Комплексная оптимизация режима и оценивание состояния электроэнергетической системы
Министерство образования и науки
Российской Федерации
ФГАУ ВПО "Уральский федеральный
университет
имени первого Президента России Б.Н.
Ельцина"
Уральский Энергетический Институт
Кафедра "Автоматизированные
системы и сети"
Курсовая работа
КОМПЛЕКСНАЯ ОПТИМИЗАЦИЯ РЕЖИМА И
ОЦЕНИВАНИЯ СОСТОЯНИЯ ЭЭС
Преподаватель: П.И. Бартоломей
Студент
Гр. Э-110105: Е.С. Деткова
Екатеринбург 2011
Реферат
Данная курсовая работа состоит из трех частей:
прогнозирование электропотребления, оптимизация режима и оценивание состояния
энергосистемы.
При прогнозировании электропотребления решается задача по
поиску прогнозного значения электропотребления в конкретный час конкретного дня
в году. На основании данных по электропотреблению предыдущих десяти недель
находится тренд. Из рассматриваемых вариантов трендов выбирается тот, который
имеет минимальное среднеквадратическое отклонение. Затем, по выбранной модели
тренда прогнозируется электропотребление на заданную неделю, а уже по
нормативным коэффициентам на конкретный день и час.
При оптимизации режима находятся оптимальные значения
генерируемой активной мощности по критерию минимума расхода топлива. Исходя из
этих значений, отыскиваются потоки активной мощности, обеспечивающие
минимальные потери в сети. Так как активные потери зависят и от реактивной
мощности, то решается так называемая задача Q. Ее суть заключается в отыскании
таких значение генерируемой реактивной мощности и как следствие потоков
реактивной мощности, при которых потери в сети будут минимальны.
Задача оценивания состояния заключается в расчете
электрического режима при наличии избытка данных. В связи с тем, что эти данные
имеют некую погрешность, однозначный расчет режима невозможен. Для оценивания
состояния применяется трансформация Гаусса.
Содержание
Часть 1. Прогнозирование
Часть 2. Оптимизация
Часть 3. Комплексная оптимизация режима ЭЭС с учетом
технологических ограничений методами нелинейного программирования
Часть 4. Оценивание состояния ЭЭС
1. Исходные данные
2. Прогнозирование недельного электропотребления методом наименьших
квадратов
2.1 Прогнозирование недельного потребления на основе линейной
модели
2.2 Прогнозирование недельного электропотребления на основе
синусоидальной аппроксимации
2.3 Прогнозирование электропотребления на 14.10.2011 (пятница) с
15.00 до 16.00
3. Оптимизация
3.1 Распределение активной нагрузки
между станциями
без коррекций потерь мощности графическим методом по равенству относительных
приростов расхода топлива
3.2 Построение суточных графиков Pi (t) и определение суточной
потребности станций в топливе
3.3 Распределение реактивной мощности между источниками
3.4 Расчет электрического режима по коэффициентам токораспределения
3.5 Оптимизация режима по реактивной мощности из условия минимума
потерь активной мощности
3.6 Распределение активной мощности между станциями
а) Распределение активной мощности графическим методом с учетом
поправки на потери (
), но без учета
ограничений станций по мощности
б) Распределение активной мощности аналитическим методом с учетом
поправки на потери (
), но без учета
ограничений станций по мощности
в) Распределение активной мощности графическим методом с учетом
поправки на потери (
) и ограничений
,
,
3.7 Определение потерь в ЛЭП от перетоков активной и реактивной
мощностей
3.8 Результаты оптимизации по активной мощности
4. Комплексная оптимизация режима ээс с учетом технологических
ограничений методами нелинейного программирования
4.1 Решение "задачи Р" для заданного интервала времени
без ограничений
а) Градиентный метод с оптимальным шагом (2 итерации)
б) Покоординатный метод (2 итерационных цикла)
в) Обобщенный метод Ньютона
4.2 Расчет оптимального режима (задача Р) с учетом ограничения по
перетоку в контролируемой линии
a) Расчет оптимального режима методом замены переменных
б) Расчет оптимального режима методом Лагранжа
5. Оценивание состояния ЭЭС
5.1 Данные для оценивания состояния
Распределение активной мощности в сети
Распределение реактивной мощности в сети
5.2 Оценивание состояния по активной мощности
5.3 Оценивание состояния по реактивной мощности
Заключение
Список использованной литературы
Задание
на курсовую работу
Часть 1.
Прогнозирование
1) На основании максимального недельного электропотребления Э
строится статистический ряд Э предшествующих недельных электропотреблений (см.
п. II исходных данных).
) Прогнозируется недельное электропотребление методом
наименьших квадратов:
а) на основании линейной модели
; (1)
б) на основании синусоидальной аппроксимации
(2)
Обосновываются достоверности моделей и выбирается лучшая из
них. Прогнозируется недельное потребление Э. Обе модели отображаются
графически.
) Зная день недели и час суток, определяется прогнозное
значение суммарной нагрузки ЭЭС
, (3)
где Кчас определяется из суточного графика
(см. п. III исходных данных).
) Принимая потери в сети 5% от
, считать среднюю
суммарную генерируемую мощность на планируемый час
. (4)
Часть 2.
Оптимизация
1) Распределить активную нагрузку
между станциями
без коррекции потерь
мощности (графическим методом по равенству относительных приростов расхода
топлива).
Построить суточные графики
и определить суточную
потребность станций в топливе (уголь, зольность 30%). Принять для всех
интервалов времени допущение:
(5)
Балансирующая станция выполняет роль частотнорегулирующей.
) Принимая
, распределить реактивную мощность
между источниками, т.е.
найти
, определить долю потерь
мощности в процентах
,%.
) Рассчитать электрический режим по коэффициентам
токораспределения.
) Решить "задачу Q": найти оптимальные значения
из условия минимума
потерь активной мощности (используя
), определить значение
.
) Решить "задачу P" для заданного интервала времени
с уточненным значением потерь мощности:
а) графическим методом с учетом поправки на потери
;
б) то же аналитически;
в) то же графически с учетом ограничений 90£P1£250, 140£P2£300.
