Комплексная оптимизация режима и оценивание состояния ЭЭС
Министерство
образования и науки Российской Федерации
ФГАОУ ВПО
«УрФУ имени первого Президента России Б.Н.Ельцина»
Уральский
энергетический институт
Кафедра
«Автоматизированные электрические системы»
Курсовой
проект
по
дисциплине: Специальные вопросы ЭЭС
тема:
Комплексная оптимизация режима и оценивание состояния ЭЭС
Екатеринбург,
2013
Часть I. Прогнозирование электропотребления
1. На основании максимального электропотребления
построить статистический ряд
из восьми недельных
электропотреблений, предшествующих неделе, на которую приходится прогнозируемая
дата.
. Выполнить прогноз недельного электропотребления методом наименьших
квадратов на основе моделей:
а) линейной:
;
б) синусоидальной:
.
Обосновать достоверность моделей и выбрать лучшую из них. По выбранной
модели определить прогнозное значение
. Обе модели отобразить графически.
3. Зная день недели и час суток, определить прогнозное значение суммарной
мощности нагрузки ЭЭС:
.
Здесь
определяется из суточного графика (см. п. III исходных
данных).
4. Принимая потери в сети равными 5 % от
, рассчитать среднюю суммарную
генерируемую мощность на планируемый час
.
Часть II. Оптимизация режима
1. Распределить активную нагрузку
между станциями (
,
,
) без коррекции потерь мощности по
равенству относительных приростов расхода топлива:
а) графическим методом;
б) то же аналитически.
2. Построить суточные графики
и определить суточную потребность
станций в топливе (уголь, зольность 30 %). Принять для всех интервалов времени
допущение:
. Балансирующая станция выполняет функцию частотнорегулирующей.
3. Принимая
, распределить реактивную мощность
между источниками, т.е. найти
,
,
, определить долю потерь мощности в
процентах
.
. Рассчитать электрический режим по коэффициентам
токораспределения.
. Решить «задачу Q»: найти оптимальные значения
,
,
из условия минимума потерь активной
мощности (используя
,
,
), определить значение
.
. Решить «задачу P» для заданного интервала времени с уточнённым
значением потерь мощности:
а) графическим методом с учётом поправки на потери (
);
б) то же аналитически;
в) то же графически с учётом ограничений на располагаемую
генерируемую мощность:
,
.
Построить суточные графики
, используя данные пункта 2.
7. Результаты оптимизации по активной мощности всеми рассмотренными
способами (пункты 1а, 1б, 6а, 6б, 6в) свести в таблицу вида:
|
Метод расчёта
|
Р1, МВт
|
Р2, МВт
|
Рб, МВт
|
РГ∑, МВт
|
В∑, т.у.т.
|
|
|
|
|
|
|
Часть III. Комплексная оптимизация режима ЭЭС с учетом технологических ограничений
методами нелинейного программирования
. Решить «задачу P»
для заданного интервала времени без ограничений:
а) Градиентным методом с оптимальным шагом (2 итерации).
б) Покоординатным методом (2 итерационных цикла).
в)
Обобщенным методом Ньютона, используя производные
и
,
найденные в части II. Отобразить графически получающееся
потокораспределение.
2. Рассчитать оптимальный режим (задача Р) с учетом ограничения по
перетоку в контролируемой линии. В качестве контролируемой линии принять
наиболее загруженную линию в кольцевой части сети, считая, что полученный ранее
переток превышает допустимый предел на 15%. Определить предельный переток
мощности. Оптимизацию выполнить:
а) Заменой переменных.
б) Методом Лагранжа.
Результаты оптимизации по активной мощности всеми рассмотренными методами
(пункты 1, 5а, 5б, 5в из части II,
1а, 1б, 1в, 2а, 2б из части III)
свести в таблицу:
|
№
|
Р1(МВт)
|
Р2(МВт)
|
Рб(МВ)
|
РГ∑ (МВт)
|
В∑ (тут)
|
|
1. 2. …
|
|
|
|
|
|
Часть IV. Оценивание состояния ЭЭС
В качестве исходных данных используются мощности станций и нагрузок из
пункта 1в части III (обобщенный
метод Ньютона).
Генерируемая
мощность рассматривается как телеизмерение (ТИ), нагрузки узлов - как
псевдоизмерения (ПИ). Для определения дополнительных (избыточных) телеизмерений
найти наиболее загруженную электропередачу и поток в ней обозначить как Рx. Место телеизмерения
показано на рисунке, отображающем конфигурацию сети
(п. IV исходных данных) знаком V.Далее
принять в качестве ТИ:
,
Выполнить оценивание состояния ЭЭС по упрощенным (раздельным) моделям для
активной и реактивной мощности из условия, что доверие к ТИ вдвое выше, чем
доверие к ПИ. Отобразить графически результаты ОС.
Реферат
Данная курсовая работа состоит из четырех частей: прогнозирования,
оптимизации, комплексной оптимизации режима ЭЭС с учетом технологических
ограничений методами нелинейного программирования и оценивания состояния.
В первой части были решены следующие вопросы:
Строится статистический ряд предшествующих недельных электропотреблений.
На основании построенного ряда прогнозируется недельное электропотребление
методом наименьших квадратов, на основании линейной и синусоидальной модели.
Обосновывается достоверность одной из моделей по критерию минимума
среднеквадратичного отклонения.
Для заданного дня недели и часа определяется прогнозное значение
генерируемой мощности ЭЭС. С учетом потерь рассчитывается суммарная нагрузка
потребителей.
Во второй части производится распределение прогнозной нагрузки между
станциями.
Были решены следующие задачи:
Задача Р решается аналитическим и графическим методами с без учета
поправки на потери и с учетом ограничения;
Задача Q решается из условия минимальных
потерь активной мощности;
Задача Р решается аналитическим и графическим методами с учетом поправки
на потери и ограничения;
Расчет электрического режима на базе полученного распределения мощности
по станциям.
В третьей части производится распределение прогнозной нагрузки между
станциями методами нелинейного программирования.
Были решены следующие задачи:
Задача Р решается несколькими методами, без ограничений:
графическим методом;
градиентным методом с оптимальным шагом;
покоординатным методом;
обобщенным методом Ньютона;
Приняв переток мощности в контролируемой линии на 15% выше допустимого,
находится оптимальный режим следующими методами:
заменой переменных;
методом Лагранжа.
В четвертой части в качестве исходных данных используется электрический
режим (потоки мощности, напряжения) и распределение нагрузки и генерируемой
мощности из третей части (обобщенного метода Ньютона).
Генерируемая мощность рассматривается как телеизмерение (ТИ), нагрузки
узлов, генерация линий и потери как псевдоизмерения (ПИ).
Введение
Данный курсовой проект формирует представление о принципах решения
важнейших задач автоматизированных систем управления (далее АСДУ) энергосистем,
таких как: планирование, оптимизация режима ЭЭС и оценивание состояния.
Известно, что для поддержания частоты 50 Гц в любой момент времени
необходимо соблюдать баланс между генерируемой и потребляемой мощностью. В
связи с этим одной из первых задач АСДУ энергосистемами является
прогнозирование суточных графиков нагрузки по активной и реактивной мощности с
тем, чтобы на основании этого прогноза выполнялось условие баланса.
Задача планирования оптимальной нагрузки станции заключается в
распределении для каждого момента времени суммарной нагрузки системы между
электростанциями. В основу выбора оптимального распределения нагрузки между
электростанциями в монопольной системе управления положен критерий минимума
издержек (затрат) на производство электроэнергии. Если не учитывать разную цену
на топлива на электростанциях, то минимум издержек на производство
электроэнергии сводится к минимизации суммарного расхода топлива на всех
электростанциях с учетом различных ограничений на параметры режима.
Без информации о состоянии объекта управления невозможно ни
автоматическое, ни автоматизированное управление. Сбор информации в ЭЭС
организован через систему телеметрии. Система сбора и передачи телеизмерений
дает информацию с некоторой погрешностью, из-за чего трудно получить
достоверное представление о режиме ЭЭС. Отличие расчетных и фактических
параметров электрического режима может быть столь существенным, что оно не вызывает
доверия. В связи с этим в АСДУ предусматривается система достоверизации
информации, основанная, главным образом, на методах оценивания состояния.
В курсовом проекте рассмотрены все эти задачи АСДУ: прогнозирование,
оптимизация и оценивание состояния режима ЭЭС.
Исходные
данные
В таблицы 1 - 6 занесены исходные данные для проведения расчетов.
Таблица 1 - Исходные данные
|
Схема
|
Подварианты m/n
|
Тип B1
|
Тип B2
|
Тип Bб
|
Прогнозируемый день (дата)/интервал времени
|
, ГВт*час
|
|
|
B
|
2/3
|
1
|
3
|
2
|
30.04.2013/10-11
|
90
|
0,93
|
30.04.2013
- вторник.
=0,156
.04.2013
- 18-я неделя года.
