Організація і планування виробництва кондитерських виробів на підприємстві
Зміст
Вступ
.
Техніко-економічна характеристика підприємства
. Організація
виробництва як форма забезпечення ефективності діяльності підприємства
. Поняття
виробничої програми підприємства та її календарний розподіл
. Планування
виробничої програми
. Економічна оцінка
виробничої програми
Висновки і
пропозиції
Список використаної літератури
Вступ
Я обрала тему : « Організація і
планування виробництва кондитерських виробів на підприємстві », тому що вона є
дуже актуальною в наш час.
Кондитерські вироби
-
це харчові вироби, головною відмінною властивістю яких є солодкий смак. Інакше
кажучи, кондитерські вироби - це спеціально виготовлені людиною солодощі.
Термін же "солодощі" має більш широкий зміст і, крім кондитерських
виробів, охоплює також природні харчові продукти солодкого смаку, головним з
яких є мед.
Починаючи з XIX століття, з ремісничого і
кустарного кондитерське виробництво на Україні
активно перетворюється в промислове, фабричне. Цьому сприяла поява в Україні
власного промислового виробництва цукру з буряка. Певну позитивну роль зіграло
і відкриття представником в Україні способу
отримання патоки крохмальної. Однак, більшість кондитерських фабрик в Україні
другої половини XIX і початку XX століття було побудовано і належали іноземцям.
Загальне виробництво кондитерських виробів до 1914 році 109 тис. тонн.
Після Жовтневої революції великі
кондитерські фабрики були націоналізовані. Під час
громадянської війни кондитерська промисловість прийшла в занепад. Її
відновлення або оновлення почалося в 1922 році. Десять років потому, в 1932
році був створений Всесоюзний науково-дослідний інститут кондитерської
промисловості. Його співробітники зайнялися активним вивченням процесів, що
лежать в основі технології кондитерських виробів різних видів, а також розробкою
механізованих і автоматизованих способів їх реалізації. В результаті
відновлення і оновлення кондитерської промисловості виробництво кондитерських
виробів в передвоєнному 1940 році досягло 790 тис. тонн. В період Великої
Вітчизняної війни значна частина кондитерських підприємств була зруйнована.
Знову треба було їх відновлення та оновлення. Виробництво кондитерських виробів
в післявоєнні роки поступово досягло довоєнного рівня і згодом перевершив його.
Так, в 1960 році обсяг виробництва кондитерської промисловістю виробів склав
вже 1,75 млн тонн, а в 1985 році - 4,3 млн тонн.
Що почався після 1985 року перехід на ринкові
відносини призвела до ослаблення позицій вітчизняної кондитерської
промисловості, збільшення частки імпортованих кондитерських виробів.
Пішов спад виробництва: так, в 1998 році
виробництво кондитерських виробів порівняно з 1990 роком скоротився вдвічі.
Наприкінці 90-х років минулого століття ситуація почала змінюватися на краще -
намітилося деяке зростання виробництва кондитерських виробів, знизилася частка
імпортованої продукції.
Сьогодні перед кондитерською промисловістю знову
стоять завдання відродження й оновлення, вирішувати які належить як діючих, так
і майбутнім поколінням інженерів.
Для кращого ознайомлення з цією
темою я обрала ЗАТ
«Кременчуцька кондитерська фабрика Рошен»
<#"721866.files/image001.jpg">
Рис. 1 Організаційна
структура управління ЗАТ «Кременчуцької кондитерської фабрики Рошен»
<#"721866.files/image002.gif">
одну гривню витрат
одну вартості
основних фондів
Рис.2 «Аналіз
випуску продукції»
Проаналізувавши випущену продукцію
підприємства можна зазначити, що в 2012р. в порівняні з 2011 роком випуск
валової продукції зменшився на 23868тис. грн.,
або на 11,17% . А також випуск валової продукції на одного працівника зменшився
на 24.3 тис. грн. або 11.2%, зменшився випуск валової продукції на одну гривню
витрат та одну гривню вартості основних фондів на 0.26 тис. грн. або 20.8% та
0.18 тис. грн.
або 14.18%.
По друге проаналізуємо ефективність
використання майна підприємства (таблиця 2):
Таблиця 2. Аналіз майна підприємства
|
Показники
|
2011 рік
|
2012 рік
|
Відхилення ±
|
Темп росту, %
|
|
Не матеріальні активи
|
0
|
0
|
0
|
0
|
|
Основні засоби, тис. грн
|
167425
|
172927
|
5502
|
103.28
|
|
Оборотні активи, тис. грн
|
109818
|
53591
|
-56227
|
48.79
|
|
Фондовіддача, грн
|
1.27
|
1.09
|
-0.18
|
85.82
|
|
Рентабельність (збитковість ), %
|
|
|
|
|
|
- основних засобів
|
25
|
-0.3
|
-25.3
|
-
|
|
- оборотних активів
|
39
|
-1.12
|
-40.12
|
-
|
|
Період обертання оборотних активів, днів
|
188.14
|
103.1
|
-85.04
|
54.79
|
|
Коефіцієнт оборотності
|
1.94
|
3.54
|
1.6
|
182.47
|
Розрахунки:
Рентабельність
основних засобів
Рентабельність
оборотних активів
Період обертання
оборотних активів
Коефіцієнт
оборотності
Фондовіддача
Рис. 3 «Аналіз ефективності
використання майна підприємства»
Аналізуючи майно підприємства можна
зазначити,що в 2012 році в порівнянні з 2011роком основні засоби збільшилися на
5502 тис. грн., або на 3.28% оборотні активи зменшились на 56227 тис.грн., або
на 51.21%, що привело до збільшення рентабельності основних засобів та
зменшення оборонних активів. Прискорилися обертання оборотніх активів на 85.04
дня та збільшення кількості обертів за рік на 1.6 разів, але можна зазначити,
що фондовіддача, тобто обсяг випущеної продукції на одну гривню основних фондів
зменшився на 0.18 гривень.
В третє проаналізуємо основний
показник фінансово - господарської діяльності підприємства як доходність
підприємства (таблиця 3):
Таблиця 3. Аналіз доходності
підприємства
|
Показники
|
2011 рік
|
2012 рік
|
Відхилення, ±
|
Темп росту, %
|
|
Виручка (дохід) від реалізації товарів,
тис.грн
|
213750
|
189882
|
-23868
|
88.83
|
|
Собівартість реалізованої продукції, тис.грн
|
156534
|
174142
|
17608
|
111.24
|
|
Дохід підприємства, тис. грн.
|
57367
|
16086
|
-41281
|
28.04
|
|
Витрати обігу, тис.грн
|
14272
|
16690
|
2418
|
116.94
|
|
Прибуток підприємства тис. грн. (збиток)
|
43095
|
-604
|
-43699
|
-
|
|
Рентабельність (збитковість) підприємства, %
|
27.53
|
-0.34
|
-27.87
|
-
|
Розрахунки:
Рентабельність
підприємства
Рис. 4 «Аналіз
доходності підприємства»
Аналізуючи дохід підприємства можна
зазначити,що рентабельність підприємства в 2012 році в порівнянні з 2011 роком
залишилась майже не зміною. Але собівартість підприємства збільшилась на 17608
тис. грн. А дохід в 2012 році зменшився на 41281 тис. грн.. Проте витрати
збільшилися на тис. 2418 грн. в 2012році в порівнянні з 2011 роком. Що вплинуло
на зменшення прибутку на 43699 тис. грн..
