Макроэкономическое планирование и прогнозирование в туризме

  • Вид работы:
    Курсовая работа (т)
  • Предмет:
    Эктеория
  • Язык:
    Русский
    ,
    Формат файла:
    MS Word
    99,73 Кб
  • Опубликовано:
    2014-02-09
Вы можете узнать стоимость помощи в написании студенческой работы.
Помощь в написании работы, которую точно примут!

Макроэкономическое планирование и прогнозирование в туризме

Министерство образования и науки Российской Федерации

Федеральное агентство по образованию

Федеральное государственное бюджетное образовательное учреждение высшего профессионального образования

Сибирская государственная геодезическая академия

ФГБОУ ВПО «СГГА»

Специальность: Экономика




КУРСОВАЯ РАБОТА

Тема:

Макроэкономическое планирование и прогнозирование в туризме



Выполнил: студент ЭТзс-32 гр.

Колтунова Елена Николаевна


Содержание

Введение

. Теоретическая база и методология прогнозирования

.2 Сущность прогнозов и их классификация

.2 Методы прогнозирования

. Анализ условий реализации ФЦП «Развитие внутреннего и въездного туризма в Российской Федерации (2011-2018 годы)» в Сибирском федеральном округе

.1 Общая характеристика и структура Федеральной целевой программы

.2 Проекты программы по Сибирскому федеральному округу на примере Алтайского края

.3 Эффективность реализации программы и условия внесения новых проектов в перечень мероприятий

. Проект создания туристического комплекса в Алтайском крае «Особая Юрта»

.1 Краткое описание инвестиционного проекта

.2 Определение инвестиционной привлекательности проекта

.3 Социальная эффективность проекта

Заключение

Список литературы

Приложение

Введение

В настоящее время туризм является высокодоходной отраслью, сравнимой по эффективности инвестиционных вложений с нефтегазодобывающей и перерабатывающей. В сфере туризма тесно переплетены интересы культуры, транспорта, безопасности, международных отношений, гостиничного бизнеса и др. Эта отрасль имеет большое значение для государства в целом, субъектов РФ, муниципальных образований и общества. Россия располагает огромным потенциалом как для развития внутреннего туризма, так и для приема иностранных путешественников. У нее есть все необходимое - огромная территория, богатое историческое и культурное наследие, а в отдельных регионах - нетронутая, дикая природа.

Полномочия по оказанию государственных услуг, управлению государственным имуществом, а также правоприменительные функции в сфере туризма в Российской Федерации осуществляет Федеральное агентство по туризму.

Наиболее подробно вопросы развития туризма в стране регламентированы нормами Федерального закона от 24.11.1996 г. №132-ФЗ "Об основах туристской деятельности в Российской Федерации". Федеральный закон определяет цели, приоритетные направления и способы государственного регулирования туристской деятельности в стране; регулирует отношения, возникающие при реализации прав граждан РФ, иностранных граждан и лиц без гражданства на отдых, свободу передвижения и иных прав при совершении путешествий; их защите, обеспечении безопасности; регламентирует вопросы международного сотрудничества в указанной сфере; устанавливает, что приоритетными направлениями государственного регулирования туристской деятельности являются поддержка и развитие внутреннего, въездного, социального и самодеятельного туризма, а также обеспечение соблюдения прав и свобод российских граждан при посещении иностранных государств.

Несмотря на то, что вопросы реализации государственной политики в области туризма подробно регулируются действующим российским законодательством, показатели развития отрасли нуждаются в дальнейшей регламентации и совершенствовании.

В этой связи становится актуальным применение прогнозных методов отраслевого развития.

Цель работы - изучить методы социально-экономического прогнозирования.

Поставленную цель конкретизируют следующие задачи:

рассмотреть сущность прогнозов и дать их классификацию;

показать цели и задачи составления прогнозов;

проанализировать методы прогнозирования;

на примере показать применение методов прогнозирования в туризме.

Объект исследования управленческая деятельность в сфере туризма.

Предмет исследования - процесс макроэкономического прогнозирования.

1. Теоретическая база и методология прогнозирования

 

1.2 Сущность прогнозов и их классификация


Человека всегда интересовали события и время, следующие за настоящим. Собственно, любой вид знания рассматривался как основа для правильного понимания будущего. Обычно будущее мыслится людьми как естественное продолжение настоящего, но с учётом субъективного опыта каждого: для одного оно может быть лучше, а для другого - хуже настоящего. Иногда в образе будущего проявляется идеализация существующего положения вещей: оно воспринимается как настоящее с исправленными недостатками. Такого рода неточности предвидения связаны с особенностями человеческой психики и мышления. Однако действительное будущее может существенно отличатся от привычного о нём представления человека.

И это отличие, как правило, бывает связано с качественными преобразованиями явлений. Могло ли например население СССР в 80-х годах предполагать, в каком обществе ему придётся жить уже через 10 лет?

Как же избежать неточностей при формировании образа будущего? Как показать опыт, только поняв законы развития и овладев знанием методологии научного предвидения. Понимание будущего, основанное на закономерностях развития природы, общества и мышления, связано с прогнозированием.

Объективность в формировании образа будущего зависит от знания этих закономерностей и правильного их использования. Так, прогнозируя будущее, можно уменьшить неточности при его определении, но полностью избавиться от них почти невозможно. Во-первых, нельзя считать достаточным уровень развития знаний о законах природы, общества и мышления. Во-вторых, в восприятии законов слишком велика роль субъективизма. В-третьих, один человек не имеет возможности охватить массу разнообразной информации.

Неточное формирование образа будущего обычно ведёт к утопии, для которой характерно представление о желаемом будущем, а не об объективно достижимом.

Представление о будущем называется предвидением. Научное предвидение - это опережающее отображение действительности, основанное на познании законов природы, общества и мышления. Научное предвидение может иметь форму: предсказания, которому присущ описательный характер, или форму предсказания, когда указываются необходимые действия для достижения цели.

Формой предсказания является прогноз, т.е. научное исследование, направленное на определение перспективы развития явления.

Прогнозируются те явления, на которые человек не может оказать влияние или оно бывает слабым. Например, разрабатываются прогнозы погоды, урожая, моды, спроса на товары, рождаемости смертности. Понятно, что эти явления невозможно предсказать с высокой точностью, а тем более запланировать.

Предсказание, в отличие от предсказания, связано с решением проблемы. Здесь обязательно присутствует волевое решение человека (группы людей) по достижению намеченной цели. Предсказание может быть в форме планирования, программирования или проектирования. В экономической жизни чаще применяются первые две формы.

В ниже приведённом рисунке представлена структура экономического предвидения.

Структура экономического предвидения

Планирование - это проекция в будущее для достижения поставленной цели при определённых условиях и возможностях.

Программирование - это установление основных положений, которые в дальнейшем могут быть конкретизированы в виде планов.

Прогноз и план как производные экономического предвидения имеют в своей природе много общего, хотя план рассматривается как более сложная категория. Отметим три особенности прогноза и плана.

1. Прогноз связан с объективным течением жизни и исходит из её диалектического понимания, когда необходимость пробивает себе дорогу среди случайностей; план же включает решение, волю и ответственность лиц, его принявших, с целью преобразования действительности.

2.      Для прогноза характерно вероятностное наступление события; план рассматривает это событие как цель деятельности.

.        Для прогноза характерны альтернативные пути и сроки достижения события; для плана характерно решение о системе, сроки и средства достижения нужного события.

Таким образом, прогноз и план, имея много общего, имеют и различия. Последние заключаются, во - первых, способе оперирования информацией о будущем: прогноз - это вероятность, план - это решение; во- вторых, в количественной оценке будущего: прогноз - это диапазон(интервал) значения, план - конкретная величина; в - третьих, в отношении к свободе: прогноз - это необязательность действий, план - обязательность исполнения. В ниже приведённых главах я пытался дать детальную характеристику, сущности, видам и классификации прогнозов.

Сущность и классификация прогнозов

Научное познание и использование законов развития общества тесно связано с прогнозами. Прогноз в переводе с греческого означает «вперёд, узнавание».

Прогноз - это научно обоснованное суждение о возможных состояниях объекта в будущем, альтернативных путях и сроках их осуществления.

Чтобы дать общую характеристику прогноза, рассмотрим его основные особенности.

1. Прогноз является следствием действительности как единого целого, а будущее, отражённое в прогнозе, - это результат сложного комплекса причин и условий. В прогнозе отражаются реальные условия и противоречия, обуславливающие изменение прогнозируемого явления. Прогноз - это итог выводов, эмпирических данных и обоснованных предположений; представляет аргументированное заключение о направлениях развития в будущем.

2.      Вероятность возникновения будущего как следствия реальных событий имеет элемент случайности. Случайность рассматривается как внутренняя закономерность явлений. Поэтому прогноз должен иметь оценку степени вероятности наступления события.

.        Прогноз, обладающий потенциалом будущего, испытывает влияние различных признаков действительности или моделирует эти признаки. При отсутствии изученных закономерностей развития для прогноза используется гипотеза о закономерностях.

.        Для составления прогноза необходимы научные исследования количественного и качественного характера, исключая количественную оценку на будущее.

.        Прогноз является ориентиром для планирования; обуславливает исследовательскую основу для подготовки плана.

.        Прогноз носит вариантный характер и является многовариантным.

.        Временные и пространственные горизонты прогноза зависят от сущности рассматриваемого явления; он удобен как итеративный, т.е. повторяющийся и непрерывный процесс.

.        При разработке прогноза не ставятся конкретные задачи и исключаются детализация.

.        Точность прогноза проверяется временем.

.        При разработке прогноза от специалиста требуется соблюдение объективности и научная добросовестность и не допускается субъективизм в оценке прошлого, настоящего и будущего.

Исследованием закономерностей разработки прогнозов занимается научная дисциплина прогностика. Процесс разработки прогноза называется прогнозированием.

Приступая к изучению экономических прогнозов, надо помнить, что экономику следует рассматривать как стоимостное следствие жизнедеятельности общества, а объяснения тех или иных показателей и явлений, связанных с деятельностью общества, дают такие науки, как психология, социология, политика, технология и др.

Поэтому экономические прогнозы, например прогноз спроса на отдельный товар, тесно связаны с иными прогнозами, в частности, демографическими, социально-медицинскими, потребительскими, учёт которых, безусловно, повышает надёжность экономического прогноза.

Таким образом, экономическое прогнозирование следует рассматривать как систему научных исследований количественного и качественного характера, направленных на выяснение тенденций развития экономических отношений и поиск оптимальных решений по достижению целей этого развития.

Экономическое прогнозирование имеет больше общего с природой плана, чем с прогнозом вообще. Экономический прогноз не просто интерпретирует закономерности и внешние условия развития, а используется для поиска нужных решений. Он может рассматриваться как начальная стадия планирования, определяющая выбор путей достижение целей этого плана.

Соответственно, экономический прогноз - это итог экономического прогнозирования. Хотя он и носит вероятностный характер, но всё же обладает определённой степенью достоверности.

На практике экономический прогноз - это документ, фиксирующий возможную степень достижения тех или иных целей субъекта хозяйствования в зависимости от способа будущих действий.

В дополнение к ранее указанным общим характеристикам прогноза, отметим, что экономический прогноз позволяет;

оценить состояние и осуществить поиск возможных вариантов управленческих решений;

определить очертания области и возможности для изменения будущих событий;

выявить проблемы, слабо выраженные в настоящем, но возможные в будущем;

осуществить поиск вариантов активного воздействия на объективные факторы будущего;

моделировать варианты событий при учёте ведущих факторов.

