Магнитные системы стабилизации. Трёхосный гироскоп

  • Вид работы:
    Курсовая работа (т)
  • Предмет:
    Физика
  • Язык:
    Русский
    ,
    Формат файла:
    MS Word
    1,42 Мб
  • Опубликовано:
    2014-10-02
Вы можете узнать стоимость помощи в написании студенческой работы.
Помощь в написании работы, которую точно примут!

Магнитные системы стабилизации. Трёхосный гироскоп

МИНИСТЕРСТВО ОБРАЗОВАНИЯ НАУКИ РЕСБУЛИКИ КАЗАХСТАН

НАО "Алматинский университет энергетики и связи"

Факультет "Теплоэнергетика"

Кафедра "Инженерной кибернетики"






КУРСОВАЯ РАБОТА

по дисциплине: Первичные датчики и исполнительные механизмы

Магнитные системы стабилизации. Трёхосный гироскоп


Выполнил: ст. гр. САУЛА 11-1

Канат П.

Принял: доцент, к.т.н.,

Федоренко И.А.





Алматы, 2014

Аннотация

В настоящей курсовой работе рассматриваются магнитные системы стабилизации и трёхосный гироскоп. А так же их классификация, математическое описание, физические принципы.

Приведена экономическая часть и выводы по ней на примере рассмотрения двух трёхосных гироскопов.

И был реализован передаточной функции гироскопа в программной среде VisSim.

Содержание

Введение

. Магнитные системы стабилизация

.1 Классификация магнитных систем и устройств

.2 Магнитная стабилизация

.3 Структурные и конструктивные схемы

. Трёхосный гироскоп

.1 Классификация трёхосных гироскопов

2.2 Трёхосный динамически настраиваемый гироскоп

.3 Динамическая модель

.4 Уравнения движения обобщенного трёхосного гироскопа

. Реализация передаточной функции для гироскопа в программной среде VisSim

. Экономическая часть

.1 Таро ZYX трехосный гироскоп для R / C Вертолёт

.2 S-БАР трехосный гироскоп Установка набор карт для 200-800 Уровень Flybarless Вертоле

.3 Выводы по экономической части

Заключение

Список использованной литературы

магнитный трехосный гироскоп vissim

Введение

Первая глава данной курсовой работы - Трехосный гироскоп. Гироскоп с тремя независимыми взаимно ортогональными осями чувствительности будем называть трёхосным.

Результаты исследований и разработок показали, что трехкомпонентный гироскоп (ТГ) по сравнению с известными гироскопами с одной и двумя осями чувствительности (однокомпонентные и двухкомпонентные гироскопы) имеет целый ряд преимуществ:

) трехосный гироскоп имеет три оси чувствительности при габаритах и массе, идентичных габаритам и массе одно- и двухкомпонентных гироскопов. ТГ выдает информацию о полном векторе абсолютной угловой скорости основания;

) поскольку все три взаимно ортогональные оси чувствительности формируются в одном гироскопе, трехосный гироскоп позволяет повысить стабильность взаимной ориентации осей чувствительности;

) трехосный гироскоп, заменяя три однокомпонентных гироскопа или два двухосных гироскопа при трехосной стабилизации платформы в инерциальном пространстве, устраняет взаимовлияние гироскопов, а также необходимость искусственного устранения "лишней" степени свободы;

) трехкомпонентный гироскоп при сравнимой информативности с тремя однокомпонентными или двумя двухкомпонентными гироскопами имеет меньшую стоимость;

) потребляемая трехкомпонентным гироскопом мощность практически идентична потребляемой мощности известных двух-и однокомпонентных гироскопов, поскольку для формирования третьей оси чувствительности требуется приложение к ротору незначительных управляющих моментов;

) трехкомпонентный гироскоп обеспечивает по третьей оси чувствительности диапазон измерений абсолютной угловой скорости, значительно превышающий диапазон измерений по первым двум осям.

Достоинства трехкомпонентных гироскопов указывают на перспективу их использования в качестве чувствительных элементов гироскопических стабилизаторов и бесплатформенных инерциальных навигационных систем малых габаритов, потребляемой мощности и стоимости.

Вторая глава данной курсовой работы - Магнитные системы стабилизации. В магнитных системах управления в отличие от всех других систем легко изменять управляющие моменты и, следовательно, реализовывать самые разнообразные законы управления, что позволяет обеспечить точную ориентацию.

Масса и энергопотребление МС незначительны, причем существует целый ряд систем и устройств, вообще не требующих энергопитания. Кроме того, масса МС не зависит от продолжительности работы системы. В магнитных системах в большинстве случаев нет движущихся элементов, в конструктивном отношении они просты и имеют высокую надежность.

Все это позволяет создать долгофункционирующие КА.

К настоящему времени разработано большое количество проектов МС. Они испытывались и успешно эксплуатировались на многих и многих КА. Тем не менее в литературе МС не нашли должного отражения. Предлагаемая книга имеет целью восполнить этот пробел. В ней впервые сделана попытка систематического изложения теории и практики МС.