В четверте що треба проаналізувати
це фінансовий стан підприємства (таблиця 4):
Таблиця 4. Аналіз фінансового стану
підприємства
|
Показники
|
2011 рік
|
2012 рік
|
Відхилення, ±
|
|
Коефіцієнт покриття
|
0.66
|
0.46
|
-0.2
|
|
Коефіцієнт швидкої ліквідності
|
0.56
|
0.40
|
-0.16
|
|
Коефіцієнт абсолютної ліквідності
|
0.0005
|
0.00053
|
0.00003
|
|
Робочий капітал (розмір власних оборотних
засобів), тис. грн
|
-55928
|
-62308
|
-6380
|
|
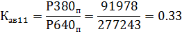
Коефіцієнт автономії
|
0.33
|
0.41
|
0.08
|
|
Коефіцієнт фінансової залежності
|
3.01
|
2.4
|
-0.61
|
|
Коефіцієнт фінансової стійкості
|
0.5
|
0.7
|
0.2
|
|
Маневреність робочого капіталу
|
-0.27
|
-0.1
|
0.17
|
Розрахунки:
Коефіцієнт покриття
Коефіцієнт швидкої
ліквідності
Коефіцієнт
абсолютної ліквідності
Робочий капітал
(розмір власних оборотних засобів)
Коефіцієнт
автономії
Коефіцієнт
фінансової залежності
Коефіцієнт
фінансової стійкості
Маневреність
робочого капіталу
Рис.5 «Аналіз фінансового
стану підприємства»
Аналізуючи фінансовий стан
підприємства можна зробити висновок,що коефіцієнт покриття в 2012році став
меншим чим в 2011 році на 0.2. Значення коефіцієнта швидкої ліквідності на
2011р. становить 0.56 є меншим за нормативне і свідчить,що за рахунок грошових
коштів та очікуваних фінансових надходжень може бути погашено лише 73% поточних
зобов’язань підприємства. Не може повністю забезпечити покриття своїми активами
поточних зобов’язань. На кінець 2012р. значення цього показника,становить 0,40
що не відповідає нормативному значенню,і свідчить про не можливість повністю
погасити поточні зобов’язання за рахунок грошових коштів і очікуваних
фінансових надходжень. Така тенденція коефіцієнта фінансової стійкості до
зменшення є негативною. Такий показник менше 1 свідчить про зменшення суми
власних коштів над позиченими. Коефіцієнта фінансової залежності має негативну
динаміку до зростання в 2012 році його значення зменшилось на 0.61 пунктів. Це
дуже добре,тому що зменшується залежність підприємства до довгострокових
зобов’язань. Значення коефіцієнта автономії вище нормативного значення і
свідчить про те що підприємство не є залежним від зовнішніх джерел
фінансування.
2.
Організація виробництва, як форма забезпечення ефективної діяльності
підприємства
виробництво програма
продукція
Для будь-якого підприємства основною його
функцією є виробнича діяльність. Під виробничою діяльністю розуміють сукупність
цілеспрямованих процесів, що здійснюється людьми за допомогою засобів праці чи
природних процесів, у результаті яких предмети праці змінюють свій склад, стан,
форму отримують певні нові властивості та перетворюється в готову продукцію.
До виробничої діяльності в ходять;
. Жива праця людей як активна частина
виробництва, що ставить основу трудового процесу;
. Предмети праці, над якими працює людина для
перетворення їх у проміжний чи харчових продукт із метою задоволення певних
потреб споживачів;
. Засоби праці-частина засобів виробництва, за
допомогою яких людина впливає на предмет праці.
Організація виробництва - це процес
упорядкування, координації й оптимізації у просторі й часі науково-дослідних і
проектно-конструкторських робіт, освоєння та виготовлення продукції для
задоволення потреб споживачів та виготовлення продукції для задоволення потреб
споживачів і отримання прибутку. Вона розглядає загальні закономірності
організація виробничих систем, формування й методи здійснення виробничих
процесів виготовлення конкурентно спроможної продукції при раціональному
використанні трудових, матеріально-технічної та фінансових ресурсів.
Іншими словами, організація виробництва, це
координація й оптимізація в часі та просторі всіх матеріальних і трудових
елементів виробництва з метою досягнення визначені терміни найефективнішого
виробництва результату.
Організація виробництва базується на технології
виробничих процесів-сукупності методів і засобів, при яких здійснюються
перетворення матеріальних ресурсів, інформації та їхніх комплектів в кінцевий
продукт.
Технологія виробничих процесів реалізується за
допомогою організації виробництва, і фактично формує основу виробничої системи,
зумовлюючи динаміку виробничого процесу.
Організація виробництва розглядає і вирішує
наступні завдання:
. Формування теоретичних основ організації
виробничої діяльності підприємства.
. Організацію процесів створення й освоєння
випуску нової чи вдосконалення продукції, яку випускає підприємство.
. Організацію виробничих процесів.
Вирішення поставлених завдань значною мірою
забезпечить ефективне господарювання підприємства.
Організація виробництва є системою заходів,
спрямованих на раціональне поєднання праці з речовинними елементами
виробництва, знаряддями і предметами праці. Ця система заходів, крім того,
спрямована на оптимальне поєднання виробничих процесів між собою в просторі й
часі і на цій основі - на підвищення ефективності виробництва. Розрізняють
форми організації суспільного виробництва, типи організації виробництва та
методи організації виробничих процесів.
До форм організації виробництва в цілому
належать концентрація, спеціалізація, кооперація і комбінування. Концентрація є
процесом зосередження виготовлення продукції на обмеженій кількості підприємств
і в їхніх виробничих підрозділах. Рівень концентрації залежить, передусім, від
обсягу випуску продукції, величини одиничної потужності машин, агрегатів,
апаратів, технологічних установок, кількості однотипного устаткування, розмірів
і числа технологічно однорідних виробництв. Для вимірювання рівня концентрації
використовуються показники обсягу продукції, чисельності працівників, а в
окремих галузях - вартості основних фондів.
Під спеціалізацією розуміється зосередження на
підприємстві і в його виробничих підрозділах випуску однорідної, однотипної
продукції або виконання окремих стадій технологічного процесу. Розрізняють
технологічну, предметну та подетальну спеціалізацію. Технологічна спеціалізація
- відособлення підприємств, цехів і ділянок з метою виконання певних операцій
або стадій виробничого процесу (наприклад, хлібопекарські, кондитерські заводи
в пекарській промисловості). Предметна спеціалізація передбачає концентрацію
виробництва на підприємстві (в цеху) повністю готових видів продукції (наприклад,
солодощів, концентратів, хлібопродуктів тощо). Подетальна спеціалізація є
різновидом предметної, заснована на виробництві окремих деталей і частин
готової продукції.
Виробнича структура підприємства -
це об'єднання його підрозділів, кількість їх, розміщення їх на території
підприємства і взаємні зв'язки в процесі виготовлення продукції.