электроэнергетическая система оптимизация режим
Часть
3. Комплексная оптимизация режима ЭЭС с учетом технологических ограничений
методами нелинейного программирования
) Решить "задачу P" для заданного интервала времени
без ограничений:
а) градиентным методом с оптимальным шагом (2 итерации);
б) покоординатным методом (2 итерационных цикла);
в) обобщенным методом Ньютона (отобразить графически
получившееся потокораспределение). Относительные приросты потерь мощности
(аналитические выражения и численные значения) взять из части 2.
) Рассчитать оптимальный режим (задача Р) с учетом
ограничения по перетоку в контролируемой линии. В качестве контролируемой линии
принять наиболее загруженную линию в кольцевой части сети, считая, что
полученный ранее переток превышает допустимый предел на 15%. Определить
предельный переток мощности. Оптимизацию выполнить:
а) заменой переменных;
б) методом Лагранжа.
Результаты оптимизации по активной мощности всеми рассмотренными
методами (пункты 1, 5а, 5б, 5в из части II, 1а, 1б, 1в, 2а, 2б из части III)
свести в таблицу:
|
Метод расчета
|
Р1
(МВт)
|
Р2
(МВт)
|
Рб
(МВ)
|
РГ∑
(МВт)
|
В∑
(тут)
|
|
|
|
|
|
|
В таблице должны быть отражены результаты оптимизации режима
ЭЭС в соответствии со следующими методами:
Графическое распределение прогнозируемой нагрузки с
учетом 5% потерь активной мощности.
То же аналитически.
Графическое распределение нагрузки с уточненными значениями
потерь мощности и поправочными коэффициентами Кi.
То
же аналитически.
То же графически с учетом ограничений на располагаемую
генерируемую мощность.
Оптимизация градиентным методом (без учета ограничений).
То же покоординатным методом.
То же обобщенным методом Ньютона.
Оптимизация режима с учетом ограничения по перетоку мощности
в ЛЭП методом "замены переменных".
То же методом Лагранжа.
Часть 4.
Оценивание состояния ЭЭС
В качестве исходных данных используются мощности станций и
нагрузок из пункта 1в части 3 (обобщенный метод Ньютона).
Генерируемая мощность рассматривается как телеизмерение (ТИ),
нагрузки узлов - как псевдоизмерения (ПИ). Для определения дополнительных
(избыточных) телеизмерений найдите наиболее загруженную электропередачу и поток
в ней Рx. Далее принять в качестве ТИ:
.
Место телеизмерения
показано на рисунке,
отображающем конфигурацию сети (п.4 исходных данных) знаком V.
Выполнить оценивание состояния ЭЭС по упрощенным (раздельным)
моделям для активной и реактивной мощности из условия, что доверие к ТИ вдвое
выше, чем доверие к ПИ. Отобразить графически результаты ОС.
1. Исходные
данные
Таблица 1.1 - Общие данные
|
№
|
Схема
|
Подварианты m/n
|
Тип В1
|
Тип В2
|
Тип Вб
|
Прогнозируемые
день недели/интервал времени
|
Э52,
|
|
|
37
|
А
|
1/1
|
1
|
2
|
3
|
14.10/15-16
|
86
|
0,91
|
Таблица 1.2 - Недельные электропотребления в % по отношению к
потреблению на 52-й неделе
|
n
|
34
|
35
|
36
|
37
|
38
|
39
|
40
|
41
|
|
Эnфакт,%
|
75,1
|
76,7
|
78,2
|
80,2
|
81,9
|
83,1
|
85
|
87,3
|
|
Эnфакт,
ГВт час
|
64,59
|
65,96
|
67,25
|
68,97
|
70,43
|
71,47
|
73,10
|
75,08
|
Таблица 1.3 - Суммарный суточный график электропотребления в
%
|
Интервал
времени
|
Р, %
|
Интервал
времени
|
Р, %
|
Интервал времени
|
Р, %
|
Интервал
времени
|
Р, %
|
|
0-1
|
50
|
6-7
|
55
|
12-13
|
95
|
18-19
|
75
|
|
1-2
|
45
|
7-8
|
60
|
13-14
|
85
|
19-20
|
70
|
|
2-3
|
40
|
8-9
|
65
|
14-15
|
90
|
20-21
|
65
|
|
3-4
|
40
|
9-10
|
75
|
15-16
|
95
|
21-22
|
60
|
|
4-5
|
45
|
10-11
|
85
|
16-17
|
90
|
22-23
|
55
|
|
5-6
|
50
|
11-12
|
100
|
17-18
|
80
|
23-24
|
50
|
Таблица 1.4 - Длины линий
|
Номер линии
Подвариант m=1
|
1
|
2
|
3
|
4
|
5
|
|
L, км
|
90
|
80
|
75
|
100
|
110
|
Таблица 1.5 - Расположение нагрузки в узлах
|
Подвариант n=1
|
Долевое
распределение нагрузки в узлах
|
|
1
|
2
|
3
|
4
|
Б
|
|
Р, %
|
-
|
-
|
40
|
40
|
20
|
Таблица 1.6 - Характеристики станций
|
Pmin
|
Bmin
|
Рср
|
Bср
|
Pmax
|
Bmax
|
|
Bб
|
100
|
36
|
300
|
148
|
500
|
348
|
|
B1
|
90
|
36,48
|
170
|
69,12
|
250
|
112
|
|
B2
|
140
|
56,72
|
220
|
105,68
|
300
|
170
|
Рисунок 1.1 - Конфигурация сети (схема А)
Для всех линий сети приняты следующие параметры:
удельные сопротивления
,
,
зарядная мощность
.
Так как электропотребление прогнозируется на пятницу, то
долевое суточное потребление электроэнергии определяется коэффициентом
2.
Прогнозирование недельного электропотребления методом наименьших квадратов
Суть метода заключается в том, что на основе предшествующих
наблюдений выбирается вид модели, описывающей исследуемый процесс. После этого из
всех возможных альтернативных моделей данного вида выбирается наилучшая из
условия минимума суммы квадратов отклонений наблюдений от значений выбранной
модели.
