Организация и планирование производства на машиностроительном предприятии

  • Вид работы:
    Курсовая работа (т)
  • Предмет:
    Эктеория
  • Язык:
    Русский
    ,
    Формат файла:
    MS Word
    191,13 Кб
  • Опубликовано:
    2014-02-15
Вы можете узнать стоимость помощи в написании студенческой работы.
Помощь в написании работы, которую точно примут!

Организация и планирование производства на машиностроительном предприятии

Нижегородский авиационный технический колледж










Курсовой проект

по экономике

Организация и планирование производства на машиностроительном предприятии











год

1. Организационная часть

1.1 Нормирование операции в технологическом процессе

1.2 Расчёт приведенной программы выпуска изделий

.3 Расчёт трудоёмкости на участке по видам работ

1.4 Расчёт необходимого количества оборудования, его загрузки и стоимости

1.5 Расчет численности промышленно-производственного персонала участка и его квалификации

1.6 Расчёт площади и стоимости производственного участка

. Расчёт фондов зарплаты и среднемесячной зарплаты промышленно - производственного персонала участка

.1 Расчёт годового фонда зарплаты основных производственных рабочих и среднемесячной заработной платы одного производственного рабочего

.2 Расчёт годового фонда зарплаты вспомогательных рабочих и среднемесячной зарплаты одного вспомогательного рабочего участка

.3 Расчёт годового фонда зарплаты руководителей и специалистов

. Расчёт цеховой себестоимости изделия

3.1 Расчет прямых затрат

.2 Расчет косвенных затрат

4. Экономическая оценка проектируемого участка

.1 Расчёт капитальных затрат

.2 Расчёт приведенных затрат

.3 Годовой экономический эффект

4.4 Процент снижения себестоимости

.5 Рост производительности труда

.6 Срок окупаемости капиталовложений

. Технико - экономические показатели проектируемого участка

Заключение

Список литературы

трудоемкость стимость зарплата персонал

Введение

Возникновение машиностроения, как самостоятельной отрасли промышленности и ее отраслевая дифференциация непосредственно связаны с общественным разделением труда. Ее задачей является механизация и автоматизация процессов труда в производственных и непроизводственных сферах.

Экономика отрасли изучает формы проявления различных законов и исследует особенности их действия в различных отраслях народного хозяйства, разрабатывает способы лучшего использования оборудования, материальных, трудовых и финансовых ресурсов.

Повышение эффективности производства требует постоянного совершенствования уровня организации на каждом его участке. Для ее успешного решения большое значение имеет наличие у инженерно-технических работников необходимых знаний и опыта в области оценки экономической эффективности проектируемых средств, организации производства и эксплуатации машин. Большую роль играет также разработка экономических и организационных вопросов. Экономические расчеты позволяют судить о целесообразности внедрения результатов работы в производство.

Целью курсовой работы по экономике отрасли является закрепление теоретических знаний, полученных в ходе изучения курса экономики отрасли, и получение практических навыков выполнения организационных и экономических расчетов.

Данная курсовая работа направлена на расчет технико-экономических показателей по базовому и проектному варианту на изготовление детали качалка. Исходными данными для расчета служат техпроцессы изготовления изделия.

На основе исходных данных выполним подробные расчеты производственного участка, рассчитаем себестоимость, определим капитальные затраты для реализации проекта, подтвердим экономическую целесообразность применения станков с ЧПУ выбранной модели.

Основными направлениями в проектном варианте, обеспечивающим повышение экономической эффективности служат:

ü  Переход к малооперационному технологическому процессу за счет концентрации операций;

ü  Замена моделей программного и универсального оборудования;

ü  Повышение режимов резания за счет использования прогрессивного режущего инструмента.

Более подробная сравнительная оценка с числовыми показателями дана в пунктах курсового проекта.

1. Организационная часть

В данном разделе прономеруем техпроцесс в базовом варианте и за счёт организационно - технических мероприятий добьемся снижения времени на изготовление детали в проектном варианте при серийном выпуске продукции. Чтобы чётко организовать работу механического участка, необходимо произвести его расчёт, то есть определить потребное количество оборудования, производительную площадь, численность рабочих и тому подобное.

.1 Нормирование операции в технологическом процессе

В данном разделе прономеруем операции техпроцесса в базовом варианте и за счёт организационно - технических мероприятий добьемся снижения времени на изготовление детали в проектном варианте при серийном выпуске продукции. Данные расчёта оформляем в таблицу 1.1.

Таблица 1.1 Техпроцесс изготовления изделия механического участка.

Базовый вариант

Проектный вариант

Номер и название операции

Оборудование

tшт. мин

Наименование операции

Оборудование

tшт. Мин.

1.Фрезерно- сверлильная

МА655А

13

Комбинированная

ИР-500ПМ1Ф4

34,2

1. 2. Фрезерная

6Р82

10




2. 3. Токарная

16К20

37


Итого

60

34,2


1.2 Расчёт приведенной программы выпуска изделий

Объем выпускаемых типовых изделий за определенный период (год) называется производственной программой выпуска изделия (Пвып.), которая может быть рассчитана в натуральных показателях (шт.), в стоимостных (руб.) и в условно - натуральных(нормо-часах).

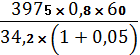
Годовой приведенный объем выпуска продукции Пвып., шт., определяется по формуле: где Пвып. - приведенная программа выпуска изделий за год, шт.; Фд.о. - действительный годовой фонд времени работы оборудования, час; принимаем Фд.о.=3975 час - при 2х - сменной работе оборудования. Кз - коэффициент загрузки оборудования, принимается от 0,8 до 0,85; tшт. - норма штучного времени, мин.; α - коэффициент допустимых потерь на переналадку оборудования, который определяется для крупносерийного производства для участков авиационных заводов - α = 0,03…0,05.

