Імітаційне моделювання роботи відділення банку ПАТ комерційний 'Приватбанк'
ЗМІСТ
ВСТУП
1. ЗАГАЛЬНИЙ РОЗДІЛ
1.1 Вивчення об’єкту
дослідження
1.1.1 Характеристика
підприємства
1.2
Огляд і аналіз сучасного стану розвитку інформаційних технологій
1.3 Огляд і аналіз існуючих
методів і засобів вирішення задач дипломної роботи
1.3.1 Середовище реалізації
проекту і мова програмування
1.4 Змістовний опис і аналіз
структурних і функціональних особливостей об’єкта проектування
.5 Постановка задачі
2. СПЕЦІАЛЬНИЙ РОЗДІЛ
2.1 Проектування підсистеми,
що розробляється
.1.1 Структурне моделювання
бізнес-процесів підсистеми
2.1.2
Аналіз логічної та фізичної моделей баз даних
2.2 Інформаційне забезпечення
.2.1 Опис GPSS WORLD PLUS
.2.2 Опис функції підключення
файлів Include
2.2.3 Приклад
моделювання стандартних числових атрибутів (СЧА)
.3 Математичне
забезпечення
2.3.1 Системи з одним
пристроєм обслуговування
.3.2 Багатоканальні системи
масового обслуговування
2.4
Графи станів
3. РОЗРАХУНКОВИЙ
РОЗДІЛ
.1 Програмне
забезпечення
3.2 Опис
програми
.3 Інструкція
користувача
.4 Інструкція
програміста
4 ОХОРОНА
ПРАЦІ
.1 Характеристика
негативних факторів проектованого об'єкта
4.2 Профілактичні заходи з
охорони праці
4.3 Розрахунок штучного
освітлення (за коефіцієнтом використання світлового потоку)
4.4
Розрахунок товщини звукоізолюючої перегородки із будівельного матеріалу між
приміщенням із розумовою діяльністю та дільницею із шумним виробничим
обладнанням
.
ОРГАНІЗАЦІЙНО-ЕКОНОМІЧНИЙ РОЗДІЛ
.1
Теоретичні основи розрахунку і аналізу собівартості продукції
.1.1 Собівартість
продукції, її поняття, склад, структура і види
.1.2
Розрахунок собівартості за статтями калькуляції
.1.3
Розрахунок собівартості одиниці продукції
ВИСНОВКИ
СПИСОК
ЛІТЕРАТУРИ
ВСТУП
Комерційні банки - основна ланка
фінансової системи країни, у яку входять кредитні установи, що здійснюють різноманітні
банківські операції для своїх клієнтів на засадах комерційного розрахунку. Для
цього вони використовують не тільки свій власний капітал, але і залучений
фінансовий капітал у виді внесків, депозитів, міжбанківських кредитів та інших
джерел. Причому залучені засоби, як правило, значно перевищують обсяг власного
капіталу комерційних банків.
Основною метою комерційних банків, що
стали створюватися в Україні у 1989 році, було оперативне одержання їхніми
засновниками і клієнтами широкого спектра банківських послуг (включаючи
одержання кредитів), вирішення засновниками за допомогою власного банку своїх
групових чи індивідуальних проблем, одержання максимального прибутку для своїх
акціонерів чи пайовиків, а також для власного розвитку.
Мета виконаної роботи полягає у тому, щоб створити
інформаційну підсистему імітаційного моделювання для вивчення систем масового
обслуговування, якими є окремі відділення банків, зокрема «Приватбанку».
Імітаційне моделювання - це метод дослідження, заснований на тому, що система,
яка вивчається, замінюється імітатором
<#"722294.files/image001.gif">
Схема 1.1 - Структурно-організаційна схема відділення банку
1.2 Огляд і аналіз сучасного стану розвитку інформаційних
технологій
Інформаційна технологія (ІТ) - це комплекс методів і
процедур, за допомогою яких реалізуються функції збирання, передавання,
оброблення, зберігання та доведення до користувача інформації в
організаційно-управлінських системах з використанням обраного комплексу
технічних засобів. Розвиток технічних засобів протягом кількох мільйонів років
зумовлював постійне вдосконалення ІТ. Тому виокремлюють кілька етапів їхнього
розвитку:
а) «ручна» інформаційна технологія (панувала до другої
половини XІX століття) - оброблення інформації здійснювалось вручну, за
допомогою пера, рахівниці, бухгалтерських книг, а зв’язок забезпечувався
пересиланням листів і пакетів;
б) «механічна» інформаційна технологія розпочалась із
винайденням друкарської машинки та телефону, модернізацією системи поштового
зв’язку. Така технологія стала базою формування організаційних структур в
економіці;
в) «електрична» інформаційна технологія (зародилась у
1940-1950-х роках) ґрунтувалась на широкому використанні електричних
друкарських машинок, копіювальних машин, портативних диктофонів і т. ін.
З появою та повсюдним упровадженням ЕОМ і периферійної
техніки настала ера комп’ютерної інформаційної технології, яка дістала також
назву нової, сучасної, безпаперової. Основні принципи нової інформаційної
технології (НІТ) - це інтегрованість, гнучкість та інформативність. Для неї
характерні такі особливості:
робота користувача в режимі маніпулювання даними (а не
програмування);
Цілковита інформаційна підтримка на всіх етапах проходження
інформації на основі інтегрованої бази даних, яка передбачає одну уніфіковану
форму подання, зберігання, пошуку, відображення, відновлення та захисту даних:
безпаперовий процес опрацювання документа, коли на папері
фіксується лише його остаточний варіант, а проміжні версії та необхідні дані,
записані на машинні носії, доводяться до користувача через екран дисплея
комп’ютера; інтерактивний (діалоговий) режим розв’язування задач, що дає змогу
користувачам активно впливати на цей процес;
уможливлення колективної (групової) співпраці для підготовки
документів і виконання завдань на базі кількох персональних комп’ютерів, об’єднаних
засобами комунікацій;
можливість адаптивної перебудови форм і способів подання
інформації у процесі розв’язування задачі.
Існують два способи впровадження інформаційних технологій:
перший передбачає її пристосування до наявної організаційної
структури з локальною модернізацією методів роботи.
другий спосіб полягає в тому, що вся організаційна структура
модернізується з метою максимального розвитку комунікацій і розробки нових
інформаційних взаємозв’язків, які раніше були економічно недоцільними. Саме в
разі застосування другого способу інформаційна технологія дає найбільший ефект,
оскільки раціонально розподіляються архіви даних, знижуються обсяги інформації,
що циркулює в системі, досягається збалансованість ефективності кожного
управлінського рішення з обсягом розв’язуваних задач.
Сьогодні також залишаються два організаційні варіанти
реалізації інформаційних технологій - централізоване та розподілене оброблення
інформації.
Перший варіант притаманний великим спеціалізованим
організаціям (наприклад, регіональним обчислювальним центрам), де створюються
підрозділи з оброблення інформації, працівники яких не є фахівцями в певній
предметній галузі (оператори та системні адміністратори на противагу юристам і
бухгалтерам). В умовах розподіленого оброблення інформації відповідні операції
покладаються на працівників окремих функціональних підрозділів, які діють у
межах своїх професійних обов’язків. Розподілене оброблення інформації
ґрунтується на застосуванні персональних ЕОМ, які можуть бути відокремленими
або пов’язаними в локальну чи глобальну мережу. Зауважимо, що за наявності
великих і складних мереж ЕОМ деякі функції (підтримка мережі в дієздатному
стані, супроводження програмного забезпечення і т. ін.) покладаються на
персонал, який має спеціальну підготовку з комп’ютерної техніки.
За будь-якого варіанта реалізація інформаційної технології
має ґрунтуватися на деяких принципах, найважливішими серед яких є зручність
виконання операцій для користувача, мінімальні витрати ручної праці на
оброблення інформації, можливість перевірки повноти та коректності розрахунків
на ЕОМ, мінімальні витрати часу на поновлення інформації в разі її втрати,
забезпечення захисту інформації від несанкціонованого доступу.
1.3 Огляд
і аналіз існуючих методів і засобів вирішення задач дипломної роботи
Імітаційне моделювання - це метод дослідження, при якому
досліджувана система замінюється моделлю, що з достатньою точністю описує
реальну систему, з нею проводяться експерименти з метою одержання інформації
про цю систему [18].
До імітаційного моделювання прибігають, коли:
дорого або неможливо експериментувати на реальному
об'єкті;
- неможливо побудувати аналітичну модель, тому що в
системі є час, причинні зв'язки, наслідки, нелінійності, стохастичні
(випадкові) змінні;
необхідно зімітувати поведінку системи в часі.
Імітаційне моделювання може застосовуватися у різних сферах
діяльності. Особливо ефективне моделювання при вирішенні наступних завдань:
проектування та аналіз виробничих систем;
- оцінка різних систем озброєнь;
визначення вимог до устаткування та протоколів мереж
зв'язку;
модернізація різних процесів у діловій сфері;
аналіз фінансових і економічних систем.
Під імітаційною системою розуміють програмний або
апаратно-програмний комплекс, призначений для рішення завдань із використанням
методу імітаційного моделювання. При виділенні різновидів імітаційних систем
виходять із того, що вони є інструментальними засобами, що забезпечують
автоматизовану підтримку певних видів діяльності користувача.
Імітаційна система реалізує алгоритм рішення завдання і надає
користувачеві сервісні можливості по керуванню обчислювальним процесом.
Автоматизована підтримка інших етапів системного аналізу засобами імітаційної
системи не є обов'язковою. Однак саме ступінь їхньої автоматизації визначає можливості
імітаційної системи і є основою їхньої класифікації. З урахуванням етапності
системного аналізу і технологічних завдань, що розв'язуються на них, виділимо
можливий набір засобів імітаційної системи, що автоматизують виконання ряду
функцій, реалізованих на цих етапах.
Створення моделі може бути підтримано наступними засобами
автоматизації:
а) частково готовою моделлю або моделями;
б) компіляторами з алгоритмічної мови високого рівня,
спеціалізація якого полегшує процес складання алгоритмів імітації;
в) спеціальною мовою високого рівня, що дозволяє виконати
інформаційний або математичний опис моделі системи;
г) конверторами моделей, що дозволяють здійснювати
перетворення моделей одного виду в моделі іншого виду (інформаційної в
математичну, математичної в імітаційну, інформаційної в імітаційну);
д) засобами контролю погодженості різних видів моделей з
концептуальним поданням моделі.
Перевірка адекватності та технічної реалізованості може
виконуватися з використанням:
а) програм обчислення показників адекватності;
б) автоматизованої технології проведення обмеженого
експерименту з імітаційною моделлю;
в) програм обчислення характеристик складності моделі;
г) програм обчислення ресурсних показників методу рішення
завдання.
Корекція моделі може забезпечуватися:
а) автоматизованими технологіями редагування текстів моделей;
б) програмами еквівалентних перетворень математичних і
алгоритмічних моделей заданого класу.
Створення алгоритму рішення завдання може підтримуватися:
а) методоорієнтованими бібліотеками та пакетами програм;
б) конструкторами алгоритмів рішення завдань;
в) інформаційними системами підтримки прийняття рішень тощо.