Таблица
2 - Суммарный суточный график электропотребления в %
|
Интервал времени
|
P%
|
Интервал времени
|
P%
|
Интервал времени
|
P%
|
Интервал времени
|
P%
|
|
0-1
|
50
|
6-7
|
55
|
12-13
|
95
|
18-19
|
75
|
|
1-2
|
45
|
7-8
|
60
|
13-14
|
85
|
19-20
|
70
|
|
2-3
|
40
|
8-9
|
65
|
14-15
|
90
|
20-21
|
65
|
|
3-4
|
40
|
9-10
|
75
|
15-16
|
95
|
21-22
|
60
|
|
4-5
|
45
|
10-11
|
85
|
16-17
|
90
|
22-23
|
55
|
|
5-6
|
50
|
11-12
|
100
|
17-18
|
80
|
23-24
|
50
|
На рисунке 1 изображена заданная схема сети.
Рисунок 1 - Заданная схема сети
Таблица 3 - Параметры заданной схемы
|
Номер линии
|
1
|
2
|
3
|
4
|
5
|
|
Длина линии,км
|
80
|
70
|
80
|
90
|
120
|
Для всех линий сети приняты следующие параметры:
Удельные сопротивления
Зарядная
мощность
.
Таблица
4 - Характеристики блоков
|
Тип характеристики
|
, МВт , МВт , т.у.т. , т.у.т. , т.у.т.
|
|
|
|
|
|
1
|
90
|
250
|
36,48
|
69,12
|
112
|
|
2
|
140
|
300
|
56,72
|
105,68
|
170
|
|
3
|
100
|
500
|
36
|
148
|
348
|
В1 - 1; В2 - 3; Вб - 2
Таблица 5 - Долевое (в рамках недели) суточное потребление электроэнергии
|
понедельник
|
вторник
|
среда
|
четверг
|
пятница
|
суббота
|
воскресенье
|
|
     
|
|
|
|
|
|
|
|
0,148
|
0,156
|
0,156
|
0,156
|
0,154
|
0,128
|
0,102
|
Таблица 6 - расположение нагрузки в узлах
|
Узел
|
1
|
2
|
3
|
4
|
Б
|
|
Распределение нагрузки в узлах
|
-
|
20%
|
40%
|
40%
|
-
|
1.
Прогнозирование электропотребления
Статистический ряд Эi из восьми недельных
электропотреблений
На основании недельных энергопотреблений строим статистический ряд из
восьми предшествующих недельных энергопотреблений, которые являются исходными
данными для прогноза и рассчитываются по формуле:
(1.1)
Таблица 1.1 - Недельные электропотребления
|
№ недели
|
10
|
11
|
12
|
13
|
14
|
15
|
16
|
17
|
|
%
|
90,1
|
88,8
|
87,2
|
85,1
|
83,3
|
82,1
|
80,7
|
78,4
|
|
Потребление W, 81,0979,9278,4876,5974,9773,8972,6370,56
|
|
|
|
|
|
|
|
|
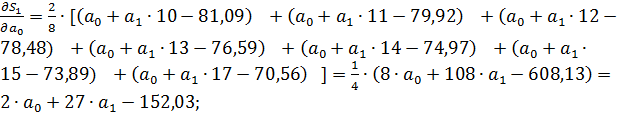
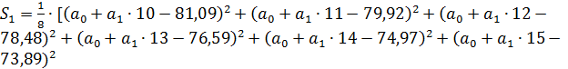
Прогноз недельного электропотребления методом наименьших
квадратов
А) Линейная модель
Предположим, что тренд
описывается линейной зависимостью:
, (1.2)
где
и
- искомые коэффициенты (параметры
уравнения);
n -
независимая переменная (неделя).
Минимум функции отыскивается путем нахождения наименьшего (желательно
нулевого) значения суммы квадратов отклонения:
(1.3)
Для интервала от 10 до 17 недели выражение будет иметь вид:
Условием минимума функции суммы квадратов невязок - равенство нулю
частных производных:
Частные производные:
Тогда систему уравнения можно записать как:
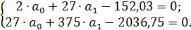
Методом подстановки находим:
В таком случае сумма квадратов невязок по формуле
Среднее значение на ретроспективном интервале:
В таком случае дисперсия:
Ввиду того, что критерий S1
< 0,5D выполняется (
, то данная модель прогнозирования
для данного ретроспективного интервала допустима.
Таким образом, уравнение линейного тренда имеет вид
где n - абсолютный номер недели.
По полученному тренду найдем электропотребление с 10 по 18 неделю.
Результаты расчетов по линейной модели представим в виде таблицы 1.2.
Таблица 1.2 - Результаты расчетов по линейной модели
|
Номер недели
|
10
|
11
|
12
|
13
|
14
|
15
|
16
|
17
|
18
|
|
Эn,%
|
90,1
|
88,8
|
87,2
|
85,1
|
83,3
|
82,1
|
80,7
|
78,4
|
76,9
|
|
Эпотр.факт,ГВт*час
|
81,09
|
79,92
|
78,48
|
76,59
|
74,97
|
73,89
|
72,63
|
70,56
|
69,21
|
|
Элин.тренд,ГВт*час
|
81,23
|
79,74
|
78,25
|
76,76
|
75,27
|
73,78
|
72,29
|
70,80
|
69,31
|
Графическое изображение тренда представлено на рисунке 1.1.
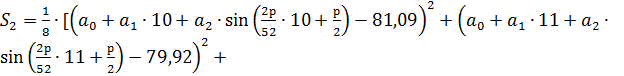
Б) Синусоидальная модель
Предположим, что тренд
описывается синусоидальной зависимостью:
где
и
- искомые коэффициенты (параметры
уравнения);
n -
независимая переменная (абсолютный номер недели).
Минимум функции отыскивается путем нахождения наименьшего (желательно
нулевого) значения суммы квадратов отклонения:
Для интервала от 10 до 17 недели выражение будет иметь вид:

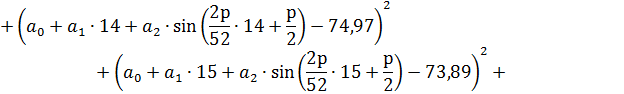
Условием минимума функции суммы квадратов невязок - равенство нулю
частных производных:
Тогда систему уравнения можно записать как:
Решая эту систему в Excel,
получаем следующее:
В таком случае сумма квадратов невязок:
Ввиду того, что критерий S2
< 0,5D выполняется (
, то данная модель прогнозирования
для данного ретроспективного интервала допустима.
Таким образом, уравнение синусоидального тренда имеет вид
По полученному тренду найдем электропотребление с 10 по 18 неделю.
Результаты расчетов по линейной модели представим в виде таблицы 1.3
Таблица 1.3 - Результаты расчетов по линейной модели
|
Номер недели
|
10
|
11
|
12
|
13
|
14
|
15
|
16
|
17
|
18
|
|
Эn,%
|
90,1
|
88,8
|
87,2
|
85,1
|
83,3
|
82,1
|
80,7
|
78,4
|
76,9
|
|
Эпотр.факт,ГВт*час
|
81,09
|
79,92
|
78,48
|
76,59
|
74,97
|
73,89
|
72,63
|
70,56
|
69,21
|
|
Эсинус.тр.,ГВт*час
|
81,25
|
79,80
|
78,28
|
76,72
|
75,16
|
73,64
|
72,19
|
70,85
|
69,28
|
Графическое изображение тренда представлено на рисунке 1.1.
Рисунок 1.1 - Графики недельного электропотребления и линии тренда
Оба тренда достоверны. Ввиду меньшего значения суммы квадратов отклонений
лучше описывает статистический ряд на рассматриваемом интервале вторая модель,
однако разница минимальна, поэтому может быть принята любая из рассмотренных
моделей для прогнозирования нагрузки на 18 неделе. Для дальнейших расчетов
принята первая, линейная модель.
По данному тренду прогнозируемое недельное электропотребление составляет
Прогнозное значение суммарной мощности нагрузки ЭЭС
Прогнозирование электропотребления на 30.04.2013 (вторник) 10:00-11:00.
Определяется как:
,
где
- долевое суточное потребление электроэнергии;
- долевое часовое потребление электроэнергии, определяется из
суточного графика (см. табл. 2), для 10-11 ч:
Прогнозное значение суммарной мощности нагрузки ЭЭС:
Средняя
суммарная мощность на планируемый час (потери в сети - 5% от
):
2.
Оптимизация
.1
Распределение нагрузки
без коррекции потерь мощности по равенству ОПРТ
Конфигурация сети представлена на рисунке 2.1.
Рисунок 2.1 - Конфигурация сети
Сопротивление линий:

Зарядная мощность:
Найдем характеристики удельного расхода топлива.
Генерирующими узлами являются узлы 1, 2 и Б. Зная диапазон допустимых
мощностей этих узлов, находим Pcр
для каждой станции как среднеарифметическое значение.
Для начала найдем аналитическое выражение расходных характеристик В1,
В2, Вб.
Известно,
что зависимости В(Р) имеют вид параболы, т.е.
.
Для определения параметров a, b, c достаточно знать три точки на расходной
характеристике, данные представлены в таблице 2.1.
