Исследование деформаций
1. Физические величины и их измерения
Измерения основаны на сравнении одинаковых свойств
материальных объектов. Для свойств, при количественном сравнении которых
применяются физические методы, установлено единое обобщённое понятие -
физическая величина.
По ГОСТ 16263 физическая величина - это свойство,
общее в качественном отношении многим физическим объектам (физическим системам,
их состояниям и происходящим в них процессам), но в количественном отношении
индивидуальное для каждого объекта. Индивидуальность в количественном отношении
следует понимать в том смысле, что свойство может быть для одного объекта в
определённое число раз больше или меньше, чем для другого.
К физическим величинам относятся: длина, масса, время,
электрические величины (ток, напряжение и т.п.), давление, скорость движения и
т.п.
Рис. 1.1. Схема основных элементов, участвующих в измерениях
Но запах не является физической величиной, так как он
устанавливается с помощью субъективных ощущений.
Определение «физической величины» можно подкрепить примером.
Возьмём два объекта: подшипник качения бытового пылесоса и подшипник качения
вагонных колёс. Качественные свойства у них одинаковые, а количественные
разные. Так диаметр наружного кольца подшипника качения вагонных колёс во много
раз больше аналогичного диаметра подшипника пылесоса. Аналогично можно судить и
о количественном соотношении массы и других свойств. Но для этого необходимо
знать значение физической величины, т.е. оценить физическую величину в
виде некоторого числа принятых для неё единиц. Например, значение массы
подшипника качения вагонных колёс 8 кг, радиус земного шара 6378 км, диаметр
отверстия 0,5 мм.
ГОСТ 16263 приводит ещё ряд определений, связанных с понятием
«физическая величина».
Истинное значение физической величины - это значение
физической величины, которое идеальным образом отражало бы в качественном и
количественном отношениях соответствующее свойство объекта. Оно является
пределом, к которому приближается значение физической величины с повышением
точности измерений.
Определить экспериментально истинное значение физической
величины невозможно, оно остаётся неизвестным экспериментатору. В связи с этим
при необходимости (например, при проверке средств измерений) вместо истинного
значения физической величины используют её действительное значение.
Действительное значение физической величины - это значение
физической величины, найденное экспериментальным путём и настолько
приближающееся к истинному значению, что для данной цели может быть
использовано вместо него.
При нахождении действительного значения физической величины
поверка средств измерений должна осуществляться по образцовым мерам и приборам,
погрешностями которых можно пренебречь.
При технических измерениях значение физической величины,
найденное с допустимой погрешностью, принимается за действительное значение.
Основная физическая величина - это физическая величина,
входящая в систему и условно принятая в качестве независимой от других величин
этой системы. Например, в системе СИ основными физическими величинами,
независимыми от других, являются длина l, масса m, время t и др.
Производная физическая величина - физическая величина,
входящая в систему и определяемая через основные величины этой системы.
Например, скорость v определяется в общем случае уравнением:
v=dl/dt, (1.1)
где l - расстояние; t - время.
Ещё пример. Механическая сила в этой же системе определяется
уравнением:
F=m*a, (1.2)
где m - масса; a - ускорение, вызываемое
действием силы F.
Мерой для количественного сравнения одинаковых свойств
объектов служит единица физической величины - физическая величина, которой по
определению присвоено числовое значение, равное единицы. Единицам физических
величин присваивается полное и сокращённое символьное обозначение - размерность.
Например, масса - килограмм (кг), время - секунда (с), длина - метр (м), сила -
Ньютон (Н).
Приведённые выше определения физической величины и её
значения позволяют определить измерение как нахождение значения физической
величины опытным путём с помощью специальных технических средств (ГОСТ 16263).
Это определение справедливо как для простейших случаев,
когда, прикладывая линейку с делениями к детали, сравнивают её размер с
единицей длины, хранимой линейкой, или когда с помощью прибора сравнивают размер
величины, преобразованной в перемещение указателя, с единицей, хранимой шкалой
этого прибора, так и для более сложных - при использовании измерительной
системы (для измерения нескольких величин одновременно).
. В чем различие между терминами «контроль» и
«измерение»
Измерение - это процесс получения объективной информации,
отражающей действительный, а не предполагаемый материальный, научно-технический
потенциал общества, достигнутый уровень общественного производства и т.п. На
информации, получаемой путём измерений, основываются решения органов управления
экономическим развитием на всех уровнях.
Все предприятия, деятельность которых связана с разработкой,
испытаниями, производством, контролем продукции, с эксплуатацией транспорта и
средств связи, со здравоохранением и др., проводят неисчислимое количество
измерений. На основе результатов измерений принимаются конкретные решения.
Руководство ИСО/МЭК-2 дает следующее понятие контроля: «Контроль
это процедура оценивания соответствия путем наблюдения и выработки заключения,
сопровождаемых соответствующими измерениями, испытаниями или калибровкой».
Согласно ГОСТ 16504 технический контроль - это
проверка соответствия объекта установленным техническим требованиям. Под
объектом понимается как продукция, подвергаемая контролю, так и процессы ее
создания, применения, транспортирования, хранения, технического обслуживания и
ремонта. К объекту также относится соответствующая техническая документация.
. Штриховая мера длины IА-0-200 ГОСТ 12069-90
Согласно ГОСТу 12069 штриховые меры длины предназначены для:
применения в качестве шкал приборов и станков для измерения
линейных размеров и перемещений;
использования в качестве рабочих мер для регулировки,
настройки и проверки точности измерительных приборов и перемещений в станках;
непосредственного измерения длины и перемещений в станках;
проведения поверки мер длины, шкал приборов и станков.