(2.1)
(2.2)
где
- количество интервалов ретроспективы,
- отклонение трендового значения энергии от
реального в момент времени
.
2.1
Прогнозирование недельного потребления на основе линейной модели
(2.3)
где а и b - искомые коэффициенты.
Необходимо найти минимум функции
(2.4)
Для нахождения минимума функции продифференцируем ее по
переменным a и b.
Решим систему уравнений методом Крамера.
,
,
,
Таблица 2.1 - Отклонений наблюдений от значений выбранной
модели
|
n
|
34
|
35
|
36
|
37
|
38
|
39
|
40
|
41
|
|
|
Эn,%
|
75,1
|
76,7
|
78,2
|
80,2
|
81,9
|
83,1
|
85
|
87,3
|
|
|
Эnфакт,
ГВт час
|
64,59
|
65,96
|
67,25
|
68,97
|
70,43
|
71,47
|
73,10
|
75,08
|
|
Эn,
ГВт час
|
64,46
|
65,93
|
67,40
|
68,86
|
70,33
|
71,80
|
73,26
|
74,73
|
|
δЭ, ГВт
час
|
-0,12
|
-0,03
|
0,14
|
-0,11
|
-0,10
|
0,33
|
0,16
|
-0,35
|
Проверка достоверности найденного уравнения регрессии.
Из теории статистики известно, что уравнение регрессии имеет достаточную
достоверность и им можно пользоваться, если
где S - среднеквадратическое отклонение, D -
дисперсия.
Формула для поиска среднеквадратического отклонения имеет
вид:
(2.5)
Формула для нахождения дисперсии:
, (2.6)
где
- среднее значение энергии (2.7)
ГВт час.

Тренд считается достоверным.
ГВт час.
2.2
Прогнозирование недельного электропотребления на основе синусоидальной
аппроксимации
, (2.8)
где a,b,c - искомые коэффициенты.
Минимизируется функция
.
Дифференцируем функцию S по трем переменным.
,
Решим систему уравнений методом Крамера.
Таблица 2.2 - Отклонений наблюдений от значений выбранной
модели
|
n
|
34
|
35
|
36
|
37
|
38
|
39
|
40
|
41
|
|
|
Эn,%
|
75,1
|
76,7
|
78,2
|
80,2
|
81,9
|
83,1
|
85
|
87,3
|
|
|
Эnфакт,
ГВт час
|
64,59
|
65,96
|
67,25
|
68,97
|
70,43
|
71,47
|
73,10
|
75,08
|
|
Эn,
ГВт час
|
64,56
|
65,95
|
67,38
|
68,84
|
70,33
|
71,82
|
73,31
|
74,80
|
|
δЭ, ГВт
час
|
0,03
|
0,01
|
-0,13
|
0,13
|
0,11
|
-0,36
|
-0,21
|
0,28
|
Проверка достоверности найденного уравнения регрессии.
Найдем среднеквадратическое отклонение:
Тренд считается достоверным.
ГВт час
Большей достоверностью обладает тренд с наименьшим
отклонением:
Так как
, то синусоидальный тренд
является более достоверным.
Основываясь на выбранном синусоидальном тренде, прогнозируем
электропотребление 42 недели
ГВт час.
Рисунок 2.1 - График энергопотребления и его тренды
2.3
Прогнозирование электропотребления на 14.10.2011 (пятница) с 15.00 до 16.00
Из исходных данных известно, что долевое суточное потребление
электроэнергии для пятницы равно
По суточному графику определяем
:
, (2.9)
(2.10)
Принимая потери в сети равными 5% от
, найдем среднюю
суммарную генерируемую мощность на планируемый час:
.
3.
Оптимизация
.1
Распределение активной нагрузки
между
станциями без коррекций потерь мощности графическим методом по равенству
относительных приростов расхода топлива
Определяем аналитические выражения расходных характеристик В1,
В2, Вб.
Известно, что расходная характеристика зависит от мощности по
параболическому закону, т.е.
. Для определения параметров a, b, c достаточно знать три точки на
расходной характеристике.
Таблица 3.1 - Характеристики станций
|
Pmin
|
Bmin
|
Рср
|
Bср
|
Pmax
|
Bmax
|
|
Bб
|
100
|
36
|
300
|
148
|
500
|
348
|
|
B1
|
90
|
36,48
|
170
|
69,12
|
250
|
112
|
|
B2
|
140
|
56,72
|
220
|
105,68
|
300
|
170
|
Решив систему линейных уравнений методом Крамера, получаем:
,
,
, тогда
.
Решив систему линейных уравнений, получаем:
,
,
, тогда
,
Решив систему линейных уравнений, получаем:
,
,
, тогда
.
Таким образом, получаем функции расхода топлива для каждой
станции:
,
Находим относительный прирост расхода топлива для каждой
станции
Распределим активную нагрузку
МВт между станциями графическим методом по критерию
равенства относительных приростов (без коррекции потерь мощности).
(3.1)
Для этого на графике
определяем относительный прирост расхода топлива, соответствующий
МВт, и проводим через эту точку
прямую, параллельную оси абсцисс. Таким образом, получим распределение
нагрузки:
Рисунок 3.1 - Распределение нагрузки графическим методом
3.2
Построение суточных графиков Pi (t) и определение суточной потребности станций
в топливе
Расчет распределения нагрузки между станциями для каждого
часа производим аналитическим методом, используя систему линейных уравнений
где Рг - энергия, производимая тремя
станциями в каждый конкретный час.
При нарушении ограничений:
.
.
Результаты расчетов сведены в таблицу 3.2.