Таблица
2.1- Характеристики блоков
|
Pmin
|
Bmin
|
Pср
|
Bср
|
Pmax
|
Bmax
|
|
B1
|
90
|
36.48
|
170
|
69.12
|
250
|
112
|
|
B2
|
100
|
36
|
300
|
148
|
500
|
348
|
|
Bб
|
140
|
56.72
|
220
|
105.68
|
300
|
170
|
Для каждой станции составляем систему из 3 уравнений (функция расхода
топлива). Полученные системы 2.1, 2.3, 2.5 решаем в матричном виде.
а)
Решив
систему линейных уравнений, получаем:
a1 = 0,0008; b1 = 0,2; c1 = 12.
Таким образом, получили коэффициенты расходной характеристики a, b и c.
Тогда для первой станции получим выражение расходной характеристики топлива:
(2.2)
Аналогично
находим расходные характеристики для второй и балансирующей станций.
б)
Решив
систему линейных уравнений, получаем:
a2 = 0,0011; b2 = 0,12; c2 = 13.
Таким образом, получим выражение расходной характеристики топлива для
второй станции:
. (2.4)
в)
(2.5)
электропотребление оптимизация токораспределение нагрузка
Решив систему линейных уравнений, получаем:
aб = 0,0012; bб = 0,18; cб = 8.
Таким образом, получим выражение расходной характеристики топлива
частотоведущей станции:
. (2.6)
Найдем относительный прирост расхода топлива для каждой станции:
(2.7)
А)
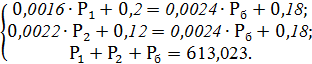
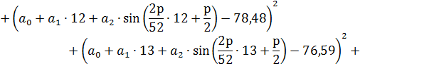
Графический метод
Распределим
активную нагрузку
МВт по критерию равенства относительных
приростов (без коррекции потерь мощности)
.
Баланс мощностей выглядит так: P1 + P2 + Pб = Рн2 + Рн3 + Рн4 +
ΔР, ΔР = const,
P1
+ P2 + Pб = 613,023 МВт.
Для
этого на графике
определяем относительный прирост расхода топлива,
соответствующий
МВт, и проводим через эту точку прямую,
параллельную оси абсцисс. Полученные результаты распределения мощности в узлах
1, 2 и Б соответствуют допустимым диапазонам работы
.
Таким образом, получим распределение нагрузки:
Результаты
расчета отображены в приложении А.
Исходя из этого, расход топлива в течение 10-11 часа
рассматриваемых суток:
Б) Аналитический метод
Распределение мощности генерации по электрическим станциям производится с
учетом баланса мощностей, а экономичным считается режим, когда относительные
приросты потерь равны (
):
Полученные результаты распределения мощности в узлах 1, 2 и Б
соответствуют допустимым диапазонам работы
:
Исходя из этого, расход топлива в течение 10-11 часа
рассматриваемых суток:
2.2
Определение суточного расхода топлива электрических станций
Суточное распределение мощности по станциям (при отсутствии предела по
мощности в балансирующем узле) в остальные интервалы времени производится с
использованием программы Excel.
Расчет распределения нагрузки между станциями для каждого часа с учетом
ограничений производим аналитическим методом, используя систему линейных
уравнений
где
Рч - энергия, производимая 3-мя станциями в каждый конкретный час.
Результаты
расчетов для остальных интервалов сведены в таблицу 2.2.1
Таблица
2.2.1 - Распределение нагрузки между станциями
|
Интервал
|
P,%
|
PƩ, МВТ
|
Р1,МВт
|
Р2,МВт
|
Рб,МВт
|
|
1
|
50
|
360,60
|
131,96
|
132,33
|
96,31
|
|
2
|
45
|
324,54
|
116,90
|
121,38
|
86,26
|
|
3
|
40
|
288,48
|
101,83
|
110,42
|
76,22
|
|
4
|
40
|
288,48
|
101,83
|
110,42
|
76,22
|
|
5
|
45
|
324,54
|
116,90
|
121,38
|
86,26
|
|
6
|
50
|
360,60
|
131,96
|
132,33
|
96,31
|
|
7
|
55
|
396,66
|
147,02
|
143,29
|
106,35
|
|
8
|
60
|
432,72
|
162,09
|
154,24
|
116,39
|
|
9
|
65
|
468,78
|
177,15
|
165,20
|
126,43
|
|
10
|
75
|
540,90
|
207,27
|
187,11
|
146,52
|
|
11
|
85
|
613,02
|
237,40
|
209,02
|
166,60
|
|
12
|
100
|
721,20
|
250,00
|
258,89
|
212,31
|
|
13
|
95
|
685,14
|
250,00
|
240,07
|
195,07
|
|
14
|
85
|
613,02
|
237,40
|
209,02
|
166,60
|
|
15
|
90
|
649,08
|
250,00
|
221,26
|
177,82
|
|
16
|
95
|
685,14
|
250,00
|
240,07
|
195,07
|
|
17
|
90
|
649,08
|
250,00
|
221,26
|
177,82
|
|
18
|
80
|
576,96
|
222,34
|
198,06
|
156,56
|
|
19
|
75
|
540,90
|
207,27
|
187,11
|
146,52
|
|
20
|
70
|
504,84
|
192,21
|
176,15
|
136,47
|
|
21
|
65
|
468,78
|
177,15
|
165,20
|
126,43
|
|
22
|
60
|
432,72
|
162,09
|
154,24
|
116,39
|
|
23
|
55
|
396,66
|
147,02
|
143,29
|
106,35
|
|
24
|
50
|
360,60
|
131,96
|
132,33
|
96,31
|
Суточные графики для трех станций изображены на рисунках 2.2.1 - 2.2.3.
Рисунок 2.2.1 - Суточный график для первой станции
Рисунок 2.2.2 - Суточный график для второй станции
Рисунок 2.2.3 - Суточный график для балансирующей станции
Для
каждого интервала времени для каждой станции определим
с учетом зольности (30%).
Например,
для интервала 10-11 для первой станции:
т.у.т.
Аналогично
определяем
для других станций и всех временных интервалов.
Результаты расчета сведены в таблицу 2.2.2
Таблица
2.2.2 - Суточная потребность станций в топливе
|
Интервал
|
PƩ, МВТ
|
Р1,МВт
|
Р2,МВт
|
Рб,МВт
|
B1, т.у.т.
|
В2, т.у.т.
|
Вб, т.у.т.
|
|
1
|
50
|
360,60
|
131,96
|
132,33
|
96,31
|
68,02
|
62,59
|
47,40
|
|
2
|
45
|
324,54
|
116,90
|
121,38
|
86,26
|
60,20
|
56,90
|
42,19
|
|
3
|
40
|
288,48
|
101,83
|
110,42
|
76,22
|
52,86
|
51,56
|
37,30
|
|
4
|
40
|
288,48
|
101,83
|
110,42
|
76,22
|
52,86
|
51,56
|
37,30
|
|
5
|
45
|
324,54
|
116,90
|
121,38
|
86,26
|
60,20
|
56,90
|
42,19
|
|
6
|
50
|
360,60
|
131,96
|
132,33
|
96,31
|
68,02
|
62,59
|
47,40
|
|
7
|
55
|
396,66
|
147,02
|
143,29
|
106,35
|
76,31
|
68,61
|
52,93
|
|
8
|
60
|
432,72
|
162,09
|
154,24
|
116,39
|
85,06
|
74,98
|
58,77
|
|
9
|
65
|
468,78
|
177,15
|
165,20
|
126,43
|
94,30
|
81,70
|
64,92
|
|
10
|
75
|
540,90
|
207,27
|
187,11
|
146,52
|
114,17
|
96,15
|
78,17
|
|
11
|
85
|
613,02
|
237,40
|
209,02
|
166,60
|
135,94
|
111,98
|
92,68
|
|
12
|
100
|
721,20
|
250,00
|
258,89
|
212,31
|
145,60
|
153,13
|
130,40
|
|
13
|
95
|
685,14
|
250,00
|
240,07
|
195,07
|
145,60
|
136,77
|
115,41
|
|
14
|
85
|
613,02
|
237,40
|
209,02
|
166,60
|
135,94
|
111,98
|
92,68
|
|
15
|
90
|
649,08
|
250,00
|
221,26
|
177,82
|
145,60
|
121,42
|
101,34
|
|
16
|
95
|
685,14
|
250,00
|
240,07
|
195,07
|
145,60
|
136,77
|
115,41
|
|
17
|
90
|
649,08
|
250,00
|
221,26
|
177,82
|
145,60
|
121,42
|
101,34
|
|
18
|
80
|
576,96
|
222,34
|
198,06
|
156,56
|
124,82
|
103,90
|
85,27
|
|
19
|
75
|
540,90
|
207,27
|
187,11
|
146,52
|
114,17
|
96,15
|
78,17
|
|
20
|
70
|
504,84
|
192,21
|
176,15
|
136,47
|
104,00
|
88,75
|
71,39
|
|
21
|
65
|
468,78
|
177,15
|
165,20
|
126,43
|
94,30
|
81,70
|
64,92
|
|
22
|
60
|
432,72
|
162,09
|
154,24
|
116,39
|
85,06
|
74,98
|
58,77
|
|
23
|
55
|
396,66
|
147,02
|
143,29
|
106,35
|
76,31
|
68,61
|
52,93
|
|
24
|
50
|
360,60
|
131,96
|
132,33
|
96,31
|
68,02
|
62,59
|
47,40
|
|
Суммарная потребность в топливе каждой станции
|
2398,56
|
2133,72
|
1716,71
|
|
Общая потребность в топливе 3-х станций
|
6248,98
|
Из таблицы.