. Магнитные системы стабилизация

1.1 Классификация магнитных систем и устройств

Магнитные системы и устройства отличаются большим разнообразием. Оно обусловлено не только богатыми их функциональными возможностями, но также и разнообразием конструктивных и схемных решений, принципов действия, приборного состава, законов управления и т. д.

Магнитные средства управления можно классифицировать по следующим признакам:

степени потребления электроэнергии от бортовой сети;

функциональным возможностям и назначению;

степени автономности;

характеру управления;

виду ориентира или базовой системы координат;

принципу действия;

типу и особенностям исполнительных устройств.

Среди магнитных средств управления (МСУ) будем различать магнитные системы (МС), характерной особенностью которых является наличие в Htfx магнитометрических датчиков (МД), функциональных преобразователей, и магнитные устройства (МУ), не нуждающиеся в какой-либо информации и не содержащие в своем составе датчиков и преобразующих блоков.

Магнитные устройства в общем случае состоят из магнитных исполнительных устройств (МИУ) и некоторых вспомогательных элементов. В МИУ входят магнитные исполнительные органы (МИО) и магнитные исполнительные элементы (МИЭ) (по сравнению с МИО последние отличаются относительно слабым управляющим эффектом). Примером МИУ могут быть подвижные (поворотные) относительно корпуса КА МИО или МИЭ.

Хорошо известный сферический магнитный успокоитель или демпфер- не что иное, как МИУ, этот же успокоитель вместе с элементами включения - выключения (арретиром и соответствующими электрическими цепями) представляет собой уже МУ. Примером МИЭ могут быть магнитогистерезисные стержни.

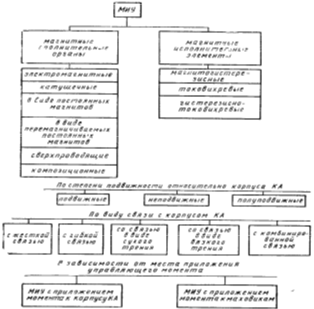
Полные классификационные схемы МС и МУ приведены соответственно на рис. 1.1.1 и 1.1.2.

Классификация МС и МУ по типу и особенностям исполнительных устройств представлена на рис. 1.1.3. Хотя магнитные средства управления, как и все средства, использующие внешние по отношению к КА силовые поля, и называют обычно пассивными, подразумевая под этим непотребление ими рабочего тела, здесь будем рассматривать понятия "активность" или "пассивность" в смысле расхода электроэнергии.

Разделим МС и МУ на активные, полуактивные (полупассивные), пассивные и комбинированные.

Под активными подразумевают такие средства управления, МИО которых во включенном состоянии непрерывно потребляют электроэнергию. Среди МС - это системы с МИО, например, в виде плоских токонесущих катушек без ферромагнитных сердечников и в виде стержневых электромагнитов. Возможны и МУ с аналогичными МИО, при этом, естественно, они в процессе функционирования МУ не должны управляться.

Рисунок 1.1.1

Пассивные средства управления - это средства с постоянными магнитами, композиционными МИО, содержащими магнитотвердые и магнитномягкие материалы, магнитогистерезисными или токовихревыми МИЭ и т. П



Рисунок 1.1.2

И, наконец, в класс комбинированных средств включим такие, которые содержат любое сочетание активных, полуактивных и пассивных средств.

В зависимости от степени автономности различают автономные, неавтономные и комбинированн ые МС.

Автономные МС - это системы, все элементы которых располагаются на борту КА и которые не нуждаются в связи с Землей или другими объектами.

Неавтономные МС характеризуются тем, что их датчики и исполнительные устройства находятся на борту, а функциональный блок или часть его - на Земле или другом объекте. При этом для замыкания системы обязательно необходима двусторонняя радиотелеметрическая линия связи "борт КА - Земля". Комбинированные МС - это системы, которые могут работать как в автономном, так и в неавтономном режиме.

При классификации магнитных средств по характеру управления следует учитывать несколько аспектов. Во-первых, можно рассматривать релейные и линейные МС в зависимости от вида функции управления МИО. Во-вторых, следует различать МС с импульсным управлением, когда оно ведется лишь на отдельных участках орбиты, и с непрерывным управлением, когда КА управляется непрерывно. И в том, и в другом случае законуправления может быть как линейным, так и релейным. В-третьих, МС могут быть оптимальными и неоптимальными в смысле быстродействия или расхода электроэнергии.

Рисунок 1.1.3

Вид ориентира или базовой системы координат отражается следующим делением магнитных средств: МС и МУ стабилизации по вектору В магнитного поля Земли (МПЗ), в направлении на Солнце, по местной вертикали и другим ориентирам.

Под принципом действия МС и МУ подразумевается физическая картина образования управляющего магнитного момента. В зависимости от этого различают МС и МУ с независимым получением магнитного момента, когда он образуется исполнительными устройствами без заметного влияния МПЗ (к ним можно отнести практически все МИО), а также МС и МУ, в которых этот момент инициирует МПЗ. Последнее возможна посредством магнитостатического наведения намагниченности в ферромагнитных материалах (магнитогистерезисный эффект) или в результате индуцирования вихревых токов в токопроводя- щих материалах МИЭ.