Виробнича структура підприємства ЗАТ
«Кременчуцької кондитерської фабрики Рошен» є цеховою і вона визначається таким
складом рис. 6:
Рис. 6 Виробнича структура
підприємства ЗАТ «Кременчуцької кондитерської фабрики Рошен»
Основним структурним
підрозділом
підприємства і виробничої
одиниці
є
цех. Цех- це організаційно-відокремлений підрозділ
підприємства і
він
складається з ряду виробничих учасників і
обслуговуючих ланок. Цех
виконує
певні
обмежені
виробничі
функції
, зумовлені характером кооперації праці
всередині підприємства.У
цехах підприємства виготовляється продукція
або виконується певна стадія виробництва,
в
результаті якої створюються напівфабрикати,
використовувані
на даному підприємстві.
На більшості промислових
підприємствах
цех є їх основною структурною
одиницею.
Частина дрібних і середніх підприємств
може
бути
побудована за безцеховою структурою.
У цьому випадку підприємство ділиться безпосередньо на виробничі ділянки. Деякі
найбільші підприємствав організаційно-адміністративному відношенні будуються за
корпусними системами на основі об'єднання під єдиним керівництвом ряду цехів і
господарств.
У залежності від сировини, що переробляється,
характеру виробничих процесів розрізняють основні, допоміжні і побічні цехи.
До цеху основного виробництва
відносяться цехи, в яких виконуються основні процеси виробництва,або їх
частина, тобто, вони безпосередньо пов'язані з виготовленням основної продукції
підприємства і призначені для вироблення продукції.
Кожен цех основного виробництва може
включати один або кілька повністю закінчених процесів виготовлення продукції
або об'єднувати часткові процеси і операції,які становлять одну або ряд стадій
виробництва продукту.
Допоміжні цехи - це цехи, які
сприяють випуску основної продукції, створюючи умови для нормальної роботи
основних цехів: оснащують їх інструментом і пристосуваннями, забезпечують
запасними частинами для ремонту устаткуванняі проводять планові ремонти,
забезпечують енергетичними ресурсами. Найважливішими з цих цехів є
інструментальні, ремонтно-механічні, ремонтно-енергетичні, ремонтно-будівельні,
модельні, штампові та ін
Крім того , у допоміжних цехах
виробляється продукція, споживана основними цехами підприємства. До таких цехів
відносяться цех з будівництва, виробництва тари, електроенергіїі т.д.
Число допоміжних цехів та їх розміри
залежать від масштабу виробництва і складу основних цехів.
Слід зазначити, що поділ цехів на
основні та допоміжні обумовлено призначенням підприємства.
Побічні цехи - це цехи, в яких
виготовляється продукція з відходів сировини і матеріалів основного і
допоміжного виробництва,або здійснюється відновлення використаних допоміжних
матеріалів для потреб виробництва. Наприклад, цех виробництва товарів широкого
споживання. Побічні цехи, як правило, є тільки на великих підприємствах. На
середніх і невеликих підприємствах відповідні підрозділи вважаються
відділеннями або виробничими ділянками основних цехів.
Підсобні цехи - це цехи, які
здійснюють підготовку основних матеріалів для основних цехів, а також
виготовляють тару для упакування продукції.
Обслуговуючі господарства
підприємства
продукції не виробляють,а виконують роботи
з надання послуг основним
і
допоміжним цехам. До обслуговуючих господарств
виробничого призначення
належать:
складське господарство,транспортне господарство,
санітарно-технічне господарство,
об'єднуючі
водопровідні, каналізаційні,
вентиляційніта опалювальні пристрої;центральна
заводська лабораторія, що складається з
лабораторій механічної,хімічної, рентгенівськоїта,
телефонна
, радіозв'язок та інші види зв'язку, служби чистотита озеленення
та
ін.
У виробничій структурі підприємства
важливу роль відіграють конструкторські і технологічні підрозділи та
науково-дослідні лабораторії. У них виконуються дослідні,
дослідно-конструкторські роботи, розробляються технологічні процеси,проводяться
експериментальні роботи, здійснюється доведення виробів до готовності за
техніко-економічними показниками або вимогам стандартів.
На підприємствах
поряд
з виробничою структурою розрізняють
загальну структуру.
Загальна структура
підприємства
включає
в себе, окрім виробничих цехів і
обслуговуючих господарств виробничого
призначення,також
різні загальнозаводські служби,
господарства і
підприємства,пов'язані з капітальним будівництвом
, охороною навколишнього
середовищаі культурно-побутовим обслуговуванням працівників.
Наприклад,
до них відносяться:підсобне господарство,
житлово-комунальне господарство, їдальні,
профілакторії, дитячі сади, ясла, медичні установи,клуби, і т. п.
Формування виробничої
структури
відбувається при створенні підприємства,а
також у результаті безперервно здійснюваного
на ньому в подальшому процесу організації. Виробнича структура
виробничого
об'єднання
(підприємства) значною мірою впливає на
форми побудови виробничого процесу в
часі та просторі, на структуру
органів
управління
виробництвом.
3. Поняття виробничої програми
підприємства та її календарний розподіл
Важливим розділом
поточного плану підприємства є виробнича програма або план виробництва та
реалізації продукції.
Виробнича програма
визначає необхідний обсяг виробництва продукції в плановому періоді, який
відповідає номенклатурою, асортиментом і якістю вимогам плану продажів. Вона обумовлює
завдання по введенню в дію нових виробничих потужностей, потребу в
матеріально-сировинних ресурсах, чисельності персоналу, транспорті тощо. Цей
розділ плану тісно пов’язаний з планом по праці і заробітній платі, планом по
витратах виробництва, прибутку і рентабельності, фінансовим планом.
Виробнича програма
підприємств визначає склад, кількість і обсяг продукції, яка повинна бути
виготовлена в плановому періоді і поставлена споживачам. Відображаючи головне
завдання господарської діяльності, вона є головним розділом планів
підприємства. Всі інші розділи планів розробляються у відповідності з
виробничою програмою і спрямовані на забезпечення її виконання.
Основним завданням
виробничої програми є максимальне задоволення потреб споживачів у високоякісній
продукції, яка випускається підприємствами при найкращому використанні їхніх
ресурсів та отриманні максимального прибутку. З метою вирішення цього завдання
в процесі розробки виробничої програми на всіх рівнях потрібно дотримуватися
наступних вимог: 1) правильне визначення потреби в продукції, що випускається,
і обґрунтування обсягу її виробництва попитом споживачів; 2) повне ув'язування
натуральних і вартісних показників обсягів виробництва і реалізації продукції;
3) обґрунтування плану виробництва продукції ресурсами, і в першу чергу,
виробничою потужністю.
Виробнича програма
складається із 2-х розділів: плану виробництва продукції в натуральному
(умовно-натуральному) виразі та плану виробництва у вартісному виразі.
В основу розробки виробничої
програми повинна бути покладена реальна потреба в конкретній продукції. На
рівні промислового підприємства конкретизація потреби в продукції
забезпечується за допомогою попиту споживачів і господарських договорів по
розгорнутій номенклатурі виробів.
