Математическая модель динамически настраиваемого гироскопа

  • Вид работы:
    Дипломная (ВКР)
  • Предмет:
    Физика
  • Язык:
    Русский
    ,
    Формат файла:
    MS Word
    672,84 Кб
  • Опубликовано:
    2014-03-17
Вы можете узнать стоимость помощи в написании студенческой работы.
Помощь в написании работы, которую точно примут!

Математическая модель динамически настраиваемого гироскопа

1. Введение

 

1.1 Цель дипломной работы


Во-первых, необходимо сформировать математическую модель ДНГ, учитывающую упругую податливость скоростной опоры.

Во-вторых, нужно задать параметры полученной модели. Ряд параметров может быть взят из технических условий на прибор, остальные необходимо рассчитать. Массово-инерционные характеристики элементов гироскопа проще всего определить путём анализа твердотельной модели ДНГ, которую необходимо предварительно построить.

В-третьих, нужно исследовать с помощью полученной математической модели амплитудно-частотную характеристику ДНГ и оценить влияние угловой жёсткости опоры на собственные частоты и на функционирование прибора в целом, проверить возможность возникновения резонансных явлений.

Особую актуальность это исследование приобретает при рассмотрении ДНГ с газодинамической опорой ротора (ГДО), так как, в отличие от шарикоподшипниковой опоры, жёсткость ГДО сильно зависит от различных факторов, таких как, скорость вращения вала гироскопа, параметры газовой среды в его внутренней полости и качество изготовления прибора.

 

1.2 Динамически настраиваемый гироскоп


Развитие систем автоматического управления подвижными объектами и навигационных систем летательных аппаратов требует применения малогабаритных прецизионных гироскопов относительно невысокой стоимости. Эти требования привели в своё время к поиску новых конструктивных решений в области проектирования гироприборов и созданию лазерных, волоконно-оптических, вибрационных, электростатических и других типов гироскопов.

Наибольшее применение в последнее время находят роторные вибрационные трёхстепенные гироскопы с внутренним упругим вращающимся кардановым подвесом - динамически настраиваемые гироскопы. На коротком временном интервале после начала вращения основания в инерциальном пространстве их режим работы аналогичен режиму работы свободного гироскопа. При этом сигналы с датчиков угла пропорциональны малым углам поворота основания, на котором установлен прибор. В таком режиме ДНГ может применяться, например, в качестве чувствительного элемента индикаторного гиростабилизатора.

Включение обратной связи позволяет использовать ДНГ в качестве датчика угловой скорости (ДУС), и применять его при построении блока измерителей угловой скорости в бесплатформенных инерциальных навигационных системах.

При этом динамически настраиваемые гироскопы обладают рядом преимуществ по сравнению с другими типами гироскопов.

Рациональное использование объёма прибора благодаря переносу карданова подвеса внутрь маховика (на приводной вал), обеспечивает ДНГ меньшие габариты и массу (при равных кинетических моментах) по сравнению не только с трёхстепенными, но и с двухстепенными гироблоками с наружным кардановым подвесом. Вес гироплатформы на ДНГ в 3 - 8 раз меньше веса гироплатформы на двухстепенных гироблоках с шарикоподшипниковым подвесом или поплавковых гироскопах.

Отсутствие жидкости позволяет создавать приборы с малым временем готовности, что выгодно отличает ДНГ от поплавковых гироскопов, а введение системы термостатирования, применение методов экстраполяции величины собственной скорости прецессии (ССП) гироскопа и компенсации её составляющих с помощью специальных алгоритмов, позволяет снизить время готовности до малых величин.

К недостаткам ДНГ можно отнести несколько меньшие ударостойкость и вибропрочность по сравнению с некоторыми другими типами гироскопов. До недавнего времени ДНГ существенно уступал поплавковым гироблокам с газодинамической опорой ротора по ресурсным характеристикам.

В 1997 г. в НИИ ПМ им. акад. В.И. Кузнецова был разработан ДНГ с газодинамической скоростной опорой. Её применение значительно увеличивает ресурс работы прибора, что позволяет использовать его в системах управления КА с большим (до 15 лет) сроком активного существования. Кроме того, применение ГДО приводит к снижению уровня собственных вибраций по сравнению с шарикоподшипниковыми опорами и, следовательно, к улучшению точностных характеристик.

Достоинства ДНГ и определили их успешное использование. В настоящее время эти приборы широко применяются в качестве чувствительных элементов гиростабилизированных платформ (ГСП), бесплатформенных инерциальных навигационных систем (БИНС), или бесплатформенных инерциальных блоков (БИБ), гиротахометров, систем бортовых курсовертикалей (СБКВ) и инклинометров.

2. Проектно-конструкторская часть

2.1 Введение


В рамках данной части дипломной работы рассмотрена конструкция динамически настраиваемого гироскопа с газодинамической опорой ротора КИНД05-091, разработанного в «НИИ Прикладной механики им. академика В.И. Кузнецова».

Согласно заданию, в системе SolidWorks разработана твердотельная модель ДНГ с ГДО с целью получения из неё массовых характеристик элементов конструкции. Значения моментов инерции некоторых элементов необходимы для подстановки в уравнения математической модели, выведенные в рамках исследовательской части данной работы.

Твердотельная модель ДНГ КИНД05-091 представлена на рис. 2.1.

Рис. 2.1. Твердотельная модель ДНГ с ГДО (КИНД05-091)

2.2 Описание конструкции ДНГ с ГДО


На рис. 2.2 представлена конструкция динамически настраиваемого гироскопа с газодинамической опорой ротора.

Рис. 2.2. Конструкция ДНГ с ГДО (КИНД05-091)

Основные элементы конструкции:

- корпус (блок статоров);

- крышка ГДО;

- маховик (ротор датчиков момента);

- планка;

- газодинамическая опора;

- прокладка;

- ротора двигателя;

- статор двигателя;

, 6 - нагревательные элементы;

- упругий подвес;

- гайка;

- магнит;

- заглушка герметизации;

- статор датчика момента;

- кожух;

- статор датчика угла;

- крышка;

- котировочные упоры.