Деление МИУ произведем по типу, степени подвижности относительно корпуса КА и виду их связи с корпусом КА.

Возможны следующие типы МИУ: в виде стержневых электромагнитов- электромагнитные МИО; катушечные без ферромагнитных сердечников; в виде постоянных магнитов, перемагни- чиваемых постоянных магнитов, сверхпроводящих магнитов; комбинированные или композиционные МИО, содержащие маг- нитнотвердые и магнитномягкие материалы либо магнитные материалы различного сортамента и с различными свойствами; в виде магнитогистерезисных, токовихревых, гистерезисно-токо- вихревых исполнительных элементов.

Степень подвижности МИУ относительно корпуса КА и вид связи их с корпусом КА отражается таким делением:

подвижные, неподвижные и полуподвижные МИО и МИЭ, причем под полуподвижными понимаются устройства, в которых МИО или МИЭ в процессе работы могут занимать несколько фиксированных положений;

МИО и МИЭ с жесткой, упругой связью, со связью в виде сухого, вязкого или комбинированного трения (вязкого и сухого).

В заключение укажем, что МИУ, а следовательно, и магнитные средства управления могут рассматриваться с точки зрения места приложения управляющего момента: он может быть приложен к корпусу КА или к маховикам.[1]

.2 Магнитная стабилизация

В результате взаимодействия магнитных полей планеты и аппарата возникает внешний момент, который используется для управления угловым положением КА. Могут быть применены как активные, так и пассивные системы управления. В активных системах исполнительными элементами являются электромагниты, а в пассивных - постоянные магниты.

Пассивная стабилизация КА по вектору напряженности магнитного поля планеты оказывается весьма желательной для проведения целого ряда научных экспериментов. При пассивном способе управления постоянный магнит жестко крепится к корпусу спутника по оси симметрии. Искусственный спутник с пассивной магнитной стабилизацией всегда ориентирован вдоль силовых линий магнитного поля так, что его магнитный диполь согласуется с местным направлением магнитных силовых линий планеты. В последнее время появилось большое число работ, в которых приводятся результаты исследований возможности использования магнитного поля Земли для ориентации и стабилизации искусственных спутников.

С увеличением расстояния от поверхности Земли ее магнитное поле сильно ослабевает (пропорционально кубу расстояния от центра Земли). В первом приближении оно может быть достаточно точно аппроксимировано магнитным полем диполя, ось которого проходит через центр Земли и отклонена от ее оси вращения к плоскости земного экватора на небольшой постоянный угол. При получении качественных оценок можно допустить, что ось диполя и ось вращения Земли практически совпадают. Это допущение является достаточно точным для рассмотрения пассивной магнитной системы стабилизации спутника.

Силовые линии такого диполя имеют форму, показанную на рис. 1.2.1.

Рисунок 1.2.1 Ориентация спутника по магнитным силовым линиям

Если ось Земли 1 лежит в плоскости орбиты 4, то спутник 2, отслеживая направление силовых линий 3 магнитного поля, совершает за один виток два полных оборота вокруг своей оси.

Момент, возникающий за счет взаимодействия магнитного поля Земли и магнитного стержня имеющего магнитный дипольный момент  определяется уравнением , где  - напряженность магнитного поля Земли. Модуль вектора момента равен , где  - угол между осью магнитного стержня и вектором магнитного поля Земли. Магнитный дипольный момент ферромагнитного стержня равен произведению индукции В и объема стержня . Если стержень является постоянным магнитом, то его индукция приблизительно равна постоянной величине В0 и возникающий от взаимодействия постоянного магнита и магнитного поля Земли момент равен . Этот момент используется в качестве восстанавливающего для пассивной стабилизации положения спутника. Постоянный магнит стремится совместить свою ось с местным направлением напряженности магнитного поля Земли.

При отслеживании осью симметрии спутника вектора напряженности магнитного поля Земли угловая скорость движения не остается постоянной. Поэтому, если требуется ориентировать спутник точно вдоль силовых линий и иметь удовлетворительные переходные процессы, то в виду неравномерности движения вектора напряженности магнитного поля Земли необходимо пассивную магнитную систему стабилизации рассчитать с учетом не только моментов, возникающих из-за отклонения от силовых линий, но и моментов, зависящих от производных отклонения, т.е. демпфирующих моментов. Последний факт приобретает очень важное значение, так как спутники практически не имеют естественного демпфирования. Демпфирование может быть получено путем использования гистерезисных потерь энергии в специальных ферромагнитных стержнях.

В пассивных магнитных системах стабилизации демпфирование угловых колебаний спутника осуществляется главным образом за счет использования гистерезисного перемагничивания в стержнях из специальных магнитных материалов с высокой магнитной проницаемостью. Их действие основано на том, что колебания спутника уменьшаются в результате потерь энергии на гистерезис. Потери энергии пропорциональны площади, расположенной внутри замкнутой гистерезисной кривой намагничивания В = f(H) (рис. 1.2.2).

Рисунок 1.2.2. Аппроксимация петли гистерезиса

Так как гистерезисная характеристика неоднозначна, то трудно записать аналитическое выражение для точной временной зависимости демпфированных колебаний. Наличие гистерезисного демпфирования в сочетании с демпфированием, обусловленным вихревыми токами, было подтверждено испытаниями на ряде искусственных спутниках Земли.