Назначение экономического прогноза выражается в его функциях. К основным функциям экономического прогноза относят:

анализ социально-экономических и научно-технических процессов и тенденций, объективных причинно-следственных связей этих явлений в конкретных условиях, в том числе оценку сложившейся ситуации и выявление проблем хозяйственного развития;

оценку этих тенденций в будущем; предвидение новых экономических условий и проблем, требующих разрешения;

выявление альтернативы развития в перспективе; накопление экономической информации и расчётов для обоснования выбора и принятия оптимального управленческого решения, в том числе в плане.

Экономический прогноз представляет собой средство достижения поставленных целей хозяйствования в рамках экономических отношений. Он не является самоцелью, а служит задачам достижения эффективного хозяйствования, которое осуществляется по законам рыночной экономики.

Экономические законы изучаются теорией, названной «экономикс». Поэтому по отношению к экономической теории экономическое прогнозирование носит вспомогательный характер.

В прогнозировании выделяют понятия «объект» и «прогнозный фон». К объекту прогнозирования относятся процессы, явления и события, на которые направлена познавательная и практическая деятельность человека.

Прогнозным фоном называется совокупность внешних по отношению к объекту условий, существенных для обоснованности прогноза.

Сложилась определённая классификация экономических прогнозов, т.е. система их деления на классы согласно определённым признакам (критериям). Типовая классификация экономических прогнозов предусматривает их деление с учётом следующих критериев:

1. В соответствии с проблемно-целевым критерием различают прогнозы: поисковый и нормативный. Этот критерий даёт ответ на вопрос: «Для чего разрабатывается прогноз?»

Поисковый прогноз (или: исследовательский, трендовый, генетический) - это прогноз определения возможных состояний явления в будущем. Он отвечает на вопрос: что вероятнее всего произойдёт при условии сохранения действующих тенденций. Примерами такого прогноза являются прогнозы урожайности сельскохозяйственных культур числа браков или разводов в обществе.

Основным методом прогнозирования является экстраполяция. Нормативный прогноз (или: программной, целевой) выполняется с целью определения путей и сроков достижения возможных состояний объекта прогнозирования в будущем, принимаемых в качестве цели. Например, составляется прогноз динамики потребления мясопродуктов населением региона при имеющихся физиологических нормах потребления. Основным методом прогнозирования является интерполяция.

2. По критерию природы объекта выделяют прогнозы социальные (в том числе демографические); ресурсные (природные, материальные, трудовые, финансовые); научно-технические (перспективы развития науки и техники и влияния этих достижений на экономику); общественных и личных потребностей (спрос, потребление отдельных товаров, потребности в объектах образования, здравоохранения, правопорядка, культуры и др.)

3.      По критерию времени выделяют прогнозы: оперативные, краткосрочные, среднесрочные, долгосрочные, дальнесрочные.

Оперативный прогноз составляется на период до 1 месяца; краткосрочный - от 2 месяцев до 1 года; среднесрочный - от 1 года до 5 лет; долгосрочный - от 5 до 15 лет; дальнесрочный - на период свыше 15 лет.

4. По критерию сложности различают прогнозы: сверхпростой, простой, сложный, сверхсложный. Эти прогнозы различаются наличием взаимосвязанных переменных в их описании: в сверхпростом прогнозе отсутствуют существенные взаимосвязи, в сверхсложном прогнозе - взаимосвязи тесные (с коэффициентом корреляции близким к 1).

5.      По степени детерминированности объекта прогнозы могут быть: детерминированными, т.е. без существенных потерь информации в описании условий, стахостическими, в которых требуется учёт случайных величин, смешанными, включающими характеристики двух вышеуказанных прогнозов.

.        По критерию характера развития объекта во времени различаются прогнозы: дискретные, для которых характерен трен со скачкообразными изменениями в фиксированные периоды времени, апериодические, для которых характерна периодическая функция времени.

.        По критерию количественной оценки различаются прогнозы: интервальные, точечные. Интервальный прогноз представлен результатом в виде доверительного интервала. Точечный прогноз представлен результатом в виде единственного значения характеристики объекта в будущем.

.        По критерию масштабности объекта различают прогнозы: сублокальные, локальные, суперлокальные (субглобальные), глобальные.

Понятно, что для отдельной фирмы или объединения предприятий речь, как правило, может идти о первых трёх видах, а для региона или страны (нескольких стран) более характерны три последних вида прогноза.

Методические основы прогнозирования

Для изучения любой науки необходимо знать её методологию. Методология научного экономического предвидения включает совокупность принципов, методов и показателей, применяемых в процессе прогнозирования и планирования.

Принцип прогнозирования характеризует основное исходное положение или идею теории. К основным принципам прогнозирования относятся: системность, согласованность, вариантность, непрерывность, верифицируемость, т.е. определение достоверности, и эффективность.

Системность в прогнозировании означает требование взаимосвязанности и соподчинённости объекта, фона и элементов прогнозирования. Согласованность в прогнозировании означает необходимость согласования поисковых и нормативных прогнозов различной природы (признаков) и различного срока упреждения времени.

Вариантность в прогнозировании означает требование разработки вариантов прогнозов, исходя из вариантов прогнозного фона. Принцип непрерывности заставляет производить корректировку прогноза по мере поступления новой информации об объекте прогнозирования. Верифицируемость означает потребность в достоверности, точности и обоснованности прогноза. Эффективность (или рентабельность) прогнозирования определяет необходимость превышения экономического эффекта от использования прогноза над затратами по его разработке.

Основные исходные положения теории прогнозирования не исчерпываются указанными принципами. Определённые требования предъявляются и к разработке отдельных элементов прогноза. Так, один из элементов прогнозирования - анализ - должен проводиться с учётом таких принципов, как природная специфичность, оптимизация описания объекта прогнозирования, аналогичность и др.

В прогнозировании большое значение имеет выбранный метод, а также приём. Приём прогнозирования - это одна или несколько математических или логических операций, направленных на получение конкретного результата при прогнозировании. В качестве примеров таких приёмов можно назвать сглаживание или выравнивание динамического ряда, расчёт средневзвешанного значения величин.

Метод прогнозирования - это способ исследования объекта прогнозирования, направленный на разработку прогноза. Совокупность специальных правил, приёмов и методов составляет методику прогнозирования.

К наиболее распространенным методам прогнозирования относятся: экстраполяция, нормативные расчёты, в том числе интерполяция, экспертные оценки, аналогия, математическое моделирование.

Экстраполяция - это метод, при котором прогнозируемые показатели рассчитываются как продолжение динамического рода на будущее по выявленной закономерности развития. По сути, экстраполяция является переносом закономерностей и тенденций прошлого на будущее на основе взаимосвязей показателей одного ряда.

Метод позволяет найти уровень ряда за его пределами, в будущем. Экстраполяция эффективна для краткосрочных прогнозов, если данные динамического ряда выражены ярко и устойчиво.

Рассмотрим несложные примеры экстраполяции в экономическом прогнозировании.

Пример 1. Составить прогноз продажи хлебобулочных изделий в магазине на 11-день его работы.

Известно, что за прошедшие 10 дней работы объём продажи хлебобулочных изделий в магазине составил (в тоннах):

1-й день

2-й день

3-й день

4-й день

5-й день

6-й день

7-й день

8-й день

9-й день

10-й день

2,5

2,8

2,0

2,4

2,3

2,9

2,7

2,2

2,3

2,8


Расчёт. Учитывая определённую стабильность потребления товара, составим прогноз продажи на основе его среднего объёма реализации за день, т.е. по формуле средней арифметической:

_ Q1 + Q2 + Q3 + …+Q,

Q = n

где Q1,2,3…,№- объём продажи хлебобулочных изделий за каждый день работы, т;

№- число дней периода.

Тогда

= (2,5+2,8+2,0+2,4+2,3+2,9+2,7+2,2+2,3++2,8):10 = 2,49 (т или около

,5 т в день)

Таким образом, экстраполяция продажи хлебобулочных изделий в магазине показала, что на 11 - й день работы, равно как и на 12-й и 13-й дни работы, продажа товара может составить 2,5 т.

Можно рассчитать среднюю ошибку прогноза по формуле

m = ±√ d2 / №;

где m - средняя ошибка; d - дисперсия, определяемая по формуле

d = ∑ (c - c) 2 / n;

Средняя ошибка прогноза составит 0,625 кг.

Вывод. Прогноз ежедневной продажи составляет 2,5 т и при неизменности формирующих спрос данных может иметь отклонение ± 0,625 кг.

Понятно, что такой прогноз будет справедлив, если в ближайшем будущем не закроется на ремонт соседняя булочная или не будет введён в эксплуатацию недалеко от магазина новый многоэтажный дом.

Пример 2. Составить прогноз объёма платных услуг в фирме на 2002 и 2003 гг. Известно, что в 1995 г. объём платных услуг в фирме составлял 207 денежных единиц (д. ед.), а в 2001 г. - 228 д. ед. в сопоставимых ценах. Сложившиеся условия работы фирмы существенно не изменяется.

Расчёт. Для определения прогноза методом экстраполяции по сложившемуся приросту объёма услуг надо определить его среднегодовой рост за прошедшие годы и экстраполировать на будущие периоды. Рассчитаем среднегодовой темп роста (коэффициент) по формуле

= h√gh/gl,

где k - среднегодовой темп роста;

h- число периодов динамического ряда;

gh - объём платных услуг в отчётном году, д. ед.;

gl - объём платных услуг в базисном году, д. ед.

Среднегодовой темп роста спроса на платные услуги фирмы составит:

= 6√228 : 207 = 1,0244, или 102,44 %.

Соответственно прогноз объёма услуг составит:

на 2002 г. 228 Х 1,0244 = 233,6 д.ед.;

на 2003 г. 233,6 Х 1,0244 = 239,3 д.ед.

Вывод. Прогноз объёма в фирме составит: на 2002 г. - 233,6 д.ед., на 2003 г. - 239,3 д.ед.

Приведённые примеры использования метода экстраполяции в прогнозировании далеко не исчерпывают его обширные возможности. Если предполагается сохранение прошлых и настоящих тенденций развития на будущее, то говорят о формальной экстраполяции.

Если же фактическое развитие увязывается с гипотезами о динамике процесса развития с учётом физической и логической сущности, то говорят о прогнозной экстраполяции. Прогнозная экстраполяция может быть в виде тренда, огибающих кривых, корреляционных и регрессивных зависимостей, может быть основана на факторном анализе и др. Экстраполяция сложного порядка может перерасти в моделирование.

Для такого вида экстраполяции характерно нахождение плавной линии, отражающей закономерности развития во времени. Тренд обычно применяется как основная составляющая прогнозируемого временного ряда, на которую накладываются другие составляющие, например сезонные колебания. Экстраполяция на основе тренда включает:

сбор информации эмпирического ряда показателя за прошлые периоды;

выбор оптимального вида функции, описывающей указанный ряд с учётом его сглаживания и выравнивания;

расчёт параметров выбранной экстраполяционной функции;

расчёт прогноза на будущее по выбранной функции.

Экстраполяция на основе тренда показана в примере 3.

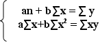
Пример 3. Составить прогноз спроса на кожаную обувь на 2001 г., используя метод экстраполяции динамического ряда. Известны данные о продаже населению товара за последние 5 лет (в денежных единицах):

г. - 179,3 1998 г. - 216,9

г. - 193,3 1999 г. - 226,6

г. - 206,0

Расчёт. Построим график продажи кожаной обуви в регионе за последние 5 лет (рис. 1).

Линия объёма продажи по годам близка к линейной зависимости, которая выражается как

Рис. 1. Динамика товарооборота кожаной обуви в регионе за 5 лет

у = а + bx,

где у - объём товарооборота (спрос);

х - годы;

а - параметр, характеризующий влияние основных факторов на продажу кожаной обуви (цены, денежных доходов населения, товарного обеспечения и др.);- параметр, характеризующий влияние вспомогательных факторов на продажу кожаной обуви, (погоды, моды, сезонности, режима работы предприятий торговли, квалификации торговых работников и др.).