С целью повышения технологичности сборки, а также удобства регулировки в приборе принята следующая конструктивно-компоновочная схема: консольная однодвигательная, с разделением полости двигателя от полости маховика стенкой корпуса, являющейся одновременно магнитным экраном.

Корпус прибора с закреплёнными на нём статором двигателя 14 и статорами датчиков момента (ДМ) 17 и торцевых датчиков угла (ДУ) 18 представляет собой блок статоров 1.

В корпус блока статоров вклеена втулка газодинамической
опоры 3. На валу опоры с одной стороны приклеен ротор двигателя 4, а с другой - установлен маховик 2. Между фланцем вала и маховиком установлена прокладка 13, предназначенная для регулирования зазора датчиков угла. Маховик закреплён на валу с помощью гайки 7. Гайка имеет поясок легкоплавкого сплава для осуществления балансировки. Со стороны маховика ГДО закрыта крышкой 11.

С одной стороны корпус прибора закрывается кожухом 9, а
с другой - крышкой 10, к которой приклеена планка 12 с заводским номером прибора. Кожух и крышка служат для герметизации прибора и экранирования от внешних магнитных полей. В кожухе имеется отверстие, через которое производится обезгаживание и газозаполнение гироскопа. Герметизация обеспечивается заглушкой 8, которая припаивается к кожуху.

На корпус прибора и на кожух наклеены нагреватели 5, 6.

Корпус прибора

Корпус (рис. 2.3) состоит из трёх частей: корпусной детали, входящей в блок статоров, кожуха и крышки. Они выполнены из магнитомягкого материала, поэтому корпус обеспечивает защиту прибора от внешнего магнитного поля. Детали корпуса соединяются лазерной сваркой. Внутренняя полость прибора заполняют гелием, создавая давление 380 мм рт. ст.

В целях обеспечения герметичности для связи между внутренними и внешними участками цепей питания и сигнальных цепей используются миниатюрные стеклянно-коваровые гермовыводы.

Для точного базирования гироскопа по месту установки в его корпус вставлено два упора, закрепление осуществляется по трём отверстиям во фланце корпуса.

Рис. 2.3. Корпус ДНГ

Двигатель

В приборе применён трёхфазный синхронный гистерезисный двигатель (рис. 2.4). Частота вращения - 30000 об/мин при питании частотой 1000 Гц. Использование синхронного двигателя обеспечивает стабильность кинетического момента.

Пакет статора клееный, статор имеет две пары полюсов. Для сведения к минимуму газообмена между статором двигателя и рабочим зазором ГДО обмотка статора пропитана малогазящим компаундом и закрыта кожухом.

Ротор расположен на ведущем валу, его пакет - паяный. Ротор имеет элемент динамической балансировки в виде кольцевого пояска легкоплавкого сплава.

Маховик (ротор и подвес)

Маховик является главным элементом динамически настраиваемого гироскопа. Его конструкция представлена на рис. 2.5. Ротор закреплён на валу через внутренний карданов подвес, который выполнен из единого куска специально разработанного сплава методом электроэрозионной обработки и содержит два промежуточных кольца, так что такой двухколечный подвес представляет собой по существу два параллельно работающих идентичных кардана, развернутых один относительно другого на 90° вокруг оси вала. Ротор имеет возможность отклоняться относительно вала благодаря деформации упругих перемычек подвеса. Угол наклона маховика ограничивается кольцевым упором, который приклеен к подвесу.

Рис. 2.4. Двигатель ДНГ

Маховик одновременно выполняет роль роторов датчиков момента и торцевых датчиков угла (ДУ). Для этого он содержит кольцевой постоянный магнит, закрытый кожухом, и втулку из магнитомягкого материала - ротор ДМ, а также деталь ротора ДУ, которая защищена от магнитных полей рассеяния датчиков момента экраном.

Для динамической настройки в кольцах подвеса предусмотрены отверстия для грузов, которые вставляются в подвес без люфта и фиксируются лазерной сваркой. Балансировка осуществляется снятием материала в канавках на боковой поверхности ротора.

Газодинамическая опора

В приборе применена газодинамическая опора ротора (рис. 2.6), что позволило увеличить его точность и повысить ресурс.

Рис. 2.5. Маховик ДНГ

В рабочем режиме между подвижной и неподвижной поверхностями опоры создается газовый зазор, который исключает непосредственный контакт между поверхностями подвеса. При этом отсутствует износ деталей опоры, следовательно, не изменяется балансировка вращающейся части, и, кроме того, отсутствует сухое трение.

Рабочие поверхности опоры - полусферические. Втулка с внутренней полусферической поверхностью неподвижна, вклеена в корпус. Рабочие поверхности покрыты износостойким покрытием из нитрида титана. Полусферы ГДО закреплены на валу посредством клеевого соединения. На их поверхности напылены износостойкие покрытия из нитрида титана и алмазоподобного углерода, методом электроэрозии на полусферах ГДО нанесены локсодромические профилирующие канавки (глубиной 3 - 4 мкм), обеспечивающие в заданных условиях осевую несущую способность и устойчивость вращения ротора.

Распорная втулка обеспечивает требуемый осевой зазор в опоре. Радиальный зазор получают подбором полусфер и втулки по радиусам рабочих поверхностей. Рабочий зазор составляет 1,5-2,0 мкм. Для обеспечения работы опоры во всём диапазоне температур (-20…+60)°С все детали ГДО выполнены из одного материала.

Рис. 2.6. Газодинамическая опора

Датчики момента

В гироскопе установлены магнитоэлектрические датчики момента (рис. 2.7). Датчики по обеим осям имеют общий ротор, представляющий собой монолитный кольцевой магнит, входящий в состав маховика.