Гистерезисные потери энергии максимальны, если намагничивающая сила принимает как положительные, так и отрицательные наибольшие значения. Поэтому демпфирование колебаний будет наиболее эффективным, если стержень с высокой магнитной проницаемостью ориентирован перпендикулярно к силовым линиям, что означает также его перпендикулярность к оси постоянного магнита.

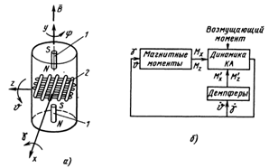
Энергия гистерезисных потерь зависит от величины максимума напряженности поля, материала, геометрических размеров стержней, расположения их относительно друг друга, магнитной проницаемости стержней и, наконец, от магнитных полей, создаваемых различной аппаратурой внутри спутника. Стержни должны быть расположены таким образом, чтобы возникали высокие гистерезисные потери, максимально возможные при движении в геомагнитном поле. С другой стороны, они должны создавать минимум магнитных возмущений внутри спутника. В ряде работ даны результаты теоретических и экспериментальных исследований, позволяющие получать конструкции, отвечающие перечисленным выше требованиям, приводятся аналитические зависимости, при помощи которых можно рассчитать основные параметры стержней с необходимой магнитной проницаемостью. В качестве примера рассмотрим пассивную магнитную систему стабилизации, которая была установлена на спутниках ФРГ. Магнитная система управления положением спутника состоит из двух сильных постоянных магнитов и магнитопроницаемых решеток из демпфирующих стержней, расположенных в экваториальной плоскости спутника, перпендикулярной оси постоянных магнитов (рис. 1.2.3).

Рисунок 1.2.3. Система магнитной стабилизации: a- принципиальная схема; б- функциональная блок-схема

В полете постоянные магниты 1 ориентируются вдоль силовых линий геомагнитного поля, а магнитопроницаемые стержни 2 демпфируют колебания спутника за счет гистерезисы их потерь.

Неоспоримым достоинством пассивных магнитных систем является их конструктивная простота и высокая надежность ввиду отсутствия каких- либо подвижных частей. К их отрицательным качествам следует отнести невысокую точность, большое время входа в рабочий режим и большую массу постоянных магнитов и магнитопроницаемых стержней.[2]

1.3 Структурные и конструктивные схемы магнитная система стабилизация

Самые простые структурные и конструктивные схемы имеют МСС с неуправляемыми МИО. Блок-схема контура управления таких МСС изображена на рис. 1.3.1. Они содержат ориентирующий МИО и какой-либо магнитный демпфер. Последний может быть выполнен в виде набора МИЭ (магнитогистерезисных, токовихревых или комбинированных), в виде сферического или иною магнитного успокоителя (с вязким, сухим либо комбинированным трением). Существует интересная возможность совмещения также функций ориентирующего к демпфирующего МИО в едином устройстве. Конструктивная схема такого устройства показана на рис. 1.3.2.

Рисунок 1.3.1 Блок-схема контура управления магнитной системы стабилизации

Это по существу сферический магнитный успокоитель, дополненный небольшими постоянными магнитами, установленными на его кожухе. Если обычно стремятся разнести ориентирующий МИО и магнитные элементы демпфера с целью исключения взаимного их влияния, то здесь, напротив, неподвижные относительно корпуса магниты устанавливаются вблизи от внутренней сферы успокоителя, обеспечивая упругую связь между корпусом KA и магнитом успокоителя. Как раз эта связь (на рис. 6. 4 она схематически изображена в виде пружины) и обеспечивает ориентирующее действие устройства. При этом, очевидно, достаточно будет совсем небольших неподвижных магнитов, так как в их функцию не входит создание рабочего момента взаимодействия КА с МПЗ. Эта функция выполняется здесь магнитом внутренней сферы. Природа демпфирования в описанном устройстве остается такой же, как и в обычном успокоителе. Заметим, что роль неподвижных магнитов может в принципе выполнять любой источник магнитного поля (электромагнит, катушка).

Рисунок 1.3.2 Схематическое изображение магнитного стабилизирующего устройства

Блок-схема МСС с управляемыми МИО представлена на рис. 1.3.3. Она включает магнитометр в составе трехкомпонентного датчика МД и электронного блока ЭВМ. блоки усиления и преобразования сигнала магнитометра (БСМ) и производной сигнала магнитометра (БПСМ), блок формирования управляющих сигналов МИО (БФУС) и сами МИО. Если управление МИО линейное, то, очевидно, в системе потребуется усиление сигнала по мощности, как и в аналогичных ситуациях в системах разгрузки кинетического момента. Если функция управления МИО выбрана релейной, то вместо усилителей мощности будут необходимы логические элементы. Наибольшую трудность в реализации электронных блоков системы составляет выделение из сигналов магнитометра его производных, чго выполняет блок БПСМ. Блоки БПСМ и БСМ могут быть объединены вместе с ЭБМ.