Для того, щоб вірно
сформувати виробничу програму підприємства, у його бізнес-плані повинна бути
представлена така важлива інформація, як характеристика пропонованої продукції,
оцінка можливих ринків збуту та конкурентів, стратегія маркетингу.
При плануванні
виробничої програми необхідно використовувати наступні матеріали:
перспективний план
виробництва продукції і послуг;
прогноз потреби у
продукції підприємства, який складається на підставі досліджень змін ринкових
елементів у часі, тобто попиту, пропозиції, цін, кількості конкурентів тощо;
державний контракт
та державне замовлення на продукцію підприємства - якщо таке існує;
результати вивчення
поточного попиту на продукцію;
договори на
виробництво та поставку продукції, які укладаються в результаті вільного
продажу виробів на гуртових ярмарках;
заходи щодо
спеціалізації і кооперування виробництва;
заходи щодо
збільшення виробничих потужностей підприємства;
дані про залишки
нереалізованої продукції у попередньому періоді.
Підставою для
визначення обсягу поставок конкретної продукції є портфель замовлень і
господарські договори.
Обсяг випуску по
окремих виробах обґрунтовується виробничою потужністю. У процесі такого
обґрунтування на підприємствах виявляються внутрішньовиробничі диспропорції в
завантаженні устаткування, намічаються шляхи їхнього усунення, а також заходи
щодо розширення спеціалізації і кооперування виробництва.
Виходячи з
натуральних обсягів постачань і виробництва, розраховується загальний обсяг
продукції у вартісному виразі: обсяг товарної продукції, валової продукції,
реалізованої, чистої, умовно - чистої продукції.
Розробка завдань по
випуску виробів у натуральному виразі є найважливішою частиною роботи при
складанні виробничої програми.
Важливість її визначається тим, що
споживачам потрібна продукція визначених видів, здатних задовольнити наявні
потреби. На основі виявлення цих потреб формується програма виготовлення
конкретних виробів.
Планування
виробничої програми в натуральному виразі передбачає: визначення номенклатури й
асортименту продукції, яка випускається; розрахунок потреби в продукції, обсягу
виробництва по календарних періодах року (у головному плані) і обґрунтування
планованих обсягів виготовлення продукції виробничою потужністю, матеріальними
і трудовими ресурсами.
В основу планування
виробничої програми покладена система показників обсягу виробництва, яка
включає натуральні та вартісні показники.
Натуральними
показниками виробничої програми є обсяг продукції в натуральних одиницях по
номенклатурі і асортименту.
Номенклатура - це
перелік назв окремих видів продукції, а асортимент - це різновидність виробів в
межах даної номенклатури.
Асортимент - це
різновидність виробів у межах даної номенклатури.
Натуральні
показники представленні у фізичних одиницях виміру (штуки, тонни, метри і
т.д.).
Номенклатура
виробів підприємства може бути централізованою та децентралізованою.
Централізована
номенклатура формується шляхом укладання державних контрактів і державних
замовлень.
Децентралізована
номенклатура формується підприємством самостійно на основі вивчення ринкового
попиту на свою продукцію та встановлення прямих контактів із споживачами шляхом
укладання договорів поставок.
Значення
натуральних показників виробничої програми в умовах ринку зростає, оскільки
саме вони дають можливість оцінити ступінь задоволення потреб споживачів в
певних товарах із врахуванням якісної характеристики товарів.
Найважливішим показником виробничої
програми є товарна продукція. Вона включає до свого складу всю виготовлену в
плановому або попередньому періодах продукцію, що відповідає стандартам,
технічним умовам, прийнята у ВТК, упакована і підготовлена до реалізації.
Товарна продукція оцінюється в діючих оптових цінах, по собівартості, в
натуральних показниках, у трудових показниках (для внутрізаводського
планування).
Наступним
показником виробничої програми є валова продукція, що включає до свого складу
всю продукцію у вартісному виразі, незалежно від ступеня її готовності.
Одним з
найважливіших етапів розробки виробничої програми є визначення потреби в
ресурсах.
Основним методом
визначення цієї потреби є метод прямого розрахунку відповідно до питомих норм
її витрат. Так, потреба підприємств у предметах праці розраховується шляхом
множення питомих норм витрат сировини і матеріалів на планові обсяги
виробництва. Потреба в знаряддях праці (машини, устаткування) визначається,
виходячи із передбачених обсягів робіт, виконуваних з їхньою допомогою, і
прогресивних норм продуктивності.
Поряд з цим
враховується потреба на капітальне будівництво, експорт, створення резервів та
т.п.
Потреба в продукції
погоджується з можливостями її виробництва. При цьому методи такого ув'язування
мають свої особливості в залежності від рівня планування. Головним засобом
ув'язування потреби і ресурсів є розробка матеріальних балансів.
На підставі плану випуску
продукції підприємством розробляються річні, квартальні і місячні виробничі
програми цехів. Виробнича програма цеху містить завдання по номенклатурі і в
загальному обсязі продукції. У завданні по номенклатурі вказується кількість
найменувань виготовлених окремих видів продукції в натуральному виразі. Планово
- облікові одиниці (номенклатурні позиції), у яких встановлюється завдання
цехам по номенклатурі, мають різний ступінь деталізації для різних цехів і
типів виробництва. Для випускаючих (складальних) цехів програма складається по
найменуванню та кількості готових виробів відповідно до плану виробництва
підприємства. В одиничному і серійному виробництві для заготівельних та
обробних цехів номенклатурне завдання встановлюється, зазвичай, в комплектах
деталей на замовлення, вироби, вузли. В умовах масового виробництва цим цехам
планується випуск заготівок і деталей по окремих найменуваннях.
Виробнича програма кожного цеху
обґрунтовується виробничою потужністю окремих груп устаткування, зіставленням
їх сумарного корисного фонду роботи та завантаження в машино-годинах.Такі
розрахунки дозволяють виявити ˮ вузькі місця ” в цеху і вжити заходів щодо
усунення диспропорцій у завантаженні устаткування.
На основі
виробничих програм основних цехів складаються плани виробництва для допоміжних,
обслуговуючих підрозділів підприємства: ремонтних, інструментальних,
енергетичних цехів, транспортного господарства. Виробничі програми допоміжних
цехів розробляються відповідно до встановленої потреби в їхній продукції та послугах.
Виходячи з планів
цехів, розробляються виробничі завдання для ділянок. Заключним етапом
планування виробництва є доведення завдань по виконанню окремих виробничих
процесів та виготовленню продукції безпосередньо до бригад і робочих місць.
Кожне підприємство
розробляє свою виробничу програму самостійно, крім державного контракту та
державного замовлення, розмір яких встановлюється відповідно до виробничих
можливостей підприємства і за згодою дирекції.
Державний контракт
і державне замовлення формується на основі пропозицій міністерств і відомств -
державних замовників. Фінансування державного контракту проводиться за рахунок
коштів Державного бюджету, а державного замовлення - за рахунок власних коштів
підприємства та організацій і наявних кредитних ресурсів. Відповідальність
замовників (споживачів) та виконавців за виконання державного контракту і
державного замовлення визначається укладеними договорами (контрактами) та
законодавством України.