Считаем tшт., как среднеарифметическая величина трудоемкости всех операций техпроцесса по проектному варианту и определяется по формуле, где Тр. изд. - трудоемкость изготовления изделия по проектному варианту, час; n - количество операций техпроцесса по проектному варианту, шт.

tшт.==34,2 (мин.)

Пвып.==5313,283208 (шт.)

Принимаю Пвып.=5314 (шт.)

.3 Расчёт трудоёмкости на участке по видам работ

Трудоемкость каждого вида работы Трi, нормо - час, на однотипном оборудовании определяется по формуле:

Трi= ,(1.3)

где tшт. - штучное время выполнения операции i - ого наименования, мин;

Пвып. - годовая программа выпуска однотипных изделий на участке, шт.

Расчёт по проектному варианту:

Тр проект = 3028,98(нормо-час)

Расчёт по базовому варианту:

Тр база=(23*5314) / 60 = 2037(нормо-час)

Тр база 16К20=(37*5314) / 60 = 3277(нормо-час)

Результаты расчетов трудоёмкости по видам работ сводим в таблицу 1.2.

Таблица 1.2 Трудоёмкость на участке по видам работ.

Вид работ

Наименование оборудования или рабочего места.

Годовая программа выпуска изделий за год

ƩШтучное время выполнения операций, час.

Трудоёмкость, Трi, нормо-час.




Проект.

Базов.

Проект.

Базов.

1.Фрезерно- сверлильная,

МА655А,

5314


23


2037

2.Токарная

1К62



37


3277

3. Фрезерно- сверлильная, Фрезерная.

ИР-500ПМ1Ф4

5314

34,2


3028,98



1.4 Расчёт необходимого количества оборудования, его загрузки и стоимости

Расчёт ведется раздельно по каждому виду применяемого оборудования. Расчётное количество оборудования определяется по формуле:

где Тр. - трудоёмкость по данному виду работ, нормо - час;

Фд.о. - действительный годовой фонд времени работы оборудования, час;

Кв.н. - коэффициент выполнения норм, Кв.н.=1.11.25;

tшт. - штучное время выполнении операции i - того наименования, час.

Дробное значение(Sоб.расч.) округляем до целых значений в большую сторону, что будет соответствовать принятому значению(Sоб.расч.).

Расчёт по проектному варианту:

S проект==0,6927

Принимаю: S проект=1 ед.

Расчёт по базовому варианту:

S база= =1,2153

Принимаю: S база=2 ед.

Коэффициент загрузки оборудования по каждому типу определяется по формуле:

где Sоб.расч. - расчётное количество оборудования, шт.;

Sоб.расч. - принятое количество оборудования, шт.;

Количества загрузки оборудования должен быть не более 1.

Расчёт по проектному варианту:

К проект =0,6927/1=0,69 или 69,27%

Расчёт по базовому варианту:

К база =1,2153/2 =0,60 или 60,77%

При наличии нескольких типов оборудования необходимо рассчитать средний коэффициент загрузки по формуле:

Кз.ср.=, (1.6)

где Ʃ Sоб.расч. - сумма расчетного количества оборудования, шт.;

Ʃ Sоб.прин. - сумма принятого количества оборудования, шт.

Расчёты сводим в таблицу 1.3.

Таблица 1.3 Расчёт оборудования.

Наименование оборудования

tшт. ,час.

Пвып.,шт.

Фд.о.,час.

Кв.н.

Sрасч.

Sприн.

Кзi

Проектный вариант

34,2

5314

3975

1,1

0,6927

1

0,6927

Базовый вариант





1,2153

2

0,6076


Балансовая стоимость Сбал.,руб., оборудование определяется как сумма затрат на приобретение (цена) и установку единицы оборудования, умноженное на принятое количество оборудования, по формуле:

С бал.= ( Цоб.+ Смон. )  Sоб. прин., (1.7)

Где Цоб. - оптовая цена единицы оборудования, руб., определяется по справочнику;

Смон. - стоимость монтажа, руб., принимается в размере 10% от оптовой цены единицы оборудования;

Sоб.прин. - сумма принятого количества оборудования, шт.

Расчёт по проектному варианту:

Спроект=(420000+42000)1= 462000руб.

Расчёт по базовому варианту:

Сбаза =(270000+27000)1+(170000+17000)*1+(150000+15000)1=649000руб.

Оформляем сводную ведомость балансовой стоимости оборудования.

Таблица 1.4 Сводная ведомость балансовой стоимости оборудования.

Вариант

Кол-во оборудования

Оптовая цена (руб)

Стоимость монтажа (руб)

Балансовая стоимость (руб)


Расчет.

Принят.




Базовый

1,2153

2

МА655А




270000

27000

297000




6Р82




170000

17000

187000




16К20




150000

15000

165000

Проектный

0,6927

1

420000

42000

462000


1.5 Расчёт численности промышленно - производственного персонала участка и его квалификации

Потребное количество основных рабочих Росн. По каждому виду работ определяется по формуле:

Где Фд.р. - эффективный фонд времени работы одного рабочего, час.:

Фд.р. = 1870 час.;

Кв.н. - коэффициент выполнения нормы (1,1÷1,25);

Трi - трудоёмкость работ i - го наименования, нормо - час.

Расчёт по проектному варианту:

Рпроект==1,47

Принимаю: Росн. пр.=2 чел.

Расчёт по базовому варианту:

Рбаза=5314/(1870*1,1)==2,58

Принимаю: Росн.б.=11 чел.

Расчётное значение Росн. округляем до целого числа, и оно является принятым количества рабочих по соответствующему виду работы. Результаты расчётов сводим в таблицу 1.5.

Таблица 1.5 Расчёты численности производственных рабочих.

Вариант

tшт.

Пвып.

Фд.р.

Кв.п.

Росн. расч.

Росн. прин.

Проектный

34,2

5314

1870

1.1

1,47

2

Базовый





2,58

3


Закрепляем за конкретным видом работы определённое количество рабочих определённой профессии и распределяем их по разрядам, с учётом того, что 80% всех производственных рабочих одной профессии приходиться на6 и 7, и 20% на 8 разряд.