Таблица 3.2 - Распределение нагрузки между станциями
|
Интервал
|
P,%
|
P, МВт
|
P1,
МВт
|
P2,
МВт
|
Pб,
МВт
|
|
|
1
|
0-1
|
50
|
380,59
|
118,24
|
140,00
|
122,36
|
|
|
2
|
1-2
|
45
|
342,53
|
96, 20
|
140,00
|
106,33
|
|
3
|
2-3
|
40
|
304,48
|
90,00
|
140,00
|
74,48
|
|
4
|
3-4
|
40
|
304,48
|
90,00
|
140,00
|
74,48
|
|
5
|
4-5
|
45
|
342,53
|
96, 20
|
140,00
|
106,33
|
|
6
|
5-6
|
50
|
380,59
|
118,24
|
140,00
|
122,36
|
|
7
|
6-7
|
55
|
418,65
|
140,27
|
140,00
|
138,38
|
|
8
|
7-8
|
60
|
456,71
|
162,31
|
140,00
|
154,41
|
|
9
|
8-9
|
65
|
494,77
|
184,34
|
140,00
|
170,43
|
|
10
|
9-10
|
75
|
570,89
|
219,80
|
154,87
|
196,22
|
|
11
|
10-11
|
85
|
647,01
|
250,00
|
176,83
|
220,18
|
|
12
|
11-12
|
100
|
761, 19
|
250,00
|
231,44
|
279,75
|
|
13
|
12-13
|
95
|
723,13
|
250,00
|
213,24
|
259,89
|
|
14
|
13-14
|
85
|
647,01
|
250,00
|
176,83
|
220,18
|
|
15
|
14-15
|
90
|
685,07
|
250,00
|
195,03
|
240,04
|
|
16
|
15-16
|
95
|
722,40
|
250,00
|
212,89
|
259,51
|
|
17
|
16-17
|
90
|
685,07
|
250,00
|
195,03
|
240,04
|
|
18
|
17-18
|
80
|
608,95
|
235,70
|
165,47
|
207,78
|
|
19
|
18-19
|
75
|
570,89
|
219,80
|
154,87
|
196,22
|
|
20
|
19-20
|
70
|
532,83
|
203,90
|
144,27
|
184,66
|
|
21
|
20-21
|
65
|
494,77
|
184,34
|
140,00
|
170,43
|
|
22
|
21-22
|
60
|
456,71
|
162,31
|
140,00
|
154,41
|
|
23
|
22-23
|
55
|
418,65
|
140,27
|
140,00
|
138,38
|
|
24
|
23-24
|
50
|
380,59
|
118,24
|
140,00
|
122,36
|
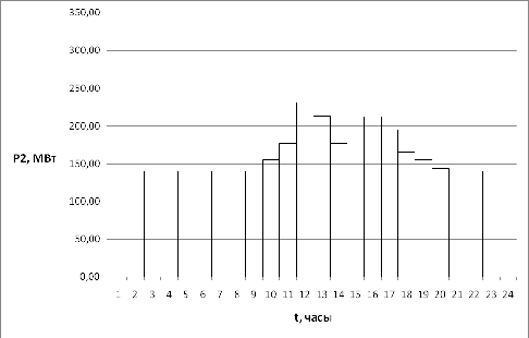
Суточные графики для трех станций изображены на рисунках 3.2
- 3.4
Рисунок 3.2 - Суточный график для первой станции
Рисунок 3.3 - Суточный график для второй станции
Рисунок 3.4 - Суточный график для балансирующей станции
Для каждого интервала времени для каждой станции определим
с учетом зольности (30%). Например, для
первого интервала (0-1) для первой станции:
т. у. т.
Аналогично определяем
для других станций и всех временных интервалов. Результаты
расчета сведены в таблицу 3.3
Таблица 3.3 - Суточная потребность станций в топливе
|
Интервал
|
P,%
|
P, МВт
|
P1,
МВт
|
P2,
МВт
|
Pб,
МВт
|
B1,
т. у. т.
|
B2,
т. у. т.
|
Bб,
т. у. т.
|
|
|
1
|
0-1
|
50
|
380,59
|
118,24
|
140,00
|
122,36
|
60,88
|
57,40
|
|
|
2
|
1-2
|
45
|
342,53
|
96, 20
|
140,00
|
106,33
|
50,24
|
73,74
|
49,66
|
|
3
|
2-3
|
40
|
304,48
|
90,00
|
140,00
|
74,48
|
47,42
|
73,74
|
36,45
|
|
4
|
3-4
|
40
|
304,48
|
90,00
|
140,00
|
74,48
|
47,42
|
73,74
|
36,45
|
|
5
|
4-5
|
45
|
342,53
|
96, 20
|
140,00
|
106,33
|
50,24
|
73,74
|
49,66
|
|
6
|
5-6
|
50
|
380,59
|
118,24
|
140,00
|
122,36
|
60,88
|
73,74
|
57,40
|
|
7
|
6-7
|
55
|
418,65
|
140,27
|
140,00
|
138,38
|
72,53
|
73,74
|
65,87
|
|
8
|
7-8
|
60
|
456,71
|
162,31
|
140,00
|
154,41
|
85, 20
|
73,74
|
75,08
|
|
9
|
8-9
|
65
|
494,77
|
184,34
|
140,00
|
170,43
|
98,87
|
73,74
|
85,02
|
|
10
|
9-10
|
75
|
570,89
|
219,80
|
154,87
|
196,22
|
122,99
|
84,05
|
102,57
|
|
11
|
10-11
|
85
|
647,01
|
250,00
|
176,83
|
220,18
|
145,60
|
100,56
|
120,57
|
|
12
|
11-12
|
100
|
761, 19
|
250,00
|
231,44
|
279,75
|
145,60
|
148,12
|
172,45
|
|
13
|
12-13
|
95
|
723,13
|
250,00
|
213,24
|
259,89
|
145,60
|
131,23
|
154,03
|
|
14
|
13-14
|
85
|
647,01
|
250,00
|
176,83
|
220,18
|
145,60
|
100,56
|
120,57
|
|
15
|
14-15
|
90
|
685,07
|
250,00
|
195,03
|
240,04
|
145,60
|
115,38
|
136,74
|
|
16
|
15-16
|
95
|
722,40
|
250,00
|
212,89
|
259,51
|
145,60
|
130,92
|
153,69
|
|
17
|
16-17
|
90
|
685,07
|
250,00
|
195,03
|
240,04
|
145,60
|
115,38
|
136,74
|
|
18
|
17-18
|
80
|
608,95
|
235,70
|
165,47
|
207,78
|
134,66
|
91,83
|
111,05
|
|
19
|
18-19
|
75
|
570,89
|
219,80
|
154,87
|
196,22
|
122,99
|
84,05
|
102,57
|
|
20
|
19-20
|
70
|
532,83
|
203,90
|
144,27
|
184,66
|
111,86
|
76,63
|
94,47
|
|
21
|
20-21
|
65
|
494,77
|
184,34
|
140,00
|
170,43
|
98,87
|
73,74
|
85,02
|
|
22
|
21-22
|
60
|
456,71
|
162,31
|
140,00
|
154,41
|
85, 20
|
73,74
|
75,08
|
|
23
|
22-23
|
55
|
418,65
|
140,27
|
140,00
|
138,38
|
72,53
|
73,74
|
65,87
|
|
24
|
23-24
|
50
|
380,59
|
118,24
|
140,00
|
122,36
|
60,88
|
73,74
|
57,40
|
|
Суммарная
потребность в топливе каждой станции
|
2402,88
|
2137,27
|
2201,80
|
|
|
Общая
потребность в топливе всех 3 станций
|
6741,94
|
|
3.3
Распределение реактивной мощности между источниками
Реактивная мощность во всей сети равна
(3.2)
|
где
|
-прогнозное значение потребления
реактивной мощности в сети;
|
|
|
|
-потери реактивной мощности в продольных
элементах сети;
|
|
|
|
-зарядная мощность линий.