Система державного
замовлення розповсюджена у всіх країнах з розвинутою ринковою економікою та не
суперечить її принципам. Більше того, державне замовлення є престижним для
підприємства і отримується, як правило, на конкурсній основі. Державне
замовлення надається тим підприємствам, які забезпечують більш ефективне його
виконання.
Виконавці
державного контракту та державного замовлення забезпечують себе матеріально -
технічними ресурсами самостійно шляхом укладання прямих договорів із
підприємствами-постачальниками та посередницькими організаціями.
Виробнича програма є важливим
розділом, на основі якого пров1одиться планування потреби матеріально -
технічних, трудових, енергетичних ресурсів, розраховується собівартість,
прибуток та інші фінансові показники.
В поточному плануванні
виробнича програма складається, як правило, на рік. В умовах динамічності
внутрішнього та зовнішнього середовища розробляти виробничу програму на більш
довший період не доцільно. Тому процес підготовки до виконання річної
виробничої програми починається з її розподілу по кварталах і місяцях. Оскільки
ритмічність виробництва має виключно велике значення для підвищення його
ефективності, покращення якості продукції і всієї роботи, необхідно більш
детально розподіляти річний обсяг виробництва та реалізації продукції по
кварталах і місяцях.
Розподіл річних завдань по
кварталах (місяцях) необхідно здійснювати з врахуванням наступних факторів:
встановлених договорами строків
поставки продукції споживачам;
збільшення випуску продукції за
рахунок приросту і покращення використання виробничих потужностей, а також за
рахунок заходів передбачених планом інновацій;
термін введення в дію нових
потужностей та обладнання;
забезпечення рівномірного
завантаження всіх виробничих підрозділів;
підвищення серійності
(масовості) виробництва;
числа робочих днів в кожному
кварталі;
можливого вибуття основних
виробничих засобів, а також зупинення окремих агрегатів, ділянок та цехів для
ремонту обладнання;
зняття з виробництва застарілих
видів продукції, які не відповідають своїми техніко-економічними показниками
сучасному рівню розвитку науки і техніки, і таких, що не користуються попитом,
та замінити їх новими;
сезонності і змінності роботи;
сезонності збуту продукції.
В масовому і багатосерійному виробництві, коли
споживання продукції не носить сезонного характеру (наприклад, виробництво
хлібобулочних виробів, будівельних матеріалів), розподіл виробничої програми по
планових періодах проводиться пропорційно кількості робочих днів.
В інших випадках розподіл
завдань проводиться з врахуванням термінів постачання продукції споживачам.
Виробнича програма повинна
формуватися з урахуванням ресурсів підприємства й одержання найкращих
результатів, тобто бути оптимальною.
Оптимальна виробнича програма -
це програма, яка відповідає структурі ресурсів підприємства та забезпечує найкращі
результати його діяльності за прийнятим критерієм.
Оптимізація виробничої програми
проводиться з метою:
) планування оптимальної
структури номенклатури продукції;
) визначення максимально
можливого обсягу виробництва продукції та економічної межі нарощування
виробництва.
Перша проблема може бути
вирішена за допомогою економіко-математичних методів:
симплекс-методу лінійного
програмування, при якому вибирається критерій оптимізації та його математична
форма - цільова функція, якою можуть бути: максимальний прибуток, максимальний
обсяг виробництва, рівномірне завантаження устаткування та приймаються наступні
обмеження: повне завантаження кожної групи устаткування, трудомісткість
програми, витрати матеріальних ресурсів;
метод “гілок і обмежень”, що
являє собою спрямований перебір із відсіюванням неефективних розробок плану;
більш простий та доступний
метод оптимального формування
виробничої програми за
допомогою інтегральних показників, при якому формування плану продовжується до
виконання встановленого критерію оптимальності.
В модель вводяться обмеження щодо ресурсів,
фонду часу роботи устаткування, по обсягах виробництва конкретних виробів. Із
погляду математичної постановки завдання вона не викликає сумнівів. Однак, як
вважає автор, некоректним є використання в моделі показника прибутку від
реалізації її продукції, і пропонує для моделі оптимізації асортименту
використання маржинального прибутку.
Оскільки в кондитерському
виробництві ведучої машини є хлібопекарська піч, розрахунки технологічних
нормативів починаються з розрахунків продуктивності печі.
Продуктивність печі ( т ) :
· годинна:
Пгод =
=
=
0,514 т/год;
· добова:
Пдоб =
=
= 12 т.
Відповідно розрахунку, один тісто подільник та
одна тістозакаточна машина можуть забезпечити загрузку двох хлібопекарських
печей марки ФТЛ - 2 з годинною продуктивністю 0,514 т.
Виробнича програма розраховується на підставі
розрахунку продуктивності печі по кожному виду виробу та лінії, відповідно до
асортименту продукції на підприємстві та розподіляється по місяцям року
(Таблиця 5):
Виробнича програма на 2012 рік ЗАТ
«Кременчуцької кондитерської фабрики Рошен»
Таблица. 5
|
Найменування
продукції, робіт, послуг
|
Один.
вимір
|
Очікування
за 2011
|
План
на 2012 рік
|
В
тому числі по місяцях
|
|
1
|
2
|
4
|
5
|
I
|
II
|
III
|
IV
|
V
|
VI
|
VII
|
VIII
|
IX
|
X
|
XI
|
XII
|
|
Виробництво
продукції в натуральному виразі
|
т
|
310000
|
25833
|
23423
|
21562
|
26598
|
27114
|
25750
|
23200
|
26555
|
24999
|
26736
|
23687
|
34543
|
|
Шоколад
|
т
|
54671
|
58410
|
4573
|
4387
|
4185
|
4867
|
5375
|
5027
|
4828
|
5567
|
5387
|
5620
|
5346
|
7019.8
|
|
Цукерки
шоколадні та глазуровані
|
т
|
75745
|
60562
|
4610
|
4203
|
3856
|
4729
|
4826
|
4539
|
4167
|
4727.5
|
4412
|
4793
|
4281
|
9266.5
|
|
Печиво
|
т
|
49318
|
55666
|
4305.5
|
3903
|
3593.5
|
4431
|
4519
|
4291.6
|
3866.6
|
4425.8
|
4166.5
|
4456
|
3947
|
9761
|
|
Вафельна
продукція
|
т
|
43549
|
49745
|
3767
|
3384
|
2967
|
3801
|
3995
|
3645.5
|
3275
|
3845.4
|
3549
|
3819
|
3398
|
9174.5
|
|
Бісквіти
|
т
|
39345
|
45936
|
3346.7
|
2939
|
2658
|
3577
|
3692
|
3371
|
2939
|
3582
|
3267
|
3527
|
3056
|
8825
|
|
Торти
|
т
|
33281
|
39681
|
2784
|
2384
|
2049
|
2945
|
3045
|
2693
|
2385
|
2945
|
2644.5
|
2926
|
2433
|
8267
|
|
Обсяг
виробленої продукції в діючих цінах
|
Млн.
$
|
494000000
|
520000000
|
43333333
|
40234756
|
38435749
|
43567194
|
44923768
|
42049166
|
40234711
|
43583492
|
41545678
|
45376891
|
41792001
|
58736994
|
|
Обсяг
виробленої продукції в порівняних цінах (станом на 01.01.2011 року)
|
Млн.