Статоры датчиков момента приклеены к латунной детали, закреплённой на корпусе, и служащей для отвода тепла от обмоток ДМ при работе гироскопа в условиях больших скоростей, т.е. при больших токах. Каждый из статоров датчика момента состоит из двух последовательно соединенных катушек основной (измерительной) обмотки и так же соединённых катушек вспомогательной обмотки. Основная обмотка используется в режиме измерения, а дополнительная задействуется при испытаниях.

Для регулировки крутизны датчиков момента служат прокладки между статором и латунной деталью.

На латунную деталь намотана катушка, являющаяся термодатчиком датчика момента.

Датчики угла

Для регистрации угла поворота маховика в гироскопе применены индуктивные датчики угла. Неподвижная (статорная) часть датчика угла представляет собой П-образный сердечник из металлокерамики, на который намотаны две одинаковые катушки, соединённые последовательно. ДУ по каждому из каналов содержит два таких сердечника с катушками, расположенные диаметрально. Датчики угла питаются напряжением 2,5 В частотой 32 кГц. Обмотки вместе с балансировочными резисторами образуют мостовую схему, съём выходного сигнала датчика угла осуществляется с её диагонали, образованной средними точками обмоток.

Рис. 2.7. Магнитоэлектрические датчики момента

Статоры датчиков угла наклеены на корпус, кольцевой ротор - общий для всех датчиков - входит в состав маховика. Величина крутизны ДУ регулируется прокладкой между фланцем вала и маховиком.

При центральном положении маховика воздушные зазоры между ротором и сердечниками датчика угла равны, индуктивности обмоток одинаковы и мост сбалансирован. При наклоне маховика указанные воздушные зазоры изменяются: для одного сердечника воздушный зазор увеличивается, а для другого - уменьшается. При этом индуктивность одной обмотки уменьшается, а другой - увеличивается. В результате баланс моста нарушается и на выходной диагонали мостовой схемы появляется напряжение, пропорциональное углу поворота маховика. Изменение направления поворота маховика вызывает изменение фазы выходного напряжения на 180°, т.е. характеристика датчика угла является реверсивной.

Выбранные датчики угла не создают относительно измерительной оси момента сухого трения, т.к. являются бесконтактными, а моменты, обусловленные силами притяжения ротора к сердечникам, направлены в противоположные стороны и поэтому почти полностью взаимно компенсируются.

Рис. 2.8. Индуктивные датчики угла

2.3 Проверка достоверности твердотельной модели


Проведём сравнение некоторых массовых характеристик модели с характеристиками реального образца прибора КИНД05-091 (таблица 2.1).

Твердотельная модель достаточно точно (с погрешностью, не превышающей 9%) описывает реальный образец прибора. Это обстоятельство позволяет использовать построенную модель для дальнейшего исследования.

В рамках конструкторской части дипломной работы описана конструкция динамически настраиваемого гироскопа с газодинамической опорой ротора, и построена его твердотельная модель, дающая возможность определить массовые характеристики элементов конструкции, необходимые для исследования математической модели, которая описана в исследовательской части. Анализ показал, что по массово-инерционным характеристикам твердотельная модель соответствует реальному образцу динамически настраиваемого гироскопа с ошибкой, не превышающей 9%. Эту ошибку можно уменьшить более тщательным подбором материалов элементов конструкции модели.

3. Научно-исследовательская часть

3.1 Введение


Исследовательская часть дипломной работы посвящена построению и исследованию математической модели динамически настраиваемого гироскопа (ДНГ) с газодинамической опорой ротора (ГДО), учитывающей угловую податливость скоростной опоры.

Жёсткость ГДО определяется состоянием газовой среды внутри прибора, а именно, её температурой и давлением, а также скоростью вращения вала ДНГ. Таким образом, при изменении одного или нескольких из этих параметров жёсткость ГДО также изменится, а следовательно изменится несущая способность ГДО и её собственная частота.

В связи с этим стоит задача определения влияния угловой жёсткости скоростной опоры на другие параметры прибора и на его функционирование в целом.

В ходе работы динамически настраиваемого гироскопа возникают вибрации на частотах, кратных частоте вращения маховика, вызванные неидеальностью изготовления и балансировки элементов конструкции. В случае, если одна из частот вибраций совпадёт с собственной частотой какого-либо элемента конструкции, возникнет резонанс, способный нарушить нормальное функционирование прибора.

Поэтому одной из целей работы является определение собственной частоты ГДО и проверка возможности возникновения резонанса на этой частоте.

3.2 Принцип работы динамически настраиваемого гироскопа, работающего в режиме датчика угловой скорости


На рис. 3.1 представлена кинематическая схема динамически настраиваемого гироскопа с газодинамической опорой ротора, работающего в режиме датчика угловой скорости (ДУС).

Рис. 3.1. Кинематическая схема ДНГ с ГДО, работающего в режиме ДУС: 1 - ротор; 11 - ротор двигателя; 2, 3, 4, 5 - упругие перемычки подвеса; 12 - статор двигателя; 6, 7 - промежуточные кольца подвеса; 13, 14 - датчики угла; 8 - вал; 15, 16 - датчики момента; 9 - втулка; 10 - полусфера ГДО; 17, 18 - усилители обратной связи

В соответствии с кинематической схемой (рис. 3.1), основным элементом ДНГ является ротор 1, подвешенный с помощью упругих перемычек 2, 3 и 4, 5 и внутренних колец (рамок) 6 и 7 на вращающемся от привода (11, 12) валу 8. Скоростная газодинамическая опора служит для кинематической связи вращающейся и неподвижной частей прибора и состоит из втулки 9 и двух полусфер 10.

Каждый из двух каналов перекрёстной обратной связи содержит датчик угла (ДУ) (13, 14), усилитель обратной связи (УОС) (17, 18) и датчик момента (ДМ) (15, 16). ДУ фиксируют угловое отклонение маховика относительно корпуса, а ДМ прикладывают к маховику гироскопа управляющие моменты.

Упругий подвес обладает сравнительно малой угловой жёсткостью, препятствующей повороту вокруг осей карданова подвеса, и имеет большую жёсткость на изгиб в плоскости, перпендикулярной оси вращения вала.