Результаты расчётов сводим в таблицу 1.6.

Таблица 1.6 Ведомость производственных рабочих.

Профессия

Количествово рабочих по разряду (чел)

Всего человек


6

7

8



Проект

База

Проект

База

Проект

База

Проект

База

1.Оператор

1

1

-

-

1

1

2

2

2.Токарь

-

1

-

-

-

-

0

1

ИТОГО

2

3


Далее определяем среднюю квалификацию рабочих на участке. Средняя квалификация основных рабочих участка определяется по среднему разряду по формуле:

где Р1,Р2,Р3…Р6 - численность производственных рабочих по разрядам, чел.;

,2,3,4,5,6 - квалификационные разряды.

Определяем среднюю квалификацию основных рабочих по проектному варианту:

Iср.пр.(Росн.)==7

Определяем среднюю квалификацию основных рабочих по базовому варианту:

Iср.б.(Росн.)==6,4

Нормативы расчёта численности вспомогательных рабочих и служащих.

Вспомогательные рабочие - рабочие, непосредственно не участвующие в производственном процессе изготовления изделия, но способствующие ритмичному и непрерывному протеканию основного процесса (наладчики, электрики, транспортные рабочие и др.).

Суммарная численность вспомогательных рабочих составляет 15 % от численности основных производственных рабочих.

Определим количество вспомогательных рабочих по проектному варианту.

Рвсп.= 2*0,15=0,30

Принимаю Р всп.пр. =1 чел.

Определим количество вспомогательных рабочих по базовому варианту:

Рвсп.3*0,15=0,45

Принимаю Р всп.б. =1 чел.

После определения необходимого количества вспомогательных рабочих распределяем их по профессиям и разрядам таким образом, чтобы их обслуживанием был охвачен весь производственный процесс участка.

Результаты расчетов сводим в таблицу 1.7.

Таблица 1.7 Ведомость вспомогательных рабочих.

Специальность

Количество рабочих по разрядам (человек)

Всего человек


4

5

6



Проект

База

Проект

База

Проект

База

Проект

База

1. Наладчик

-

-

1

-

-

1

1

1

Итого

1

1


Средний разряд вспомогательных рабочих:

Рассчитаем средний разряд вспомогательных рабочих по проектному варианту:

Iср. пр.. всп.)==5

Рассчитаем средний разряд вспомогательных рабочих по базовому варианту:

Iср.б. всп.)==6

В состав служащих входит: руководящие работники - старший мастер, сменный мастер; специалисты - технологи, экономисты и т. д.

Количество служащих определяем обычно по штатному расписанию. Можно провести приближенный расчёт, считая, что Рслуж. Не более 10% от основных рабочих участка.

Рслуж.=осн.

Определим количество служащих по проектному варианту:

Рслуж.пр..=10/100*2=0,2

Принимаю Рслуж.пр..=1 чел.

Определим количество служащих по базовому варианту:

Рслуж.б..=10/100*3=0,3

Принимаю Рслуж.б.=1 чел.

Таблица№1.8 Ведомость руководиелей.

Должность

Количество руководящих работников по категориям/разрядам

Всего, человек


3кат./10 разр.

2кат./11 разр.

1кат./12разр.



Пр.

Баз.

Пр.

Баз.

Пр.

Баз.

Пр.

Баз.

Старший мастер

-

1

1

-

-

-

1

Итого

1

1


Средний разряд руководителей.

Рассчитаем средний разряд руководителей по проектному варианту:

Iср.пр..==11

Рассчитаем средний разряд руководителей по базовому варианту:

Данные по численности промышленно - производственного персонала участка сводим в таблицу 1.9.

Таблица№1.9 Свободная ведомость промышленно - производственного персонала участка.

Категория работающих.

Количество, чел.


Проектный

Базовый

1. основные рабочие

2

3

2. Вспомогательные рабочие

1

1

3. Руководители

1

1

Итого:

4

5


1.6 Расчёт площади и стоимости производственного участка

Общая площадь Fобщ. участка состоит из основной Fосн. производственной площади и вспомогательной Fвсп. и определяется по формуле:

Fобщ.= Fосн.+ Fвсп.(м2), (1.12)

Основная площадь Fосн. - это площадь, на которой установлено основное оборудование, она определяется по формуле:

Fосн.= Ʃаi biSоб.прин.i, (1.13)

Где a, b - габаритные размеры оборудования, м;

Sоб.прин. - принятое количество оборудования, шт.

Вспомогательная площадь Fвсп. - включает площадь склада заготовок, рабочее место мастера, контролера, проезды и проходы, принимаем 30% от основной площади.

Fвсп.=0,30 Fосн.(м2).

Данные габаритные размеры станков взяты из технических характеристик.

Расчёт по проектному варианту:

Fобщ. =123=23 (м2)

Fвсп. = 0,323=6,9 (м2)

Fосн. =23+6,9=29,9 (м2)

Расчёт по базовому варианту:

Fобщ =1=42(м2)

Fвсп. =0,342=12,6 (м2)

Fосн. =42+12,6=54,5 (м2)

Площадь гардеробной

Рассчитывается для основных и вспомогательных рабочих.

Расчёт по проектному варианту:

Fгард.=30,5=1,5 (м2)

Расчёт по базовому варианту:

гард.=40,5=2 (м2)

Площадь умывальных

Рассчитывается по общему количеству всех работающих на участке или в цехе.

Расчёт по проектному варианту:

Fум.=40,021=0,084 (м2)

Расчёт по базовому варианту:

Fум.=50,021=0,105 (м2)

Площадь душевых

Рассчитывается по общему количеству всех работающих на участке или в цехе.

Расчёт по проектному варианту:

Fдуш.=40,42=1,68 (м2)

Расчёт по базовому варианту:

Fдуш.=50,42=2,1 (м2)

Площадь туалетных комнат

Рассчитывается по общему количеству всех работающих на участке или в цехе.