Для первой станции в сутки необходимо - 2398,56
т.у.т.
Для второй станции в сутки необходимо - 2133,72
т.у.т.
Для балансирующей станции в сутки необходимо - 1716,71
т.у.т.
Общая потребность в топливе 3 станций - 6248,98 т.у.т.
Суточные графики расхода топлива для трех станций изображены на рисунках
2.2.4 - 2.2.6.
Рисунок 2.2.4 - График расхода топлива для первой станции
Рисунок 2.2.5 - График расхода топлива для второй станции
Рисунок 2.2.6 - График расхода топлива для балансирующей станции
2.3
Распределение реактивной мощности между источниками
Реактивная мощность во всей сети равна
,
где
- прогнозное значение потребления реактивной
мощности в сети;
- потери
реактивной мощности в продольных элементах сети;
- зарядная
мощность линий.
Потери реактивной мощности примем учтенными в виде коэффициента, который
условно принимается равным kq = 0.12.
.
258,43 МВАр.
Найдем зарядную мощность каждой ветви и учтем ее в реактивной нагрузке
узлов (см. начало пункта 2.1).
Суммарная зарядная мощность сети:
Тогда
.
Учитывая баланс реактивной мощности в ЭСС, запишем систему
уравнений:
При допущении, что коэффициент мощности на всех станциях
одинаков, найдем
Тогда
.
Тогда распределение реактивной мощности между источниками:
2.4 Расчет
электрического режима по коэффициентам токораспределения
Поскольку сеть однородная, то расчет удобнее производить по
эквивалентным длинам. На
рисунке 2.4.1 изображена схема сети с условными направлениями токов.
Рисунок 2.4.1 - Схема сети с условно-положительными направлениями токов
Составим матрицу коэффициентов токораспределения. Для этого будем
прикладывать единичный ток к каждому узлу (кроме базисного) по очереди,
«отбрасывая» при этом все остальные нагрузки и генерации (рис. 2.4.2).
Рис. 2.4.2 - Расчет матрицы токораспределения
Если направление тока совпадает с условно положительным
направлением тока, то коэффициент положительный. Если не совпадает, то -
коэффициент отрицательный.
Тогда матрица токораспределения имеет вид:
,
где, например, коэффициент
, учитывающий
распределение тока в первой ветке от первого узла, находим следующим образом:
Умножив матрицу потокораспределения на вектор узловых мощностей, найдем
потокораспределение в сети:
Рисунок 2.4.3 - Потокораспределение активной мощности в сети
2.5
Решение «задачи Q»: оптимизация режима по реактивной мощности из условия минимума потерь
активной мощности
Задача оптимизации по реактивной мощности заключается в минимизации
суммарных потерь активной мощности по энергосистеме. Потери активной мощности
являются функцией как потоков по линиям активной мощности, так и потоков
реактивной мощности. Эта зависимость выражается формулой:
Согласно приведенной выше формуле для оптимизации режима по реактивной
мощности необходимо знать потокораспределение реактивной и активной мощностей
по ветвям. Для этого сначала запишем выражения для реактивной мощности в узлах
с учетом генерации в ЛЭП.
Приведенная реактивная нагрузка узла
определяется по формуле:
где k - количество подходящих
к узлу линий.
Расчеты сведены в таблицу 2.5.1.
Таблица 2.5.1 - Узловая реактивная мощность
|
Узел
|
Б
|
1
|
2
|
3
|
4
|
|
|
17,52*
|
11,68
|
13,4
|
24,09
|
28,47
|
|
|
0
|
0
|
-46,15
|
-92,3
|
-92,3
|
|
|
17,52
|
11,68
|
-33,01
|
-68,21
|
-63,83
|
*Например:
Тогда узловые реактивные мощности равны:
Аналогично п.2.4 найдем распределение реактивной мощности по ветвям:
Тогда можно найти оптимальные значения реактивной мощности на первой и
второй станциях, т.е. такие значения Q1 и Q2, чтобы потери активной мощности в
сети были минимальны. Для этого найдем частные производные, приравняем их к
нулю и из полученных уравнений найдем Q1 и Q2.
Таким образом, получили следующую систему линейных уравнений:
Решая полученную систему в матричном виде, найдем реактивные мощности,
выдаваемые первой и второй станциями.
Q1 =
40,113 МВАр;
Q2 =
77,759 МВАр.
Базисный узел берет на себя весь небаланс сети.
Тогда можно найти распределение реактивной мощности по ветвям:
Рисунок 2.5.1 - Потокораспределение активной и реактивной мощности в сети
В схеме учтены зарядные емкости ЛЭП в каждом узле согласно таблице 2.5.1
Зная потокораспределение в сети, можно найти потери в ЛЭП по формулам:

Расчеты, выполненные в программе Excel, сведены в таблицу
2.5.2.
Таблица 2.5.2 - Потери в сети
|
Ветвь i
|
Ri
|
Xi
|
Pi
|
Qi
|
dPi
|
dQi
|
|
1
|
4,8
|
33,04
|
125,57
|
25,15
|
1,488
|
10,243
|
|
2
|
4,2
|
28,91
|
15,71
|
1,69
|
0,020
|
0,136
|
|
3
|
4,8
|
33,04
|
111,83
|
26,64
|
1,199
|
8,254
|
|
4
|
2,7
|
18,585
|
92,25
|
44,75
|
0,537
|
3,693
|
|
5
|
3,6
|
24,78
|
137,41
|
35,49
|
1,371
|
9,435
|
|
|
|
|
Суммарные потери
|
4,614
|
31,762
|
Определим долю потерь мощности в процентах
:
2.6
Решение «задачи Р»: распределение активной мощности между станциями
А) Графический метод с учетом поправки на потери (σ≠0), но без учета ограничений
мощности (см.
приложение Б)
В подпункте 2.4 были найдены потоки активной мощности по ветвям:
.
Найдем относительный прирост потерь мощности для 1ой и 2ой
станций по формуле:
Тогда поправочные коэффициенты будут равны:
Функции ОПРТ с учетом поправочных коэффициентов:
Построение
графиков аналогично приведенному в подпункте 2.1. Распределим активную нагрузку
МВт (согласно таблице 2.5.2) по
критерию равенства относительных приростов.
Решая графическим способом, получаем следующие значения мощностей:
Исходя из этого, расход топлива в течение 10-11 часа рассматриваемых
суток:
Решение представлено в приложении 2.
Б) Аналитический метод
Оптимальный режим находится из соотношений
Полученные результаты распределения мощности в узлах 1, 2 и Б
соответствуют допустимым диапазонам работы
:
Исходя из этого, расход топлива в течение 10-11 часа рассматриваемых
суток:
В)
Графический метод с учетом поправки на потери (σ≠0) и с учетом ограничений
мощности (см.
приложение Б)
Результаты распределения мощности в узлах 1, 2 и Б, полученные
графическим способом, соответствуют допустимым диапазонам работы
и полностью совпадают с данными из
пункта А:
Исходя из этого, расход топлива в течение 10-11 часа рассматриваемых
суток:
Решение представлено в приложении 2.
Суточное распределение мощности по станциям (при отсутствии предела по
мощности в балансирующем узле) в остальные интервалы времени производится с
использованием программы Excel.
Расчет распределения нагрузки между станциями для каждого часа с учетом
ограничений производим аналитическим методом, используя систему линейных
уравнений (2.16):
где Рч - энергия, производимая 3-мя станциями в каждый конкретный
час.