Рисунок 1.3.3 Блок-схема магнитной системы стабилизации с управляемыми МИО (пунктиром изображено влияние полей МИО на МД)

Различные модификации основной блок-схемы, которая показана на рис. 1.3.3, соответствующие разным законам управления, описанным в разд. 1.3.1, можно получить, пользуясь темн же соображениями, что и в случае построения блок-схем систем разгрузки кинетического момента.[4]

. Трёхосный гироскоп

2.1 Классификация трёхосных гироскопов

В любом известном трехкомпонентном гироскопе можно выделить три существенных признака, необходимых для его нормального функционирования: во-первых, наличие, по крайней мере, одного носителя кинетического момента, во-вторых, колебательное движение полярной оси ротора в инерциальном пространстве, в-третьих, различие параметров движения полярной оси, содержащих информацию о составляющих , подлежащих измерению. По конструктивному выполнению все трехкомпонентные гироскопы подразделяются на ТГ с вращающимся и невращающимся подвесом ротора. Возбудитель колебаний также может быть невращающимся и вращающимся вместе с ротором. В результате любой известный двухкомпонентный гироскоп может быть преобразован в трехкомпонентный, если в нем реализовать три вышеуказанных признака. При этом кинетический момент обеспечивает возможность измерения угловых скоростей  как в двухкомпонентном гироскопе. Колебательное движение полярной оси необходимо для измерения угловой скорости  а различие параметров движения полярной оси позволяет разделить информацию по трем каналам, соответствующим угловым скоростям .

По типу колебательного движения ротора трехкомпонентные гироскопы подразделяются на одночастотные и двухчастотные. Двухчастотное возбуждение колебаний ротора имеет целью повышение точности измерения угловой скорости по сравнению с аналогичными измерениями в гироскопах, использующих одночастотное возбуждение. Информация ТГ об угловых скоростях  поступает с раздельных или совмещенных датчиков угла (ДУ). Разделение сигналов совмещенных ДУ осуществляется по частотному признаку, поэтому частоты колебаний ротора по каналам  различны. Если реакция ТГ в установившемся режиме на постоянную угловую скорость  представляет собой изменение амплитуды возбуждаемых колебаний ротора, то ТГ будем называть амплитудным. Если же ТГ реагирует на постоянную угловую скорость ωх0 изменением частоты (функции частот) возбуждаемых колебаний, то такой ТГ назовем частотным. При этом по традиционным осям чувствительности, соответствующим угловым скоростям , ТГ может быть, как указано во введении, прецессионным, вибрационно-прецессионным или вибрационным. Различие схем преобразования информации в двухкомпонентном и трехкомпонентном гироскопах иллюстрирует рисунок 2.1.1.

Рисунок 2.1.1 Схема преобразования информации: а) двухкомпонентного прецессионного гироскопа; б) трехкомпонентного гироскопа

При формировании сигналов в схеме двухкомпонентного гироскопа (см. рис. 2.2.1а) входные угловые скорости  преобразуются механическим гироскопическим блоком (МГБ) 1 в угловое отклонение  на нулевой частоте (ψ - комплексная координата, vr = 0, t - время).

Используя угол ψ, электрические преобразователи - датчики угла 3, 4 - формируют выходные сигналы U(), U(), зависящие от ω1 и ω2 соответственно. Двухкомпонентный гироскоп не выдает информации об угловой скорости . В схеме формирования информации трехкомпонентного гироскопа (см. рис. 2.2.1б) МГБ 2 преобразует входные угловые скорости  в угловые отклонения , имеющие в общем случае различные частоты νr и фазы ϕr.

За счет различия частот  и фаз ϕr при использовании опорного сигнала Uоп1 электрические преобразователи 3 , 4 , 5 разделяют информацию МГБ 2 по трем каналам с выдачей сигналов U(), U(), U(), обусловленных угловыми скоростями  соответственно. Если МГБ трехкомпонентного гироскопа по экваториальным осям имеет вибрационный выход (реакция на постоянную входную скорость - колебания ротора относительно основания), то при разделении информации по каналам  дополнительно используют опорный сигнал , который, как и сигнал , формируется гироскопическим блоком. Таким образом, за счет увеличения количества частот (r > 1) ТГ выдает сигналы U(), U(), U(), содержащие информацию одновременно о трех взаимно ортогональных составляющих абсолютной угловой скорости основания.

Перейдем к рассмотрению схемы ТГ, обобщающего технические решения с использованием двухколечного ДНГ.[5]

.2 Трёхосный динамически настраиваемый гироскоп

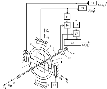
Трехкомпонентный ДНГ (рис. 2.2.1) содержит симметричный ротор 1, укрепленный с помощью наружных торсионов 2, колец 3 и 4, внутренних торсионов 5 на валу 6, установленном на подшипниках в основании 7. Прибор также содержит установленные в основании датчики угла (ДУ) 8, 9, датчики момента (ДМ) 10, 11, генератор опорных сигналов (ГОС) 12, генератор переменного тока (ГПТ) 13, полосовые фильтры (ПФ) 14, 15, умножители 16, 17, сумматор 18, режекторные фильтры (РФ) 19, 20.

