%
|
241%
|
|
2004
|
136
|
+25
|
123%
|
296%
|
|
2005
|
174
|
+38,3
|
128%
|
379%
|
|
2006
|
205
|
+20,7
|
118%
|
446%
|
|
2007
|
233
|
+28,2
|
114%
|
507%
|
|
2008
|
255
|
+21,6
|
109%
|
524%
|
|
2009
|
290
|
+34,9
|
114%
|
630%
|
|
2010
|
375
|
+85,3
|
129%
|
815%
|
|
2011
|
750
|
+375
|
200%
|
1630%
|
|
2012
|
908
|
+158
|
121%
|
1974%
|
|
Прогнозные значения
|
|
2013
|
1900
|
+992
|
209%
|
4130%
|
|
2014
|
2200
|
+330
|
116%
|
4783%
|
|
2015
|
2800
|
+600
|
127%
|
6087%
|
Значительный рост гособоронзаказа в последние годы объясняется принятой
Государственной программой вооружения на период 2011-2020гг., в рамках которой
планируется выделение 20 трлн. руб. на развитие ОПК России. Графическое
представление данных таблицы 2.1 приведено на рисунке 2.1.
Рисунок 2.1 - Динамика и прогноз объемов гособоронзаказа России
Существенный рост расходов в оборонной промышленности при незначительном
увеличении размеров федерального бюджета России привел к росту доли расходов на
гособоронзаказ в нем (рисунок 2.2). Доля расходов на ОПК в федеральном бюджете
в 2007-2008гг. составляла порядка 6%, затем последовало снижение до 2,2% - 4,5%
в 2009-2010гг. С 2012г. по 2015г. предусмотрен рост с 7,1% до 17,9%.
Рисунок 2.2 - Соотношение объемов ГОЗ и федерального бюджета
Основой производственной деятельности предприятий промышленности в случае
отсутствия гособоронзаказа является экспорт на рынок ВВТ. Россия по данным на
2012г. занимает 2-ое место (26%) на мировом рынке вооружений по объемам
поставляемой продукции, уступая США (39%), при этом в тройку лидеров по
поставкам также входит Германия (7%).
Доли рынка наиболее крупных стран-экспортеров представлены на рисунке
2.3, где также представлены Франция, Китай и другие крупнейшие
страны-экспортеры.
Рисунок 2.3 - Доли мирового рынка вооружений крупнейших
стран-экспортеров (2012г.) [32]
Динамика и прогнозные значения объемов экспорта России на мировой рынок
ВВТ за период 2000-2015гг. представлена в таблице 2.2.
Таблица 2.2 - Динамика объемов экспорта за период 2000-2012гг. и прогноз
на 2013-2015гг. [8, 21]
|
Годы
|
Объем экспорта, млрд. долл.
|
Изменение, млрд. долл.
|
Темп роста, %
|
|
|
|
цепной
|
базисный
|
|
2000
|
2,4
|
|
-
|
100%
|
|
2001
|
3
|
+0,6
|
125%
|
125%
|
|
2002
|
4,5
|
+1,5
|
150%
|
188%
|
|
2003
|
5,1
|
+0,6
|
113%
|
213%
|
|
2004
|
5,5
|
+0,4
|
108%
|
229%
|
|
2005
|
6,9
|
+1,4
|
125%
|
288%
|
|
2006
|
6,4
|
-0,5
|
93%
|
267%
|
|
2007
|
10,5
|
+4,1
|
164%
|
438%
|
|
2008
|
7,4
|
-3,1
|
70%
|
308%
|
|
2009
|
8,8
|
+1,4
|
119%
|
367%
|
|
2010
|
9,4
|
+0,6
|
107%
|
392%
|
|
2011
|
12
|
+2,6
|
271%
|
500%
|
|
2012
|
32,5
|
+20,5
|
102%
|
1354%
|
|
Прогнозные значения
|
|
2013
|
33
|
+0,5
|
102%
|
1375%
|
|
2014
|
33,7
|
+0,7
|
103%
|
1404%
|
|
2015
|
34,3
|
+0,6
|
102%
|
1429%
|
Графическое представление данных таблицы 2.2 приведено на рисунке 2.4
Рисунок 2.4 - Динамика объема экспорта России на мировой рынок ВВТ
На основе представленных данных можно сделать вывод о том, что
значительный рост объемов экспорта на мировой рынок ВВТ произошел в 2012г.
(+20,5 млрд. долл.). Для сравнения данных объемов экспорта и ГОЗ все значения
были переведены в единую валюту - рубль с учетом среднегодового курса
руб./долл. (рисунок 2.5).
Рисунок 2.5 - Динамика среднегодового курса руб./долл. [51, 11]
Соотношение объемов ГОЗ и объемов экспорта ВВТ России за период
2000-2007гг. сохранялось на одном уровне, и поэтому является малоинформативным,
вследствие чего на рисунке 2.6 представлены данные за период 2007-2015гг.
Следует отметить, что объем экспорта в национальной валюте имеет тенденцию к
уменьшению в 2007-2008 и 2009-2010гг. на что повлияло колебание курса валюты.
Рисунок 2.6 - Соотношение объемов ГОЗ и объемов экспорта ВВТ
Большая часть расходов на оборонную промышленность по сути должна
покрываться доходами от поставки вооружения и военной техники (ВВТ) на мировые
рынки. В России сложилась такая тенденция, что собственное потребление ВВТ
превышает экспорт. Данная ситуация является "здоровой" и логичной,
так как государство нацелено на собственное перевооружение и обеспечение
военной техникой, но в итоге затраты на оборонную промышленность не покрываются
доходами от экспорта ВВТ. Это особенно ощутимо в связи с планируемыми
мероприятиями в рамках принятой Госпрограммы вооружения 2011-2020гг.
Государство, вкладывая существенные средства в развитие и модернизацию
ОПК, ожидает ощутимых результатов. Предприятия ОПК на современном этапе не
способны обеспечить выполнение столь значительного объема ГОЗ без структурных
преобразований.
Структурные преобразования в ОПК привели к созданию в составе ОПК
холдингов и корпораций, представленных на рисунке 2.7. К ним относятся:
"Ростехнологии" - российская государственная
корпорация, созданная в конце 2007 года для содействия в разработке,
производстве и экспорте высокотехнологичной промышленной продукции гражданского
и военного назначения. В её состав входит 663 организации, из которых
сформировано 13 холдинговых компаний. Восемь из них - в оборонно-промышленном
комплексе, пять - в гражданских отраслях промышленности. Организации ГК
"Ростех" расположены на территории 60 субъектов РФ и поставляют
продукцию на рынки более 70 стран мира [27].
ОАО "Объединенная авиастроительная корпорация" - российская авиастроительная
компания, объединяющая крупнейшие авиастроительные предприятия России.
Корпорация зарегистрирована в 2006 г.
ОАО "Корпорация "Тактическое ракетное
вооружение"
создано в рамках реализации федеральной целевой программы "Реформирование
и развитие оборонно-промышленного комплекса (2002-2006 годы)" и указа
президента РФ № 84 от 24.01.2002 г. Стратегической целью создания объединения
стало сохранение и развитие научно-производственного потенциала ракетостроения,
обеспечение обороноспособности государства, мобилизации ресурсов для создания
высокоэффективных управляемых ракет и комплексов вооружения воздушного,
наземного, морского базирования, усиления позиций России на мировом рынке вооружений
[38].
ОАО "Корпорация "Аэрокосмическое оборудование"
- это основной
российский разработчик и производитель оборудования и систем для военной и
гражданской авиации, систем ПВО, космоса, автомобилестроения и других
высокотехнологичных отраслей промышленности [33].
Государственная корпорация по атомной энергии
"Росатом" управляет всеми ядерными активами Российской Федерации, включая как
гражданскую часть атомной отрасли, так и ядерный оружейный комплекс. Госкорпорация
"Росатом" сочетает в своей работе коммерческую деятельность,
обеспечивая развитие атомной энергетики и предприятий ядерного топливного
цикла, и выполнение функций, возложенных на неё государством - обеспечение
национальной безопасности (ядерное сдерживание), ядерную и радиационную
безопасность, а также развитие прикладной и фундаментальной науки [16].
ОАО "Объединенная судостроительная корпорация" - российский государственный
судостроительный холдинг, созданный в 2007г. По состоянию на конец 2011 года
корпорация включает около 60 ведущих конструкторских бюро, верфей и
судоремонтных предприятий РФ, объединяющих более 70% отечественного
судостроения. В общей сложности, на входящих в ОСК предприятиях и в
организациях трудятся около 74 тыс. человек [37]. В состав ОАО "Объединённая судостроительная корпорация" входит
три региональных субхолдинга:
Северный центр судостроения и судоремонта (Северодвинск)
Западный центр судостроения (Санкт-Петербург и Калининград)
Дальневосточный центр судостроения и судоремонта (Владивосток)
Южный центр судостроения и судоремонта (Астрахань) [37].
ОАО "Объединенная двигателестроительная корпорация" (ОДК) - интегрированная структура,
производящая двигатели для военной и гражданской авиации, космических программ,
установки различной мощности для производства электрической и тепловой энергии,
газоперекачивающие и корабельные газотурбинные агрегаты. ОДК объединяет более
85% активов отрасли и является дочерней компанией Объединенной промышленной
корпорации "ОБОРОНПРОМ".
Таким образом, структурные преобразования в ОПК на сегодняшний день
представляют собой создание таких интегрированных структур, как ОАО
"ОДК", ОАО "ОАК" и др., которые объединяют производственные
и научно-исследовательские предприятия с целью поддержания и развития отрасли,
внутреннего рынка ВВТ. Следует отметить, что непосредственно производственные
предприятия оказались самым низшим звеном в подобных интегрированных
структурах. Так, ОАО "УМПО" - производственное объединение,
управляющей компанией которого является ОАО "ОДК", которая в свою
очередь является дочерней компанией ОПК "ОБОРОНПРОМ". ОПК
"ОБОРОНПРОМ" принадлежит госкорпорации "Ростехнологии".
2.2 Анализ
двигателестроения в России
Известно, что авиационная промышленность является одной из составляющей
оборонно-промышленного комплекса. При этом основным представителем
двигателестроения в ОПК является ОАО "ОДК", которое объединяет
преимущественно моторо- и двигателестроительные предприятия, производящие
комплектующие к газотурбинным двигателям различных модификаций, их сборку,
послепродажное обслуживание и ремонт. При этом ГТД является частью любого
летального, плавательного аппарата, газоперекачивающей установки и др. На
рисунке 2.8 отражено все многообразие областей применения ГТД от двигателей
гражданских самолетов до двигателей морских судов. Для предприятий ОДК приоритетным рынком является рынок
авиационной техники в силу производства ГТД. Но текущее состояние отрасли
авиастроения характеризуется значительным технологическим отставанием от уровня
ведущих стран-производителей, неспособностью предприятий отрасли решать
необходимые для поддержания конкурентоспособности отрасли крупные, комплексные,
долгосрочные задачи и т. д. [7].
Таблица 2.3 - Динамика объемов производства авиастроения, млрд. руб.
|
Показатель
|
Год
|
|
2006
|
2007
|
2008
|
2009
|
2010
|
2011
|
|
Экспорт авиации
|
82,4
|
62,1
|
57,2
|
117,9
|
134,8
|
152,1
|
|
Отечественный рынок авиации
|
100,5
|
143,0
|
140,3
|
201,4
|
212,1
|
257,3
|
|
Итого объем производства
отрасли авиастроения, в том числе:
|
182,9
|
205,1
|
197,5
|
319,4
|
346,9
|
409,4
|
|
- гражданские самолеты и
вертолеты
|
14,7
|
15,1
|
22,6
|
41,9
|
56,7
|
63,2
|
|
- гражданская авиатехника
|
24,7
|
25,6
|
34,9
|
59,5
|
73,8
|
81,9
|
|
- другие
|
143,5
|
164,4
|
140,0
|
218,0
|
216,4
|
264,3
|
В 2011г. объем выпуска составил 409,4 млрд. руб., из них 152,1 млрд. руб.
- на экспорт, 257,3 млрд. руб. - для российского рынка. По итогам 2011г. было
произведено 386 единица авиационной техники (124 самолета и 262 вертолета).
Рисунок 2.9 - Динамика объемов производства авиастроения
Объемы поставки авиационной техники превышают объемы экспорта на мировой
рынок, как в случае и ВВТ (рисунок 2.6). Следует отметить, что, несмотря на
рост объемов производства как на внутреннем, так и на мировом рынке, в отрасли
существуют такие проблемы, как несоответствующее мировым стандартам качество
поставляемой продукции, невыполнение сроков поставки. Так Министерство обороны
России в 2011 году взыскало с предприятий ОПК 8,7 миллиарда рублей за срыв
сроков поставки ВВТ в рамках гособоронзаказа [29].
При указанных объемах поставок текущее положение отечественных
представителей на мировом рынке авиации является неутешительным (таблица 2.4).
Таблица 2.4 - Текущее положение России на мировых рынках авиации и
планируемые значения долей рынка [14, 20]
|
Показатель
|
Состояние на 2010г.
|
Планируемое значение на
2025г.
|
|
Доля мирового рынка
гражданского самолетостроения
|
1%
|
10%
|
|
Доля мирового рынка в
вертолетостроении
|
5%
|
27-30%
|
|
Доля мирового рынка боевой
авиации
|
7%
|
|
В госпрограмме по развитию авиационной промышленности до 2025г.,
утвержденной Правительством РФ в 2011г. [7] и предусматривающей
реструктуризацию отрасли, устранение несоответствия ее организации и структуры,
научно-технического и производственного потенциала задаче обеспечения
технологической безопасности страны, а также восстановление позиций
отечественного двигателестроения на мировом рынке, определены следующие задачи:
достижение 10% мирового рынка продаж гражданского самолетостроения;
достижение 27-30% мирового рынка в вертолетостроении;
доведение доли отечественных комплектаторов к 2020-2025 годам до уровня
не менее 70% в стоимости комплектации российских самолетов [28].
Десятипроцентный порог объемов продаж мирового рынка позволит перейти от
режима медленного сокращения активов отрасли к ее устойчивому развитию.
Достижение остальных показателей позволит России стать "третьем центром
силы мировой авиационной промышленности (наряду с США и ЕС)" [6]. Но
достижение подобных целей требует значительных изменений, преобразований от предприятий
отрасли, так как при текущем состоянии ОПК достичь поставленных целей не
представляется возможным. Правительство России и управляющие корпораций ОПК в
качестве таких изменений видят объединение предприятий в ЦТК.
При этом немаловажным является проблема того, как отражаются текущие
процессы в отрасли на производственных предприятиях, что меняется в их
деятельности, в стратегии развития предприятий.
2.3 Анализ
трансформации стратегических целей предприятия в условиях структурных
преобразований
В соответствии с Указами Президента РФ и Постановлениями Правительства РФ
ОАО "ОПК "ОБОРОНПРОМ" консолидировала предприятия
двигателестроительной отрасли в холдинг ОАО "ОДК".
В 2009-2010гг. в целях централизации функций управления ОАО "УК
"ОДК" стала управляющей компанией всех предприятий, представленных на
рисунке 2.10. Это позволило реализовать единую политику в области производства,
маркетинга, продаж и сервисного обслуживания, в результате чего был достигнут
рост продаж производимой продукции [52].
Покупка ОДК более 60% акций ОАО "УМПО" повлекла за собой
определенные изменения в управлении предприятием. Так, объединение, ставшее
частью интегрированной структуры, вынуждено собственные стратегические цели
корректировать в соответствие с целями управляющей компании.
До вхождения ОАО "УМПО" в такую интегрированную структуру, как
ОАО "ОДК", стратегической целью предприятия было "создание
совершенной надежной техники авиационного и наземного применения;
предоставление потребителям высокоэффективной системы послепродажного обслуживания
на протяжении жизненного цикла изделий".
Стратегическая цель ОАО "ОДК" звучит, как "закрепление в
числе одного из ведущих игроков на глобальном рынке газотурбинной техники"
[44].
С учетом прошлой стратегии и стратегических целей управляющей компании
современной целью ОАО "УМПО" является обеспечение производства и
сопровождение на протяжении всего жизненного цикла высококачественных, надежных
в эксплуатации, конкурентоспособных изделий газотурбинной техники авиационного
и наземного применения, а так же товаров народного потребления, удовлетворяющих
требованиям потребителей и действующим стандартам в области качества.
Анализируя стратегические цели ОАО "УМПО" до и после вхождения
в ОДК можно сделать вывод, что кардинальных и существенных изменений в
стратегии развития предприятия не последовало.
.4
Структурные преобразования в форме создания центров технологических компетенций
Текущие интеграционные процессы в ОПК носят характер объединения
предприятий по продуктовому принципу. Как видно из рисунка 2.11 в зависимости
от конечного изделия (направления деятельности) в отрасли были созданы
соответствующие холдинги.
Центры компетенции в
свою очередь являются интеграцией предприятий по технологическому принципу. То
