Организация оплаты труда в строительстве

  • Вид работы:
    Курсовая работа (т)
  • Предмет:
    Эктеория
  • Язык:
    Русский
    ,
    Формат файла:
    MS Word
    136,87 Кб
  • Опубликовано:
    2014-05-19
Вы можете узнать стоимость помощи в написании студенческой работы.
Помощь в написании работы, которую точно примут!

Организация оплаты труда в строительстве

 

 

 

 

 

 

 

 

 

 

 

 

 

 

 

Организация оплаты труда в строительстве

 


Введение

заработный строительный финансовый плата

Учет труда и заработной платы по праву занимает одно из центральных мест в системе бухгалтерского учета на любом предприятии. Труд является важнейшим элементом издержек производства и обращения.

С помощью его осуществляется контроль за мерой труда и потребления, она используется как важнейший экономический рычаг управления экономикой.

Главным законодательным документом, имеющим в своем составе статьи посвященные труду, является Конституция РФ. Кодекс законов о труде РФ (КЗоТ РФ) является основным сборником законодательных актов и регулирует трудовые отношения всех работников. Законы и иные нормативные правовые акты о труде, действующие в РФ, распространяются на иностранных граждан и лиц без гражданства, работающих в организациях, расположенных на территории РФ, кроме случаев, установленных федеральным законом или международным договором РФ. Трудовые доходы каждого работника, независимо от вида предприятия, определяются его личным трудовым вкладом с учетом конечных результатов работы предприятия, регулируются налогами и максимальными размерами законодательно не ограничиваются. В условиях хозяйствования важнейшими задачами бухгалтерского учета труда и заработной платы являются:

) в установленные сроки производить расчеты с персоналом предприятия по оплате труда (начисление зарплаты и прочих выплат, сумм к удержанию и выдаче на руки);

) своевременно и правильно относить в себестоимость продукции (работ, услуг) суммы начисленной заработной платы и обязательных отчислений во внебюджетные фонды (Пенсионный Фонд РФ, фонды обязательного медицинского страхования, Фонд социального страхования РФ и Государственный фонд занятости населения РФ);

1. Теоретическая часть

1.1 Сущность зароботной платы

Под оплатой труда (заработной платой) принято понимать вознаграждение, установленное работнику за выполнение трудовых обязанностей. Каждому предоставлено право на труд в условиях, отвечающих требованиям безопасности и гигиены, на вознаграждение за труд без какой бы то ни было дискриминации и не ниже установленного федеральным законом минимального размера оплаты труда (ст. 37 Конституции РФ).

Оплата труда каждого работника определяется работодателем в зависимости от количества и качества выполняемой работы и максимальным пределом не ограничивается. Дифференциация оплаты труда осуществляется в зависимости от сложности, содержания и результатов труда работника.

При оплате труда рабочих могут применяться тарифные ставки, оклады, а также бестарифная система, если предприятие, учреждение, организация сочтут такую систему наиболее целесообразной.

Действующим законодательством о труде предприятиям и организациям предоставлено право самостоятельно определять и фиксировать в коллективных договорах и других локальных нормативных актах вид, системы оплаты труда, размеры тарифных ставок, окладов, премий и поощрений, а также соотношение в их размерах между отдельными категориями работников (ст. 80 КзоТ РФ).Решение этих вопросов в строительных организациях обусловливает размер средств на оплату труда, включаемых в договорные цены и сметы на строительство. Договорная цена (смета на строительство) и включаемые в нее средства на оплату труда или способы их определения устанавливаются в договоре подряда по взаимному соглашению сторон (подрядчика и заказчика, генподрядчика и субподрядчика и т. п.), где определяются также порядок, условия и сроки расчетов за выполнение работы и сданные заказчику объекты.

Различают основную и дополнительную оплату труда.

Под основной заработной платой принято понимать:

выплаты за отработанное время, за количество и качество выполненных работ при повременной, сдельной и прогрессивной оплате;

доплаты в связи с отклонениями от нормальных условий работы, за сверхурочные работы, за работу в ночное время и в праздничные дни и др.;

оплата простоев не по вине работника; премии, премиальные надбавки и др.    

Дополнительная заработная плата включает выплаты, за не проработанное время, предусмотренные законодательством о труде и коллективными договорами:

• оплата времени отпусков;

• оплата времени выполнения государственных и общественных обязанностей;

• оплата перерывов в работе кормящих матерей;

• оплата льготных часов подростков;

• оплата выходного пособия при увольнении и др.

Основная и дополнительная заработная плата основного производственного персонала включаются в себестоимость продукции.

.2 Тарифная система и ее элементы

Организация оплаты труда на предприятии определяется тремя взаимосвязанными и взаимозависимыми элементами:

• тарифной системой;

• нормированием труда;

• формами оплаты труда.

Тарифная система позволяет качественно оценить труд, нормирование - учесть количество затраченного труда, а формы - определить порядок расчета заработной платы.

Основой всех форм и систем оплаты труда, применяемых в строительных организациях, является тарифная система, обеспечивающая соответствие квалификации и оплаты труда работников сложности выполняемых ими

работ. Тарификация работ и присвоение квалификации разрядов рабочим производятся по Единому тарифно-квалификационному справочнику работ и профессий (выпуск 3, раздел «Строительные, монтажные и ремонтно-строительные работы»).

Тарифной системой устанавливаются тарифные ставки по квалификационным разрядам и тарифные коэффициенты, представляющие собой отношение тарифных ставок соответствующих разрядов к тарифной ставке первого разряда.

Согласно статье 143 ТК РФ тарифные системы оплаты труда - это системы оплаты труда, основанные на тарифной системе дифференциации заработной платы работников различной категории.

Тарифная система дифференциации заработной платы работников различных категорий включает в себя тарифные ставки, оклады (должностные оклады), тарифную сетку и тарифные коэффициенты.