Для нахождения параметров надо решить систему уравнений, например, способом наименьших квадратов:


Для этого необходимо провести дополнительные расчёты, которые приведены в табл. 1.

Таблица 1

Данные о продаже кожаной обуви в регионе для нахождения параметров прямой спроса

Годы х

Спрос у

ху

х2

1-й

179,3

179,3

1

2-й

193,3

386,6

4

3-й

206,0

618,0

9

4-й

216,9

867,6

16

5-й

226,6

1133,0

25

Итого 15

1022,1

3184,5

55

= 168,96, b = 11,82

у = 168,96 + 11,82 x.


По найденному уравнению можно провести расчёты тренда, т.е. определить выровненные значения спроса за прошлые годы и рассчитать прогноз на будущее. Так, для прогноза на 7-й год необходимо в полученное уравнение подставить очередной год - 7:

у = 168,96 + 11,82 * 7 = 251,7 (д. ед.).

Вывод. Спрос на кожаную обувь в 2001 г. может составить 251,7 д. ед. (в ценах 1999 г.).

При нормативном методе прогнозирования определяются пути и сроки достижения возможных состояний явления, принимаемых в качестве цели. Речь идёт о прогнозировании достижения желательных состояний явления на основе заранее заданных норм, идеалов, стимулов и целей.

Такой прогноз отвечает на вопрос: какими путями можно достичь желаемого?

Нормативный метод чаще применяется для программных или целевых прогнозов. Используются как количественное выражение норматива, так и определённая шкала возможностей оценочной функции.

В случае использования количественного выражения например физиологических и рациональных норм потребления отдельных продовольственных и непродовольственных товаров, разработанных специалистами для различных групп населения, можно определить уровень потребления этих товаров на годы, предшествующие достижению указанной нормы.

Такие методы называют интерполяцией. Интерполяция - это способ вычисления показателей, недостающих в динамическом ряду явления, на основе установленной взаимосвязи.

Принимая фактическое значение показателя и значения его нормативов за крайние члены динамического ряда, можно определить величины значений внутри этого ряда. Поэтому интерполяцию считают нормативным методом. Ранее приведённая формула, используемая в экстраполяции, может применяться в интерполяции,

= h√gh/gl,

где убудет характеризовать уже не фактические данные, а норматив показателя.

Нормативный метод прогнозирования помогает выработать рекомендации по повышению уровня объективности, следовательно, эффективности решений.

Метод экспертных оценок используется преимущественно в долгосрочных прогнозах.

Прогнозирование осуществляется на основе суждения эксперта (группы экспертов) относительно поставленной задачи. Экспертом выступает квалифицированный специалист по конкретной проблеме, который может сделать достоверный вывод об объекте прогнозирования.

Метод экспертных оценок чаще используется в тех случаях, когда трудно количественно оценить прогнозный фон, и специалисты делают это на основе понимания своего вопроса. По существу мнения специалиста - это результат мысленного анализа и обобщения процессов, относящихся к прошлому, настоящему и будущему, на основании собственного опыта, квалификации и интуиции.

Метод экспертных оценок имеет несколько видов:

индивидуальная экспертная оценка;

коллективная экспертная оценка;

метод психо-интеллектуальной генерации идей;

аналитический метод;

метод интервью;

метод экспертных комиссий;

дельфийский метод;

метод коллективной генерации идей;

метод управляемой генерации идей;

синоптический метод и др.

Таким образом, существуют различные типовые методы прогнозирования. Задача прогнозиста - выбрать такой метод, который в наибольшей мере соответствовал бы задачам и принципам прогнозирования данного явления (объекта). При соответствии методов прогнозирования заданным принципам можно говорить о создании прогнозируемой системы объекта.

Организация прогнозирования

Организация прогнозирования включает следующие элементы:

1. организацию системы (проекта);

2.      порядок и последовательность работы;

.        систему привлекаемой информации;

.        исполнителей;

В зависимости от масштаба и целей прогнозирования различаются следующие организации системы (проекта):

мирохозяйственная система;

государственная система;

отраслевая система;

региональная система;

внутрифирменная система;

межфирменный проект;

прогнозирование отдельной сферы деятельности, явления, процесса развития, параметра или показателя.

Деятельность системы связана с периодической разработкой прогнозов и их корректировками. Безусловно прогнозирование масштабной системы отличается от прогнозирования на уровне фирмы, а прогнозирование системы - от прогнозирования проекта, когда определяется не система взаимосвязанных показателей, а лишь один показатель или несколько.

Организация системы включает следующие составляющие, которые призваны оптимально обеспечить решение задач прогнозирования:

коллектив специалистов отдельного учреждения, фирмы, лаборатории, отдела, службы;

технические и математические средства;

методы, алгоритмы и эвристические программы;

организационные мероприятия.

Коллектив специалистов, т.е. исполнителей работы, может включать специалистов в сфере экономики, финансов, маркетинга, менеджмента, социологии, технологии и ряда других областей знаний. Их усилиями выполняется работа в соответствии с действующей методологией прогнозирования.

Прогностическое исследование крупного масштаба обычно начинается с разработки задания на прогноз, т.е. документа, определяющего объект прогнозирования, его цели, задачи и порядок разработки.

Таким образом, в задании на прогноз содержится основание для разработки прогноза. Задание составляется с участием заказчика и исполнителя. В случае значительного количества исполнителей может составляться координационный план, утверждаемый заказчиком. В нём содержится перечень участвующих организаций (служб), порядок их взаимодействия, задачи каждого соисполнителя и сроки их выполнения, порядок передачи результатов, стоимость работ и порядок финансирования.

Порядок и последовательность работы как элемент организации прогнозирования определяется в зависимости от применяемого метода прогнозирования. Обычно эта работа выполняется в несколько этапов.

-й этап - прогнозная ретроспекция, т.е. установление объекта прогнозирования и прогнозного фона. Работа на первом этапе выполняется в такой последовательности:

формирование описания объекта в прошлом, что включает предпрогнозный анализ объекта, оценку его параметров, их значимости и взаимных связей;

определение и оценка источников информации, порядка и организации работы с ними, сбор и размещение ретроспективной информации;

постановка задач исследования.

Выполняя задачи прогнозной ретроспекции, прогнозисты исследуют историю развития объекта и прогнозного фона с целью получения их систематизированного описания.

-й этап - прогнозный диагноз, в ходе которого исследуется систематизированное описание объекта прогнозирования и прогнозного фона с целью выявления тенденций их развития и выбора моделей и методов прогнозирования. Работа выполняется в такой последовательности:

разработка модели объекта прогноза, в том числе формализованное описание объекта, проверка степени адекватности модели объекту;

выбор методов прогнозирования (основного и вспомогательных), разработка алгоритма и рабочих программ.

-й этап - проспекция, т.е. процесс обширной разработки прогноза, в том числе: 1) расчёт прогнозируемых параметров на заданный период упреждения; 2) синтез отдельных составляющих прогноза.

-й этап оценка прогноза, в том числе его верификация, т.е. определение степени достоверности, точности и обоснованности.

В ходе проспекции и оценки на основании предыдущих этапов решаются задачи прогноза и его оценка.

Указанная этапность является примерной и зависит от основного метода прогнозирования. Так, в случае применения экспертного метода состав этапов может меняться.

Каждый этап прогнозирования отличается своими задачами, методами и результатами. Деление на этапы связано со спецификой описания объекта, сбором данных прогнозного фона, построением поисковой и нормативной модели, верификацией прогноза. Особое место занимает предпрогнозная ориентация, которая служит задачам целеполагания, программирования планирования, проектирования, т.е. управления полученными прогнозными данными.

Результаты прогноза оформляются в виде справки, доклада или иного материала и предоставляется заказчику.

При прогнозировании может использоваться следующая информация:

фактографическая, т.е. содержащая фактические данные;

экспертная, т.е. содержащая экспертные оценки для достижения задач прогноза;

научно-техническая;

по переменной объекта прогнозирования, т.е. содержащаяся в значениях переменной.

Информация прогнозного фона должна учитывать происходящие сдвиги в окружающей среде, в том числе: социально-экономические, технические, технологические, политические, а также факторы, оказывающие влияние на развитие объекта.

Необходимо учитывать тенденции развития науки и техники, вводить информацию о её возможных достижениях. Это позволяет уменьшить риск устаревания прогноза.

В настоящее время в России сложилась определённая организационная структура прогнозирования и планирования государства, включающая различные учреждения и организации, из которых основными являются:

1. Министерство экономического развития и торговли Российской Федерации;

2.      Министерство финансов Российской Федерации;

.        Центральный банк Российской Федерации;

.        Росстатагенство, которое занимается статистическим мониторингом итогов социально-экономического развития страны, что позволяет оценить качество прогнозов состоявшимися событиями и создать информационный массив для следующих прогнозов.

В организационную структуру прогнозирования и планирования государства входят также научно-исследовательские учреждения и организации, в том числе:

Информационно - аналитическое управление Аппарата Совета Федерации Федеративного Собрания РФ;

Институт макроэкономических исследований при Министерстве экономики РФ;

·    Институт экономики РАН, в том числе центр социально-экономических проблем федерализма ИЭ РАН;

·              Институт международных экономических и политических исследований РАН;

·              Совет по размещению производительных сил и экономическому сотрудничеству и др.

Указанные учреждения и организации работают в условиях формирования и финансирования заказов на научное исследование. В таком заказе выбор исполнителей определяется, как правило, на конкурсной основе независимо от ведомственной подчинённости. Оплата работы производится по полученным результатам. Схема использования экономических прогнозов в экономической политике России показана на рис.2.

Таким образом, можно констатировать, что в стране сложилась некоторая начальная практика формирования прогнозных систем, адекватных рыночной экономике, задачей которой является скоординированное методологическое и аналитическое обеспечение многоаспектных и масштабных задач экономического развития страны.

Рис. 2. Схема использования экономических прогнозов и экономической политике Российской Федерации

1.2 Методы прогнозирования


В процессе прогнозирования используются различные методы: математического моделирования; индексный; нормативный; экспертных оценок; балансовый и др.

Метод математического моделирования, основывается на применении экономико-математических моделей, позволяет учесть множество взаимосвязанных факторов, влияющих на бюджетные показатели, и выбрать из несколько вариантов проекта бюджета наиболее подходящий - соответствующий принятой концепции социально-экономического развития страны и проводимой бюджетной политике.

При индексном методе используются разнообразные индексы, отражающие динамику цен, уровень жизни, реальные доходы населения и т.д. Широко применяется дефлятор (индекс цен) - коэффициент пересчета цен в неизменные, предназначенные для расчета бюджета доходов и расходов, т.к. на них прежде всего отражается инфляция.

Инструментами нормативного метода являются прогрессивные нормы и финансово-бюджетные нормативы, необходимые для расчета бюджетных доходов на основе установленных налоговых ставок и учета некоторых макроэкономических ориентиров: уровня налогового бремени; предельного размера бюджетного дефицита (в % к ВВП и объему расходов бюджета); предельной величины государственного долга и т.п.

К методу экспертных оценок прибегают, когда закономерности развития тех или иных экономических процессов еще не выявлены, аналоги отсутствуют, и приходится использовать специально выполненные расчеты специалистов-экспертов экстракласса.

Балансовый метод, при котором осуществляются сопоставления (активов с пассивами, целого с его частями и т.д.), позволяет увязать расходы любого бюджета с его доходами, выявить пропорции в распределении средств между бюджетами.