есть в зависимости от технологии производства формируется интеграция
производственных мощностей с целью выпуска более качественного, экономически
выгодного продукта с применением современных технологий. В настоящее время в ОПК функционируют или идет процесс формирования
ЦТК в различных областях оборонной промышленности. На рисунке 2.12
представлены действующие, формирующиеся и планируемые центры компетенции в
рамках ОДК.
В начале апреля 2011 г. начал работу центр компетенций ОДК по
технологической подготовке производства - "Сатурн - инструментальный
завод".
На базе ОАО "УМПО" с 2012г. идет процесс формирования ЦТК по
алюминиевому и титановому литью (ЦТК "АТ"). ЦТК "АТ" к 2016
году должно полностью обеспечивать потребности предприятий корпорации, а также
других заводов, входящих в группу "Оборонпром", в алюминиевых и
титановых отливках [57].
На базе предприятий ОДК (в том числе ОАО "УМПО") с 2012г. идет
процесс формирования ЦТК "Лопатки ГТД" по производству лопаток
турбины, компрессора, а также блисков и вентиляторных лопаток. ЦТК при выходе
на проектную мощность будет на 100% обеспечивать потребности предприятий
холдинга.
Правление ОДК в ближайшей перспективе планирует создание также ЦТК по
магниевому литью и вертолетным лопастям.
Таким образом, можно сделать выводы о том, что процесс структурных
преобразований в ОПК протекает не только в форме традиционного продуктового
деления производства, но и в форме объединения предприятий в ЦТК. При этом
интеграция предприятий осуществляется по технологическому принципу.
2.5 Анализ
предприятий, входящих в центр технологических компетенций "Лопатки
ГТД"
Основными целями создания ЦТК "Лопатки ГТД" являются:
закрепление позиций предприятий на отечественном рынке двигателестроения
и удовлетворение внутреннего спроса;
закрепление и освоение новых долей мирового рынка двигателестроения в
качестве поставщика 3-го уровня (рисунок 2.13).
Создание рассматриваемого ЦТК нацелено на интеграцию производства комплектующих
ГТД (лопаток), концентрацию производственных мощностей, ресурсов для более
эффективного их использования. В состав ЦТК также входят
научно-производственное объединение, на базе которого будут разрабатываться
технологии, соответствующие мировым требованиям, что позволит поставить на
серийное производство двигатели 5 и 6 -го поколений.
ЦТК создается на базе предприятий ОДК, представленных на рисунке 2.14. К
ним относятся:
ОАО "Наро-Фоминский машиностроительный завод" (НФМЗ). Основными видами
деятельности ОАО "НФМЗ" являются осуществление
промышленно-производственной, испытательной, сертификационной и иной
деятельности по производству, испытаниям, ремонту, переоборудованию и
утилизации в отношении:
газотурбинных авиационных двигателей и их составных частей (в том числе
лопатки ГТД для семейства авиационных высокотемпературных турбореактивных
двухконтурных двигателей с форсажными камерами АЛ);
энергоустановок, газотурбинных и др. силовых двигательных установок и их
составных частей, как наземных, так и для летательных аппаратов и других
транспортных средств военного и гражданского назначения;
установок для перекачки жидких и газообразных веществ;
производство и реализация товаров народного потребления и др. [36].
ОАО "Пермский моторный завод" (ПМЗ) создано в 1997 году на базе
крупнейшего отечественного производителя авиационных двигателей для самолетов
военного и гражданского назначения "Пермские моторы".
В настоящее время на ОАО "ПМЗ" освоено серийное производство:
гражданских двигателей семейства ПС-90А, Д-30 (турбореактивный
двухконтурный двигатель);
военных двигателей семейства ПС-90А, Д-30;
газотурбинных электростанций (ГТЭС) семейства "Урал" и др.;
ГТУ для энергетики;
ГТУ для перекачки жидких и газообразных веществ.
В 2011 году ПМЗ поставил заказчикам 19 двигателей ПС90-А, 4 новых
двигателя ПС-90А2, изготовил 47 газотурбинных установок на базе двигателя
ПС-90А и 6 на базе двигателя Д-30, а также произвел 76 ремонтов двигателей ПС-90А,
ремонт 3 двигателей Д-30 и 48 ГТУ [34].
ОАО "Уральский Завод Гражданской Авиации" является одним из крупнейших
авиационных ремонтных предприятий и занимает лидирующее положение на мировом
рынке услуг по ремонту силовых установок для вертолетов, разработки КБ Миля и
Камова, основанным в 1939г.
Основные виды деятельности предприятия:
ремонт авиационных газотурбинных двигателей и их агрегатов: ТВ2-117А,
ТВ3-117 всех модификаций, ГТД-350 IV серии (для вертолетов Ми-2);
ремонт главных редукторов ВР-8А (для вертолетов Ми-8), ВР-14 (для
вертолетов Ми-8МТ, Ми-14, Ми-17), ВР-24 (для вертолетов Ми-24 (25), Ми-35);
ремонт газовых авиационных приводных двигателей [39].
ОАО "Научно-производственное объединение
"Сатурн" (НПО
Сатурн) - двигателестроительная компания, специализирующаяся на разработке,
производстве и послепродажном обслуживании газотурбинных двигателей для военной
и гражданской авиации, энергогенерирующих и газоперекачивающих установок,
военных кораблей и гражданских судов.
В настоящее время ОАО "НПО "Сатурн" производит:
гражданские авиадвигатели семейства Д-30 и его модификации, ТВД-1500Д,
РД-600В;
военные авиадвигатели: Д-30 и его модификации, 117С, семейства АЛ,
малоразмерные ГТД;
промышленные газотурбинные двигатели;
газотурбинные установки;
морские ГТД [35].
ОАО "Уфимское моторостроительное производственное
объединение" (УМПО)
- крупнейшее в России двигателестроительное предприятие, основанное в 1925г.,
инновационное предприятие, осуществляющее разработку, производство и
послепродажное обслуживание газотурбинных двигателей для военной авиации.
Основными видами деятельности ОАО "УМПО" являются разработка,
опытное производство, сервисное обслуживание и ремонт турбореактивных
авиационных двигателей, производство и ремонт узлов вертолетной техники, выпуск
оборудования для нефтегазовой промышленности.
ОАО "УМПО" серийно выпускает:
турбореактивные двигатели АЛ-31Ф и АЛ-31ФП для самолетов семейства Су-27,
Су-30 со всеми их модификациями;
турбореактивные двигатели Р95Ш и Р195 для семейства Су-25;
колонки несущих винтов на вертолеты семейства Ка-27;
трансмиссии для вертолетов Ми-26;
С 2010г. ОАО "УМПО" начало поставлять на завод ОАО
"Компания "Сухой" двигатели АЛ-41Ф-1С для Су-35С, истребителя
поколения 4++ с применением технологий пятого поколения [40].
Сравнительные данные по предприятиям представлены в таблице 2.5.
Таблица 2.5 - Основные показатели предприятий, входящих в ЦТК
"Лопатки ГТД"
|
Наименование предприятия
|
Выручка за 2011г.
|
Чистая прибыль (убыток)
|
Численность специалистов
|
Наименование производимой
продукции, услуги
|
Производственный центр
|
|
1
|
2
|
3
|
4
|
5
|
6
|
|
ОАО "УМПО"
|
21,5 млрд. руб.
|
34 945 млн. руб.
|
более 12 000 чел.
|
Турбореактивные двигатели
Колонки несущих винтов на вертолеты Трансмиссии для вертолетов
|
|
ОАО "ПМЗ"
|
14 млрд. руб.
|
1,859 млн. руб.
|
более 8 000 чел.
|
Гражданские двигатели
Военные двигатели Газотурбинные электростанции Газотурбинные установки (ГТУ)
для энергетики ГТУ для перекачки жидких и газообразных веществ
|
Лопатки турбины
|
|
ОАО "НПО
"Сатурн"
|
10,3 млрд. руб.
|
53,27 млн. руб.
|
более 10 000 чел.
|
Гражданские авиадвигатели
Военные авиадвигатели Промышленные ГТД Газотурбинные установки Морские ГТД
|
Лопатки компрессора Лопатки
турбины
|
|
ОАО "УЗГА"
|
3,4 млрд. руб.
|
314,8 млн. руб.
|
более 2 000 чел.
|
Ремонт авиационных ГТД и их
агрегатов Ремонт главных редукторов для вертолетов Ремонт газовых авиационных
приводных двигателей
|
Ремонт лопаток
|
|
ОАО "НФМЗ"
|
0,37 млрд. руб.
|
-
|
более 350 чел.
|
Детали и сборочные единицы
для: - Газотурбинных авиационных двигателей - Энергоустановок, газотурбинных
и иных силовых двигательных установок и их составных частей - Установок для
перекачки жидких и газообразных веществ
|
Лопатки компрессора
|
Следует отметить, что предприятия имеют различные уровни развития производства,
технологий, разные номенклатуры продукции, финансовое положение, что затрудняет
управление ими в рамках единого ЦТК.
В рамках создания ЦТК на базе предприятий будут организовываться
производственные центры (ПЦ) (рисунок 2.15):
ПЦ "Лопатки турбины"
ПЦ "Лопатки компрессора"
ПЦ "Блиски и вентиляторные лопатки"
ПЦ "Ремонт лопаток".
Каждый производственный центр будет специализироваться на производстве
конкретного вида изделия того или иного типоразмера лопатки, модификаций
которого значительное множество.
2.6 Анализ
существующей технологии производства лопаток ГТД
Лопатки ГТД входят в состав двигателя и являются одним из важнейших
конструктивных его элементов. При этом существует множество видов лопаток,
модификации которых зависят от типа двигателя, в состав которого входят.
Газотурбинный двигатель (ГТД) - тепловой двигатель, в котором газ
сжимается и нагревается, а затем энергия сжатого и нагретого газа преобразуется
в механическую работу на валу газовой турбины.
Существует несколько типов ГТД и их модификаций, конструкции которых
различаются в зависимости от сферы применения (воздушные, наземные суда,
применение в энергетике и др.):
) одновальные и многовальные ГТД;
) турбореактивный ГТД;
) турбовинтовой ГТД;
) двухконтурный ГТД;
двухконтурный турбореактивный двигатель;
турбовентиляторный двигатель;
турбовинтовентиляторный двигатель;
вспомогательная силовая установка.
) газовая турбина с замкнутым циклом;
) газовая турбина с внутренним и внешним сгоранием.
Газовые турбины используются в летательных аппаратах, кораблях,
локомотивах, танках, транспортных средствах. Модификации газотурбинных
двигателей используются в качестве силовых установок на судах (газотурбоходы),
железнодорожном (газотурбовозы) и другом наземном транспорте, а также на
электростанциях, в том числе, передвижных, и для перекачки природного газа.
Судовые установки используются в судовой промышленности для снижения веса
транспорта [61].
При этом ЦТК будет производить лопатки ГТД для гражданской, военной
авиации, а также для газотурбинных установок.
Как известно, технологии производства двигателей отечественными
производителями отстают от мировых технологий. Так в России предприятия
авиационной отрасли выпускают преимущественно двигатели 4-го поколения,
тогда как двигатель 5-го поколения находится на стадии исследований (рисунок
2.16). При этом разработка принципиально нового двигателя должна закончиться не
ранее 2015 года [10].
В США истребители 5-го поколения поступили на вооружение ВВС в 2001г.,
тогда как в России находятся на этапе летных испытаний [18].
Успех создания конкурентоспособного двигателя определяется развитием
более 30 отраслей науки и техники. Двигателестроение стимулирует инновационное
развитие целого ряда других отраслей - металлургии, станкостроения,
электроники, нефтехимии и др. [19].
Длительность создания базового двигателя нового поколения в 1,5-2 раза
превышает срок создания нового летательного аппарата. Разработка базового
двигателя нового поколения занимает 12-15 лет и требует финансовых вложений в
несколько миллиардов долларов.
В создании современного авиационного двигателя роль научных исследований
- определяющая. Их значимость и объем возрастают с каждым новым поколением.
Так, при разработке двигателей 4-го поколения на опережающие научные
исследования (по экспертной оценке) затрачено 15-20% от объема финансирования
всего проекта, а для двигателей 5-го поколения эта цифра возросла до 50-60 %.
Прогноз на двигатель 6-го поколения - более 70%. Каждое новое поколение
двигателей ставит перед исследователем и разработчиком все более сложные задачи
в области повышения экономичности, снижения шума и эмиссии вредных веществ,
повышения надежности, увеличения ресурса и снижения стоимости эксплуатации [62].
Лопатки двигателя представляют собой наиболее ответственные и нагруженные
детали, определяющие ресурс и надежность двигателя в целом.
В зависимости от места нахождения в двигателе и условий работы лопатки
ГТД укрупнено делятся на:
лопатки вентилятора - крупногабаритные лопатки, изготавливаемые из
титанового сплава, способ изготовления заготовки - штамповка;
лопатки турбины низкого давления (КНД) - лопатки изготавливаемые в
основном из титанового сплава (редко алюминиевого), способ изготовления
заготовки - литье;
лопатки компрессора высокого давления (КВД) - лопатки, изготавливаемые из
титановых сплавов, жаропрочных, коррозионностойких и теплостойких сталей,
способ изготовления заготовки - штамповка;
моноколеса (блиски) - новая концепция производства рабочих колес
компрессоров ГТД. Результатом применения данной технологии является 30%
экономия в массе готового блиска. Моноколеса (блиски) изготавливают из
титановых сплавов, жаропрочных, коррозионностойких и теплостойких сталей.
Из всего множества видов лопаток двигателя к продуктовой линейке
рассматриваемого ЦТК относятся лопатки, представленные в приложениях А, Б.
Лопатки ГТД являются высокотехнологичным изделием, процесс изготовления
которого представляет собой сложный трудоемкий процесс. Проблема увеличения
долговечности деталей, узлов и изделий является одной из важнейших в
машиностроении. Особенно остро проблема долговечности стоит при проектировании,
разработке, производстве, эксплуатации и ремонте высокотемпературных
авиационных газовых турбин.
Схематично процесс производства лопаток компрессора и турбины можно
представить в виде рисунка 2.17.
В целях повышения качества производимых изделий ЦТК предполагается
изменение существующих технологий производства лопаток ГТД (рисунок 2.18,
2.19).
Рисунок
2. 18 - Базовые технологии и ключевые производственные изменения существующего
производства лопаток компрессора ГТД
Рисунок
2. 19 - Базовые технологии и ключевые производственные изменения существующего
производства лопаток компрессора ГТД
Лопатки ГТД являются крайне сложным и дорогостоящим изделием, которое
требует применения в производстве современного высокоточного оборудования,
новейших материалов, позволяющие изготавливать изделия высшего качества с
минимумом бракованного выхода. Следовательно, далеко не каждое предприятие ОПК
способно производить лопатки ГТД качества, которое позволило бы занять
значительную долю мирового рынка, и в необходимых объемах.
Именно поэтому ОДК стало учредителем ЦТК "Лопатки ГТД", который
объединит производственные мощности и опыт крупнейших предприятий ОПК,
специализирующихся на производстве лопаток ГТД.
Таким образом, достижение поставленных правительством России целей в
сфере развития ОПК и выхода на мировой рынок возможно посредством повышения
качества производимых изделий, внедрения новых технологий, разработки и
производства двигателей пятого поколения, применения современных материалов и
сплавов, отвечающим современным требованиям двигателестроения, что в свою
очередь требует обновления основных фондов предприятий, модификации имеющегося
оборудования, обучения персонала работы на нем или найм более
квалифицированного персонала.
3. ПРОГНОЗИРОВАНИЕ ОСНОВНЫХ ПОКАЗАТЕЛЕЙ
ДЕЯТЕЛЬНОСТИ ЦЕНТРА ТЕХНОЛОГИЧЕСКИХ КОМПЕТЕНЦИЙ "ЛОПАТКИ ГТД"
3.1 Анализ
мировых производителей ГТД
Современный мировой рынок авиационных двигателей и газотурбинных
установок, которые производятся на основе ГТД, неуклонно растет, и потому
является крайне привлекательным для производителей ГТД. Так к 2026 году мировой
рынок двигателей для летательных аппаратов разного назначения составит около
450 млрд. долларов, а если учесть еще и промышленные газотурбинные установки,
то эта цифра вырастет до 850 млрд. долл. Сейчас этой техники выпускается лишь
на 60 млрд. долл. [17].
Прогнозируется, что объем мирового рынка авиационных двигателей и ГТУ
составит 586 млрд. долл. (10 019 шт.) за период 2008-2015гг. и 1 290 млрд.