Складання і уточнення схеми рішення завдання може
виконуватися з використанням:
а) програмних засобів контролю інформаційної сумісності
сімейства завдань;
б) редакторів текстів обчислювальних схем тощо.
При виборі засобів імітаційного моделювання варто враховувати
всі можливості, що вони надають, які можна об'єднати в наступні групи:
основні характеристики;
- сумісне програмне забезпечення;
анімація;
статистичні можливості;
звіти з вихідними даними і графіками;
послуги, що надаються замовникам і документація.
Найбільш популярними пакетами імітаційного моделювання є:
. Arena компанії Rockwell Automatіon;
. AnyLogіc компанії XJ Technologіes;
. GPSS World фірми Minuteman Software;
. Process Charter 1.0.2 компанії Scіtor;
. Powersіm 2.01 фірми Modell Data AS;
. Іthіnk 3.0.61 виробництва Hіgh Performance Systems;
. Extend+BPR 3.1 компанії Іmagіne That!;
. Vensіm фірми Ventana Systems.
Ці пакети найбільше відрізняються стилем моделювання, тобто
середовищем, за допомогою якого створюються моделі. У пакеті Process Charter
модель будується за допомогою блок-схеми. Powersіm і Іthіnk використовують
систему позначень Systems Dynamіcs, запропоновану в 1961 р. Джеем Форрестером
Массачусетсского технологічного інституту. Extend застосовує компоновочні
блоки.
Всі продукти, крім Process Charter, дозволяють проводити
аналіз чутливості, тобто багаторазово виконувати модель із різними вхідними
параметрами, щоб зрівняти результати декількох прогонів.
Для рішення питань, що постали в дипломній роботі, була
використана мова програмування GPSS.
1.3.1
Середовище реалізації проекту і мова програмування
Більш детально розглянемо найбільш поширені пакети для імітаційного
моделювання.World (GPSSW, General Purpose System Simulation World - Світова
загальноцільова система моделювання), розроблена для ОС Wіndows. Цей програмний
продукт увібрав в себе весь арсенал новітніх інформаційних технологій. Він
включає розвинені графічні оболонки для створення моделей і інтерпретації
вихідних результатів моделювання, засоби мультимедіа та відео,
объектно-орієнтоване програмування та ін. В основу системи GPSS World покладена
мова імітаційного моделювання GPSS (General Purpose System Sіmulatіon -
Загальноцільова система моделювання).
Система GPSS World - потужне універсальне середовище
моделювання як дискретних, так і безперервних процесів, призначене для
професійного моделювання найрізноманітніших процесів і систем. За допомогою
цієї системи, наприклад, можна ефективно моделювати як виробничі, так і
невиробничі процеси: функціонування торговельних і розважальних закладів,
портів, вуличний рух, проведення воєнних дій, роботу редакцій, установ і мережі
Іnternet, різних систем масового обслуговування тощо [2].
Система має великий набір команд для керування процесом
моделювання, які можна як використовувати в інтерактивному
режимі, так і включати в модель. Забезпечено можливість
проведення експериментів, згенерованих системою, користувацьких і
оптимізаційних. У системі GPSSW реалізована процедура візуалізації процесу
функціонування моделі з використанням методів мультиплікації. Також система
GPSSW має новий високошвидкісний транслятор, що працює в сотні раз швидше його
попередників. Для швидкого виправлення помилок використовується повноекранний
текстовий редактор.
Система GPSSW досить проста у вивченні і універсальна в
застосуванні. Ефективне використання системи передбачає виконання ряду етапів:
. Постановка задачі.
. Виявлення основних особливостей.
. Створення імітаційної моделі процесу.
. Подання імітаційної моделі в системі GPSSW.
. Моделювання системи.
В якості прикладу представимо модель одноканальної
розімкнутої системи масового обслуговування (СМО). На рисунку 1.1 представлена модель
найпростішої системи масового обслуговування, у якій виділені основні події.
Рисунок 1.1 - Найпростіша система масового обслуговування
Охарактеризуємо кожну подію, що виникла в СМО:
. Поява вимоги в системі (GENERATE - Генерувати).
. Вхід вимоги в чергу (QUEUE - Черга).
. Визначення зайнятості каналу обслуговування (SEІZE -
Зайняти). Якщо канал зайнятий, то вимога залишається в черзі, якщо вільний - то
входить у канал обслуговування.
. Вихід вимоги із черги (DEPART - Вийти).
. Обслуговування вимоги в каналі обслуговування (ADVANCE -
Задержати).
. Звільнення каналу обслуговування (RELEASE - Звільнити).
. Вихід вимоги із системи (TERMІNATE - Завершити).
Ця програма в системі GPSSW буде виглядати так, як показано
на рисунку 1.2. Використані в програмі оператори повністю відповідають змісту і
логіці системи що моделюється. Праворуч від операторів пишуться параметри
(ознаки, змінні), які характеризують дану подію. Так, в операторі GENERATE
перша цифра - 7, визначає середній інтервал часу між надходженнями вимог у
систему на обслуговування, а друга - 2, максимально припустиме відхилення від
середнього часу. В операторах QUEUE і DEPART цифра 1 визначає номер черги, у
яку ввійшла і з якої має вийти вимога. В операторах SEІZE і RELEASE символи KAN
визначають символічне ім'я каналу обслуговування, у який збирається ввійти
вимога, якщо він звільнився, і вийти - якщо вимога вже в ньому закінчила
обслуговування.
В операторі ADVANCE перша цифра - 6, визначає середній час
обслуговування вимоги, а друга - 3, максимально припустиме відхилення від цього
часу.
Оператор TERMІNATE виконує видалення однієї вимоги із
системи. Цифра 200 в операторі START означає число вимог, які необхідно
пропустити через систему [3].
Рисунок 1.2 - Вікно з введеною в нього моделлю одноканальної
розімкнутої СМО
В цьому прикладі вимоги надходять на обслуговування в систему
випадково в інтервалі [5-9] одиниць часу з рівномірним розподілом. А час
обслуговування коливається в інтервалі [3-9] одиниць часу, також з рівномірним
розподілом. При цьому моделюється проходження через систему 200 вимог.
1.4 Змістовний
опис і аналіз структурних і функціональних особливостей об’єкта проектування
Загальне завдання функціональних підрозділів - макси-мальна
реалізація конкретних банківських продуктів різним групам клієнтів.
До основних функціональних підрозділів банку, як прави-ло,
відносяться управління (відділ) позикових операцій, уп-равління операцій з
цінними паперами, управління розрахун-ково-касового обслуговування, управління
депозитних операцій, управління міжбанківських операцій, управління валютних
операцій, управління трастових операцій і деякі інші.
Залежно від участі в реалізації перерозподільчої функції
банку функціональні підрозділи класифікуються таким чином:
. Ті, що здійснюють тільки залучення ресурсів - управління
депозитних операцій, управління розрахунково-касового обслуговування.
Вони мають тільки процентні і непроцентні витрати, які
повинні компенсуватися за рахунок доходів підрозділів, що здійснюють активні
операції.
. Ті, що займаються тільки розміщенням ресурсів - управління
позикових операцій. Вони мають процентні доходи, що підлягають частковому
перерозподілу на користь першої категорії підрозділів, і невідсоткові доходи,
покликані компенсувати їх власні не процентні витрати.
. Ті, що працюють і на залучення, і на розміщення ресурсів -
управління операцій з цінними паперами, управління міжбанківських кредитів.
Мають процентні доходи, що частко-во перерозподіляються на користь першої
категорії підрозділів і невідсоткові доходи, мета яких компенсувати власні
невідсоткові витрати.
. Ті, що надають інші види банківських послуг - управління
трастових операцій, сховище, служба інкасації тощо. Мають тільки невідсоткові
доходи, які повинні покривати власні не-відсоткові витрати.
Ґрунтуючись на даній класифікації, визначимо завдання
функціональних підрозділів.
Управління (відділ) позикових операцій забезпечує розміщення
банківських ресурсів, проводить аналіз кредитного ризику, включаючи оцінку
кредитоспроможності позичальника, ділового ризику проектів, що кредитуються,
здійснює моніто-ринг кредитного портфеля.
Управління (відділ) операцій з цінними паперами забезпечує
процес формування власного капіталу, організовує емісію і розповсюдження
боргових зобов’язань банку, забезпечує купівлю - продаж на ринку державних і
комерційних цінних паперів, веде депозитарну і реєстраторську діяльність,
проводить аналіз стану фондового ринку і власного фондового портфеля.
1.5 Постановка
задачі
В даному дослідженні необхідно провести імітаційне
моделювання роботи відділення банку, з метою отримання результатів, які дадуть
змогу знайти необхідну кількість пристроїв для обслуговування клієнтів, та
мінімізують час обробки одного замовлення. В сукупності результати моделювання,
які необхідно отримати дадуть змогу зменшити черги клієнтів у відділеннях
комерційного банку.
В даній роботі необхідно дослідити наступні пункти:
а) кредитний фахівець;
б) фахівці роздрібного обслуговування клієнтів;
в) клієнт-менеджер;
г) касир;
д)начальник.
а) Кредитний фахівець. Обов'язки кредитного спеціаліста:
оформлення кредитної картки;
- оформлення розстрочки;
продаж банківських продуктів (скарбничка, квитки на
автобус і поїзд, продаж скретч карт на бензин, страховка, модем від PeopleNet,
прийняття платежів).
б) Фахівці роздрібного обслуговування:
залучення клієнтів на оформлення депозитів;
видача та заміна зарплатних, пенсійних, соціальних карт;
виплата / відправлення переказів;
поповнення карт і прийняття платежів;
оформлення регулярних платежів;
підключення клієнтів в приват 24;
продаж банківських продуктів (скретч карти на бензин,
страховки від нещасного випадку та страхування нерухомості, автострахування,
скарбнички).
в) Клієнт - менеджер:
навчання клієнтів оплачувати платежі в терміналі, продаж
модемів від PeopleNet, залучення клієнтів на скарбничку, страховку.
г) Касир:
прийняття платежів крім комунальних, обмін валюти, відправка
/ виплата переказів, поповнення карт, видача готівки, оформлення скарбничок,
страховок, регулярних платежів, реєстрація в приват 24 клієнтів. Здача готівки
в інкасацію.
2.
СПЕЦІАЛЬНИЙ РОЗДІЛ
2.1
Проектування підсистеми, що розробляється
Проектування ІС «Роботі відділення комерційного банку» в
програмному середовищі «BPWin» - даний розділ являє собою розробку ІУС в
програмному середовищі «BPWin» та складається з 8-ми підрозділів.
.1.1
Інструментальне середовище ВРWin
BPwin - це незамінний інструмент менеджерів та
бізнес-аналітиків, а починаючи з версії 1.8, в яку включена підтримка діаграм
потоків даних і методики IDEF3 (BPwin Professional), стає в руках системних
аналітиків і розробників і потужним засобом моделювання процесів при створенні
корпоративних інформаційних систем.має інтуїтивно-зрозумілий графічний
інтерфейс, допомагає швидко створювати і аналізувати моделі з метою оптимізації
ділових і виробничих процесів.