Научный инструмент, в наибольшей степени приспособленный для анализа функционирования крупных экономических систем - это модель.

Модель представляет собой не уменьшенную копию оригинала, а, скорее, карту, чертеж, отображающий его структуру и взаимосвязи между всеми его частями. Модельный подход сегодня может считаться практически незаменимым средством систематического изучения функционирования или же нарушений функционирования современной экономики, поиска потенциальных и фактических источников таких нарушений и определения путей и средств их устранения.

Метод построения моделей широко используется как правительством, так и частными предприятиями. Он признан эффективным средством контроля и руководством для принятия решений о сложных системах производства, перевозок и распределения, а также анализа рынка.

По форме модель представляет собой систему уравнений. Некоторые из входящих в нее переменных описывают затраты, выпуск и цены различных товаров и услуг, а также уровни дохода и занятости в различных отраслях и регионах; другие представляют, например, уровни капиталовложений в новые производственные мощности или объемы экспорта и импорта. Параметры, входящие в описание отдельных уравнений, представляют структурные характеристики различных частей экономики.

Модели различаются по широте охвата и степени детализации. Существуют модели определенных производственных секторов, таких как сельское хозяйство и нефтехимическая промышленность; модели отдельных географических регионов и модели экономики в целом.

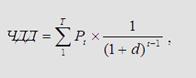
В качестве рабочих инструментов комплексного прогноза используются: экстраполяция сложившихся в прошлом тенденций в развитии экономики и социальной сферы на будущее, эконометрические расчеты на базе данных системы национального счетоводства, система макроструктурных моделей, включающая модифицированную модель межотраслевого баланса, модель динамики капитала и инвестиций в реальный сектор экономики. Эта модель пока не имеет завершенного вида и используется лишь для экспериментальных прогнозных расчетов.

Возможны два принципиально различных подхода к прогнозированию экономических объектов: генетический и телеологический.

Генетический подход основывается на анализе предыстории развития объекта, фиксирует его основополагающие факторы, определяющие особенности развития. На этой основе делаются выводы относительно состояния прогнозируемого объекта в будущем. Этот подход в большей мере присущ «сторонним наблюдателям» происходящих процессов. Целевые установки социально-экономического развития при этом подходе не играют особой роли. Наиболее ярким представителем данного подхода в нашей стране являлся Н.Д. Кондратьев с его теорией «длинных волн».

Телеологический подход (от греч. telos - цель) больше присущ активным участникам происходящих в экономике процессов. Он базируется на целевых установках развития данного объекта и степени его приближения к поставленным задачам. Наиболее ярким представителем и защитником этого подхода в прогнозировании экономики являлся С.Г. Струмилин.

Методологические и методические проблемы прогнозирования социально-экономического развития являются прерогативой тех организаций, которым правительство поручает разработку прогнозов. В частности, сводный экономический прогноз разрабатывается Министерством экономического развития и торговли РФ. Именно оно и отвечает за методологию и методику разработки прогноза.

Разработка комплексного экономического прогноза региона преследует две цели. Во-первых, он должен предоставить правительству региона информацию для принятия решений в области экономической и социальной политики. Во-вторых, его показатели служат основой для разработки показателей проекта государственного бюджета региона.

Проблемы информационного обеспечения прогнозирования. Государственное прогнозирование базируется на информации, предоставляемой соответствующими органами исполнительной власти Российской Федерации и ее субъектов. Основным органом по предоставлению информации является Государственный комитет по статистике, который через сеть своих региональных органов собирает первичную информацию, обобщает ее и официально публикует. Другие министерства и ведомства несут ответственность за предоставление информации по сферам их ведения (по денежно-кредитной сфере - Центральный банк, по исполнению бюджета - Министерство финансов, по таможенной статистике - Государственный таможенный комитет, и т.д.).

Система национальных счетов является сводным и обобщающим инструментом проведения экономических расчетов. Региональная система национальных счетов обеспечивает целостное видение экономических процессов прежде всего в форме потоков финансовых ресурсов, что в основном раскрывает сущность происходящих процессов в экономике рыночного типа. Она позволяет определить обобщающие показатели развития отраслей, секторов и институциональных единиц на различных стадиях процесса воспроизводства и взаимно увязать эти показатели между собой.

Каждой стадии воспроизводства соответствует специальный счет или их группа. Это позволяет проследить движение массы произведенных товаров и услуг, а также добавленной стоимости через цикл воспроизводства, от производства до использования.

Комплекс сводных таблиц системы национальных счетов может применяться как при проведении макроэкономических расчетов, так и в процессе обобщения отдельных разделов прогноза в единое целое.

Прогноз социально-экономического развития региона базируется на определенных научных теориях, объясняющих особенности функционирования и развития регионального хозяйственного комплекса. Эти теоретические постулаты в основном те же, что и для национальной экономики.

Теория стадий экономического роста У. Ростоу. Согласно этой теории выход из состояния слаборазвитости может быть описан серией стадий (шагов), через которые должна пройти любая страна.

У. Ростоу выделял пять стадий движения традиционного общества к зрелости:

) традиционное общество;

) созревание предпосылок для рывка;

) рывок к самоподдерживаемому росту;

) переход к технологической зрелости;

) эра массового потребления. Каждая из этих стадий имеет свою внутреннюю структуру и логику развития. По мнению автора теории, они не только характеризуют элементы теории экономического роста, но вместе с тем являются, пусть весьма неполной, теорией всемирной истории.

Неоклассическая теория роста. Одним из главных пунктов неоклассической теории является тезис, согласно которому либерализация внутреннего рынка и внешней торговли увеличивает сумму внутренних и внешних иностранных инвестиций в стране и ускоряет накопление капитала. В свою очередь это ведет к росту капиталовооруженности и производительности труда и уровня душевых доходов.

Традиционно неоклассические модели роста строятся на моделях Харрода-Домара и Солоу-Тинбергена, которые среди всех прочих факторов роста отдавали приоритет сбережениям. Согласно неоклассической теории экономический рост обусловлен тремя главными факторами:

·    ростом количества и качества применяемого труда (через прирост населения и развитие системы образования);

·              накоплением капитала (через сбережения и инвестиции);

·              прогрессом в технологиях.

В условиях открытой экономической системы (при наличии внешней торговли и притока иностранных инвестиций) увеличение доходов происходит по достижении более высокого уровня развития, когда начинается перелив капиталов из богатых стран в бедные, где коэффициент «капитал - доходы на инвестиции» выше.

Теория развития А. Льюиса является одной из известнейших теоретических конструкций развития, в центре внимания которой находится структурная трансформация натуральной потребительской экономики - модель А. Льюиса. Созданная им двухсекторная модель является господствующей теорией развития для трудоизбыточной экономики стран «третьего мира».

Основное внимание в модели А. Льюиса уделено миграции рабочей силы из деревни в город и росту производства и занятости в современном секторе. Как миграция, так и занятость в современном секторе зависят от экономического роста внутри него, что, в свою очередь, определяется накоплением капитала и уровнем инвестиций в промышленность. Такие инвестиции производятся за счет реинвестирования прибыли капиталистами современного сектора. Заработная плата предполагается фиксированной на уровне, несколько превышающем средние доходы работника традиционного сектора. При фиксированной заработной плате в городе предложение рабочей силы из деревни рассматривалось А. Льюисом как абсолютно эластичное.

Данная модель может быть приспособлена для описания взаимосвязей экономических переменных в отдельных регионах России.

Модель структурных преобразований Х. Ченери акцентирует внимание на механизме превращения преимущественно аграрной экономики стран «третьего мира» в хозяйство с более развитой отраслевой структурой и более высоким уровнем урбанизации.

При проведении анализа используются такие неоклассические понятия, как цены и распределение ресурсов. Ведущая гипотеза теории структурных сдвигов состоит в том, что развитие есть одновременный процесс роста и различных сопутствующих изменений, более или менее одинаковых для всех стран. Однако при этом допускаются различия между странами в темпах и формах развития в связи с целым рядом специфических факторов. К ним относятся природные ресурсы и размер страны, цели и средства государственной политики, доступ к иностранным инвестициям и технологиям, внешнеторговое положение страны.

Инструментарием моделирования выступают современные эконометрические методы. При моделировании структурных преобразований наряду с моделью трудоизбыточной экономики А. Льюиса широко используется эмпирический анализ форм развития, проводимый Х. Ченери. Последний является специалистом в области межотраслевого баланса.

Эмпирические исследования структурных сдвигов показывают, что темпы и формы развития могут различаться в зависимости как от внутренних, так и от внешних факторов, многие из которых неподконтрольны отдельной стране. Несмотря на эти различия, сторонники модели структурных сдвигов утверждают, что можно выделить ряд направлений и форм развития, общих почти для всех стран. На них можно воздействовать через государственную политику, рациональную организацию внешней торговли и программы внешней помощи развитию. Из этого сторонники структуралистской школы делают достаточно оптимистичный вывод, что «правильный» выбор экономической политики способен привести к самоподдерживаемому росту.

Теории внешней зависимости. Сторонники этой теории пытаются доказать, что «третий мир» отстает в своем развитии из-за хищнической деятельности ведущих капиталистических стран и созданных ими международных организаций, а не из-за чрезмерного вмешательства государства в экономические процессы. По мнению сторонников этой теории, обнаруженные структуралистами общие черты в развитии многих стран (как богатых, так и бедных) имеют лишь ограниченное практическое значение, поскольку не раскрывают ключевых факторов, определяющих динамику развития отдельных стран, и, самое главное, отвлекают внимание от тех реальных проблем и сил в мировой экономике, которые воспроизводят бедность стран «третьего мира».

В настоящее время последователи неоклассической школы одержали верх в двух ведущих международных институтах - МВФ и Всемирном банке, а такие организации, как Международная организация труда (МОТ), Программа развития ООН (ПРООН), Конференция ООН по торговле и развитию (ЮНКТАД), где всегда были сильны позиции представителей «третьего мира», утратили былое влияние. Главным аргументом в пользу необходимости ухода государства из экономики для неоклассиков является нерациональное распределение ресурсов в «третьем мире» из-за искажений цен, вызванных вмешательством государства. Теоретики неоклассической школы утверждают, что именно вмешательство государства тормозит экономический рост в странах «третьего мира». Неоклассики считают, что можно ускорить рост, поощряя свободные рынки, приватизацию государственных предприятий, устраняя преграды для экспорта и привлекая иностранные инвестиции. Смысл всех этих мер состоит в уменьшении вмешательства государства в экономику, сокращении искажений цен на рынках товаров, факторов производства и финансовых услуг.

По мнению неоклассиков, для успеха развития нужны не рост иностранной помощи, не попытки контролировать рост населения или вводить более эффективное центральное планирование, а поощрение свободных рынков, развитие предпринимательской инициативы, с тем чтобы «невидимая рука» рынка привела к рациональному распределению ресурсов и тем самым - к ускорению роста.

2. Анализ условий реализации ФЦП «Развитие внутреннего и въездного туризма в Российской Федерации (2011-2018 годы)» в Сибирском федеральном округе

 

.1 Общая характеристика и структура Федеральной целевой программы


Федеральная целевая программа "Развитие внутреннего и въездного туризма в Российской Федерации (2011-2018 годы)" принята Постановлением Правительства РФ 2 августа 2011 г. №644.

Целью Программы является повышение конкурентоспособности российского туристского рынка, удовлетворяющего потребности российских и иностранных граждан в качественных туристских услугах.

Общая характеристика Программы детально представлена в Паспорте программы (Приложение).

Достижение цели Программы будет обеспечиваться решением следующих основных задач:

задача 1 "Развитие туристско-рекреационного комплекса Российской Федерации";

задача 2 "Повышение качества туристских услуг";

задача 3 "Продвижение туристского продукта Российской Федерации на мировом и внутреннем туристских рынках".