долл. (16 545 шт.) за период 2016-2025гг. (таблица 3.1).
Таблица 3.1 - Прогнозные значения объемов мирового рынка авиационных
двигателей и ГТУ [62]
|
Тип двигателя или ГТУ
|
Период
|
|
2008-2015гг.
|
2016-2025гг.
|
|
Количество, шт.
|
Выручка, млрд. долл.
|
Количество, шт.
|
Выручка, млрд. долл.
|
|
Двигатели для военной
авиации
|
1 867
|
137
|
5 049
|
500
|
|
Двигатели для гражданской
авиации
|
2 429
|
163
|
4 999
|
391
|
|
Двигатели для вертолетов
|
3 815
|
50
|
4 520
|
60
|
|
Двигатели (ГТУ) для
электроэнергетики
|
1 908
|
236
|
1 977
|
339
|
|
Итого (без учета судового и
наземного транспорта)
|
10 019
|
586
|
16 545
|
1 290
|
В настоящее время основными производителями газотурбинных двигателей для
авиации в мире являются шесть крупнейших компаний:
CFM -
совместное предприятие, образованное в 1974 году GE Aircraft Engines (США) и
Snecma (Франция);
L.A.E. (Италия);
General Electric -
американская многоотраслевая корпорация, производящая многие виды техники, в
т.ч. ГТД, ГТУ;
Rolls Royce - британская
компания, производитель автомобилей и авиадвигателей;
- Engine Alliance - совместное предприятие General Electric и Pratt & Whitney, подразделение компании United Technologies;
- Pratt & Whitney - американский производитель авиационных двигателей
для гражданской и военной авиации, в настоящий момент является частью
корпорации United Technologies, одной из крупнейших финансово-промышленных
групп США.
На долю перечисленных корпораций приходится до 96% выпускаемой продукции
рынка авиационных ГТД. Структура мирового рынка производителей авиационных ГТД
по состоянию на 2010г. представлена на рисунке 3.1.
Рисунок 3.1 - Производители ГТД для авиации на мировом рынке (2010г.)
Так, лидером рынка является компания CFM, которая производит 57% всех объемов авиационных ГТД.
Следует отметить, что все отечественное производство по совокупному объему как
минимум в два раза меньше, чем объем производства самого скромного из лидеров
мирового рынка.
Рынок газотурбинных двигателей для электроэнергетики (ГТУ) является одним
из наиболее динамично развивающихся сегментов мирового машиностроения,
основными представителями которого являются:
General Electric;
Siemens
- германский транснациональный концерн, работающий в области электротехники,
электроники, энергетического оборудования, транспорта, медицинского
оборудования и светотехники и др.;
Alstom
- крупная французская машиностроительная компания, один из мировых лидеров в
производстве энергетического оборудования и железнодорожного транспорта;
Mitsubishi - японская группа компаний, специализирующаяся на самолетостроение,
двигателестроении, автомобилестроении;
Rolls
- Royce;
Pratt
& Whitney;
Solar Turbines
Inc. - американский производитель
газотурбинных электростанций и когенерационных установок.
На долю перечисленных компаний приходится до 88% выпускаемой продукции
мирового рынка ГТУ, структура которого по состоянию на 2010г. представлена на
рисунке 3.2.
Рисунок 3.2 - Производители ГТУ на мировом рынке (2010г.)
Лидерами рынка ГТУ можно назвать корпорацию General Electric, которая
занимает 41% рынка, Siemens - 17% и Alstom - 14%.
Крупнейшие мировые производители ГТД для авиации и энергетики поставляют
на мировой рынок газотурбинные двигатели, лопатки для которых, как правило,
производят самостоятельно. Следовательно, ЦТК имеет возможность выхода на
анализируемый рынок в случае производства конечного продукта (ГТД) через ОДК
как поставщик 3-го уровня либо как поставщик 2-го уровня, поставляя лопатки ГТД
как комплектующие двигателя.
3.2 Анализ
мировых производителей лопаток ГТД
Производители лопаток газотурбинных двигателей являются поставщиками для
производителей ГТД различных сфер применения, не имеющих собственного
производства. Характеристика наиболее крупных из них представлена в таблице 3.2
[53].
Таблица 3.2 - Сравнительные данные по мировым производителям лопаток ГТД
|
Наименование производителя
|
Численность работающих
|
Производство
|
Основные заказчики
|
Основные продукты и услуги
|
|
1
|
2
|
3
|
4
|
5
|
|
Alcoa Howmet (США)
|
61 000 чел. (2012г.)
|
31 страна
|
GE Aircraft
Engines, GE Power Systems, Pratt & Whitney, Rolls-Royce, MTU Aeroengines,
Mitsubishi Heavy Ind., Ltd., Alstom Power, Samsung, Solar Turbines, BBC, ВМФ США
|
- рабочие лопатки длиной от
254 мм до 8128 мм; - сопловые лопатки с шириной хорды 4064 мм; - цельные или
полые детали
|
|
Precision
Castparts Corp. (США)
|
16 000 чел. (2010г.)
|
24 площадки в США, др.
страны
|
GE (GE France,
GE Hungary), Pratt & Whitney, Rolls-Royce, Siemens Westinghouse, Hitachi
Europe, ALSTOM, MTU
|
от ветолетных лопаток
длиной 20 мм до лопаток промышленных турбин длиной 600 мм
|
|
Chromalloy (США)
|
5 500 чел. (2012г.)
|
31 площадка в 14 странах
|
MRO, Lufthasa,
Delta, American airlines, ВВС США и др. стран
|
- лопатки ГТД авиационного
и наземного применения для новых двигателей - ремонт турбинных лопаток
|
|
Leistritz (Германия)
|
1 900 чел.
(2008г.)
|
-
|
Pratt &
Whitney, Rolls-Royce, Lufthasa, GE и др.
|
- турбинные и компрессорные
лопатки с лезвием длинной до 300 мм; - моноколеса диаметром до 2 300 мм
|
|
Blades
Technology Ltd (Израиль)
|
-
|
-
|
Pratt &
Whitney America, Pratt & Whitney, Rolls-Royce, GE, Siemens, Solar
Turbines, MTU, Techspace Aero
|
- лопатки вентилятора для
двигателей малого и среднего размера; - лопатки компрессоров
|
|
C.M Menegazzi (Италия)
|
-
|
-
|
Siemens A.G. энергетики, Alstom Power System, ABB, GE, Ansaldo Energia, Fincantieri
|
-паровые турбинные лопатки;
-лопатки ГТД; -лопатки для авиационного, морского сектора; - лопатки и
компоненты для замены и обслуживания
|
Крупнейшие производители лопаток ГТД представлены американскими
компаниями (Alcoa Howmet, Precision Castparts Corp., Chromalloy), немецкой
(Leistritz), израильской (Blades Technology Ltd) и итальянской (C.M. Menegazzi), предприятия которых
успешно функционируют во многих странах мира и основными заказчиками которых
являются основные производители газотурбинных двигателей. Создание ЦТК "Лопатки ГТД" дает возможность выхода
на мировой рынок лопаток ГТД. Но для входа на данный рынок ЦТК необходимо
преодолеть различные барьеры, препятствующие и усложняющие этот процесс.
3.3 Анализ
барьеров входа на мировой рынок лопаток ГТД
Мировой рынок лопаток ГТД является высококонкурентным рынком с
крупнейшими международными представителями, присутствующими на рынке
практически с момента выпуска первого ГТД. Поэтому вход ЦТК на данный рынок
возможно после преодоления барьеров, определяемых непосредственно рынком.
Препятствия или барьеры для ЦТК при вхождении на мировой рынок производителей
лопаток ГТД:
олигополистический характер рынка - кроме самих производителей двигателей
на рынке присутствует сравнительно небольшое количество фирм производящих
лопатки авиационных ГТД, при этом у фирм производителей лопаток заключены
долгосрочные контракты (3-5 лет) с производителями двигателей;
требования к сертификации производства и технологий по зарубежным
правительственным и корпоративным стандартам;
отсутствие ряда технологий позволяющих повысить качество и снизить
себестоимость конечного продукта (необходимость приобретения данных
технологий);
возможные ограничения и регулирование высокотехнологичных отраслей
промышленности отечественными и иностранными государственными органами при
изменении политической конъюнктуры;
отсутствие доступа к рынку военного назначения.
Следует отметить, что ЦТК кроме препятствий вхождения на рынок имеет
также некоторые преимущества при вхождении на мировой рынок
производителей лопаток ГТД:
наличие опыта производства всех видов лопаток ГТД различной сложности из
современных и перспективных материалов;
охват продуктовой линейкой всего спектра лопаток ГТД;
отсутствие затрат на доступ к владению технологией производства и ноу-хау
передаваемых в ЦТК материнской компанией (ОДК);
наличие опыта производства всех видов лопаток ГТД из современных и
перспективных материалов;
отсутствие высокой конкуренции на рынке производства охлаждаемых лопаток
турбины;
постоянное сокращение издержек двигателестроителей за счет поиска новых
производителей комплектующих, предлагающих более выгодную ценовую политику;
наличие высококвалифицированного персонала с невысокими затратами на его
содержание;
невысокие цены на энергоносители (по сравнению с западными конкурентами).
Таким образом, ЦТК "Лопатки ГТД" может стать полноправным
участником мирового рынка лопаток ГТД лишь после преодоления перечисленных
барьеров входа на рынок, для чего необходимо изучить все сильные и слабые
стороны ЦТК, угрозы и возможности рынка, т.е. провести SWOT-анализ.
3.4 SWOT-анализ центра технологических
компетенций "Лопатки ГТД"
SWOT-анализ позволяет определить причины эффективной или неэффективной
работы предприятия. Классический SWOT-анализ предполагает определение сильных и
слабых сторон в деятельности предприятия, потенциальных внешних угроз и
благоприятных возможностей [50].
В таблице 3.3 приведен анализ сильных и слабых сторон ЦТК "Лопатки
ГТД".
Таблица 3.3 - Анализ сильных и слабых сторон ЦТК "Лопатки ГТД"
|
Сильные стороны
|
Слабые стороны
|
|
1
|
2
|
|
Наличие полного цикла
производства лопаток ГТД от изготовления заготовки до финишной обработки и
контроля качества
|
Самые массовые продукты ОДК
находятся на этапе спада/зрелости (в основном предназначены для оборонного
комплекса)
|
|
Обладание ключевыми
технологическими компетенциями
|
Неоптимизированная загрузка
производственных мощностей
|
|
Наличие достаточной
инфраструктуры для развертывания серийного производства лопаток ГТД на
имеющихся площадях, принадлежащих предприятиям ОДК
|
Значительный возраст и
износ существующего оборудования Потребность в проведении более частых
капитальных ремонтов в связи с недостаточно высоким межремонтным ресурсом по
сравнению с иностранными аналогами
|
|
Высокая квалификация
инженерно-технического персонала
|
|
|
Предприятия ОДК обладают
высокой долей рынка по ремонту двигателей и производству компонентов
|
Относительно низкая доля
предприятий ОДК в ремонтах военных двигателей на внутреннем рынке
|
|
Продукция ОДК хорошо
зарекомендовала себя на внутреннем рынке и имеет достаточную историю по
наработке и надежности
|
Изначально ограниченный
рынок сбыта для военной продукции российского производства - как правило,
страны вне НАТО, которые закупают авиатехнику как в РФ, так и у западных
производителей - необходимость конкурировать с западными аналогами с точки
зрения цены, "качества" и сроков
|
|
Опыт освоения производства
новых лопаток ГТД
|
Высокая зависимость
поставок от планов ОАК по производству военных самолетов и оборонзаказа
|
|
Интеграция разработки и
производства в рамках ОДК
|
Высокие затраты на
содержание имущественного комплекса и инженерной инфраструктуры
|
ЦТК обладает сильными сторонами, позволяющие преодолеть барьеры входа на
мировой рынок лопаток ГТД и минимизировать влияние на деятельность центра его
слабых сторон, основными из которых являются:
устаревшие ОФ, обновление которых заложено в плане развития ЦТК;
устаревшие технологии производства, усовершенствование которых будет
производиться на базе научно-производственного объединения в составе ЦТК;
неоптимальная загрузка и зависимость загрузки производственных мощностей
от планов ОАК и ГОЗ, что сведется к минимуму после выхода на мировой рынок.
Анализ возможностей и угроз со стороны рынка для ЦТК приведен в таблице
3.4.
ЦТК владеет возможностями, позволяющими преодолеть угрозы, успешно
функционировать на внутреннем рынке и занимать новые доли мирового рынка.
Таблица 3.4 - Анализ возможностей и угроз для ЦТК "Лопатки ГТД"
|
Возможности
|
Угрозы
|
|
1
|
2
|
|
Стабильный спрос за счет
налаженного сбыта лопаток ГТД предприятиям ОДК
|
Вероятность второй волны
финансового кризиса
|
|
Расширение рынка сбыта за
рубежом (за счет производства лопаток ГТД для двигателей зарубежного
производства)
|
Наличие зарубежных
конкурентов Отсутствие четких перспектив продаж ГТД на зарубежных рынках
|
|
Рост рынка сервисных услуг
позволит выйти на рынок ремонта и сервисного обслуживания двигателей
|
Снижение спроса на
авиатехнику российского производства
|
|
Программы Правительства РФ,
направленные на поддержку российского двигателестроения, стимулируют спрос на
продукт ЦТК
|
Секвестрование бюджетных
лимитов на финансирование ФЦП "Развитие ОПК" и ФЦП
"Гражданская авиационная техника"
|
|
Повышение качества лопаток
ГТД за счет использования новейших разработок в области производства и
контроля
|
Из-за серьезной конкуренции
любые задержки в поставках могут значительно снизить коммерческий успех
|
|
Наличие партнера с мировым
именем - у ОДК существует возможность наработки компетенций на основе лучших
практик и укрепления репутации/получения референций на международных рынках
|
Освоение лицензионного
производства двигателей в Индии и запуск производства двигателей в Китае в
долгосрочной перспективе ограничивают потенциальные объемы сбыта продукции
ОДК в эти страны - ключевые клиенты
|
|
Монопольная позиция ОДК на
поставки двигателей для SSJ100 и существенный портфель заказов/потенциальный
спрос на военные самолеты, перспективных поставок двигателей при расширении
линейки военных самолетов
|
Децентрализованная функция
маркетинга и сбыта
|
|
Развитие отечественных
компетенций в разработке современных двигателей в гражданской авиации - на
уровне с современными требованиями глобального рынка
|
Демографический разрыв
между поколениями квалифицированных специалистов
|
|
Наличие альтернативного покупателя
продукции ОДК (помимо ОАК и Вертолетов России) - иностранные заказчики
военных двигателей
|
|
Для определения оптимальной стратегии развития необходимо сопоставить
сильные и слабые стороны предприятия с возможностями и угрозами рынка в виде
матрицы SWOT-анализа.
Матрица SWOT-анализа для ЦТК "Лопатки
ГТД" представлена в таблице 3.5.
Таблица 3.5 - Матрица SWOT-анализа
для ЦТК "Лопатки ГТД"
|
Наименование
|
Возможности: 1) Стабильный
спрос за счет налаженного сбыта лопаток ГТД предприятиям ОДК; 2) Рост рынка
сервисных услуг позволит выйти на рынок ремонта и сервисного обслуживания
двигателей; 3) Повышение качества лопаток ГТД за счет использования новейших
разработок в области производства и контроля; 4) Расширение рынка сбыта за
рубежом (за счет производства лопаток ГТД для двигателей зарубежного
производства); 5) Монопольная позиция ОДК на поставки двигателей и
существенный портфель заказов/потенциальный спрос на военные самолеты
|
Угрозы: 1) Вероятность
второй волны финансового кризиса; 2) Снижение спроса на авиатехнику
российского производства; 3) Из-за серьезной конкуренции любые задержки в
поставках могут значительно снизить коммерческий успех; 4) Наличие зарубежных
конкурентов. Отсутствие четких перспектив продаж ГТД на зарубежных рынках; 5)
Децентрализованная функция маркетинга и сбыта
|
|
Сильные стороны: 1) Наличие
полного цикла производства лопаток ГТД от изготовления заготовки до финишной
обработки и контроля качества; 2) Предприятия ОДК обладают высокой долей
рынка по ремонту двигателей и производству компонентов; 3) Опыт освоения
производства новых лопаток ГТД; 4) Интеграция разработки и производства в
рамках ЦТК; 5) Высокая квалификация инженерно-технического персонала
|
Наращивание объемов
производства для удовлетворения потребности внутреннего рынка в
высококачественной продукции и выхода с ней на новые рынки (мировые).
Снижение издержек за счет получения синергетического эффекта вследствие
интеграции производства в рамках ЦТК
|
