|
Потребляемая мощность (не более), кВт
|
9
|
|
Объем загрузочной чаши фритюрницы, л
|
15
|
|
Максимальная температура, ограниченная термостатом, °С
|
170
|
|
Время разогрева до максимальной температуры, мин
|
20
|
|
Размеры рабочей поверхности, мм
|
400х900х900
|
|
Корпус, материал
|
Оцинкованное блестящее листовое железо
|
2. Тепловой расчет
аппарата
2.1 Расчет полезно
используемого тепла
Количество одновременно загружаемого
продукта для жарки во фритюре рассчитывается по формуле:
Расчет Qп, кДж/ч, жарочного оборудования обычно производят делением затрат
энергии на час работы оборудования.
При расчете жарочного оборудования в
условиях нестационарного режима полезная теплота затрачивается на нагрев масла.
Количество нагреваемого масла определяют по количеству обрабатываемых
продуктов. Для расчета полезно используемого тепла, расходуемого на нагрев жира
в режиме разогрева, пользуются формулой:
где Мж - вес пищевого
жира, кг; должен превосходить массу закладываемого продукта минимум в 4 раза;
Сж - теплоемкость
пищевого жира, принять равной 1,676 кДж/(кг*°С)
t1 - температура нагрева
жира (равная температуре жарки), принимается равной 160-170 °С;
t0 - начальная температура
пищевого жира, °С;

- время нагрева жира,
ч.
При стационарном режиме
полезно используемое тепло состоит из отдельных статей расхода, которые
рекомендуется определить по формуле:
где первое слагаемое -
расход тепла на нагрев продукта;
второе - расход тепла на
испарение влаги из продукта;
третье - расход тепла на
образование корочки на продукте;
четвертое - расход тепла
на нагрев доливаемого в процессе работы пищевого жира (если это необходимо);
М - часовая
производительность по сырью, кг/ч.
где G0 - количество одновременно загружаемого продукта для жарения, кг;

- продолжительность
цикла обработки, мин;
с - теплоемкость
продукта, кДж/(кг°С);
t2
- температура нагрева продукта, принимаемая равной 90-100 °С;
t4
- начальная температура продукта, °С;

- истинный продукт
ужарки, %; для картофеля, овощей 17-60%;
r
- скрытая теплота испарения при атмосферном давлении, кДж/кг, (2258,2)
К - процентное
содержание корки в продукте; рекомендуем в расчетах принимать в пределах от 15
до 25%;
Ск -
теплоемкость корочки, принять как теплоемкость сухого вещества равную 1,67
кДж/(кг°С);
t3
- температура образования корочки, °С (135-140 °С);
mж
- расход пищевого масла на обжаривание сырья в%; рекомендуем принимать в
пределах от 15 до 20%;
t1
- рабочая температура жира, °С;
t0
- начальная температура жира, °С.
2.2 Определение потерь
тепла в окружающую среду
Потери тепла в
окружающую среду при работе теплового оборудования в основном связаны с
теплообменными процессами, происходящими между окружающей средой и внешним
ограждением (корпусом) оборудования.
Для определения потерь в
окружающую среду при нестационарных и стационарных режимах можно
воспользоваться следующей формулой:
где 
- потери тепла через
вертикальное ограждение (вертикальные поверхности корпуса) в окружающую среду,
кДж;

- потери тепла через
крышку оборудования в окружающую среду, кДж;

- потери тепла через
дно оборудования в окружающую среду, кДж.
При расчете принимаем Qбок.пов. - 60 °С, Qкр
- 90 °С.
Теплопередачи через дно
незначительны, так как тепловые потоки, как правило, направлены снизу вверх.
Поэтому при расчетах ими часто пренебрегают.
Потери тепла в
окружающую среду через отдельные поверхности оборудования определяются по
формуле:
где 
- коэффициент
теплоотдачи от поверхности ограждения в окружающую среду, кДж/м2*час*°С;
F
- площадь поверхности теплообмена (крышка, обечайка и т.д.), м2;

- средняя температура
поверхности ограждения, °С;