Рисунок 2.2.1 Схема трехкомпонентного динамически настраиваемого гироскопа с блоками обработки информации

Выходы ГПТ 13 соединены с входами ДМ 10, 11. Выходы ДУ 8, 9 соединены с входами РФ 19, 20 соответственно, а также через ПФ 14, 15 с первыми входами умножителей 16, 17, вторые входы которых подключены к выходам ГОС 12, выходы блоков 16, 17 соединены с входами сумматора 18.

Вал приведен во вращение относительно основания с постоянной скоростью , называемой скоростью динамической настройки. Двигатель приводного вращения на рисунке не показан. Подачей взаимно ортогональных сигналов частоты  с выходов ГПТ на входы ДМ 10, 11 возбуждают конусообразные колебания полярной оси ротора с амплитудой .

Угловые повороты основания в инерциальном пространстве вокруг экваториальных осей ,  фиксируют по отклонениям основания относительно среднего положения ротора на нулевой частоте (= 0), измеряемым ДУ 8, 9 соответственно. РФ 19, 20 с центральной частотой настройки  не пропускают колебательную составляющую сигналов ДУ частоты  на выход по каналам , .

По третьему каналу  ПФ 14, 15 с центральной частотой  отделяют высокочастотные составляющие сигналов ДУ 8, 9, содержащие информацию об угловой скорости , от низкочастотных составляющих. Выходные сигналы ПФ 14, 15 подают через умножители 16, 17 на входы сумматора 18, на вторые входы умножителей поступают взаимно ортогональные сигналы опорной  с выходов ГОС 12. С выхода сумматора поступает сигнал, содержащий информацию об угловой скорости .

Таким образом, возбуждение ротора осуществляется приведением полярной оси в колебательное движение с единственной частотой .

В качестве информативных параметров использованы:

по осям ,  − амплитуда углового отклонения ротора на нулевой частоте;

по оси  − амплитуда колебаний ротора на частоте  или изменение частоты колебаний  относительно опорной частоты .

Для исключения помех, обусловленных нестабильностью скорости приводного вращения, в приборе применен ГОС 12.[3]

.3 Динамическая модель

Для исследования гироскопа введем в рассмотрение обобщенную динамическую модель, из которой как частные случаи можно получить все известные схемы трехкомпонентных гироскопов.

Динамическая модель (рис. 2.3.1) содержит ротор 1, установленный с помощью наружных торсионов 2, кольца 3 , внутренних торсионов 4 на валу 5, укрепленном на подшипниках в основании 6. Дополнительно в модель введено второе кольцо 7, которое внутренними торсионами 8 соединено с валом, а наружными торсионами 9 с ротором 1, причем оси внутренних (наружных) торсионов колец 3 и 7 взаимно ортогональны. На роторе 1 с помощью подшипников установлен дополнительный ротор 10.

Роторы 1, 10, кольца 3, 7 имеют произвольные эллипсоиды моментов инерции. Соответственно роторам 1, 10 в основании укреплены датчики угла 11, 12 и датчики момента 13, 14.

Рисунок 2.3.1 Динамическая модель трехкомпонентного гироскопа

Вал 5 вместе с ротором 1 и кольцами приведен во вращение укрепленным в основании первым двигателем, ротор 10 - вторым двигателем, расположенным в основании либо на роторе 1 (оба двигателя на рисунке 2.3.1 не показаны).

Возбуждение конусообразного движения роторов 1, 10 осуществляют подачей управляющих электрических сигналов в датчики момента 13, 14. Пример такого управления приведен на рисунке 1.3. Датчики угла 11, 12 (см. рис. 2.3.1) измеряют угловые отклонения роторов 1, 10.

Если скорость вращения вала принять равной нулю, что соответствует в динамической модели отсутствию первого двигателя, то получаем схему ТГ с неподвижным подвесом ротора.

В случае отсутствия ротора 10 и второго двигателя приходим к схеме ТГ на основе ДНГ с двухколечным вращающимся подвесом.

Введем следующие допущения:

) основание прибора, с которым связана система координат  совершает в инерциальном пространстве только угловое движение, которое полностью определяется произвольно направленным вектором  имеющим на оси  проекции  соответственно;

) центры подвеса колец и роторов находятся в одной точке, лежащей на оси вращения вала, а центры масс колец и роторов совпадают с этой точкой;

) роторы и кольца имеют равные главные экваториальные моменты инерции, а их центробежные моменты инерции относительно осей торсионов равны нулю;

) радиальные и осевые биения вала в опорах исключены;

) скорости вращения вала относительно основания и дополнительного ротора относительно ротора 1 (см. рис. 2.3.1) поддерживаются постоянными;

) упругие торсионы имеют конечные жесткости на кручение только относительно одной из осей, относительно двух других, связанных с упругим элементом, жесткость предполагается достаточно большой, а соответствующие угловые перемещения колец или роторов относительно этих двух осей близки к нулю;

) линейные жесткости упругих торсионов относительно всех осей достаточно велики, а соответствующие линейные смещения колец и роторов малы;

) температура внутри корпуса ТГ в течение всего времени его работы остается постоянной.[5]

.4 Уравнения движения обобщенного трёхосного гироскопа

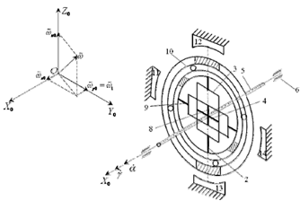
Введем в рассмотрение системы координат XвYвZв , Xк1Yк1Zк1, Xк2Yк2Zк2, XYZ, XgYgZg (рис. 2.4.1), соответственно связанные с валом, кольцами 3, 7 и роторами 1, 10 (см. рис. 2.3.1).