За допомогою набору графічних інструментів BPwin дозволяє
легко побудувати схему процесу, на якій показані вихідні дані, результати
операцій, ресурси, необхідні для їх виконання, управляючі дії, взаємні зв'язки
між окремими роботами.
.1.2 Структурне моделювання бізнес-процесів підсистеми
Побудова
контекстної діаграми
Контекстна діаграма є найзагальнішим описом системи і її
взаємодії із зовнішнім середовищем.
Приклад такої діаграми зображений на рисунку 2.1.
На даній діаграмі зображено блок з назвою «Відділення банку»,
на ході в діаграму зображена стрілка "надходження заявки».
В якості елемента управління зображені дві стрілки, а саме:
«порядок обслуговування замовлення» та «правила обслуговування клієнтів». В
якості механізму зображені стрілки: «обладнання», «комп’ютер», «співробітники».
На виході зображені наступні стрілки: «статистичні дані про
прийняте замовлення», «виписка», «обслуговані клієнти»[18].
Рисунок 2.1 - Контекстна діаграма
Розробка DFD моделі
Діаграми потоків даних (Data flow
diagramm, DFD) є засобом моделювання функціональних вимог до проектованої
системи і використовуються для опису документообігу і обробки інформації. З їх
допомогою ці вимоги представляються у вигляді ієрархії функціональних
компонентів (процесів), зв'язаних потоками даних.
Головна мета такого уявлення - продемонструвати, як кожен
процес перетворить свої вхідні дані у вихідні, а також виявити відносини між
цими процесами.описує:
- функції обробки інформації (роботи, процеси);
- документи (стрілки, arrow), об'єкти, співробітників
або відділи, які беруть участь в обробці інформації;
таблиці для зберігання документів (сховище даних,
data store).
У BPwin для побудови діаграм потоків
даних використовується нотація Гейна-Сарсона [18,19].
Приклад діаграми DFD зображено на
рисунку 2.2.
На даній діаграмі присутні наступні
блоки: сховище даних - «база даних», блок - «запит статистики», блок - «аналіз
статистичних даних», блок - «генерація звіту» та зовнішня сутність - «система
звітів».
Дані блоки з’єднані потоками даних.
Їхні назви проілюстровано на діаграмі.
Рисунок 2.2 - Діаграма потоків даних DFD
Розробка
IDEF3 моделі
IDEF3 - використовується для опису логіки взаємодії
інформаційних потоків.
Ця методологія моделювання використовує графічний опис
інформаційних потоків, взаємин між процесами обробки інформації і об'єктами, що
є частиною цих процесів.
Діаграми Workflow можуть бути використані в моделюванні
бізнес-процесів для аналізу закінченості процедур обробки інформації. З їх
допомогою можна описувати сценарії дій співробітників організації, наприклад,
послідовність обробки замовлення або події, які необхідно обробити за кінцевий
час [19].
Діаграма «оплата кредита» ілюструє логічну взаємодію
процесів, які здійснюються при оплаті кредита (рисунок 2.3).
На даному рисунку зображені зовнішні сутності - «договір»,
«касир», «комп’ютер», також зображено наступні блоки: «подання клієнтом номеру
рахунку», «передача коштів до каси», «пошук договору касиром в БД»,
«ознайомлення з договором», «внесення коштів на рахунок».
Рисунок 2.3 - Діаграма IDEF3 оплата кредита
Діаграма «внесення вкладу» ілюструє логічну взаємодію
процесів, які здійснюються при внесенні вкладу (рисунок 2.4).
На даному рисунку зображені зовнішні сутності - «договір»,
«касир», «комп’ютер», також зображено наступні блоки: «внесення коштів до
каси», «пошук номера рахунку», «внесення грошей на кошти».
Рисунок 2.4 - Діаграма IDEF3 оплата кредита
Діаграма «переведення коштів» ілюструє логічну взаємодію
процесів, які здійснюються при внесенні вкладу (рисунок 2.5).
На даному рисунку зображені зовнішні сутності - «договір»,
«касир», «комп’ютер», також зображено наступні блоки: «вказання клієнтом номеру
рахунку», «внесення коштів до каси», «внесення коштів на рахунок».
Рисунок 2.5 - Діаграма IDEF3 переведення коштів
Діаграма «оплати комунальних послуг» ілюструє логічну
взаємодію процесів, які здійснюються при оплаті комунальних послуг (рисунок
2.6).
На даному рисунку зображені зовнішні сутності - «договір»,
«касир», «комп’ютер», також зображено наступні блоки: «подача клієнтом
комунальних книг», «внесення коштів по комунальним розрахункам».
Рисунок 2.6 - Діаграма IDEF3 оплата комунальних послуг.
.1.3 Аналіз логічної та фізичної моделей баз даних
В відділенні банку мається сховище даних, в якому
зберігається інформація що до проведених банківських угод, та обслугованих
клієнтів.
Сховища даних - предметно-орієнтована, інтегрована, варіантна
у часі сукупність даних, що не змінюється і призначена для підтримки прийняття
управлінських рішень. Джерелами для сховищ даних є дані OLTP - систем,
зовнішні дані та дані ODS оперативних сховищ даних.
Основне призначення сховища даних - це вирішення аналітичних
задач для забезпечення підтримки прийняття управлінських рішень.
Особливу увагу слід звернути на ознаки відмінності сховищ
даних від баз даних (БД) OLTP-систем: час збереження даних (історичних - у
сховищах і поточних у БД), користувач - керівництво і аналітики у сховищах та
працівники “переднього краю” у БД, призначення - інтерактивний аналіз у
сховищах, обробка трансакцій у БД, ціль - стратегічна і тактична, запити - непередбачувані
та передбачувані.
У повсякденній діяльності банки накопичують величезні обсяги
інформації, які повинні стати джерелами додаткових прибутків, якщо їх використовувати
як вхідну інформацію для прийняття рішень. Практика свідчить, що обсяг даних у
банку щорічно зростає удвічі. Банк страждає від зайвої кількості суперечливих
даних, які досить складно упорядкувати, до яких складно отримати доступ і які
важко використовувати для прийняття рішень. Традиційні інформаційні системи
автоматизації банківської діяльності не можуть забезпечити достатній рівень
реалізації потреб прийняття рішень та стратегічного керування банками.
Можливими (найперспективнішими) напрямами аналізу банківської
діяльності, для яких побудовано сховище даних, можуть бути:
аналіз клієнтської бази банку, дистанційний аналіз банків,
аналіз фінансової діяльності банку, аналіз бюджетування банку, аналіз ризиків,
аналіз різноманітної управлінської та фінансової звітності, аналіз загроз
економічній безпеці банку.
Після того, як питання часових рамок проекту впровадження СД,
його бюджету та цілей визначені, слід прийматися за побудову сховища даних,
етапами якого є: моделювання даних, побудова репозиторію метаданих, підвищення
якості інформації у сховищі даних, побудова концептуальної та логічної
архітектури сховища даних, визначення фізичної архітектури сховища даних,
перетворення, очищення та завантаження даних у сховище даних.
Серед перерахованих етапів найбільш “предметно - залежним” є
етап моделювання даних. У якості моделі у СД обирають, як правило, моделі типу
“зірка”, “об’єднана зірка” чи “сніжинка”, перевагою яких на відміну від
реляційних нормалізованих структур є швидкість отримання даних для реалізації
запитів. При розробці сховищ даних у банках на роль таблиці фактів можна запропонувати
сутність “Контракт”.
Контрактом може вважатися будь-який договір, що укладається з
клієнтами, ним же оформляється переважна більшість внутрішньобанківських операції.
На практиці модель типу “зірка” практично неможливо
побудувати для банків (забагато сутностей у банківській діяльності), тому краще
обирати модель типу “об’єднана зірка”.
Побудова сховища даних потребує вирішення таких основних
задач, як вибір та освоєння роботи із засобами доступу до даних, до яких можна
віднести географічні інформаційні системи (ГІС), засоби добування даних (data
mining), системи оперативного аналізу (OLAP-системи), засоби візуалізації
даних, інформаційні системи керівників, засоби оброблення статистики, браузери
Internet, браузери метаданих, мови програмування 4-го покоління (4GL), засоби
розробки графічного інтерфейсу користувача, електронні таблиці, генератори
звітів та ін.
Типи обслуговування в відділенні банку зображено на діаграмі
2.1.
Діаграма 2.1 - Види обслуговування клієнтів банку
.1.4 Логічна модель
В даний час основним засобом накопичення та використання
структурованої інформації служать бази даних. Концептуальний вибір логічної моделі
даних в принципі визначає рівень ефективності тієї чи іншої програмної
реалізації бази даних.
Розрізняють чотири логічні моделі даних:
ієрархічні;
мережеві;
реляційні;
багатовимірні.
З точки зору структур даних, що використовуються для зв'язку
між собою внутрішніх об'єктів бази, логічні моделі можна об'єднати у дві групи:
навігаційні моделі даних з адресними покажчиками на дані;
посилальна модель даних з іменами (ідентифікаторами) даних.
До навігаційним моделям даних відносяться ієрархічна,
мережева і багатовимірна логічні моделі, до посилальної моделі даних -
реляційна модель.
Основною відмінністю бази даних від файлової системи є
універсальність бази - тобто незалежність від будь-якої однієї структури опису
предметного світу.
Історично першою стала застосовуватися навігаційна модель
даних, заснована на багаторівневої структурі об'єктів, пов'язаних адресними
покажчиками за принципом "предок-нащадок" в ієрархію (у кожного
нащадка один предок) або мережу (у нащадка може існувати будь-яке число
предків).
Однак застосування ієрархічної і мережної різновидів
навігаційної моделі даних накладало істотні обмеження на ефективність
реалізації основних операцій (запис, читання, змінення або видалення) над
даними в базі: у разі ієрархії читання могло бути ефективно реалізовано тільки
щодо одного типу атрибута елемента даних, що лежить в основі ієрархії.
Щодо інших типів атрибутів необхідно було застосовувати
неефективний метод повного перебору даних в базі.
у випадку мережі ефективність читання не залежала від вибору
типу атрибута елемента даних, але при цьому істотно сповільнювалася швидкість
виконання записи, зміни та видалення даних через необхідність модифікації
численних адресних покажчиків, що утворюють мережеву структуру.
У 1970 році Е.Ф. Коддом теоретично обґрунтував, що більш
універсальним рішенням в області баз даних є посилальна модель: "Реляційна
модель надає засоби опису даних на основі тільки їх природної структури, тобто
без потреби введення будь-якої додаткової структури для цілей машинного вистави
"[19].
Первинною структурою зберігання інформації в реляційної
моделі даних служить двомірний масив - реляційна таблиця. Порядок розташування
поодиноких записів - даних в реляційної таблиці довільний, так само як і
порядок розташування атрибутів в складі даних.
Дані в різних реляційних таблицях пов'язані між собою
посиланнями на ідентифікатори (зовнішні ключі). Це дає можливість з найбільшою
швидкістю виконувати операції запису, зміни та видалення даних.
