Использование прикладного пакета Mathcad
Введение
Mathcad
- система компьютерной алгебры из класса систем автоматизированного
проектирования
<#"722197.files/image001.gif">

- количество радиаторов каждой модели
. Целевая функция
. Блок решения:

.
Проверка:
2. Решение
задач с размерными переменными
mathcad
прикладной функция массив
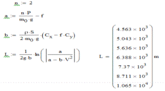
Взлетная дистанция самолета включает два участка: разбег и набор
первоначальной высоты Н=10,7 м. Длина разбега определяется по формуле:
, м
где g = 9,8 м/с2;
,
где nдв = 4 - количество двигателей на самолете;
Рср = 105 Н - тяга двигателя при разбеге;= 105 кг - взлетная масса
самолета;= 0,02; 0,03; …; 0,08 - коэффициент трения качения колес при разбеге;
где P0 = 1,225 кг/м3 - плотность воздуха;
S = 250 м2 - площадь крыла;= 0,1 - коэффициент силы аэродинамического
сопротивления при разбеге;= 0,8 - коэффициент подъемной силы крыла при
разбеге;отр = 55 м/с - скорость отрыва самолета.
Рассчитать длину разбега. Как изменится данная величина при отказе одного
или двух двигателей?
Убираем два двигателя

Построить циссоиду Диокла
4.
Исследование на непрерывность составной функции
а = 2.5, b = 5.2
Решение
5. Решение
задач с использованием итерационного цикла
Дано натуральное число n 999. Найти сумму трех последних цифр
числа.
6. Решение
задач на обработку двухмерных массивов
Определить след в матрице A(M,N). След - это сумма элементов главной
диагонали матрицы.
Заключение
Mathcad
достаточно удобно использовать для обучения, вычислений и инженерных расчетов.
Открытая архитектура приложения в сочетании с поддержкой технологий NET
<http://ru.wikipedia.org/wiki/.NET_Framework> и XML
<http://ru.wikipedia.org/wiki/XML> позволяют легко интегрировать Mathcad
практически в любые ИТ-структуры и инженерные приложения.