Обозначим: α - угол поворота вала относительно основания гироскопа;

β1, θ2 - углы поворота колец 3, 7 относительно вала;

θ1, β2 - углы поворота ротора 1 относительно колец 3, 7 соответственно; γ - угол поворота ротора 10 относительно ротора 1;

относительные угловые скорости вала, колец и роторов 1,10.

Jx, Jy, Jz, Jxg, Jyg, Jzg, Jxk1, Jyk1, Jzk1, Jxk2, Jyk2, Jzk2 - осевые моменты инерции роторов 1, 10 и колец относительно связанных с ними осей соответственно;, K2 - коэффициенты удельной статической жесткости торсионов относительно двух взаимно ортогональных направлений подвеса ротора 1 на валу;- коэффициент внутреннего трения (деформация кручения) по осям ОY и OZ;

χ - коэффициент внешнего трения (деформация кручения) по осям ОY и OZ;

ωх, ωy, ωz, ωхg, ωyg, ωzg, ωхk1, ωyk1, ωzk1, ωхk2, ωyk2, ωzk2 - проекции абсолютной угловой скорости роторов и колец на соответствующие оси.

Рисунок 2.4.1 Системы координат для вывода уравнений движения ТГ:

а) системы, связанные с ротором 1, кольцами, основанием; б) системы, связанные с роторами

Для получения дифференциальных уравнений движения относительно входных и выходных координат необходимо найти проекции абсолютных угловых скоростей элементов гироскопа на связанные с ними оси.

Из рассмотрения рисунка 2.4.1а) следует, что положение системы координат, связанной с ротором, зависит от последовательности поворотов элементов подвеса: при первой последовательности поворотов () ротор занимает положение, определяемое системой координат Xр1, Yр1, Zр1, при второй последовательности поворотов (θ2, β2) ротор занимает положение, определяемое системой координат Xр2, Yр2, Zр2. Поскольку системы координат Xр1, Yр1, Zр1 и Xр2, Yр2, Zр2 не совпадают, а ротор как абсолютно твердое тело может занимать только единственное положение, то становится очевидным, что для совпадения систем координат Xр1, Yр1, Zр1 и Xр2, Yр2, Zр2 необходимо, чтобы упругие элементы имели конечную жесткость на изгиб относительно нерабочих осей вокруг оси X. Так как угол μ взаимного поворота систем координат Xр1, Yр1, Zр1 и Xр2, Yр2, Zр2 не превышает практически нескольких единиц угловых секунд, то будем пренебрегать этим углом и соответствующим ему незначительным изменением жесткости вокруг нерабочих осей.

В результате будем полагать:

 .

При этих допущениях проекции угловых скоростей колец гироскопа в проекциях на их собственные оси Xk1, Yk1, Zk1, Xk2, Yk2, Zk2:


Аналогично получаем угловые скорости роторов в проекциях на оси XYZ и XgYgZg соответственно:


Имея ввиду использование уравнений Лагранжа второго рода для вывода уравнений движения ТГ, запишем выражение для кинетической энергии системы "роторы + кольца":


Потенциальная энергия системы "роторы + кольца" (в предположении идеальности подшипников вала и дополнительного ротора):


Диссипативная функция системы:


Моменты, возбуждающие конусообразное движение роторов, представим в виде:


где M1, M2 - функции частот νi (i ≥ 1), координат β, θ угловых скоростей,  времени t.

Для упрощения дальнейших выкладок учтем, что скорости приводного вращения  предполагаются постоянными (это возможно, если собственная частота системы регулирования скоростей  значительно превышает максимальную частоту возмущений, возникающих относительно осей вращения вала и дополнительного ротора, а мощности приводных двигателей достаточно для парирования любых возмущающих моментов вокруг этих осей). Таким образом, движение системы "роторы + кольца " по координатам  определено.

Перейдем к выводу уравнений движения системы относительно двух других координат β и θ.

Подставляя (2.5),(2,6),(2.7),(2.8) в уравнения Лагранжа второго рода


и полагая обобщенные силы Q1 = Q2 = , получаем систему уравнений, описывающих движение роторов трехкомпонентного гироскопа во вращающейся с валом системе координат:


где l = X, Y, Xg, Yg, Zg; h = X, Y, Xg, Yg, Zg; b = Z, Yg, Zg; ωхk1, ωyk1, ωzk1, ωхk2, ωyk2, ωzk2, ωх, ωy, ωz, ωхg, ωyg, ωzg определены выражениями (2.1),(2.2),(2.3),(2.4).

Как отмечено все ТГ подразделяются на гироскопы с вращающимся и невращающимся подвесами роторов.