Расчёт по проектному варианту:

Fтуал.=40,055=0,22 (м2)

Расчёт по базовому варианту:

Fтуал.=50,055=0,275 (м2)

Площадь курительной комнаты

Принимается 8 м2.

Вся площадь бытовых помещений определяется по формуле:

Fбыт.= Fгард.+ Fум.+ Fдуш.+ Fтуал.+ Fкур.;

Расчёт по проектному варианту:

Fбыт.=1,5+0,084+1,68+0,22+8=11,484 (м2)

Расчёт по базовому варианту:

Fбыт.=2+0,105+2,41+0,275+8=12,48 (м2)

Суммарную площадь вспомогательных, складских и бытовых помещений участка определяется по формуле:

F= Fвсп.+Fбыт.;

Расчёт по проектному варианту:

F=6,9+11,484=18,384 (м2)

Расчёт по базовому варианту:

F=12,6+12,48=25,08 (м2)

Общая площадь Fобщ. участка состоит из основной Fосн. и вспомогательной Fвсп. и определяется по формуле:

Fобщ.= Fосн.+ F2), (1.14)

Расчёт по проектному варианту:

Fобщ.=29,9+18,384=48,284 (м2)

Расчёт по базовому варианту:

Fобщ.=54,6+12,48=67,08 (м2)

После определения общей площади участка определяется объем здания участка. Высота производственного помещения принимается равной 14,5м. При данных условиях - объем производственного помещения определяется по формуле:

Vпр.=Fпр.Hпр. (м3), (1.15)

Расчёт по проектному варианту:

Vпр.=29,9=433,5 (м3)

Расчёт по базовому варианту:

Vпр.=54,614,5=791,7 (м3)

Высота вспомогательных, складских и других помещений принимается в среднем равной 3 м. При этом условии объем всех этих помещений определяется по формуле:

VƩ=FƩHƩ (м3), (1.16)

Расчёт по проектному варианту:

VƩ=18,3843=55,152 (м3)

Расчёт по базовому варианту:

VƩ=25,083=75,24 (м3)

Общий объем всех помещений участка определяется по формуле:

Vобщ.=Vприн.+VƩ (м3), (1.17)

Расчёт по проектному варианту:

Vобщ.=433,5+55,152=488,702(м3)

Расчёт по базовому варианту:

Vобщ.=791,7+75,24=866,94(м3)

Стоимость общей площади участка Суч.,руб. определяется из расчёта 1000 - 2000 руб/м2. Примем стоимость общей площади участка равную 1500 руб/м2 . Стоимость общей площади участка определяется по формуле:

Cуч=(F общ.пр. 1500)+( F общ.всп.1500)

Расчёт по проектному варианту:

Суч.=(231500)+(48,2841500)=106926 (руб.)

Расчёт по базовому варианту:

Суч. = (421500)+(67,081500)=163620 (руб.)

Данные сводим в таблицу 1.10.

Таблица 1.10 Сводная ведомость стоимости производственной площади участка.

Вариант

Принятое количество оборудования

Fосн., м2

Fвсп., м2

Fобщ., м2

Стоимость, руб.

Проектный

1

29,9

6,9

23

106926

Базовый

2

54,6

12,6

42

163620


Вывод по первому разделу.

При расчёте среднего коэффициента загрузки оборудования мы определили, что в проектном варианте по сравнению с базовым загрузка оборудования выше на 0,085 %.

При расчёте балансовой стоимости оборудования видно, что в проектном варианте она меньше, чем в базовом, так как в базовом варианте применяется большее количество разнообразного технологичного оборудования. В результате уменьшения количества станков в проектном варианте до 1 единиц наблюдается сокращение численности промышленно - производственного персонала с 5 до 4 человек.

2. Расчёт фондов зарплаты и среднемесячной зарплаты промышленно - производственного персонала участка

.1 Расчёт годового фонда зарплаты основных производственных рабочих и среднемесячной заработной платы одного производственного рабочего

Годовой фонд зарплаты включает в себя основную дополнительную зарплату и премию, руб.:

Зосн.год.= Зоосн.год досн.год+ПР , (2.1)

где Зоосн.год - основная годовая зарплата основных производственных рабочих, руб.;

Здосн.год - дополнительная зарплата основных рабочих, руб.

Годовой фонд зарплаты производственных рабочих определяется по формуле:

Зоосн.годед.прод.Пвып. , (2.2)

где Ред.прод -суммарная расценка на изготовление единицы продукции, руб.;

Пвып. - годовой выпуск продукции, шт.

Суммарную расценку определяем через среднечасовую тарифную ставку по формуле:

Ред.прод=Тризд.С ч.ср. , (2.3)

где Тризд. - трудоёмкость изготовления изделия, нормо - час;

С ч.ср. - часовая ставка среднего разряда работы, руб.

Значение часовой тарифной ставки по какому - либо i - тому разряду определяется по формуле:

Счiчiр-даКтар. , (2.4)

где Счiр-да - часовая ставка iразряда, руб.

Ктар - тарифный коэффициент разряда.

Расчёт по проектному варианту:

Сч.7=28,23 (руб.)

Расчёт по базовому варианту:

Сч.ср.=29,23-=27,14 (руб.)

Определяем суммарную расценку на изготовление единицы продукции по проектному варианту:

Ред.прод=29,23=16,0911 (руб.)

 

Определяем суммарную расценку на изготовление единицы продукции по базовому варианту:

Ред.прод=27,14=27,14(руб.)

Определяем годовой фонд основной зарплаты производственных рабочих по проектному варианту:

Зосн.=16,09115314=85508,11 (руб.)

Определяем премию, которая принимается 50 % от основной зарплаты.

Пр.=0,585508,11=42754,05 (руб.)