Тарифная сетка - совокупность тарифных разрядов (профессий, должностей), определенных в зависимости от сложности работ и требований к квалификации работников с помощью тарифных коэффициентов. При выполнении более сложных специальных работ в особых условиях используются повышенные тарифные ставки. Доплаты за условия труда предусмотрены статьей 82 КЗоТ РФ, однако размеры их законом не регламентированы. Как правило, на строительно-монтажных и ремонтно-строительных работах с тяжелыми и вредными условиями труда тарифные ставки рабочих повышаются

до 12%, а на работах с особо тяжелыми и особо вредными условиями труда - до 24%.

.3 Формы и системы оплаты труда

При оплате труда рабочих могут применяться тарифные ставки, оклады, а также бестарифная система. Предприятия самостоятельно определяют и

фиксируют в коллективных договорах и других локальных нормативных

актах вид, системы оплаты труда, размеры тарифных ставок, окладов, премий и поощрений, а также соотношение в их размерах между отдельными категориями работников.

Формы оплаты труда позволяют определить порядок расчета заработной платы. Основными формами оплаты труда рабочих в строительстве являются сдельная и повременная. На их базе созданы и применяются другие системы оплаты труда: сдельно-премиальная и повременно-премиальная, аккордная и аккордно-премиальная, оплата труда при коллективном и арендном подряде с использованием коэффициентов трудового участия, трудового вклада и без них, оплата труда за выполнение нормированных заданий рабочими-повременщиками и др.

Сдельная оплата труда

При сдельной оплате труда заработок начисляется работнику по конечным результатам его труда, что стимулирует работников к повышению производительности труда. Кроме того, при такой системе оплаты труда отпадает необходимость контроля целесообразности использования работниками рабочего времени, поскольку каждый работник, как и работодатель, заинтересован в производстве большего количества продукции.

В основу расчета при сдельной оплате труда берется сдельная расценка, которая представляет собой размер вознаграждения, подлежащего выплате работнику за изготовление им единицы продукции или выполнение определенной операции.

В зависимости от способа расчета заработка сдельная система оплаты труда подразделяется на прямую сдельную, сдельно-прогрессивную, косвенную сдельную, аккордную.

При прямой сдельной форме оплаты труда вознаграждение работнику начисляется за фактически выполненную работу (изготовленную продукцию) по установленным сдельным расценкам. При сдельно-прогрессивной форме оплаты труда заработок работника за изготовление продукции в пределах установленной нормы определяется по установленным сдельным расценкам, а за изготовление продукции сверх нормы - по более высоким расценкам.

Косвенная сдельная форма оплаты труда, как правило, применяется для работников, выполняющих вспомогательные работы при обслуживании основного производства.

Аккордная форма оплаты труда предполагает, что для работника (бригады работников) размер вознаграждения устанавливается за комплекс работ, а не за конкретную производственную операцию.

В зависимости от способа организации труда сдельная оплата труда подразделяется на индивидуальную и коллективную (бригадную).

При индивидуальной сдельной оплате труда вознаграждение работника за его труд целиком зависит от количества произведенной в индивидуальном порядке продукции, ее качества и сдельной расценки.

При коллективной (бригадной) сдельной оплате труда заработок всей бригады определяется с учетом фактически выполненной работы и ее расценки, а оплата труда каждого работника бригады (коллектива) зависит от объема произведенной всей бригадой продукции и от количества и качества его труда в общем, объеме работ. Сдельная расценка - это размер заработной платы за единицу объема работ, определяемый умножением средней тарифной ставки рабочих на норму затрат труда на его выполнение. При перевыполнении заданного объема работ в расчетном периоде, сокращении нормативных затрат труда и сроков выполнения работ с соблюдением требований к их качеству к сдельному заработку может начисляться премия в пределах средств, предусмотренных на эти цели в договорных ценах. Сдельная оплата труда при этом становится сдельно-премиальной. Применение сдельной и сдельно-премиальной систем оплаты труда целесообразно основывать на укрупненных и комплексных нормах, составляемых путем калькулирования на вид или комплекс работ, конструктивный элемент и т.п. Исходными для этих целей являются производственные нормы, содержащиеся в сборниках ЕНиР и ВНиР, а также аналогичные или вновь разрабатываемые нормы.

Сдельная и сдельно-премиальная системы оплаты труда чаще всего применяются к объемам и набору работ, поручаемых рабочим в расчетном периоде, как правило, на месяц. Задание (наряд) на выполнение этих работ согласовывается и подписывается сторонами, выдающими его, в лице мастера или пpoизводителя работ и принимающим к исполнению в лице бригадира или звеньевого, после чего утверждается начальником или главным инженером участка.

Аккордная и аккордно-премиальная системы оплаты труда применяются на выполнении более укрупненных объемов работ, их комплексов, вплоть до объекта строительства в целом. Аккордное задание (наряд) выдается не на расчетный период (месяц), а на весь срок выполнения работ; заработная плата бригаде по расчетным периодам начисляется в виде аванса, а окончательный расчет производится после выполнения всего задания. При этой системе усиливается взаимосвязь между заработком бригады и объемом готовой строительной продукции. Сумма заработной платы по аккордному заданию остается неизменной (за исключением случаев ее индексации, проведенной в период выполнения задания) и полностью находится в распоряжении бригады независимо от фактических затрат труда на его выполнение. Эта система повышает заинтересованность рабочих в лучшем использовании рабочего времени, в выполнении задания меньшей численностью и в сокращении срока его выполнения.

В целях усиления указанной заинтересованности вводится премирование за выполнение аккордных заданий, основными показателями которого являются:

выполнение всего задания в срок и досрочно;

сокращение фактических затрат труда по сравнению с нормативным;

обеспечение высокого качества строительства, которое обычно оценивается «приемкой с первого предъявления» - если в полной мере соблюдены требования строительных норм и правил, стандартов, соответствие проектной документации.

При наличии дефектов, недоделок и т. п. размер премии может уменьшаться с учетом затрат на их устранение, вплоть до полной отмены премии, что должно отражаться в Положениях об оплате труда и премировании работников по этим системам, утверждаемых в организации в установленном порядке.