|
|
|
Так как сеть однородная (отношение активного сопротивления к
реактивному во всей сети одинаковое), то, зная активные потери в сети, можно
найти потери реактивной мощности
.
Ом/км
Ом/км
Соотношение реактивного сопротивления к активному будет равно:
.
Таким образом, потери реактивной мощности в 6,883 раз больше
потерь активной мощности. Потери активной мощности в сети составляют 5%.
Следовательно,
МВАр,
где
МВАр.
Найдем зарядную мощность каждой ветви и учтем ее в реактивной
нагрузке узлов.
МВАр/км - зарядная мощность.
Суммарная зарядная мощность в сети
.
Тогда
.
Учитывая баланс реактивной мощности в ЭСС, запишем систему
уравнений:
При допущении, что коэффициент мощности на всех станциях одинаков
, найдем:
. Тогда
3.4 Расчет
электрического режима по коэффициентам токораспределения
Поскольку сеть однородная, то расчет удобнее производить по
эквивалентным длинам. На рис.3.5 изображена схема сети с условными направлениями
токов.
,96
,48
,96
Рисунок 3.5 - Схема сети с условно-положительными
направлениями токов
Составим матрицу коэффициентов токораспределения. Для этого
будем прикладывать единичный ток к каждому узлу (кроме базисного) по очереди,
"отбрасывая" при этом все остальные нагрузки и генерации (рис.3.6).
Рисунок 3.6 - Расчет матрицы токораспределения
Если направление тока совпадает с условно положительным
направлением тока, то коэффициент положительный. Если не совпадает, то -
коэффициент отрицательный. Тогда матрица токораспределения имеет вид:
|
А =
|
-0,381
|
-0,381
|
-0,829
|
-0,524
|
|
0,381
|
0,381
|
-0,171
|
0,524
|
|
0,381
|
0,381
|
-0,171
|
-0,476
|
|
0,619
|
0,619
|
0,171
|
0,476
|
|
0
|
1
|
0
|
0
|
Умножив матрицу потокораспределения на вектор узловых
мощностей, найдем потокораспределение в сети:
Рассчитанное потокораспределение активной мощности в сети
изображено на рисунке 3.7
Рисунок 3.7 - Потокораспределение активной мощности в сети
3.5
Оптимизация режима по реактивной мощности из условия минимума потерь активной
мощности
Задача оптимизации по реактивной мощности заключается в
минимизации суммарных потерь активной мощности по энергосистеме. Потери
активной мощности являются функцией как потоков по линиям активной мощности,
так и потоков реактивной мощности.
Эта зависимость выражается формулой:
(3.3)
Согласно приведенной выше формуле для оптимизации режима по
реактивной мощности необходимо знать потокораспределение реактивной и активной
мощностей по ветвям. Для этого сначала запишем выражения для реактивной
мощности в узлах с учетом генерации в ЛЭП.
Приведенная реактивная нагрузка узла
определяется по формуле:
(3.4)
где
- количество подходящих к узлу линий,
- реактивная мощность
нагрузки.
Таблица 3.4 - Узловая реактивная мощность
|
№ узла
|
Б
|
1
|
2
|
3
|
4
|
|
|
20,44
|
34,31
|
16,06
|
18,98
|
16,79
|
|
|
137,6
|
0
|
0
|
275,2
|
275,2
|
|
|
62,69
|
0
|
0
|
125,38
|
125,38
|
|
|
-42,25
|
34,31
|
16,06
|
-106,40
|
-108,59
|
Аналогично пункту 3.4 найдем распределение реактивной
мощности по ветвям:
Тогда можно найти оптимальные значения реактивной мощности на
первой и второй станциях, т.е. такие значения Q1 и Q2,
чтобы потери активной мощности в сети были минимальны. Для этого найдем частные
производные, приравняем их к нулю и из полученных уравнений найдем Q1
и Q2.
(3.5)
Таким образом, получили следующую систему линейных уравнений:
Решая полученную систему в матричном виде, найдем реактивные
мощности, выдаваемые первой и второй станциями.1 = 78,695 МВАр;2
= - 16,06 МВАр;
Базисный узел берет на себя весь небаланс сети.
Тогда можно найти распределение реактивной мощности по
ветвям:

Рисунок 3.8 - Потокораспределение активной и реактивной
мощностей в сети
3.6
Распределение активной мощности между станциями
а)
Распределение активной мощности графическим методом с учетом поправки на потери
(
), но без учета
ограничений станций по мощности
В подпункте 3.4 были найдены потоки активной мощности по
ветвям:
.
Найдем относительный прирост потерь мощности для первой и
второй станций:
(3.6)
Тогда поправочные коэффициенты будут равны:
Оптимальный режим находится из соотношений:
;
.
Тогда оптимальное распределение активной мощности между станциями
можно найти из следующих соотношений:
Решение представлено на рисунке 3.9 Построение графиков аналогично
приведенному в подпункте 3.1.