- температура
окружающей среды, °С;
В процессе отдачи тепла
ограждением в окружающую среду имеет место теплопередача конвекцией и
лучеиспусканием, поэтому коэффициент теплоотдачи в данном случае определяется
по формуле:
где 
- коэффициент
теплоотдачи конвекцией, кДж/м2*час*°С;

- коэффициент теплоотдачи
лучеиспусканием, кДж/м2*час*°С.
При определении
коэффициента теплоотдачи конвекцией прежде всего необходимо выяснить характер
теплообмена: происходит ли он при вынужденном или свободном движении воздуха
относительно теплоотдающей поверхности. В данном случае - при свободном
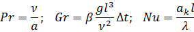
движении воздуха, потому определяющими являются критерии Грасгофа Gr и Прандтля Pr.
Первый характеризует
интенсивность конвективных потоков, возникающих вследствие разностей плотностей
рабочего тела (воздуха) и перепада температур между ними и стенкой аппарата с
учетом геометрической характеристики теплоотдающей поверхности.
На основе определяющих
критериев находится критерий Нуссельта Nu,
включающий значение коэффициента теплоотдача конвекцией и характеризующий собой
тепловое подобие.
Указанные критерии имеют
следующий вид:
где 
- коэффициент
кинематической вязкости воздуха, м2/с;
l
- определяющий геометрический размер, м; выбирается наибольший линейный размер
(обычно высота) или диаметр (для поверхностей круглой формы) ограждения;

- коэффициент
температуропроводности воздуха, м2/с;

- коэффициент
теплопроводности воздуха, Вт/м°С;

- коэффициент объемного
расширения воздуха, 1/°С.
где 
- коэффициент
теплоотдачи конвекцией, Вт/м2°С;

- перепад температур между
ограждением и воздухом.
Физические параметры для
сухого воздуха при Pв =760
мм рт. ст.=1,01*105 Па согласно справочным данным.
При свободной конвекции
в неограниченном пространстве критериальное уравнение имеет вид:
Величины c и n для отдельных областей
изменения произведения 
можно принять из
таблицы 2.
Таблица 2 - Коэффициенты
для определения критерия Нуссельта
|
|
c
|
n
|
|
1*10-3 -
5*102 5*102 - 2*107 2*107 - 1*1013
|
1,18 0,54 0,135
|
1/8 ¼ 1/3
|
Определяющей температурой является
полусумма температур рабочего тела (воздуха) и стенки.
В условиях стационарного режима
работы оборудования за определяющую температуру принимают предельную (конечную)
температуру нагрева соответствующей поверхности ограждения.
По величине определяющей
температуры воздуха по справочным данным выбирают физические параметры воздуха:
коэффициент температуропроводности 
, коэффициент
теплопроводности 
, коэффициент
кинематической вязкости 
, затем находят
произведение (Gr*Pr), c, n и численную величину критерия Nu.
По значению критерия
Нуссельта определяется коэффициент теплоотдачи конвекцией
Коэффициент теплоотдачи
лучеиспусканием 
определяется по формуле
Стефана-Больцмана:
где Е - степень черноты
полного нормального излучения поверхности, для различных материалов
определяется по справочным данным
С0 -
коэффициент лучеиспускания абсолютно черного тела, Вт/(м2*К4),
С0=5,67 Вт/(м2*К4);
tn
- средняя температура теплоотдающей поверхности, °С;
t0
- температура окружающего поверхность воздуха, °С;
Tn
- абсолютная температура окружающей среды, К, T0
= t0+273;
T0
- абсолютная температура окружающей среды, К, Т0 =t0+273.
Следует учесть, что при
вычислении Qср по формуле