Штриховые меры длины изготавливаются в виде брусков четырех
типов с различными формами поперечного сечения (табл. 3.1).
Пример условного обозначения брусковой штриховой меры длины
типа I A), класса точности 0, номинальной длины 1000 мм:
Штриховая мера длины IA - 0 - 1000 ГОСТ 12069 -
90.
Штриховые меры длины могут изготавливаться однозначными или
многозначными. Однозначная штриховая мера имеет два штриха, расстояние между
которыми определяет длину шкалы меры. Штрихи должны быть расположены от торца
меры больше, чем на 10 мм.
Многозначная штриховая мера имеет ряд штрихов, нанесенных
через дециметр, сантиметр или миллиметр по всей длине меры или на отдельных ее
участках. Допускается изготовление мер с интервалами менее 1 мм.
Шкалы наносят на нейтральной плоскости мер типа I, на верхней поверхности
мер типов II и III и на боковой поверхности меры типа IV.
Штриховые меры длины изготавливают из стали, например ЭИ -
792 (нержавеющая), или из оптического стекла марок Ф8, Ф18, борного стекла
(оконного) или кварцевого стекла.
Общую длину и цену деления шкалы штриховых мер поверяют путем
сравнения с образцовыми штриховыми мерами на специальных оптических приборах -
компараторах, которые имеют отсчетные микроскопы с ценой деления 0.001 мм.
Допускаемые отклонения D длины штриховых мер, установленных в
горизонтальном положении, можно рассчитать в зависимости от номинального
значения L интервала шкалы и различных классов точности меры последующим
формулам:
для 0 класса - D=(0.5 + 0.5L); для 1
класса - D=(1 + L);
для 2 класса - D=(2 + 2L); для 3 класса -
D=(5
+5L);
для 4 класса - D=(10 + 15L); для 5 класса
- D=(20
+ 30L).
Здесь отклонение D в микрометрах,
номинальное значение длины меры L в метрах.
Таблица
3.1. Типы и характеристики штриховых мер длины
|
Тип
|
Форма поперечного сечения
|
Номинальный размер, мм
|
Класс точности
|
|
I
|
|
100 - 1000 1400-2000
|
0; 1; 2
|
|
II
|
|
60-1000
|
2; 3; 4; 5
|
|
III
|
|
250-2000
|
4; 5
|
|
IV
|
|
1000
|
5
|
Технические
требования к штриховым мерам длины, а также методы
контроля и испытаний приведены в ГОСТе 12069, методы и
средства поверки образцовых мер приведены в ГОСТе 8.353.
4. Концевые меры 1-Н3 ГОСТ 9039-90
Плоскопараллельные концевые меры длины ГОСТ 9038 имеют форму
прямоугольного параллелепипеда (плитки) с двумя параллельными измерительными
поверхностями, расстояние между которыми равно номинальному значению длины L
меры (рис. 3.1.).
Рис.
3.1. Плоскопараллельные концевые меры длины
Длина мер изменяется в пределах от 0.1 мм до 1000 мм через
опредеделенные интервалы - градации, равные 0.001; 0.005; 0.01; 0.1; 0.5; 1.0;
10; 25; 50 и 100 мм.
По ГОСТу 9038 установлены образцовые и рабочие меры длины.
Рабочие концевые меры длины предназначены для регулировки и
настройки на размер показывающих измерительных приборов, для непосредственных
измерений размеров изделий, а также для выполнения особо точных разметочных
работ и наладки станков.
Образцовые меры длины применяют для передачи размера единицы
длины от первичного эталона концевым мерам меньшей точности и для поверки и
градуировки измерительных приборов.
Концевые меры при использовании в качестве образцовых должны
быть поверены в качестве образцовых 1, 2, 3 и 4 - го разрядов по МИ 1604 и
должны иметь отличительный знак при выпуске из производства.
Рассмотрим нормируемые параметры концевых мер.
Длина концевой меры в любой точке измерительной поверхности
равна длине перпендикуляра опущенного из данной точки на противоположную
поверхность.
Отклонение длины концевой меры - наибольшая по абсолютному
значению разность между длиной меры в любой точке и номинальной длиной.
Отклонение от плоскопараллельности концевой меры есть
разность расстояний между наименьшей и наибольшими длинами.
Притираемость концевых мер - это свойство измерительных
поверхностей мер прочно сцепляться между собой или с плоскими стеклянными
пластинами при накладывании одной меры на другую или меры на пластину.
Притираемость мер объясняется молекулярным притяжением тщательно обработанных
поверхностей в присутствии тончайших слоев смазки толщиной около 0.02 мкм,
которая остается после промывки их бензином.
Перед составлением блока нужно отобрать входящие в него меры,
вытереть смазку чистой салфеткой, промыть меры в бензине и высушить. Размер
блока мер Lc равен сумме длин мер, входящих в него. Предельные отклонения длины
от номинального значения приведены в ГОСТе 9038 в зависимости от класса
точности меры и интервала номинальных размеров.
Концевые меры длины выпускаются наборами (рис. 3.2), которые
обеспечивают составления блока мер любого размера с интервалом в 1 мкм. В
машиностроении наибольшее распространение нашли набор №1, содержащий 83 меры, и
набор №3, содержащий 112 мер. В набор входят две пары дополнительных мер,
которые притираются к блоку всегда одной стороной и служат для защиты основных
мер блока от изнашивания и повреждений.