Совершенствование
технологии производства, улучшение качества лопаток с целью освоения мирового
рынка лопаток ГТД для снижения значительной зависимости производства от
гособоронзаказа. Ориентация на модификации лопаток, предназначенных для
использования ГТУ Централизация в рамках ЦТК управления производством и
сбытом лопаток ГТД
|
|
Слабые стороны: 1) Самые
массовые продукты ОДК находятся на этапе спада/зрелости; 2) Относительно
низкая доля предприятий ОДК в ремонтах военных двигателей на внутреннем
рынке; 3) Высокая зависимость поставок от планов ОАК по производству военных
самолетов и оборонзаказа; 4) Высокие затраты на содержание имущественного
комплекса и инженерной инфраструктуры; 5) Значительный возраст и износ
существующего оборудования
|
Разработка новых
усовершенствованных модификаций лопаток ГТД для выхода на мировой рынок с новым
предложением, что позволит снизить зависимость производства от
гособоронзаказа. Обновление основных фондов, модернизация устаревшего
оборудования для производства лопаток мирового качества.
|
Ориентация на модификации
лопаток, предназначенных для использования ГТУ. Выход на рынок с более
качественной продукцией, чем у конкурентов, что позволит не занижать цену
сбыта.
|
На основе данных таблицы 3.5 можно сделать вывод, что оптимальной
стратегией развития ЦТК будет являться стратегия, позволяющая использовать
сильные стороны и имеющиеся возможности, а также минимизировать негативное
влияние слабых сторон и угроз со стороны рынка:
увеличение объемов производства для удовлетворения потребности
внутреннего рынка в лопатках ГТД и возможности выхода на мировой рынок;
повышение качества лопаток путем производства по усовершенствованной
технологии на современном оборудовании;
выход с высококачественной продукцией на мировой рынок лопаток ГТД как
поставщик 2-го уровня и на рынок ГТД как поставщик 3-го уровня;
снижение издержек производства за счет получения синергетического эффекта
вследствие интеграции производства в рамках ЦТК.
3.5 План
производства лопаток ГТД центра технологических компетенций "Лопатки
ГТД"
Спрос на лопатки ГТД напрямую зависят от спроса на двигатели газотурбин
того или иного направления их использования. Спрос на отечественном рынке
формируется за счет потребности предприятий ОДК в лопатках ГТД на базе
заключенных и планируемых контрактов. Таким образом, объемы производства ЦТК
"Лопатки ГТД" формируются за счет потребности предприятий ОДК и
планируемых поставок на мировой рынок.
На рисунке 3.3 представлены прогнозные объемы производства ГТД
предприятиями ОДК.
Стабильные объемы продаж военных двигателей обусловлены потребностями
государственной программы вооружения в период 2013-2020гг., а также стабильным
спросом со стороны зарубежных заказчиков (Китай, Индия).
Рост объемов турбовинтовых и вертолетных двигателей связан с ростом
потребностей ОАО "Вертолеты России" в период 2013-2025 гг. Рост
гражданских двигателей более, чем в 4 раза обусловлен выводом на рынок в
2015-2016 гг. нового семейства гражданских двигателей с тягой 9-18 тонн. Объем
наземных ГТД будет расти в течение прогнозного периода за счет роста
потребности российских нефтегазовых производителей и сектора электроэнергетики.
Рисунок 3.3 - Прогнозные объемы производства ГТД предприятиями ОАО
"ОДК", шт.
На основе прогнозных объемов производства ГТД предприятиями ОДК
формируется прогнозный объем продаж (производства) лопаток ГТД рассматриваемого
ЦТК (рисунок 3.4).
Рисунок 3.4 - Прогнозный объем продаж лопаток ГТД, тыс. шт.
Данные рисунка 3.4 можно также интерпретировать в разрезе освоения
проектных мощностей и сроков выхода на него ЦТК "Лопатки ГТД". Сроки
освоения номенклатуры лопаток компрессора ЦТК представлены на рисунке 3.5.
Рисунок 3.5 - Сроки освоения номенклатуры лопаток компрессора и выход на
проектную мощность ЦТК, тыс. шт.
Сроки освоения номенклатуры лопаток турбины ЦТК представлены на рисунке
3.6.
Рисунок 3.6 - Сроки освоения номенклатуры лопаток турбины и выход на
проектную мощность ЦТК, тыс. шт.
Планируется, что ЦТК полностью освоит производство лопаток компрессора и
турбины к 2016г. и будет производить весь необходимый объем лопаток
предприятиям ОДК. К 2019-2020гг. предполагается выход ЦТК на мировой рынок
лопаток ГТД.
.6 Прогноз
финансовых результатов центра технологических компетенций "Лопатки
ГТД"
Создание ЦТК и обеспечение его бесперебойного функционирования требует
значительных инвестиционных вложений, которые позволят начать модернизацию
производства, обновление оборудование в производственных центрах и т.д.
Финансирование ЦТК предполагается осуществлять за счет источников,
представленных на рисунке 3.7.
Бюджетные средства на финансирование создания ЦТК "Лопатки ГТД"
будут выделяться в рамках федеральной целевой программы "Развитие Оборонно-промышленного
комплекса-2020г.".
В таблице 3.6 представлены условия финансирования проекта.
Таблица 3.6 - Условия финансирования проекта ЦТК "Лопатки ГТД"
|
Параметр
|
Кредит под гарантии ЭКА
|
Коммерческий кредит
|
Бюджетное финансирование в
рамках ФЦП
|
|
Доля в общем объеме
инвестиций проекта
|
87%
|
0,1%
|
12,9%
|
|
Размер кредитования
|
400 млн. евро
|
5 млн. руб.
|
3 000 млн. руб.
|
|
Процентная ставка по
кредиту
|
10%
|
12%
|
-
|
|
Срок кредитования
|
10 лет
|
10 лет
|
-
|
|
Отсрочка погашения
основного долга
|
6 лет
|
3 года
|
-
|
|
Итого
|
≈25 000 млн. руб.
|
В таблице 3.7 представлен график привлечения финансирования с указанием
размера годовых капитальных затрат в целом, и на строительно-монтажные работы и
покупку оборудования в частности.
В таблице 3.8 приведен график возврата кредитов по четным годам (данные
за весь период приведены в приложении В).
Таблица 3.7 - График привлечения финансирования, млн. руб.
|
Показатель
|
Год
|
|
2012
|
2013
|
2014
|
2015
|
2016
|
2017
|
2018
|
2019
|
2020
|
2021
|
2022
|
|
Капитальные затраты
|
1339
|
6705
|
8477
|
7333
|
3613
|
2131
|
1648
|
1401
|
191
|
53
|
-
|
|
-Строительно-монтажные
работы
|
654
|
1223
|
2313
|
2008
|
381
|
112
|
72
|
-
|
-
|
-
|
-
|
|
-Оборудование
|
685
|
5482
|
6164
|
5325
|
2019
|
1576
|
1401
|
191
|
53
|
-
|
|
Источники финансирования
|
2723
|
6705
|
8477
|
7333
|
3614
|
2131
|
1649
|
1401
|
191
|
53
|
-
|
|
- Бюджетное финансирование
(ФЦП)
|
-
|
-
|
1500
|
1500
|
-
|
-
|
-
|
-
|
-
|
-
|
-
|
|
- Выдача кредита под
гарантии ЭКА
|
2723
|
6705
|
6977
|
5833
|
3614
|
941
|
-
|
-
|
-
|
-
|
-
|
|
- Выдача коммерческого
кредита
|
-
|
-
|
-
|
-
|
-
|
1190
|
1649
|
1401
|
191
|
53
|
-
|
Таблица 3.8 - График возврата кредитов, млн. руб.
|
Показатель
|
Год
|
|
2012
|
2014
|
2016
|
2018
|
2020
|
2022
|
2024
|
|
Кредит под гарантии ЭКА
|
|
|
|
|
|
|
|
|
Получение кредита
|
2 723
|
6 977
|
3 614
|
|
|
|
|
|
Погашение кредита
|
|
|
|
-2 330
|
-2 917
|
-3 635
|
- 4 528
|
|
Курсовая разница
|
-102
|
- 398
|
- 376
|
483
|
307
|
220
|
106
|
|
Остаток на конец
прогнозного года
|
2 621
|
15 936
|
24 907
|
24 549
|
19 736
|
13 331
|
5 018
|
|
Процентные расходы
|
34
|
1 267
|
2 324
|
2 658
|
2 245
|
1 682
|
948
|
|
Комиссионные расходы
|
1 407
|
9
|
|
|
|
|
|
|
Коммерческий кредит
|
|
|
|
|
|
|
|
|
Получение кредита
|
|
|
|
1 649
|
191
|
|
|
|
Погашение кредита
|
|
|
|
|
- 546
|
- 694
|
- 871
|
|
Остаток на конец
прогнозного года
|
|
|
|
2 839
|
3 885
|
2 624
|
975
|
|
Процентные расходы
|
|
|
|
242
|
520
|
398
|
222
|
|
Комиссионные расходы
|
|
|
|
7
|
6
|
6
|
6
|
Таким образом, совокупные капитальные затраты составили 32 891 млн. руб.
в ценах 2012г., при этом привлечение кредита под гарантии ЭКА осуществляется в
период 2012-2017гг. (рисунок 3.8), коммерческого кредита - в период
2017-2021гг. (рисунок 3.9), бюджетное финансирование ожидается в 2014-2015гг.
Графики были построены с применение программного продукта
"Альт-Инвест-Прим".
Рисунок 3.8 - График задолженности по кредиту под гарантии ЭКА, тыс. руб.
Следует отметить, что выплата основного долга по кредиту под гарантии ЭКА
планируется в период 2018-2025гг. после полного привлечения кредита, по
коммерческому кредиту - 2020-2025гг.
Для определения прогнозных значений финансовых результатов деятельности
ЦТК необходима величина будущих денежных потоков, значения которых в свою
очередь формируются, основываясь на прогнозных значениях выручки от реализации
лопаток ГТД. При этом следует принять допущение о том, что весь объем
произведенных лопаток ГТД подлежит реализации, т.к. в основе плана производства
ЦТК лежат объемы производства ГТД предприятиями ОДК.
В качестве цены реализации лопаток рассматривается полная себестоимость
текущего производства.
Рисунок 3. 9 - График задолженности по коммерческому кредиту
Прогнозные значения финансовых результатов ЦТК "Лопатки ГТД",
рассчитанные без применения программного продукта и с использование
"Альт-Инвест-Прим", приведены в таблицах 3.9 и 3.10 соответственно.
Графическое представление соотношения доходов и затрат по проекту приведено на
рисунке 3.10.
Рисунок 3.10 - Доходы и затраты по проекту ЦТК "Лопатки ГТД",
тыс. руб.
Таблица 3.9 - Прогнозные значения финансовых результатов ЦТК
"Лопатки ГТД", тыс. руб.
|
Наименование показателя
|
Год
|
|
2012
|
2014
|
2016
|
2018
|
2020
|
2022
|
2024
|
|
Выручка от реализации
|
423763
|
10017984
|
13815034
|
22898945
|
27869628
|
29209180
|
30752421
|
|
Себестоимость, в т.ч.:
|
-377845
|
-6889157
|
-8891055
|
-13761330
|
-17377725
|
-18970843
|
-20138655
|
|
-Прямые затраты
|
-169505
|
-3946392
|
-5338646
|
-8345801
|
-9948250
|
-10247916
|
-10753889
|
|
-Общепроизводственные
расходы
|
-141850
|
-2506694
|
-2905557
|
-4611448
|
-6468143
|
-7627063
|
-8181120
|
|
-Общехозяйственные расходы
|
-66490
|
-436071
|
-646852
|
-804081
|
-961332
|
-1095864
|
-1203646
|
|
Валовая прибыль
|
45918
|
3128827
|
4923979
|
9137615
|
10491903
|
10238337
|
10613766
|
|
Налог на имущество
|
0
|
-73603
|
-286280
|
-395720
|
-391652
|
-292181
|
-183279
|
|
Амортизационные отчисления
|
0
|
-704229
|
-2289634
|
-2704865
|
-2858894
|
-2667468
|
-2087838
|
|
Прибыль до вычета процентов
и налога на прибыль
|
45918
|
2350995
|
2348065
|
6037030
|
7241357
|
7278688
|
8342649
|
|
Процентные и комиссионные
расходы
|
-1441115
|
-1352164
|
-2324220
|
-2906387
|
-2770606
|
-2085911
|
-1175400
|
|
Курсовая разница
|
101622
|
397959
|
375853
|
-482630
|
-307315
|
-219726
|
-105770
|
|
Прибыль до налогообложения
|
-1293575
|
1396790
|
399698
|
2648013
|
4163436
|
4973051
|
7061479
|
|
Текущий налог на прибыль
|
-
|
-279358
|
-79940
|
-529603
|
-832687
|
-994610
|
-1412296
|
|
Чистая прибыль / убыток
|
-1293575
|
1117432
|
319758
|
2118410
|
3330749
|
3978441
|
5649183
|
Таблица 3.10 - Прогнозные значения финансовых результатов ЦТК
"Лопатки ГТД" (Альт-Инвест-Прим), тыс. руб.
В 2012г. ЦТК был получен убыток в размере 1 293 575 тыс. руб., но в
2013г. планируется чистая прибыль в размере 1 483 483 тыс. руб., вследствие
значительного роста выручка от реализации. К концу 2025г. ожидается чистая прибыль
в размере 6 792 006 тыс. руб., при операционных затратах (себестоимости) в
размере 20 756 835 тыс. руб.
Графическая интерпретация данных таблицы 3.10 в виде соотношения прибыли
и убытков по проекту приведена на рисунке 3.11.
Рисунок 3.11 - Прибыль и убытки по проекту ЦТК "Лопатки ГТД",
тыс. руб.
Прогнозные данные по финансовой отчетности приведены в таблицах 3.11,
3.12.
В 2012г. размер имущества ЦТК составил 1 578 208 тыс. руб., а в 2013г.
ожидается - 11 623 137 тыс. руб., при этом в составе активов большая часть
приходится на внеоборотные активы (68,6% в 2013г.), в пассивах - на
долгосрочные обязательства (84,8% в 2013г.).
Наряду с прогнозированием финансовых результатов деятельности ЦТК
"Лопатки ГТД" также важным является расчет и анализ значений
коэффициентов финансовой оценки (таблица 3.13).
Таблица 3.11 - Прогнозная финансовая отчетность: отчет о финансовом
положении, тыс. руб.
|
Наименование
|
Год
|
|
2012
|
2014
|
2016
|
2018
|
2020
|
2022
|
2024
|
|
Активы
|
|
|
|
|
|
|
|
|
I. Внеоборотные активы
|
|
|
|
|
|
|
|
|
Незавершенное строительство
(CIP)
|
1 338 894
|
9 755 301
|
7 925 786
|
3 683 262
|
191 312
|
0
|
0
|
|
Основные средства (ОС)
|
|
5 989 606
|
14 986 891
|
17 672 148
|
17 073 479
|
11 973 786
|
7 286 932
|
|
Итого внеоборотные активы
|
1 338 894
|
15 744 907
|
22 912 677
|
21 355 410
|
17 264 791
|
11 973 786
|
7 286 932
|
|
II. Оборотные активы
|
|
|
|
|
|
|
|
|
Запасы
|
83 363
|
1 946 166
|
2 625 564
|
4 115 738
|
4 892 582
|
5 053 767
|
5 288 798
|
|
НДС к возмещению
|
51 747
|
211 810
|
44 535
|
11 848
|
13 285
|
14 188
|
14 460
|
|
Дебиторская задолженность
|
104 204
|
2 470 188
|
3 397 139
|
5 646 315
|
6 853 187
|
7 202 264
|
7 562 071
|
|
Денежные средства
|
0
|
349 111
|
3 885 822
|
9 008 038
|
14 402 696
|
19 456 483
|
24 186 351
|
|
Итого оборотные активы
|
239 314
|
4 977 275
|
9 953 060
|
18 781 939
|
26 161 750
|
31 726 702
|
37 051 680
|
|
Итого активы
|
1 578 208
|
20 722 182
|
32 865 737
|
40 137 349
|
43 426 541
|
43 700 488
|
44 338 612
|
|
|
|
|
|
|
|
|
III.Капитал и обязательства
|
|
|
|
|
|
|
|
|
Бюджетные средства
(финансирование за счет ФЦП)
|
0
|
1 500 000
|
3 000 000
|
3 000 000
|
3 000 000
|
3 000 000
|
3 000 000
|
|
Накопленная нераспределенная
прибыль / убыток
|
-1 293 575
|
1 307 339
|
2 228 891
|
5 386 840
|
11 589 891
|
19 365 282
|
29 718 338
|
|
Итого собственный капитал
|
-1 293 575
|
2 807 339
|
5 228 891
|
8 386 840
|
14 589 891
|
22 365 282
|
32 718 338
|
|
IV. Долгосрочные обязательства
|
|
|
|
|
|
|
|
|
Кредит под гарантии ЭКА
|
2 621 845
|
15 936 331
|
24 907 146
|
24 548 531
|
19 735 397
|
13 330 511
|
5 017 467
|
|
Коммерческий кредит
|
0
|
0
|
0
|
2 838 252
|
3 884 716
|
2 623 730
|
975 346
|
|
Кредит на пополнение
оборотного капитала
|
166 575
|
0
|
0
|
0
|
0
|
0
|
0
|
|
Итого долгосрочные
обязательства
|
2 788 420
|
15 936 331
|
24 907 146
|
27 386 783
|
23 620 113
|
15 954 241
|
5 992 813
|
|
Краткосрочные обязательства
|
83 363
|
1 946 166
|
2 625 564
|
4 115 738
|
4 892 582
|
5 053 767
|
5 288 798
|
|
НДС к уплате
|
|
32 346
|
104 136
|
247 988
|
323 956
|
327 197
|
338 663
|
|
Итого краткосрочные обязательства
|
83 363
|
1 978 512
|
2 729 700
|
4 363 726
|
5 216 538
|
5 380 964
|
5 627 461
|
|
Итого пассивы
|
1 578 208
|
20 722 182
|
32 865 737
|
40 137 349
|
43 426 542
|
43 700 488
|
44 338 612
|
Таблица 3. 12 - Прогнозная финансовая отчетность: отчет о финансовом
положении (Альт-Инвест), тыс. руб.
Таблица 3. 13 - Прогнозные значения коэффициентов финансовой оценки
Прибыльность или рентабельность продаж является показателем финансовой
результативности деятельности предприятия, показывающий какую часть выручки
организации составляет прибыль. Тогда прогнозная рентабельность продаж
ожидается в 2012г. в размере -305%, что объясняется малым объемом производства
в начале формирования ЦТК "Лопатки ГТД". Ожидается также рост
рентабельности продаж в 2013г. до 19%, уменьшение до 2% до 2016г., вследствие
уменьшения чистой прибыли и постепенный рост до 22% в 2025г., что для
организации промышленной отрасли является значительной величиной. Рентабельность активов (ROA) - это финансовый коэффициент, характеризующий отдачу
от использования всех активов предприятия, определяется как отношение чистой
прибыли к величине активов. Рентабельность активов в 2012г. ожидается в размере
-81%, что также объясняется получением ЦТК чистого убытка, в 2013г. ожидается
рост до 13% и в 2025г. до 15%. Рентабельность
собственного капитала (ROE)
определяется как отношение чистой прибыли к величине собственного капитала
(средств). В 2013г. планируется величина ROE в размере 770%, вследствие роста чистой прибыли и уменьшения