Определяем годовой фонд основной зарплаты производственных рабочих по базовому варианту:

Зосн.=27,145314=144221,96 (руб.)

Определяем премию:

Пр.=0, 5=721108,98(руб.)

Определив Зосн. по проектному и базовому вариантам, рассчитаем дополнительную зарплату, которая принимается в размере 11 % от годового фонда основной зарплаты.

Здоп.год.= Зосн.;

Годовой фонд дополнительной зарплаты производственных рабочих по проектному варианту:

Здоп.год.=0,1185508,11 =9405,89 (руб.)

Годовой фонд дополнительной зарплаты производственных рабочих по базовому варианту:

Здоп.год.=0,11144221,96 =15864,42(руб.)

Годовой фонд зарплаты включает в себя основную, дополнительную зарплату и премию:

Расчёт по проектному варианту:

Зобщ.год.= 85508,11+42754,05+9405,89=137668,05 (руб.)

Расчёт по базовому варианту:

Зосн.год.= 144221,96+721108,98+15864,42=232197,36 (руб.)

Отчисления в соцстрах принимаем в размере 34 % от общего годового фонда зарплаты:

Оосн.= Зобщ.год.

Определяем отчисления на социальное страхование по проектному варианту:

Оосн.=0,34137668,05 =46807,14 (руб.)

Определяем отчисления на социальное страхование по базовому варианту:

Оосн.=0,34232197,36 =78947,1 (руб.)

Рассчитаем среднюю зарплату одного производственного рабочего за месяц, руб.:

где Зосн.год. - общий годовой фонд зарплаты производственных рабочих участка, руб.;

Росн. - количество основных производственных рабочих, чел.;

- количество месяцев в году.

Определим среднюю зарплату одного производственного рабочего за месяц по проектному варианту:

Зо.р.ср.мес.==5736,16.(руб.).

Определим среднюю зарплату одного производственного рабочего за месяц по базовому варианту:

Зо.р.ср.мес.==6449,93 (руб.).

.2 Расчёт годового фонда зарплаты вспомогательных рабочих и среднемесячной зарплаты одного вспомогательного рабочего участка

Годового фонда зарплаты вспомогательных рабочих включает в себя также основную, дополнительную зарплату и премию:

Звсп.год.= Зовсп.год двсп.год , (2.6)

где Зовсп.год - основная годовая зарплата вспомогательных рабочих, руб.;

Здвсп.год - дополнительная зарплата вспомогательных рабочих, руб.

Годовой фонд зарплаты вспомогательных рабочих определяется по формуле:

Звсп.год.=Рвсп.Фд.рч.ср. , (2.7)

где Рвсп. - количество вспомогательных рабочих, чел.;

Фд.р. - эффективный фонд времени работы одного рабочего, час.;

Фд.р. - 1870 час.;

Сч.ср. - часовая ставка вспомогательного рабочего по среднему разряду.

Часовая ставка вспомогательного рабочего по проектному варианту:

С6ч=22,61 (руб.)

Часовая ставка вспомогательного рабочего по базовому варианту:

С5ч=20,58 (руб.)

Определим годовой фонд основной зарплаты вспомогательных рабочих.

Расчёт по проектному варианту:

Зовсп.год =1187022,61=42280,7 (руб.)

Определяем премию, которая принимается 30 % от основной зарплаты вспомогательного рабочего.

Пр.=42280,7=12684,21 (руб.)

Расчёт по базовому варианту:

Зовсп.год =1187020,58=38484,6 (руб.)

Опреляем премию.

Пр.=38484,6=11545,38 (руб.)

Годовой фонд дополнительной зарплаты вспомогательных рабочих определяется в размере 5 % от годового фонда основной зарплаты вспомогательных рабочих, руб.:

Здвсп.год = Зовсп.год.

Определим годовой фонд дополнительной зарплаты вспомогательных рабочих.

Расчёт по проектному варианту:

Здвсп.год=42280,7=2114,035 (руб.)

Расчёт по базовому варианту:

Здвсп.год=38484,6=1924,23 (руб.)

Годовой фонд вспомогательных рабочих включает в себя основную, дополнительную зарплату и премию

Расчёт по проектному варианту:

Звсп.год=42280,7+2114,035+12684,21=56889,14 (руб.)

Расчёт по базовому варианту:

Звсп.год=38484,6+1924,23+11545,38=51954,21(руб.)

Отчисление на социальное страхование производится в размере 34 % от общего годового фонда зарплаты и определяется по формуле:

Овсп.р.соц.страх= Звсп.год;

Расчёт по проектному варианту:

Овсп.р.соц.страх=56889,14=19342,3076 (руб.)

Расчёт по базовому варианту:

Овсп.р.соц.страх=51954,21=17664,4314 (руб.)

Средняя зарплата одного вспомогательного рабочего за месяц, руб.:

где Звсп.год. - общий годовой фонд зарплаты вспомогательных рабочих, руб.;

Рвсп. - количество вспомогательных рабочих, чел.;

- количество месяцев в году, шт.

Определим среднюю зарплату одного вспомогательного рабочего за месяц:

Расчёт по проектному варианту:

Звсп.р.ср.мес.==4740,761667

Расчёт по базовому варианту:

Звсп.р.ср.мес.==4329,5175

.3 Расчёт годового фонда зарплаты руководителей и специалистов

Годовой фонд зарплаты руководителей состоит из окладов, выплачиваемые за то время, которое должно быть проработано в течение планируемого периода. Руководители, кроме окладов, получают определённый % премии. Премия выплачивается из ФМП, который образуется из прибыли. Должностной оклад - абсолютный размер заработной платы, устанавливаемый в соответствии с занимаемой должностью.

Размер оклада для каждой категории руководителей, определен и равен 10000руб.

Премия выплачивается из фонда материального поощрения. Принимаем размер премии 40 % от оклада.

Премия:

Пр=(руб.)

З общ= 10000+4000=14000

Г..= 14000*12=168000

Расчёты сводим в таблицу 2.1.