Рис. 3.2. Набор концевых мер длины
Выбор мер блока заданного размера выполняют в следующем
порядке:
) подбирают меру, которая содержит наименьшую долю размера
(включает последнюю цифру заданного размера);
) размер выбранной меры вычитают из размера блока и
определяют остаток;
) подбирают меру, которая содержит наименьшую долю остатка, и
определяют новый остаток и т.д.
Из всех возможных вариантов состава блока следует выбирать
тот, который содержит наименьшее число мер.
Пример подбора концевых мер в блок для размера 37.835 мм:
Первая мера 1.005 мм
Остаток 36.83 мм
Вторая мера 1.03 мм
Остаток 35.8 мм
Третья мера 1.8 мм
Остаток 34 мм
Четвертая мера 4 мм
Пятая мера 30 мм
Концевые меры длины изготавливают 0,1,2 и 3 классов точности,
записанных в последовательности понижения точности (класс точности 3 самый
грубый). По согласованию между потребителем и изготовителем могут
использоваться классы точности 00 и 01 (класс точности 00 самый точный).
Концевые меры длины изготавливают из стали или твердого
сплава.
Примеры условных обозначений:
Набор №2 концевых мер из стали класса точности 1:
Концевые меры 1 - Н2 ГОСТ 9039 - 90.
Набор №3 концевых мер из твердого сплава класса точности 2:
Концевые меры 2 - Н3 - Т ГОСТ 9038 - 90.
Концевая мера длины 1.49 мм из стали класс точности 3:
Концевая мера 3 - 1.49 ГОСТ 9038 - 90.
Набор №3 образцовых концевых мер 2 - го разряда:
Концевые меры образцовые 2Н03 ГОСТ 9038 - 90.
Наборы принадлежностей к концевым мерам длины позволяют с
помощью концевых мер осуществлять проверку наружных и внутренних размеров
изделий и разметочные работы.
5. Штангенциркуль ШЦ-I-150-0,1 ГОСТ 166
Штангенинструменты - это обобщенное название средств разметки
и измерений наружных и внутренних размеров. Штангенинструменты представляют
собой показывающие приборы прямого действия, у которых размер изделия
определяется по положению измерительной рамки, перемещающейся вдоль штанги со
штриховой шкалой.
Штангенинструменты изготавливают:
с отчетом по нониусу, цена деления которого составляет 0,1 мм
или 0,05 мм;
с отчетом по круговой шкале, цена деления которой равна 0,02
мм или 0,05 мм (для штангенциркулей допускается - 0,1 мм);
с цифровым отчетным устройством с шагом дискретности 0,01 мм.
Штангенинструменты с отсчетом показаний по нониусу просты по
конструкции и наиболее распространены на производстве.
К основным штангенинструментам относятся штангенциркули,
штангенглубиномеры, штангенрейсмасы и штангензубомеры. Последние будем
рассматривать в разделе «Средства контроля зубчатых колес».
Штангенциркули предназначены для измерения наружных и
внутренних размеров до 2000 мм. По ГОСТу 166 штангенциркули изготавливают
следующих основных типов:
I - двусторонние с глубиномером
ТI - односторонние с глубиномером с измерительными поверхностями из
твердых сплавов;
II - двусторонние
III - односторонние
Штангенциркуль ШЦ- I состоит из штанги 1, по которой перемещается
рамка 2. На штанге нанесена основная шкала 3 с ценой деления 1 мм, а на рамке -
шкала 4 нониуса. Зажим рамки осуществляется винтом 5. Для измерения внутренних
размеров служат губки 6, а для измерения наружных размеров - губки 7. Измерение
глубины осуществляется глубиномерной линейкой 8.
Рис. 1. Штангенциркуль ШЦ-I
деформация напряжение угольник поверочный
На штанге приборов нанесена основная шкала с ценой деления а=1
мм, а на рамке установлена или нанесена дополнительная штриховая шкала -
нониус. По положению нулевого штриха нониуса на основной шкале штанги
определяют целое число миллиметров в размере. Дробные доли миллиметра находят с
помощью нониуса.
Нониус - это равномерная дополнительная шкала с пределом
измерений, равным цене деления основной шкалы а. Для штангенинструментов
пределы измерения нониуса равны 1 мм.
Нониусы имеют различные цену c деления шкалы (отсчет
по нониусу) и модуль y, который показывает, через какое число делений
основной шкалы будут располагаться штрихи нониуса, смещенные на значение
отсчета.
Линейные нониусы бывают нескольких типов (рис. 4.7). Основные
параметры нониуса определяются:
числом деления шкалы нониуса n=a/c;
длиной деления шкалы нониуса b=y*a-c;
полной длина шкалы нониуса l=n*b=(y*n-1)*a.
Рис. 4.7. Отсчеты по нониусам штанген инструментов:
а) с=0,1 мм; y=1; n=10;
б) с=0,1 мм; y=2; n=10;
в) с=0,05 мм; y=1; n=20.