Повременная оплата труда

При повременной (тарифной) оплате труда заработок работника определяется исходя из фактически отработанного им времени и тарифной ставки (оклада). Под тарифной ставкой понимается фиксированный размер оплаты труда работника за выполнение нормы труда определенной сложности (квалификации) за единицу времени без учета компенсационных, стимулирующих и социальных выплат (статья 129 ТК РФ).

Основными разновидностями повременной оплаты труда являются простая повременная и повременно-премиальная оплаты труда. При простой повременной оплате труда в основу расчета размера оплаты труда работника берется тарифная ставка или должностной оклад согласно штатному расписанию организации и количество отработанного работником времени.

Если в течение месяца работник отработал все рабочие дни, то размер его заработка будет соответствовать его должностному окладу, если же отработано не все рабочее время, то оплата труда будет начислена лишь за

фактически отработанное время. Некоторые организации применяют почасовую формы оплаты труда как разновидности повременной системы. В этом случае заработок работника определяют путем умножения часовой (дневной) ставки оплаты труда на число фактически отработанных часов (дней).

При повременной оплате труда предусматривается начисление и

выплата премии, устанавливаемой в процентах от должностного оклада на основании разработанного в организации положения о премировании работников, коллективного договора или приказа (распоряжения) руководителя организации. Повременная система оплаты труда, как правило, применяется при оплате труда руководящего персонала организации, работников вспомогательных и обслуживающих производств, а также лиц, работающих по совместительству.

Повременную и повременно-премиальную системы оплаты труда следует применять в тех случаях, когда заработок рабочего не может быть определен в зависимости от конкретного объема выполняемых работ вследствие их многообразия, неоднородности по составу, измерителям и объемам. В таких случаях заработок рабочего определяется по тарифным ставкам (окладам) и отработанному времени. В строительных организациях повременную и повременно-премиальную оплату труда целесообразно применять для рабочих, занятых управлением подъемно-транспортными машинами, и механизмами, при помощи которых выполняются отдельные виды работ с периодически повторяющимися, но не стабильными объемами работ а также для оплаты труда рабочих, занятых на подсобно-вспомогательных работах, транспортные и такелажные работы, монтаж и обслуживание электроаппаратуры, уборка и обслуживание территории строительства.

Бестарифная оплата труда

Бестарифная система оплаты труда основывается, как правило, на бальной оценке рабочих мест. Для этого группа экспертов составляет характеристику и определяет требования, предъявляемые к тому или иному рабочему месту, и оценивают его в баллах. В зависимости от суммы в баллах рабочие места объединяют в отдельные классы. Находят общую сумму баллов на предприятии, затем определяют плановый фонд оплаты труда и определяют коэффициент, учитывающий количество заработной платы на единицу продукции или товарного оборота.

Бестарифные системы оплаты труда основаны на следующих основных принципах:

фонд оплаты труда предприятия и его подразделений представляет собой фиксированный процент от выручки (прибыли) предприятия;

предусмотрено долевое распределение фонда оплаты труда между работниками предприятия, исходя из их фактического трудового вклада.

личные результаты труда работников определяются на основе совокупности коэффициентов, учитывающих стаж, квалификацию, профессиональное мастерство, значимость работника, его способность достичь определенных текущих и перспективных целей, а главное - степень реализации этой способности, выраженную в оценочных характеристиках эффективности его труда. То есть, в противоположность традиционным тарифным системам заработной платы в соответствии с бестарифными моделями заработок работника установлен и зафиксирован в Положении об оплате труда (или аналогичном документе предприятия) не в денежном выражении, а в виде некоторого коэффициента, показывающего долю работника в фонде заработной платы или фонде оплаты труда. Причем, как правило, этот коэффициент может варьироваться в зависимости от того, насколько эффективно сработало в отчетном периоде предприятие (или его подразделение) и насколько качественно работник выполнял свои должностные обязанности. Отказ от денежной фиксации размера заработной платы в пользу введения коэффициента оплаты труда позволяет защитить зарплату работника от инфляции и отказаться от регулярного пересмотра ее величины в условиях растущих цен. Это происходит за счет того, что с ростом общего уровня цен растут и цены на товары или услуги предприятия, соответственно увеличивается фонд зарплаты (который в рамках гибких систем оплаты труда «привязан» к величине прибыли или выручки предприятия). Растет при этом и абсолютная величина зарплаты сотрудника, представляющая собой его долю в общих средствах на оплату труда.

Бестарифная система оплаты труда характеризуется: -

тесной связью уровня оплаты труда работника с фондом заработной платы,

начисляемым по коллективным результатам работы;

присвоением каждому работнику постоянных (относительно постоянных) коэффициентов, комплексно характеризующих его квалификационный уровень и определяющих в основном его трудовой вклад в общие результаты труда по данным о предыдущей трудовой деятельности работника или группы работников;

присвоением каждому работнику коэффициентов трудового участия (КТУ) в текущих результатах деятельности, дополняющих оценку его квалификационного уровня (на основе базового КТУ, как в бригадных системах распределения заработка). Квалификационный уровень является основным параметром бестарифной системы оплаты труда. Он характеризует фактическую продуктивность работника. Присвоение определяемого квалификационного уровня работнику не сопровождается параллельным установлением ему соответствующей тарифной ставки или оклада. Определение квалификационного уровня работника является наиболее ответственным моментом при разработке и введении бестарифной системы оплаты труда. Необходимо помнить, что понятие квалификационного уровня работника в бестарифной системе оплаты труда шире, чем общепринятое

понимание квалификационного разряда у рабочих или должностной категории у специалистов, руководителей и служащих. При расчете средней

заработной платы работника при определении коэффициента квалификационного уровня случайные выплаты не учитываются.