Применение упругого подвеса с двумя промежуточными кольцами, соединёнными параллельно, позволяет снизить угловую вибрацию маховика на частоте его вращения.

Отклонение плоскости вращения маховика ДНГ от плоскости, перпендикулярной валу, вызывает появление пропорциональных этому угловому отклонению моментов, действующих со стороны карданного подвеса на маховик: упругого момента, и направленного противоположно ему опрокидывающего (антиупругого) момента. Условие компенсации этих моментов и представляет собой условие динамической настройки. Для двухкольцевого ДНГ (прецессионного типа) его можно записать в следующем виде:

(A1 + B1 - C1)∙Ω2 - k = 0,

где A1, B1, C1 - экваториальные и осевой моменты инерции кольца;

Ω - угловая скорость вращения вала;- угловая жёсткость торсионов.

Из условия динамической настройки следует, что при определённой скорости вращения ротора подвес приобретает свойства, близкие к свойствам безмоментного шарнира. Таким образом, при малых углах отклонения маховика ДНГ ведёт себя как трёхстепенный свободный гироскоп.

ДУС на ДНГ имеет два измерительных канала и две оси чувствительности и измеряет проекции вектора переносной угловой скорости основания на эти оси.

При наличии переносной угловой скорости основания по одной из осей чувствительности прибора, его корпус движется вместе с основанием, в то время как маховик сохраняет своё положение относительно инерциального пространства неизменным. При этом датчик угла фиксирует по этой оси нарастающий угол рассогласования, и сигнал с него, проходя через усилитель обратной связи, подаётся на датчик момента, который создаёт момент вокруг другой оси чувствительности, вызывая тем самым прецессию маховика, который начинает поворачиваться вслед за корпусом с угловой скоростью равной переносной, стремясь минимизировать угол рассогласования.

В этом случае ток, протекающий в обмотке датчика момента, пропорционален переносной угловой скорости и измеряется через напряжение, падающее на эталонном резисторе.

3.3 Уравнения движения динамически настраиваемого гироскопа


Уравнения движения маховика симметричного ДНГ, записанные в системе координат, связанной с корпусом, при допущении, что угловое движение основания по оси, параллельной кинетическому моменту ротора, несущественно по сравнению со скоростью его собственного вращения, выглядят следующим образом [1]:

 (1)

где εx, y - угол наклона маховика вокруг соответствующей оси;

 - кинетический момент гироскопа;

 - угловая скорость собственного вращения маховика;

 - приведённый осевой момент инерции маховика;

 - приведённый экваториальный момент инерции маховика;

μ=μподвнп - коэффициент демпфирования прецессионных движений маховика гироскопа;

μподв - приведённый коэффициент демпфирования движения оси маховика относительно вала (во вращающихся осях), обусловленного внутренним трением в материале упругого подвеса и вязким сопротивлением в увлечённой массе газа;

μнп - коэффициент демпфирования движения оси маховика относительно корпуса;

 - эффективная угловая жёсткость вращающегося подвеса;

 - угловая скорость собственного вращения маховика, соответствующая режиму динамической настройки;

K - угловая жёсткость подвеса;

h=μподвΩ - удельный перекрёстный позиционный момент (удельный момент радиальной коррекции);

ϑ=K/(HΩ0) - коэффициент увлечения оси маховика;

ω - переносная угловая скорость движения основания;

M=MДМ+MВ+MТ - внешний момент, действующий на маховик ДНГ, определяющий прецессию гироскопа;

M ДМ - момент перекрёстной обратной связи, развиваемый основной обмоткой датчика момента;

MВ - вредный возмущающий момент, действующий на маховик;

MT - момент, развиваемый дополнительной обмоткой ДМ при подаче в неё тестового сигнала.

В таблице 3.2 приведены значения параметров, входящих в уравнения движения (1) при номинальном кинетическом моменте, для ДНГ КИНД05-091.

Коэффициент демпфирования прецессионных движений ротора гироскопа, m, Н·м·с < 1,15∙10-7

Удельный перекрестный позиционный момент, h, Н·м < 2,1∙10-4

Коэффициент увлечения оси маховика, u 0,001

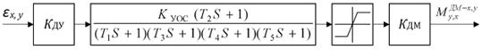
3.4 Описание канала обратной связи


Для обеспечения функционирования ДНГ в режиме двухкомпонентного датчика угловой скорости вводят два канала обратной связи (ОС). Структурная схема канала ОС, используемого в ДУС на ДНГ КИНД05-091, входящего в состав гироскопического измерителя вектора угловой скорости (ГИВУС) КИНД34-040, представлена на рис. 3.2.

Рис. 3.2. Структурная схема канала обратной связи

Канал обратной связи состоит из датчика угла, усилителя обратной связи (УОС) и датчика момента. УОС имеет ограничение по максимальному выходному току Imax, оно необходимо для предотвращения подачи большого тока в обмотку датчика момента, так как это может нарушить его работу.

Передаточная функция канала обратной связи записывается следующим образом в операторной форме:


где KДУ - коэффициент передачи датчика угла;

KУОС - коэффициент передачи усилителя обратной связи;1, T2, T3, T4, T5 - постоянные времени корректирующих звеньев УОС.

При отклонении маховика относительно корпуса на угол εxy) датчик угла вырабатывает сигнал, который, проходя через усилитель обратной связи, подаётся на датчик момента, а тот в свою очередь создаёт приложенный к маховику момент :

 (3)

Параметры канала обратной связи ДНГ КИНД05-091 представлены в таблице 3.3 [1].

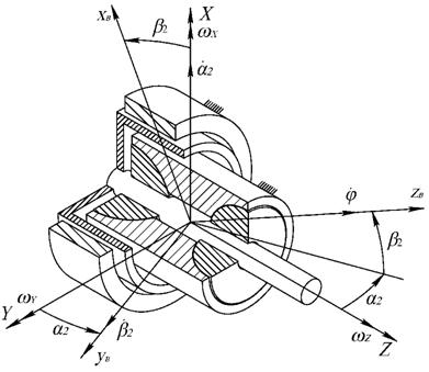
3.5 Механическая модель динамически настраиваемого гироскопа


Рассмотрим динамически настраиваемый гироскоп как механическую систему, состоящую из вала, двух колец внутреннего кардана и ротора [2]. Она представлена на рис. 3.3.