Проте теоретична модель Е.Ф. Кодда володіє явною неповнотою -
у зв'язку з відсутністю в її складі будь-якого механізму пошуку даних для цілей
подальшого читання, за винятком механізму, заснованого на повному переборі
даних в базі. При досить великому (чи малому, з точки зору сучасного стану)
кількості даних в реляційну базу в обов'язковому порядку включається той чи
інший механізм пошуку, тобто додаткова структура, відсутність потреби в якій
було задекларовано Е.Ф. Коддом.
Ефективність посилальної моделі даних.
Перевага теоретичної посилальної моделі перед навігаційної
моделлю даних засноване на двох постулатах:
довільному порядку розташування даних в реляційних таблицях і
атрибутів в складі даних;
Логічних зв'язках реляційних таблиць між собою на відміну від
фізичних адресних зв'язків первинних структур зберігання інформації в
навігаційній моделі.
На відміну від теоретичної, повна посилальна модель даних, що
претендує на статус універсальної, повинна описувати як можна більш широке коло
природних структур даних. Більшість типів природних структур даних являє собою
ієрархічні, деревоподібні структури, що включають в свій склад безліч груп і
підгруп характеристик, логічно пов'язаних між собою.
Розрив внутрішніх зв'язків атрибутів в спробі забезпечити
довільний порядок їх розташування призведе до повної неадекватності подання
інформації в базі даних щодо описуваної предметної області.
Для подолання цієї проблеми в посилальної моделі застосовують
дезінтеграцію природної структури даних - нормалізацію інформації, тобто
подання даних єдиного типу у вигляді кількох реляційних таблиць, кількість
типів атрибутів у кожній з яких в межі прагне до одиниці. При збільшенні числа
реляційних таблиць прямо пропорційно зростають витрати на дезінтеграцію (на
етапі запису) і подальшу інтеграцію (на етапах читання, зміни і видалення) даних.
На практиці рівень нормалізації обмежують 3-4 нормальною формою, що, в
загальному випадку приблизно відповідає кратності зростання числа реляційних
таблиць в базі.
.1.4 Фізична модель даних
Фізична модель визначає розміщення даних у зовнішній пам’яті,
вона також називається внутрішньою моделлю системи і форма її представлення
залежить від обраної БД.
Якщо обрана така БД, яка підтримує реляційну модель даних, то
треба таблиці разом з атрибутами і зв’язки між таблицями перенести в середовище
БД з врахуванням вимог до відповідних об’єктів БД. Так, ідентифікатори (імена)
таблиць і полів мають задовольняти вимогам СКБД, типи даних, розміри полів,
обмеження теж мають бути приведені у відповідність до прийнятих у даній БД.
Далі визначаються стратегії індексування, а також
взаємозв’язки між таблицями, первинні та зовнішні ключі на основі визначених у
даталогічній моделі та врахуванням способів їх завдання в обраній БД.
На етапі фізичного проектування слід приділити особливу увагу
забезпеченню цілісності БД. У БД цілісність даних забезпечується обмеженнями
цілісності, тобто набором правил, що встановлюють допустимість даних та
зв’язків між ними. Наводиться контрольний приклад заповненої БД з урахуванням
встановлених обмежень цілісності.
Таким чином, послідовність робіт при створенні фізичної
моделі на основі реляційної моделі даних може бути наступною:
аналіз та вибір БД;
розробка структури (фізичної моделі) бази даних засобами
вибраної БД з урахуванням типів даних та обмежень цілісності атрибутів;
розробка схеми взаємозв’язків бази даних засобами вибраної БД
з урахуванням обмежень посилальної цілісності;
розробка контрольного приклада заповнення бази даних.
Кінцевим результатом роботи є представлення таблиць та
зв’язків між ними, що описані в даталогічній моделі даних, у середовищі обраної
СКБД. При цьому мають бути визначені (запрограмовані мовою опису даних)
обмеження цілісності як для атрибутів, так и посилальна цілісність.
.2 Інформаційне забезпечення
.2.1
Опис GPSS WORLD PLUS
GPSS World має набір PLUS - процедур динамічного виклику, що
дозволяє викликати функції в зовнішніх виконуваних файлах. Це забезпечує
оперативний зв'язок з анімаційними пакетами інших розробників.
Мова моделювання:World є реалізацією GPSS, загальноцільової
системи моделювання, поліпшеною вбудованою мовою програмування PLUS - мовою
програмування низького рівня моделювання.
Ця версія GPSS включає в себе 53 типу блоків і 25 команд, а
також більш ніж 35 системних числових атрибутів, які забезпечують поточні
змінні стану, доступні в будь - якому місці моделі .- це невелика, але
ефективна процедурна мова програмування, створена з 12 типів операторів. Його
ефективність багато в чому забезпечується великою бібліотекою процедур, що
містить математичні функції і функції маніпуляції з рядками, і великого набору
імовірнісних розподілів.
У GPSS World модель визначається як послідовність операторів.
Це оператори GPSS, оператори PLUS - процедур або оператори PLUS -
експериментів. За винятком списків даних функції, всі оператори GPSS повинні
складатися з одного текстового рядка довжиною до 250 символів. Будь-який
оператор GPSS може входити в модель і зберігатися у файлі моделі або може бути
переданий процесу моделювання в інтерактивному режимі.
Були додані наступні нові блоки:
ADOPT - Змінює номер сімейства.
- DISPLACE - Міняє транзакт у наступний по порядку
блок в послідовності блоків.
PLUS - Обчислює значення PLUS - вирази і зберігає
результат в параметрі.
INTEGRATION - Вмикає / вимикає інтегрування змінної
користувача.
OPEN - Ініціалізує потік даних.
CLOSE - Закриває потік даних.
READ - Зчитує наступний рядок даних з потоку даних.
WRITE - Передає значення величини в потік даних.
2.2.2
Опис функції підключення файлів Include
Команда INCLUDE є негайною командою. При отриманні цієї
команди транслятор починає транслювати файл, що підключається в GPSS - моделі
«example_l.txt» так, начебто модель що підключається замінила рядок c командою
INCLUDE. Допускається підключення не більше п'яти файлів."С : \ priml.txt
".
У цьому прикладі зазначено повний шлях до підключеного файлу,
який знаходиться на диску С.
Система GPSS World працює тільки з файлами, що мають
розширення «.Txt ». У цих файлах може перебувати або невідтрансльована модель
GPSS - програми, або послідовність команд. При спробі підключення c допомогою
цієї команди відтрансльованої моделі з розширенням «.Gps» транслятор видає
повідомлення про те, що підключаємий файл повинен бути тільки з розширенням
«.Txt».
Так як новий оператор INCLUDE дозволяє об'єктам «Модель»
містити в собі інші файли текстового формату, об'єкти «Моделі» представляють
собою послідовність операторів, що зчитуються транслятором, яка визначає
розташування блоків у процесі моделювання. Незважаючи на те, що блоки більше не
можуть бути вставлені під час процесу моделювання, для більшості цілей буде
простіше повторно транслювати модель, якщо необхідно змінити структуру блоків,
тому що трансляція виконується дуже швидко. При використанні режиму ручного
моделювання зберігається високий рівень інтерактивності. Це означає, що
будь-який оператор може використовуватися протягом процесу моделювання як
інтерактивного оператора.
Команда INCLUDE відкриває значні можливості при моделюванні
процесів в GPSS, також завдяки цій команді програма має менший розмір, тому що
більша частина коду зберігається у підключаємому файлі.
.2.3 Приклад моделювання стандартних числових атрибутів (СЧА)
У системі масового обслуговування (CMO) з одним пристроєм і
чергою надходить пуассоновський потік заявок c інтенсивністю 12 парафій за 1 ч.
обслуговування має експоненційний розподіл, але середній час обслуговування
залежить від числа заявок, які перебувають у черзі до пристрою. Ця залежність
наведена в таблиці 2.1. Промоделювати обслуговування 500 заявок [4].
Таблиця 2.1
Середній час обслуговування
|
Довжина черги
|
0
|
1 або 2
|
3,4 або 5
|
6 і більше
|
|
Середній час
обслуговування, хв
|
5.5
|
5.0
|
4.5
|
4.0
|
Таблиця 2.2
Таблиця елементів GPSS
|
Елементи GPSS
|
Інтерпретація
|
|
Транзакти
|
Заявки
|
|
Пристрій SURVR
|
Обслуговуючий
пристрій
|
|
Функції: MEAN XPDIS
|
Функція, що
визначає середній час обслуговування залежно від довжини черги Функція
розіграшу випадкових чисел в відповідності з експоненціальним законом із
середнім значенням 1
|
|
Черга WAIT
|
Реєстратор черги
для збору статистики про стан черги перед пристроєм
|
Для обліку довжини черги при визначенні інтенсивності
обслуговування моделі необхідно включити дискретну функцію, в якій поточна
довжина черги є аргументом. Ця функція використовується для визначення
середнього значення інтенсивності обслуговування.
Необхідна програма зображена на рисунку 2.7.
Рисунок 2.7 - Програма обліку довжини черги
.3 Математичне забезпечення
.3.1
Системи з одним пристроєм обслуговування
Розглянемо одноканальну CMO, показану на рисунку 2.7.
Рисунок 2.7 - Одноканальна СМО.
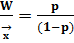
Якщо позначити середній час перебування вимог у черзі w і
розглядати CMO як черга q, то, використовуючи формулу Літтла, можна знайти
середню кількість вимог в черзі за формулою (2.1),
(2.1)
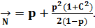
Якщо позначити середній час обслуговування в пристрої і
розглядати CMO як пристрій S, то, використовуючи формулу Літтла можна знайти
середня кількість вимог в пристрої, формула (2.2) [5].
(2.2)
Введемо коефіцієнт варіації C як відношення стандартного
відхилення до середнього, що зображений формулою (2.3):
(2.3)
де
- средьоквадратичне відхилення для
.
Для експоненціального закону розподілу C = 1, оскільки
і
для
цього закону дорівнює λ. Для
регулярного детермінованого закону розподілу C = 0 (
= 0).
Для системи G/G/1 середня кількість вимог визначається за формулою
(2.4),
(2.4)
Використовуючи результат
Хинчина-Полячека, можна отримати середній час перебування в одноканальній CMO
за формулою (2.3):
(2.3)
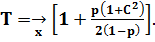
Основний результат полягає в тому, що
средній час пребування потреби в системі залежить тільки від математичного
очікування і стандартного відхилення часу обслуговування. Таким чином, час
очікування визначається за формулою (2.4),
(2.4)
Нормований час очікування
розраховується за формулою (2.5),
(2.5)
Для системи M/M/1 маємо формулу
(2.6),
(2.6)
для системи M/D/1 маємо формулу
(2.7),
(2.7)
Таким чином, система c регулярним обслуговуванням
характеризується середнім часом очікування вдвічі меншим, ніж система c
показовим обслуговуванням. Це закономірно, оскільки час перебування в системі і
кількість вимог в ній пропорційні дисперсії часу обслуговування.
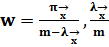
2.2.2
Багатоканальні системи масового обслуговування
Наведемо основні формули для розрахунків CMO виду M / M / m
[7].