$
|
499000000
|
530000000
|
48678175
|
45600275
|
42756
|
40755802
|
45671893
|
43678934
|
42785930
|
45879034
|
41785004
|
44678205
|
43784028
|
58649376
|
У 2012 р. Корпорації
"Рошен" реалізувала продукції на суму $ 520 млн. Загальний обсяг
виробництва кондитерської продукції склав 310 тис. т. Зокрема , для
українського ринку Корпорація виробила 135 тис. т. кондитерської продукції , що
на 5 % більше в порівнянні з 2011 р. Про це компанії "ПроАгро" стало
відомо з прес-релізу Кондитерської Корпорації "Рошен"
Як наголошується , після введення
Росією 20 % ввізного мита на українську карамель , розміри експорту знизилися з
85 тис. т. до 72 тис. т. Зниження експорту в Росію було компенсовано
збільшенням обсягів виробництва на Липецькій кондитерській фабриці "
Ліконф " . Обсяг виробництва на Липецькій кондитерській фабриці в 2012 р.
склав більше 98 тис. т.
Варто відзначити , що в 2012 р.
Корпорація " Рошен" інвестувала в розвиток виробництва та капітальне
будівництво близько 60 млн. євро.
Нагадаємо , в 2012 р. Корпорація
придбала Литовську кондитерську фабрику " Klaipedos konditerija " (м.
Клайпеда) . Це дозволило реалізовувати продукцію не тільки литовської , а й
українських фабрик на території Євросоюзу.
У 2013 р. Корпорація "Рошен
" має намір завершити реконструкцію шоколадного виробництва Київської КФ ,
запустити новий цех з випуску широкого асортименту вафельної продукції на
Вінницькій КФ. Також у 2012 р. завершилася реконструкція Липецької фабрики.
Реконструкція фабрики дозволила довести обсяг виробництва до 14 тис. т на
місяць.
Загальний обсяг інвестицій в 2013 р.
складе близько 100 млн. євро. Джерелом є як власні , так і позикові кошти.
Компанія планує в 2014 р. досягти
обсягів реалізації продукції близько 400 тис. т. За планами Корпорації ,
сумарний обсяг продажів в 2013 р. складе $ 700 млн
4. Планування виробничої програми
При плануванні виробничої
програми необхідно використовувати такі матеріали:
перспективний план виробництва
продукції і послуг;
результати вивчення поточного
попиту на продукцію;
державній контракт і держане
замовлення на продукцію підприємства (за умови їх наявності);
прогноз потреби в продукції
підприємства, який складається на підставі досліджень змін ринкових елементів у
часі, тобто попиту, пропозиції, ціни, кількості конкурентів тощо;
договори на виробництво та
поставку продукції, то укладаються в результаті вільного продажу виробів на
гуртових ярмарках;
дані про залишки нереалізованої
продукції в попередньому періоді;
заходи щодо спеціалізації та
кооперування виробництва;
заходи щодо збільшення
виробничих потужностей підприємства. Розробка завдань щодо випуску виробів у
натуральному виразі є найважливішою
частиною роботи при складанні виробничої програми, її важливість визначається
тим, що споживачам потрібна продукція визначених видів, здатна задовольнити
наявні потреби. На основі виявлення цих потреб формується програма виготовлення
конкретних виробів.
Розподіл річних завдань за
кварталами або місяцями необхідно здійснювати з урахуванням таких факторів:
встановлених договорами строків
поставки продукції споживачам;
збільшення випуску продукції за
рахунок приросту і поліпшення використання виробничих потужностей, а також за
рахунок заходів, передбачених планом інновацій;
терміну введення в експлуатацію
нових потужностей та обладнання;
забезпечення рівномірного
завантаження всіх виробничих підрозділів;
підвищення серійності
(масовості) виробництва;
числа робочих днів у кожному
кварталі;
можливого вибуття основних
виробничих засобів, а також зупинення окремих агрегатів, ділянок та цехів для
ремонту обладнання;
- зняття з виробництва застарілих видів
продукції, які не відповідають своїми техніко-економічними показниками
сучасному рівню науки і техніки, та таких, що не мають попиту, і заміна їх
новими;
- сезонності та змінності
роботи;
сезонності збуту продукції.
Планування виробничої програми
в натуральному виразі передбачає:
визначення номенклатури та
асортименту продукції, яка випускається;
розрахунок потреби в продукції,
обсягу виробництва за календарними періодами року;
обґрунтування планових обсягів
виготовлення продукції виробничою потужністю, матеріальними і трудовими
ресурсами.
Одним з найважливіших етапів
розробки виробничої програми є визначення потреби в ресурсах. Основним методом
вирішення цієї потреби є метод прямого розрахунку відповідно до питомих норм її
витрат. Так, потреба підприємств у предметах праці розраховується шляхом
множення питомих норм витрат сировини і матеріалів на планові обсяги виробництва.
Потреба у знаряддях праці (машинах, устаткуванні) визначається, виходячи із
прогнозованих обсягів робіт, що виконуються з їх допомогою, і прогресивних норм
продуктивності. Враховуються також потреби на капітальне будівництво, експорт,
створення резервів тощо.
На підставі плану випуску
продукції підприємством розробляються річні, квартальні й місячні виробничі
програми цехів. Виробнича програма цеху містить завдання з номенклатури та
загального обсягу продукції. У завданні з номенклатури вказується кількість
найменувань окремих видів продукції в натуральному виразі.
Виробнича програма цеху
обґрунтовується виробничою потужністю окремих груп устаткування, зіставленням
їх сумарного корисного фонду роботи й завантаження в машино-годинах. Такі
розрахунки дають змогу виявити "вузькі місця" в цеху і вжити заходів
щодо усунення диспропорції у завантаженні устаткування.
На основі виробничих програм
основних цехів складаються плани виробництва для допоміжних та обслуговуючих
підрозділів підприємства: ремонтних, інструментальних, енергетичних цехів і
транспортного господарства. Виробничі програми допоміжних цехів розробляються
відповідно до встановленої потреби в їх продукції та послугах.
Виходячи з планів цехів, розробляються виробничі
завдання для ділянок. Заключним етапом планування виробництва є доведення
завдань з виконання окремих виробничих процесів та виготовлення продукції
безпосередньо до бригад і робочих місць.
Продуктивність - це
співвідношення між кількістю виданих товарів і послуг і використаних для цього
факторів виробництва. Продуктивність завжди визначається співвідношенням змін в
кількості факторів виробництва і змін в кількості виданої продукції з
використанням відносних показників.
Цукрове печиво «Сливкино»
Цукрове
печиво з борошна вищого ґатунку з вершковим смаком.
Склад: борошно пшеничне в/ґ,
маргарин молочний, цукор, інвертний сироп (цукор, регулятори кислотності:
молочна кислота, натрій двовуглекислий), сироватка молочна суха, розпушувачі:
вуглеамонійна сіль, натрій двовуглекислий; сіль кухонна, вершки сухі,
ароматизатор "Топлене молоко", екстракт кори дуба на пропілен
гліколевій основі.