Рис. 3.3. Механическая модель ДНГ

Вал имеет три угловые степени свободы относительно основания и связан с кардановыми кольцами через упругие элементы, каждый из которых имеет угловую податливость вокруг одной оси. Таким образом, первое кольцо может отклоняться относительно вала вокруг оси y1, а второе - вокруг оси x2.

Маховик также связан с кардановыми кольцами через упругие элементы и отклоняется относительно первого кольца вокруг оси x1, относительно второго - вокруг оси y2.

В невозмущённом состоянии системы оси систем координат x1y1z1 и x2y2z2 совпадают.

Введём следующие системы координат:

XYZ - система координат, связанная с основанием (корпусом);

xвyвzв - система координат, связанная с валом, не участвующая в собственном вращении;

xyz - система координат, связанная с маховиком, не участвующая в собственном вращении;

x1y1z1 - система координат, связанная с первым кольцом;

x2y2z2 - система координат, связанная со вторым кольцом;

x’y’z’ - система координат, связанная с ротором.

Основание движется относительно инерциального пространства с угловой скоростью, которая проецируется на оси, связанные с основанием как (ωX, ωY, ωZ).

Положение вала относительно основания задаётся последовательностью двух поворотов: на угол α2 вокруг оси X и на угол β2 вокруг оси yв (рис. 3.4).

Рис. 3.4. Положение вала относительно основания

Положение ротора относительно вала задаётся последовательностью двух поворотов: на угол α1 вокруг оси xв и на угол β1 вокруг оси y (рис. 3.5).

Положение первого кольца относительно вала задаётся последовательностью поворотов: на угол φ вокруг оси Zв и на угол α вокруг оси x1 (рис. 3.6).

Рис. 3.5. Положение ротора относительно вала

Рис. 3.6. Положение первого кольца относительно вала

Положение второго кольца относительно вала задаётся поворотом системы координат на угол φ вокруг оси Zв и поворотом на угол β вокруг
оси y2 (рис. 3.7).

Положение ротора относительно первого кольца задаётся поворотом системы координат, связанной с первым кольцом, на угол β вокруг оси y1 (рис. 3.8).

Рис. 3.7. Положение второго кольца относительно вала

Рис. 3.8. Положение ротора относительно первого кольца

Тела, входящие в систему, имеют массовые характеристики. Зададим их через тензоры инерции.

Тензор инерции вала:


Тензор инерции первого кольца:


Тензор инерции второго кольца:


Тензор инерции ротора в предположении, что он симметричен относительно оси z’:


Связь между системами координат

Для определения связи между введёнными системами координат найдём матрицы последовательных поворотов, которые получим, проецируя оси «новых» систем координат на оси «старых».

Одна матрица поворота описывает поворот системы координат вокруг какой-либо из её осей на определённый угол. Таким образом, каждая из матриц поворота описывает поворот какого-либо элемента механической системы ДНГ на определённый угол вокруг одной из осей связанной с ним системы координат.

Наклон вала относительно основания на угол α2:


Наклон вала относительно основания на угол β 2:


Поворот колец вместе с валом относительно основания на угол φ:


Наклон первого кольца относительно вала и наклон ротора относительно второго кольца на угол α:


Наклон второго кольца относительно вала и наклон ротора относительно первого кольца на угол β:


Наклон маховика относительно вала на угол α1:


Наклон маховика относительно вала на угол β1:


3.6 Вывод уравнений движения динамически настраиваемого гироскопа с учётом угловой податливости скоростной опоры


Для вывода уравнений математической модели ДНГ, учитывающей упругую угловую податливость скоростной опоры, воспользуемся II методом Лагранжа. Выбор данного метода обусловлен тем, что он несложно реализуется с помощью программных средств компьютера.

Уравнение Лагранжа второго рода записывается следующим образом:


где T - кинетическая энергия системы,

qi - обобщённая координата,

Qi - обобщённая сила.

При выводе уравнений примем ряд допущений:

)        рассматриваемая механическая система абсолютно жёсткая, не считая податливости упругих элементов подвеса и угловой податливости скоростной опоры;

)        каждый упругий элемент подвеса имеет угловую податливость только вокруг одной оси;

)        центр масс маховика находится в точке пересечения осей подвеса;

)        вал вращается с постоянной угловой скоростью;

)        углы отклонения ротора относительно вала и вала относительно корпуса являются величинами первого порядка малости (на практике они составляют единицы-десятки угловых минут)

В качестве обобщённых примем координаты, изменяющиеся в осях, не участвующих в быстром собственном вращении ротора, так как именно в этих осях происходит съём информации у управление движением маховика.

Обобщёнными координатами будем считать углы наклона ротора относительно вала α1, β1 и углы наклона вала относительно корпуса (основания) α2, β2.

Для вывода уравнений движения напишем программу в среде компьютерной алгебры Wolfram Mathematica. Алгоритм работы программы представлен на рис. 3.9.

Рис. 3.9. Алгоритм работы программы вывода уравнений математической модели ДНГ

Рассмотрим подробнее процесс получения уравнений движения динамически настраиваемого гироскопа с учётом угловой податливости скоростной опоры методом Лагранжа II рода.

Определение кинетической энергии системы

Из уравнения Лагранжа II рода (15) следует, что нам необходимо продифференцировать кинетическую энергию системы. Найдём её по формуле:


где Ji - момент инерции i-го тела (элемента механической системы);

ωi - его абсолютная угловая скорость.

Тензоры инерции тел, входящих в систему (4) - (7) описаны в механической модели ДНГ (см. п. 3.6).

Необходимо определить абсолютную угловую скорость каждого элемента в осях, связанных с этим элементом.