Решение задачи 1 планируется осуществить посредством комплексного развития туристской и обеспечивающей инфраструктуры туристско-рекреационных кластеров и формирования сети автотуристских кластеров, которые станут точками роста развития регионов и межрегиональных связей, активизировав вокруг себя развитие малого и среднего бизнеса. Элементы указанной сети планируется располагать на наиболее популярных маршрутах и федеральных трассах, а также вблизи мест, представляющих значительный туристский интерес (например, исторических и культурных центров, заповедников и других туристско-ориентированных мест и объектов показа).

Для решения указанной задачи также предполагается использовать механизм субсидирования процентных ставок по кредитам и займам, привлеченным в российских кредитных организациях инвесторами объектов туристско-рекреационного использования с длительным сроком окупаемости.

Решение задачи 1 направлено на нейтрализацию таких сдерживающих реализацию туристского потенциала Российской Федерации факторов, как низкий уровень развития туристской инфраструктуры, а также отсутствие доступных инвесторам долгосрочных кредитных инструментов с процентными ставками, позволяющими окупать инвестиции в объекты туристско-рекреационного комплекса в приемлемые для инвесторов сроки.

Решение указанной задачи будет происходить поэтапно - на 2011-2014 годы запланирована реализация пилотных проектов по созданию туристских и автотуристских кластеров, на 2015-2018 годы - тиражирование апробированных и отлаженных решений и механизмов.

Для решения задачи 2 планируется реализовать ряд мероприятий, направленных на развитие системы подготовки кадров в сфере туризма, включая высшее и среднее профессиональное образование, повышение квалификации и переподготовку кадров. Указанные мероприятия будут проводиться в течение всего срока реализации Программы.

Значительный вклад в решение задачи 2 будет обеспечен за счет наделения контрольными и надзорными функциями за деятельностью субъектов туристской отрасли, в том числе за качеством предоставляемых ими туристских услуг, самих участников рынка, создавая при этом условия для организации и осуществления эффективной деятельности саморегулируемых организаций. В настоящее время такие организации в сфере туризма отсутствуют.

Туристские саморегулируемые организации могли бы взять на себя ряд функций в части организации и содействия развитию отечественного туризма, включая распространение и развитие системы добровольной стандартизации туристской деятельности с учетом требований конкурентной среды и интересов потребителя, консультирование и оказание юридической помощи, защиту прав и интересов туристов, а также общую координацию предпринимательской деятельности в сфере туризма.

Деятельность саморегулируемых организаций будет способствовать повышению качества выполнения работ и оказания услуг в области туризма как членами саморегулируемых организаций, так и другими участниками рынка туристских услуг.

Основную часть мероприятий по созданию условий для организации и осуществления эффективной деятельности саморегулируемых организаций планируется реализовать в 2011-2012 годах. В 2013-2018 годах будет осуществляться дальнейшая поддержка их деятельности.

Решение задачи 2 направлено на преодоление такого фактора, сдерживающего рост конкурентоспособности российского туристского рынка, как невысокое качество обслуживания во всех секторах туристской индустрии вследствие недостатка профессиональных кадров и отставания в технологическом обеспечении туристских услуг.

Для решения задачи 3 в течение всего срока реализации Программы планируется развертывание информационно-пропагандистских кампаний, создание сетей информационных центров и пунктов, организация и проведение межрегиональных, общероссийских и международных выставок, форумов и иных мероприятий, направленных на создание положительного имиджа Российской Федерации как привлекательного направления для туристов.

Перечень указанных задач определен с учетом требований комплексного подхода к решению проблемы рационального использования туристско-рекреационного потенциала Российской Федерации с целью повышения конкурентоспособности отечественного рынка туристских услуг.

Реализация Программы рассчитана на период с 2011 по 2018 годы. Заявленный срок реализации Программы является необходимым и достаточным для получения ощутимых, общественно значимых результатов реализации мероприятий по развитию внутреннего туристско-рекреационного комплекса страны.

Сокращенный срок реализации Программы не позволит достигнуть ожидаемых результатов и создать комфортную предпринимательскую среду в субъектах Российской Федерации для привлечения инвестиций, направленных на развитие внутреннего и въездного туризма страны на основе государственно-частного партнерства.

Реализация мероприятий Программы будет осуществляться в 2 этапа.

Первый этап (2011 - 2014 годы) предусматривает проведение работ по созданию первоочередных туристских объектов, которые станут точками роста современных туристско-рекреационных и автотуристских кластеров в нескольких субъектах Российской Федерации. Также планируется осуществить частичную поддержку ряда перспективных проектов создания региональных туристских кластеров за счет вовлечения бизнес-сообщества отдельных регионов в процессы формирования государственно-частного партнерства.

Кроме того, на этом этапе предусматривается проведение работ по изучению и оценке туристского потенциала регионов страны с точки зрения перспектив развития различных видов туризма и выработка подходов к развитию туристской инфраструктуры, учитывающих специфику географического положения и климатических условий регионов, а также различия в уровне финансовой обеспеченности субъектов Российской Федерации.

Необходимо провести мониторинг наличия, уровня развития и доступности региональных туристско-рекреационных ресурсов, определить состав и структуру необходимых коллективных средств размещения, а также объектов обеспечивающей инфраструктуры, строительство и развитие которых целесообразно будет осуществлять в рамках мероприятий следующего этапа Программы. Четкое определение потенциала рынка и основных потребностей туристов (предпочитаемый вид туризма, среднедневные траты, продолжительность пребывания) позволит более точно спрогнозировать объем необходимой туристской и обеспечивающей инфраструктуры.

Помимо этого, первоочередной задачей первого этапа Программы станет создание эффективных механизмов управления реализацией Программы, разработка регламентирующих документов, координирующих усилия органов государственного управления федерального и регионального уровней в целях развития внутреннего и въездного туризма в Российской Федерации.

На конкурсной основе будут отобраны инвестиционные проекты для реализации на втором этапе Программы (2015-2018 годы), в рамках которого получат широкое распространение отлаженные на предыдущем этапе механизмы создания конкурентоспособных туристско-рекреационных и автотуристских кластеров. Предусмотрено масштабное развитие курортных и туристских объектов, отвечающих мировым стандартам и способных значительно повысить конкурентоспособность рынка туристских услуг страны.

инвестиционный социальный прогноз туризм

2.2 Проекты программы по Сибирскому федеральному округу на примере Алтайского края


Алтайский край обладает разнообразными уникальными природно-географическими и культурно-историческими ресурсами для развития туризма. Географическое соседство региона с наиболее густо населенными и промышленно развитыми территориями Западной Сибири, высокая степень транспортной доступности, наличие единственного в Сибири курорта федерального значения, экологическая чистота окружающей среды позволили начиная с 70-80 годов прошлого века активно развивать край в качестве популярного места отдыха граждан.

К сильным сторонам Алтайского края относятся:

. разнообразие ресурсов для развития туризма;

. выгодное экономико-географическое положение;

. мощная база специализированных коллективных средств размещения, в том числе курорт федерального значения город Белокуриха, обеспечивающая разнообразные ценовые предложения - от дешевого отдыха в кемпингах, на базах отдыха и в частном секторе до элитного проживания в гостиничных комплексах и на курортах;

. уникальные виды лечебно-оздоровительных процедур (радоновые ванны, пантолечение, траволечение и другие);

. активное развитие познавательного и культурного туризма, формирование сети краевых музеев, регулярное проведение различных культурно-массовых мероприятий;

. развитый агропромышленный комплекс, производящий в достаточном количестве экологически чистые продукты питания в широком ассортименте;

. позитивный образ края как стабильно развивающейся территории, обеспечивающий социальное спокойствие и безопасность пребывания;

. наличие свободной рабочей силы;

. финансирование за счет средств федерального бюджета развития крупных инвестиционных проектов в сфере туризма, в том числе особой экономической зоны туристско-рекреационного типа и игорной зоны.

Успешное продвижение бренда региона на инорегиональные рынки, совершенствование транспортной и энергетической инфраструктуры, а также рост интереса к краю способствовали последовательному росту въездного туристского потока с 390 тыс. человек в 2006 году до 730 тыс. человек в 2008 году. Объем оказанных туристских услуг за указанный период времени увеличился в 2,3 раза.

Вместе с тем очевидно: уникальный потенциал Алтайского края в настоящее время используется недостаточно полно, что в условиях роста конкуренции со стороны других сибирских регионов создает предпосылки уменьшения интереса к краю как объекту туризма.

В ходе проведенного анализа, экспертных опросов к числу слабых сторон (недостатков) края отнесены:

. недостаточная конкурентоспособность турпродукта по соотношению "цена - качество". Уровень развития материально-технической базы средств размещения, квалификация персонала и уровень сервиса явно диссонируют с уровнем цен на туристские услуги;

. слабая диверсификация турпотока (территориальная и сезонная), около 70% которого приходится на Алтайский район и город-курорт Белокуриху. Ярко прослеживается неравномерность туристской активности: особенно высокий уровень - с 20 июня по 20 августа. Все это обусловливает значительную антропогенную нагрузку на природную среду, повышает требования к состоянию транспортной инфраструктуры, в результате чего наблюдается изменчивость занятости и доходов работающего населения;

. неудовлетворительное состояние транспортной и энергетической инфраструктуры. Трасса М-52 крайне перегружена, что обусловливает высокую аварийность и снижает привлекательность края. Недостаточно развита сеть внутрикраевых дорог, обеспечивающих доступ туристов к таким туристско-рекреационным зонам, как Горная Колывань, р. Чарыш, озера Кулундинской степи и др. Кроме того, в ряде туристских зон уже в ближайшие годы может сложиться дефицит свободных энергетических мощностей;

. низкий уровень развития сферы развлечений, малое количество объектов показа, слабая оборудованность объектов, потенциально пригодных для посещения туристами. Материально-техническая база (оборудование, экипировка, оснащение), квалификация персонала, недостаточное разнообразие туров (активный, культурно-познавательный, исторический туризм, и в особенности комплексные туры) в настоящее время не в полной мере соответствуют ожиданиям туристов. В сфере пассивного отдыха слабо представ лены зарекомендовавшие себя во всем мире развлекательные объекты - аквапарки, парки аттракционов и развлечений (наподобие "Диснейленда"), киноконцертные комплексы, картинги, различные стадионы и т.д. Также необходимо увеличение количества проводимых массовых культурных мероприятий.

Отсутствие развитого предложения в данной сфере приводит к уменьшению турпотока, кратковременности пребывания туриста на территории края (3-5 дней), недополучению доходов от данного вида оказываемых услуг;

. дефицит квалифицированной рабочей силы среднего и начального звена, высокий уровень теневой занятости;

. слабо налаженные каналы продажи (сбыта) турпродукта, прежде всего среди целевой аудитории - регионов Сибирского федерального округа. Недостаточная информированность потенциальных туристов о возможностях лечения и отдыха в крае, особенно в межсезонье;

. низкий уровень стандартизации туристских услуг.

Развитие имеющихся сильных сторон, минимизация негативного воздействия выявленных слабых сторон возможны только программно-целевым методом в рамках инновационного сценария.

Инновационный сценарий предполагает диверсификацию туристского предложения в регионе, разработку принципиально новых туристских продуктов, конкурентоспособных на российском и мировом рынке. В его рамках будет осуществляться активное позиционирование региона. Перевозка туристов будет производиться как автомобильным, железнодорожным транспортом, так и авиатранспортом, с расширением масштабов использования реконструированного Бийского аэропорта, площадок малой авиации и значительным сокращением временных затрат на доставку туристов в селитебные и рекреационные центры юго-востока края.

