Практические аспекты математического моделирования

  • Вид работы:
    Контрольная работа
  • Предмет:
    Менеджмент
  • Язык:
    Русский
    ,
    Формат файла:
    MS Word
    363,38 Кб
  • Опубликовано:
    2013-06-15
Вы можете узнать стоимость помощи в написании студенческой работы.
Помощь в написании работы, которую точно примут!

Практические аспекты математического моделирования

Задание 1. Решить графическим методом задачу линейного программирования с двумя неизвестными

Решение:

Для того чтобы построить график, найдем координаты точек прямых. Для этого заменим в уравнениях знаки неравенства на знаки равенства и подставим вместо x1 произвольные числа, найдя, таким образом, x2.

) x1 + x2 = 2

x1 = -3; x2 = 5;

x1 = 3; x2 = -1;

) x1 - x2 = 0

x1 = -3; x2 = -3;

x1 = -5; x2 = 5;

) 3x1 + x2 = 6

x1 = 5; x2 = -9;

x1 = -1; x2 = 9;

) 3x1 - x2 = 6

x1 = 4; x2 = 6;

x1 = -2; x2 = -12;

Построим прямую целевой функции. Для этого приравняем ЦФ к нулю.

2x1 + 3x2 = 0

x1 = -3; x2 = 2;

x1 = 6; x2 = -4.

 

Таким образом, мы нашли многоугольник решений с вершинами в следующих точках: А (1,5; 1,5), В (3;3), С (0;2).

Подставим полученные координаты точек в нашу целевую функцию.

F(A) = 2*1.5 + 3*1.5 = 3 + 4.5 = 7.5;

F(B) = 2*3 + 3*3 = 15;

F(C) = 2*0 + 3*2 = 6.

Поскольку по условию задачи, целевая функция стремится к минимуму, то мы выбираем минимальное значение, а именно F(C) = 6. Таким образом, получается, что в точке С(0; 2) находится оптимальное решение нашей задачи.

Ответ: x1 = 0, x2 = 2.

 

Задание 2. Решить транспортную задачу двумя методами

 100150150100100






150

3

4

5

4

6

100

1

5

7

1

5

150

4

6

6

3

4

100

2

7

4

7

2

100

1

9

6

3

2

Решение:

F(xij) = 3x11+ 4x12+ 5x13 + 4x14 + 6x15 + x21 + 5x22 + 7x23 + x24 + 5x25 + 4x31 + 6x32 + 6x33 + 3x34 + 4x35 + 2x41 + 7x42 + 4x43 + 7x44 + 2x45 + x51 + 9x52 + 6x53 + 3x54 + 2x55 → min

1) Метод северо-западного угла.

 100150150100100






150

100

3

50

-

5

-

4

-

6

100

-

1

100

5

-

7

-

1

-

5

150

-

4

-

6

150

6

-

3

-

4

100

-

2

-

7

-

4

100

7

-

2

100

-

1

-

9

-

6

-

3

100

2

F(xij) = 3*100 + 50*4 + 100*5 + 150*6 + 100*7 + 100*2 = 300 + 200 + 500 + 900 + 700 + 200 = 2800

2) Метод минимальной стоимости

Найдем несколько вариантов решения данным методом для того, чтобы найти вычислить наиболее оптимальное решение.

)

 100150150100100

150

100

3

50

4

-

5

-

4

-

6

100

-

1

-

-

7

100

1

-

5

150

-

4

-

6

50

6

-

3

100

4

100

-

2

-

7

100

4

-

7

-

2

100

-

1

100

9

-

6

-

3

-

2


F(xij) =100*3+ 50*4+ 100*1+ 50*6+ 100*4+ 100*9= 300+ 100+ 300+ 400+ 900= 2000

)

 100150150100100

150

-

3

150

4

-

5

-

4

-

6

100

-

1

-

5

-

7

100

1

-

5

150

-

4

-

6

150

-

3

-

4

100

-

2

-

7

-

4

-

7

100

2

100

100

1

-

9

-

6

-

3

-

2


F(xij) =150*4+ 100*1 + 150*6 + 100*2 + 100*1 = 600 + 100 + 900 + 200 + 100 = 1900

)

 100150150100100

150

100

3

50

4

-

5

-

4

-

6

100

-

1

-

5

-

7

100

1

-

5

150

-

4

-

6

50

6

-

3

100

4

100

-

2

-

7

100

4

-

-

2

100

-

1

100

9

-

6

-

3

-

2


F(xij) =100*3+ 50*4+ 100*1+ 50*6+ 100*4+ 100*4+ 100*9 = 300+ 200+ 100+ 300+ 400+ 400+ 900 = 2600

Таким образом, получаем, что минимальное решение получилось во втором варианте, где F(xij) = 1900.


Ответ: F(xij) = 1900.

 

Задание 3. Решить задачу системы массового обслуживания

В универсаме к узлу расчета поступает поток покупателей с интенсивностью λ =198 чел. В час. Средняя продолжительность обслуживания контроллером-кассиром одного покупателя мин. Определить: минимальное количество контролеров-кассиров nmin, , при котором очередь не будет расти до бесконечности, и соответствующие характеристики обслуживания при n=nmin.

Решение:

По условию λ=198 чел. в час или 3,3 чел. в мин. Таким образом,

ρ = λ/μ = λ*tоб = 3,3*6 = 19,8.

Это означает, что очередь не будет возрастать до бесконечности при условии ρ/n < 1, т.е. при n>ρ = 19,8. Таким образом, минимальное количество контроллеров-кассиров nmin = 20.