Система квалификационных уровней создает существенно большие возможности для оценки роста квалификации работника, чем система тарифных разрядов (которая имеет предел VI разряд). С течением времени квалификационные уровни могуПри бестарифной системе оплаты труда заработная плата работника представляет собой его долю в фонде оплаты труда подразделения. Она зависит от: квалификационного уровня работника, коэффициента трудового участия (КТУ) и отработанного времени. Коэффициент трудового участия может выражаться в долях единицы, в баллах и тому подобных единицах измерения.

КТУ выставляется всем работникам коллектива, включая 1-го руководителя. В подразделении КТУ может выставляться с различной периодичностью (месяц, неделя, ежедневно). Периодичность устанавливает коллектив, он же определяет набор показателей, влияющих на КТУ и меру этого влияния меняться.

2. Расчётная часть

Таблица 1- Исходные данные

Объект ОПФ

Балансовая стоимость в сопоставимых ценах (тыс. руб.)

Срок полезного использования (лет, месяцев)

Коэффициент износа на 1.01. базисного периода

Способ начисления амортизационных отчислений

1

2

3

4

5

А

2325

120

0,5

линейный

Б

1060

72

0,30

линейный

В

2570

144

0,25

линейный

Г

1445

60

0,85

линейный

Д

960

72

0,45

линейный

Е

1510

96

0,45

линейный

Ж

270

12

Январь отчетного периода

нелинейный

З

1030

36

Март отчетного периода

нелинейный


Таблица 1-1 Исходные данные

Период

Объем строительно-монтажных работ (тыс. руб.)

Численность Рабочих (чел.)

Плановый коэффициент увеличения фондоотдачи

Снижение трудовых затрат (%)

Процент снижения себестоимости (%)

Удельный вес сметной прибыли в сметной стоимости СМР (%)

Базисный период

28960

60

_

_

5,6

15,5

Отчетный период

33205

63

1,09

6,5

6,3

16

Планируемый период

_

65

1,12

7,5

7,2

16,5


2.1 Основные производственные фонды предприятия и его потенциал по производству строительной продукции

Определение даты ввода объектов основных производственных фондов (ОПФ) в эксплуатацию, фактического срока службы объектов на конец отчетного периода

Таблица 2 - Расчет определения постановки объектов ОПФ на учет

Объект ОПФ

Тф = Ки * n

Фактический срок службы на 1.01.отчетного периода (лет, месяцев)

Дата постановки объекта на учет

Фактический срок службы на конец отчетного периода (лет, месяцев)

А

120*0,5

60

01.01.07

72

Б

72*0,3

21,6

12.03.10

33

В

144*0,25

36

01.01.09

48

Г

60*0,85

51

01.10.07

60

Д

72*0,45

32,4

18.04.09

44

Е

96*0,45

43,2

25.05.08

55

Ж



01.2012

11

З



03.2012

9


Коэффициент износа по отдельным номенклатурным объектам основных фондов можно рассчитать по формуле:

Ки = Тф / n, (2.1)

где    Ки - коэффициент износа;

Тф - фактический срок службы объекта;

n - срок полезного использования объекта.

Фактический срок службы объекта на конец отчетного периода можно определить по формуле:

Тф (на 1.01.баз) = Ки (на 1.01.баз) * n (2.2)

Н апример по объекту А:

Тф = 120*0,5=60 месяцев (5 лет)

Определение коэффициентов ввода и выбытия ОПФ в годы, когда имело место движение ОПФ

Таблица 3 - Расчет показателей движения ОПФ

Период

Стоимость на начало года (тыс. руб.)

Ввод ОПФ

Выбытие ОПФ

Стоимость на конец года (тыс. руб.)



Дата

Сумма (тыс. руб.)

Дата

Сумма (тыс. руб.)


2007

2325

01.10.07

1445



3770

2008

3770

25.05.08

1510



5280

2009

5280

01.01.09

2510



8810



18.04.09

960




2010

8810

12.03.10

1060



9870

2011

9870





9870

2012

9870

01.2012

270

01.10.12

1445

9725



03.2012

1030





На основании данных о выбытии и пополнении ОПФ, рассчитываются показали движения основных производственных фондов, к ним относятся:

Коэффициент ввода (пополнения) ОФ - отношение вновь введенных основных фондов за определенный период к стоимости действующих ОФ в конце того же периода.

Квввв / Фк*100% (2.3)

где    Квв - коэффициент ввода ОПФ;

Фвв - стоимость вновь введенных ОФ, (тыс. руб.)

К2007 = 1445:3770*100%=38,3%

В 2007 году ОФ обновились на 38,3%;

К2008 = 1510:5280*100% =28,6%

В 2008 году ОФ обновились на 28,6%;

К2009 =3530:8810*100%=40,1%

В 2009 году ОФ обновились на 40,1%;

К2010 =1060:9870*100%=10,7%

В 2010 году ОФ обновились на 10,7%;

В 2011 году ОФ обновлений не было;

К2012 =1300:9725*100%=13,4%

В 2012 году ОФ обновились на 13,4%;

Рисунок 1-диаграмма коэффициента ввода

Коэффициент выбытия ОПФ - отношение выбывших за данный период ОПФ к их общей стоимости на начало того же периода.

Кв = Фв / Фн*100% (2.4)

где    Кв - коэффициент выбытия ОПФ;

Фв - стоимость выбывших ОПФ, (тыс. руб.);

Фн - стоимость ОПФ на начало периода, (тыс. руб.)

К2012 =1445:9870*100%=14,6%

В 2012 году ОФ выбыло на 14,6%, в другие года выбытии ОФ не было.

Рисунок 2-диаграмма коэффициента выбытия

Коэффициент прироста - показатель, отражающий относительное увеличение основных фондов за счет их обновления. Он определяется по формуле:

Кп = (Фвв - Фв) / Фн*100% (2.5)

Где Кп - коэффициент прироста ОПФ

К2007 = 1445:2325*100%= 62,2%

В 2007 году произошел прирост ОФ на 62,2% за счет их обновления;

К2008 = 1510:3770*100% =40,1%

В 2008 году произошел прирост ОФ на 40,1% за счет их обновления;

К2009 =3530:5289*100%=66,9%

В 2009 году произошел прирост ОФ на 66,9% за счет их обновления;

К2010 =1060:8810*100%=12%

В 2010 году произошел прирост ОФ на 12% за счет их обновления;

В 2011 году прироста ОФ не было.