Результаты расчетов для остальных интервалов сведены в таблицу 2.6.1
Таблица 2.6.1 - Распределение нагрузки между станциями
|
Интервал
|
P,%
|
PƩ, МВТ
|
Р1,МВт
|
Р2,МВт
|
Рб,МВт
|
|
1
|
50
|
346,14
|
124,80
|
129,68
|
91,67
|
|
2
|
45
|
311,53
|
110,40
|
119,06
|
82,07
|
|
3
|
40
|
276,91
|
96,00
|
108,44
|
72,47
|
|
4
|
40
|
276,91
|
96,00
|
108,44
|
72,47
|
|
5
|
45
|
311,53
|
110,40
|
119,06
|
82,07
|
|
6
|
50
|
346,14
|
124,80
|
129,68
|
91,67
|
|
7
|
55
|
380,76
|
139,20
|
140,29
|
101,27
|
|
8
|
60
|
415,37
|
153,60
|
150,91
|
110,86
|
|
9
|
65
|
449,98
|
167,99
|
161,52
|
120,46
|
|
10
|
75
|
519,21
|
196,79
|
182,76
|
139,66
|
|
11
|
85
|
588,44
|
225,59
|
203,99
|
158,86
|
|
12
|
100
|
692,28
|
250,00
|
245,71
|
196,57
|
|
13
|
95
|
657,67
|
250,00
|
227,53
|
180,14
|
|
14
|
85
|
588,44
|
225,59
|
203,99
|
158,86
|
|
15
|
90
|
623,05
|
239,99
|
214,61
|
168,46
|
|
16
|
95
|
657,67
|
250,00
|
227,53
|
180,14
|
|
17
|
90
|
623,05
|
239,99
|
214,61
|
168,46
|
|
18
|
80
|
553,83
|
211,19
|
193,38
|
149,26
|
|
19
|
75
|
519,21
|
196,79
|
182,76
|
139,66
|
|
20
|
70
|
484,60
|
182,39
|
172,14
|
130,06
|
|
21
|
65
|
449,98
|
167,99
|
161,52
|
120,46
|
|
22
|
60
|
415,37
|
153,60
|
150,91
|
110,86
|
|
23
|
55
|
380,76
|
139,20
|
140,29
|
101,27
|
|
24
|
50
|
346,14
|
124,80
|
129,68
|
91,67
|
Суточные графики для трех станций изображены на рисунке 2.6.1.

Рисунок 2.6.1 - Суточный график для станций
Для
каждого интервала времени для каждой станции определим
с учетом зольности (30%).
Например,
для интервала 10-11 для первой станции:
т.у.т.
Аналогично
определяем
для других станций и всех временных интервалов.
Результаты расчета сведены в таблицу 2.6.2.
Таблица 2.6.2 - Суточная потребность станций в топливе
|
Интервал
|
P,%
|
PƩ, МВТ
|
Р1,МВт
|
Р2,МВт
|
Рб,МВт
|
B1, т.у.т.
|
В2, т.у.т.
|
Вб, т.у.т.
|
|
1
|
50
|
346,14
|
124,80
|
129,68
|
91,67
|
64,25
|
61,18
|
44,96
|
|
2
|
45
|
311,53
|
110,40
|
119,06
|
82,07
|
56,98
|
55,74
|
40,11
|
|
3
|
40
|
276,91
|
96,00
|
108,44
|
72,47
|
50,14
|
50,63
|
35,55
|
|
4
|
40
|
276,91
|
96,00
|
108,44
|
72,47
|
50,14
|
50,63
|
35,55
|
|
5
|
45
|
311,53
|
110,40
|
119,06
|
82,07
|
56,98
|
55,74
|
40,11
|
|
6
|
50
|
346,14
|
124,80
|
129,68
|
91,67
|
64,25
|
61,18
|
44,96
|
|
7
|
55
|
380,76
|
139,20
|
140,29
|
101,27
|
71,94
|
66,93
|
50,09
|
|
8
|
60
|
415,37
|
153,60
|
150,91
|
110,86
|
80,07
|
73,01
|
55,52
|
|
9
|
65
|
449,98
|
167,99
|
161,52
|
88,63
|
79,41
|
61,23
|
|
10
|
75
|
519,21
|
196,79
|
182,76
|
139,66
|
107,04
|
93,17
|
73,51
|
|
11
|
85
|
588,44
|
225,59
|
203,99
|
158,86
|
127,18
|
108,23
|
86,94
|
|
12
|
100
|
692,28
|
250,00
|
245,71
|
196,57
|
145,60
|
141,56
|
116,68
|
|
13
|
95
|
657,67
|
250,00
|
227,53
|
180,14
|
145,60
|
126,42
|
103,18
|
|
14
|
85
|
588,44
|
225,59
|
203,99
|
158,86
|
127,18
|
108,23
|
86,94
|
|
15
|
90
|
623,05
|
239,99
|
214,61
|
168,46
|
137,89
|
116,24
|
94,09
|
|
16
|
95
|
657,67
|
250,00
|
227,53
|
180,14
|
145,60
|
126,42
|
103,18
|
|
17
|
90
|
623,05
|
239,99
|
214,61
|
168,46
|
137,89
|
116,24
|
94,09
|
|
18
|
80
|
553,83
|
211,19
|
193,38
|
149,26
|
116,90
|
100,54
|
80,08
|
|
19
|
75
|
519,21
|
196,79
|
182,76
|
139,66
|
107,04
|
93,17
|
73,51
|
|
20
|
70
|
484,60
|
182,39
|
172,14
|
130,06
|
97,62
|
86,13
|
67,22
|
|
21
|
65
|
449,98
|
167,99
|
161,52
|
120,46
|
88,63
|
79,41
|
61,23
|
|
22
|
60
|
415,37
|
153,60
|
150,91
|
110,86
|
80,07
|
73,01
|
55,52
|
|
23
|
55
|
380,76
|
139,20
|
140,29
|
101,27
|
71,94
|
66,93
|
50,09
|
|
24
|
50
|
346,14
|
124,80
|
129,68
|
91,67
|
64,25
|
61,18
|
44,96
|
|
Суммарная потребность в топливе каждой станции
|
2283,82
|
2051,34
|
1599,28
|
|
Общая потребность в топливе 3-х станций
|
5934,44
|
Из таблицы.
Для первой станции в сутки необходимо - 2283,82
т.у.т.
Для второй станции в сутки необходимо - 2051,34
т.у.т.
Для балансирующей станции в сутки необходимо - 1599,28
т.у.т.
Общая потребность в топливе 3 станций - 5934,44 т.у.т.
Суточные графики расхода топлива для трех станций изображены на рисунке
2.6.2.
Рисунок 2.6.2 - График расхода топлива для трех станций
2.7
Итоговое потокораспределение после решения «Задачи Р» и «Задачи Q»
После уточнения активных потерь в сети и нахождения откорректированного
распределения активной мощности по генераторам следует найти итоговое
потокораспределение активной и реактивной мощности по сети. Данные берем из
аналитического метода.
Умножив матрицу потокораспределения на вектор узловых мощностей, найдем
потокораспределение в сети:
Распределение реактивной мощности по ветвям (см. п. 2.5):
.
Рисунок 2.7.1 - Потокораспределение активной и реактивной мощности в сети
В схеме учтены зарядные емкости ЛЭП в каждом узле согласно таблице 2.5.1.
Зная потокораспределение в сети, можно найти потери в ЛЭП по (2.13) и
(2.14).
Расчеты, выполненные в программе Excel, сведены в таблицу
2.7.1.
Таблица 2.7.1 - Потери в сети
|
Ветвь,i
|
Ri
|
Xi
|
Pi
|
Qi
|
dPi
|
dQi
|
|
1
|
4,8
|
33,04
|
122,99
|
25,15
|
1,430
|
9,843
|
|
2
|
4,2
|
28,91
|
23,31
|
1,69
|
0,043
|
0,299
|
|
3
|
4,8
|
33,04
|
102,59
|
26,64
|
1,019
|
7,017
|
|
4
|
2,7
|
18,585
|
87,22
|
44,75
|
0,490
|
3,376
|
|
5
|
3,6
|
24,78
|
154,25
|
35,49
|
1,705
|
11,735
|
|
|
|
|
Суммарные потери
|
4,688
|
32,270
|
Определим долю потерь мощности в процентах
:
Результаты оптимизации по активной мощности
Проведем перерасчет потокораспределения в сети с учетом найденного
распределения активной и реактивной мощностей по станциям для расчета
электрического режима работы сети, активные и реактивные потери распределим
поровну по концам линий.
Тогда потокораспределение в сети:
Зная потокораспределение в сети, можно найти потери в ЛЭП по (2.13) и (2.14).
Расчеты, выполненные в программе Excel, сведены в таблицу
2.7.2.
Таблица 2.7.2 - Потери в сети
|
ветвь
|
Ri
|
Xi
|
Pi
|
Qi
|
dPi
|
dQi
|
|
1
|
4,8
|
33,04
|
122,94
|
24,79
|
1,427
|
9,824
|
|
2
|
4,2
|
28,91
|
24,59
|
7,11
|
0,052
|
0,358
|
|
3
|
4,8
|
33,04
|
101,42
|
18,57
|
0,965
|
6,640
|
|
4
|
2,7
|
18,585
|
86,97
|
43,06
|
0,481
|
3,309
|
|
5
|
3,6
|
24,78
|
158,08
|
61,89
|
1,961
|
13,500
|
|
|
|
|
Суммарные потери
|
4,65
|
32,25
|
Определим долю потерь мощности в процентах
:
Как видно, потери в сети практически не изменились, а только
откорректировались на сотые доли процента. Тем самым выполняется распределение
мощности по сети, и разнесение потерь можно признать верным.
Это значит, что распределение активной и реактивной мощности было
выполнено оптимально после решения задачи Р, Q и уточнения потерь в сети, а так же их разноса по концам
ЛЭП. Очевидно, что в случае повторного решения задач P и Q
будут получены новые, более точные значения потерь. Однако согласно
поставленной учебной методике, данные задачи снова решать не надо.