Таблица 2.1 Ведомость фонда зарплаты руководителей.

Наименование должности

Количе-ство

Мес. оклад, руб.

Премия, руб.

Годовой фонд оплаты, руб.


Пр.

Баз.

Пр.

Баз.

Пр.

Баз.

Пр.

Баз.

Старший мастер

1

1

10000

10000

4000

4000

168000

168000


После всех расчётов составляем сводную таблицу 2.2.

Таблица 2.2 Сводная ведомость фонда зарплаты персонала участка.

Категория работающих

Количество человек

Годовой фонд з/п, руб.

Среднемесячная зарплата, руб.


Пр.

Баз.

Пр.

Баз.

Пр.

Баз.

1.Производсвенные рабочие.

2

3

137668,05

232197,36

5736,16

6449,93

2.Вспомогательные рабочие.

1

1

56889,14

51954,21

4740,76

4329,52

3.Руководители.

1

1

168000

168000

14000

14000

Итого:

4

5

362557,19

452151,57

 


Вывод по второму разделу.

Анализируя расчёт, мы видим, что среднемесячная зарплата основных и вспомогательных рабочих в проектном варианте ниже, чем в базовом. Это объясняется привлечением к работе специалистов более высокой квалификации. Также мы видим, что общий годовой фонд зарплаты в проектном варианте снизился в результате сокращения численности рабочих. Из этого следует, что в проектном варианте ожидается снижение себестоимости изготовления изделия.

3. Расчёт цеховой себестоимости изделия

В данном разделе произведем расчёт цеховой себестоимости единицы продукции по двум сравниваемым вариантам технологического процесса. Себестоимость - это денежные затраты предприятия на производство и сбыт продукции. Цеховая себестоимость включает в себя прямые и косвенные затраты цеха на производство изделия.

.1 Расчёт прямых затрат

К прямым затратам относятся расходы на основные материалы, на основную зарплату производственных рабочих и отчисления по ЕСН.

Стоимость основных материалов, расходуемых непосредственно на изготовление изделия, определяется по формуле

Сосн.м.=m*Ц, (3.1)

где Сосн.м.-стоимость основных материалов, руб.;

m - масса материала, кг;

m=0,370 кг;

Ц - покупная цена материала за 1 кг, руб;

Ц =40 руб.

Рассчитаем стоимость основных материалов:

Сосн.м.=0,370(руб.)

Расчёт затрат на зарплату производственных рабочих.

где Ззарп.осн. - общий годовой фонд зарплаты производственных рабочих участка, руб.; Пвып. - приведенная программа выпуска изделий за год, шт.

Расчёт по проектному варианту:

Ззарп.осн.= (руб.)

Расчёт по базовому варианту:

Ззарп.осн.=232197,69/5314=43,7 (руб.)

Расчёт затрат по отчислению ЕСН производим по формуле:

Зотч.осн.=Оосн/Пвып , (3.3)

Где Оосн. - отчисления по ЕСН с общего годового фонда зарплаты, руб.;

Пвып. - приведенная программа выпуска изделий за год, шт.

Расчёт по проектному варианту:

Зотч.осн.=32335,15/5314=8,81 (руб.)

Расчёт по базовому варианту:

Зотч.осн.=154537,98/5314=14,86 (руб.)

.2 Расчёт косвенных затрат

К косвенным затратам цеха относятся затраты, идущие на содержание и эксплуатацию оборудования и цеховые расходы. Расходы на содержание и эксплуатацию оборудования включают следующие статьи затрат:

Расчёт затрат на вспомогательные материалы, которые не вошли в вес готового изделия, однако, способствуют выполнению соответствующих операций тех. процесса. Стоимость вспомогательных материалов берется в расчёте 10 % от стоимости основных материалов.

Звсп.м.=Зосн.м.

Расчёт стоимости вспомогательных материалов:


Расчёт затрат на силовую энергию:

Рассчитываются затраты только на тот вид силовой энергии, которая используется в тех. Процессе. Прежде, чем определить затраты на силовую энергию, надо найти мощность всех электросиловых установок, находящихся на участке(технические характеристики оборудования).

Расчёт затрат на электроэнергию производится по формуле:

где - мощность одного квт - часа, руб.;

Моб. - суммарная установочная мощность оборудования участка, квт.;

Фдо. - действительный фонд времени работы оборудования, час.;

Кз. - средний коэффициент загрузки оборудования;

Ко. - коэффициент, учитывающий одновременное использование электродвигателей (0,6 - 0,7);

Кс. - коэффициент, учитывающий потери в эл. сети (0,98);

Кдв. - коэффициент, учитывающий потери в двигателях(0,92);

Пвып. - приведенная программа выпуска продукции, шт.

Расчёт по проектному варианту:

Зэл.энер.==23,22 (руб.)

Расчёт по базовому варианту:

Зэл.энер.==41,36 (руб.)

Расчёты на амортизацию оборудования определяется по формуле:

Где На. - норма амортизации, 12 %;

Сп. - балансовая стоимость оборудования, руб.;

Пвып. - приведенная программа выпуска продукции, шт.

Расчёт по проектному варианту:

Заморт.==10,43 (руб.)

Расчёт по базовому варианту:

Заморт.==10,43 (руб.)

Затраты на текущий ремонт оборудования принимаются в размере 5 % от стоимости оборудования и определяется по формуле:

Расчёт по проектному варианту:

Зтех.рем.==4,35 (руб.)

Расчёт по базовому варианту:

Зтех.рем.==4,35 (руб.)

Затраты на ремонт инструмента и приспособления принимаются в размере 2 % от стоимости оборудования и определяется по формуле:

Расчёт по проектному варианту:

Зрем.ин.и присп.==1,74 (руб.)

Расчёт по базовому варианту:

Зрем.ин.и присп.==1,74 (руб.)