К2012 = -145:9870*100%= -1.5%

В 2012 году произошло снижение ОФ на 1,5%

Рисунок 3-диаграмма коэффициента прироста

Определение остаточной стоимости ОПФ на коней отчетного периода

Таблица 4 - Схема баланса ОПФ за вычетом износа на конец отчетного периода

Объект

Наличие на начало отчетного периода (руб.)

Поступление за отчетный период новых ОПФ (руб.)

Выбыло в связи с износом в отчетном периоде (руб.)

Наличие на конец отчетного периода (руб.)

Износ ОПФ на конец отчетного периода (руб.)

Остаточная стоимость на конец отчетного периода (руб.)

А

2325000



2325000

1394424

930576

Б

1060000



1060000

485859

574141

В

2570000



2570000

856128

1713872

Г

1445000


1445000


1445000


Д

960000



960000

586696

373304

Е

1510000



1510000

865381

644619

Ж


270000


270000

252558

17441

З


1030000

414246

615754

итого

9870000

1300000

1445000

9725000

6300292

4869707


Для определения стоимости ОПФ за вычетом износа на конец отчетного периода необходимо рассчитать сумму амортизационных отчислений по каждому объекту за фактический срок эксплуатации ОПФ.

Данные для заполнения таблицы 4 берутся из таблиц 5,6,7.

Стоимость ОПФ за вычетом износа (остаточная стоимость) можно определить по формуле:

Фо = Фб - И (2.6)

где    Фо - стоимость ОПФ за вычетом износа (руб.);

Фб - балансовая стоимость объекта ОПФ (руб.);

И - сумма износа ОПФ (руб.)

Пример по объекту А: Фо = 2325000-1394424=930576

Сумма износа по объекту ОПФ определяется по формуле:

И = Амес..* Тф, (2.7)

где Амес. - сумма амортизационных отчислений за месяц;

Тф - фактический срок службы объекта в месяцах.

Пример по объекту А:19367*72=1394424

Рисунок 4-диаграмма схемы баланса ОПФ за вычетом износа

При применении линейного метода начисления амортизации норма амортизации по каждому объекту основных средств определяется по формуле:

Nа = (1 / Тн) * 100%, (2.8)

где n - срок полезного использования данного объекта основных средств, выраженный в месяцах.

Сумма амортизационных отчислений за месяц определяется по формуле:

Амес = Фб * Nа: 100% (2.9)

Пример расчета по объекту А:

Nа = 1:120*100%=0,833%

Амес =2325*0,833/100=19367 руб.

Таблица 6 - Расчет суммы амортизационных отчислений нелинейным методом по объекту Ж

Месяц

Остаточная стоимость объекта на начало периода (руб.)

Норма амортизации %

Сумма амортизационных отчислений за месяц (руб.)

Остаточная стоимость на конец пери ода (руб.)

Февраль

270000

16,667

45001

224999

Март

224999

16,667

37501

187498

Апрель

187498

16,667

31250

156248

Май

156248

16,667

26042

130206

Июнь

130206

16,667

21701

108505

Июль

108504

16,667

18085

90420

Август

90420

16,667

15070

75350

Сентябрь

75350

16,667

12559

62791

Октябрь

62791

16,667

10465

52326

Ноябрь

52326


17442

34884

Декабрь

34884


17442

17442

Итого

-

-

252558

-


Пример расчета по февралю: Амес =270000*16,667=45001 руб.

Фо =270000-45001=224999 руб.

Рисунок 5-график суммы амортизационных отчислений

Таблица 7 - Расчет суммы амортизационных отчислений нелинейным методом по объекту 3

Месяц

Остаточная стоимость объекта на начало периода (руб.)

Норма амортизации %

Сумма амортизационных отчислений за месяц (руб.)

Остаточная стоимость на конец периода (руб.)

Апрель

1030000

5,556

57227

972773

Май

972773

5,556

54047

918726

Июнь

918726

5,556

51044

867682

Июль

867682

5,556

48208

819474

Август

819474

5,556

45530

773944

Сентябрь

773944

5,556

43000

730944

Октябрь

730944

5,556

40611

690333

Ноябрь

690333

5,556

38355

651978

Декабрь

651978

5,556

36224

615754

Итого

-

-

414246

-



Пример расчета по апрелю: Амес =1030000*5,556=57227 руб.

Фо =1030000-57227=972773 руб.

Рисунок 6-график суммы амортизационных отчислений

При применении нелинейного метода сумма начисленной за месяц амортизации рассчитывается как произведение остаточной стоимости объекта основных средств и нормы амортизации, определенной для данного объекта.

Остаточная стоимость объекта основных средств определяется как разность между его первоначальной стоимостью и суммы начисленной за период его эксплуатации амортизации.

Норма амортизации определяется по формуле:

Nа = (2 / n) * 100% (2.10)

где Nа - норма амортизации в процентах к остаточной стоимости,

применяемая к данному объекту основных средств;

n - срок полезного использования данного объекта, выраженный в месяцах.

При этом с месяца, следующего за месяцем, в котором остаточная стоимость объекта основных средств достигнет 20% от его первоначальной стоимости, амортизация по нему начисляется в следующем порядке:

·   остаточная стоимость объекта амортизированного имущества в целях начисления амортизации фиксируется как базовая стоимость для дальнейших расчетов;

·   сумма начисленной за один месяц амортизации в отношении данного объекта определяется путем деления базовой стоимости данного объекта на количество месяцев, оставшихся до истечения срока полезного использования.

Пример расчета по объекту Ж:

БС=52326 руб.

Амес =52326:3=17442

Таблица 8 - Расчет суммы износа за каждый год эксплуатации объектов ОПФ

Объект

А (руб.)

Б (руб.)

В (руб.)

Г (руб.)