. Імовірність того, що всі пристрої обслуговування вільні
можна розрахувати за формулою (2.8),
(2.8)
2. Імовірність того, що зайняте обслуговуванням k-е пристрій
або в системі знаходиться k вимог знаходиться за формулою (2.9),
(2.9)
. Імовірність того, що всі пристрої зайняті (k ≥ m).
Позначимо цю ймовірність через π знаходиться за формулою
(2.10):
(2.10)
. Ймовірність того, що всі пристрої зайняті обслуговуванням
і s вимог перебувають у черзі знаходиться за формулою (2.11),
(2.11)
5. Імовірність того, що час перебування вимог у черзі
перевищує деяку величину t розраховується за формулою (2.12),
(2.12)
6. Середня довжина черги розраховується за формулою (2.13),
(2.13)
7. Середня кількість вільних від обслуговування пристроїв
розраховується за формулою (2.14),
(2.14)
. Середня кількість зайнятих обслуговуванням пристроїв
розраховується за формулою (2.15),
(2.15)
. Середній час очікування за вимогою початку обслуговування
в системі розраховується за формулою (2.16),
(2.16)
2.4 Графи станів
Рисунок 2.8 - Граф стану одноканальної СМО з відмовами
Граф станів багатоканальної системи масового обслуговування з
відмовами наведений на рисунку 2.9.
Рисунок 2.9 - Граф станів багатоканальної СМО з відмовами
Граф станів багатоканальної СМО з обмеженням на довжину черги
Граф станів багатоканальної СМО з необмеженим очікуванням
Рисунок 2.10 - Граф станів багатоканальної СМО з обмеженням
на довжину черги
імітаційний масовий обслуговування приватбанк
3.
РОЗРАХУНКОВИЙ РОЗДІЛ
.1 Програмне забезпечення
В розробці та вирішенні питань, що постали в дипломній роботі
були використані такі мови програмування, як GPSS, та C++, також було
використане програмне забезпечення GPSS WORLD. Також для зручності користування
мовою програмування GPSS було розроблено програмне забезпечення на мові
програмування C++.
Далі розглянемо програмні забезпечення докладніше.World -
найсучасніша версія GPSS для персональних ЕОМ і ОС Windows.
Система GPSS World - це потужна середа комп'ютерного
моделювання загального призначення, розроблена для професіоналів в області
моделювання. Це комплексний моделюючий інструмент, що охоплює області як
дискретного, так і безперервного комп'ютерного моделювання, що володіє найвищим
рівнем інтерактивности і візуального представлення інформації.
На рівні інтерфейсу GPSS World представляє собою реалізацію
архітектури «документ - вид», загальною для всіх додатків операційної системи
Windows.
Об'єкти можуть бути відкриті в декількох вікнах, змінені і
збережені на постійних носіях інформації. Звичне меню головного вікна і
блокування недоступних команд меню, не відволікаючи уваги, направляє
користувача до кінцевої мети. GPSS World був розроблений з метою досягнення
тісного інтерактивності навіть в багатозадачному середовищі з використанням
віртуальної пам'яті У GPSS World існує ряд анімаційних можливостей [3].
Уровень їх реалізму змінюється від абстрактної візуалізації,
що не вимагаючої ніяких зусиль, до високо реалістичних динамічних зображень, що
включають в себе складні елементи, створені користувачем.World є об'єктно -
орієнтованою мовою.
Його можливості візуального представлення інформації
дозволяють спостерігати і фіксувати внутрішні механізми функціонування моделей.
Його інтерактивність дозволяє одночасно досліджувати і управляти процесами
моделювання. За допомогою вбудованих засобіваналізу даних можна легко обчислити
довірчі інтервали і провести дисперсійний аналіз. Крім того, тепер є можливість
автоматично створювати і виконувати складні експерименти.
Можливості GPSS World :
Об'єктно-орієнтований інтерфейс користувача, включаючий
об'єкти: модель, процес моделювання, звіт і текст;
Високопродуктивний транслятор моделей;
Програмні експерименти з автоматичним аналізом даних;
Багатозадачність дозволяє спільно запускати кілька процесів
моделювання та експериментів;
Збереження і продовження виконання запущених процесів
моделювання ;
Використання механізму віртуальної пам'яті дозволяє моделям
реально досягати розміру мільярда байт;
Введення / висновок під час виконання процесу моделювання ;
Понад 20 вбудованих імовірнісних розподілів ;
17 різних графічних вікон для спостереження за процесом
моделювання ;
Автоматичне інтегрування звичайних диференційованих рівнянь
будь-якого порядку;
Швидка і зручна налагодження з використанням графічного
інтерфейса;
Автоматичні генератори відсіваючих і оптимізують експериментів;
Пакетний режим з контрольованою процедурою виходу з програми;
Діалогові вікна введення блоків;
Настроюються інтервали табуляції;
Можливість динамічного виклику функцій із зовнішніх файлів.
Основне призначення GPSS - це моделювання систем масового обслуговування,
хоча наявність додаткових вбудованих засобів дозволяє моделювати і деякі інші
системи.
Остання версія GPSS включає в себе 53 типу блоків і 25
команд, а також більш ніж 35 системних числових атрибутів , які забезпечують
поточні змінні стану , доступні в будь-якому місті моделі .
Розглянемо мову програмування C++.++ (Сі-плюс-плюс) - мова
програмування високого рівня з підтримкою декількох парадигм програмування:
об'єктно-орієнтованої, узагальненої та процедурної. Розроблена Б'ярном
Страуструпом (в AT&T Bell Laboratories (Мюррей-Хілл, Нью-Джерсі) у 1979
році та початково отримала назву «Сі з класами». Згодом Страуструп перейменував
мову у C++ у 1983 р. Базується на мові С. Визначена стандартом ISO/IEC
14882:2003.
.2 Опис програми
Програма розроблювалась з метою полегшення роботи
користувачів, та програмістів з мовою програмування GPSS в процесі моделювання.
Вона має 2 режима роботи, а саме:
Звичайний користувач;
- Кваліфікований програміст.
Також програма має різні варіанти моделювання, такі як:
Моделювання з одним обслуговуючим пристроєм;
- Моделювання з двома обслуговуючими пристроями;
Моделювання з трьома обслуговуючими пристроями;
Непряма адресація.
Пункт - «Непряма адресація», поділяється в свою чергу на
декілька наступних пунктів:
Чотири обслуговуючі каси в відділенні;
- П’ять обслуговуючих кас в відділенні;
Шість обслуговуючих кас в відділенні;
Сім обслуговуючих кас в відділенні.
Кожен пункт моделювання передбачає інтерактивний перегляд
результату моделювання при натисканні на кнопку «Результат моделювання», або
запис результату в файл (для звичайних користувачів програми).
Головне меню програми проілюстровано на рисунку 3.1.
Рисунок 3.1 - Головне меню програми
Далі на рисунку 3.2 буде зображено вікно вибору режиму роботи
програми (Кваліфікований програміст / звичайний користувач).
Рисунок 3.2 - Вікно вибору режиму роботи з програмою
Далі буде проілюстровано вікно вибору варіанту моделювання в
режимі - «кваліфікований програміст» на рисунку 3.3.
Рисунок 3.3 - Вікно вибору варіанту моделювання в режимі -
«кваліфікований програміст»
Далі буде проілюстровано вікно вибору варіанту моделювання в
режимі - «звичайний користувач» на рисунку 3.4.
Рисунок 3.4 - Вікно вибору варіанту моделювання в режимі -
«звичайний користувач»
Дане вікно містить варіанти моделювання пристроїв
обслуговування та непрямої адресації на одному вікні.
Для того, щоб дізнатися результати моделювання користувачу
достатньо натиснути кнопку - «Переглянути результат», та не потрібно відкривати
програму GPSS WORLD.
3.3 Інструкція користувача
В даному розділі дипломної роботи буде проілюстрована
інструкція роботи з програмним забезпеченням для звичайного користувача.
Для того щоб почати роботу з програмою, необхідно двічі
натиснути лівою клавішею миші на зображення програми.
Далі необхідно натиснути на кнопку «Вибір моделі».
Необхідна дія зображена на рисунку 3.5.
Рисунок 3.5 - Кнопка «вибір моделі»
Наступним кроком є вибір режиму роботи з програмою.
Для того, щоб вибрати режим «звичайний користувач», необхідно
натиснути на кнопку «спрощений режим». Дана дія зображена на
рисунку 3.6.
Рисунок 3.6 - «Вибір спрощеного режиму роботи»
Далі необхідно підтвердити вибір спрощеного режиму,
натиснувши кнопку «Вибір моделі».
Рисунок 3.7 - Вибір моделі
Далі, щоб отримати результат моделювання, необхідно натиснути
кнопку «Переглянути результат». Щоб завершити роботу, необхідно натиснути
кнопку «Завершити роботу». Дані дії зображені на рисунку 2.8.
Рисунок 3.8 - Кнопка «Переглянути результат»
.4 Інструкція програміста
В даному розділі дипломної роботи буде проілюстрована
інструкція роботи з програмним забезпеченням для кваліфікованого користувача
(програміста).
Для того щоб почати роботу з програмою, необхідно двічі
натиснути лівою клавішею миші на зображення програми.
Далі необхідно натиснути на кнопку «Вибір моделі».
Необхідна дія зображена на рисунку 3.9.
Рисунок 3.9 - Кнопка «вибір моделі»
Для того, щоб вибрати режим «кваліфікований користувач
(програміст)», необхідно натиснути на кнопку «продовжити». Дана дія зображена
на рисунку 3.10.
Після виконання даної дії, програма буде переведена в більш
складний режим роботи, призначений для кваліфікованих користувачів.
Рисунок 3.10 - Продовження роботи в більш складному режимі
Далі з'явиться вікно в якому, користувачу необхідно вказати
вид моделювання, позначивши його голочкою, після чого відкриється програма GPPS
WORLD з кодом програми, де необхідно і провести моделювання. Якщо необхідно
переглянути відразу результати моделювання, необхідно натиснути кнопку
«Результат». Перераховані дії проілюстровані на рисунку 3.11.
Рисунок 3.11 - Вибір необхідної дії
Далі зображено на рисунку 3.12 вікно з вибором варіантів
моделювання непрямої адресації.
Рисунок 3.12 - Вибір необхідного виду моделювання
Далі буде проілюстрована послідовність дій в редакторі GPSS
WORLD для проведення моделювання.
На рисунку 3.13 зображено головне вікно редактора з відкритим
кодом.
Рисунок 3.13 - Головне вікно редактора з відкритим кодом
Далі необхідно натиснути вкладинку «command» в меню і вибрати
пункт «create simulition». Дані дії зображено на рисунку 3.14.
Рисунок 3.14 - Створення процеса моделювання
Далі необхідно натиснути вкладинку «command» в меню і вибрати
пункт «START». Дані дії зображено на рисунку 3.15.
Рисунок 3.15 - Запуск процесу моделювання
Після правильного виконання перерахованих вище дій, з'явиться
наступне вікно з результатами моделювання.
Рисунок 3.16 - Результат після проведення процеса моделювання
4. ОХОРОНА ПРАЦІ
4.1 Характеристика негативних факторів проектованого
об'єкта
Робота виконувалася на підприємстві в інформаційно-технічному
відділі. Характер виконуваної роботи: оформлення спеціальної документації,
постійна робота з комп’ютером та оргтехнікою.