Рисунок 3.9 - Распределение нагрузки графическим методом
б)
Распределение активной мощности аналитическим методом с учетом поправки на
потери (
), но без учета ограничений станций по мощности
С учетом поправки на потери система уравнений, составленная
для определения мощностей станции по равенству относительных приростов расхода
топлива, примет следующий вид:
Тогда получим следующее распределение активной мощности между
станциями с учетом поправки на потери:
в)
Распределение активной мощности графическим методом с учетом поправки на потери
(
) и ограничений
,
, 
Алгоритм решения аналогичен приведенному в подпункте 3.1
Решение представлено на рисунке 3.10.
Рисунок 3.10 - Распределение нагрузки графическим методом
3.7
Определение потерь в ЛЭП от перетоков активной и реактивной мощностей
Потери активной мощности, следовательно, и оптимальный режим
зависят не только от потокораспределения активной мощности и генерации, но и от
потоков реактивной мощности и генерации реактивной мощности на электростанциях.
(3.7)
(3.8)
где
- поток активной мощности по линии l,
- поток реактивной мощности по линии l,
- активное сопротивление линии l,
- реактивное сопротивление линии l,
- напряжение сети.
Таблица 3.5 - Расчет потерь в сети
|
№ линии
|
Активное
сопротивление линии, Ом
|
Реактивное
сопротивление линии, Ом
|
Поток активной
мощности, МВт
|
Поток
реактивной мощности, МВАр
|
Потери активной
мощности в линии, МВт
|
Потери
реактивной мощности в линии, МВАр
|
|
1
|
2,7
|
18,585
|
214,6
|
102,058
|
2,88216
|
19,8389
|
|
2
|
4,8
|
33,04
|
74,36
|
4,34644
|
0,50344
|
3,46533
|
|
3
|
2,25
|
15,4875
|
363,32
|
112,941
|
6,15697
|
42,3805
|
|
4
|
6
|
41,3
|
99,57
|
0,06373
|
1,12448
|
7,74019
|
|
5
|
3,3
|
22,715
|
212,89
|
0
|
2,82728
|
19,4611
|
|
|
|
|
|
13,4943
|
92,886
|
3.8
Результаты оптимизации по активной мощности
Таблица 3.6 - Результаты оптимизации
|
Метод расчёта
|
P1,
МВт
|
P2,
МВт
|
Pб,
МВт
|
PГ∑,
МВт
|
B∑,
т. у. т.
|
|
Графический
метод по равенству ОПРТ
|
250
|
212,8
|
259,5
|
722,3
|
330,9
|
|
Графический
метод с учётом поправки на потери
|
283,3
|
189,8
|
249,3
|
722,4
|
329,5
|
|
Аналитический
метод с учётом поправки на потери
|
283,32
|
189,82
|
249,27
|
722,41
|
329,5
|
|
Графический
метод с учётом поправки на потери и с учётом ограничений
|
250
|
205,4
|
267
|
722,4
|
331,1
|
4.
Комплексная оптимизация режима ээс с учетом технологических ограничений
методами нелинейного программирования
4.1
Решение "задачи Р" для заданного интервала времени без ограничений
а) Градиентный метод с оптимальным шагом (2 итерации)
Расходные характеристики топлива для каждой станции
соответственно равны:
Необходимо минимизировать целевую функцию (ЦФ), равную
суммарному расходу электростанций:
, (4.1)
при соблюдении баланса мощности в системе
, (4.2)
где
- суммарное прогнозируемое потребление на
14.10.2011 (ПТ) с 15.00 до 16.00;
МВт - суммарные потери в сети (см. пункт 3.7).
МВт (4.3)
Нагрузка в узлах находится по формуле:
, (4.4)
где
- доля потребления конкретного узла от общего
потребления сети (см. таблицу 1.5).
МВт,
МВт,
МВт.
ЦФ и ограничение в форме равенства образуют систему:
(4.5)
, тогда
.
При дифференцировании потерь
необходимо учесть
относительный прирост потерь мощности, определенный ранее в пункте 3.6:
Задача сводится к поиску минимума функции двух переменных
и
.
Градиентный метод является итерационным, суть заключается в
том, что за направление движения принимается направление наибольшего убывания
ЦФ - направление антиградиента.
Градиент ЦФ
вычисляется по формуле:
(4.6)
Найдем градиент ЦФ:
Первая итерация.
Зададимся начальным приближением:
МВт,
МВт.
По формуле (4.6) находим градиент ЦФ в этой точке:
Пусть длина шага составляет
.
Найдем оптимальную длину шага. Она вычисляется по формуле:
(4.7)
Координаты новой пробной точки равны:
МВт,
МВт.
ЦФ в этой точке равна
.
МВт,
МВт.
ЦФ в этой точке равна
.
По формуле (4.7) вычисляем оптимальную длину шага на первой
итерации:
.
Значение переменной на следующем шаге итерации находится по
формуле:
(4.8)
Соответственно в результате первой итерации мощности первой и
второй станции равны:
МВт;
МВт;
.
Вторая итерация.
Градиент функции в точке
равен:
;
.
Тогда шаг равен
.
Координаты новой пробной точки равны:
МВт,
МВт.
ЦФ в этой точке равна
.
МВт,
МВт.
ЦФ в этой точке равна
.
По формуле (4.7) вычисляем оптимальную длину шага на первой
итерации:
.
Соответственно в результате второй итерации мощности первой и
второй станции равны:
МВт;
МВт;
.
МВт.
Результаты градиентного метода с оптимальным шагом без учета
ограничений:
МВт.
б)
Покоординатный метод (2 итерационных цикла)
Суть метода заключается в том, что в качестве возможных
направлений рассматриваются орты исходных систем координат.
Зададим начальное приближение:
.
Первая итерация.
;
;
.
Значение целевой функции убывает, значит принятое направление
движения обеспечивает уменьшение ЦФ.
Оптимальная длина шага:
.
Значение переменной
в результате первой
итерации:
МВт.
;
.
Значение переменной
в результате первой
итерации:
МВт.
Вторая итерация.