При реализации инновационного сценария туризм станет значимой отраслью краевой и муниципальной экономики. В рамках данного сценария возможно осуществление ряда мега-проектов, способных коренным образом изменить рыночное предложение, создав региону статус всероссийской здравницы.

Учитывая текущую динамику туристской отрасли по данному сценарию необходимо сделать акцент на развитие:

санаторно-курортного комплекса;

активного, развлекательного туризма, семейного отдыха;

специализированного турпродукта - игорного туризма, детского оздоровительного туризма и др.

Целями долгосрочной целевой программы "Развитие туризма в Алтайском крае" являются создание условий для устойчивого развития туризма и продвижение туристского продукта на российский и зарубежные рынки.

Достижение поставленной цели в значительной мере зависит от решения целого ряда задач социально-экономического развития Алтайского края, включая обеспечение стабильного экономического роста, опережающего развития транспортной и энергетической инфраструктуры, предусмотренных соответствующими краевыми программами, строительство инфраструктуры двух зон опережающего развития федерального уровня (особой экономической зоны туристско-рекреационного типа "Бирюзовая Катунь" и игорной зоны "Сибирская монета"), а также от восстановления темпов роста российской и мировой экономики после финансового кризиса 2008 года.

Задачами программы являются:

создание системы туристских кластеров для обеспечения развития объектов туризма и сопутствующей инфраструктуры, привлечение инвестиций в туристскую индустрию;

улучшение качества туристских и сопутствующих услуг;

формирование имиджа Алтайского края как центра всесезонного туризма;

разработка стратегии продвижения туристского продукта Алтайского края и ее реализация;

научное обеспечение развития туристской деятельности.

В целях развития туристской деятельности планируется реализация комплекса мероприятий, направленных на максимальное использование имеющегося природно-климатического, ресурсного, человеческого потенциала Алтайского края.

Первый блок мероприятий направлен на привлечение инвестиций в туристскую индустрию и включает такие виды работ, как создание и актуализация каталога инвестиционных проектов, субсидирование банковских процентных ставок, налогов на прибыль и имущество для субъектов туристской индустрии, с выделением из краевого бюджета специальных квот на их финансирование. В рамках данного блока будут внедрены новые механизмы государственной поддержки туристской деятельности - субсидирование части затрат организаций на подключение к энергетической инфраструктуре, субсидирование части затрат на оформление земельного участка для комплексного освоения территории организациями туристской индустрии. В рамках данного программного мероприятия будет реализован целый ряд крупных инвестиционных проектов.

Второй блок мероприятий направлен на улучшение качества туристских и сопутствующих услуг. В рамках данного направления планируется существенно активизировать процесс добровольной сертификации коллективных средств размещения путем субсидирования части затрат на эти цели, провести краевой конкурс "Лидеры туриндустрии Алтайского края", а также подготовить и издать Карту гостя Алтайского края.

Третий блок мероприятий - формирование имиджа Алтайского края как центра всесезонного туризма и стратегии продвижения туристского продукта Алтайского края. В рамках данного направления будет профинансировано создание краевого государственного бюджетного учреждения "Туристский центр Алтайский край", проведены маркетинговые и социологические исследования, "круглые столы", конференции, семинары по вопросам развития туристской индустрии, выпущена разнообразная печатная продукция, видеофильмы и сюжеты, рекламные ролики об экскурсионных объектах в регионе, создан специализированный интернет-сайт по туризму. Подготовку сувенирной продукции планируется осуществлять с оказанием грантовой поддержки.

Четвертый блок мероприятий направлен на продвижение турпродукта Алтайский край. В его рамках будет проведена работа по участию организаций туристской индустрии края в международных, региональных выставках и экономических форумах.

В рамках пятого направления будут разработаны региональная система стандартизации туруслуг, комплексные туристские маршруты и общий бренд Алтайский край.

Перечень программных мероприятий представлен в приложении 2.

2.3 Эффективность реализации программы и условия внесения новых проектов в перечень мероприятий


Финансирование программы осуществляется за счет средств:

краевого бюджета - в соответствии с законом Алтайского края о краевом бюджете на соответствующий финансовый год и на плановый период;

местных бюджетов - в соответствии с решениями районных Советов депутатов о бюджетах муниципальных образований на соответствующий финансовый год и на плановый период;

средств федерального бюджета - в соответствии с федеральным законом о федеральном бюджете на соответствующий финансовый год и на плановый период;

внебюджетных источников.

Общий объем финансирования составляет 40604159 тыс. рублей, в том числе: за счет средств краевого бюджета - 1028037 тыс. рублей, прочих источников - 39576122 тыс. рублей.

Объемы финансирования мероприятий программы подлежат ежегодному уточнению при принятии законов о федеральном, краевом, местных бюджетах на соответствующий финансовый год и на плановый период.

В результате реализации Программы предусматривается создание правовых, организационно-управленческих, финансовых и материально-технических условий, способствующих формированию и продвижению конкурентоспособного туристского продукта, развитию энергетической и транспортной инфраструктуры, увеличению занятости населения, росту поступлений в бюджеты всех уровней.

Реализация программы позволит увеличить долю сферы туризма в ВРП до 2,8%, а количество субъектов, оказывающих туристские и санаторно-оздоровительные услуги, составит не менее 800 единиц. Главный социальный эффект Программы будет состоять в создании предпосылок и условий для удовлетворения потребности населения, в том числе детей, в активном и полноценном отдыхе, укреплении здоровья, приобщении к культурным ценностям, а также создании новых рабочих мест и увеличении денежных доходов граждан (прирост численности работающих в круглогодичных средствах размещения составит не менее 2 тыс. человек).

Кроме того, в результате роста туристского потока будет достигнут прирост налоговых поступлений в региональный и местные бюджеты. Общий объем налоговых поступлений от индустрии туризма (подоходный налог, налоги на доходы организаций и индивидуальных предпринимателей, земельный налог) увеличится по сравнению с 2009 годом в 1,6 раза.

Экологический эффект от реализации программы будет заключаться в формировании нескольких масштабных центров отдыха, что снизит антропогенную нагрузку на иные природные ландшафты края. Кроме того, все объекты будут обеспечены соответствующей природосберегающей инфраструктурой (заводы по переработке твердых бытовых отходов, поля фильтрации, биотуалеты). Усиление экологического контроля также будет достигнуто за счет соблюдения требований Земельного и Градостроительного кодексов в части четкого согласования строительства средств размещения и иных объектов.

Реализация программы позволит создать в крае систему взаимодействия органов исполнительной власти Алтайского края, органов местного самоуправления и бизнес-сообщества по вопросам развития и продвижения туристского продукта, существенно повысить узнаваемость региона на национальном и международном рынках.

3. Проект создания туристического комплекса в Крымском крае «Атлант»

3.1 Краткое описание инвестиционного проекта


Суть проекта: проект предполагает создание культурно-туристического объекта в виде крымской юрты «Атлант».

Цели проекта:

Проект создания комплекса «Атлант» имеет социально-культурное значение, что выражается в конкретизации следующих проектных целей:

. Создание культурно-туристического комплекса

. Предоставление услуг по направлениям этнокультурного, исторического, познавательного, событийного, сельского туризма

. Оказание услуг населению по проведению торжественных обрядов

. Показ инсценированных постановок, связанных с национальными алтайскими обрядами и обычаями

. Знакомство посетителей с традиционным укладом жизни животноводов

. Популяризация сельского туризма, повышение имиджа сельского труженика.

. Ведение воспитательно-просветительской работы в среде молодежи.

. Пропаганда следования национальным традициям не только в торжественных случаях, но и в повседневной жизни

. Предоставление гостям возможности принять участие в обрядах, попрактиковаться в приготовлении национальных блюд

. Создание рабочих мест для безработных (в количестве 2-х человек), для инвалидов (в количестве 2-х человек).

Начало реализации проекта - сентябрь 2014 г.

Первый месяц - период запуска проекта.

Поступление дохода ожидается с октября 2014 г.

Все капитальные вложения будут сделаны в первый месяц проекта, т.е. в последний месяц 3-го квартала 2014.

Таблица 1

План инвестиций (тыс. рублей)

Статьи затрат

2014 год


Всего

по кварталам



I

II

III

IV

1

2

3

4

5

6

1. Капитальные вложения в основные средства

160


-

160

-

2. Капитальные вложения в объекты сбыта

25


-

25

-

3. Приобретение оборотных средств

115


-

115

-

4. Другие инвестиции в период освоения и эксплуатации производственных мощностей

10


-

10

-

5. Итого - объем инвестиций (сумма показателей пунктов 1-4)

320



320



Сметная стоимость проекта - 322 тыс. руб.

Период планирования: сентябрь 2014-октябрь 2016 г.

Срок окупаемости проекта: 25 месяцев

Рентабельность в первый год проекта: 15,56%

Туристический комплекс «Атлант» будет предлагать своим посетителям широкий спектр тур услуг и продукции.

Полный перечень услуг и продуктов представлен в Таблице 2.

Таблица 2

Перечень услуг и продукции «Атлант»

Наименование услуги (продукта)

1

Экскурсия «Быт Алтая»

2

Экскурсия «Приготовление национального блюда» (в т.ч. разделка туши барана)

3

Фотографирование

4

Катание на лошадях

5

Показ инсценированных постановок

6

Предоставление юрты в аренду для проведение торжеств и праздников

7

Продажа справочной печатной продукции

8

Выезд и проведение торжественных мероприятий. праздников

9

Продажа продукции национальной кухни (баранина, быштаг, ореме, долган)

10

Продажа национальных украшений из серебра

11

Продажа национальных музыкальных инструментов (хомус)

12

Продажа изготовленных национальных наборов для снаряжения коня под заказ

13

Продажа алтайской юрты под заказ


Агентство «Атлант» будет реализовывать услуги собственного производства и выступать посредником в реализации продукции алтайских мастеров.

Таблица 3

Виды продукции/услуг «Атлант»

Агентство «Атлант»

Услуги собственного производства

Товары на перепродажу

Экскурсия «Быт Алтая»

Продажа продукции национальной кухни (баранина, быштаг, ореме, долган)

Экскурсия «Приготовление национального блюда» (в т.ч. разделка туши барана)

Продажа национальных украшений из серебра

Фотографирование

Продажа национальных музыкальных инструментов (хомус)

Катание на лошадях

Продажа изготовленных национальных наборов для снаряжения коня (под заказ)

Показ инсценированных постановок

Продажа алтайской юрты (под заказ)

Предоставление юрты в аренду для проведения торжеств и праздников


Изготовление справочной печатной продукции


Выезд и проведение торжественных мероприятий и праздников



Приоритетными турпродуктами «Атлант» будут являться экскурсии: «Быт Алтая», «Приготовление национального блюда» (в т.ч. разделка туши барана). Сопутствующей услугой при проведении экскурсий станет возможность фотографирования посетителями экскурсий.

Если проанализировать структуру продуктов и услуг «Атлант» по выручке, то приоритетными будут собственные услуги.

Рис. 2. Структура продукции/услуг «Атлант»,%

3.2 Определение инвестиционной привлекательности проекта


В планировании выручки от реализации экскурсионных услуг используется средневзвешенная стоимость экскурсионной услуги на одного человека.

Таблица 4

Расчет средней стоимости билета на экскурсию «Быт »

Категория посетителей

Доля

Цена

Доля*Цена

Зарубежные туристы

0,5

300

150

Местное население

0,4

200

80

Студенты

0,1

60

6

Средняя цена билета, руб.

235


Таблица 5

Расчет средней стоимости билета на экскурсию «Приготовление национального блюда»

Категория посетителей

Доля

Цена

Доля*Цена

Зарубежные туристы

0,5

300

150

Местное население

0,4

200

80

Студенты

0,1

60

5

Средняя цена билета, руб.