У приміщенні знаходиться: два джерела безперебійного
живлення, модем, комп'ютери, принтер, копіювальний апарат, факс, телефон.
У приміщенні присутні наступні небезпечні та шкідливі
фактори:
а) фізичні фактори:
) підвищений рівень електромагнітних випромінювань від
електронних приладів та дисплеїв персональних комп’ютерів, який може спричинити
погіршення роботи серцево-судинної системи та погіршити зір людини;
) підвищена напруга в електричному ланцюзі, замкнення якого
може пройти крізь тіло людини;
) підвищений рівень шуму на робочому місці. Джерела -
системний блок ЕОМ, принтер. Викликає швидку стомлюваність, роздратування,
головний біль, безсоння, незручність спілкування, зниження продуктивність
праці;
) недостатня освітленість робочих поверхонь у зоні відео
терміналів викликає бистру втому, погіршує працездатність, може привести до
професійних захворювань (робоча міопія (короткозорість), спазм акомодації);
) надмірна освітленість, яка сприяє швидкій втомі органів
зору і може привести до осліплення працівників;
б) хімічні фактори:
) зниження кількості аеронів у повітрі, що призводить до
виникнення захворювань дихальних шляхи;
) у приміщеннях з дисплеями необхідно контролювати рівень
аероіонізації. Варто враховувати, що м’яке рентгенівське випромінювання на
струмопровідних ділянках схеми викликають іонізацію повітря з утворенням
позитивних іонів, які є шкідливими для людини.
) особливу увагу необхідно звертати на дотримання гранично
допустимих концентрацій озону і окислів азоту в повітрі під час роботи
іонізаторів;
) пил, що викликає подразнення дихального тракту та слизових
оболонок;
в) психофізіологічні:
) перш за все відноситься вимушене положення тіла під час
роботи, тривала напруга окремих груп м'язів. При тривалому стоячому положенні
може виникнути плоскостопість, варикозне розширення вен, зміни хребта (кіфоз);
) гіподинамія (обмеження рухової активності) найбільш
характерна для різних видів розумової праці. Обмеження рухової активності
призводить до зниження функціональних можливостей м'язової системи: зменшення
силових показників, витривалості, тонусу м'язів і т.д.;
) перенапруга зору при роботі з екранними пристроями.
4.2 Профілактичні
заходи з охорони праці
Завдання раціональної організації робочих місць
інженер-програмістів включає в себе устаткування його усім необхідним
відповідно до змісту та характеру роботи, яка виконується та раціональне його
розміщення, створення комфортних умов праці.
Правильна організація робочих, місць сприяє усуненню
загального дискомфорту, зменшенню втомлюваності працівника, підвищенню його продуктивності.
Проведені дослідження показують, що при раціональній організації робочих місць
продуктивність праці зростає на 15-25%.
Організація робочого місця передбачає:
- правильне розміщення робочого місця у виробничому
приміщенні;
- вибір ергономічного обґрунтованого робочого
положення, виробничих меблів з урахуванням антропометричних характеристик
людини;
раціональну компоновку обладнання на робочих місцях;
урахування характеру та особливостей трудової
діяльності.
Велике значення має також характер роботи. Зокрема, при
організації робочого місця інженер-програміста повинні бути дотримані такі
основні умови:
оптимальне розміщення устаткування, що входить до складу
робочого місця;
- достатній робочий простір, що дозволяє здійснювати
всі необхідні прямування і переміщення;
необхідно природне і штучне освітлення для виконання
поставлених задач;
рівень акустичного шуму не повинний перевищувати
допустиме значення [11].
Характеристикам робочого місця відповідають : висота робочої
поверхні стола для відео монітору складає 700 мм. Розміри стола: висота - 700
мм, ширина - 1000 мм, глибина - 900 мм. Ширина і глибина сидіння складає 500
мм. Висота поверхні сидіння регулюється в межах 400 - 500 мм, а кут нахилу
поверхні - від 15° вперед до 5° назад. Для забезпечення точного та швидкого
читання інформації в зоні найкращого бачення площина екрану монітора
розміщувалася перпендикулярно нормальній лінії зору.
Висота спинки сидіння становить 300 мм, ширина - 390 мм. Кут
нахилу спинки регулюється в межах 0-30° відносно вертикального положення.
Відстань від спинки до переднього краю сидіння регулюєтьсь у
межах 260-400 мм. Відстань від очей до монітору(розмір екрана по діагоналі - 38
см (15")) - 650 мм.
Для зниження статичного напруження м’язів рук застосовуються
стаціонарні або змінні підлокітники довжиною - 250 мм, шириною - 50-70 мм, що
регулюються по висоті над сидінням у межах 200-260 мм та по відстані між
підлокітниками у межах 350-500 мм.
Клавіатура зручна для виконання роботи двома руками, кут
нахилу клавіатури складає 5-10о.
Було правильно організоване робоче місце при якому можна
досягти вільну робочу позу, виключити нахили корпусу і технологічні переміщення
в просторі.
Приміщення оснащені аптечками першої медичної допомоги.
Під час робіт, які виконуються з великим навантаженням,
передбачені перерви на 10-15 хв. через кожну годину, при неінтенсивній та
монотонній роботі на 10-15 хв. через кожні дві години.
Здійснювалися перерви у роботі: виробнича гімнастика (вправи
для очей, гімнастика, спрямована на корекцію вимушеної робочої пози, поліпшення
венозного кровообігу, часткову дисфункцію рухової активності), альтернативна
допоміжна робота, приймання їжі тощо.
4.3
Розрахунок штучного освітлення (за коефіцієнтом використання світлового потоку)
Природне освітлення в основному виробничому приміщенні
здійснюється у вигляді бокового освітлення з лівого боку. У приміщенні
передбачено штучне освітлення у відповідності до [12].
Розряд зорових робіт, що виконується у приміщенні - VІ;
параметри приміщення наступні: довжина - 24 м, ширина - 12 м, висота стелі -
7,2 м.
Вибираємо ГСП08В-2000 тип світильника.
Необхідна кількість світильників визначається з формули:
(4.1)
де Е - нормативна освітленість для VI розряду зорових робіт,
150 лк;- площа приміщення, 27 м2;
Кз - коефіцієнт запасу, 1,4;- поправковий
коефіцієнт світильника, 1,1;- світловий потік однієї лампи у світильнику типу
ЛСП 02В-1
18, 1100 лм;- кількість ламп у
світильнику, 1;- коефіцієнт використання освітлювальної установки (у долях
одиниці), 0,47.
Коефіцієнт u визначається за світлотехнічними таблицями
залежно від показника приміщення j та коефіцієнтів відбиття стін 30 % та стелі 10 %.
Показник приміщення j розраховується за формулою:
(4.2)
де a, b - відповідно довжина і ширина приміщення, 12 і 12 м;-
висота підвісу світильника над робочою поверхнею, 4,5 м.
,
.
Приймаємо 12 світильників ЛСП 02В-1´18 [12].
.4 Розрахунок товщини звукоізолюючої перегородки із будівельного
матеріалу між приміщенням із розумовою діяльністю та дільницею із шумним
виробничим обладнанням
Розрахунок виконується у наступній послідовності:
Визначається загальний рівень звукового тиску, від усіх джерел шуму із
однаковими рівнями звукового тиску, дБ:
,
(4.3)
де Li - рівень звукового тиску і-того виду обладнання
основного виробничого приміщення, 100 дБ;- кількість обладнання і-того виду, 12
шт.
,
Порівнюючи знайдену величину із допустимим рівнем звукового тиску на
робочих місцях у захищеному приміщенні, визначається потрібна звукоізолююча
здатність перегородки R, дБ:
(4.4)
доп
- допустимий рівень звукового тиску , 60 дБ.
Звукоізолююча здатність перегородки залежить від властивостей
будівельного матеріалу, із якого виконано перегородку, дБ:
(4.5)
де me - еквівалентна поверхнева густина будівельного
матеріалу, кг/м2.
Знаходиться поверхнева густина будівельного матеріалу, кг/м2:
(4.6)
де k - коефіцієнт, який залежить від типу матеріалу - порожнистої
цегли, 1,7;
Потрібна товщина звукоізолюючої перегородки знаходиться із
співвідношення, м:
(4.7)
де ρ
- густина будівельного матеріалу
(порожниста цегла) перегородки, 840 кг/м3.
Отже, товщина звукоізолюючої перегородки із порожнистої цегли
становить - 0,24 м.
5. ОРГАНІЗАЦІЙНО - ЕКОНОМІЧНИЙ РОЗДІЛ
Завдання до економічного розділу дипломної роботи:
|
Показник
|
Дані що до видів
виробів
|
|
Виріб А
|
Виріб В
|
Виріб С
|
|
1. Обсяг
виробництва, шт. / Рік
|
965
|
1220
|
555
|
|
2.Стоімость
сировини і матеріалів, р. / Шт.
|
120
|
55
|
190
|
|
3. Вартість
покупних комплектуючих виробів і напівфабрикатів, р. / Шт.
|
200
|
125
|
510
|
|
4. Вироби,
нормо-год
|
45
|
35
|
75
|
|
5. Середня тарифна
ставка, р. / Нормо-год.
|
50
|
85
|
60
|
|
6. Відсоток
додаткової заробітної плати виробничих робітників,%
|
12
|
12
|
12
|
|
7. 3атрати
машинного часу на виріб, м.-час/шт.
|
100
|
80
|
60
|
|
8.Средняя вартість
маш-години, р. / Маш.-Год.
|
40
|
50
|
60
|
|
9.Годовая кошторис
загальновиробничих витрат, тис.р.
|
12450
|
|
10.Годовая кошторис
загальногосподарських витрат, тис.р.
|
7767
|
|
11.Годовая кошторис
комерційних витрат, тис.р.
|
5400
|
|
12.Годовой фонд
основної заробітної плати, тис.р.
|
12000
|
|
13.Годовой фонд
додаткової заробітної плати, тис.р.
|
1000
|
|
14.Годовой обсяг
товарної продукції, розрахований за виробничою собівартістю, тис.р.
|
41000
|
5.1 Теоретичні основи розрахунку і
аналізу собівартості продукції
5.1.1 Собівартість продукції, її поняття, склад, структура і
види
Собівартість продукції являє собою сукупність поточних витрат
організації (підприємства) на виробництво і реалізацію продукції. Ці витрати
прийнято визначати на калькуляційну одиницю, в якості якої залежно від галузі
промисловості можуть виступати одиниця продукції, партія виробів (наприклад, в
електронній промисловості), тонна металу (в металургійній виробництві) [20].