Расчет напряжений в узлах:
в узле 4:
в узле 1:
в узле 3:
- в узле 2:
На рисунке 2.7.2 показано потокораспределение при оптимальных значениях
генерирующих мощностей.
Значение потерь в линиях не нанесено, поскольку они разносятся по узлам
аналогично зарядной мощности в линиях.
Рисунок 2.7.2 - Потокораспределение в сети при значении оптимальных мощностей
станций
2.8
Результаты оптимизации
Таблица 2.8.1 - Результаты оптимизации
|
№ п/п
|
Метод расчета
|
Р1, МВт
|
Р2, МВт
|
РБ, МВт
|
РГƩ,* МВт
|
ВƩ, т.у.т.
|
|
1
|
Графический метод по равенству ОПРТ без учета ограничений**
|
240
|
210
|
163
|
613
|
262,01
|
|
2
|
Аналитический метод по равенству ОПРТ без учета
ограничений**
|
237,4
|
209,02
|
166,6
|
613,2
|
262
|
|
3
|
Графический метод с учётом поправочных коэффициентов без
ограничений
|
230
|
203
|
155
|
588
|
247,74
|
|
4
|
Аналитический метод с учётом поправочных коэффициентов и с
учетом ограничений
|
225,59
|
203,99
|
158,86
|
588,44
|
247,95
|
|
5
|
Графический метод с учётом поправочных коэффициентов и с
учетом ограничений
|
230
|
203
|
588
|
247,74
|
*Суммарная мощность генерации для п/п 1 и 2 принята с учетом суммарной
нагрузки и потерь ΔP = 5%, а для п/п 3-5 - с учетом суммарной нагрузки и реальных
потерь в сети ΔP = 0,79%, полученных в результате оптимизации в п. 2.5.
** Графический и аналитический методы с учетом ограничений не считались и
не отображены на рисунке ввиду того, что мощности всех станций без
корректировки входят в диапазон ограничений соответственно.
3.
Комплексная оптимизация режима ЭЭС с учетом технологических ограничений
методами нелинейного программирования
Нелинейное программирование является разделом
математического программирования, предназначенного для отыскания экстремума
функции (часто называемой целевой функцией - ЦФ) с учетом ограничений как в
форме равенств, так и в форме неравенств. Если хотя бы одна из трех
составляющих - ЦФ, равенства или неравенства - имеет нелинейный характер, то
решается задача нелинейного программирования.
При оптимизации режима ЭЭС в качестве ЦФ выступает
суммарная характеристика расхода топлива. В ходе курсового проекта задача
оптимизации режима ЭЭС была решена различными методами
.1 Решение
задачи P без учета ограничений
Для решения задачи необходимо найти минимальный расход топлива на
станциях, при ограничениях по балансу мощности и перетоку активной мощности в
контролируемой линии.
Минимизируемая функция записывается по следующей формуле:
Целевая функция имеет следующий вид:
, (3.1)
где
- расходные характеристики электростанций
энергосистемы.
При
использовании ограничения в виде баланса мощности переменные разделяются на
зависимые и независимые.
(3.2)
где
- из п. 2.5.
В методе а-б полагаем потери активной мощности постоянными (так как
пересчет режима принесет разницу потерь максимум в 0,1-0,2 МВт, что не является
значительным.
В качестве независимых переменных принимаем P1, P2. Выражение для балансирующей станции
из (3.2) (Рб выражается как зависимая переменная):
Подставляя в (3.1) расходные характеристики и полученное выражение для
мощности базовой станции, получаем следующую целевую функцию:
а)
Решение «задачи P» градиентным методом
Метод заключается в том, чтобы осуществлять оптимизацию в
направлении наискорейшего спуска, а это направление задаётся антиградиентом. Шаг в направлении минимума целевой
функции выполняется по рекуррентному выражению:
где
- направление движения, определяемое по формуле:
(3.4)
- оптимальный шаг, определяемый по формуле:
где
- значение целевой функции в точке начального
приближения;
-
значение целевой функции в точке
(единичный
шаг);
-
значение целевой функции в точке
(двойной
шаг).
При расчете оптимизации режима градиентным методом выполнено две
итерации.
Первая итерация расчета:
Задаем начальные приближения, координаты первой точки:
Значение
целевой функции в точке начального приближения:
Определяем
направление движения, градиент целевой функции будет иметь вид:
При подстановке начальных приближений:
Вектор
приращений переменных
(для получения более оптимальных результатов увеличим
значение градиента):
Значение переменных Р при единичном шаге:
.
Значение целевой функции при единичном шаге:
Функция уменьшается, следовательно, направление выбрано верно.
Значение переменных Р при шаге q=2:
.
Значение целевой функции при двойном шаге:
Определяем оптимальный шаг по (3.5):
Значение мощностей станций на первой итерации:
.
Значение
целевой функции после первой итерации:
Видно, что значение функции уменьшается, следовательно, направление
выбрано правильно.
Вторая итерация расчета:
В качестве начального приближения используются результаты первой
итерации.
При подстановке приближений:
Вектор
приращений переменных
(для получения оптимальных результатов увеличим
значение градиента):
Значение переменных Р при единичном шаге:
.
Значение целевой функции при единичном шаге:
Функция уменьшается, следовательно, направление выбрано верно.
Значение переменных Р при шаге q=2:
.
Значение целевой функции при двойном шаге:
Определяем оптимальный шаг по (3.5):
Значение мощностей станций на второй итерации:
.
Значение
целевой функции после второй итерации:
Видно, что значение функции уменьшается, следовательно, направление
выбрано правильно.
Величина мощности станции, расположенной в базовом узле:
МВт.
б)
Решение «задачи P» методом покоординатного спуска
Метод
покоординатного спуска относится к методам нулевого порядка. Изменение
переменных осуществляется поочередно по каждой из координат.
Полная
итерация состоит из движений по всем имеющимся координатам в направлениях,
задаваемых единичными ортами:
.
Длина
шага определяется аналогично по формуле (3.5).
Проводятся
две итерации методом покоординатного спуска.
Первая итерация расчета:
Начальные приближения аналогичны п. 3.1.а:
Значение целевой функции в точке начального приближения:
Выполняется первый шаг:
Вектор
приращений переменных
:
Значение
переменных Р при единичном шаге:
Значение целевой функции при единичном шаге:
Функция уменьшается, следовательно, направление выбрано верно.
Значение переменных Р при шаге q=2:
.
Значение целевой функции при двойном шаге:
Определяем оптимальный шаг по (3.5):
Значение мощностей станций на первом шаге:
.
Значение
целевой функции после первого шага первой итерации:
Второй шаг первой итерации:
В качестве начального приближения принимаем результаты первого шага:
Значение целевой функции в точке начального приближения:
Вектор
приращений переменных
:
Значение переменных Р при единичном шаге:
Значение целевой функции при единичном шаге:
Функция уменьшается, следовательно, направление выбрано верно.
Значение переменных Р при шаге q=2:
.
Значение целевой функции при двойном шаге:
Определяем оптимальный шаг по (3.5):
Значение мощностей станций на втором шаге:
.
Значение
целевой функции после второго шага является значением целевой функции после
первой итерации:
Вторая итерация расчета:
В качестве начальных приближений принимаем значения мощностей, полученных
после первой итерации расчета.
Значение целевой функции в точке начального приближения:
Выполняется первый шаг:
Вектор
приращений переменных
:
Значение
переменных Р при единичном шаге:
Значение целевой функции при единичном шаге:
Функция уменьшается, следовательно, направление выбрано верно.
Значение переменных Р при шаге q=2:
.
Значение целевой функции при двойном шаге:
Определяем оптимальный шаг по (3.5):
Значение мощностей станций на первом шаге:
.
Значение
целевой функции после первого шага первой итерации:
Второй шаг второй итерации:
В качестве начального приближения принимаем результаты первого шага:
Значение целевой функции в точке начального приближения:
Вектор
приращений переменных
:
Отрицательный
единичный орт был выбран ввиду предварительной проверки положительного, в
результате чего целевая функция возрастает. Тогда согласно основному принципу
следует менять направление на обратное.
Значение
переменных Р при единичном шаге:
Значение целевой функции при единичном шаге:
Функция уменьшается, следовательно, направление выбрано верно.
Значение переменных Р при шаге q=2:
.
Значение целевой функции при двойном шаге:
Определяем оптимальный шаг по (3.5):
Значение мощностей станций на втором шаге:
.
Значение
целевой функции после второго шага является значением целевой функции после
второй итерации:
Величина мощности станции, расположенной в базовом узле:
МВт.
в)
Решение «задачи P» обобщенным методом Ньютона
Обобщенный
метод Ньютона - это метод поиска минимума целевой функции, основанный на
аппроксимации на каждой итерации реальной целевой функции чисто квадратичной
зависимостью. Последнее соответствует разложению функции F в
ряд Тейлора с сохранением первых трех членов.