При перемещении нулевого штриха нониуса между делениями
основной шкалы штрихи нониуса будут поочередно совпадать со штрихами основной
шкалы. Когда дробная доля размера Δl=с, то со штрихом шкалы
совпадает первый штрих нониуса, при Δl=2с - второй штрих, при Δl=3с - третий штрих т.д. Таким образом, указателем
для нониуса служит штрих основной шкалы, совпадающий со штрихами нониуса. Число
десятых долей миллиметра при отсчете по нониусу равно номеру этого штриха
нониуса, умноженному на отсчет по нониусу c. На рис. 4.7, б)
и в) значения отсчетов равны 91.7 мм и 43.25 мм.
6. Микрометр МК125-2 ГОСТ 6507-90
Микрометры гладкие МК Предназначены для
измерения наружных размеров изделий. К основным деталям и узлам относятся скоба
1, пятка 2, микровинт 3, стопор 4 винта, стебель 5, барабан 6 и трещотка 7. Барабан
закреплен на микровинте с помощью установочного колпачка 8 (стопорной гайки).
Пределы измерений гладких микрометров зависят от размера
скобы и составляют 0-25; 25-50;…; 275-300 мм (рис. а) и 300-400; 400-500
и 500-600 мм (рис. б). Микрометры для размеров более 300 мм оснащены
сменными или передвижными пятками, обеспечивающими изменение диапазона
измерений на 100 мм.
а б
Рис. 4.12. Микрометры гладкие
Микрометрические инструменты выпускают 1 и 2 классов
точности. Класс точности определяют допустимую погрешность прибора. Например,
допустимая погрешность гладких микрометров до 100 мм составляет для 1 класса ± 2,5 мкм, для 2 класса - ± 4 мкм (ГОСТТ 6507).
Основанием микрометра является скоба, а
преобразующим устройством служит винтовая пара, состоящая из микрометрического
винта и микрометрической гайки, укреплённой внутри стебля; их часто называют
микро парой. В скобу запрессованы пятка и стебель. Измеряемую деталь охватывают
торцевыми измерительными поверхностями микровинта и пятки. Барабан присоединён
к микровинту с помощью колпачка в котором находится корпус трещотки. Чтобы приблизить
микровинт к пятке, вращают барабан трещотку по часовой стрелке (от себя), а для
обратного движения микровинта (от пятки) барабан вращают против часовой стрелки
(на себя). Закрепляют микровинт в требуемом положении стопором.
Для ограничения измерительного усилия
микрометр снабжён трещоткой. При плотном соприкосновении измерительных
поверхностей микрометра с поверхностью измеряемой детали трещотка начинает
проворачиваться с лёгким треском, при этом вращение микровинта следует
прекратить после трёх щелчков. Результат измерения микрометром отсчитывается
как сумма отсчётов по шкале стебля и шкале барабана. У наиболее
распространенных микрометров цена деления шкалы стебля равна 0,5 мм, а шкалы
барабана - 0,01 мм (указывается в выпускном аттестате). Некоторые прецизионные
микрометры имеют цену деления на шкале барабана 0,005, 0,002 или 0,001 мм.
Шаг резьбы микро пары (микровинт и микро
гайка) Р равен 0,5 мм. На барабане нанесено 50 делений. Если повернуть барабан
на одно деление его шкалы, то торец микровинта переместится относительно пятки
на 0,01 мм (
мм), где n число делений круговой шкалы.
Показания по шкалам гладкого микрометра
отсчитывают в следующем порядке:
· по шкале стебля читают
отметку около штриха, ближайшего к торцу скоса барабана;
· по шкале барабана читают
отметку около штриха, ближайшего к продольному штриху стебля;
· складывают оба значения и
получают показание микрометра.
Для удобства и ускорения отсчёта показаний
выпускаются микрометры с цифровой индикацией.
Для установки «на ноль» все микрометры,
кроме микрометра с диапазоном 0…25 мм, снабжены установочными концевыми мерами,
размер которых равен нижнему пределу измерения данного микрометра.
Типы и параметры согласно
ГОСТ 6507-90
|
Тип*
|
Диапазон измерений, мм
|
Допускаемая погрешность, мкм
|
Габаритные размеры, мм
|
Допуск плоскостности измерительных поверхностей
микрометра, мкм
|
Допуск параллельности плоских измерительных
поверхностей микрометра, мкм
|
|
21
|
Микрометр МК125-2
|
100-125
|
±5
|
|
0,9
|
4
|
«*» Тип: МК - обозначение
микрометра гладкого; буква Н обозначает, что отсчёт производится по
шкалам стебля и барабана с нониусом; буква Ц обозначает, отсчёт
производится по электронному цифровому устройству; двузначное число -
обозначение конечной величины диапазона, цифра после тире обозначает класс
точности.
«**» укомплектован одной установочной
мерой для диапазона измерений до 300 мм и двумя установочными мерами - свыше
300 мм.
. Диаметр гладкой части микрометрического
винта должен быть 6h9, 6,5h9 или 8h9.
. Колебание измерительного усилия на всех
типах микрометров не должно превышать 2 Н.
. Измерительное усилие должно быть не
менее 5 и не более 10 Н.
. Погрешность гладких микрометров
определяют по мерам с плоскими измерительными поверхностями.
. Цена деления шкалы барабана - 0,01 мм.
. Измерительные поверхности микрометра
должны быть оснащены твердым сплавом по ГОСТ 3882.
7. Индикатор ИЧ05 кл. 0 ГОСТ 577-68
Рычажно-механические приборы делятся на три
основные группы:
) измерительные головки - съемные отсчетные
устройства, предназначенные для оснащения приборов и контрольно-измерительных
приспособлений;
) приборы со съемными отсчетными устройствами -
индикаторные скобы, нутромеры, глубиномеры и др.;
) приборы со встроенными отсчетными устройствами -
рычажные скобы, рычажные микрометры и др.