Затраты на запасные части к оборудованию принимаем в размере 3 % от стоимости оборудования и определяются по формуле:

Расчёт по проектному варианту:

Ззап.ч.==2,61(руб.)

Расчёт по базовому варианту:

Ззап.ч.==2,61(руб.)

Затраты на зарплату вспомогательным рабочим определяются по формуле:

где Зобщ.год. - годовой фонд зарплаты вспомогательных рабочих, руб.;

Пвып. - приведенная программа выпуска продукции, шт.

Расчёт по проектному варианту:

Ззарпл.всп.раб.==10,71 (руб.)

Расчёт по базовому варианту:

Ззарпл.всп.раб.==9,78 (руб.)

Затраты на отчисления на соцстрах от зарплаты вспомогательных рабочих определяются по формуле:

Где Овсп. - отчисления по ЕСН от зарплаты вспомогательных рабочих, руб.;

Пвып. - приведенная программа выпуска продукции, шт.

Расчёт по проектному варианту:

Зотч.==3,64 (руб.)

Расчёт по базовому варианту:

Зотч.==3,32 (руб.)

Цеховые расходы принимаем в размере 160 % от годового фонда основной зарплаты производственных рабочих, руб.;

Зцех.=Зоосн.год. , (3.12)

Расчёт по проектному варианту:

Зцех.=85508,11=136812,97 (руб.)

Расчёт по базовому варианту:

Зцех.=144221,96=230755,14 (руб.)

Определяем цеховые расходы на единице изделия:

Расчёт по проектному варианту:

Зцех.==23,75 (руб.)

Расчёт по базовому варианту

Зцех.==43,42 (руб.)

Затраты на осветительную электроэнергию для бытовых и хозяйственных нужд:

Расчёт производится по формуле:

Wо= , (3.13)

где Wо - потребное количество осветительной электроэнергии в кВт - час;

h - норма освещения 1м2 площади в Вт.;

h = 20Вт. (служебные помещения);

h = 10 Вт. (бытовые помещения);

S - площадь участка в м2;

Fэ - время освещения в течение планируемого года в час;

Fэ =500 час. (для вспомогательных и складских помещений);

Fэ = 2100 час. (для производственных и бытовых помещений);

Потребное для освещения участка количество электроэнергии определяется по формуле:

Wо∑ = Wо.пр+ Wо.всп , (кВт - час)

К полученной величине добавляем 5% на дежурное освещение участка.

Стоимость 1 кВт - часа осветительной электроэнергии 2 руб.

Расчёт по проектному варианту:

Wо.пр.==966 (кВт - час)

Wо.всп.==3.77 (кВт - час)

Wо∑ =966+3.77=969.77 (кВт - час)

Wо=

Расчёт по базовому варианту:

Wо.пр.==1764 (кВт - час)

Wо.всп.==63 (кВт - час)

Wо∑ =1764+63=1827 (кВт - час)

Wо=1827*2,7=4932,9 (кВт - час)

Затраты воды на хозяйственные и бытовые нужды:

Расчёт производится по формуле:

Qв.всп.= , (3.14)

где qв.всп. - норма расхода воды на одного работающего в смену в л.;

Робщ. - общее количество работающих на участке;

К - среднее количество работающих дней в году;

К = 230 дней.

Стоимость 1м3 =10,50коп.

Расчёт по проектному варианту:

Qв.хоз. = =23 (м3)

Qв.быт. = =27,6 (м3)

Qв.всп. = 23+27,6=50,6 (м3)

Q= 50,61,7=86,02 (руб.)

Расчёт по базовому варианту:

Qв.хоз.==28,75 (м3)

Qв.быт. = =36,8 (м3)

Qв.всп. = 28,75+36,8=65,55 (м3)

Q= 65,55 1,7=111,435 (руб.)

Расчёт сводим в таблицу 3.1.

Таблица 3.1 Калькуляция цеховой себестоимости изделия.

Статьи затрат

Сумма, руб.


Проектный

Базовый

1. Основные материалы.

 14,8

2. Основная зарплата производственных рабочих.

25,91

43,7

3. Отчисления на социальное страхование.

8,81

14,86

4.1 Вспомогательные материалы.

14,86

4.2 Затраты на электроэнергию.

23,22

41,36

4.3 Амортизация оборудования.

10,43

10,43

4.4 Ремонт оборудования.

4,35

4,35

4.5 Ремонт инструмента и приспособлений.

1,74

1,74

4.6 Затраты на запчасти.

2,61

2,61

4.7 Зарплата вспомогательных рабочих.

10,71

9,78

4.8 Отчисления на социальное страхование от зарплаты вспомогательных рабочих.

3,64

3,32

 5. Цеховые расходы:

5.1 Затраты на свет.

2,7

2,7

Итого:

123,78

164,51


Вывод по третьему разделу:

Из расчетов видно, что цеховая себестоимость изготовления изделия в проектном варианте ниже, чем в базовом за счёт снижения численности работников основных и вспомогательных рабочих, а также снижения цеховых расходов, расходов на силовую энергию и на социальное страхование.

4. Экономическая оценка проектируемого участка

В данном разделе произведем расчёт капитальных затрат, приведенных затрат по двум сравнительным вариантам технологического процесса, годовой экономический эффект, процент снижения себестоимости, процент повышения производительности труда.

.1 Расчёт капитальных затрат

Капитальные затраты - это затраты на основные фонды. Расчёт капитальных затрат на годовой выпуск продукции ведется по формуле:

Зкап.=Сп.+Спл.общ. , (4.1)

где Сп. - балансовая стоимость оборудования, руб.;

Спл.общ. - стоимость общей площади производственного участка, руб.;

Расчёт по проектному варианту:

Зкап.=462000+106926=568926 (руб.)

Зкап.ед.прод.==107,06 (руб.)

Расчёт по базовому варианту:

Зкап.=462000+163620=625620(руб.)

Зкап.ед.прод.==117,73 (руб.)