Основание движется относительно инерциального пространства с угловой скоростью ω0:


Абсолютную угловую скорость вала можно найти по формуле:


Абсолютная угловая скорость 1-го кольца:


Абсолютная угловая скорость 2-го кольца:


Абсолютная угловая скорость движения ротора:


Для получения уравнений движения ДНГ, записанных в невращающихся осях, необходимо в выражениях для угловых скоростей кардановых колец (19) - (20) заменить переменные α и β на обобщённые координаты α1 и β1.

Для определения связи между α, β и α1, β1 найдём угловую скорость ротора относительно вала во вращающихся и в невращающихся осях, приравняем полученные выражения и из получившейся системы уравнений найдём выражения для  и , которые затем проинтегрируем [3].

Угловую скорость движения ротора относительно вала в осях x’y’z’ можно найти следующим образом:


Угловая скорость движения ротора относительно вала в осях xyz:


При нахождении связи между координатами пренебрегаем величинами третьего и выше порядков малости, сохраняя второй [2]. Также ввиду большой величины скорости собственного вращения маховика считаем, что:


В итоге получаем следующие выражения, связывающие между собой углы α, β и α1, β1:


Подставив выражения для абсолютных угловых скоростей и тензоров инерции элементов системы в выражение (16) и произведя замену переменных согласно (25), получим кинетическую энергию системы.

Определение обобщённых сил

Правую часть уравнения Лагранжа II рода можно представить в следующем виде [2]:


где U - силовая функция системы;

R - диссипативная функция Релея;

x - координата.

Силовая функция системы учитывает потенциальную энергию упругой деформации в перемычках подвеса и в скоростной опоре и имеет вид:


где Кα,β - жёсткость упругой перемычки подвеса вокруг оси α, β;

Кα2,β2 - жёсткость скоростной опоры вокруг оси α2, β2.

Диссипативная функция Релея учитывает вязкое трение в материале подвеса, воздушное сопротивление движению маховика в увлечённой массе газа и относительно корпуса:


где μподв - коэффициент вязкого сопротивления движению маховика в увлечённой массе газа;

μнп - коэффициент вязкого сопротивления движению маховика относительно корпуса;

μВ - коэффициент вязкого сопротивления движению вала относительно корпуса.

Уравнения движения

Подставив полученные выражения для кинетической энергии и обобщённой силы в уравнение Лагранжа II рода, а также проведя замену переменных согласно (25), получаем искомые уравнения движения.

В полученных уравнениях пренебрегаем величинами второго и выше порядков малости, а так же составляющими, изменяющимися с частотами, кратными двойной частоте собственного вращения ротора.

Уравнения движения маховика динамически настраиваемого гироскопа, учитывающие угловую податливость скоростной опоры, выглядят следующим образом:



где  α1, β1 - углы наклона маховика относительно вала;

α2, β2 - углы наклона вала относительно корпуса;

 - кинетический момент маховика;

 - угловая скорость собственного вращения маховика;

 - приведённый осевой момент инерции маховика;

 - приведённый экваториальный момент инерции маховика;

 - экваториальный и осевой моменты инерции ротора;

 - экваториальные и осевой моменты инерции кардановых колец;

 - экваториальный и осевой моменты инерции вала;

 - кинетический момент вала;

 - приведённый осевой момент инерции вала;

 - приведённый экваториальный момент инерции вала;

 - приведённый экваториальный момент инерции карданова кольца;

 - коэффициент увлечения оси маховика;

 - коэффициент увлечения оси вала;

 - коэффициент демпфирования прецессионных движений маховика;

 - коэффициент вязкого сопротивления движению маховика в увлечённой массе газа;

 - коэффициент вязкого сопротивления движению маховика относительно корпуса;

 - коэффициент вязкого сопротивления движению вала относительно корпуса;

 - эффективная жёсткость упругого подвеса;

 - угловая жёсткость подвеса;

 - разностный момент инерции;

 - угловая жёсткость скоростной опоры;

 - удельный момент радиальной коррекции;

 - проекция переносной угловой скорости на ось X, Y основания;

 - внешние возмущающие моменты, действующие на маховик;

 - внешние возмущающие моменты, действующие на вал.

Первые два из полученных уравнений описывают движение маховика относительно вала в осях, не участвующих в собственном вращении, другие два описывают движение вала относительно корпуса в осях, связанных с корпусом.

Анализируя систему (29), можно сделать вывод, что уравнения движения вала и уравнения движения маховика связаны между собой через инерционные и гироскопические составляющие, обусловленные инерционными свойствами кардановых колец.

3.7 Определение параметров математической модели


Необходимые массово-инерционные характеристики найдём, анализируя твердотельную модель ДНГ, построенную в системе SolidWorks в рамках проектно-конструкторской части:

Значения остальных параметров рассчитаны или взяты из технических условий на прибор.

Ввиду отсутствия достоверных данных о демпфировании газовой смазки ГДО, считаем, что угловые колебания вала демпфируются только за счёт аэродинамического сопротивления газовой среды.

В таблицах 3.4 и 3.5 отсутствует параметр К2 - угловая жёсткость опоры. Её необходимо рассчитать.

3.8 Расчёт жёсткости газодинамической опоры


Рассчитаем жёсткость газодинамической опоры, исходя из её экспериментально измеренной несущей способности.

На рис. 3.9 представлена вращающаяся часть ДНГ. Она представляет собой вал с закреплённым на нём маховиком, ротором двигателя и двумя полусферами ГДО с распорной втулкой.

Рис. 3.9. Вращающаяся часть ДНГ

Анализ трёхмерной модели показал, что центр масс вращающейся части почти точно совпадает с полюсом правой полусферы (ближайшей к маховику), это говорит о том, что правая полусфера воспринимает практически всю радиальную нагрузку.

Это обстоятельство позволяет проводить расчёт радиальной жёсткости опоры, исходя из перемещения правой полусферы под действием перегрузки, в предположении, что в ней сосредоточен вес всей вращающейся части.