236


Таблица 6

Расчет средней стоимости фотографирования

Категория посетителей

Доля

Цена

Доля*Цена

Зарубежные туристы

0,5

200

100

Местное население

0,4

100

40

Студенты

0,1

30

3

Средняя цена билета, руб.

143


Таблица 7

Расчет средней стоимости катания на лошадях в час

Категория посетителей

Доля

Цена

Доля*Цена

Зарубежные туристы

0,5

100

50

Местное население

0,4

60

24

Студенты, дети

0,1

50

5

Средняя цена билета, руб.

79


Таблица 8

Расчет средней стоимости билета на показ постановок

Категория посетителей

Доля

Цена

Доля*Цена

Зарубежные туристы

0,5

300

150

Местное население

0,4

150

60

Студенты, дети

0,1

50

5

Средняя цена билета, руб.

215


Таблица 9

Расчет средней стоимости предоставления юрты

Категория потребителей услуги

Доля

Цена

Доля*Цена

Приезжие туристы

0,2

3000

600

Местное население

0,8

2000

1600

Средняя стоимость в день, руб.

2200


Цены на товары для перепродажи установлены на основе средних цен на рынке. Это относится и к изготовлению инструментов, украшений, юрты.

Таблица 11

Реализация национальной мясомолочной продукции в месяц

Наименование

кг/л.

Цена, руб./кг/л.

Итого

Баранина

10 кг.

230

2300

Творог

5 кг.

70

350

Сметана

10 кг.

150

1500

Молоко

10 л.

45

450

Далган

10 кг.

700

Всего в месяц

5300


В первый месяц проекта происходит запуск производства, со второго месяца начинается реализация продукции/услуг.

Производственная программа на 1-й год реализации представлен в таблице 10 (рис. 3).

Таблица 12

Производственная программа на 12месяцев, тыс. руб.


Октябрь

Ноябрь

Декабрь

Январь

Февраль

Март

Апрель

Май

Июнь

Июль

Август

Сентябрь

Всего

28,8

28,8

40,4

47,8

74,0

96,2

97,2

102,5

94,0

76,4

69,3

57,9


Примечание: данные предоставлены без учета реализации музыкальных инструментов, конного снаряжения, алтайских юрт.

Начиная со второго года проекта, следует применять коэффициент роста производства 1,4. В Третий год коэффициент - 1,2.

Рис. 3. Производственная программа на 1-й год проекта, руб.

Таблица 13

Поквартальная производственная программа на период планирования

Годы

Кварталы

Тыс. руб.

2014 г.

4 кв.

98,0

2015 г.

1 кв.

218,0


2 кв.

293,7


3 кв.

203,6


4 кв.

137,2

2016 г.

1 кв.

305,2


2 кв.

411,1


3 кв.

285,0


4 кв.

342,0

2017 г.

1 кв.

410,4


2 кв.

492,4


3 кв.

590,9


Для организации производства необходимы капиталовложения. К основным средствам следуют отнести саму юрту с ее монтажом на сумму 160 тыс. руб.

К нематериальным внеоборотным активам следует отнести затраты на создание сайта, регистрацию предприятия, разработку фирменного стиля, логотипа.

К оборотным средствам следует отнести:

закупку топлива на 1 год;

национальной одежды;

постельных принадлежностей;

посуды;

оборудования;

продуктов на месяц;

аренда участка;

рекламных и управленческих расходов.

Расходы на заработную плату будут отнесены на текущие расходы и будут выплачиваться из выручки, начиная с конца второго месяца проекта.

Таблица 14

Капитальные вложения в проект

Наименование вложений

Количество

Тыс. руб.

Внеоборотные активы


195

Нематериальные активы



Регистрация ИП


3

Создание сайта агентства


25

Разработка фирменного стиля


7

Основные средства



Юрта с мебелью


160

Оборотные активы


115

Топливо на год


9,3

В том числе дрова


5

уголь

3 т.

3,6

газ


0,7

Национальная одежда


19

В том числе мужская

1 комплект

7

женская

1 комплект

8

детская

1 комплект

4

Постельное белье

8х850руб.

6,8

Подушки

8х600руб.

4,8

Матрасы

4х1200руб.

4,8

Одеяла

4х1200руб.

4,8

Полотенца

10х100руб.

1

Покрывала

4х500руб.

2

Посуда в национальном стиле

1 сервиз

1,5

Посуда


4

В том числе тарелки


1

чашки


1

ножи, ложки, вилки


2

Оборудование


41

Электрический сепаратор

1

5

Умывальник электрический

1

3,5

Генератор

1

6

Телевизор

1

6

Музыкальный центр

1

3,5

Копицентр

1

7

Плита газовая

1

10

Аренда, коммунальные платеи


3

Продукты на 1 месяц


3,8

Мука

50 кг.

0,7

Хлеб


1,5

Макаронные изделия

10 кг.

0,6

Рис

10 кг.

0,5

Сахар

10 кг.

0,5

Реклама и прочие оборотные ср.


23,21

Итого капитальных вложений


322


Все оборотные средства списываются единовременно в начале проекта. Оборудование также будет отнесено к МПЗ и будет списано на расходы в первый месяц проекта.

Рассчитаем текущие затраты при максимальной производственной программе (102,5 тыс. руб. в месяц - без учета реализации музыкальных инструментов, снаряжения и юрты) в первый год реализации проекта.

К постоянным ежемесячным затратам относятся:

заработная плата 27 тыс. руб. (ЕСН сейчас отменен, к тому же агентство будет находиться на УСН) ;

амортизация юрты (способ амортизации - линейный, срок годности - 4 года) - 3,3 тыс. руб.;

аренда, коммунальные платежи - 2,7 тыс. руб.;

реклама, управленческие расходы - 10 тыс. руб.

Итого постоянные затраты - 43 тыс. руб.

Переменные расходы:

продукты - 3,8 тыс. руб.;

транспортные расходы - 3 тыс. руб.;

связь - 3 тыс. руб.;

коммунальные платежи - 1,2 тыс. руб.;

изготовление печатной продукции - 1,5 тыс. руб.;

гонорары актеров на постановки - 5 тыс. руб.;

стоимость закупленной продукции национальной кухни - 3 тыс. руб.;

стоимость украшений по закупочной стоимости - 1,6 тыс. руб.

прочие - 4,4 тыс. руб.

Итого переменные расходы: 25 тыс. руб.

Было выяснено, что максимальный объем реализации в 1-й год проекта составит 102,5 тыс. руб. без учета реализации музыкальных инструментов, снаряжения, юрт. При таком уровне реализации постоянные расходы - 43 тыс. руб., переменные расходы - 25 тыс. руб.

Тогда удельные переменные расходы составят - 25/102,5 = 0,24

Тогда расходы при выручке 28,8 тыс. руб. равны:

+0,24*28,8 = 49,91 тыс. руб.

И т.д.

Реализацию музыкальных инструментов, снаряжения, юрт учтем в конце проектного года. Закупочные затраты на их приобретение составляют 70%.

Доход = 120+50+5,5 = 175,5 тыс. руб.

Расход 175,5*0,7 = 123 тыс. руб.

В августе 2015 года доходы составят = 69,3+175,5 = 244,8 тыс. руб.

Расходы в этот месяц 43+69,3*0,24+123 = 182,6 тыс. руб.

Все оборудование, кроме юрты относим к МПЗ и списываем на расходы в момент их покупки. Приказом № 186н увеличен лимит стоимости имущества, включаемого в состав основных средств, с 20 000 до 40 000 рублей (абз. 4 п. 5 ПБУ 6/01). Стоимостной критерий для отнесения имущества к основным средствам в бухгалтерском и в налоговом учете теперь совпадает (п. 1 ст. 256 и п. 1 ст. 257 НК РФ).

Таблица 15

План доходов и расходов в первые 12 месяцев проекта


Сентябрь

Октябрь

Ноябрь

Декабрь

Январь

Февраль

Март

Апрель

Май

Июнь

Июль

Август

Доходы

0

28,8

28,8

40,4

47,8

74,0

96,2

97,2

102,5

94,0

76,4

244,8

Расходы

322

49,9

49,9

52,7

54,5

60,8

66,1

66,3

67,6

65,6

61,3

182,6

Чистый доход

-322,0

-21,1

-21,1

-12,3

-6,6

13,2

30,1

30,9

34,9

28,4

15,0

62,2


Составим поквартальный план доходов и расходов на следующие 12 месяцев с учетом роста реализации (коэффициент 1,4 и фактора инфляции 1,2, который повиляет на расходы).

Таблица 16

Рентабельность в первый год проекта

Годы

Кварталы

Доходы, тыс. руб.

Расходы, тыс. руб.

Чистый доход, тыс. руб.

2014 г.

3 кв.

0

322

-322,0


4 кв.

98,0

152,5

-54,5

2015 г.

1 кв.

218,0

181,3

36,7


2 кв.

293,7

199,5

94,2


3 кв.

379,1

300,8

78,3


4 кв.

137,2

183,0

-45,8

2016 г.

1 кв.

305,2

217,6

87,6


2 кв.

411,1

239,4

171,7

Итого




46,1


Р пр. = (-54,5+36,7+94,2+78,3)/(98+218+293,7+379,1)*100% = 15,65%

К данному агентству целесообразно применить УСН по ставке 15% с объектом обложения доходы минус расходы, т.к. в первый год проекта предприятие будет нести убытки. Далее можно рассмотреть альтернативные системы налогообложения, например, по ставке 6% с объектом налогообложения «доход».

Таблица 17

Расчет чистого дохода с учетом налогообложения

Годы

Кварталы

Чистый доход, тыс. руб.

Единый налог, тыс. руб.

Чистый доход после налогообложения, тыс. руб.

2014 г.

3 кв.

-322,0


-322,0


4 кв.

-54,5


-54,5

2015 г.

1 кв.

36,7

5,5

31,2


2 кв.

94,2

14,1

80,0


3 кв.

78,3

11,7


4 кв.

-45,8


-45,8

2016 г.

1 кв.

87,6

13,1

74,5


2 кв.

171,7

25,8

146,0



46,1

6,9

39,2


Эффективность инвестиционных проектов оценивается по показателям срока окупаемости, точки безубыточности и бюджетного эффекта.

Бюджетный эффект инвестиционного проекта определяется как сальдо поступлений и выплат федерального бюджета в связи с реализацией данного проекта. В расчетах проводится дисконтирование объемов поступлений и выплат по годам реализации проекта.

Чистый дисконтированный доход государства как эффект от реализации проекта (ЧДД) определяется суммой погодовых сальдо поступлений и выплат в бюджет, приведенных к ценам первого года:


где Т - суммарная продолжительность жизненного цикла проекта, включая строительство объекта и эксплуатацию основного технологического оборудования;ежегодная разность выплат и поступлений в бюджет;- годы реализации проекта (t = 1, 2, 3 ...);- коэффициент дисконтирования.

Коэффициент дисконтирования (di) без учета риска проекта определяется как отношение ставки рефинансирования (г), установленной Центральным банком Российской Федерации, и объявленного Правительством Российской Федерации на текущий год темпа инфляции (i): d1 = 0,07

Поправка на риск проекта определяется по данным следующей таблицы:

Таблица 17

Величина риска

Пример цели проекта

Р, процент

Низкий

Вложения при интенсификации производства на базе освоенной техники

3-5

Средний

увеличение объема продаж существующей продукции

8-10

Высокий

производство и продвижение на рынок нового продукта

13-15

Очень высокий

вложения в исследования и инновации

18-20


Коэффициент дисконтирования, учитывающий риски при реализации проектов, определяется по формуле:


где  поправка на риск.

d = 0,07+0,05 = 0,12

Таблица 18

Годы

Кварталы

Чистый доход, тыс. руб.