До складу собівартості включаються такі види витрат:
Витрати, безпосередньо пов'язані з виробництвом продукції,
обумовлені технологією і організацією виробництва, включаючи витрати на
забезпечення якості;
Витрати з обслуговування виробничого процесу;
Витрати, пов'язані з управлінням виробництвом;
Витрати, пов'язані з удосконаленням технології та організації
виробництва, підвищенням якості та надійності продукції, винахідництвом і
раціонализаторством;
Витрати на утримання та експлуатацію природоохоронних споруд;
Витрати із забезпечення нормальних умов праці та техніки
безпеки;
Витрати, пов'язані з підготовкою та перепідготовкою кадрів;
Виплати, передбачені законодавством про працю;
Відрахування від витрат на заробітну плату;
Платежі по обов'язкових, встановленим законом видами
страхування і за кредитами банку;
Відрахування в спеціальні фонди;
Витрати на відтворення основних виробничих фондів, тобто
амортизаційні відрахування;
Знос нематеріальних активів;
Передбачені законом податки, збори, платежі та ін обов'язкові
відрахування;
Інші види витрат відповідно до встановленого законодавством
порядку.
Крім того у фактичній собівартості відображаються:
а) втрати від браку ;
б) витрати на гарантійний ремонт, обслуговування;
в) втрати від простоїв з внутрішньовиробничих причин;
г) недостачі при відсутності винних осіб;
д) грошові допомоги у встановленому законом порядку.
При складанні калькуляції собівартості одиниці продукції
використовуються:
Специфікації на сировину, матеріали, покупні напівфабрикати і
комплектуючі вироби;
Технологічні карти з операційними нормами часу і розцінками;
Система норм і нормативів, що діє на підприємстві;
Кошториси накладних витрат.
Склад витрат на експлуатацію та утримання обладнання:
Амортизація устаткування і транспортних засобів;
Витрати на експлуатацію устаткування (паливо, енергія);
Витрати на ремонт;
Знос малоцінних і швидкозношуваних інструментів і
пристосувань.
Склад цехових витрат:
Утримання апарату управління цехом;
Зміст іншого персоналу;
Амортизація будівель, споруд , інвентарю;
Витрати на утримання будівель, споруд, інвентарю;
ремонт;
Випробування, раціоналізаторство, винахідництво;
Витрати на охорону праці;
Знос малоцінного, швидкозношуваних інвентарю та інші
невиробничі витрати;
Склад загальнозаводських витрат:
Витрати, пов'язані з управлінням підприємством;
Підготовка кадрів;
Збори і відрахування;
Решту витрат аналогічні цеховим витрат;
Далі розглянемо розподіл непрямих витрат. Система розподілу
має важливе значення для визначення собівартості. Непрямі витрати включаються
до собівартості шляхом їх умовного розподілу.
В якості бази розподілу можуть бути використані:
а) основна заробітна плата виробничих робітників (за
вирахуванням доплат за різними преміальних системах);
б) кошторисні ставки, розраховані на основі коефіцієнт -
машино-годин;
в) прямі матеріальні витрати.
.1.2 Розрахунок собівартості за статтями калькуляції
Розрахунок собівартості калькуляційної одиниці (одиниці
продукції) проводиться за статтями калькуляції, що визначаються з урахуванням
призначення і місця виникнення витрат. Перелік основних статей калькуляції
наведено в наступній таблиці.
Таблиця
5.1
Перелік основних статей калькуляції
|
Стаття калькуляції
|
формули розрахунку
|
умовні позначення
|
|
1
|
2
|
3
|
|
1. Сировина і
матеріали (за вирахуванням зворотних відходів), на одиницю i-й продукції
|
j - індекс виду сировини або матеріалу; Gji
- норма витрат i-го матеріалу; Цj - ціна придбання одиниці i-го матеріалу,
р. / одиниць; Нт.з. - норма транспортно-заготівельних витрат;
|
|
|
2. Покупні
комплектуючі вироби і напівфабрикати комплектуючого виробу або
напівфабрикату;
|
Nji - норма витрат j-го Цj -
ціна одиниці j-го комплектуючого виробу або напівфабрикату, р. / штук; п-
кількість видів комплектуючих виробів, що входять в одиницю i-й продукції.
|
|
|
3. Основна
заробітна плата робітників.
|
ti - трудомісткість виготовлення i-го
виробу, нормгодин; Pсрi- середня розцінка по i-й операції, яка
визначається з урахуванням складності і характеру даної операції (годинна
тарифна ставка), р. / нормгодин;
|
|
|
4. Додаткова зарплата
|
Ндоп - процент додаткової заробітної плати, що
визначається в цілому по організації (підприємству);
|
|
|
5. Відрахування на
соціальні потреби
|
Нсоц - норма відрахувань на соціальні потреби
(ставка єдиного соціального податку у відсотках).
|
|
|
|
|
|
6 Витрати на утримання та експлуатацію обладнання
tм - середні витрати машинного часу щодо
обладнання на одиницю i-й продукції;
|
Sмч -
середня вартість машино-години роботи обладнання, р. / мч.
|
|
|
|
Разом сума прямих
витрат
|
Зпр i-- сума прямих (змінних) витрат на i-й виріб.
|
|
|
7.
Загальновиробничі витрати
|
   Н’о.
пр, Н”о. пр - Відсоток загальновиробничих витрат; Sо. пр - річний кошторис
загальновиробничих витрат організації, тисяч; Зпр i - Сума прямих (змінних)
витрат на i-й виріб; р.Sпр - річний кошторис прямих витрат організації,
тисяч.
|
|
|
Разом цехова
собівартість
|
-
|
|
|
8.
Загальногосподарські витрати
|
  ;
Н’о.х, Н”о.х - відсоток загальногосподарських
витрат; Sо.х - річний кошторис загальногосподарських витрат організації,
тисяч.
|
|
|
Разом виробнича
собівартість
|
-
|
|
|
|
|
|
9. Комерційні витрати
;
|
Нком - відсоток комерційних витрат; Sком - річний
кошторис комерційних витрат організації, тисяч; Vт.пр.с - річний обсяг
товарної продукції організації, розрахований за виробничою собівартістю,
тисяч.
|
|
|
|
Всього повна
собівартість
|
-
|
|
5.1.3 Розрахунок собівартості одиниці продукції
Розрахунок собівартості проводиться за першим методом
розрахунку з урахуванням використання двох способів визначення
загальновиробничих і загальногосподарських витрат.
В індивідуальних вихідних даних наведені фактичні витрати по
кожному виробу на наступні статті калькуляції: «Сировина і матеріали» і
«Куплені комплектуючі вироби і напівфабрикати».
Розрахунок витрат на інші прямі статті калькуляції виконані
на основі даних про трудомісткість виготовлення, середньої годинної тарифної
ставки, відсотку премії, відсотку додаткової заробітної плати, ставкою єдиного
соціального податку, середніх витратах машинного часу на один виріб і середньої
вартості машиночасу роботи обладнання.
Розрахунок основної заробітної плати та витрат на утримання
та експлуатацію обладнання проводиться за спрощеними формулами, зазначеним у
таблиці 1.1 штрихом.
Результати розрахунку прямих статей калькуляції по кожному
виробу наведені в таблиці 2.1.
Таблиця
5.2
Статті калькуляції
|
Стаття калькуляції
|
Виріб
|
|
А
|
В
|
С
|
|
1. Сировина і
матеріали
|
132
|
60,5
|
|
2. Покупні
комплектуючі вироби і напівфабрикати
|
220
|
137,5
|
561
|
|
3. Основна
заробітна плата виробничих робітників
|
2925
|
3867,5
|
5850
|
|
4. Додаткова
заробітна плата виробничих робітників
|
351
|
464,1
|
702
|
|
5. Відрахування на
соціальні потреби
|
982,8
|
1299,48
|
1965,6
|
|
6. Витрати на
утримання та експлуатацію обладнання
|
4000
|
4000
|
3600
|
|
Разом прямі
витрати, грн.
|
8610,8
|
9829,08
|
12887,6
|
Розрахунок прямих витрат по виробу С:
Розрахунок вартості сировини і матеріалів:
= 190*(1+0,1) = 209 грн.
Розрахунок вартості покупних комплектуючих виробів та
напівфабрикатів:
= 510*(1+0,1) = 561 грн.
Розрахунок основної заробітної плат:
робітників:
= 75*60*(1+30/100)= 5850 грн.
Розрахунок додаткової заробітної плати робітників:
= 5850*0,12 = 702 грн.
Розрахунок відрахувань на соціальні потреби:
= (5850 + 702)*0,30 = 1965,6 грн.
Розрахунок витрат на утримання та експлуатацію обладнання:
= 60*60 = 3600 грн.
Разом сума прямих витрат:
=
= 209+561+5850 +702+1965,6
+3600 = 12887,6 грн.
Розрахунок непрямих витрат на одиницю продукції
Далі проведемо розрахунок загальновиробничих і
загальногосподарських витрат за формулами, наведеними в табл. 2, двома
способами. Перший спосіб - це розрахунок загальновиробничих і
загальногосподарських витрат у відсотках від заробітної плати виробничих
робітників. Другий спосіб - розрахунок тих же витрат у відсотках від суми
прямих витрат на виріб. Результати розрахунку представлені нижче у таблиці 2.2
- «Розрахунок загальновиробничих і загальногосподарських витрат».
Таблиця
5.3
Розрахунок загальновиробничих і загальногосподарських витрат
|
Стаття калькуляції
|
Величина витрат за
статтями калькуляції, виробам і способам розрахунку
|
|
А
|
В
|
С
|
|
У відсотках від
заробітної плати працюючих співробітників
|
У відсотках від
прямих витрат
|
У відсотках від
заробітної плати працюючих співробітників
|
У відсотках від
прямих витрат
|
У відсотках від
заробітної плати працюючих співробітників
|
У відсотках від
прямих витрат
|
|
Загальновиробничі
витрати
|
3137,400
|
3904,944
|
4148,340
|
4457,427
|
6274,800
|
5844,447
|
|
Загальногосподар-ські
витрати
|
1957,284
|
2436,121
|
2587,964
|
2780,790
|
3914,568
|
3646,090
|
Загальновиробничі витрати
=
95,769 %
З’опрС =
=
6274,8 грн.
Н”О.пр =
45,349
%
З’’опрС = 12887,6
= 5844,5 грн.
Загальногосподарські витрати
=
59,746 %
З’охС = (5850+702)*59,746 = 3914,6 руб.
Н”ох=
28,291%
ЗохС = 12887,6 * 28,291 / 100 = 3646,1 грн.
Розрахунок повної собівартості одиниці продукції
Далі проводимо розрахунок повної собівартості з урахуванням двох
способів розрахунку загальногосподарських і загальновиробничих витрат, а також
за величиною комерційних витрат.
Ці розрахунки наведені в трьох нижченаведених таблицях 2.3, 2.4, 2.5.
Таблиця
5.4
Розрахунок загальної вартості виробу А
|
Статья калькуляции
и вид себестоимости
|
Величина витрат
р./шт.
|
|
Перший спосіб
розрахунку
|
Структура
собівартості,%
|
Другий спосіб
розрахунку
|
Структура
собівартості,%
|
|
1. Сировина і
матеріали
|
132
|
0,851031098
|
132
|
0,780089507
|
|
2. Покупні
комплектуючі вироби і напівфабрикати
|
220
|
1,418385164
|
220
|
1,300149178
|
|
3. Основна
заробітна плата робітників, що працюють
|
2925
|
18,85807548
|
2925
|
17,28607429
|
|
4. Додаткова
заробітна плата робітників, що працюють
|
351
|
2,262969057
|
351
|
2,074328915
|
|
5. Відрахування на
соціальні потреби
|
982,8
|
6,33631336
|
982,8
|
5,808120962
|
|
6. Витрати на
утримання та експлуатацію обладнання
|
4000
|
25,78882117
|
4000
|
23,63907595
|
|
Разом сума прямих
витрат
|
8610,8
|
55,51559532
|
8610,8
|
50,88783881
|
|
7.загальновиробничі
витрати
|
3137,4
|
20,22746188
|
3904,944407
|
23,07731936
|
|
Разом цехова
собівартість
|
11748,2
|
75,7430572
|
12515,74441
|
73,96515817
|
|
8.