Приборы применяют для измерения диаметральных и линейных
размеров, а также отклонений формы и расположения поверхностей (или осей). Как
правило, их используют для измерения методом сравнения с мерой. Если размеры
изделий меньше диапазона показаний прибора, то применяют метод непосредственной
оценки.
Индикаторы часового типа
Индикаторы часового типа (зубчатые измерительные головки) с
ценой деления 0,01 мм по ГОСТу 577 изготавливают следующих основных типов (рис.
1):
ИЧ 02, ИЧ 05, ИЧ 10, ИЧ 25 и ИЧ 50 - перемещение
измерительного стержня параллельно плоскости расположения шкалы, диапазоны
измерений соответственно 0 - 2, 0 - 5, 0 - 10, 0 - 25, 0 - 50 мм;
ИТ 02 - перемещение стержня перпендикулярно к плоскости
расположения шкалы и диапазон измерений 0 - 2 мм.
Рис. 1. Индикаторы часового типа
По исполнению корпуса индикаторы разделяются на обыкновенные,
брызгозащитные и пылезащитные.
Обыкновенным считается исполнение, предохраняющее механизм
индикатора от загрязнения и механических повреждений.
Брызгозащитным считается исполнение, предохраняющее механизм
индикатора от попадания брызг во время пребывания в брызгонесущей среде.
Пылезащитным считается исполнение, предохраняющее механизм
индикатора от попадания пыли во время пребывания в воздухе с повышенной
концентрацией пыли.
Устройство индикатора типа ИЧ показано на (рис. 2.)
На лицевой стороне корпуса 1 расположен циферблат 2 со шкалой
и ободок 3. В центре циферблата установлена стрелка 4 и ниже указатель 5 числа
оборотов стрелки. С корпусом 1 жестко связана гильза 6, в которой перемещается
измерительный стержень 7 с наконечником 8. В верхней части корпуса выступает
головка измерительного стержня.
Гильза 6 и ушко, которое расположено с задней стороны
корпуса, служат для крепления индикатора на стойках, штативах и
приспособлениях. Поворотом ободка 3, на котором закреплен циферблат, стрелку
совмещают с любым делением шкалы (чаще с нулевым). За головку стержень отводят
при установке изделия под измерительный наконечник.
Принцип действия индикатора заключается в следующем (рис. 3).
Измерительный стержень 12 перемещается в точных направляющих
втулках 2, запрессованных в гильзы корпуса. На измерительном стержне нарезана
зубчатая рейка 11, которая поворачивает триб 10 с числом зубьев z = 16 (трибом в приборостроении называют зубчатое колесо с
числом зубьев z £ 18).
Зубчатое колесо 9 (z = 100), установленное на одной оси с трибом 10, передает
вращение трибу 8 (z = 10). На оси триба 8 закреплена стрелка 3. В зацеплении с
трибом 8 находится также зубчатое колесо 7 (z =100). На оси колеса закреплены
указатель 4 и втулка 6 с пружинным волоском 5, другой конец которого прикреплен
к корпусу. Колесо 7 и связанный с ним волосок 5 обеспечивают постоянное касание
профилей зубьев при прямом и обратном ходе. Пружина 1 служит для создания
измерительного усилия величиной 2 Н на стержне.
Рис. 5.3. Принципиальная схема индикатора ИЧ
Передаточное отношение зубчатого механизма выполнено так, что
при перемещении измерительного стержня на расстояние l = 1 мм стрелка совершает
полный оборот, а указатель поворачивается на одно деление. Шкала индикатора
имеет число делений 100. Цена деления шкалы циферблата с = l/n = 1/100 = 0,01 мм.
Индикаторы часового типа выпускают классов точности 0 и 1. Основные допускаемые
погрешности этих индикаторов приведены в табл. 5.1.
Таблица 1. Допускаемая погрешность индикаторов часового типа
|
Класс точности
|
Допускаемая погрешность, мкм, в пределах
участка шкалы, мм
|
|
0,1
|
1
|
0 - 2
|
0 - 5
|
0 - 25
|
|
0
|
4
|
8
|
10
|
12
|
15
|
22
|
|
1
|
6
|
10
|
12
|
16
|
20
|
30
|
Примеры условных обозначений.
Индикатора исполнения ИЧ с диапазоном измерения 0 - 2 мм,
обыкновенного, класса точности 0:
Индикатор ИЧ 02 кл. 0 ГОСТ 577.
Индикатора исполнения ИЧ с диапазоном измерения 0 - 10 мм,
брызгозащитного, класса точности 1:
Индикатор ИЧ 10Б кл. 1 ГОСТ 577.
Индикатора исполнения ИТ, пылезащищенного, класса точности 1.
Индикатор ИТП кл. 1 ГОСТ 577.
8. Оптикатор
Оптикаторы представляют собой измерительные
пружинно-оптические головки, в которых механическая пружинная передача
сочетается с оптическим рычагом. Они отличаются высокой точностью и
стабильностью измерений, предназначены для поверки концевых мер и особо точных
измерений ответственных изделий и применяются в универсальных стойках С-1 и
приспособлениях.