Минимизируется
целевая функция:
Общая
формулировка метода Ньютона отражена в следующей формуле:
,
где
- матрица вторых частных производных, называемая
матрицей Гессе;
- вектор
искомых значений;
-
антиградиент целевой функции.
Матрица
Гессе:
.
Выполняется
расчет обобщенным методом Ньютона. Для этого задается вектор начальных значений
и определяется матрица Гессе по формуле (3.7). Вектор начальных приближений
соответствует аналитическому решению «задачи Р» без учета поправок на
потери (см. п. 2.1.б).
Значение целевой функции в точке начального приближения:
Потери
активной мощности не являются константами. Используются производные (ОППМ)
и
,
найденные в пункте 2.6, которые рассчитаны но основе потокораспределение после
решения «предварительной задачи Р» и «задачи Q». Так же при
этом делается допущение, что суммарная мощность нагрузки плюс потери, которые
зависят от ОППМ, на 1 итерации численно равны
МВт
(данные пункта 2.5).
Градиент
целевой функции имеет видъ:
При
подстановке начальных приближений в градиент:
Матрица
Гессе:
При подстановке значений:
При
подстановке в формулу (3.6) полученных значений градиента и матрицы Гессе в
точке Р0 получается следующая система уравнений:
При решении получены значения:
Значения
мощностей:
Величина градиента ЦФ при подстановке полученных значений активной
мощности:
Для
найденного решения градиент целевой функции практически равен нулю,
следовательно, решение было найдено за одну итерацию. Погрешность обусловлена
округлением, особенно от производных (ОППМ)
и
, найденных в разделе 2.
Решение
обобщенным методом Ньютона было найдено за одну итерацию ввиду того, что данный
метод основан на аппроксимации целевой функции квадратичной. Т.к. целевая
функция курсового проекта сама по себе уже является квадратичной, то после 1
итерации решение есть абсолютный экстремум.
Значение целевой функции после 1 итерации:
Величина мощности станции, расположенной в базовом узле:
МВт.
Получены
следующие значения:
Найдем
потокораспределение с данными величинами мощностей.
Умножив матрицу потокораспределения на вектор узловых мощностей, найдем
потокораспределение в сети:
Распределение реактивной мощности по ветвям (см. п. 2.5):
.
Зная потокораспределение в сети, можно найти потери в ЛЭП по (2.13) и
(2.14).
Таблица 3.1 - Потери в сети
|
ветвь
|
Ri
|
Xi
|
Pi
|
Qi
|
dPi
|
dQi
|
|
1
|
4,8
|
33,04
|
123,14
|
25,15
|
1,433
|
9,866
|
|
2
|
4,2
|
28,91
|
23,44
|
1,69
|
0,044
|
0,302
|
|
3
|
4,8
|
33,04
|
102,63
|
26,64
|
1,020
|
7,022
|
|
4
|
2,7
|
18,585
|
86,96
|
44,75
|
0,488
|
3,360
|
|
5
|
3,6
|
24,78
|
154,34
|
35,49
|
1,707
|
11,748
|
|
|
|
|
Суммарные потери
|
4,692
|
32,298
|
Проведем перерасчет потокораспределения в сети с учетом найденного
распределения активной и реактивной мощностей по станциям для расчета
электрического режима работы сети, активные и реактивные потери распределим
поровну по концам линий.
Тогда потокораспределение в сети:
Зная потокораспределение в сети, можно найти потери в ЛЭП по (2.13) и
(2.14).
Расчеты, выполненные в программе Excel, сведены в таблицу 3.2.
Таблица 3.2 - Потери в сети
|
Ветвь,
|
Ri
|
Xi
|
Pi
|
Qi
|
dPi
|
dQi
|
|
1,00
|
4,80
|
33,04
|
123,08
|
24,79
|
1,43
|
9,85
|
|
2,00
|
4,20
|
28,91
|
24,72
|
7,11
|
0,05
|
0,36
|
|
3,00
|
4,80
|
33,04
|
101,46
|
18,56
|
0,97
|
6,64
|
|
4,00
|
2,70
|
18,59
|
86,72
|
43,07
|
0,48
|
3,29
|
|
5,00
|
3,60
|
24,78
|
158,18
|
61,92
|
1,96
|
13,52
|
|
|
|
|
Суммарные потери
|
4,68
|
32,29
|
Как видно, потери в сети практически не изменились, а только
откорректировались на сотые доли процента. Это значит, что распределение
активной и реактивной мощности было выполнено оптимально.
Значение потерь в линиях не нанесено, поскольку они разносятся по узлам
аналогично зарядной мощности в линиях.
Рисунок 3.1 - Потокораспределение в сети при значении оптимальных
мощностей станций,полученых методом Ньютона
.2 Расчет
оптимального режима (задача Р) с учетом ограничения по перетоку в
контролируемой линии
В данном пункте рассматриваются методы поиска оптимального режима при
существовании дополнительных ограничений, а именно ограничения по перетоку
активной мощности в линии. В качестве контролируемой линии принята наиболее
загруженная линия в кольцевой части сети, используются данные расчета режима
после обобщенного метода Ньютона, линия 1. Переток превышает допустимый на 15%.
Целевая функция имеет вид:
Распределение
активной мощности по ветвям:
При решении данной задачи ограничение мощности по станциям учитывать не
будем, так как в таком случае решение будет однозначно, и сама задача
оптимизации будет терять смысл. Определимся с ограничениями.
Первое ограничение (допустимый переток по линии 1):
Второе ограничение по балансу активной мощности в сети (полагая потери
постоянными, данные по потерям берутся из п.2.5):
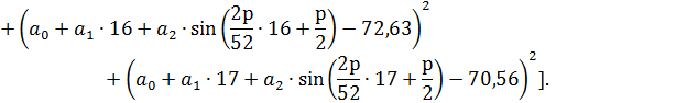
Задача сводится к поиску минимума функции
при наличии следующих ограничениий:
а) Метод замены переменной
При
решении данным методом выражаем зависимые переменные
и
через
независимую переменную
из указанных ограничений:
Из
второго ограничения:
.
Из
первого ограничения:
.
Подставляем
полученное выражение в выражение для
:
Подставляя
результат в ЦФ, получаем функцию только независимых переменных:
Для нахождения оптимального режима находим минимум целевой функции.
Продифференцируем функцию и, приравняв к нулю полученное выражение,
найдем
:
Решив уравнение, получаем значения:
МВт;
МВт;
МВт.
С
целью проверки результата, найдем потокораспределение при данных мощностях:
Поток по контролируемой линии практически равен (из-за погрешностей
расчета) допустимому, следовательно, распределение мощностей найдено верно.
б) метод Лагранжа
В
данном методе вводится новые независимые переменные
. Вместо минимизации ЦФ с учетом ограничений вводится
функция Лагранжа:
,
где
- минимизируемая функция;
-
неопределенный множитель Лагранжа;
-
ограничения в форме равенств.
Все переменные в данной функции являются независимыми. Для нахождения
оптимального режима отыскивается такая точка, в которой градиент равен нулю.
Функция Лагранжа имеет следующий вид (по 3.8):
Дифференцируем
по всем переменным:
;
;
;
;
.
Решая данную систему уравнений, получаем следующий результат:
С
целью проверки результата, найдем потокораспределение при данных мощностях:
Поток по контролируемой линии практически равен (из-за погрешностей
расчета) допустимому, следовательно, распределение мощностей найдено верно.
Значения мощностей получились практически такими же, как и в п.3.2.а
(поиск оптимального режима методом замены переменных). Результат распределения
мощностей найден верно.
Результаты оптимизации по активной мощности всеми рассмотренными
способами сведены в таблицу 3.3.
Таблица 3.3 - Результаты оптимизации
|
№п/п
|
Метод расчета
|
Р1, МВт
|
Р2, МВт
|
РБ, МВт
|
РГƩ, МВт*
|
ВƩ, т.у.т. ***
|
|
1
|
Графический метод по равенству ОПРТ без учета ограничений**
|
240
|
210
|
163
|
613
|
262,01(340,61)
|
|
2
|
Аналитический метод по равенству ОПРТ без учета
ограничений**
|
237,4
|
209,02
|
166,6
|
613,2
|
262(340,61)
|
|
3
|
Графический метод с учётом поправочных коэффициентов без
ограничений
|
230
|
203
|
155
|
588
|
247,74(322,06)
|
|
4
|
Аналитический метод с учётом поправочных коэффициентов и с
учетом ограничений
|
225,59
|
203,99
|
158,86
|
588,44
|
247,95(322,34)
|
|
5
|
Графический метод с учётом поправочных коэффициентов и с
учетом ограничений
|
230
|
203
|
155
|
588
|
247,74(322,06)
|
|
6
|
Градиентный метод с оптимальным шагом
|
224,73
|
201,13
|
162,59
|
588,44
|
247,97(322,36)
|
|
7
|
Покоординатный метод
|
217,83
|
206,41
|
164,21
|
588,44
|
248,08(322,5)
|
|
8
|
Обобщенный метод Ньютона
|
225,73
|
203,73
|
158,95
|
588,44
|
247,96(322,35)
|
|
9
|
С контролируемым перетоком по линии 1, метод замены
переменных
|
194,7
|
230,11
|
163,63
|
588,44
|
249,71(324,62)
|
|
10
|
С контролируемым перетоком по линии 1, метод Лагранжа
|
194,72
|
230,08
|
163,64
|
588,44
|
249,71(324,62)
|
*Суммарная мощность генерации для п/п 1 и 2 принята с учетом суммарной
нагрузки и потерь ΔP = 5%.