Рассмотрим поведение ТГ с вращающимся подвесом, полагая Jxg=Jyg=Jzg=0, что соответствует отсутствию ротора 10 в модели на рисунке 2.4.1.[3]

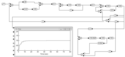
. Реализация передаточной функции для гироскопа в программной среде VisSim[8]

Рисунок 3.1 Реализация передаточной функции для гироскопа в программной среде VisSim

Рисунок 3.2 График передаточной функции

. Экономическая часть

4.1 Таро ZYX трехосный гироскоп для R / C Вертолет[6]


Технические характеристики:

Цена: 59.70 US$;

Материал: пластик ;

Совместимые устройства: R / C вертолетов;

Размеры: 3,8 см х 2,5 см х 1,2 см;

Вес: 10.6g (не включая подключение линии и разъем);

Рабочее напряжение: DC 3,5V ~ 9V;

Рабочий ток: 60mA;

Температура окружающей среды: -15 по Цельсию ~ 65 по Цельсию;

Максимальная угловая скорость: 800 градусов / сек;

Поддержка сервопривод руля: 1.52ms аналоговый сервопривод, 1.52ms цифровые сервоприводы, 760us цифровые сервоприводы, 960us цифровой сервопривод;

- Поддержка перекоса сервоприводов: 1.52ms аналоговый сервопривод, 1.52ms цифровой сервопривод;

Поддержка устройством дистанционного управления: PPM, PCM, 2.4G;

Поддержка Multi - лопастей ротора Система руководитель ;

Размеры: 1,46 х 0,98 х 0,51 в (3,7 см х 2,5 см х 1,3 см); -Вес: 0,39 унции

4.2 S-БАР трехосный гироскоп Установка набор карт для 200-800 Уровень Flybarless Вертоле


Технические характеристики:

Цена: 65,71 US;

Рабочее напряжение: DC 3.5 ~ 9В;

Рабочий ток: 60 мА;

Рабочая температура:-15'C ~ 70'C;

Максимальная угловая скорость: 900 градусов / сек;

Поддержка хвост сервопривода: 1.52ms аналоговый сервопривод, 1.52ms цифровые сервоприводы, 760us цифровая серворуль, 960us цифровые сервоприводы;

Поддержка автомата перекоса Сервоприводы: 1.52ms аналоговый серво, 1.52ms цифровые сервоприводы;

Поддержка устройство дистанционного управления: PPM, PCM, 2,4;

Поддержка обновления прошивки DSM2, DSM-X подключения спутникового ресивера;

Futaba S-Bus приемник одного -проводной подключения;

Поддержка 200-800 уровень Flybarless вертолет, построенный высокопроизводительный трехосный гироскоп MEMS.

4.3 Выводы по экономической части

Сравнивая технические характеристики и цену за товар двух трехосных гироскопов Таро ZYX и S-БАР я пришел к выводу, что для нас боле подходит S-БАР, т.к. S-БАР трехосного гироскопа больше максимальная угловая скорость и рабочая температура. Но стоит чуть дороже чем Таро ZYX.

Заключение

В ходе выполнения данной курсовой работы было рассмотрено сущность и принцип действия трехосного гироскопа и магнитные системы стабилизации. Их классификация, математическое описание, физические принципы.

Приведено уравнения движения обобщенного трехосного гироскопа. их структурные и конструктивные схемы магнитных системы.

Была также рассмотрена экономическая часть при сравнении характеристик двух трёхосных гироскопов и их цен, то дало нам сопоставить их плюсы и минусы, опираясь на аналитическое мышление. И мы ознакомились с разными видами трехосных гироскопов, их предназначения и цены.

Был реализован передаточной функции гироскопа в программной среде VisSim. И был праведен график передаточной функции.

Список литературы

.        А.П.Коваленко, Магнитные системы управления космическими летательными аппаратами, 1975г.

.        Попов В.И. Системы ориентации и стабилизации космических аппаратов. (Изд. 2е) Москва, Машиностроение ,1986г.

.        В.Б.Белугин, А.Н.Лысов, Трехкомпонентные гироскопы: учебное пособие, Челябинск, Издательский центр ЮУрГУ, 2009г.

.        Куприянова Н.В., Овчинников М.Ю., Пеньков В.И., Селиванова А.С., Пассивная магнитная система ориентации первого Российского наноспутника ТНС-0, Москва, 2005г.

.        Д.С.Пельпор, И.А.Михалев, В.А.Бауман, Гироскопические приборы и устройства, Высш. шк., 1988г

.        Сайт: http://www.dx.com/ru/p/tarot-zyx-three-axis-gyro-for-r-c-helicopter-black-silver-190452#.U06wOj1-3xw

.        Сайт: http://www.dx.com/ru/p/s-bar-three-axis-gyro-setting-card-set-for-200-800-level-flybarless-helicopter-black-303354#.U06wMz1-3xw

.        Сайт: http://lib.znate.ru/docs/index-195657.html

Похожие работы на - Магнитные системы стабилизации. Трёхосный гироскоп

 

Не нашли материал для своей работы?
Поможем написать уникальную работу
Без плагиата!
Без нейросетей!