Оптикатор (рис. 6.2) имеет такое же устройство пружинной
передачи, как и микрокатор, но вместо стрелки к пружинной ленте 1 прикреплено
зеркало 2. Свет от лампочки 6 проходит через конденсор 5 и щель диафрагмы 4,
посередине которой натянута нить.
Рис. 6.2. Оптикатор:
а принципиальная схема; б внешний вид
Конденсор - это оптическая система, служащая для освещения
рассматриваемого или проецируемого предмета параллельными лучами света.
Изображение нити проецируется объективом 3 на зеркало 2 и, отразившись от него,
падает на шкалу прибора.
. Характеризуйте параметры для оценки
шероховатости
Шероховатость поверхности - совокупность
неровностей поверхности с относительно малыми шагами на базовой длине.
Измеряется в микрометрах (мкм). Шероховатость относится к микрогеометрии
твёрдого тела и определяет его важнейшие эксплуатационные свойства. Прежде
всего износостойкость от истирания, прочность, плотность (герметичность)
соединений, химическая стойкость, внешний вид. В зависимости от условий работы
поверхности назначается параметр шероховатости при проектировании деталей
машин, также существует связь между предельным отклонением размера и
шероховатостью. Исходная шероховатость является следствием технологической
обработки поверхности материала, например, абразивами. В результате трения и
изнашивания параметры исходной шероховатости, как правило, меняются.
Параметры шероховатости
Исходная шероховатость является следствием
технологической обработки поверхности материала. Для широкого класса
поверхностей горизонтальный шаг неровностей находится в пределах от 1 до 1000
мкм, а высота - от 0,01 до 10 мкм. В результате трения и изнашивания параметры
исходной шероховатости, как правило, меняются, и образуется эксплуатационная
шероховатость. Эксплуатационная шероховатость, воспроизводимая при стационарных
условиях трения, называется равновесной шероховатостью.
Нормальный профиль и параметры шероховатости поверхности.
На рисунке схематично показаны параметры
шероховатости, где:
- базовая длина;
- средняя линия профиля;
- средний шаг
неровностей профиля;
- средний шаг местных выступов профиля;
- отклонение пяти
наибольших максимумов профиля;
- отклонение пяти наибольших минимумов профиля;
- расстояние от высших
точек пяти наибольших максимумов до линии параллельной средней и не
пересекающей профиль;
- расстояние от низших точек пяти наибольших
минимумов до линии параллельной средней и не пересекающей профиль;
- наибольшая высота
профиля;
- отклонения профиля от
линии
;
- уровень сечения
профиля;
- длина отрезков,
отсекаемых на уровне
.
· Высотные параметры:
· Ra - среднее арифметическое
отклонение профиля;
· Rz - высота неровностей
профиля по десяти точкам;
· Rmax - наибольшая высота
профиля;
· Шаговые параметры:
· Sm - средний шаг
неровностей;
· S - средний шаг местных
выступов профиля;
· tp - относительная опорная
длина профиля, где p - значения уровня сечений профиля из ряда 10; 15;
20; 30; 40; 50; 60; 70; 80; 90%.
Ra, Rz и Rmax
определяются на базовой длине l которая может принимать значения из ряда
0,01; 0,03; 0,08; 0,25; 0,80; 2,5; 8; 25 мм.
Параметр Ra является
предпочтительным.
Способы измерения
· Визуальный (сравнение по
образцам).
· Бесконтактный (при помощи
микроскопа).
· Контактный (профилометр).
10. Приведите назначение, типы и основные
параметры угольников поверочных
Угольники поверочные 900 (ГОСТ 3749) предназначены
для проверки и разметки прямых углов деталей, для контроля изделий при сборке
или монтаже и т.п. Угольники выпускают следующих типов:
УЛ - лекальные (рис. а);
УЛП - лекальные плоские (рис. б);
УЛЦ - лекальные цилиндрические (рис. в);
УП - слесарные плоские (рис. а);
УШ - слесарные с широким основанием (рис. б).


а б в
Рис. Угольники лекальные

а
б
Рис. Угольники слесарные
БВ - измерительные поверхности угольников,
Г, Ж - опорные поверхности, Е - боковые поверхности
Чертежи не определяют конструкцию
угольников.
.2. Основные размеры угольников типов УЛ;
УЛП; УП и УШ должны соответствовать указанным в табл. 1.
H
|
L
|
|
УЛ; УЛП; УП; УШ
|
60
|
40
|
|
100
|
60
|
|
160
|
100
|
|
УЛП; УП; УШ
|
250
|
160
|
|
УП; УШ
|
400
|
250
|
|
УШ
|
630
|
400
|
|
1000
|
630
|
|
1600*
|
1000
|
* Угольники типа УШ с H=1600
мм должны изготовляться по заказу потребителя.
.3. Основные размеры угольников типа УЛЦ
должны соответствовать указанным в табл. 2.
|
H
|
160
|
250
|
400
|
630
|
|
D
|
80
|
100
|
125
|
160
|
.4. Угольники должны изготовляться трех
классов точности в соответствии с табл. 3.
|
Тип
|
Н, мм
|
Классы точности
|
|
УЛ; УЛП; УЛЦ
|
По табл. 1 и 2
|
0; 1
|
|
УП
|
|
1; 2
|
|
УШ
|
От 60 до 400
|
0; 1; 2
|
|
630 и 1000
|
1; 2
|
|
1600
|
2
|
Примечание. Угольщики типов УЛП и УЛЦ
класса точности 1 следует изготовлять до 01.01.96. Угольники типа УШН-630 мм
следует изготовлять класса точности 0 с 01.01.96.