Загальногосподарські витрати
|
1957,284
|
12,61901176
|
2436,12074
|
14,3969108
|
|
Разом виробнича
собівартість
|
13705,484
|
88,36206897
|
14951,86515
|
88,36206897
|
|
9. Комерційні
витрати
|
1805,112527
|
11,63793103
|
1969,270044
|
11,63793103
|
|
Загальна повна
собівартість
|
15510,59653
|
100
|
16921,13519
|
100
|
Таблиця
5.5
Розрахунок загальної вартості виробу В
|
Статья калькуляции
и вид себестоимости
|
Величина витрат
р./шт.
|
|
Перший спосіб
розрахунку
|
Структура
собівартості,%
|
Другий спосіб
розрахунку
|
Структура
собівартості,%
|
|
1. Сировина і
матеріали
|
60,5
|
0,322715431
|
60,5
|
0,313225068
|
|
2. Покупні
комплектуючі вироби і напівфабрикати
|
137,5
|
0,733444162
|
137,5
|
0,711875154
|
|
3. Основна
заробітна плата робітників, що працюють
|
3867,5
|
20,62978398
|
3867,5
|
20,0231066
|
|
4. Додаткова
заробітна плата робітників, що працюють
|
464,1
|
2,475574078
|
464,1
|
2,402772792
|
|
5. Відрахування на
соціальні потреби
|
1299,48
|
6,931607417
|
1299,48
|
6,727763817
|
|
6. Витрати на
утримання та експлуатацію обладнання
|
4000
|
21,33655745
|
4000
|
20,70909538
|
|
Разом сума прямих
витрат
|
9829,08
|
52,42968251
|
9829,08
|
50,88783881
|
|
7.загальновиробничі
витрати
|
4148,34
|
22,12782368
|
4457,426833
|
23,07731936
|
|
Разом цехова
собівартість
|
13977,42
|
74,55750619
|
14286,50683
|
73,96515817
|
|
8.
Загальногосподарські витрати
|
2587,9644
|
13,80456277
|
2780,789896
|
14,3969108
|
|
Разом виробнича
собівартість
|
16565,3844
|
88,36206897
|
17067,29673
|
88,36206897
|
|
9. Комерційні
витрати
|
2181,782336
|
11,63793103
|
2247,887862
|
11,63793103
|
|
Загальна повна
собівартість
|
18747,16674
|
100
|
19315,18459
|
100
|
Таблица 5.6 - Розрахунок загальної вартості виробу С
|
Статья калькуляции
и вид себестоимости
|
Величина витрат
р./шт.
|
|
Перший спосіб
розрахунку
|
Структура
собівартості,%
|
Другий спосіб
розрахунку
|
Структура
собівартості,%
|
|
1. Сировина і
матеріали
|
209
|
0,800264247
|
209
|
0,825255153
|
|
2. Покупні комплектуючі
вироби і напівфабрикати
|
561
|
2,148077715
|
561
|
2,215158569
|
|
3. Основна
заробітна плата робітників, що працюють
|
5850
|
22,39974088
|
5850
|
23,09924711
|
|
4. Додаткова
заробітна плата робітників, що працюють
|
702
|
2,687968905
|
702
|
2,771909653
|
|
5. Відрахування на
соціальні потреби
|
1965,6
|
7,526312935
|
1965,6
|
7,761347028
|
|
6. Витрати на
утримання та експлуатацію обладнання
|
3600
|
13,78445592
|
3600
|
14,2149213
|
|
Разом сума прямих
витрат
|
12887,6
|
49,3468206
|
12887,6
|
50,88783881
|
|
7.загальновиробничі
витрати
|
6274,8
|
24,02630668
|
5844,446688
|
23,07731936
|
|
Разом цехова
собівартість
|
19162,4
|
73,37312728
|
18732,04669
|
73,96515817
|
|
8.
Загальногосподарські витрати
|
3914,568
|
14,98894168
|
3646,089753
|
14,3969108
|
|
Разом виробнича
собівартість
|
23076,968
|
88,36206897
|
22378,13644
|
88,36206897
|
|
9. Комерційні
витрати
|
3039,405541
|
11,63793103
|
2947,364312
|
11,63793103
|
|
Загальна повна
собівартість
|
26116,37354
|
100
|
25325,50075
|
100
|
Розрахунок загальної вартості виробу С1: Разом цехова
собівартість:
=6274,8+12887,6=19162,4
грн.
ВИСНОВКИ
В ході виконання дипломної роботи, було виконане проектування бізнес
процесів, що протікають в відділенні банку, проведено імітаційне моделювання
роботи відділення банку, та отриманий досвід роботи з системою обслуговування
клієнтів комерційного банку.
В загальному розділі була висвітлена історія підприємства,
проілюстровані основні методи вирішення питань, що посталі в ході проходження
практики, та висвітлення постановки задачі .
В спеціальному розділі було наведено та проілюстровано проектування
інформаційної системи, а саме методи, та програмні продукти, за допомогою яких,
була спроектована інформаційна система. Також був проведений опис
інформаційного забезпечення, в якому була описана мова програмування, за
допомогою якої були вирішені проблеми та задачі що з’явилися за час проходження
практики на підприємстві.
Був проведений опис математичного забезпечення, що містить формули, які
дають змогу проводити моделювання, та допомагають вирішити поставлені задачі,
та проілюстровані графи станів систем масового обслуговування різних типів.
Розрахунковий розділ складався з опису програмного забезпечення,
інструкцій для користувачів різного виду кваліфікації. Також в розрахунковій
розділ входив пункт з охорони праці, в якому була наведена характеристика
негативних факторів проектованого об'єкта, профілактичні заходи з охорони
праці, також проведені були розрахунки з необхідної кількості штучного
освітлення в робочому приміщенні, та розрахунок товщини звукоізолюючої
перегородки із будівельного матеріалу між приміщенням із розумовою діяльністю
та дільницею із шумним виробничим обладнанням.
В економічному розділі були проведені калькуляційні розрахунки
собівартості продукції.
Завданнями аналізу собівартості продукції є:
оцінка обґрунтованості витрат;
установлення динаміки і ступеня виконання плану по собівартості;
визначення чинників, які вплинули на динаміку показників собівартості і
виконання плану по них;
аналіз собівартості різних видів продукції; виявлення резервів
подальшого зниження собівартості продукції;
Аналіз собівартості продукції спрямований на виявлення можливостей
підвищення ефективності використання матеріальних , трудових і грошових
ресурсів у процесі виробництва , постачання і збуту продукції .
Вивчення собівартості продукції дозволяє дати більш правильну оцінку
рівню показників прибутку і рентабельності, досягнутому на підприємстві.
СПИСОК ЛІТЕРАТУРИ
1.
Бахвалов Л.А. Компьютерное моделирование: долгий путь к сияющим вершинам [Электронный
ресурс]
.
Бешенков С.А. Моделирование и формализация: методическое пособие. - М.:
Лаборатория базовых знаний, 2002.
.
Большаков А.С. Моделирование в менеджменте: учеб. пособие. - М.: Филинъ, 2000.
.
Бусленко Н.П. Моделирование сложных систем. - М.: Наука, 1978.
.
Бычков С.П., Храмов А.А. Разработка моделей в системе моделирования GPS
Александреску А. Современное проектирование на C++: Пер. с англ. - М.: Вильямс,
2002. - 336 с.
.
Вандевурд Д., Джосаттис Н.М. Шаблоны C++: справочник разработчика: Пер. с англ.
- М.: Вильямс, 2003. - 544 с.
.
Мейерс С. Эффективное использование C++. 50 рекомендаций по улучшению ваших
программ и проектов: Пер. с англ. - М.: Питер, ДМК пресс, 2006. - 240 с.
.
Мейерс С. Эффективное использование C++. 55 верных советов улучшить структуру и
код ваших программ: Пер. с англ. - 3-е изд. - М.: ДМК пресс, 2006. - 300 с.
.
Саттер Г. Решение сложных задач на C++: Пер. с англ. - М.: Вильямс, 2002. - 400
с.S: учеб. пособие. - М.: МИФИ, 1997.
10. ГОСТ
12.2.003-91. ССБТ. Оборудование производственное. Общие требования
безопасности. [Текст] - Введ. с 1992-01-01. - М.: Изд-во стандартов, 1992. - 9
с.
11. ГОСТ
12.3.002-75. ССБТ. Процессы производственные. Общие требования безопасности.
[Текст] - Введ. с 1976-07-01. - М.: Изд-во стандартов, 1976. - 7 с.
. ДНАОП
0.03-1.07-73 Санітарні правила організації технологічних процесів та гігієнічні
вимоги до виробничого обладнання. [Текст] - Введ. з 1973-01-01. К.: ІМЦ, 1973.
- 12 с.
. ГОСТ
12.1.044-84. ССБТ. Пожаровзрывоопасность веществ и материалов. Номенклатура
показателей и методы их определения. [Текст] - Введ. с 1985-07-01. 14. М.:
Изд-во стандартов, 1985. - 134 с.
15. Пожаровзрывоопасность
веществ и материалов и средства их тушения [Текст]: справ. изд., в 2 кн. - М.:
Химия, 1990. - 914 с.
. Вендров,
А.Н. Практикум по проектированию программного обеспечения экономических
информационных систем: учеб. пособие для вузов / А.Н. Вендров. - М.: Финансы и
статистика, 2002. - 192 с.
17. Маклаков,
С.В. BPWin и ERWin. CASE-средства разработки информационных систем / С.В.
Маклаков. - М.: ДИАЛОГ-МИФИ, 2000. - 256 с.
. Маклаков,
С.В. Моделирование бизнес-процессов с AllFusion Process Modeler (BPwin 4.1) /
С.В. Маклаков. - М.: ДИАЛОГ-МИФИ, 2004. - 240 с.
19. Організація
виробництва: Підручник / за заг.ред. П.В. Круша, В.І. Подвігіної, В.О. Гулевич.
- К.: ЦУЛ, 2008.- 348 с.
20. Економіка
і організація виробництва: Навч. посібник / За заг. Ред. В.Г. Герасимчука, А.Е.
Розенплентера, В.І. Кривди. - К.: Політехніка, 2007р.
. Подвігіна
В.І., Гуревич В.О. Организация виробничого процесу в часі та просторі. Потокове
виробництво., - К.: ЦУЛ, 2007. - 136с.
. Курочкин
А.С. Организация производства, Учебн. пособие для студентов вузов. - К.: МАУП,
2001. - 216 с.