** Графический и аналитический методы с учетом ограничений не считались и
не отображены на графике ввиду того, что мощности всех станций без
корректировки входят в диапазон ограничений соответственно.
***В скобках приведены данные с учетом зольности.
По результатам оптимизации более эффективными оказались аналитическое
решение «задачи Р» с учетом поправки на потери и обобщенный метод
Ньютона, поскольку при данном распределении мощности между станциями расход
топлива минимальный. При расчете оптимального режима с условием ограничения
перетока мощности по линии установлена необходимость режима работы
электростанций с повышенным расходом топлива из-за ограничений по генерации
одних станций и увеличении генерации на других.
4.
Оценивание состояния ЭЭС
Оценивание состояния ЭЭС выполняется по выражениям:
В
качестве исходных данных принимаются значения, полученные в результате решения
«задачи Р» обобщенным методом Ньютона. Полученное в ходе решение
потокораспределение показано на рисунке 3.1.
Проводимости линий определяются как:
.
Расчет проводимостей сведен в таблицу 4.1.
Таблица 4.1 - Расчет параметров линий
|
Номер линии
|
1
|
2
|
3
|
4
|
5
|
|
Z, Ом
|
4.8+j33.04
|
4.2+j28.91
|
4.8+j33.04
|
2.7+j18.585
|
3.6+j24.78
|
|
Y, Ом
|
0.03
|
0.034
|
0.03
|
0.053
|
0.04
|
Матрица проводимостей будет иметь вид:
.
4.1 Расчет
режима
Подставляем рассчитанные значения в (4.1):
;
,
где
слагаемое
учитывает связь узла i с базисным
узлом.
Решая
систему относительно
, получаем значения:
.
Значения
углов
получены в радианах. В градусах соответственные
значения будут равны:
Распределение активной мощности в сети определяется как:
.
При подстановке значений в (4.3) потоки в линиях:
МВт;
МВт;
МВт;
МВт;
МВт.
Решая
систему относительно
, получаем значения:
.
Распределение
реактивной мощности в сети определяется как:
.
При подстановке значений в (4.4) потоки в линиях:
МВАр;
МВАр;
МВАр;
МВАр;
МВАр.
Таким
образом, получили следующие вектора напряжений в узлах:
Полученные
параметры режима и потокораспределение по результатам расчета режима показаны
на рисунке 4.1.
Рисунок 4.1 - Потокораспределение в сети по результатам расчета режима
.2
Оценивание состояния ЭЭС
Для
определения дополнительных (избыточных) телеизмерений найти наиболее
загруженную электропередачу и поток в ней обозначить как Рx и
принять
. Место телеизмерения
показано в исходных данных (узел 4). Далее принять в
качестве ТИ:
Дополнительные уравнения по ТИ:
МВт;
кВ.
Оценивание
состояния ЭСС по активной мощности
Оценивание
состояния ЭЭС по активной мощности выполняется по выражениям:
где
G- матрица нормативных весовых коэффициентов.
Расчет нормативных коэффициентов для уравнений производится с учетом
условия, что достоверность телеизмерений в два раза выше, чем псевдоизмерений.
Для первого и второго узла мы имеем данные как телеизмерений, так и
псевдоизмерений, поэтому при расчете используем средневзвешанные весовые
коэффициенты, которые находятся по формуле:
Оценивание
состояния (ОС) производится с помощью трансформации Гаусса. Его суть сводится к
следующему:
· для
упрощения левую часть системы уравнений (4.5) представляем в виде
;
· умножим обе
части на транспонированную матрицу
,
;
· задача ОС
сводится до решения системы уравнений
,
где
,
.
Подставляя
известные значения в уравнение первое из (4.1), получаем:
Формируем
матрицу А. Умножая каждую строку матрицы проводимости на соответствующий ей
коэффициент
, а также на квадрат напряжения, получаем:
В результате трансформации Гаусса имеем:
Тогда,
для нахождения
,необходимо решить систему уравнений:
При решении системы уравнений в матричном виде подставляемые величины не
показываются, так как они либо уже приводились, либо очевидны (случай с транспонированной
матрицей).
Получен результат:
При
подстановке полученных значений углов
в
систему уравнений (4.1) определяются значения активных мощностей в узлах:
При подстановке значений в (4.3) потоки в линиях:
МВт;
МВт;
МВт;
МВт;
МВт.
Оценивание
состояния ЭСС по реактивной мощности
Оценивание
состояния ЭЭС по реактивной мощности выполняется по выражениям:
где
G- матрица нормативных весовых коэффициентов.
Расчет нормативных коэффициентов для уравнений производится с учетом
условия, что достоверность телеизмерений в два раза выше, чем псевдоизмерений.
Зарядная мощность линии рассматривается как псевдоизмерение. По формуле (4.6):
Производится оценивание состояния с помощью трансформации Гаусса.
Подставляя известные значения в уравнение второе из (4.1), получаем:
Формируем
матрицу А. Умножая каждую строку матрицы проводимости на соответствующий ей
коэффициент
, а также на напряжение базы, получаем:
В результате трансформации Гаусса имеем:
Тогда,
для нахождения
,необходимо решить систему уравнений:
При решении системы уравнений в матричном виде подставляемые величины не
показываются, так как они либо уже приводились, либо очевидны (случай с транспонированной
матрицей).
Получен результат:
При
подстановке полученных значений модулей напряжений
в систему уравнений (4.1) определяются значения
реактивных мощностей в узлах:
Мощность
в узле 4 с учетом связи с базисным узлом:
МВАр.
При подстановке значений в (4.4) потоки в линиях:
МВАр;
МВАр;
МВАр;
МВАр;
МВАр.
Таким
образом, получили следующие вектора напряжений в узлах:
Полученные
параметры режима и потокораспределение по результатам оценивания состояния
показаны на рисунке 4.2.
Рисунок 4.2 - Потокораспределение в сети по результатам расчета
оценивания ЭЭС
Заключение
В ходе курсового проекта были поэтапно решены все поставленные задачи
оптимизации, а именно: прогнозирование, оптимизация, а также оценивание
состояния.
На основании исходных данных в части прогнозирования было определено
значение суммарной нагрузки в рассматриваемой электроэнергетической системе для
заданного периода времени. Для использования выбрана модель на основе
синусоидальной аппроксимации.
В соответствии с полученными данными в части оптимизации решена задача
распределения нагрузки между станциями различными методами (для нагрузки с 5%
потерь активной мощности, а также с уточненными потерями). Для решения задачи
оптимального распределения активной и реактивной мощности использованы
графические и аналитические методы, в том числе, методы комплексной
оптимизации. Более эффективным оказался обобщенный метод Ньютона, который дал
наименьший расход топлива. При расчете оптимального режима с условием
ограничения перетока мощности по линии установлена необходимость режима работы
электростанций с повышенным расходом топлива из-за ограничений по генерации
одних станций и увеличении генерации на других.
Произведен расчет одного из оптимальных режимов по упрощенным моделям для
активной и реактивной мощности. При условии заданных погрешностей и различной
достоверности информации выполнено оценивание состояния рассматриваемой
электроэнергетической системы. Исходя из полученных данных, рассчитан
электрический режим для случая, отсутствия и наличия избыточной информации.
Небольшое расхождение полученных значений показывает, что результаты оценивания
состояния возможно применять для решения других задач.
Библиографический
список
1. Бартоломей П.И., Паниковская Т.Ю. Оптимизация режимов
энергосистем: Уч. пособие. Екатеринбург: УГТУ-УПИ, 2008. 164 с.
2. Бартоломей П.И. Информационное обеспечение задач АСДУ
энергосистем: Уч. пособие. Екатеринбург: изд. УГТУ, 1998.
. Арзамасцев Д.А., Бартоломей П.И., Холян А.М. АСУ и
оптимизация режимов энергосистем. М.: Высшая школа, 1983.
. Бартоломей П.И., Паздерин А.В., Паниковская Т.Ю.,
Шелюг С.Н. Теория и практика в оптимизации режимов ЭЭС. Уч. пособие.
Екатеринбург: УГТУ-УПИ, 2009.60с.
. Бартоломей П.И., Ерохин П.М., Неуймин В.Г.,
Паниковская Т.Ю. Конкурентные рынки электроэнергии. Учебное пособие.
Екатеринбург, УГТУ-УПИ, 2006 г. 88 с.
. АСУ и оптимизация в электроэнергетических системах:
методические указания для выполнения лабораторных работ / П.И.Бартоломей,
А.В.Паздерин. - Екатеринбург: ГОУ ВПО УГТУ-УПИ, 2007.