полученное значение 
необходимо умножить на
3600, т. к. единицы измерения - кДж/м2час.
Нестационарный режим:
Для крышки:
А определяющая
температура воздуха вблизи крышки:
Тогда 
=0,0274 Вт/м*К, 
=16,72*10-4м2/с,
Pr=0,69,
Для боковых
поверхностей:
А определяющая
температура воздуха вблизи крышки:
Тогда 
=0,0268 Вт/м*К, 
=16,00*10-4м2/с,
Pr=0,69,
Стационарный режим:
Определяющая температура
воздуха вблизи фритюрницы:
Тогда 
=0,0287 Вт/м*К, 
=18,48*10-4 м2/с,
Pr=0,7
Для боковых
поверхностей:
Тогда 
=0,0276 Вт/м*К, 
=16,96*10-4 м2/с,
Pr=0,69
Расчет потерь тепла на
нагрев оборудования связаны с поглощением теплоты конструкционными материалами
и, прежде всего, металлическими сплавами, из которых изготовлено оборудование.
Наибольшему нагреву подвергаются рабочие камеры, в которых происходит тепловая
обработка, а также устройства, генерирующие тепло (корпус парогенератора,
пароводяной рубашки и др.)
Для выполнения расчета
расхода тепла на разогрев конструкции последней ведется только для
нестационарного режима работы аппарата. Надо помнить, что расход тепла на
разогрев конструкции сковороды определяется выражением:
где 
- тепло, расходуемое на
нагревание металлических конструкций сковороды, кДж;

- тепло, расходуемое на
нагревание изоляции сковороды, кДж;
где 
- масса i-того элемента металлической конструкции (рабочая поверхность,
тэнная коробка), кг
Для каждого элемента вес
рассчитывается по формуле:
где 
- объем элемента i-той конструкции, м3;

I
- плотность материала элемента конструкции, кг/м3;

- удельная теплоемкость
материала конструкции, кДж/(кг*°С);

- средняя конечная
температура нагрева металлоконструкции сковороды, °С;

- начальная температура
металлоконструкции сковороды, °С;
Конечную температуру по
элементам конструкции можно принять исходя из режимов тепловой обработки
продукта и вида изделия.
где 
- вес изоляционной
конструкции сковороды, кг;
где 
- толщина изоляционного
слоя, м;

- теплоемкость
изоляции, кДж/(кг*°С);
где 
- коэффициент
теплопроводности изоляционного материала в зависимости от средней температуры
изоляции;

вн
- температура частей изоляции, касающихся наружного котла, °С;

- температура частей
изоляции, касающихся кожуха, °С;

, Вт/м2, -
удельные тепловые потери поверхности;
где 
- коэффициент
теплоотдачи от вертикальной стенки ограждения к окружающему воздуху, Вт/м2*°С;

- средняя температура
нагрева изоляции, °С;

- температура
ограждения (обечайки), °С;

- начальная температура
изоляции, равная температуре окружающей среды, °С;

- теплоемкость
изоляции, кДж/(кг*°С); принять равной 0,9-1,2 кДж/(кг*°С);

- средняя температура
нагрева изоляции, °С.
где tж - температура частей изоляции, касающихся жарочной емкости,

- температура частей
изоляции, касающихся наружных стен, °С;

- начальная температура
изоляции, равная температуре окружающей среды, °С.
Для изоляции:
Для конструкции:
Полученные результаты
расчетов жарочного оборудования занесены в таблицу 3
Таблица 3 - Результаты
теплового расчета
|
Расход тепла, кДж/ч
|
Стационарный режим
|
|
Полезно используемое тепло Потери тепла в окружающую среду
Потери тепла на разогрев конструкции
|
2358,132 373, 26 2685
|
4643,6 214,5 -
|
|
Итого:
|
5416,4
|
4858,1
|
3. Конструирование и
расчет электронагревателей
3.1 Конструирование
электронагревателей
Конструирование электронагревателей
производится с учетом геометрических характеристик рабочей камеры или других
узлов, где они устанавливаются. При конструировании необходимо выбрать
конфигурацию и месторасположение электронагревателей так, чтобы эффективность
теплообмена была максимальной. Для фритюрницы секционно-модулированной
используются электронагреватели изогнутых тэнов. Их главным достоинством
является достаточно высокий ресурс работы. Так как фритюрница одна, то и ТЭН
один, как показано на чертеже «Схема расположения ТЭНов».
3.2 Расчет
электронагревателей
Для выполнения расчета
электронагревателя надо знать его мощность, допустимую удельную мощность на
поверхности трубки тэна (не более 4 кВт), номинальное напряжение, рабочую
температуру и среду, в которой будет работать нагреватель.
Мощность оборудования Р, кВт,
определяется на основании теплового расчета
где Q - максимальное тепло, подводимое к
аппарату за время разогрева Q’ или стационарного режима Q» (определяется из теплового
баланса), кДж (кДж/ч)