Д (руб.)

Е (руб.)

Ж (руб.)

З (руб.)

Итого (руб.)

Период










2007

232404



72264





304668

2008

232404



289506


110138



632048

2009

232404


214032

289056

106672

188808



1031422

2010

232404

132507

214032

289056

160008

188808



1216815

2011

232404

176676

214032

289056

160008

188808



1260984

2012

232404

176676

214032

216062

160008

188808

252558

414246

4445937

Итого

1394424

485859

856128

1445000

586696

865370

252558

414246

-



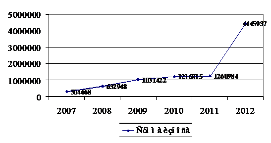
Рисунок 7-график суммы износа за каждый год эксплуатации объектов ОПФ

Расчет сводных коэффициентов годности и износа по отдельным номенклатурным объектам и в целом по предприятию на коней отчетного периода

Таблица 9 - Расчет коэффициентов годности и износа на конец отчетного периода по отдельным номенклатурным объектам

Объект ОПФ

Стоимость ОПФ на конец отчетного периода (руб.)

На конец отчетного периода

Коэффициенты

Износ (руб.)

Остаточная стоимость (руб.)

Износа %

Годности %

А

2325000

1394424

930576

60,0

40,0

Б

1060000

485859

574141

45,8

54,2

В

2570000

856128

1713872

33,3

66,7

Г

-

-

-



Д

960000

586696

373304

61,1

38,9

Е

1510000

865381

644619

57,3

42,7

Ж

270000

252558

17442

93,5

6,5

З

1030000

414246

615754

40,2

59,8

итого

9725000

4855292

4869708

49,9

50,1



На основании данных о стоимости на конец отчетного периода, сумме износа и остаточной стоимости (Таблица 4) по объектам ОПФ рассчитываются коэффициент годности и коэффициент износа, отражающие состояние основного капитала. Они определяются по следующим формулам:

Ки = И / Фк*100% (2.11)

где Фк - стоимость ОПФ на конец периода

Кг = Фо / Фк*100% (2.12)

Пример расчета по объекту А:

Ки =1394424:2325000*100%=60,0%

Кг =930576: 2325000*100%=40,0%

Рисунок 8-диаграмма расчета коэффициентов годности и износа по отдельным номенклатурным объектам

Таблица 10 - Расчет коэффициента годности и коэффициента износа в целом по предприятию за каждый год эксплуатации объектов ОПФ

Период

Стоимость ОПФ на конец периода (руб.)

Износ (руб.)

Стоимость за вычетом износа (руб.)

Коэффициенты



Износа %

Годности %

2007

3770000

304668

3465332

8,1

91,9

2008

5280000

632048

4647952

12,0

88,0

2009

8810000

1031422

7778578

11,7

88,3

2010

9870000

1216815

8653185

12,3

87,7

2011

9870000

1260984

8609016

12,8

87,2

2012

9725000

5279063

45,7

54,3


Стоимость на конец отчетного периода проставляем из данных таблицы 3 (графа - 7).

Износ за каждый год эксплуатации накапливается, определяется нарастающим итогом. Данные графы берем из таблицы 8, графа 10.

Ки = И / Фк*100%

Кг = Фо / Фк*100%

Пример расчета по 2007 году:

Ки =304668:3770000*100%=8,1%

Кг =3465332:3770000*100%=91,9%


Рисунок 9-диаграмма расчета коэффициентов годности и износа в целом по предприятию за каждый год эксплуатации объектов ОПФ

Расчет среднегодовой стоимости основных производственных фондов по предприятию за каждый год эксплуатации объектов основных производственных фондов

На основании данных о движении основных производственных фондов (Таблица 3) рассчитывается среднегодовая стоимость ОПФ по годам их эксплуатации. Среднегодовая стоимость той или иной группы ОПФ слагается из балансовой стоимости на начало года и среднегодовой стоимости средств, вводимых в действие, за вычетом среднегодовой стоимости выбывающих ОПФ, рассчитанной исходя из времени их использования и выбытия за амортизационный период.

Ф = Фн + Фвв*n1 / 12 - Фв*n2 /12, (2.13)

где    Ф - среднегодовая стоимость ОФП;

n1 - число полных месяцев эксплуатации вводимых средств;2 - число неполных месяцев эксплуатации выбывающих средств.

Ф2007 = 2325+(1445*3):12=2686 тыс. руб.

Ф2008= 3770+(1510*7):12=4651 тыс. руб.

Ф2009= 5280+(2570*12+960*8):12=8490 тыс. руб.

Ф2010= 8810+(1060*9):12=9605 тыс. руб.

Ф2011= 9870 тыс. руб.

Ф2012= 9870+(270*11+1030*9):12 - (1445*3):12=10529 тыс. руб.

Ф = (10529*105):100=11056 тыс. руб.

Рисунок 10-диаграмма среднегодовой стоимости основных ОПФ

Определение объема строительной продукции на планируемый период

Объем строительной продукции планируемого периода определяется на основании данных о планируемом снижении трудовых затрат, на основании которых рассчитывается выработка планируемого периода и численности рабочих планируемого периода.

Vсмр (пл) = Чпл * Впл, (2.14)

где Чпл - численность рабочих планируемого периода (чел.)

Впл = В1 * (100 + ∆В) / 100, (2.15)

где Впл - среднегодовая выработка рабочих планируемого периода (руб.);

В1 - среднегодовая выработка рабочих отчетного периода (руб.);

∆В = ∆Т*100 / (100 - ∆Т), (2.16)

где ∆Т -% снижения трудовых затрат;

∆В -% роста выработки.

Выработка отчетного периода определяется по формуле:

В1 = Vсмр (1) / Ч(1), (2.17)

где Ч(1) - численность рабочих отчетного периода (чел.)

Вбаз =28960000:60=482667 руб.

Вотч =33205000:63=527064 руб.

∆ В =(7.5*100): (100-7,5)=8,1%

Впл =(527064*(100+8,1)):100=569756 руб.