Тогда радиальную жёсткость опоры можно найти по формуле:


где m - масса вращающейся части;

nr - несущая способность опоры в радиальном направлении;

g - ускорение свободного падения, g ≈ 9,8 м/с2;

Δ - эффективный зазор между рабочими поверхностями ГДО.

Осевая жёсткость рассчитывается по формуле:


где na - несущая способность опоры в осевом направлении.

Угловую жёсткость ГДО найдём по формуле:


где l - расстояние между полюсами полусфер.

Таким образом, мы получили значение угловой жёсткости скоростной опоры:

К2 = Kγ = 600 (Н∙м/рад)

Поскольку несущая способность, ровно как и величина эффективного зазора между рабочими поверхностями ГДО, различаются у разных образцов ДНГ, расчёт носит приближённый характер.

3.9 Исследование полученной модели


Исследуем влияние угловой жёсткости скоростной опоры на функционирование ДУС на ДНГ КИНД05-091 в среде Matlab Simulink. Для этого построим в Simulink полученную математическую модель и добавим к ней два канала обратной связи.

Теперь, используя модель, построенную в Simulink, проведём виртуальный эксперимент: предположим, что измерительная ось Х прибора направлена вертикально вверх, а ось Y - на север (рис. 3.10).

Рис. 3.10. Ориентация прибора относительно осей географического трёхгранника ξηζ

Тогда канал Х прибора измеряет вертикальную составляющую угловой скорости суточного вращения Земли, а канал Y - горизонтальную:


где U - угловая скорость суточного вращения Земли, U ≈ 7,27·10-5 рад/с;

φ - географическая широта местности, φ ≈ 56° для Москвы.

При этом в обмотках датчиков момента должны протекать токи:


Результаты моделирования представлены на графиках ниже.

Рис. 3.11. Изменение токов ОС

Рис. 3.12. Изменение углов наклона маховика относительно корпуса

Рис. 3.13. Изменение углов наклона вала относительно корпуса

Из графика, представленного на рис. 3.11, видно, что токи в обмотках датчиков момента в установившемся режиме принимают расчётные значения (34). Это говорит об адекватности построенной модели.

При этом маховик остаётся отклонённым относительно корпуса (рис. 3.12) на некоторую малую величину статической ошибки (порядка 10-4 дуг. мин.). Из графика рис. 3.13 видно, что вал отклонён относительно корпуса (наклон порядка 2·10-6 дуг. мин.) и при этом совершает колебания.

Если ближе посмотреть на график углов наклона маховика относительно вала, можно увидеть его нутационные колебания.

Рис. 3.14. Нутационные колебания маховика

Параметры нутационных колебаний маховика:

(дуг. мин.)

 (Гц)

Частоту нутационных колебаний маховика можно рассчитать по формуле:


Видим, что расчётное значение нутационной частоты совпадает с полученным при моделировании.

Если ближе посмотрим на график колебаний вала относительно корпуса, то увидим, что помимо колебаний на собственной частоте опоры присутствуют также биения на нутационной частоте привода (рис. 3.15).

Рис. 3.15. Колебания и биения вала относительно корпуса

Параметры колебаний и биений вала:

(дуг. мин.) - размах биений

 (Гц) - частота биений (нутационная)

 (Гц) - частота колебаний (собственная)

Нутационную частоту привода можно оценить по формуле:

 (Гц)

Частота собственных колебаний в опоре рассчитывается:

 (Гц)

Расчётные значения частот  и  почти точно совпадают с полученными при моделировании.

Сравнивая графики рис. 3.14 и рис. 3.15, стоит отметить, что диапазон изменения углов наклона маховика относительно вала на два порядка превышает диапазон изменения углов наклона вала относительно корпуса при заданной жёсткости скоростной опоры.

В конечном итоге, колебания вала относительно корпуса складываются из нутационных колебаний маховика относительно вала и колебаний вала относительно корпуса и выглядят, как представлено на графике рис. 3.16.

Рис. 3.16. Колебания вала относительно корпуса

Датчики угла фиксируют углы наклона вала относительно корпуса и выдают соответствующие сигналы в каналы обратной связи. Сигналы, снимаемые из обмоток датчиков момента, (рис. 3.11) при ближайшем рассмотрении выглядят, как представлено на графике рис. 3.17
(на примере Iyx).

Рис. 3.17. Колебания выходного сигнала

Из графика рис. 3.17 видно, что в выходном сигнале присутствуют колебания на нутационной частоте маховика. Параметры этих колебаний:

(нА)

 (Гц)

Коэффициент передачи нутационных колебаний через канал обратной связи равен:

(мА/дуг. мин.)

При действии на корпус прибора вибрации она через опору передаётся на маховик. Оценим действие вибрации на функционирование ДНГ.

Представим, что на вал вокруг оси X действует переменный возмущающий момент, вызванный наличием внешней вибрации. Этот момент вызывает колебания маховика относительно корпуса на частоте возмущения. На амплитудно-частотной характеристике (АЧХ), представленной на рис. 3.18, по оси абсцисс в логарифмическом масштабе отложена частота возмущающего момента, приложенного к валу по оси Х, а по оси ординат - отношение угла наклона маховика относительно корпуса вокруг соответствующей оси к амплитуде возмущающего момента, выраженное в децибелах. Таким образом, графики рис. 3.18 характеризуют реакцию прибора на возмущение, действующее по оси X: верхний - реакцию по углу α (наклон вокруг X), а нижний - реакцию по углу β (наклон вокруг Y). То есть верхний график характеризует реакцию по оси действия возмущения, нижний - по перпендикулярной ей оси.

Рис. 3.18. АЧХ прибора, характеризующая зависимость углов наклона маховика относительно корпуса от момента, приложенного к валу (при К2 = 600 Н∙м/рад)

Анализируя АЧХ рис. 3.18, можно выделить следующие характерные частоты:

- (Гц) - частота нутационных колебаний маховика, на ней возникает резонанс по оси, перпендикулярной к оси действия возмущения;

(Гц) - собственная частота опоры, на ней наблюдается антирезонанс;

(Гц), (Гц) - резонансные частоты, близкие к собственной частоте опоры.