Пример условного обозначения плоского
лекального угольника 0-го класса точности, с Н=160 мм:
УгольникУЛП-0-160 ГОСТ
3749-77
11. Характеризуйте основные параметры резьбы и
взаимосвязь между ними. Что представляет приведенный средний диаметр резьбы?
Основными параметрами метрических резьб являются (рис. 1): d, (D) - наружный диаметр; d2, (D2) - средний диаметр; d1,(D1) - внутренний диаметр; d, d2, d1 - диаметры болта, D, D2, D1 - диаметры гайки; P - шаг резьбы; a - угол профиля резьбы; a/2 - половина угла
профиля; H
- высота исходного треугольника; H1 - рабочая высота профиля.
Размеры резьбы стандартизованы по диаметру и шагу. Диаметр,
условно характеризующий размеры резьбы и используемый при её обозначении,
называется номинальным диаметром резьбы. Номинальное значение угла
для метрической резьбы
равно 600.
/2-половина угла профиля.
Рис. 10.1. Основные параметры резьбы
Метрическая резьба с крупным шагом обозначается буквой М и
номинальным диаметром, например, М20. В обозначении резьбы с мелким шагом после
номинального диаметра указывают величину шага в мм (М20 ´1,5).
Для левой резьбы в обозначении добавляются буквы LH, например: M20LH, M20 ´1,5LH.
В обозначении многозаходной резьбы указывают значение хода и
в скобках шаг Р с числовым значением. Например, для трех заходной резьбы с
шагом 1 мм и значением хода 3 мм: M20´3 (Р1); M20´3 (Р1) LH.
При изготовлении резьбы из-за неточности станка,
резьбонарезного инструмента и других причин неизбежно возникают ошибки в шаге и
половине угла профиля, которые невозможно устранить. При наложении реального
профиля резьбы, имеющей накопленную погрешность шага DР, на идеально точный
профиль при равенстве средних диаметров болта и гайки детали не свинтятся.
Свинчиваемость резьбовых деталей обеспечивается тем, что
средний диаметр резьбы болта уменьшается на величину fр или средний диаметр
резьбы гайки увеличивается на эту же величину.
Причем для метрических резьб
fp = 1,73 × DR, (1)
где fp - диаметральная компенсация погрешности шага,
мкм;
DP - накопленная
погрешность шага (разность между действительным и номинальным значениями n шагов на длине
отвинчивания), мкм.
Аналогично ошибка половины угла профиля компенсируется за
счет уменьшения среднего диаметра резьбы болта или увеличения среднего диаметра
резьбы гайки на величину
Для метрических резьб
где fa - диаметральная
компенсация погрешности половины угла профиля, мкм; Р - номинальный шаг резьбы,
мм; Da/2 - погрешность половины угла профиля (разность между
действительным и номинальным значениями половины угла профиля), мкм. Для
метрических резьб a/2=300.
Половина угла профиля a/2, а не полный угол профиля,
принята за один из основных параметров для того, чтобы учесть не только
правильность изготовления всего угла (a=60° для метрических резьб),
но и не перпендикулярность биссектрисы этого угла к оси резьбы.
Погрешности шага резьбы и половины угла профиля, хотя и
имеются при обработке, для резьбы с зазором стандартом отдельно не установлены.
Допуски в таблицах стандартов заданы на приведенный средний
диаметр, т.е. это суммарные допуски, учитывающие допускаемые погрешности
изготовления собственного среднего диаметра, а также шага и половины угла
профиля.
Под приведенным средним диаметром болта следует понимать
средний диаметр реального болта, увеличенный на (fp + fa), т.е. как бы возвращенный к идеальному среднему диаметру
сопрягающейся с ним гайки:
d2пр = d2изм + (fp + fa), (3)
где d2пр - приведенный средний диаметр болта; d2изм - собственно средний
диаметр болта.
Для гайки приведенный диаметр определяется так:
D2пр = D2изм - (fp + fa). (4)
Контролировать резьбу можно комплексным и дифференцированными
методами.
При комплексном контроле с помощью проходного резьбового
калибра одновременно контролируют средний диаметр, шаг и половину угла профиля.
При дифференцированном методе проверяют каждый параметр резьбы отдельно.
. Средства для измерения кинематической
погрешности зубчатого колеса
Комплексным показателем норм кинематической точности является
кинематическая погрешность зубчатого колеса. Кинематической погрешностью
называется разность между действительным и расчетным углами поворота зубчатого
колеса, проворачиваемого ведущим образцовым зубчатым колесом.
Измерение кинематической погрешности зубчатых колес
осуществляется на приборах мод. БВ-608к, БВ-5053, УМК-5 и др. Схема и внешний
вид прибора БВ-608к приведены на рис. 2.
Измеряемое колесо 1 (рис. 1а) закрепляют на оправке 2.
Эталонное колесо 4 посажено на втулку 5, которая имеет возможность углового
проворота (проскальзывания) относительно оправки 2. Проверяемое 1 и эталонное 4
колеса одновременно находятся в зацеплении с широким колесом 3. При вращении
зубчатых колес из-за наличия кинематической погрешности проверяемого колеса
будет происходить проскальзывание втулки 5 с эталонным колесом 4 относительно
оправки 2 с измеряемым колесом 1. Величину угла проворота фиксирует датчик 6.