Vсмр (пл) =569756*65=37034140:1000=37034 тыс. руб.

Фондоотдача - обобщающий показатель использования ОПФ.

Фотд = Vсмр \ Ф, (2.18)

где    Фотд - фондоотдача, (руб.);

Vсмр - объем СМР, (тыс. руб.).

Фотд(баз) =28960: 9870=2,93руб.

Фотд(отч) =33205:10529=3,15руб.

Фотд(пл) =37034:11056=3,35руб.

Фондоотдача показывает какое количество СМР дает нам каждый рубль вложенный в основные производственные фонды.

Фондоемкость - обратная величина фондоотдачи, показывает количество основных производственных фондов, приходящиеся на один рубль СМР.

Фем = Ф/ Vсмр (2.19)

где Фем - фондоемкость (руб.).

Фем(баз) =9870: 28960=0,34руб.

Фем(отч) =10529:33205=0,32руб.

Фем(пл) =11056:37034=0,30 руб.

Производственная мощность - максимально возможный объем СМР, который может выполнить строительная организация при полном и эффективном использовании основных производственных фондов и трудовых ресурсов.

Производственная мощность определяется по формуле:

ПМ(смо) = Фа(отч.) * Фотд (баз.) * К Фотд (пл), (2.20)

где    ПМ(смо) - производственная мощность СМО (тыс. руб.);

Фа (отч.) - среднегодовая стоимость активной части ОПФ отчетного периода (тыс. руб.);

Фотд (баз.) - фондоотдача активной части ОПФ предшествующего (базисного) периода (руб.);

К Фотд (пл) - плановый коэффициент увеличения фондоотдачи.

Коэффициент использования производственной мощности (Кисп.) определяется отношением фактического объема СМР к среднегодовой фактической производственной мощности. Его можно рассчитать по формуле:

Кисп. =(Vсмр / ПМ) * 100% (2.21)

ПМ(смо)отч =10529*2,93*1,09=33627 тыс. руб.

ПМ(смо)пл=11056*3,15*1,12=39006 тыс. руб.

Кисп(отч) =(33025:33627)*100%=98,8%

Кисп(пл) =(37034:39006)*100%=94,9%

2.2 Эффективность производственной и финансовой деятельности

Определение себестоимости строительной продукции (базисный, отчетный, планируемый период).

Себестоимость строительной продукции определяется по формуле:

Сс = Vсмр - СП - Э (2.22)

где СП - сметная прибыль (тыс. руб.);

Э - экономия от снижения себестоимости (тыс. руб.);

Экономия от снижения себестоимости определяется в процентах от сметной стоимости выполненных СМР.

СПбаз =(28960*15,5):100=4489 тыс. руб.

СПотч =(33205*16):100 = 5313 тыс. руб.

СПпл = (37034*16,5):100=6111 тыс. руб.

Эбаз ==(28960*5,6):100=1622 тыс. руб.

Эотч =(33205*6,3):100 = 2092 тыс. руб.

Эпл = (37034*7,2):100 = 2667 тыс. руб.

Сс(баз) =28960-4489-1622=22849 тыс. руб.

Сс(отч) =33205-5313-2092=25800 тыс. руб.

Сс(пл) =37034-6111-2667=28256 тыс. руб.

Определение прибыли от реализации строительной продукции (базисный, отчетный, планируемый период), уровня рентабельности производства СМР, уровня рентабельности строительной продукции

Прибыль от реализации строительной продукции определяется по формуле:

П = Vсмр - Сс (2.23)

Пбаз =28960-22849=6111 тыс. руб.

Потч =33205-25800=7405 тыс. руб.

Ппл = 37034-28256=8778 тыс. руб.

Уровень рентабельности производства можно определить по формуле:

 (2.24)

Рбаз =(6111: 28960)*100%=21,1%

Ротч =(7405: 33205) *100%=22,3%

Рпл=(8778: 37034)*100%=23,7%

Уровень рентабельности строительной продукции можно определить по формуле:

 (2.25)

Рбаз =(6111: 22849)*100%=26,8%

Ротч =(7405: 25800) *100%=28,7%

Рпл=(8778: 28256)*100%=31,1

Определение рентабельности основных фондов. Определение прироста объема продукции полученного за счет изменения фондоотдачи

Определение рентабельности основных фондов

 (2.26)

Рбаз =6111: 9870=0,62 руб.

Ротч =7405: 10529=0,70руб.

Рпл=8778: 11056=0,79руб.

Прирост объема продукции за счет фактора - фондоотдача, рассчитывается на основании данных Таблицы 11 (графы 2,3, 4).

Общий прирост объема СМР определяется по формуле:

 

V = V(1) - V(0), (2.27)

где V(1) - объем СМР отчетного периода (тыс. руб.)

V(0) - объем СМР периода предшествующего (базисного) периода (тыс. руб.)

V отч =33205-28960=4245 тыс. руб.

V пл =37034-33205=3829 тыс. руб.

Прирост объема СМР за счет изменения фондоотдачи (интенсивный фактор) определяется по формуле:

 

V(Фотд) = (Фотд(1) - Фотд(0)) * Ф(1) (2.28)

где    V(Фотд) - прирост объема СМР за счет увеличения фондоотдачи (тыс. руб.)

Фотд(0) - фондоотдача активной части ОПФ предшествующего (базисного) периода;

V(Фотд)отч =3,15-2,93*10529=2316 тыс. руб.

V(Фотд)пл =3,35-3,15*11056=2211 тыс. руб.

Фотд(1) - фондоотдача активной части ОПФ отчетного периода;

Процент прироста объема СМР за счет изменения фондоотдачи определяется по формуле:

 

V(Фотд) (%) =  (2.29)

 

V(Фотд)отч =2316:4245*100%=54,6%

V(Фотд)пл =2211:3829*100%=57,7%

Прирост объема продукции за счет увеличения массы ОПФ определяется по формуле:

V(ф) = V - ∆V(Фотд) (2.30)

 

V(Ф)отч =4245-2316=1929 тыс. руб.