собственных средств. В 2025г. ожидается рентабельность собственного капитала в
размере 17%.
Коэффициент автономии определяется как отношение заемных и собственных
средств, и прогнозируется в размере до 683%, что объясняется значительным
ростом собственных средств и уменьшением земных средств. Оптимальным является
коэффициент 1. Слишком низкий коэффициент говорит о слишком осторожно подходе
организации к привлечению заемного капитала и об упущенных возможностях
повысить рентабельность собственного капитала за счет использования эффекта
финансового рычага.
Оборачиваемость активов - финансовый показатель интенсивности
использования предприятием всей совокупности имеющихся активов. Определяется
как отношение выручки от продаж и активов предприятия. В 2013г. ожидается
оборачиваемость активов в размере 0,7 оборота, с понижением до 0,4 оборота/год
в 2015 и 2016гг., вследствие более низкой скорости роста выручки чем активов. Коэффициент общей ликвидности определяется как отношение
оборотных активов к краткосрочным обязательствам. Общая ликвидность в 2013г.
планируется в размере 0,7, что означает, что только 70% краткосрочных
обязательств можно покрыть за счет оборотных активов. Ожидается рост общей
ликвидности до 6,8 в 2005г.
Коэффициент мгновенной или быстрой ликвидности определяется как отношение
денежных средств к краткосрочным обязательствам, ожидается в 2014г. в размере
0,2 и значительный рост до 4,5 в 2025г., что связано с ростом величины денежных
средств.
3.7
Экономическая оценка эффективности инвестиционных вложений в производство
лопаток ГТД
Данные для расчета показателей экономической эффективности проекта
приведены в таблице 3.14 для четных периодов (данные за весь период приведены в
приложении Г).
Таблица 3.15 - Значения показателей экономической оценки эффективности
|
Показатель
|
Значение
|
|
Норма дисконта (E)
|
15%
|
|
Чистый дисконтированный
доход (ЧДД)
|
5 163 363,24 тыс. руб.
|
|
Индекс доходности (ИД)
|
2,01
|
|
Внутренняя норма доходности
(ВНД)
|
27%
|
|
Дисконтированный срок
окупаемости
|
8,07 лет
|
Графически определить дисконтированный срок окупаемости можно, представив
во времени накопленный приведенный общий денежный поток (рисунок 3.12). Так
дисконтированный срок окупаемости составил ≈ 8лет.
Таблица 3.14 - Данные для экономической оценки инвестиционных вложений,
тыс. руб.
|
Расчетный период
|
0
|
2
|
4
|
6
|
8
|
10
|
12
|
|
Год
|
2012
|
2014
|
2016
|
2018
|
2020
|
2022
|
2024
|
|
Капвложения
|
654 000
|
2 313 000
|
381 000
|
72 000
|
-
|
-
|
-
|
|
Выручка от реализации
|
423 763
|
10 017 984
|
13 815 034
|
22 898 945
|
27 869 628
|
29 209 180
|
30 752 421
|
|
Текущие издержки
|
377 845
|
6 889 157
|
8 891 055
|
13 761 330
|
17 377 725
|
18 970 843
|
20 138 655
|
|
Амортизация капвложений
|
-
|
704 229
|
2 289 634
|
2 704 865
|
2 858 894
|
2 667 468
|
2 087 838
|
|
Валовая прибыль
|
45 918
|
2 424 598
|
2 634 345
|
6 432 750
|
7 633 009
|
7 570 869
|
8 525 928
|
|
Чистая прибыль
|
- 1 293 575
|
413 203
|
- 1 969 876
|
- 586 455
|
471 855
|
1 310 973
|
3 561 345
|
|
ДП от ОД
|
-1 293 575
|
1 117 432
|
319 758
|
2 118 410
|
3 330 749
|
3 978 441
|
5 649 183
|
|
Коэффициент приведения
|
1,00
|
0,76
|
0,57
|
0,43
|
0,33
|
0,25
|
0,19
|
|
Дисконтированные ДП от ОД
|
-1 293 575
|
844 939,13
|
182 822,67
|
915 847,10
|
1 088 827,76
|
983 409,77
|
1 055 872,70
|
|
Приведенный ДП от ИД
|
654 000
|
1 748 960,3
|
217 837,99
|
31 127,59
|
-
|
-
|
-
|
|
Общий приведенный ДП от ОД
и ИД
|
-1 947 575
|
-904 021,17
|
-35 015,31
|
884 719,52
|
1 088 827,76
|
983 409,77
|
1 055 872,70
|
|
Накопленный приведенный
общий ДП
|
-1 947 575,00
|
-2 625 090,09
|
- 3 584 709,33
|
-2 238 839,50
|
-70 206,65
|
1 992 533,85
|
4 059 472,38
|
Рисунок 3.12 - График дисконтированного срока окупаемости инвестиций
Внутренняя норма доходности имеет значение ставки дисконта, при которой
чистый дисконтированный доход равен 0. Тогда графическое представление ВНД как
функции от ЧДД приведено на рисунке 3.13.
Рисунок 3.13 - График определения внутренней нормы доходности
На основе рассчитанных показателей экономической оценки эффективности
можно сделать вывод, что инвестиционные вложения в создание ЦТК являются
эффективными, т.к. ЧДД>0, ИД>1, ВНД>E и срок окупаемости составил 8,07 лет при горизонте расчета
13 лет.
Таким образом, проведенный анализ мирового рынка лопаток ГТД показал, что
данный рынок является высококонкурентным и имеет значительные барьеры для
входа. Но ЦТК "Лопатки ГТД", опираясь на сильные стороны и
преимущества, выявленные в ходе SWOT-анализа,
имеет перспективу занять свою долю на мировом рынке наряду с крупными
зарубежными производителями лопаток.
На основе прогнозных объемов производства ГТД предприятиями ОАО
"ОДК", был построен прогнозный график производства лопаток ГТД
анализируемым ЦТК.
После проведенных расчетов и анализа прогнозных значений финансовых
результатов можно сделать вывод, что финансово-хозяйственная деятельность ЦТК
"Лопатки ГТД" является эффективной, опираясь также на значения
рассчитанных финансовых показателей.
4. Безопасность и экологичность проекта
В настоящее время влияние антропогенной деятельности человека на
окружающую среду определяется значительными объемами выбросов в атмосферный
воздух. При этом основными источниками загрязнения окружающей среды в России
являются промышленные предприятия, в частности предприятия машиностроения.
Предприятия машиностроения состоят из множества взаимосвязанных технологическим
процессом цехов и участков, где производство осуществляется путем обработки
металлов и других материалов на специальном оборудовании. Современное
механическое (или механообрабатывающее) производство занимает одно из
лидирующих мест среди загрязнителей атмосферного воздуха.
Таким образом, целью данного раздела является оценка воздействия работы
механообрабатывающего цеха ОАО "УМПО" по производству лопаток турбины
ГТД на окружающую среду.
4.1 Анализ
экологической ситуации в России
Под экологической ситуацией понимается изменчивое во времени и
пространстве состояние окружающей природной среды, формирующееся под
воздействием загрязнения и других антропогенных факторов [59].
Современное экологическое состояние 15% территории России не соответствует
нормативам. Здесь сосредоточены основная часть населения, производственные
мощности и наиболее продуктивные сельскохозяйственные угодья. Анализ
экологической ситуации в Российской Федерации за последние годы свидетельствует
о том, что экологическая обстановка на территориях, наиболее развитых
экономически, остается неблагополучной, а загрязнение природной среды -
достаточно высоким. Регионы, в которых сосредоточены объекты тяжелой
промышленности, нефтегазовой и горнорудной отраслей, черной и цветной
металлургии, характеризуются неблагоприятной экологической обстановкой.
По-прежнему сотни городов и поселков страны имеют среднегодовые уровни
загрязнения атмосферного воздуха, превышающие санитарно-гигиенические нормы
[60].
За последнее десятилетие объемы выбросов загрязняющих веществ,
образования отходов в целом стабильны, но все же на территории России находится
от 2 до 3 млрд. тонн опасных отходов, более 10 млн. тонн радиоактивных и
токсичных отходов. 6 регионов загрязнены радиацией, более 20 крупных городов -
ртутью. В 40 субъектах более 54% городского населения живут в условиях высокого
и очень высокого загрязнения атмосферного воздуха[26].
Распределение объема загрязненных сточных вод по федеральным округам
выглядит следующим образом: Центральный - 24%, Северно-Западный и Приволжский -
по 1.8%, Сибирский - 15%, Южный - 11%, Уральский - 9%, Дальневосточный - 5%.
Распределение объема токсичных отходов, образовавшихся в Российской
Федерации, по федеральным округам имеет следующий вид: Сибирский - 32%,
Приволжский- 16%, Северо-Западный и Уральский - по 15%, Центральный - 12%,
Южный - 7%, Дальневосточный - 3% [23].
При этом к числу основных природопользователей и загрязнителей окружающей
среды относятся промышленные, в т.ч. машиностроительные предприятия. Поэтому
совершенствование природоохранной деятельности на предприятии имеет ключевое
значение для решения экологических проблем. [55].
Машиностроительная отрасль за год выбрасывает в атмосферу около 725 тыс.
т. промышленных загрязнений, из которых улавливаются всего лишь 46,8-45,5%.
Главным образом улавливаются твердые вещества, диоксид серы, оксиды азота,
углеводороды, тяжелые металлы, частицы пыли.
4.2 Анализ
экологической ситуации в Республике Башкортостан
Современный тип эколого-экономического развития экономики Республики
Башкортостан можно определить как техногенный, то есть природоемкий,
базирующийся на использовании средств производства, созданных без учета
экологических ограничений. Деградация и истощение природных ресурсов требуют
огромных капитальных вложений для разработки новых ресурсов или усиления
эксплуатации уже имеющихся. Сформировавшийся техногенный тип развития приводит
к обострению экологических условий проживания. Во многих городах республики
загрязнение воздуха, водных объектов превышает санитарно-гигиенические нормы.
Плохое состояние окружающей среды определяет около 40 % заболеваемости
населения и 50 % онкологических заболеваний. Более 50 % выбросов загрязняющих
веществ в окружающую среду приходится на предприятия металлургической,
нефтегазодобывающей, нефтеперерабатывающей, нефтехимической, химической,
энергетической, пищевой и оборонной отраслей промышленности.
Основными источниками сброса загрязняющих веществ являются все ТЭЦ АО
"Башкирэнерго", предприятия АО "Башнефтехим", ОАО "Уфахимпром",
МУП "Уфаводоканал", ОАО "УМПО", ГУП "Гидравлика",
ОАО "Башмебель", АНК "Башнефть" и другие. Качество
поверхностных вод РБ (р. Белая, р. Дема, р. Уфа, р. Уршак, р. Шунгуровка, р. Сутолока
и т. д.) сформировалось под влиянием гидрохимического состава подземных вод,
сбросов сточных вод с промышленных объектов, поверхностного стока с
сельскохозяйственных земель, лесов и территорий населенных пунктов. Поэтому
водные объекты загрязнены нефтепродуктами, азотом аммонийным, фенолами,
железом, марганцем, никелем, цинком. Основная доля загрязняющих веществ,
сбрасываемых в водные объекты, приходится на сульфаты - 34,9 тыс. т (30,5 %),
хлориды - 57,1 тыс. т (50 %), нитраты - 60,9 тыс. т (6,0 %), взвешенные
вещества - 12,1 тыс. т (10,6 %).
Похожая картина наблюдается и по отношению к воздушному бассейну. По
данным наблюдений органов службы по гидрометеорологии и мониторингу во многих
городах республики среднегодовой уровень загрязнения воздуха превышает
санитарно-гигиенические нормы предельно допустимой концентрации (ПДК).
По данным статистики Республика Башкортостан по выбросам вредных веществ
в атмосферу занимает 8 место, а по сбросам в водные объекты - 17 место. Причем,
если в загрязнении водных ресурсов участвуют в основном предприятия химической
и нефтехимической промышленности (22 %) а также жилищно-коммунальное хозяйство
(42 %), то в загрязнении воздуха ведущее место занимает транспорт (46 %) и
предприятия ТЭК (35 %) [47].
4.3 Анализ
техногенного воздействия промышленного предприятия на окружающую среду
г. Уфа находится на 17 месте в рейтинге городов России по динамике
объемов выбросов в атмосферу загрязняющих веществ по данным на 2010г. [48].
Крупнейшим промышленным предприятием города является ОАО "УМПО",
которое в 2010г. занимало:
46 место в рейтинге предприятий России по образованию отходов [49];
62 место в рейтинге предприятий России по загрязнению атмосферы [50];
63 место в рейтинге предприятий России по воздействию на окружающую среду
[28];
65 место в рейтинге предприятий России по объему сточных вод [58].
С целью улучшить экологическое состояние на предприятии ОАО
"УМПО" провело в 2011 году комплекс экологических мероприятий,
направленных на охрану воздуха, водных и земельных ресурсов.
В частности, в реконструируемых корпусах ОАО "УМПО" внедрена система
оборотного водоснабжения. Всего на охрану и рациональное использование водных
ресурсов было направлено 2,3 млн. рублей. Ожидаемый экономический эффект - 4,9
млн. рублей в год. На территории предприятия уже действуют восемь таких систем.
Они позволяют сократить потребление технической воды за счет ее многократного
использования. После охлаждения в градирнях вода вновь поступает в работу, а не
сбрасывается в городские водоемы.
Более чем в десяти цехах ОАО "УМПО" установлено газоочистное
оборудование. В результате выбросы неорганической пыли сократились на 1,2 т.
Также в связи с внутренней реорганизацией уменьшилось количество источников
вредных веществ, что позволило сократить выбросы еще на 1,3 т. В целом затраты
на охрану атмосферного воздуха составили 3,8 млн. рублей.
Также ОАО "УМПО" реализовало мероприятия по рациональному
использованию земель и обезвреживанию отходов [25].
4.4 Анализ
техногенного воздействия механообрабатывающего цеха на окружающую среду
Современное механическое производство занимает одно из лидирующих мест
среди загрязнителей воздуха рабочей зоны. К механической обработке металлов
относятся процессы резания и абразивной обработки (фрезерование, шлифование,
сверление, полирование и т.д.). Характерной особенностью процессов механической
обработки является образование отходов в виде твердых частиц (промышленной
частиц). Источниками образования и выделения загрязняющих атмосферу веществ
являются различные металлорежущие и абразивные станки [24].
Наибольшим пылевыделением сопровождаются процессы абразивной обработки
металлов: зачистка, полирование, шлифование и др. Образующаяся при этом пыль на
30-40 % по массе представляет материал абразивного круга и на 60-70 % -
материал обрабатываемого изделия. Интенсивность пылевыделения при этих видах
обработки связана, в первую очередь, с величиной абразивного инструмента и
некоторых технологических параметров резания [41].
В ряде процессов механической обработки металлов и их сплавов применяют
смазочно-охлаждающие жидкости (СОЖ), применение которых сопровождается
образованием тонкодисперсного масляного аэрозоля и продуктов его термического
разложения.
Применение СОЖ снижает выделение пыли до минимальных значений, однако, в
процессах шлифования изделий количество выделяющейся совместно с аэрозолями СОЖ
металлоабразивной пыли остается значительным.
Пылевые и аэрозольные загрязнения атмосферы оказывают заметное влияние на
здоровье человека, состояние флоры и фауны. Профессиональные заболевания
(астма, аллергия, язва внутренних органов, слепота, утрата обоняния, слуха),
получаемые рабочими и обслуживающим персоналом в механообрабатывающих цехах, в
значительной мере связаны с воздействием на человека вредных производственных
факторов на производстве.
Основное воздействие на здоровье человека оказывают жидкостные,
газообразные и пылевые аэрозоли в воздухе рабочей зоны. При этом значительно
снижается производительность труда работников и, как следствие, качество
выпускаемой продукции.
4.5
Эколого-экономические расчеты воздействия загрязнения на окружающую среду
4.5.1 Расчеты выбросов загрязняющих веществ в ходе механообрабатывающего
процесса
При производстве лопаток турбины ГТД, осуществляемых ОАО
"УМПО", заготовки проходят множество этапов обработки, при этом
основные механические операции осуществляются в механообрабатывающем цехе.
Количество загрязняющих веществ, выделяющихся при механической обработке
оборудованием при существующем техпроцессе, определяется значением валового
выброса загрязняющих веществ при обработке металлов с применением смазочно-охлаждающей
жидкости (СОЖ):