Дисконт

Чистый дисконтированный доход, тыс. руб.

Единый налог, тыс. руб.

Чистый доход после налогообложения, тыс. руб.

2014 г.

3 кв.





-322


4 кв.

-54,5


-54,5


-54,5

2015 г.

1 кв.

36,7

1,12

32,7

5,5

31,2


2 кв.

94,2

1,12

84,1

14,1

80


3 кв.

78,3

1,12

69,9

11,7

66,5


4 кв.

-45,8

1,12

-40,9


-45,8

2016 г.

1 кв.

87,6

1,25

70,1

13,1

74,5


2 кв.

171,7

1,25

137,4

25,8

146


3 кв.

169,7

1,25

135,8

25,5

39,2

Итого




434,5

95,7

338,8


Чистый дисконтированный доход с учетом налогообложения 338,8 тыс. руб.

NPV = 338,8-322 = 16,8 тыс. руб.

Таким образом, т.к. NPV имеет положительное значение, то проект является эффективным.

Срок окупаемости представляет собой период времени с начала реализации проекта по данному бизнес-плану до момента, когда разность между накопленной суммой чистой прибыли с амортизационными отчислениями и объемом инвестиционных затрат приобретет положительное значение.

Срок окупаемости без учета дисконтирования согласно таблице 18 равен 22 месяца.

Дисконтированный срок окупаемости равен 25 месяцев.

3.3 Социальная эффективность проекта


Значение проекта: Основное предназначение комплекса «Атлант» сохранение и распространение алтайских обычаев и обрядов. «Атлант» несет в себе все то доброе и благое, что накопилось в алтайском народе за тысячелетия. Проект будет способствовать популяризации исконно национальных традиций малых народов в среде молодежи, городских граждан, зарубежных гостей и туристов; вести воспитательно-просветительскую работу в среде учащихся и студентов; прививать молодежи признательность и уважение к труду животноводов, способствовать развитию гордости за свой народ.

Агентство «Атлант» будет работать на стыке туризма и культурно-развлекательных услуг. Спрос на услуги подобного рода можно назвать сформированным и развивающимся. За последние годы в Крыме наблюдается рост обращений населения к национальным традициям. Все чаще и чаще встречаются торжественные мероприятия с использованием алтайских обрядов. С другой стороны, растет интерес приезжих гостей (зарубежных и российских) к жизни алтайцев, их обычаям и традициям, устройству быта. Все эти потребности призвана удовлетворить «Особая Юрта».

Благоприятным фактором является то, что данный вид услуг до сих пор не встречается на рынке Крыма. Это направление является уникальным, что дает преимущество по сравнению с другими туристическими агентствами, работающими на местном рынке. Прямыми конкурентами «Атлант» являются турагентства и культурно-досуговые предприятия. Количество турагентств в Крыме не более 5-ти. Все они ориентированы на организацию отдыха (как внутри края, так и за его пределами). Наиболее популярным агентством является агентство «Роза ветров», которое входит в российскую национальную сеть туроператоров. В перечень туристических продуктов этих агентств этнотуризм не входит, поэтому они не представляют конкуренцию «Атлант». Напротив, их следует рассматривать в качестве партнеров в продвижении услуг.

Культурно-досуговых предприятий в крае единицы. Например, можно назвать «Центр русской культуры», который проводит корпоративные праздники на заказ. Однако культурно-досуговых фирм, ориентированных на алтайские национальные традиции нет.

Полное отсутствие конкурентов, с одной стороны, является преимуществом нового проекта. Однако, в этом заключается и сложность. «Атлант» придется в одиночку развивать рынок, формировать спрос, что потребует больших усилий и ресурсов.

Заключение


Прогнозирование является одним из решающих элементов эффективной организации управления территориями любого таксономического уровня, вследствие того, что качество принимаемых решений в большой степени определяется качеством прогнозирования их последствий. Поэтому решения, принимаемые в настоящем, должны опираться на достоверные оценки возможного развития изучаемых явлений и событий в будущем.

В Российской Федерации до последнего времени прогнозы социально-экономического развития разрабатывались в целом по стране, по народнохозяйственным комплексам и отраслям экономики.

В основном, прогнозированием занималось Правительство РФ, в частности Министерство экономического развития и торговли РФ. На уровне отдельных регионов (субъектов РФ, федеральных округов и муниципальных образований) разработка прогнозов не являлась обязательным, законодательно закрепленным процессом (как правило, подобные документы носили декларативный характер), что снижало результативность региональной политики. На сегодняшний день предпринята попытка организации процесса прогнозирования «снизу вверх», что, несомненно, позволит учесть национальную, территориальную, экономическую, социальную специфику территорий различного таксономического уровня, что в свою очередь повысит качество и точность прогнозов. Хотя наиболее перспективной представляется смешанная система прогнозирования, предполагающая потоки информации, как «снизу вверх», так и сверху вниз.

Список литературы


1. Постановление Администрации Алтайского края от 23.12.2010 №583 (ред. от 11.06.2013) "Об утверждении долгосрочной целевой программы "Развитие туризма в Алтайском крае" на 2011 - 2016 годы"

2. Бешелев С.Д., Гурвич Ф.Г. Математико-статистические методы экспертных оценок.2-е изд. перераб. и доп. М: Статистика. 1980-263 с.

3. Бобровников Г.Н., Клебанов А.И. Прогнозирование в управлении техническим уровнем и качеством прдукции: Учеб. Пособие - М: Издательство стандартов. 1984-232 с.

4. Введение в экономическую географию и региональную экономику России: Учебное пособие для студентов высших учебных заведений. / Под общей ред. проф. В.Г. Глушковой, доц. А.А. Винокурова: В 2 ч. - М.: Изд. ВЛАДОС-ПРЕСС, 2003. - (ч.1 - 432 с. и ч.2 - 352 с.).

5. Глущенко В.В., Глущенко И.И. Разработка управленческого решения. Прогнозирование-планирование. Теория проектирования экспериментов.- г. Железнодорожный, Моск. обл.: ТОО НПЦ “Крылья”, 1997-400 с.

4. Гранберг А.Г. Статистическое моделирование и прогнозирование / Под ред. Гранберга А.Г. - М: Финансы и статистика 1990-383с.

5. Литвак Б.Г. Экспертные оценки и принятие решений. М: Патент, 1996-217 с.

6. Мотышина М.С.Методы социально-экономического прогнозирования: Учебное пособие - СПб: Изд-во СПб УЭФ,1994-114 с.

7. Подгосник А.А. Основные принципы прогнозирования социально-экономического развития федерального округа// Проблемы современной экономики, №4(28), 28.09.2008.

8. Прогнозирование и планирование в условиях рынка: Учеб. пособие для вузов. Под ред. Морозовой Т.Г., Пикулькина А.В.- М: ЮНИТИ-ДАТА,1999-318с.

Приложение


Паспорт федеральной целевой программы «Развитие внутреннего и въездного туризма в Российской Федерации на 2011- 2018 годы»

Наименование Программы - федеральная целевая программа "Развитие внутреннего и въездного туризма в Российской Федерации (2011-2018 годы)"

Дата принятия решения о разработке Программы, дата ее утверждения - распоряжение Правительства Российской Федерации от 19 июля 2010 г. №1230-р

Государственные заказчики - Министерство регионального развития Программы Российской Федерации, Федеральное агентство по туризму (в ред. Постановления Правительства РФ от 18.09.2012 №936)

Государственный заказчик Программы (в ред. Постановления Правительства РФ от 18.09.2012 №936) - Федеральное агентство по туризму, координатор

Основные разработчики Программы (в ред. Постановления Правительства РФ от 18.09.2012 №936) - Федеральное агентство по туризму

Цель Программы - повышение конкурентоспособности туристского рынка Российской Федерации, удовлетворяющего потребности российских и иностранных граждан в качественных туристских услугах

Задачи Программы - развитие туристско-рекреационного комплекса Российской Федерации; повышение качества туристских услуг; продвижение туристского продукта Российской Федерации на мировом и внутреннем туристских рынках

Важнейшие целевые индикаторы - численность граждан Российской Федерации, и показатели Программы размещенных в коллективных средствах размещения;

численность иностранных граждан, размещенных в коллективных средствах размещения;

площадь номерного фонда коллективных средств размещения;

инвестиции в основной капитал средств размещения (гостиницы, места для временного проживания);

количество койко-мест в коллективных средствах размещения;

количество лиц, работающих в коллективных средствах размещения;

количество лиц, работающих в туристских фирмах;

объем платных туристских услуг, оказанных населению;

объем платных услуг гостиниц и аналогичных средств размещения

Срок и этапы реализации - 2011-2018 годы:

Программы первый этап - 2011-2014 годы;

второй этап - 2015-2018 годы

Объем и источники финансирования - общий объем финансирования Программы на 2011-2018 годы в ценах соответствующих лет составляет 332 млрд. рублей, в том числе:

за счет средств федерального бюджета - 96 млрд. рублей (28,9 процента),

из них: капитальные вложения - 92,986 млрд. рублей;

прочие нужды - 3,014 млрд. рублей;

за счет средств консолидированных бюджетов субъектов Российской Федерации - 25 млрд. рублей (7,5 процента);

за счет средств внебюджетных источников - 211 млрд. рублей (63,6 процента)

Ожидаемые конечные результаты реализации Программы - ожидаемыми конечными результатами реализации Программы являются:

показатели социально-экономической эффективности создания в различных субъектах Российской Федерации сети конкурентоспособных туристско-рекреационных и автотуристских кластеров, которые станут точками развития регионов и межрегиональных связей, активизировав вокруг себя развитие малого и среднего бизнеса (рост инвестиций в основной капитал средств размещения (гостиницы, места для временного проживания) в 1,9 раза по сравнению с 2010 годом);

удовлетворение потребностей различных категорий граждан Российской Федерации в активном и полноценном отдыхе, укреплении здоровья, приобщении к культурным ценностям (рост численности граждан Российской Федерации, размещенных в коллективных средствах размещения, в 1,5 раза по сравнению с 2010 годом);

повышение уровня занятости населения за счет создания дополнительных рабочих мест в сфере туризма (увеличение количества работающих в коллективных средствах размещения на 41 процент и работающих в туристских фирмах на 51 процент по сравнению с базовым уровнем 2010 года);

увеличение доходов бюджетов бюджетной системы Российской Федерации за счет увеличения объема производства услуг в отрасли (увеличение объема платных туристских услуг, оказанных населению, в 4,7 раза и объема платных услуг гостиниц и аналогичных средств размещения в 4,3 раза по сравнению с 2010 годом);

рост валового внутреннего продукта и улучшение платежного баланса страны (рост численности иностранных граждан, размещенных в коллективных средствах размещения, в 6,4 раза по сравнению с 2010 годом).

Показателями социально-экономической эффективности Программы являются:

интегральный общественный эффект от реализации мероприятий Программы - 980,3 млрд. рублей;

интегральный коммерческий эффект от реализации мероприятий Программы - 231,3 млрд. рублей;

индекс прибыльности - 1,1;

период окупаемости частных инвестиций - 13 лет;

интегральный бюджетный эффект от реализации мероприятий Программы - 574,4 млрд. рублей;

расчетный срок окупаемости бюджетных инвестиций (период возврата средств федерального бюджета) - 6 лет;

доля бюджетных ассигнований (коэффициент участия государства) - 0,26

Похожие работы на - Макроэкономическое планирование и прогнозирование в туризме

 

Не нашли материал для своей работы?
Поможем написать уникальную работу
Без плагиата!
Без нейросетей!