Интересным является тот факт, что собственная частота опоры  не является резонансной, а даже наоборот - колебания на этой частоте, подавляются. При этом резонанс проявляется на частотах , , лежащих вблизи неё.

Как отмечалось ранее, при работе ДНГ возникают вибрации на частотах кратных частоте вращения ротора. Наиболее ярко проявляются колебания на двойной частоте собственного вращения  Гц [1].

Резонанс со второй гармоникой возможен при двух значениях угловой жёсткости скоростной опоры:

при  (Н∙м/рад),  (Гц) (рис. 3.19)

при  (Н∙м/рад),  (Гц)

Для предотвращения возникновения резонанса на двойной частоте вращения ротора при проектировании ДНГ нужно избегать подобных значений жёсткости скоростной опоры. Сравнивая АЧХ рис. 3.18 и 3.19, можно заметить, что снижение угловой жёсткости опоры ведёт к поднятию АЧХ, а следовательно, к снижению виброустойчивости ДНГ. Поэтому при проектировании стоит стремиться получить как можно большее значение жёсткости скоростной опоры, тем более, что это ведёт к увеличению её несущей способности.

Рис. 3.19. АЧХ прибора, характеризующая зависимость углов наклона маховика относительно корпуса от момента, приложенного к валу (при К2 = 50,5 Н∙м/рад)

В результате проделанной работы методом Лагранжа II рода получена математическая модель динамически настраиваемого гироскопа, учитывающая угловую податливость скоростной опоры.

На основе полученной модели в системе Matlab Simulink проведено исследование динамически настраиваемого гироскопа с газодинамической опорой ротора КИНД05-091, работающего в режиме датчика угловой скорости с перекрёстными обратными связями. В качестве параметров модели были заданы параметры этого прибора. Часть из них была взята из технических условий, часть получена в результате анализа твердотельной модели, остальные параметры были рассчитаны.

Угловая жёсткость газодинамической опоры ротора была рассчитана исходя из её несущей способности и геометрических параметров. Её величина составила 600 Н∙м/рад.

Достоверность построенной модели проверена в системе Matlab Simulink путём виртуального эксперимента: заданы переносные угловые скорости движения основания прибора. При этом значения токов, протекающих в обмотках датчиков момента совпали с расчётными, что подтвердило адекватность модели.

Исследование модели показало:

.        Анализ колебательных переходных процессов позволил выделить несколько собственных частот ДНГ:

 (Гц) - нутационная частота маховика;

(Гц) - нутационная частота привода;

(Гц) - собственная частота опоры.

.        Анализ частотных характеристик показал, что система имеет три резонансные частоты:  (Гц), (Гц) и (Гц), при этом  и  лежат вблизи собственной частоты опоры , которая является антирезонансной.

.        Показана возможность возникновения резонанса на двойной частоте вращения маховика. Это возможно при значениях угловой жёсткости скоростной опоры 50,5 и 65 Н∙м/рад.

.        Показано, что снижение угловой жёсткости опоры ведёт к снижению виброустойчивости прибора.

Проведённые исследования показали, что при проектировании ДНГ по возможности следует обеспечивать большую величину угловой жёсткости скоростной опоры, при этом необходимо выбирать такую жёсткость, чтобы резонансные частоты системы не совпадали с двойной частотой вращения ротора.

В рамках дальнейшего развития работы планируется сделать следующее:

)        учесть в модели вязкость газовой плёнки ГДО;

)        ввести в модель уравнение, описывающее собственное вращение вала;

)        ввести модель привода, обеспечивающего собственное вращение;

)        учесть неидеальность радиальной балансировки маховика и всей вращающейся части ДНГ.

Список литературы

датчик гироскоп газодинамический магнитоэлектрическиq

1.  Техническая документация на ДНГ КИНД05-091.

2.      Новиков Л.З., Шаталов М.Ю. Механика динамически настраиваемых гироскопов // издательство «Наука», Москва, 1985 г.

.        Матвеев В.А., Подчезерцев В.П., Фатеев В.В. Гироскопические стабилизаторы на динамически настраиваемых вибрационных гироскопах: учебное пособие по курсу «Теория гироскопов и гиростабилизаторов» // издательство МГТУ имени Н.Э. Баумана, Москва, 2005 г.

.        Дубинин А.В., Смолян К.В. Зависимость несущей способности газодинамической опоры динамически настраиваемого гироскопа от зазоров в газодинамической опоре // Вестник МГТУ им. Н.Э. Баумана: электронное научно-техническое издание, 2012 г., №3 (3).

.        Пельпор Д.С., Матвеев В.А., Арсеньев В.Д. Динамически настраиваемые гироскопы: теория и конструкция // издательство «Машиностроение», Москва, 1988 г.

.        Пельпор Д.С., Матвеев В.А., Фатеев В.В. Динамически настраиваемые гироскопы: конструкция и расчёт. Учебное пособие для студентов дневного и вечернего отделений по курсу «Проектирование систем ориентации» // Типография МВТУ, Москва, 1985 г.

.        Щеглова Н.Н. Влияние коэффициента жёсткости газодинамической опоры на работы двухосного поплавкового датчика угловой скорости // Вестник МГТУ им. Н.Э. Баумана: электронное научно-техническое издание, 2013 г., №2 (14).

.        Дьяконов В.П. Mathematica 4.1/4.2/5.0 в математических и научно-технических расчетах // издательство «СОЛОН-Пресс», Москва, 2004 г.

.        Дьяконов В.П. MATLAB 6.5 SP1/7 + Simulink 5/6 в математике и моделировании // издательство «СОЛОН-Пресс», Москва, 2005 г.

Похожие работы на - Математическая модель динамически настраиваемого гироскопа

 

Не нашли материал для своей работы?
Поможем написать уникальную работу
Без плагиата!
Без нейросетей!