, т/год
[60].
где
К - удельные выделения пыли, аэрозолей масла, эмульсола технологическим
оборудованием, г/с;
N - мощность
установленного оборудования, кВт;
Т
- фактический годовой фонд времени работы оборудования, ч.;
j - степень
очистки воздуха пылеулавливающим оборудованием (в долях единицы), j=0,95.
При
обработке металлов на токарных, сверлильных, фрезерных, строгальных, протяжных,
резьбонакатных, расточных станках применяются различные виды СОЖ. При
механообработке лопаток турбины применяются:
масло
при обработке на станках с ЧПУ и шлифовальных станках;
эмульсия
при обработке на станках без ЧПУ.
В
зависимости от применяемого вида СОЖ в воздух выделяются аэрозоли масла (К1=5,6×10-5г/с на 1
кВт) или эмульсола (К2=0,05×10-5г/с на 1
кВт), а при обработке на шлифовальном станке также в атмосферу выделяется
абразивная и металлическая пыль (К3, г/с).
В
таблице 4.1 приведены данные о существующем техпроцессе, применяемом
оборудовании и удельном количестве выделения ими загрязняющих веществ.
В
ходе создания ПЦ "Лопатки турбины - Уфа" на базе ОАО "УМПО"
будет осуществляться усовершенствование технологического процесса производства
лопаток турбины в целях повысить качество изделия. В таблице 4.2 представлены
данные об измененном техпроцессе и о применяемом оборудовании.
Для
рассматриваемого механообрабатывающего цеха ОАО "УМПО" по данным
таблицы 4.1 рассчитаем количество загрязняющих веществ, выделяющихся при
механической обработке металлов в ходе существующего техпроцесса:
)
Удельные выделения пыли технологическим оборудованием:

=
г/с;
)
Степень очистки воздуха пылеулавливающим оборудованием: 95%;
)
Фактический годовой фонд времени работы оборудования:
Т=3720
ч.
)
Количество загрязняющих веществ:

=11,415 
, т/год.
Таблица 4.1 - Данные по применяемому оборудованию в существующем
техпроцессе
|
Номер операции
|
Наименование операции
|
Оборудование
|
Мощность, кВт
|
Удельные выделения
оборудованием в атмосферу
|
|
|
|
|
аэрозолей масла
|
аэрозолей эмульсола
|
абразивной и металлической
пыли
|
5,6*кВт=
К1, 
г/с0,05*кВт=
|
К2,  г/сК3 г/с
|
|
|
|
|
1
|
2
|
3
|
4
|
5
|
6
|
7
|
|
005
|
Фрезерная
|
6Т83-1
|
11
|
|
0,0055
|
|
|
010
|
Сверлильная
|
2А554
|
8,9
|
|
0,0045
|
|
|
015
|
Слесарная
|
ВЕРСТАК
|
|
|
|
|
|
020
|
Шлифовальная
|
3Е180В
|
3,5
|
0,196
|
|
0,086
|
|
025
|
Фрезерная
|
6Т83-1
|
11
|
|
0,0055
|
|
|
030
|
Сверлильная
|
2А554
|
8,9
|
|
0,0045
|
|
|
035
|
Токарная с ЧПУ
|
1к516ПФ3
|
45
|
2,52
|
|
|
|
040
|
Слесарная
|
ВЕРСТАК
|
|
|
|
|
|
045
|
Токарная с ЧПУ
|
1А512МФ3
|
55
|
3,08
|
|
|
|
050
|
Шлифовальная
|
3Е180В
|
3,5
|
0,196
|
|
0,086
|
Электроэрозионная обработка
|
|
|
|
|
|
|
060
|
Слесарная
|
ВЕРСТАК
|
|
|
|
|
|
065
|
Фрезерная
|
6Т83-1
|
11
|
|
0,0055
|
|
|
070
|
Фрезерная
|
6Т83-1
|
11
|
|
0,0055
|
|
|
075
|
Слесарная
|
ВЕРСТАК
|
|
|
|
|
|
080
|
Токарная с ЧПУ
|
SKJQ16WC
|
55
|
3,08
|
|
|
|
085
|
Полировка
|
ВЕРСТАК
|
|
|
|
|
|
090
|
Токарная с ЧПУ
|
1А512МФ3
|
55
|
3,08
|
|
|
|
095
|
Шлифовальная
|
3Е180В
|
3,5
|
0,196
|
|
0,086
|
|
100
|
Слесарная
|
ВЕРСТАК
|
|
|
|
|
|
105
|
Промывка
|
|
|
|
|
|
|
110
|
Контроль
|
Контрольный стол
|
|
|
|
|
|
115
|
Плоскошлифовальная
|
ШПГ 3Д725
|
30
|
1,68
|
|
0,063
|
|
120
|
Фрезерная с ЧПУ
|
ФП17МН7
|
5,5
|
0,308
|
|
|
|
125
|
Фрезерная с ЧПУ
|
ФП17МН7
|
5,5
|
0,308
|
|
|
|
130
|
Фрезерная с ЧПУ
|
ФП17МН7
|
5,5
|
0,308
|
|
|
|
135
|
Притирочная
|
ВЕРСТАК
|
|
|
|
|
|
140
|
Плоскошлифовальная
|
ШПГ 3Д725
|
30
|
1,68
|
|
0,063
|
|
145
|
Промывка
|
|
|
|
|
|
|
150
|
Контроль
|
Контрольный стол
|
|
|
|
|
|
Итого
|
|
|
16,632
|
0,0309
|
0,3840
|
|
Сумма
|
|
|
17,0469
|
|
|
Таблица 4.2 - Данные по применяемому оборудованию в измененном
техпроцессе
|
Номер операции
|
Наименование операции
|
Оборудование
|
Мощность, кВт
|
Удельные выделения
оборудованием в атмосферу
|
|
|
|
|
аэрозолей масла
|
аэрозолей эмульсола
|
абразивной и металлической
пыли
|
5,6*кВт=
К1, 
г/с0,05*кВт=
|
К2,  г/сК3 г/с
|
|
|
|
|
005
|
Фрезерная
|
6Т83-1
|
11
|
|
0,0055
|
|
|
010
|
Сверлильная
|
2А554
|
8,9
|
|
0,00455
|
0,03
|
|
015
|
Шлифовальная с ЧПУ
|
ШУ 322.21
|
10
|
0,56
|
|
|
|
020
|
Токарная с ЧПУ
|
1к516ПФ3
|
45
|
2,52
|
|
|
|
025
|
Токарная с ЧПУ
|
1к516ПФ3
|
45
|
2,52
|
|
|
|
030
|
Фрезерная
|
6Т83-1
|
11
|
|
0,0055
|
|
|
035
|
Сверлильная
|
2А554
|
8,9
|
|
0,00455
|
|
|
040
|
Шлифовальная
|
3Е180В
|
3,5
|
0,196
|
|
0,086
|
|
045
|
Электроэрозионная обработка
|
|
|
|
|
|
|
050
|
Слесарная
|
ВЕРСТАК
|
|
|
|
|
|
055
|
Фрезерная
|
6Т83-1
|
11
|
|
0,0055
|
|
|
060
|
Токарная с ЧПУ
|
1к516ПФ3
|
45
|
2,52
|
|
|
|
065
|
Притирочная
|
ВЕРСТАК
|
|
|
|
|
|
070
|
Токарная с ЧПУ
|
SKJQ16WC
|
55
|
3,08
|
|
|
|
075
|
Шлифовальная
|
3Е180В
|
3,5
|
0,196
|
|
0,086
|
|
080
|
Слесарная
|
ВЕРСТАК
|
|
|
|
|
|
085
|
Промывка
|
|
|
|
|
|
|
090
|
Контроль
|
|
|
|
|
|
|
095
|
Плоскошлифовальная
|
ШПГ 3Д725
|
30
|
1,68
|
|
0,063
|
|
100
|
Фрезерная с ЧПУ
|
ФП17МН7
|
5,5
|
0,308
|
|
|
|
105
|
Фрезерная с ЧПУ
|
ФП17МН7
|
5,5
|
0,308
|
|
|
|
110
|
Фрезерная с ЧПУ
|
ФП17МН7
|
5,5
|
0,308
|
|
|
|
115
|
Притирочная
|
ВЕРСТАК
|
|
|
|
|
|
120
|
Плоскошлифовальная
|
ШПГ 3Д725
|
30
|
1,68
|
|
0,063
|
|
125
|
Промывка
|
|
|
|
|
|
|
130
|
Контроль
|
Контрольный стол
|
|
|
|
|
|
Итого
|
|
|
15,876
|
0,0254
|
0,328
|
|
Сумма
|
|
|
16,2294
|
Для механообрабатывающего цеха ОАО "УМПО" по данным таблицы 4.2
рассчитаем количество загрязняющих веществ, выделяющихся при механической
обработке металлов в ходе измененного техпроцесса:
) Удельные выделения пыли технологическим оборудованием:

=
г/с;
)
Степень очистки воздуха пылеулавливающим оборудованием: 95%;
)
Фактический годовой фонд времени работы оборудования: Т=3720 ч.
)
Количество загрязняющих веществ:

=10,867 
, т/год.
Таким
образом, производство лопаток ГТД по усовершенствованному техпроцессу позволяет
сократить выделение вредных загрязняющих веществ на 0,548

т/год
механообрабатывающим цехом ОАО "УМПО".
4.5.2
Расчет платы за загрязнение окружающей среды
В
целях государственного регулирования выбросов вредных веществ в атмосферный
воздух правительством РФ устанавливаются нормативы выбросов.
Формула
расчета платы за выбросы загрязняющих веществ от стационарных источников в
атмосферу [61]:

,
где

- плата
за выбросы загрязняющих веществ в пределах допустимых нормативов выбросов,
руб.;

- плата
за выбросы загрязняющих веществ в пределах установленных лимитов выбросов,
руб.;

- плата
за выбросы загрязняющих веществ сверх установленных лимитов выбросов, руб.;
где
Н - норматив платы за выброс 1 тонны загрязняющих веществ в пределах допустимых
нормативов выбросов, руб.;
М
- масса выбрасываемого загрязняющего вещества в пределах допустимых нормативов,
тонн;
,2
- коэффициент при выбросе загрязняющих веществ в атмосферный воздух городов;

-
норматив платы за выброс 1 тонны загрязняющих веществ в пределах установленных
лимитов выбросов, руб.;

- масса
выбрасываемого загрязняющего вещества в пределах установленных лимитов, тонн;

-
норматив платы за выброс 1 тонны загрязняющих веществ сверх установленных
лимитов выбросов, руб.;

- масса
выбрасываемого загрязняющего вещества сверх установленных лимитов, тонн.
-
повышающий коэффициент;
Рассчитанные
значения выбрасываемых загрязняющих веществ оборудованием при производстве лопаток
ГТД находятся в пределах допустимых значений. Тогда результаты расчетов платы
за выбросы при существующем и измененном техпроцессах приведены в таблице 4.3.
Таблица
4.3 - Результаты расчетов платы за выбросы загрязняющих веществ в атмосферный
воздух
|
Параметр
|
Количество загрязняющих
веществ (Мвыд),  т/годНорматив
платы за выброс 1 т/год, руб.
|
Плата за выброс в пределах
нормативов, руб./год
|
|
|
Существующий техпроцесс
|
11,415
|
41
|
468,015
|
|
Усовершенствованный
техпроцесс
|
10,867
|
41
|
445,547
|
|
Изменение
|
0,548
|
|
22,468
|
Таким образом, вследствие изменения технологического процесса
изготовления лопаток турбины ГТД получена экономия платы за выбросы
загрязняющих веществ в атмосферный воздух.
4.6 Анализ
мероприятий по снижению негативного воздействия на окружающую среду
Для защиты воздушного бассейна от негативного антропогенного воздействия
в виде загрязнения его вредными веществами используют следующие меры:
экологизацию технологических процессов;
очистку газовых выбросов от вредных примесей;
рассеивание газовых выбросов в атмосфере;
устройство санитарно-защитных зон, архитектурно-планировочные решения и др.
Наиболее радикальная мера охраны воздушного бассейна от загрязнения -
экологизация технологических процессов и в первую очередь создание замкнутых
технологических циклов, безотходных и малоотходных технологий, исключающих
попадание в атмосферу вредных загрязняющих веществ. Экологизация технологических процессов предусматривает, в
частности, создание непрерывных технологических процессов производства, замену
местных котельных установок на централизованное тепло, предварительное очищение
топлива и сырья от вредных примесей, замену угля и мазута на природный газ,
применение гидрообеспыливания, перевод на электропривод компрессоров,
сваебойных агрегатов, насосов и др.
К сожалению, нынешний уровень развития экологизации технологических
процессов, внедрение замкнутых технологий и т. д. недостаточен для полного
предотвращения выбросов токсичных веществ в атмосферу. Поэтому на предприятиях
повсеместно используются различные методы очистки отходящих газов. Способы очистки выбросов от токсичных газо- и парообразных примесей
подразделяют на три группы:
) поглощение примесей путём применения каталитическ4ого превращения;
) промывка выбросов растворителями примеси (абсорбционный метод);
) поглощение газообразных примесей твёрдыми телами (адсорбционный метод).
С помощью каталитического метода токсичные компоненты промышленных
выбросов превращают в вещества безвредные или менее вредные путём введения
катализаторов.
Абсорбционный метод основан на поглощении вредных веществ абсорбентом
(вода, растворы щелочей или соды, аммиака и др.) устройства - абсорберы. Адсорбционный метод позволяет извлекать вредные компоненты из
промышленных выбросов с помощью адсорбентов - твёрдые тела с
ультрамикропористой структурой (активированный уголь и глинозём, силикагель,
цеолиты, сланцевая зола и др.) [67]. Для
очистки выбросов от аэрозолей в настоящее время используется различные типы
устройств в зависимости от степени запыленности воздуха0 размеров твердых
частиц и требуемого уровня очистки.
ЗАКЛЮЧЕНИЕ
В настоящем дипломном проекте рассмотрены основные теоретические аспекты
управления проектами на предприятии, проектного подхода к управлению
предприятием. Также рассмотрен теоретический материал о структурных
преобразованиях и их влиянии на управление предприятием.
Современные структурные преобразования в отрасли в виде интеграционных
процессов значительно влияют на деятельность промышленных предприятий и на
управление ими. Создание различных ЦТК на базе производственных предприятий
приводит к необходимости применения проектного подхода в управлении
предприятием, как наиболее эффективного.
Создание ЦТК "Лопатки ГТД" должно способствовать развитию
отечественной двигателестроительной отрасли, посредством выхода ЦТК на мировой
рынок лопаток ГТД, как поставщик второго и третьего уровня. В целях оценки
возможности реализации поставленных задач в проектной части дипломного проекта
был проведен анализ состояния оборонно-промышленного комплекса в целом и
двигателестроительной отрасли в частности, также анализ зарубежных
производителей ГТД и лопаток ГТД. Анализ существующих технологий производства
двигателей и лопаток ГТД показал, что отечественные технологии значительно
отстают от зарубежных. В России производят преимущественно двигатели 4-го
поколения, при этом двигатели 5-го поколения находятся на этапе летных
испытаний, тогда как в США двигатели 5-го поколения выпускаются серийно с
2001г.
ЦТК "Лопатки ГТД" предполагает создание производственных
центров:
ПЦ "Лопатки компрессора" (Наро-Фоминск, Рыбинск)
ПЦ "Лопатки турбины" (Уфа, Пермь, Рыбинск)
ПЦ "Блиски и лопатки вентилятора" (Уфа)
ПЦ "Ремонт лопаток" (Екатеринбург).
Перечисленные производственные центры будут создаваться на базе таких
предприятий, как ОАО "УМПО", ОАО "НФМЗ", ОАО
"ПМЗ", "УЗГА", ОАО "НПО "Сатурн". Планируется, что ЦТК "Лопатки ГТД" выйдет на
проектную мощность по производству лопаток компрессора и турбины ГТД к 2016г.,
а выход на мировой рынок ожидается в 2019-2020гг. Создание ЦТК "Лопатки ГТД" позволит выпускать изделия,
соответствующие мировым стандартам и современным технологиям, что требует
значительных капиталовложений в размере 32 891 млн. руб. Расчеты, проведенные с
использованием программного продукта "Альт-Инвест-Прим", позволили
составить прогнозные значения финансовых результатов деятельности ЦТК
"Лопатки ГТД" с учетом долгового финансирования. В качестве
источников финансирования выступают кредит под гарантии ЭКА (400 000 евро),
коммерческий кредит (5 000 млн. руб.), а также бюджетное финансирование в
размере 3 млрд. руб. Общая величина долгового финансирования составила ≈25
000 млн. руб., при этом необходимые капвложения - ≈32 890 млн. руб.
Недостающая сумма инвестиций будет покрываться за счет прибыли от операционной
деятельности. Показатели экономической оценки
эффективности капвложений в создание ЦТК показали, что инвестиционные вложения
являются эффективными, т.к. все показатели соответствуют требованиям
эффективности ( ЧДД>0, ИД>1, ВНД>E). При этом ЧДД составил 5 163,36 млн. руб., ИД - 2,01, ВНД -
27%, а срок окупаемости - 8,07 лет при горизонте расчета 13 лет.
По
итогам анализа, проведенного в разделе безопасности и экологичности проекта,
можно сделать вывод, что изменения в технологическом процессе лопаток турбины,
производимыми в механообрабатывающем цехе ОАО "УМПО" привели к
снижению загрязняющих атмосферу выбросов на 0,548

т/год,
вследствие чего уменьшились и выплаты за выбросы на 22,468
руб./год.
СПИСОК
ЛИТЕРАТУРЫ
1.
Методические рекомендации по оценке эффективности инвестиционных проектов. 2-я
редакция, утверждено Министерством экономики РФ, Министерством финансов РФ,
Государственным комитетом РФ по строительной, архитектурной и жилищной политике
№ВК 477 от 21.06.1999.
. Заренков В.А.
Управление проектами: учеб. пособие. - 2-е изд. - М.: Изд-во АСВ; СПб.:
СПбГАСУ, 2008. - 312с.
3. Куправа
Т.А. Управление проектами. Вводный курс: Учебное пособие. - М.: изд-во РУДН,
2008.-121с.
4. Мазур И.И.
Управление проектами: учеб. пособие/ под общ. ред. И.И. Мазура и В.Д. Шапиро. -
М.: Издательство "Омега - Л", 2010. - 960 с.
. Бирюков
В.В. Методические основы использования Сбалансированной системы показателей в
Мультипроектном управлении [Электронный ресурс]/URL:
#"722830.files/image089.gif">
|
|
|
|
|
|
Тип лопатки ГТД
|
Беззамковые лопатки
|
Лопатки с хвостовиком типа
"ласточкин хвост"
|
Лопатки с хвостовиком типа
"ласточкин хвост" (двухзамковые)
|
Лопатки с хвостовиком типа
"ласточкин хвост" с кольцевым замком
|
Лопатки поворотные с одной
и двумя цапфами
|
Лопатки с ввариваемым
хвостовиком
|
|
L пера
|
100…150 мм
|
20…450 мм
|
35…400 мм
|
25…150 мм
|
30…600 мм
|
40…150 мм
|
|
Изображение лопатки
|
|
|
|
|
|
|
|
Тип лопатки ГТД
|
Лопатки с хвостовиком типа
"полка"
|
Лопатки двухполочные силовые
|
Лопатки с бандажными
полками
|
Лопатки с замком типа
"проушина"
|
Широходные лопатки
вентилятора (полые и цельные)
|
|
|
L пера
|
35…400 мм
|
35…400 мм
|
20…450 мм
|
300…400 мм
|
400…650 мм
|
|
ПРИЛОЖЕНИЕ
Б
Таблица Б.1 - Основные типы и габариты лопаток турбины ГТД
|
Изображение лопатки
|
|
|
|
|
|
Тип лопатки ГТД
|
Лопатки рабочие с бандажной
полкой (охлаждаемые)
|
Лопатки рабочие с бандажной
полкой (неохлаждаемые)
|
Лопатки рабочие без
бандажной полки (охлаждаемые)
|
Лопатки рабочие без
бандажной полки (неохлаждаемые)
|
|
L пера
|
40…350 мм
|
40…600 мм
|
40…350 мм
|
|
Изображение лопатки
|
|
|
|
|
|
Тип лопатки ГТД
|
Лопатки сопловые одиночные
(охлаждаемые)
|
Лопатки сопловые одиночные
(неохлаждаемые)
|
Лопатки сопловые секторные
(охлаждаемые)
|
Лопатки сопловые секторные
(неохлаждаемые)
|
|
L пера
|
40…350 мм
|
40…600 мм
|
60…350 мм
|
60…350
|
ПРИЛОЖЕНИЕ
В
Таблица В.1 - График возврата кредитов

ПРИЛОЖЕНИЕ
Г
Таблица Г.1 - Экономическая оценка инвестиций, тыс. руб.