Найдем характеристики обслуживания СМО при n=20. Вероятность того, что в узле расчета отсутствуют покупатели, найдем по формуле:


т.е. в среднем 0,00000003% времени контролеры-кассиры будут простаивать.

Вероятность того, что в узле расчета будет очередь, рассчитаем по формуле:


Среднее число покупателей, находящихся в очереди, найдем по формуле:

Среднее время ожидания в очереди вычислим по формуле:

 


Среднее число покупателей в узле расчета рассчитаем по формуле:

 


Среднее время нахождения покупателей в узле расчета найдем по формуле:

 


среднее число контролеров-кассиров, занятых обслуживанием покупателей, найдем по формуле:


Коэффициент (доля) занятых обслуживанием контролеров-кассиров равна:

Абсолютная пропускная способность узла расчета найдем следующим образом:


или 196,2 чел./час.

Анализ характеристик обслуживания свидетельствует о значительной нагрузке узла расчета при наличии 20-ти контролеров-кассиров.

Стохастическая модель управления запасами

Так как ресурсы каждого предприятия ограничены, то оно решает, как и когда пополнять запасы, и в каком размере. Управление запасами имеет место быть как на производственных предприятиях, так и на торговых. Если в первом случаем уровень запаса выбирается таким образом, чтобы обеспечить бесперебойное производство между двумя поставками, то во втором случае речь идет о том, как обеспечить максимальное удовлетворение спроса и минимизировать издержки на хранение и неудовлетворенный спрос.

В настоящее время известно огромное количество детерминированных моделей управления запасами. Это самый простой тип моделей, в которых спрос и предложение являются неизменными из периода в период величинами. Любой реальный процесс можно привести к детерминированному виду. Однако при прогнозировании данный тип моделей дает неточные результаты. Поэтому используются стохастические модели, одна из которых будет предложена в данной работе.

Она строится по тому же принципу, что и детерминированные модели. Однако допускается неудовлетворенный спрос. Кроме того, учитываются не только затраты на хранение, но и транспортировку товара. Так как реальные процессы слишком сложные, то в рассматриваемой модели приняты три допущения.

.        Неудовлетворенный в течение срока выполнения заказа спрос накапливается.

2.      Разрешается не более одного невыполненного заказа.

.        Распределение спроса в течение срока выполнения заказа является стационарным (неизменным) во времени.

Для определения функции, отражающей суммарные затраты, отнесенные к единице времени, введем следующие обозначения.

F   f(x) - плотность распределения спроса х в течение срока выполнения заказа

F   D - ожидаемое значение спроса в единицу времени

F   h - удельные затраты на хранение (на единицу продукции за единицу времени)

F   р - удельные потери от неудовлетворенного спроса (на единицу продукции за единицу времени)

F   К - стоимость размещения заказа.

F   E(x) - функция изменения транспортных затрат в зависимости от объема спроса.

Критерием оптимальности также служит функция затрат в единицу времени, которая складывается из:

1.      Стоимости размещения заказов. Приближенное число заказов в единицу времени равно D/y, так что стоимость размещения заказов в единицу времени равна KD/y.

2.      Ожидаемых затрат на хранение. Средний уровень запаса равен:

Следовательно, ожидаемые затраты на хранение за единицу времени равны hI.

Приведенная формула получена в результате усреднения ожидаемых запасов в начале и конце временного цикла, то есть величин у + M{R-х} и M{R-х} соответственно. При этом игнорируется случай, когда величина R - М{х} может быть отрицательной, что является одним из упрощающих допущений рассматриваемой модели.

.        Стоимость транспортных перевозок для удовлетворения спроса потребителей. Функция имеет ступенчатый вид, так как с ростом объема заказа растет стоимость его перевозки:


.        Ожидаемые потери, связанные с неудовлетворенным спросом. Дефицит возникает при х > R. Следовательно, ожидаемый дефицит за единицу времени равен:

 

Так как в модели предполагается, что р пропорционально объему дефицита, ожидаемые потери, связанные с неудовлетворенным спросом, за один цикл равны pS. Поскольку единица времени содержит D/y циклов, то ожидаемые потери, обусловленные дефицитом, составляют pDS/y за единицу времени.

Результирующая функция общих потерь за единицу времени TCU имеет следующий вид.

задача линейный транспортный стохастический


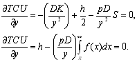
Оптимальные значения у* и R* определяются из представленных ниже уравнений.


Данная модель дает неплохие результаты и может применяться для прогнозирования на любом предприятии, где происходит непрерывный контроль уровня запасов товара, так как спрос на товар задан своей функцией плотности, то есть учитывается его вероятностный характер.

Однако точность модели значительно снижается в случае применения модели для управления запасами товаров с сезонными колебаниями спроса, например, в отрасли пивоварения. Основной причиной неточности модели является то, что плотность спроса на сезонную продукцию неоднородна. Поэтому для повышения точности системы управления запасами следует тщательно изучить показатели спроса за достаточно большой период времени и выделить те участки времени, на которые приходится максимальный и минимальный уровни спроса. Затем для каждого участка построить свою функцию плотности. И уже при непосредственном применении модели анализировать период, для которого определяется уровень заказа и резервного запаса, и использовать корректную функцию плотности.

Данная методика в совокупности с методами прогнозирования поможет предприятиям более точно рассчитывать уровень заказа.

Похожие работы на - Практические аспекты математического моделирования

 

Не нашли материал для своей работы?
Поможем написать уникальную работу
Без плагиата!
Без нейросетей!