Харчова (поживна) цінність 100
г продукту (в г): білків - 6,7; жирів - 18,2; вуглеводів - 66,4.
Енергетична цінність
(калорійність) 100 г продукту: 461 ккал.
Упаковка: гофроящик 3,8 кг
Строк придатності до
споживання: 6 місяців.
Зберігати при температурі
(18±3)˚C і відносній вологості повітря не вище 75%.
Таблиця 6 Рецептура
цукрового печива «Сливкино»
Таблиця 7. Схема виробничого
процесу цукрового
печива «Сливкино»
|
Виробничі стадії
|
Основна виробнича операція
|
Час на операцію, хв
|
Кількість робочих місць
|
|
1. Підготовка сировини до виробництва.
|
· Звільнення сировини від тари;
· Очищення сировини від стороніх
механічних, металевих і феромагнітних домішок шляхом просіювання,
проціджування або протирання залежно від виду сировини;
· Розчинення сировини (хімічні
розпушувачі, сіль); · Темперування
сировини (жири, глазурі); · Зважування,
об'ємне дозування сировини, подача на виробництво.
|
20 хв 80 хв 20 хв 10 хв 30 хв
|
1 1 1 1 1
|
|
Разом:
|
160 хв
|
5
|
|
2. Приготування тіста.
|
· Приготування емульсії;
· Заміс тіста в три етапи;
· Подача тіста на поділ.
|
40 хв 23 хв 5 хв
|
1 1 1
|
|
Разом:
|
68 хв
|
3
|
|
3. Поділ і формування тіста.
|
· поділ тіста на шматки;
· округлення шматків тіста;
· закатка, надання форми шматку
тіста; · нанесення
малюнку; · укладка
сформованих тістових заготовок на люльки конвеєра шафи завершальної ви стійки
або вагонетку
|
60 хв 40 хв 40 хв 40 хв 20 хв
|
1 1 1 1 1
|
|
Разом:
|
200хв
|
5
|
|
4. Випуск готової продукції.
|
· посадка тістових заготовок на под
печі; · випічка
печива; · вивантаження
печива з печі; · укладка
печива в тару на вагонетку; · охолодження
виробів; · росфасування
та упакування.
|
40 хв 7хв 10 хв 5 хв 20 хв 25 хв
|
1 1 1 1 1 1
|
|
Разом:
|
107 хв
|
6
|
Порахувавши зі
схеми виробничого процесу загальний час витрачений на кожну операцію та
загальну кількість робочих можна скласти схему тривалості технологічного циклу
(Рис. 7):
Рис.7 «Тривалість технологічного
циклу»
Таблиця 8. Випуск цукрового
печива «Сливкино»
|
1.Випуск продукції - в вартісних показниках
(тис.грн.) - в натуральних показниках (тис.тон.)
|
22767.5 13858
|
23985.0 13000
|
105.3 93.8
|
|
2.Реалізація - в вартісних показниках
(тис.грн.) - в натуральних показниках (тис.тон.)
|
20242.5 1641.2
|
22637.06 2525.0
|
111.8 153.8
|
|
3.Дохід (тис.грн.)
|
2373.7
|
998.0
|
68
|
|
4.Витрати
|
2450,7
|
1785,0
|
72.8
|
|
5.Прибуток
|
147
|
14,7
|
-
|
|
6.Рентабельність
|
0,29
|
0,023
|
-
|
Технологічними
нормативами передбачаються розрахунки продуктивності хлібопекарських печей,
необхідної кількості діж або ємкостей для приготування тіста, кількості шматків
тіста для забезпечення годинної продуктивності печі, кількість вагонеток для
роз стойки тістових заготовок, потреби в іншому технологічному обладнанні.
. Необхідна
кількість діж:
§ годинні
витрати борошна:
Мгод =
=
=
0,373 т.
§ завантаження
діжі борошном на 100 л її геометричного обʼєму для борошна пшеничного
першого готунку складає 35 к.
§ завантаження
борошном діжі ємкістю 330 л:
МД =
=
115 кг.
· кількість
діж тіста, необхідне для забезпечення годинної продуктивності печі:
Кдт =
=
=
3,3.
· кількість
діж опари, необхідне для забезпечення годинної продуктивності печі:
Кдо =
=
=
3,3.
· ритм
замісу тіста:
Рт =
=
=
18 хв.
· ритм
замісу опари:
Ро * 1 = 18 * 1 =
18 хв.
· кількість
діж, зайнятих в тістоприготувальному відділенні для бродіння тіста:
Д1 =
=
=
5.
· кількість
діж, зайнятих в тістоприготувальному відділенні для бродіння опари:
Д2 =
=
=
13.
· загальна
кількість зайнятих діж:
Д1 + Д2 = 5 + 13 =
18.
. Кількість шматків тіста,
необхідне для забезпечення годинної продуктивності печі:
Кт =
=
=
514.
. Кількість вагонеток для
заключної роз стойки тістових заготовок, необхідне для забезпечення годинної
продуктивності печі:
Кв =
=
=
7,4.
· Загальна
кількість вагонеток зайнятих на роз стойці:
Кр =
=
=
5,6.
· Ритм
заповнення вагонеток:
Рр =
=
=
8,2 хв.
Таблиця 9. Розподіл
потреб сировини для випуску цукрового
печива «Сливкино»
|
Вид сировини
|
На добу
|
На рік
|
На квартал
|
|
|
|
I
|
II
|
III
|
IV
|
|
|
|
22.0%
|
25.0%
|
26.0%
|
27.0%
|
|
Борошно в/г
|
23370,5
|
8413380
|
1850943,6
|
2103345
|
2187478,8
|
2271612,6
|
|
Інвертний сироп
|
1168.17
|
420541,2
|
92519,0
|
105135,3
|
109340,7
|
113546,1
|
|
Сіль
|
233.91
|
84207,6
|
18525,6
|
21051,9
|
21893,9
|
22736,0
|
|
Цукор - пісок
|
3507
|
1262520
|
277754,4
|
315630
|
328255,2
|
340880,4
|
|
Маргарин столовий
|
3507
|
1262520
|
277754,4
|
315630
|
328255,2
|
340880,4
|
|
Молоко незбиране
|
934.95
|
336582
|
74048,04
|
84145,5
|
87511,32
|
90877,1
|
|
Яйця
|
2804.16
|
1009497,6
|
222089,4
|
252374,4
|
262469,3
|
272564,3
|
. Економічна оцінка виробничої
програми
Обсяг товарної
продукції - включають готову продукцію послуги, ремонтні роботи,капітальний
ремонт свого підприємства, напівфабрикати і запчастини на сторону, капітальне
будівництво для промислових господарств свого підприємства, роботи, пов’язані з
освоєнням нової техніки,тару, що не входить в гуртову ціну виробу.
Обсяг товарної продукції (ТП)
визначають за формулою:

Де Ni -
випуск продукції іншого виду в натуральних одиницях,;
Цt - гуртова
ціна підприємства одиниці виробу іншого виду ,грн.;
n-
кількість видів продукції , що виготовляється на підприємстві,;
Р - вартість робіт і послуг
на сторону,грн.
ВП=ТП-(НЗВп-НЗВк)=976896000
-178000-156000)=976562000 грн.