Значение переменной
в результате второй
итерации:
МВт.
;
Значение переменной
в результате второй
итерации:
МВт.
МВт.
Результаты метода покоординатного спуска без учета
ограничений:
МВт.
в)
Обобщенный метод Ньютона
Суть метода заключается в том, что исходная функция
заменяется полиномом второй степени - параболой - и затем отыскивается ее минимум.
Целевая функция равна:
(4.9)
В матричном виде рекуррентное выражение для обобщенного
метода Ньютона имеет вид:
(4.10)
(4.11)
Зададим начальное приближение:
.
Первая итерация.
Решаем систему линейных уравнений:
В результате первой итерации получаем:
Вторая итерация.
Градиент в точке
равен нулю, это
означает, что значение ЦФ в данной точке является минимальным.
Результаты обобщенного метода Ньютона без учета ограничений:
МВт.
Рисунок 4.1 - Потокораспределение активной мощности в сети по
обобщенному методу Ньютона
4.2 Расчет
оптимального режима (задача Р) с учетом ограничения по перетоку в
контролируемой линии
В качестве контролируемой линии принимаем наиболее
загруженную линию в кольцевой части сети - L3, считая, что полученный ранее
переток превышает допустимый предел на 15%. Тогда допустимый переток на первой
линии равен:
Переток в линии L3 рассчитывается с помощью коэффициентов
токораспределения:
, тогда
. (4.12)
Задача сводится к отысканию минимума ЦФ при наличии
ограничений:
)
Расчет оптимального режима методом замены переменных
МВт.
Существует ограничение по мощности станции
МВт, при данном
распределении оно не выполняется, тогда вводим его как активное ограничение.
Тогда
МВт,
МВт.
б)
Расчет оптимального режима методом Лагранжа
Функция Лагранжа имеет вид:
(4.13)
Представим систему уравнений из частных производных в
матричной форме:
(4.14)
Решив данную систему линейных уравнений, получим:
Суммарное потребление топлива равно:
В связи с корректировкой потерь активной мощности в сети
получается следующее потокораспределение активной мощности:
На рисунке 4.2 представлено полученное потокораспределение в
сети.
Рисунок 4.2 - Потокораспределение активной мощности в сети по
методу Лагранжа
Таблица 4.1 - Результаты оптимизации по активной мощности
|
Метод расчета
|
Р1
(МВт)
|
Р2
(МВт)
|
Рб
(МВ)
|
РГ∑
(МВт)
|
В∑
(тут)
|
|
Графическое
распределение прогнозируемой нагрузки с учетом 5% потерь активной мощности
|
250
|
212,8
|
259,5
|
722,4
|
330,859
|
|
Аналитическое
распределение прогнозируемой нагрузки с учетом 5% потерь активной мощности
|
250
|
212,8
|
259,5
|
722,4
|
330,859
|
|
Графическое
распределение нагрузки с уточненными значениями потерь мощности и
поправочными коэффициентами Кi
|
283,3
|
189,8
|
249,3
|
722,4
|
329,541
|
|
Аналитическое
распределение нагрузки с уточненными значениями потерь мощности и
поправочными коэффициентами Кi
|
283,3
|
189,82
|
249,27
|
722,4
|
329,534
|
|
Графическое
распределение нагрузки с уточненными значениями потерь мощности и поправочными
коэффициентами Кi с учетом ограничений на располагаемую генерируемую мощность
|
250
|
205,4
|
267
|
722,4
|
331,057
|
|
Оптимизация
градиентным методом (без учета ограничений)
|
254,64
|
190,86
|
255,99
|
701,49
|
316,672
|
|
Оптимизация
покоординатным методом
|
305,01
|
176,58
|
219,90
|
701,49
|
317, 207
|
|
Оптимизация
обобщенным методом Ньютона
|
274,30
|
191, 20
|
235,98
|
701,49
|
315,91
|
203,22
|
140
|
358,27
|
701,49
|
339,584
|
|
Оптимизация
режима с учетом ограничения по перетоку мощности в ЛЭП методом Лагранжа
|
203,23
|
140
|
358,26
|
701,49
|
339,584
|
5.
Оценивание состояния ЭЭС
.1
Данные для оценивания состояния
В качестве исходных данных используется электрический режим,
полученный в пункте 4.1 в) обобщенным методом Ньютона без учета ограничений.
Зная удельные активные и реактивные сопротивления линий (
,
, рассчитаем проводимость
каждой ветви заданной электрической сети по формуле:
Таблица 5.1 - Продольные параметры линий
|
№ линии
|
Активное
сопротивление линии , Ом
|
Реактивное
сопротивление линии , Ом
|
Полное
сопротивление линии , Ом
|
Продольная
проводимость линии , См
|
|
1
|
2,7
|
18,585
|
|
|
|
2
|
4,8
|
33,04
|
|
|
|
3
|
2,25
|
15,4875
|
|
|
|
4
|
6
|
41,3
|
|
|
|
5
|
3,3
|
22,715
|
|
|
Так как активные проводимости очень малы, то ими можно
пренебречь.
Матрица проводимостей имеет вид:
Генерируемая мощность рассматривается как телеизмерение (ТИ),
нагрузки узлов - как псевдоизмерения (ПИ).
Для определения дополнительных (избыточных) телеизмерений
находим наиболее загруженную электропередачу и поток в ней
. Принимаем в качестве ТИ:
Место телеизмерения
- первый узел.
Распределение
активной мощности в сети
Произведем расчет режима электрической сети с помощью
следующих систем уравнений, представленных в матричном виде:
(5.1)
где
- исходное приближение для напряжения,
- матрица проводимостей,
- вектор фазовых сдвигов
по напряжению,
- вектор модулей узловых напряжений, Р, Q -
узловые мощности.
Расчет по активной мощности:
где
В качестве исходных данных используем данные, полученные в
результате решения "задачи Р" обобщенным методом Ньютона.