4.2 Расчёт приведенных затрат

Эта сумма себестоимости и капитальных затрат на единицу продукции. Расчёт приведенных затрат на единицу продукции ведется по формуле:

Зприв.=С+Енкап.ед.прод. , (4.2)

где С -стоимость единицы продукции, руб.;

Ен - нормативный коэффициент капитальных вложений;

Ен =0,15;

Зкап.ед.прод. - стоимость общей площади производственного участка, руб.

Расчёт по проектному варианту:

Зприв.= 16,09+0,15107,06=123,30(руб.)

Расчёт по базовому варианту:

Зприв.=27,14+0,15117,73=145,02 (руб.)

.3 Годовой экономический эффект

Для определения годового экономического эффекта подсчитаем годовые приведенные затраты по двум сравнительным вариантам.

Зприв.год. = (С+Енкап.ед.прод.)Пвып. , (4.3)

Расчёт по проектному варианту:

Зприв.год. = 123,305314=655231,21 (руб.)

Расчёт по базовому варианту:

Зприв.год. = 145,02 5314=770639,06 (руб.)

Тогда годовой экономический эффект определяем как:

Эгод.= 2307296,92-2066734,35=115407,85 (руб.)

.4 Процент снижения себестоимости

Процент снижения себестоимости определяется по формуле:

С=100% , (4.4)

где Сбаз.,Спроект. - себестоимость единицы продукции по базовому и проектному вариантам техпроцесса, руб.

С=100% =40,71%

.5 Рост производительности труда

Рост производительности труда определяется по формуле:

Рпр.тр.=100% , (4.5)

где Вбаз.,Впроект. - выработка на одного рабочего по базовому и проектному варианту, шт.

Расчёт по проектному варианту:

В= =1328,5 (шт.)

Расчёт по базовому варианту:

В= =1062,80 (шт.)

Определяем рост производительности труда:

Рпр.тр.=100%=20%

.6 Срок окупаемости капиталовложений

Ток.фак.==0,96 лет(год.)

Вывод по четвёртому разделу:

Капитальные затраты зависят от балансовой стоимости оборудования и от стоимости общей площади производственного участка. В базовом варианте они выше, чем в проектном, так как в базовом варианте применяется большее количество разнообразного технологического оборудования. Из данного раздела видно, что производительность труда выросла на 20%в результате применения нового оборудования, а себестоимость изготовления изделия снизилась на 40,71%

5. Технико - экономические показатели проектируемого участка

Сводим все полученные результаты в таблицу 5.1.

Таблица 5.1.

Наименование показателей

Единицы измерения

Показатели



Проектный

Базовый

1. Годовой выпуск продукции:

1.1 В натуральных показателях

Шт.

5314

1.2 В стоимостных показателях

Руб.

462000

462000

1.3 В условно - натуральных

Нормо - час

3028,98

5314

2. Количество единиц оборудования

Шт.

1

2

3. Площадь участка

м2

48,28

67,08

4. Количество рабочих:

4.1 Основных

Чел.

2

3

4.2 Вспомогательных

Чел.

1

1

5. Средний разряд рабочих:

5.1 Основных


7

6,4

5.2 Вспомогательных


5

6

6. Выработка


1328,5

1062,80

7. Среднемесячная зарплата основных производственных рабочих

Шт.

5736,16

6449,93

8. Рост производительности труда

%

20

9. Процент снижения себестоимости

%

40,71

10. Годовой экономический эффект

Руб.

655231,21

770639,06

11. Срок окупаемости дополнительных кап. вложений.

Лет

0,96


Заключение

В результате внедрения новой техники было достигнуто снижение себестоимости продукции в проектном варианте по сравнению с базовым на 40,71%, выработка возросла на 265,7 шт., а рост производительности труда составил 20 %.

В результате применения в проектном варианте более модернизированного оборудования количество его единиц сократилось с 2 до 1, также сократилось количество рабочих с 5 до 4 человек.

Цеховая себестоимость изготовления изделия в проектном варианте ниже, чем в базовом за счёт снижения численности работников основных и вспомогательных рабочих, а также снижения цеховых расходов, расходов на силовую энергию и на социальное страхование.

Таким образом, предлагаемый вариант экономически целесообразен.

Список литературы

1.      Экономика предприятия: учебник / под ред. О.И. Волкова. М.: ИНФРА-М, 1988.-416с.

.        Экономика, организация и планирование машиностроительного производства: Учебник для машиностроительных спец. техникумов/под ред. Е.М. Коростеловой. 3-е изд., перераб. и доп. - М.: Высш. шк., 1984.-448с.

.        Экономика предприятия / под ред. Н.А. Сафронова. М.: Юрист. 2000.

.        Экономика и управление в машиностроении: Учеб .пособие для студ. сред. проф. Учеб. заведений / под ред. Н.Н. Кожевникова. - М.: Издательский центр "Академия", 2004.-208с

.        Макроэкономика. Экономика предприятия (фирмы). - Изд. 3-е доп. и перер. - Ростов н/Д: изд-во "Феникс", 2003.-448с.

.        Экономика машиностроительного производства: Учебник для студ. высш. учеб. заведений / Ю.А. Еленева. - М.: Издательский центр "Академия", 2006.-256с

.        Вводный курс по экономической теории: Учебник для лицеев / под общей ред. акад. Г.П. Журавлевой. - М.: ИНФРА-М, 1997.-368с.

.        Экономика предприятия (в схемах, таблицах, расчетах): Учебное пособие / под ред. проф. В.К. Скляренко, В.М. Прудниковой. - М.: ИНФРА-М, 2006.-256с.

.        СТП - 03 - 2004 Оформление текстовых документов.

.        СТП - 05 - 2004 Оформление пояснительных записок.

Похожие работы на - Организация и планирование производства на машиностроительном предприятии

 

Не нашли материал для своей работы?
Поможем написать уникальную работу
Без плагиата!
Без нейросетей!