V(Ф)пл =3829-2211=1618 тыс. руб.

Процент прироста объема СМР за счет изменения массы ОПФ определяется по формуле:

 

V(ф) (%) = 100 - V(Фотд) (%) (2.31)

 

V(ф)отч(%) = 100-54,6=45,4%

V(ф)пл(%) = 100-57,7=42,3%

Определение годовой выработки производственных рабочих, экономии численности производственных рабочих за счет роста производительности труда. Определение прироста объема продукции полученного за счет роста производительности труда

Прирост объема продукции за счет фактора - выработка, рассчитывается на основании данных об объеме выполненных строительно-монтажных работ, численности рабочих (Таблица 1-1) и расчетов, выполненных в задании 2.1.6. «Определение объема строительной продукции на планируемый период».

Прирост объема СМР за счет изменения выработки рабочих (интенсивный фактор) определяется по формуле:

V(В)=(В(1)(0))*Ч(1)

где    V(В) - прирост объема СМР за счет увеличения выработки (тыс. руб.)

В(0) - выработка предшествующего (базисного) периода (тыс. руб.);

В(1) - выработка отчетного периода (тыс. руб.);

V(В)отч =(527064-482667)*63=2797011руб.=2797 тыс. руб.

V(В)пл =(569756-527064)*65=2774980руб.=2775тыс.руб.

Процент прироста объема СМР за счет изменения выработки определяется по формуле:

V(В) (%) =  (2.33)

 

V(В)отч(%)=2797:4245*100%=65,89%

V(В)пл(%)=2775:3820*100%=72,47%

Прирост объема продукции за счет увеличения численности определяется по формуле:

V(ч) = V - ∆V(В) (2.34)

 

V(Ч)отч =4245-2797=1448 тыс. руб.

V(Ч)пл =3829-2775=1054 тыс. руб.

Процент прироста объема СМР за счет изменения численности определяется по формуле:

V(ч) (%) = 100 - V(В) (%) (2.35)

 

V(Ч)отч(%)=100-65,89=34,11%

V(Ч)пл(%)=100-72,47=27,53%

 

Таблица 12 - Сводные технико-экономические показатели

Наименование показателей

Ед. изм.

Значение показателей



Базисный период

Отчетный период

Планируемый период

Объем выполненных СМР (сметная стоимость СМР)

тыс. руб.

28960

33205

37034

Удельный вес прибыли в сметной стоимости СМР

%

15,5

16

16,5

Среднегодовая стоимость ОПФ

тыс. руб.

9870

10529

11056

Фондоотдача основных фондов

руб./руб.

2,93

3,15

3,35

Рентабельность основных фондов

руб./руб.

0,62

0,70

0,79

Прирост объема продукции полученный за счет изменения фондоотдачи

тыс. руб.

-

2316

2211


%


54,6

57,7

Коэффициент использования производственной мощности

%


98,8

94,9

Численность рабочих

чел.

60

63

65

Снижение трудовых затрат (фактическое / плановое)

%


6,5

7,5

Выработка годовая

руб.

482667

527064

569756

Прирост объема (Vсмр) за счет роста производительности труда

тыс. руб.

-

2797

2775


%


65,89

72,47

Задание по снижению себестоимости (фактическое / плановое)

%

5,6

6,3

7,2

Экономия от снижения себестоимости (фактическая / плановая)

тыс. руб.

1622

2092

2667

Себестоимость фактическая (плановая)

тыс. руб.

22849

25800

28256

Прибыль фактическая (плановая)

тыс. руб.

6111

7405

8778

Уровень рентабельности производства СМР

%

21,1

22,3

23,7

Уровень рентабельности продукции

%

26,8

28,7

31,1




Заключение

В результате проделанной работы и сделав расчёты, можно сделать необходимые выводы по эффективности работы ремонтно-строительного предприятия за базисный, отчётный и планируемый периоды.

В базисном, отчётном и планируемом периодах наблюдается повышение объёма выполненных СМР и среднегодовой стоимости ОПФ (Рис.11)

Диаграмма динамики ежегодной среднегодовой стоимости и выполненных объёмов СМР

Диаграмма динамики ежегодной годовой выработки

В период с 2007 по 2010 год наблюдается прирост основных фондов за счёт их обновления. В 2011 году прирост не был зафиксирован, т.к. этом периоде не осуществлялось пополнение ОПФ. В 2012 году прирост не наблюдался, так как стоимость выбывшего объекта Г превысила стоимость вновь введённых ОПФ.

На основании данных о показателях состояния объекта ОПФ по предприятию в целом на каждый год эксплуатации видно, что коэффициент годности превышает коэффициент износа                  , это говорит о том, что большая часть ОПФ в хорошем состоянии, что позволяет предприятию работать эффективно (Рис.9).

Фондоотдача основных фондов с каждым годом увелимивается. Прирост объема продукции, полученный за счёт изменения фондоотдачи, в планируемом периоде выше, чем в отчётном на 3,1%.

График фондоотдачи ОПФ

Производственная мощность в планируемом периоде увеличилась, а коэффициент использования производственной мощности планируемого периода по сравнению с отчётным уменьшился с 98,8% до 94.9%.

Прибыль предприятия с каждым годом увеличивается. Уровень рентабельности производства СМР отчетном периоде увеличился на 1,2% по сравнению с базисным и составил 21,1%.В планируемом периоде так же планируется увеличение на 1,4% по сравнению с отчетным.

Диаграмма рентабельности предприятия

Уровень рентабельности продукции предприятия в отчетном периоде увеличился в сравнении с базисным на 1,9%.В планируемом периоде рентабельность продукции должна увеличиться до 31,1%.     

Проанализировав технико-экономические показатели предприятия можно считать его работу эффективной.

Похожие работы на - Организация оплаты труда в строительстве

 

Не нашли материал для своей работы?
Поможем написать уникальную работу
Без плагиата!
Без нейросетей!