Распределение активной мощности в сети выполняется в
соответствие со следующим выражением:
. (5.2) Тогда потоки
активной мощности по линиям равны:
Распределение
реактивной мощности в сети
Для реактивной мощности система уравнений принимает вид:
, (5.3)
где
В качестве исходных данных используем данные, полученные в
результате решения "задачи Q" (пункт 3.5):
Таким образом, получили следующие вектора напряжений в узлах:
Перетоки реактивной мощности в сети вычисляются по формуле:
; (5.4)
;
;
;
;
;
Рисунок 5.1 - Исходные данные для оценивания состояния
5.2 Оценивание
состояния по активной мощности
Известна следующая информация:
МВт,
МВт,
МВт,
МВт
дополнительное телеизмерение;
МВт,
МВт,
МВт;
кВ.
Имеется условие, что доверие к ТИ вдвое выше, чем к ПИ.
Система уравнений для активной мощности имеет вид:
Начальное приближение:
Дополнительное ограничение по перетоку в третьей линии дает
следующее уравнение:
Так как доверие к ТИ вдвое выше, чем доверие к ПИ, необходимо
ввести матрицу весовых коэффициентов.
Запишем получившуюся систему уравнений в матричном виде:
Систему уравнений можно решить с помощью трансформации
Гаусса:
(5.5)
Тогда вектор углов равен:
Подставляя полученные значения углов (в радианах) в систему
уравнений для активной мощности, определяем узловые мощности:
Используя матрицу токораспределения, рассчитанную ранее,
определяются потоки активной мощности по ветвям:
При получении значений
и
принимаем за основу
показания телеизмерения
МВт в виду более высокого коэффициента доверия к
данной информации.
МВт.
5.3
Оценивание состояния по реактивной мощности
Система уравнений для реактивной мощности имеет вид:
Систему уравнений можно решить с помощью трансформации
Гаусса:
.
Для узла, в котором имеется ТИ и ПИ, нормативный коэффициент
находится по следующей формуле:
(5.6)
Тогда вектор модулей напряжений равен:
По найденным напряжениям вычисляем реактивные мощности в
узлах:
МВАр.
Используя матрицу токораспределения, рассчитанную ранее,
определяем потоки реактивной мощности по ветвям:
Рисунок 5.2 - Режим сети после оценивания состояния
Заключение
В ходе выполненной работы были поэтапно решены все
поставленные задачи оптимизации, а именно, прогнозирование, оптимизация, а
также оценивание состояния.
На основании исходных данных в части прогнозирования было
определено значение суммарной нагрузки в рассматриваемой электроэнергетической
системе для заданного периода времени. Для использования выбрана модель на
основе синусоидальной аппроксимации.
В соответствии с полученными данными в части оптимизации
решена задача распределения нагрузки между станциями различными методами (для
нагрузки с 5% потерь активной мощности, а также с уточненными потерями). Для
решения задачи оптимального распределения активной и реактивной мощности
использованы графические и аналитические методы, в том числе, методы
комплексной оптимизации. Более эффективным оказался обобщенный метод Ньютона,
который дал наименьший расход топлива. При расчете оптимального режима с
условием ограничения перетока мощности по линии установлена необходимость
режима работы электростанций с повышенным расходом топлива из-за ограничений по
генерации одних станций и увеличении генерации на других.
Произведен расчет одного из оптимальных режимов по упрощенным
моделям для активной и реактивной мощности. При условии заданных погрешностей и
различной достоверности информации выполнено оценивание состояния
рассматриваемой электроэнергетической системы. Исходя из полученных данных,
рассчитан электрический режим для обоих случаев, позволяющий судить о
приемлемости результатов оценивания состояния.
Таблица 5.1 - Результаты оптимизации по активной мощности
|
Метод расчета
|
Р1
(МВт)
|
Р2
(МВт)
|
Рб
(МВ)
|
РГ∑
(МВт)
|
В∑
(тут)
|
|
Графическое
распределение прогнозируемой нагрузки с учетом 5% потерь активной мощности
|
250
|
212,8
|
259,5
|
722,4
|
330,859
|
|
Аналитическое
распределение прогнозируемой нагрузки с учетом 5% потерь активной мощности
|
250
|
212,8
|
259,5
|
722,4
|
330,859
|
|
Графическое
распределение нагрузки с уточненными значениями потерь мощности и
поправочными коэффициентами Кi
|
283,3
|
189,8
|
249,3
|
722,4
|
329,541
|
|
Аналитическое
распределение нагрузки с уточненными значениями потерь мощности и
поправочными коэффициентами Кi
|
283,3
|
189,82
|
249,27
|
722,4
|
329,534
|
|
Графическое
распределение нагрузки с уточненными значениями потерь мощности и
поправочными коэффициентами Кi с учетом ограничений на располагаемую
генерируемую мощность
|
250
|
205,4
|
267
|
722,4
|
331,057
|
|
Оптимизация
градиентным методом (без учета ограничений)
|
254,64
|
190,86
|
255,99
|
701,49
|
316,672
|
|
Оптимизация
покоординатным методом
|
305,01
|
176,58
|
219,90
|
701,49
|
317, 207
|
|
Оптимизация
обобщенным методом Ньютона
|
274,30
|
191, 20
|
235,98
|
701,49
|
315,91
|
|
Оптимизация
режима с учетом ограничения по перетоку мощности в ЛЭП методом "замены
переменных"
|
203,22
|
140
|
358,27
|
701,49
|
339,584
|
|
Оптимизация
режима с учетом ограничения по перетоку мощности в ЛЭП методом Лагранжа
|
203,23
|
140
|
358,26
|
701,49
|
339,584
|
|
Результаты
оценивания состояния
|
271,70
|
188,60
|
241, 19
|
701,49
|
315,961
|
Список
использованной литературы
1.
Бартоломей П.И., Паниковская Т.Ю. Оптимизация режимов энергосистем: Учебное
пособие. Екатеринбург: изд. УГТУ-УПИ, 2008.
.
Арзамасцев Д.А., Бартоломей П.И., Холян А.М. АСУ и оптимизация режимов
энергосистем: Учебное пособие для студентов вузов / Под ред. Д.А. Арзамасцева.
М.: Высшая школа, 1983.208 с.
.
Курс лекций по дисциплине "Оптимизация в ЭЭС".
.
Курс лекций по дисциплине "Спецвопросы ЭЭС".