- время разогрева или
стационарного режима, с. Если Q’
или Q» имеет размерность кДж/ч, то 
= 3600 с.
Мощность одного ТЭНа З,
кВт, определяется по формуле:
где n - количество тэнов в аппарате, обусловленное назначением аппарата
и схемой регулирования нагрева. Мощность одного ТЭНа в тепловом оборудовании
общественного питания обычно не превышает 3-4 кВт.
При расчете важно
правильно выбрать диаметр проволоки. При завышении его потребуется большая
длина проволоки, что вызовет перерасход дорогостоящего материала и увеличение
габаритов нагревателя, при занижении диаметра - спираль быстрее перегорит.
Для выполнения расчета
по таблице 4 выбираем допустимую удельную мощность W
на поверхности трубки тэна в зависимости от рабочей среды.
Таблица 4 -
Рекомендуемые значения удельной мощности ТЭНов.
|
Рабочая среда
|
Рекомендуемый материал оболочки тэна
|
Удельная мощность W,
Вт/м2
|
|
Вода Жиры пищевые Воздух
|
Нержавеющая сталь марки Х18Н10Т Ст. 10, Ст. 20 с защитным
покрытием Ст. 10, Ст. 20 с защитным покрытием
|
11*104 3*104 2,2*104
|
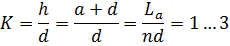
По чертежу «Схема расположения
ТЭНов» определяют полную длину электронагревателя Lполн, м,
а затем активную длину после
опрессовки La, м,
где 
- длина пассивных
концов трубки ТЭНа, м, принимается в пределах 0,04-005 м.
Длина активной части
тэна до опрессовки 
, м, составляет:
где 
- коэффициент удлинения
трубки после опрессовки; принимается равным 1,15.
По известному значению 
определяют диаметр
трубки корпуса тэна D, м,
Диаметр трубки тэна для
теплового оборудования обычно имеет значения в пределах 8-20 мм. Если по
расчету значение D оказалось меньше 8 мм,
то его необходимо увеличить до указанных значений. Если D оказался больше 20 мм, то необходимо изменить форму ТЭНа с целью
увеличения его длины. Удельная мощность выбирается равной 3*104Вт/м2,
так как рабочей средой является жир пищевой.
Примем D=12 мм
Электрическое
сопротивление проволоки ТЭНа после опрессовки, R,
Ом, составляет:
где U - напряжение сети, U=220
В.
Сопротивление проволоки
ТЭНа до опрессовки R, Ом, составляет:
где 
- коэффициент изменения
электрического сопротивления проволоки в результате опрессовки, принимается
равным 1,3.
Зная 
, можно вычислить
диаметр и длину проволоки спирали, пользуясь известными зависимостями:
где d - диаметр проволоки, м; принимается в пределах 0,0004 до 0,001 м;
S
- сечение проволоки, м2;
l
- длина проволоки спирали (активная), м.
Длина проволоки ТЭНа
будет равна:
где d - принятый диаметр проволоки, м;

- удельное
сопротивление проволоки при рабочей температуре, Ом*м2, определяемое
по формуле:
где 
- удельное
сопротивление проволоки при 20 °С, принимается по табл. 4;
а - температурный
коэффициент сопротивления, принимается по табл. 3;
t
- максимальная (рабочая) температура нагрева проволоки спирали.
Так как рабочей средой
является воздух, т.е. самая агрессивная среда, то по таблице 5 при рабочей
допустимой температуре 1250 °С и марке 0Х27Ю5А
Таблица 5 -
Характеристики электротехнических сплавов