Сигнал датчика усиливается и записывается на диаграммной ленте за один оборот
колеса (см. рис. 1б).
Величина кинематической погрешности
определяется как
алгебраическая разность между наибольшим и наименьшим показаниями прибора за
один оборот колеса.
Рис. 1. Схема и прибор для измерения кинематической
погрешности зубчатых колес
Прибор БВ-608к (рис. 1в) имеет
промежуточное колесо 5, установленное на каретке 7, которая перемещается
маховиком 9 вдоль основания 10 и стопорится винтом 13. Соосные
шпиндели для установки проверяемого 4 и измерительного 3 колес
установлены на неподвижной каретке 2. Номинальное межцентровое
расстояние между осями устанавливают по нониусу 11 шкалы 12. При
измерении промежуточное колесо вращают вручную маховиком 6 или с помощью
привода 7. Самопишущий прибор 6 вычерчивает график кинематической
погрешности.
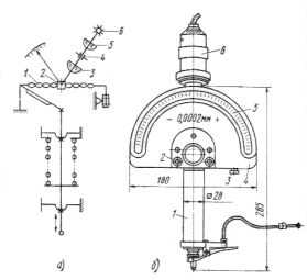
13 Средства и методы измерения деформаций и
механических напряжений
Этот тип приборов находит наиболее широкое применение благодаря
простоте конструктивных решений, достаточно высокой точности и надежности, а
также небольшим габаритам. Деформационные манометры позволяют проводить
измерения в широком диапазоне и передавать и осуществлять дистанционную
регистрацию результатов.
Работа приборов основана на измерении деформации упругого
чувствительного элемента, возникающей в результате воздействия измеряемого
давления. Деформация фиксируется отсчетным устройством прибора, градуированным
в единицах давления.
Деформационные манометры по виду упругого чувствительного
элемента принято классифицировать на следующие группы приборов: с трубчатой
пружиной, или, собственно, пружинные приборы; мембранные; пружинно-мембранные;
сильфонные; пружинно-сильфонные приборы.
Манометры с одновитковой трубчатой пружиной (рис. 15.4) имеют
металлическую трубку эллиптического или плоскоовального сечения, согнутую по
дуге окружности. Один конец трубки через штуцер жестко соединен с полостью, в
которой измеряется давление Второй запаянный конец трубки свободен и соединен
со стрелкой прибора. При изменении давления внутри трубки изменяется ее
кривизна, что фиксируется стрелкой показывающего прибора. Аналогичную
конструкцию имею! вакуумметры и мановакуумметры.
Перемещение свободного конца трубчатой пружины находится в
прямой зависимости от давления. Пружина работает в зоне пропорционального
изменения напряжения и деформации, вследствие чего градуировка шкалы манометра
равномерная. Однако перемещение свободного конца одновитковой пружины невелико
(до 5-8 мм). При превышении предела пропорциональности незначительное
приращение давления р приводит к появлению остаточной деформации пружины
и погрешности измерения. На точность измерений трубчато-пружинными манометрами
оказывает влияние упругий гистерезис трубки, определяемый как разность
положения конца трубки при одном и том же давлении при постепенном повышении
(прямой ход) и понижении (обратный ход) давления, а также упругое
последействие, которое проявляется в том, что при достижении некоторого
давления деформация трубки продолжается, несмотря на то что давление больше не
изменяется. Упругий гистерезис и упругое последействие вызывают специфические
погрешности всех деформационных манометров.
У трубчато-пружинных приборов чувствительность растет с
уменьшением толщины стенок трубки, увеличением радиуса и центрального угла
кривизны пружины, а также
с увеличением отношения осей поперечного сечения трубки.
Деформационные приборы изготавливаются для работы в качестве
образцовых, контрольных и технических с классами точности от 0,2 до 4. Пределы
измерения приборов от 0,1 до 1000 МПа, а по вакуумметрической части шкалы - до
- 0,1 МПа.
Манометры с многовитковой трубчатой пружиной представляют
собой приборы, имеющие как бы последовательно соединенные 6-9 одновитковых
пружин. При этом развивается значительное усилие, что позволяет использовать
многовитковые пружины в самопишущих манометрах.
Приборы, использующие в качестве чувствительного элемента
гофрированные мембраны (рис. 15.5), мембранные коробки и блоки, применяются для
измерения небольших избыточных давлений и разрешений (манометры, напоромеры и
тягомеры), а также перепадов давлений (дифманометры). Гофрировка мембраны
значительно уменьшает нелинейность характеристики и увеличивает чувствительность.
Связь между прогибом и давлением в общем случае нелинейна. Для увеличения
прогиба мембраны в приборах измерения малых давлений используется соединение
мембран попарно в мембранные коробки, а коробок - в блоки. Мембранные коробки в
зависимости от конструкции могут быть анероидными и манометрическими.
Манометры для измерения давления до 0,4 МПа, а также
вакуумметры и мановакуумметры могут иметь в качестве чувствительного элемента
гофрированный тонкостенный цилиндрический сосуд с закрытым дном - сильфон 2.
Сильфоны изготавливаются из нержавеющей стали и бериллиевой бронзы. При
изменении давления изменяется высота сильфона, и шток / перемещается и приводит
в движение стрелку отсчетного устройства и перо самописца. Сильфонные приборы
имеют характеристику, близкую к линейной, но сравнительно большой гистерезис.
Для уменьшения последнего недостатка сильфоны применяют с дополнительными
винтовыми пружинами.