де НЗВп,НЗВк-вартість
залишків незавершеного виробництва відповідно на початок і кінець планового
періоду,грн.
Реалізована продукція (РП) -
це продукція , яка відвантажена споживачеві і за яку надійшли кошти на розрахунковий
рахунок підприємства - постачальника або мають надійти у зазначений термін.
Обсяг реалізованої продукції
обчислюється за формулою :
РП=ТП+(Гп-Гк)+(Внп+Внк),грн=
+(113000-112000)=976897000
грн.
де Гп,Гк - залишки готової
нереалізованої продукції відповідно на початок і кінець року,грн.
Внп ,Внк - залишки продукції
відвантаженої за яку термін оплати не настав і продукції на відповідальному
збережені відповідно на початок і на кінець планового року,грн.
(Валовий оборот доб.до ВВ 4
тис )
Валовий оборот (ВО) включають всю
продукцію у вартісному виразі, незалежно від ступеня її готовності і визначають
за формулою:
ВО=ТП-(НЗВп-НЗВк)
ВО=976896000-(178000-156000)+4000=976878000
грн.
де НЗВп,НЗВк-
вартість залишків незавершеного виробництва відповідно на початок і кінець
планового періоду, грн.
. Коефіцієнт
товарності.
2. Коефіцієнт
реалізованої.
3. Коефіцієнт
співвідношення валової продукції і валового обороту.
ЗАТ «Кременчуцької кондитерської
фабрики Рошен» ефективно використовує ресурси з виробництва та реалізації своєї
продукції,про що свідчить розрахунок коефіцієнтів товарності, реалізації та
співвідношення валової продукції і валового обороту. Так майже всі коефіцієнти
дорівнюють одиниці, що свідчить про конкурентоспроможність на ринку.
Висновок
Я обрала тему:
«Організація і планування виробництва на ЗАТ «Кременчуцька кондитерська фабрика
Рошен».
Проаналізувавши
данні ЗАТ «Кременчуцької кондитерської фабрики Рошен», я можу зробити висновок,
що обсяг виробництва підприємства в 2012р. в порівняні з 2011 роком збільшився,
для того щоб покращити стан підприємства, передбачається подальше покращення
економічних показників в тому числі обсяг виробництва продукції.
Підприємство не є
платоспроможним, тому що коефіцієнт покриття як 2011р. так і в 2012році
відповідає нормативному значенню,тобто у підприємства є реальна можливість
покриття поточних зобов’язань за рахунок його оборотних засобів. Значення
коефіцієнта швидкої ліквідності на 2011р. становить 0,56 є меншим за нормативне
і свідчить, що за рахунок грошових коштів та очікуваних фінансових надходжень
може бути погашено лише 73% поточних зобовʼязань підприємства. На кінець
2012р. значення цього показника,становить 0,40, що не відповідає нормативному
значенню, і свідчить про не можливість повністю погасити поточні зобовʼязання
за рахунок грошових коштів і очікуваних фінансових надходжень. Коефіцієнта
фінансової залежності має негативну динаміку до зростання в 2012 році його
значення зменшилося на 0.61 пунктів. Це дуже добре, тому що зменшується
залежність підприємства до довгострокового зобов’язання.
Значення
коефіцієнта автономії вище нормативного значення і свідчить про те що
підприємство не залежить від зовнішніх джерел фінансування так в 2012р.
підприємство на 41% фінансувалось за рахунок власного капіталу. Рентабельність
підприємства в 2012 році в порівнянні з 2011 роком залишилась майже не зміною.
Але собівартість підприємства збільшилась на 17608 тис. грн. А дохід в 2012
році зменшився на 41281 тис. грн.
Проте витрати
збільшилися на тис. 2418 грн. в 2012році в порівнянні з 2011 роком. Що вплинуло
на зменшення прибутку на 43699 тис. грн.
Проаналізувавши випущену продукцію
підприємства можна зазначити, що в 2012р. в порівняні з 2011 роком випуск
валової продукції зменшився на 23868тис. грн.,
або на 11,17% . А також випуск валової продукції на одного працівника зменшився
на 24.3 тис. грн. або 11.2%, зменшився випуск валової продукції на одну гривню
витрат та одну гривню вартості основних фондів на 0.26 тис. грн. або 20.8% та
0.18 тис. грн.
або 14.18%.
Виробнича програма
підприємства (план виробництва і реалізація продукції) - це заздалегідь
запланований підприємством певний обсяг випуску продукції визначеного
асортименту і якості.
Виробнича програма
підприємств визначає склад, кількість і обсяг продукції, яка повинна бути
виготовлена в плановому періоді і поставлена споживачам. Відображаючи головне
завдання господарської діяльності, вона є головним розділом планів
підприємства. Всі інші розділи планів розробляються у відповідності з
виробничою програмою і спрямовані на забезпечення її виконання.
При плануванні
виробничої програми необхідно використовувати наступні матеріали:
перспективний план
виробництва продукції і послуг;
прогноз потреби у
продукції підприємства, який складається на підставі досліджень змін ринкових
елементів у часі, тобто попиту, пропозиції, цін, кількості конкурентів тощо;
державний контракт
та державне замовлення на продукцію підприємства - якщо таке існує;
результати вивчення
поточного попиту на продукцію;
договори на
виробництво та поставку продукції, які укладаються в результаті вільного
продажу виробів на гуртових ярмарках;
заходи щодо
спеціалізації і кооперування виробництва;
заходи щодо
збільшення виробничих потужностей підприємства;
дані про залишки
нереалізованої продукції у попередньому періоді.
ЗАТ «Кременчуцької
кондитерської фабрики Рошен» ефективно використовує ресурси з виробництва та
реалізації своєї продукції,про що свідчить розрахунок коефіцієнтів товарності,
реалізації та співвідношення валової продукції і валового обороту. Так майже
всі коефіцієнти дорівнюють одиниці, що свідчить про конкурентоспроможність на
ринку.
Зробивши аналіз виробничої програми
підприємства можна зробити висновок, що ЗАТ «Кременчуцька кондитерська фабрика
Рошен» є одним з найбільших світових виробників кондитерських виробів. На
фабриці встановлене високоякісне обладнання, що не має аналогів в Україні.
Кременчуцька
кондитерська фабрика "Рошен" постійно працює над розширенням
асортименту та підвищенням якості продукції, яку виготовляє, використовує нові
технології та удосконалює технології, які вже працюють на підприємстві.
Література
1.
В.В. Іванова. Планування діяльності підприємства: Навч. Посібник. - К.: Центр
навчальної літератури,2006.
2. О.П. Крайнік.
Економіка підприємства. Львів, 2003.
.http://libfree.com/153736725_ekonomikaplanuvannya_Virobnichoy
i_programi.hml.
.
http://roshen.ua/ua/products/ukraine/cookies/biscuits-bulk/
. http://kkf.pl.ua/
.
http://www.mossaequipment.ru/solutions/technology/saharnoe
.http://pidruchniki.ws/1534122047522/ekonomika/virobnicha_programa_pidpriyemstva_ekonomichne_obgruntuvannya_marketingova_diyalnist_pidpriyemstva